Prof. Antonio João de Almeida
      Diretor Técnico Novilho Precoce-MS

     Workshop BeefPoint -SP 26/02/2013
  MUNICÍPIO   DE BANDEIRANTES-MS

  LOCALIZAÇÃO     :120 KM DE CAMPO GRANDE

  TAMANHO     :7500 HA

  PROPRIETÁRIO: JOSÉ     RODRIGUES E IRMÃOS
 COND.

  ASSOCIADO    À NOVILHO PRECOCE-MS DESDE
 1998
Linha do Tempo
1952 – Compra da Faz. Cachoeirão por Osvaldo Rodrigues
Ferreira




                              3/4/13   p. 4
Linha do Tempo
1952 – Compra da Faz. Cachoeirão por Osvaldo Rodrigues Ferreira

1991 – Dois filhos iniciam a administração.




                                  3/4/13   p. 5
Linha do Tempo
1952 – Compra da Faz. Cachoeirão por Osvaldo Rodrigues Ferreira

1991 – Dois filhos iniciam a administração

1993 – Início de I.A. e Cruzamento Industrial




                                     3/4/13   p. 6
Linha do Tempo

1952 – Compra da Faz. Cachoeirão por Osvaldo Rodrigues Ferreira

1991 – Dois filhos iniciam a administração.

1993 – Início de I.A. e Cruzamento Industrial

1995 – Início reforma de pastagens




                                     3/4/13   p. 7
Linha do Tempo

1952 – Compra da Faz. Cachoeirão por Osvaldo Rodrigues Ferreira

1991 – Dois filhos iniciam a administração.

1993 – Início de I.A. e Cruzamento Industrial

1995 – Início reforma de pastagens

1998 – Participação na fundação Novilho Precoce




                                     3/4/13   p. 8
Linha do Tempo

1952 – Compra da Faz. Cachoeirão por Osvaldo Rodrigues Ferreira

1991 – Dois filhos iniciam a administração.

1993 – Início de I.A. e Cruzamento Industrial

1995 – Início reforma de pastagens

1998 – Participação na fundação Novilho Precoce


1999 – Início do Confinamento




                                     3/4/13   p. 9
Linha do Tempo

1952 – Compra da Faz. Cachoeirão por Osvaldo Rodrigues Ferreira

1991 – Dois filhos iniciam a administração.

1993 – Início de I.A. e Cruzamento Industrial

1995 – Início reforma de pastagens

1998 – Participação na fundação Novilho Precoce


1999 – Início do Confinamento
2002 – Falecimento do Sr. Osvaldo / Herdeiros montam um
condomínio



                                     3/4/13   p. 10
Linha do Tempo

1952 – Compra da Faz. Cachoeirão por Osvaldo Rodrigues Ferreira

1991 – Dois filhos iniciam a administração.

1993 – Início de I.A. e Cruzamento Industrial

1995 – Início reforma de pastagens

1998 – Participação na fundação Novilho Precoce

1999 – Início do Confinamento
2002 – Falecimento do Sr. Osvaldo / Herdeiros montam um condomínio

2005 – Início da agricultura (plantio de soja)


                                     3/4/13   p. 11
Linha do Tempo

1952 – Compra da Faz. Cachoeirão por Osvaldo Rodrigues Ferreira

1991 – Dois filhos iniciam a administração.

1993 – Início de I.A. e Cruzamento Industrial

1995 – Início reforma de pastagens

1998 – Participação na fundação Novilho Precoce

1999 – Início do Confinamento
2002 – Falecimento do Sr. Osvaldo / Herdeiros montam um condomínio

2005 – Início da agricultura (plantio de soja)

2007 – Plantio de floresta de eucalipto
                                      3/4/13   p. 12
Linha do Tempo

1952 – Compra da Faz. Cachoeirão por Osvaldo Rodrigues Ferreira

1991 – Dois filhos iniciam a administração.

1993 – Início de I.A. e Cruzamento Industrial

1995 – Início reforma de pastagens

1998 – Participação na fundação Novilho Precoce

1999 – Início do Confinamento
2002 – Falecimento do Sr. Osvaldo / Herdeiros montam um condomínio

2005 – Início da agricultura (plantio de soja)

2007 – Plantio de floresta de eucalipto

2011 – Início de vendas de touros nelore P.O.
                              3/4/13 p. 13
  1991
      -2 FILHOS ASSUMEM A ADMINISTRAÇÃO DA
  CACHOEIRÃO

  SEM   RECURSOS FINANCEIROS

  DECISÃO: MUDANÇAS    NO MANEJO DO GADO

  DESCARTE   DE VACAS PARA FAZER CAIXA

  1993   – INICIO I.A. -CRUZAMENTO INDUSTRIAL
  NELORE X ANGUS             F1




  F1 X LIMOUSIN              F2
  ( ½ Lim x 1/4An x 1/4Ne )
O DILEMA DA FAZENDA:


COMO AUMENTAR O DESFRUTE DA
PROPRIEDADE?


COMO RESOLVER O PROBLEMA DA SECA?


COMO VENDER NA ÉPOCA DE MELHOR PREÇO?


COMO AUMENTAR O FLUXO DE CAIXA?
    Construção infraestrutura do Confinamento
    Inicio :120 bois
    Armazenamento de ingredientes: Utilização de velho
     galpão de máquinas
    Equipamentos: Triturador,misturador vertical fixo,vagão
     tipo “sanduiche”
    Recursos próprios para implantação do confinamento
    Volumoso : Silagem de Capim
    Concentrado :Compra na região
  Contratação de um consultor para formulação de
  ração /treinamento da equipe para confinar
  Criação   de um sistema de controle gerencial
  Coleta   de Dados técnicos (GPD,Consumo,etc)
  Coleta
        de Dados financeiros (custo da ração,custo
  da @ produzida,etc)
  Produção   de novilhos super precoce
  Implantação   do BPA(Boas práticas agropecuárias)
TM



     Nutrition Service Associates
                                    Divisão do Brasil
Silagem de capim
  Estagio
         de maturidade do projeto de confinamento:
  Consolidado
  Sustentabilidade   (BPA)
  Premiação:1º   lugar Show da Carcaça 2011/2012
  Produção   de carne de qualidade
  Negócios   :Ganhos através da Associação
  Efeito
       multiplicador do projeto(dias de
  campo,treinamento de peões)
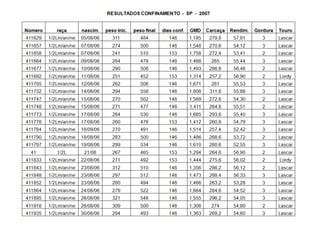
Fonte: Fazenda Cachoeirão
  FAZER
      SEMPRE UM PLANEJAMENTO
 DA AÇÃO

  SER
    EFICIENTE NO USO DA
 TECNOLOGIA

  INICIAR
       O PROJETO PEQUENO PARA
 APRENDER O SISTEMA
  ERRO   : USO DE SILAGEM DE CAPIM



  ACERTO: PRODUÇÃO     DE
 SUPERPRECOCE
 NENHUMA



  Porqueo Confinamento faz parte do
 sistema de produção da Cachoeirão
     ILP (Integração lavoura Pecuária)

  Irá aumentar Cria,Rebanho e
     Confinamento

  Compra    de Animais-Recriar-Confinar
    Bonificação – Plus no abate

    Comercialização / Intermediação

    Acompanhamento de Abates – Relatório

    Balança do Produtor

    União, troca de experiências

    Parcerias –Fundação MS,Instituto do Confinamento

    Força: Dentro e fora da porteira –
  aja1@terra.com.br
  (67)9906-0621

[Palestra] Antonio João de Almeida - Estudo de caso de um confinamento associado a Novilho Precoce MS - Workshop BeefPoint Estudos de Caso de Excelência no confinamento Fevereiro/2013

  • 1.
    Prof. Antonio Joãode Almeida Diretor Técnico Novilho Precoce-MS Workshop BeefPoint -SP 26/02/2013
  • 2.
      MUNICÍPIO DE BANDEIRANTES-MS   LOCALIZAÇÃO :120 KM DE CAMPO GRANDE   TAMANHO :7500 HA   PROPRIETÁRIO: JOSÉ RODRIGUES E IRMÃOS COND.   ASSOCIADO À NOVILHO PRECOCE-MS DESDE 1998
  • 4.
    Linha do Tempo 1952– Compra da Faz. Cachoeirão por Osvaldo Rodrigues Ferreira 3/4/13 p. 4
  • 5.
    Linha do Tempo 1952– Compra da Faz. Cachoeirão por Osvaldo Rodrigues Ferreira 1991 – Dois filhos iniciam a administração. 3/4/13 p. 5
  • 6.
    Linha do Tempo 1952– Compra da Faz. Cachoeirão por Osvaldo Rodrigues Ferreira 1991 – Dois filhos iniciam a administração 1993 – Início de I.A. e Cruzamento Industrial 3/4/13 p. 6
  • 7.
    Linha do Tempo 1952– Compra da Faz. Cachoeirão por Osvaldo Rodrigues Ferreira 1991 – Dois filhos iniciam a administração. 1993 – Início de I.A. e Cruzamento Industrial 1995 – Início reforma de pastagens 3/4/13 p. 7
  • 8.
    Linha do Tempo 1952– Compra da Faz. Cachoeirão por Osvaldo Rodrigues Ferreira 1991 – Dois filhos iniciam a administração. 1993 – Início de I.A. e Cruzamento Industrial 1995 – Início reforma de pastagens 1998 – Participação na fundação Novilho Precoce 3/4/13 p. 8
  • 9.
    Linha do Tempo 1952– Compra da Faz. Cachoeirão por Osvaldo Rodrigues Ferreira 1991 – Dois filhos iniciam a administração. 1993 – Início de I.A. e Cruzamento Industrial 1995 – Início reforma de pastagens 1998 – Participação na fundação Novilho Precoce 1999 – Início do Confinamento 3/4/13 p. 9
  • 10.
    Linha do Tempo 1952– Compra da Faz. Cachoeirão por Osvaldo Rodrigues Ferreira 1991 – Dois filhos iniciam a administração. 1993 – Início de I.A. e Cruzamento Industrial 1995 – Início reforma de pastagens 1998 – Participação na fundação Novilho Precoce 1999 – Início do Confinamento 2002 – Falecimento do Sr. Osvaldo / Herdeiros montam um condomínio 3/4/13 p. 10
  • 11.
    Linha do Tempo 1952– Compra da Faz. Cachoeirão por Osvaldo Rodrigues Ferreira 1991 – Dois filhos iniciam a administração. 1993 – Início de I.A. e Cruzamento Industrial 1995 – Início reforma de pastagens 1998 – Participação na fundação Novilho Precoce 1999 – Início do Confinamento 2002 – Falecimento do Sr. Osvaldo / Herdeiros montam um condomínio 2005 – Início da agricultura (plantio de soja) 3/4/13 p. 11
  • 12.
    Linha do Tempo 1952– Compra da Faz. Cachoeirão por Osvaldo Rodrigues Ferreira 1991 – Dois filhos iniciam a administração. 1993 – Início de I.A. e Cruzamento Industrial 1995 – Início reforma de pastagens 1998 – Participação na fundação Novilho Precoce 1999 – Início do Confinamento 2002 – Falecimento do Sr. Osvaldo / Herdeiros montam um condomínio 2005 – Início da agricultura (plantio de soja) 2007 – Plantio de floresta de eucalipto 3/4/13 p. 12
  • 13.
    Linha do Tempo 1952– Compra da Faz. Cachoeirão por Osvaldo Rodrigues Ferreira 1991 – Dois filhos iniciam a administração. 1993 – Início de I.A. e Cruzamento Industrial 1995 – Início reforma de pastagens 1998 – Participação na fundação Novilho Precoce 1999 – Início do Confinamento 2002 – Falecimento do Sr. Osvaldo / Herdeiros montam um condomínio 2005 – Início da agricultura (plantio de soja) 2007 – Plantio de floresta de eucalipto 2011 – Início de vendas de touros nelore P.O. 3/4/13 p. 13
  • 15.
      1991 -2 FILHOS ASSUMEM A ADMINISTRAÇÃO DA CACHOEIRÃO   SEM RECURSOS FINANCEIROS   DECISÃO: MUDANÇAS NO MANEJO DO GADO   DESCARTE DE VACAS PARA FAZER CAIXA   1993 – INICIO I.A. -CRUZAMENTO INDUSTRIAL
  • 16.
      NELORE XANGUS F1   F1 X LIMOUSIN F2 ( ½ Lim x 1/4An x 1/4Ne )
  • 19.
    O DILEMA DAFAZENDA: COMO AUMENTAR O DESFRUTE DA PROPRIEDADE? COMO RESOLVER O PROBLEMA DA SECA? COMO VENDER NA ÉPOCA DE MELHOR PREÇO? COMO AUMENTAR O FLUXO DE CAIXA?
  • 22.
      Construção infraestrutura do Confinamento   Inicio :120 bois   Armazenamento de ingredientes: Utilização de velho galpão de máquinas   Equipamentos: Triturador,misturador vertical fixo,vagão tipo “sanduiche”   Recursos próprios para implantação do confinamento   Volumoso : Silagem de Capim   Concentrado :Compra na região
  • 23.
      Contratação deum consultor para formulação de ração /treinamento da equipe para confinar   Criação de um sistema de controle gerencial   Coleta de Dados técnicos (GPD,Consumo,etc)   Coleta de Dados financeiros (custo da ração,custo da @ produzida,etc)   Produção de novilhos super precoce   Implantação do BPA(Boas práticas agropecuárias)
  • 25.
    TM Nutrition Service Associates Divisão do Brasil
  • 29.
  • 34.
      Estagio de maturidade do projeto de confinamento: Consolidado   Sustentabilidade (BPA)   Premiação:1º lugar Show da Carcaça 2011/2012   Produção de carne de qualidade   Negócios :Ganhos através da Associação   Efeito multiplicador do projeto(dias de campo,treinamento de peões)
  • 38.
  • 41.
      FAZER SEMPRE UM PLANEJAMENTO DA AÇÃO   SER EFICIENTE NO USO DA TECNOLOGIA   INICIAR O PROJETO PEQUENO PARA APRENDER O SISTEMA
  • 42.
      ERRO : USO DE SILAGEM DE CAPIM   ACERTO: PRODUÇÃO DE SUPERPRECOCE
  • 44.
     NENHUMA   Porqueo Confinamentofaz parte do sistema de produção da Cachoeirão
  • 45.
      ILP (Integração lavoura Pecuária)   Irá aumentar Cria,Rebanho e Confinamento   Compra de Animais-Recriar-Confinar
  • 47.
      Bonificação – Plus no abate   Comercialização / Intermediação   Acompanhamento de Abates – Relatório   Balança do Produtor   União, troca de experiências   Parcerias –Fundação MS,Instituto do Confinamento   Força: Dentro e fora da porteira –
  • 48.