UNIVERSIDADE DE SÃO PAULO
Escola Superior de Agricultura “Luiz de Queiroz”
Departamento de Ciências Florestais
Otimização da alocação de pátios no Manejo Florestal Sustentável na Flona do Jamari
Tiê Mendes Tavares
Piracicaba, 14 de dezembro de 2016
Trabalho de Conclusão de
Curso em Engenharia Florestal
apresentado como parte das
exigências para conclusão do
Curso de Engenharia Florestal
Tiê Mendes Tavares
Graduando em Engenharia Florestal
Otimização da alocação de pátios no Manejo Florestal Sustentável na Flona do Jamari
Orientador:
Prof. Dr. Luiz Carlos Estraviz Rodrigues
Piracicaba
2016
Trabalho de Conclusão de
Curso em Engenharia Florestal
apresentado como parte das
exigências para conclusão do
Curso de Engenharia Florestal
I
AGRADECIMENTOS
Agradeço primeiramente a meu Pai, Mãe e irmãos pelo apoio e presença em todos os
momentos de minha jornada, sempre se orgulhando do meu esforço e dedicação.
A Universidade de São Paulo (USP), principalmente aos professores, pesquisadores e
todos os colaboradores da Escola Superior de Agricultura “Luiz de Queiroz”, pela
oportunidade concedida para a realização do meu bacharel.
Aos professores e funcionários do Departamento de Engenharia Florestal, assim como
os técnicos e colaboradores das estações experimentais de Itatinga e Anhembi pelos
ensinamentos e constantes contribuições dentro e fora de aula para que eu me tornasse um
Engenheiro Florestal.
A empresa Amata, seus funcionários e colaboradores, de todos os estados, pelo enorme
ensinamento prático e teórico, durante este um ano de estágio, sobre como manejar uma
floresta respeitando a sociedade, o ambiente e a economia em seu entorno, de maneira
produtiva, transparente e ética.
Ao meu orientador Prof. Dr. Luiz Carlos Estraviz Rodrigues e minha orientadora Eng.
Florestal Juliana Carneiro Gonçalves, pelos ensinamentos e orientação para que fosse
possível a finalização deste projeto.
Meus colegas e amigos de turma pelos momentos de alegria vividas durante o curso e
por compartilhar dos ótimos anos vividos durante o curso.
A todos os moradores da Republica Biosfera, que conviveram diariamente comigo, me
ensinando a importância de uma amizade, do trabalho em equipe e tantas outras lições que
levarei comigo durante toda a minha vida.
Enfim, a todos que, direta ou indiretamente, se fizeram presentes nesta minha
caminhada.
II
RESUMO
O objetivo do trabalho foi avaliar a utilização de Programação linear (PL), na alocação
ótima de pátios de estocagem temporários em condições de manejo de florestas nativas, afim
de minimizar as distancias de arraste. A área de estudo foi a Unidade de Produção Anual 04
(UPA04), localizada na Unidade de Manejo Florestal III (UMF-III), na porção sudoeste da
Flona do Jamari, no estado de Rondônia. Os dados como inventário 100%, hidrografia local
e limites geográficos utilizados neste trabalho, foram disponibilizados pela empresa Amata
S.A., dona da concessão de exploração da Flona. Os resultados demonstraram que com o
uso de ferramentas de programação linear, é possível reduzir as distancias euclidianas entre
os pátios de estocagem dentro da floresta e as respectivas árvores. Além disso, houve uma
redução da soma das distancias euclidianas de 101 km para o cenário 1, 66 km para o cenário
2 e 53 km para o cenário 3. O cenário 2 foi o que se destacou como uma boa opção, pois
auxilia a definir o número máximo de pátios, pois além de reduzir as distancias entre árvore-
pátios, apresentou uma boa distribuição do volume de estocagem e um menor número de
instalações.
ABSTRACT
The objective of this work was to evaluate the use of linear programming (LP), in the
optimal allocation of temporary log landing yards for reduced impact logging (RIL) to
minimize drag distances. The study area was the Annual Production Unit 04 (UPA04),
located in the Forest Management Unit III (FMU-III), in the southwest portion of Flona do
Jamari in the state of Rondônia. The company Amata SA, owner of the concession, provided
data as 100% inventory, site hydrology and geographic boundaries used in this study. The
results showed that with the use of linear programming tools, it is possible to reduce the
Euclidean distances between the log landing yards within the forest and their respective
trees. In addition, there was a reduction of the sum of the Euclidean distances of 101 km for
scenario 1, 66 km for scenario 2 and 53 km for scenario 3. Scenario 2 was what stood out
as a good option, because it helped to define the maximum number of log landing yards, as
well as reducing the distances between tree-yards, had a good distribution of the storage
volume and lower number of facilities.
III
LISTA DE FIGURAS
Figura 1 - Método de disposição dos pátios de estocagem de maneira sistemática e dirigida. .6
Figura 2 - Esquematização das Fases de um Estudo aplicando a PO. .......................................9
Figura 3 - Mapa de localização da área de estudo. ..................................................................11
Figura 4 - Mapas das áreas restritas a instalação de pátios devido a classificação da declividade
da UPA.....................................................................................................................................13
Figura 5 - Mapas das áreas restritas a instalação de pátios devido a áreas de preservação
permanente (APP) ou não operacionais...................................................................................14
Figura 6 - Mapas das áreas restritas a instalação de pátios devido a proximidade a árvores
remanescentes, protegidas ou matriz. ......................................................................................15
Figura 7 - Mapas com os possíveis pátios a serem instalados dentro da UPA 04...................15
Figura 8 - Subdivisão da UPA 04 considerando a hidrografia local........................................16
Figura 9 - Localização das árvores em relação ao seu respectivo pátio de estocagem, no cenário
1................................................................................................................................................31
Figura 10 - Localização das árvores em relação ao seu respectivo pátio de estocagem, no
cenário 2...................................................................................................................................34
Figura 11 - Localização das árvores em relação ao seu respectivo pátio de estocagem, no
cenário 3...................................................................................................................................37
Figura 12 - Localização das árvores em relação ao seu respectivo pátio de estocagem, no
cenário real...............................................................................................................................40
IV
LISTA DE TABELAS
Tabela 1 - Resumo das variáveis e tempo de processamento por cenários e subdivisões da UPA
04..............................................................................................................................................20
Tabela 2 - Resultado da função objetivo por cenário e subdivisões da UPA 04. ....................21
Tabela 3 - Número de pátios em cada subdivisão por cenário. ...............................................22
Tabela 4 - Análise da distribuição de volumes por subdivisão da UPA04 em cada um dos
cenários. ...................................................................................................................................24
Tabela 5 - Análise das distâncias euclidianas em cada subdivisão e por cenário....................26
Tabela 6 - Resultado das distâncias euclidianas do cenário 1 por pátio. .................................32
Tabela 7 - Resultado das distâncias euclidianas do cenário 2 por pátio. .................................35
Tabela 8 - Resultado das distâncias euclidianas do cenário 3 por pátio. .................................38
Tabela 9 - Resultado das distâncias euclidianas do cenário real por pátio. .............................41
Tabela 10 - Distâncias fictícias entre árvores e pátios do exemplo. ........................................43
V
LISTA DE SIGLAS
APP: Área de Preservação Permanente
AUTEX: Autorização de Exploração
EC: Exploração Convencional
EIR: Exploração de Impacto Reduzido
FLONA: Floresta Nacional
IFT: Instituto Floresta Tropical
PL: Programação Linear
PMFS: Plano de Manejo Florestal Sustentável
PO: Pesquisa Operacional
POA: Plano de Operação Anual
SFB: Serviço Florestal Brasileiro
SNUC: Sistema Nacional de Unidades de Conservação
UC: Unidade de Conservação
UMF: Unidade de Manejo Florestal
UPA: Unidade de Produção Anual
UT: Unidade de Trabalho
VI
SUMÁRIO
1. INTRODUÇÃO.............................................................................................................................1
1.1. Objetivo .................................................................................................................. 3
2. REFERENCIAL TEÓRICO........................................................................................................3
2.1. Exploração Convencional......................................................................................... 3
2.2. Exploração de Impacto Reduzido ............................................................................. 4
2.2.1. Atividades pré-exploratórias ............................................................................. 4
2.2.2. Atividades exploratórias ................................................................................... 6
2.2.3. Atividades pós-exploratórias ............................................................................. 7
2.3. Pesquisa Operacional............................................................................................... 8
2.3.1. Problemas de localização-alocação .................................................................. 10
3. MATERIAIS E MÉTODOS ......................................................................................................11
3.1. Descrição da área de estudo ................................................................................... 11
3.2. Análise Geográfica................................................................................................. 12
3.2.1. Classificação da declividade da UPA ............................................................... 13
3.2.2. Obtenção das áreas de preservação permanente (APP) .................................... 13
3.2.3. Obtenção de áreas próximas a árvores remanescentes ou protegidas ................ 14
3.2.4. Alocação dos possíveis pátios na UPA.............................................................. 15
3.2.5. Subdivisão das áreas de acordo com a hidrográfica local.................................. 16
3.3. Modelo de programação inteira.............................................................................. 17
3.3.1. Cenários de estudo.......................................................................................... 18
4. RESULTADOS E DISCUSSÃO................................................................................................19
4.1. Análise geral da alocação dos pátios de estocagem pela distância euclidiana............. 19
4.2. Análise da utilização dos pátios quanto ao volume................................................... 23
4.3. Análise da utilização dos pátios quanto ás distâncias euclidianas ............................. 25
5. CONCLUSÃO.............................................................................................................................27
REFERENCIA....................................................................................................................................28
APÊNDICES .......................................................................................................................................31
1
1. INTRODUÇÃO
O Brasil possui uma área total de mais de 850 milhões de hectares, sendo que mais de
50% é coberto por florestas, destes, 456 milhões de hectares de florestas naturais e o
restante de florestas plantadas (SFB, 2013).
O bioma Amazônia corresponde 30% de florestas tropicais remanescentes no mundo.
Sua importância é reconhecida dentro e mesmo fora do país, não apenas por sua vasta
extensão, mas também devido a sua diversidade, possuindo mais de 600 tipos diferentes de
hábitats tanto terrestres como de água doce, sendo abrigo a aproximadamente 45 mil
espécies de plantas e vertebrados (SFB, 2013)
A Amazônia, por possuir um vasto estoque de carbono e madeiras comercias, produtos
florestais não madeireiros, como também recursos minerais e hídricos, é alvo de grande
pressão para a extração de tais riquezas. Pensando nisto, o governo federal criou leis para
mitigar e retardar ações predatórias, como por exemplo o novo Código Florestal (BRASIL,
2012) e o Sistema Nacional de Unidades de Conservação (SNUC) (BRASIL, 2002).
O Código Florestal, em termos gerais, institui regras sobre a proteção da vegetação,
áreas de Reserva Legal e Preservação Permanente, como também sobre a exploração
florestal, o fornecimento e controle da origem de matéria-prima e produtos florestais, o
controle e prevenção de incêndios florestais, além de prever aparelhos econômicos e
financeiros para atingir seus objetivos (BRASIL, 2012).
O Sistema Nacional de Unidades de Conservação (SNUC) por sua vez constitui normas
para a criação, implantação e gestão das unidades de conservação, assim como define e
separa cada uma delas e seus objetivos. As Unidades de Conservação (UC) são divididas
em dois grandes grupos, as Unidade de Proteção Integral e as Unidades de Uso Sustentável,
os dois grupos somam um total de doze tipos diferentes de UC (BRASIL, 2002).
Os dois grupos, apesar de terem o mesmo objetivo de preservação da natureza, se
diferenciam devido ao uso de suas áreas. A Unidades de Proteção Integral tem por objetivo
a conservação da natureza por meio de restrições do uso direto de seus recursos, com
algumas exceções previstas pela Lei. As Unidades de Uso Sustentável que visam atingir a
preservação por intermédio do uso de seus recursos de modo controlado e desenvolvido em
cima dos três pilares da sustentabilidade, ou seja, economicamente viável, socialmente
justo e ecologicamente correto. (BRASIL, 2002).
2
A unidade de conservação do tipo Floresta Nacional, ou FLONA, está contida no grupo
de uso sustentável e é o tipo que irá ser abordado no presente trabalho. A área da FLONA
é de domínio público, sendo permitida apenas a permanência de populações tradicionais
que já a habitavam anteriormente à sua criação. A visitação pública é permitida e
incentivada assim como estudos científicos nas áreas (BRASIL, 2002). A concessão e
exploração de florestas públicas são regidas pela Lei de Gestão de Florestas Públicas (Lei
11.284/2006) e pela Lei Geral de Licitações (Lei 8.666/1993), sendo o principal
responsável o Serviço Florestal Brasileiro (SFB).
Um dos requisitos básicos e principais quando se trata de exploração de florestas nativas
é o Plano de Manejo Florestal Sustentável (PMFS). Conforme o Código Florestal, o PMFS
deve atender a nove fundamentos técnicos científicos, sendo alguns deles referentes a
caracterização dos meios físicos e biológicos; a determinação do estoque existente;
intensidade de exploração compatível com a capacidade de suporte ambiental da floresta;
ciclo de corte compatível com o tempo de restabelecimento do volume de produto extraído;
adoção de sistema silvicultural e de exploração adequada além de medidas mitigadoras dos
impactos ambientais e sociais; como também monitoramento do desenvolvimento da
floresta remanescente (BRASIL, Lei 12.651, 2012, art. 31).
Visando atingir os objetivos dentro do manejo florestal, torna-se indispensável o
planejamento florestal, identificando e descrevendo as atividades integradas no decorrer do
tempo. Nos últimos anos, as ferramentas utilizadas no planejamento florestal vêm se
desenvolvendo e atingindo melhores níveis de precisão e acurácia devido ao
desenvolvimento de diversos programas que auxiliam nas tomadas de decisão (SILVA,
2014).
Neste contexto, segundo SILVA (2014) a utilização de programas baseados em
modelos de programação linear tem-se destacado na área florestal, possibilitando agrupar
um maior número de dados para elaboração dos planos de manejo resultando em uma
prática mais sustentável e confiável, reduzindo os impactos ambientais e garantindo que as
gerações seguintes possam desfrutar dos recursos e benefícios da floresta.
Neste contexto, toda área com o Plano de Manejo Florestal Sustentável autorizado, deve
apresentar anualmente o Plano de Operação Anual (POA), referente ás próximas atividades
que serão realizadas, como condição para receber a Autorização de Exploração (AUTEX).
Em seu conteúdo o gestor da floresta deve apresentar todo o planejamento da operação para
3
área a ser explorada no ano, com informações como quantidade de unidades de trabalho,
censo florestal processado, analise da hidrografia, relevo e vegetação, assim como o
planejamento dos locais de construção das estradas primarias e secundárias além de pátios
de estocagem sendo este item abordado no decorrer do presente trabalho.
1.1. Objetivo
Este estudo foi realizado com o objetivo de avaliar a utilização de Programação linear
(PL), na alocação ótima de pátios de estocagem temporários em condições de manejo de
impacto reduzido, afim de minimizar as distancias de arraste.
2. REFERENCIAL TEÓRICO
2.1. Exploração Convencional
As principais características da exploração convencional são a inexistência do
planejamento das operações, maior dano causado a floresta e a grande perda de madeira e
recursos. Neste tipo de manejo, não são respeitadas algumas premissas como diâmetro
mínimo de corte, intensidade máxima de corte e o ciclo de corte (IFT, 2012; CASTRO,
2016).
A atividade se baseia em poucas etapas. Primeiramente define-se a área de exploração,
sem base em uma análise prévia do volume, espécie e localização das árvores, em seguida
as árvores de interesse são identificadas e abatidas por um operador de motosserra, que
realiza o corte muitas vezes sem o emprego de técnicas adequadas para se evitar o
desperdício, como também a inexistência de equipamentos técnicas de proteção individual
(IFT, 2012; CASTRO, 2016; HOLMES et al., 2002).
Após o corte, as máquinas pesadas iniciam o processo de construção das estradas e dos
pátios de estocagem, e só então é realizado o arraste das toras e o carregamento dos
caminhões para o transporte da madeira (CASTRO,2016; HOLMES et al., 2002). Como
não é feito nenhum mapeamento das árvores cortadas ou mapeamento das trilhas de arraste,
muitas árvores são esquecidas no campo e muitos ramais de arraste são abertos
desnecessariamente, aumentando os danos na floresta e os custos da exploração (HOLMES
et al., 2002; LENTINI et al., 2012; IFT, 2012ª; BOLTZ et al., 2001; BARRETO et al. 1998,
AMARAL et al. 1998).
4
2.2. Exploração de Impacto Reduzido
A Exploração de Impacto Reduzido (EIR), surgiu como uma alternativa a exploração
convencional, e estabelece um passo importante para o manejo sustentável da floresta. Esta
prática é dividida em três grandes etapas: a atividade pré-exploratória, dividida em
macroplanejamento e microplanejamento da colheita, atividade exploratória e a atividade
pós-exploratória (IFT, 2012; SABOGAL et. al. 2000; HOLMES, 2002; AMARAL et. al.
1998).
2.2.1. Atividades pré-exploratórias
Esta etapa, como citado anteriormente, é dividida em duas subatividades:
macroplanejamento e microplanejamento. O macroplanejamento é realizado antes, e
fornece informações para tomada de decisões, ajudando a definir a viabilidade ou não do
empreendimento.
A primeira atividade no macroplanejamento é a seleção de áreas operacionais dentro
da Unidade de Manejo Florestal (UMF), sendo excluídas áreas não operacionais, como por
exemplo áreas de preservação permanente, áreas sem cobertura florestal, áreas de difícil
acesso e de alta declividade, que impossibilitem o corte e entrada das maquinas para
operação. Em UMFs dentro de florestas públicas também devem ser excluídas as áreas de
reserva absoluta (IFT, 2002; AMARAL et. al. 1998).
Após a definição da área útil da UMF, é feita a quantificação do potencial da floreta,
esta avaliação é realizada de um inventário amostral, levantando informações como as
espécies com valor econômico presente na região, o número de indivíduos e seus
respectivos volumes. Dessa forma, pode ser realizada uma previsão dos produtos que serão
gerados e se o retorno financeiro será atrativo em contraste com os custos da operação
(AMATA, 2016).
Posteriormente a UMF é dividida em unidades de produção anual (UPA’s), onde
define-se a localização dos locais de construção da infraestrutura geral, como estradas
primarias, alojamentos entre outras construções dependendo da região, que darão apoio ao
manejo florestal. Na última etapa, já com os dados levantados, é possível determinar
também o número de funcionários e suas funções assim como também os maquinários
necessários (IFT, 2012; AMATA, 2016).
5
A atividade de microplanejamento, que é feita particularmente para cada UPA, com
início no mínimo um ano antes do começo da época de corte. Nesta atividade, divide-se a
UPA, em Unidades de Trabalho (UT), normalmente possuindo uma área de 100 hectares
cada, sendo dispostos com auxílio de uma malha com quadrados de 1km x 1 km, afim de
se facilitar a implementação do manejo. Ainda no microplanejamento é realizado o
inventário florestal 100%, ou censo florestal, onde as árvores inventariadas recebem uma
placa de identificação, suas medidas de diâmetro e altura são registradas assim como sua
localização dentro da UT (IFT, 2012; AMATA, 2016; AMARAL et. al. 1998)
O censo florestal é de extrema importância no manejo, pois fornece informações para
que seja feita uma previsão do potencial de produção de produtos madeireiros e não
madeireiros, dentro da floresta naquele ano, abrindo à possibilidade de se negociar a venda
dos produtos anteriormente (IFT, 2002; AMARAL et. al. 1998). Além disso, é realizado
durante o microplanejamento o corte de cipós e a coleta de informações de áreas não
operacionais, como APP’s, grotas, cipoais nascentes e cursos d’águas com o uso de GPS
e ferramentas cartográficas.
As últimas atividades que antecedem a fase exploratória, são o processamento de dados
de inventário, que irá definir quais árvores serão abatidas em cada UT, a confecção de
mapas de corte, com a localização das árvores, estradas, pátios e áreas não operacionais.
Para isso é preciso definir as dimensões dos pátios, escolher as localizações mais
propícias para sua instalação, distribuí-los nas estradas secundárias e delimitar a área para
sua construção. O dimensionamento dos pátios é obtido em razão do volume a ser
explorado, sendo apenas possível planejar e construir após o processamento dos dados do
inventário e a confecção dos mapas (IFT, 2002).
Segundo AMARAL (1998), os pátios devem ser planejados como infraestrutura
permanente da exploração, sendo colocados margeando as estradas secundárias, em lugares
planos e com baixa densidade de árvores de grande porte. A disposição dos pátios pode ser
realizada de maneira sistemática ou dirigida, variando de acordo com o tipo de solo e a
topografia da floresta (Figura 1).
6
Figura 1 - Método de disposição dos pátios de estocagem de maneira sistemática e dirigida,
extraído de AMARAL et. al., 1998.
Em áreas planas e com pouca diferença de solos, com um volume de extração constante
em toda área de extração os pátios podem ser distribuídos de forma sistemática, ou seja,
com distancias regulares entre eles e com o mesmo tamanho de área de estocagem. Áreas
de manejo com características irregulares é preferível alocar os pátios de maneira dirigida,
com distancias entre eles variando e área de estocagem sendo calculada de acordo com o
volume estimado para cada um (AMARAL et. al. 1998).
O Instituto Floresta Tropical (2002) enumera algumas das vantagens do planejamento
prévio da construção dos pátios como por exemplo a redução dos custos de máquina
durante a construção, menor consumo de combustível, menor desgaste e maior
aproveitamento dos equipamentos, como também redução dos danos causados à vegetação
e menor aberturado dossel da floresta. Porem aponta desvantagens, como a impossibilidade
de realizar a operação antes do processamento de dados do inventário e da confecção dos
mapas, além do treinamento das equipes.
Com todas as atividades realizadas e informações coletadas, o Engenheiro Florestal
responsável pela operação realiza a confecção do plano operacional anual (POA) que é
enviado para o órgão ambiental responsável, para que, depois de aprovado, iniciem-se as
atividades exploratórias.
2.2.2. Atividades exploratórias
As atividades exploratórias abrangem o planejamento prévio para minimização dos
danos ambientais, dos custos operacionais e aumento da segurança no trabalho e atividades
7
de corte da árvore, traçamento e destopamento da árvore, arraste e transporte (IFT, 2002;
AMARAL et. al. 1998).
Na etapa do corte, o operador de motosserra e o ajudante, em posse do mapa de corte,
GPS, bussola, equipamentos de corte e todos os equipamentos de proteção individual
(EPI), realizam uma vistoria em todas as árvores comerciais selecionadas para corte,
realizando o teste do oco, verificado a presença de ninhos ou abrigos de animais silvestres
e se a identificação da árvore confere com o mapa (IFT, 2011).
Sendo confirmada a inexistência de nenhuma inconformidade, trilhas de fuga são
abertas pelo ajudante e só então o operador de motosserra realiza o corte direcional da
árvore, aplicando técnicas que evitam riscos e desperdícios no momento do corte. Após o
corte as árvores são destopadas e traçadas em toras menores, sempre visando o menor
desperdício de madeira (IFT, 2011).
Na etapa de arraste, membros da equipe de exploração realizam o planejamento das
trilhas de arraste, sinalizando com fitas onde a máquina deve passar para chegar nas toras,
evitando desta maneira maiores danos a floresta, menor custo com maquinas e horas
trabalhadas, pois o operador sabe exatamente onde passar, evitando desta maneira a
abertura de ramais desnecessários e o esquecimento de toras (SABOGAL et. al. 2000;
HOLMES, 2002).
Na chegada ao pátio ás toras passam por uma conferência e registro das dimensões da
tora como comprimento e diâmetro, além do cálculo do seu respectivo volume e
identificação, afim de se manter a rastreabilidade e garantindo a origem da madeira e que
a mesma foi extraída de acordo com a legislação. As toras identificadas e medidas são
então carregadas para os caminhões que as levarão ou para um pátio maior de distribuição
ou diretamente para serraria (IFT, 2002; IFT, 2012).
2.2.3. Atividades pós-exploratórias
Esta etapa consiste em algumas atividades que visam a manutenção da floresta após sua
exploração, com o objetivo de realizar um acompanhamento continuo da floresta e
viabilizar os próximos ciclos de corte.
O Instituto Floresta Tropical (2002) cita algumas atividades para tal objetivo como por
exemplo a manutenção da infraestrutura permanente, como pontes, estradas, bueiros e
pátios de estocagem, mantendo a acessibilidade e evitando custos de reconstrução, o
8
inventário continuo e a avaliação de danos e desperdícios da exploração, para aferir se as
atividades de exploração prejudicaram o crescimento e regeneração da floresta,
comparando parcelas onde ocorreu a atividade com áreas não afetadas, analisando também
o esquecimento de toras, altura de tocos, toras rachadas e quantidade de arvores abatidas
com ocos.
Atividades de silvicultura pós-colheita visando aumentar o crescimento ou favorecer
espécies sensíveis exploradas, podem ser realizados na floresta, como por exemplo
liberação de árvores remanescentes através do desbaste por anelamento, corte de cipós,
condução da regeneração e até mesmo plantios de enriquecimento. Assim como medidas
de proteção florestal como placas de proibição de caça e pesca, ações de prevenção de
incêndio, e combate a invasão como também conflitos fundiários (IFT, 2002; CARIELLO,
2008).
2.3. Pesquisa Operacional
A Pesquisa Operacional (PO), tem por objetivo fornecer informações e auxiliar gestores
na difícil tarefa de tomada de decisão, seja ela estratégica, gerencial ou operacional. Nesta
área de estudo, os modelos matemáticos tentam reproduzir, da maneira mais fiel possível,
a realidade afim de antever e comparar estratégias alternativas, sem necessariamente
implanta-las no plano real (MARTINS, 2011).
A modelagem matemática pode ser separada em dois tipos de problemas, sendo eles
classificados como determinísticos (valores constantes/estáticos) ou estocásticos (valores
randômicos/variáveis). No caso dos determinísticos todos os elementos e variáveis são
conhecidos previamente e nenhuma aleatoriedade em sua ocorrência é permitida. Nos
estocásticos por sua vez os componentes ocorrem de acordo com probabilidades
predefinidas (TAHA, 2007; MARTINS, 2011).
Segundo MARTINS (2011), podemos dividir o processo de resolução de um problema
de pesquisa operacional em cinco fases, sendo elas a formulação do problema, construção
de um modelo matemático, obtenção da solução, teste do modelo e da solução,
implementação do resultado (Figura 2).
9
Figura 2 - Esquematização das Fases de um Estudo aplicando a PO, extraído de
MARTINS, 2011.
Na primeira etapa, ao formularmos o problema, o analista deve assimilar e sistematizar
as condições reais do problema, de preferência respondendo a alguns questionamentos
básicos como quem será o responsável por tomar a decisão, quais são os objetivos
(minimizar, maximizar, igualar), listar as variáveis que influenciem e ou restringem a
resolução do problema (matéria prima, custo, pessoas), aspectos que fogem do controle de
quem decide (clima, eventos inesperados) (TAHA, 2007; MARTINS, 2011).
A construção do modelo matemático se dá pela representação simplificada da realidade
através de expressões matemáticas, onde todas as “n” decisões quantificáveis serão
representadas pelas “n” variáveis de decisão ou de controle. O objetivo que se almeja
alcançar é representado por uma equação, chamada de Função Objetivo (FO), sendo está
limitada por equações restritivas que possui um valor mínimo, máximo ou igual a ser
atingido (TAHA, 2007).
Com o avanço da tecnologia e a capacidade de se medir e interpretar um maior número
de variáveis, os problemas envolvendo pesquisa operacional se tornaram mais complexos,
sendo muitos quase que inviáveis de serem resolvido manualmente. Sendo assim, para se
obter a solução de forma mais eficaz, foram criados alguns softwares que utilizam métodos
matemáticos como programação linear, que será utilizada neste estudo, a programação em
redes, a teoria dos grafos, entre outras (MARTINS, 2011).
A pesquisa aqui apresentada enquadra-se nos níveis de planejamento estratégico e
gerencial, pois abrange decisões como número de instalações (pátios), sua localização e sua
10
capacidade de estocagem. O problema pode ser classificado como determinístico, e será
resolvido utilizando Programação Linear (PL) de um modelo de localização-alocação, mais
especificamente o modelo de p-medianas, onde alocam-se fluxos entre ofertas e demandas,
simultaneamente.
2.3.1. Problemas de localização-alocação
Entre os problemas resolvidos por programação linear podemos citar o de localização-
alocação, onde o objetivo é procurar o lugar ideal para se fazer a instalação de tal modo a
minimizar distância entre as instalações e seus clientes. Este tipo de problema pode ser
reconhecido em redes que são formadas por grafos, conjunto de linhas e arestas, que
representam por exemplo vias públicas, conexões telefônicas, ou sistemas de atendimento
(ARAKAKI, 2002; MLADENOVIĆ et. al., 2007).
Podemos dividir o problema de localização em duas classes, sendo o primeiro de
localização de máxima cobertura, que busca identificar onde a instalação é colocada de
modo a atender o máximo de clientes, dentro da distância de serviço. A outra classe
conhecida como p-medianas, que busca minimizar as distancias entre os clientes e as
instalações, neste todos os clientes são atendidos, sem a restrição de distância máxima de
atendimento da instalação (ARAKIKI, 2002; MATINHAGO, 2012; MLADENOVIĆ et.
al., 2007).
Muitos trabalhos já se utilizaram da formulação do problema das p-medianas, como por
exemplo PIZZOLATO (1997) na localização de escolas públicas. Na área florestal, o
estudo de alocação de pátios já foi abordado anteriormente por MARTINHAGO (2012),
SILVA (2014) e SILVA (2015) em estudo feitos no Brasil. Em outras regiões podemos
citar PHILIPPART (2010) em estudos feitos em florestas tropicais na região da África
Central.
11
3. MATERIAIS E MÉTODOS
3.1. Descrição da área de estudo
A área de estudo está localizada na Unidade de Manejo Florestal III (UMF-III), na
porção sudoeste da Flona do Jamari, que abrange os municípios de Candeias do Jamari,
Itapuã do Oeste e Cajubim, estando todos no estado de Rondônia. Seu acesso partindo de
Porto Velho é realizado pela BR-364, sentido sul, percorrendo aproximadamente 140 km
(Figura 3).
Figura 3 - Mapa de localização da área de estudo.
Segundo a classificação de Köppen, a área de estudo apresenta um clima do tipo Aw
(Clima Tropical Chuvoso), com período seco bem definido durante os meses de junho a
agosto, quando ocorre na região um moderado déficit hídrico. A média anual da
precipitação pluvial, na região onde a Floresta Nacional está inserida, varia entre 1.800 e
2.200 mm/ano, onde mais de 90% desta ocorre na estação chuvosa. A média anual da
temperatura do ar fica entre 24º e 26ºC (AMATA, 2016).
O relevo dentro da UMF III apresenta apenas 12,2% de sua área em altitude superior a
150 metros. O solo predominante é o Vermelho-Amarelo Distrófico (Podzólico Vermelho-
12
Amarelo Distrófico), com algumas manchas de solos das classes Latossolo e Argissolos
(EMBRAPA, 2006). As bacias hidrográficas que a unidade de manejo florestal se insere
são a do rio Jacundá e rio Jamari (MMA/IBAMA, 2005).
Segundo IBGE (2006), a área de estudo possui uma vegetação classificada como
Floresta Ombrófila Aberta Submontana, que pode apresentar uma predominância de
palmeiras ou cipós. Podendo ser caracterizado pela abundância de indivíduos arbóreos
espaçados, podendo ter grupamentos de palmeiras e riqueza de lianas lenhosas e epífitas.
O sub-bosque é coberto predominantemente por plântulas e árvores jovens das espécies dos
extratos superiores.
Segundo o Plano de Manejo Florestal Sustentável da UMF III (2016), as espécies que
se destacam na Floresta Nacional do Jamari são o Tachi (Sclerolobium sp), Macucu–sangue
(Licania sp), Roxinho (Peltogyne lecointei), Breu (Protium sp), Abiurana (Pouteria sp),
Breu branco (Protium heptaphyllum), Faveira (Parkia sp), Envira (Xylopia sp), Guariúba
(Clarisia racemosa), Jutai pororoca (Dialium guianensis), Muiracatiara (Astronium
lecointei), Acariquara (Minquartia guianensis), Mata-matá preto (Eschweilera sp), Fava
branca (Parkia sp), Copaíba (Copaifera multijuga), com mais de 2 indivíduos por hectare.
Dentro do contexto da UMF III, a Unidade de Produção Anual selecionada para o
estudo foi a UPA 04, que teve seu manejo realizado no ano de 2014, possuindo uma área
total de 1.780,47 hectares, sendo 267,52 hectares destinados a áreas de preservação
permanente, 18,34 ha para áreas não operacionais.
Os pátios foram alocados pela empresa de maneira dirigida, ou seja, utilizando de dados
do microzoneamento e do censo florestal, alocaram os pátios sempre que possível a uma
distância de 250 metros entre eles, afim de não se sobrepor suas áreas de atuação, em locais
planos e que cada um deles pudessem receber toras do maior número possível de árvores
dentro do seu raio ótimo e quando necessário de distancias maiores. Foram alocados um
total de 75 pátios dentro da UPA 04.
3.2. Análise Geográfica
A análise geográfica foi utilizada para definir os locais aptos a serem instalados os
pátios de estocagem, ou seja, áreas planas, fora de APP, áreas não operacionais e áreas
próximas a árvores remanescentes. Este processo foi realizado no Sistema de Informações
Geográficas (SIG) ArcGIS 10.4.
13
3.2.1. Classificação da declividade da UPA
Para a obtenção das áreas com restrições devido à sua declividade, foram utilizados
dados de altitude do raster1
do Shuttle Radar Topography Mission (SRTM),
disponibilizados gratuitamente na internet. A partir dos dados de altitude presentes no
raster e utilizando a ferramenta Slope do software, foram determinados os graus de
declividade do terreno em porcentagem.
Figura 4 - Mapas das áreas restritas a instalação de pátios devido a classificação da
declividade da UPA.
Utilizando das mesmas premissas que MARTINHAGO (2012) e SILVA (2014), a
imagem foi reclassificada em duas classes, sendo uma para valores acima de 15% e outra
para valores abaixo de 15%, sendo a primeira imprópria para a instalação dos pátios. A
imagem raster foi então convertida em polígonos de uma shape2
(Figura 4).
3.2.2. Obtenção das áreas de preservação permanente (APP)
A hidrografia da Unidade de Produção Anual 4 (UPA04) foi disponibilizada pela
empresa Amata S.A., levantada pela a equipe de campo durante o levantamento de dados
para o microplanejamento, que coletou coletando com o GPS dados como o curso d’água
e os pontos de nascentes. As áreas não operacionais foram levantadas concomitantemente,
1
Raster: Dados georreferenciados quando representados da forma matricial, é feito uso de um grid, uma malha
quadriculada regular, sobre o qual é construído o elemento a ser representado, atribuindo valores ou códigos que
indicam o atributo estudado, de modo que o computador (interface) saiba de qual elemento a célula pertence
(CASANOVA, 2005).
2
Shape: Dados georreferenciados quando representados de maneira vetorial, onde o elemento ou componente é
exibido da maneira mais fiel possível de sua realidade, podem tomar a forma de pontos, linhas e ou polígonos
(CASANOVA, 2005).
14
caracterizada por áreas de cipoais, brejos, pedreiras, ou outros motivos que impedem a
mecanização e processo de colheita (Figura 5).
Figura 5 - Mapas das áreas restritas a instalação de pátios devido a áreas de preservação
permanente (APP) ou não operacionais.
As operações de manejo em floresta nativas respeitam a legislação como qualquer outra
atividade agrícola, sendo assim as áreas e faixas de exclusão foram demarcadas com a
ferramenta Buffer do ArcGIS. Nos cursos d’água foram criadas faixas com 30 metros para
cada lado, pois todos possuem menos de 10 metros de largura, e no caso das nascentes
uma faixa circular de 50 metros. Por se tratar de uma região de planície, não foi encontrada
nenhuma área de topo de morro. A soma de todas as áreas de preservação permanente e
não operacionais na UPA totalizou 285,86 hectares, aproximadamente 16% da área total.
3.2.3. Obtenção de áreas próximas a árvores remanescentes ou protegidas
Com a intenção de se diminuir ao máximo o impacto sobre a floresta, e os danos
causados as árvores remanescentes (Amarelo), matrizes (Laranjas) e protegidas
(Vermelhas), foi criado uma área de 20 metros no entorno de cada uma delas. Estas áreas,
foram consideradas como inaptas para construção de pátios preservando assim a
integridade destes indivíduos. Todas as áreas de proteção destas árvores totalizaram 1054
hectares, ou 59% da área total da UPA 04 (Figura 6).
15
Figura 6 - Mapas das áreas restritas a instalação de pátios devido a proximidade a árvores
remanescentes, protegidas ou matriz.
3.2.4. Alocação dos possíveis pátios na UPA
Para se determinar todos os locais aptos para a instalação de pátios de estocagem,
todos os shapes criados anteriormente, o de declividade, APP, árvores remanescentes ou
protegidas e áreas não operacionais foram retirados da área total da UPA, utilizando a
ferramenta Clip do software ArcGIS, restando assim apenas as áreas sem nenhuma das
restrições (Figura 7).
Figura 7 - Mapas com os possíveis pátios a serem instalados dentro da UPA 04.
16
Com as áreas já definidas, foi então criada uma malha de pontos de 25 x 25 metros
entre eles, pois os pátios em geral possuem uma dimensão de 20 x 25 metros,
possibilitando assim a sua construção em qualquer direção a partir do centroide
selecionado. A malha de pontos totalizou uma soma de 6.043 pontos, ou 3,39 pontos por
hectare.
3.2.5. Subdivisão das áreas de acordo com a hidrográfica local
Conforme pode ser observado na figura 8, as áreas da UPA 04, foram subdivididas
em áreas menores, usando como referência a hidrografia local, restringindo o arraste de
árvores passando por dentro da APP, em outras palavras, uma árvore só pode ser arrastada
para um pátio localizado na mesma subárea que ela. Outra vantagem na subdivisão da UPA,
foi a possibilidade de processar os dados em conjuntos menores, diminuindo assim o
número de variáveis por área e consequentemente o esforço computacional. No total a UPA
foi dividida em 19 subáreas, com 1.356,3 hectares de área liquida.
Figura 8 - Subdivisão da UPA 04 considerando a hidrografia local.
17
3.3. Modelo de programação inteira
Para otimização da localização dos pátios, foi utilizada a parametrização do problema
de P-mediana, adaptado dos trabalhos de MATINHAGO (2012), SILVA (2014) e SILVA
(2015), e visa encontrar receptores (medianas) em uma rede com n emissores (nós), tendo
como objetivo a diminuição da soma de todas as distancias euclidianas entre o receptor
(pátio) e os emissores (árvores). No modelo proposto também foram adicionadas duas
restrições como volume máximo de estocagem por pátio e número de pátios máximo por
subdivisão.
O problema de P-medianas, adaptado para o a criação de pátios de estocagem, pode ser
descrito da seguinte maneira:
Função objetivo:
𝑀𝑖𝑛𝑖𝑚𝑖𝑧𝑎𝑟: 𝑍 = ∑ ∑ 𝑑𝑖𝑗 𝐴𝑖𝑗
𝑁
𝑗=1
𝑁
𝑖=1 (1)
Restrições:
∑ 𝐴𝑖𝑗
𝑁
𝑗=1 = 1 ∀𝑖 (2)
∑ 𝑃𝑗
𝑁
𝑗=1 ≤ 𝑁𝑝 ∀𝑗 (3)
∑ 𝑣𝑖
𝑁
𝑖=1 𝐴𝑖𝑗 ≤ 𝑉𝑃𝑀𝐴𝑋 𝑗
𝑃𝑗 ∀𝑗 (4)
𝐴𝑖𝑗 − 𝑃𝑗 ≤ 0 ∀𝑗 (5)
𝐴𝑖𝑗 = {0; 1} ∀𝑖, ∀𝑗 (6)
𝑃𝑗 = {0; 1} ∀𝑗 (6)
Sendo:
i: são as árvores;
j: são os pátios;
𝐴𝑖𝑗: variável representando árvore i sendo direcionada para o pátio j;
𝑃𝑗: variável de abertura de pátio;
𝑑𝑖𝑗: distância entre a árvore i e o pátio j;
18
𝑁𝑝: número máximo de pátios na subdivisão;
𝑣𝑖: volume individual por árvore;
𝑉𝑃𝑀𝐴𝑋 𝑖𝑗
: capacidade máxima de volume de cada pátio.
A função objetivo é exibida pela equação (1), visa minimizar a soma das distancias. A
restrição (2), garante que a árvore será arrastada para apenas um pátio. A equação (3) limita
o número de pátios por subdivisão de áreas. A restrição de volume máximo por pátio é
apresentada em (4). A equação de número (5) obriga a ligação da árvore com seu respectivo
pátio. O conjunto de equações (6) é a restrição de variáveis Binárias do modelo.
O número de pátios que serão alocados por subdivisão da UPA está diretamente
relacionado a capacidade de estocagem destes. Em geral, o volume utilizado nos planos de
manejo é de 350 m³ e segundo SILVA (2015) mesmo em pátios quentes o volume não
ultrapassa o dobro de sua capacidade. Sendo assim o limite determinado para o estudo foi
de 700 m³ por pátios.
Desta forma, o máximo de pátios a serem instalados na UPA, é dado pela razão da
soma total do volume das árvores dentro da área pela capacidade máxima estipulada para
o pátio, como é demonstrado na equação 7.
𝑁𝑝 =
𝑉𝑜𝑙𝑢𝑚𝑒 𝑠𝑢𝑏á𝑟𝑒𝑎
𝑉𝑜𝑙𝑢𝑚𝑒 𝑃𝑀𝐴𝑋
(7)
3.3.1. Cenários de estudo
Com o objetivo de se testar mais de um modelo, foram propostos três cenários: No
primeiro cenário o modelo simulou o uso de “pátios quentes”, utilizando a restrição do
número máximo de pátios possíveis por subdivisão e limite de volume igual a 700 m³
(modelo base); no segundo cenário restringiu-se o número de pátios, de forma a igualar ao
real, sem restrição de volume máximo (modelo utilizado pela empresa) e no terceiro cenário
o número de pátios foi definido pela divisão da área total pela área de um círculo com 250
metros de raio, sendo a distância ótima de arraste do Skidder (modelo alternativo).
O processamento de dados dos cenários propostos, foi realizado em um computador
Intel®Core™ i5-6600K CPU @ 3.5 GHz, 8 gb de memória RAM e desenvolvido no Solver
LPSolver.
19
4. RESULTADOS E DISCUSSÃO
4.1. Análise geral da alocação dos pátios de estocagem pela distância euclidiana
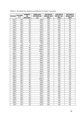
O processamento de dados no software LPSolver, foi feito separadamente dentro das
19 subdivisões, e uma vez para cada cenário proposto. O tempo total de processamento foi
de 10,3 horas, aproximadamente 3,8 horas para o cenário 1 e 3.2 horas para o cenário 2 e
3, sendo estes os mais rápidos. Foram avaliadas as combinações de 6.043 pátios possíveis
para um total de 3.517 árvores, totalizando 1.625.400 variáveis para toda UPA. O número
total de restrições formadas pelas equações somou 16.651.153.
Devido a subdivisão da UPA pela hidrografia, e o processamento separado, a busca
pela solução ótima do modelo proposto, reduziu o número de combinações possíveis,
agilizando o processo em tempo, sem perda da qualidade do resultado, sendo todos
factíveis. Os resultados de tempo quando comparados com MARTINHAGO (2012) foram
relativamente inferiores, não ultrapassando o tempo de processamento de 20 horas
estipulado no trabalho para a busca de uma solução exata.
O mesmo método de subdivisão de áreas foi utilizado por SILVA (2015), totalizando
em seu trabalho, um tempo de processamento, de aproximadamente 1 hora, porem para um
total de 1.340.176 variáveis e 1.334.091 restrições para o cenário com maior tempo de
processamento, encontrando soluções ótimas em tempo reduzido. O resumo das variáveis
e tempo de processamento para cada uma das subdivisões da UPA estão apresentadas na
Tabela 01.
20
Tabela 1 – Resumo das variáveis e tempo de processamento por cenários e subdivisões da UPA 04.
DIVISÃO
PÁTIOS
POSSIVEIS
ÁRVORES VARIÁVEIS RESTRIÇÕES
CENÁRIO 1 CENÁRIO 2 CENÁRIO 3
TEMPO (S) TEMPO (S) TEMPO (S)
A 51 42 2.142 2.236 0,4 0,4 0,3
B 556 583 324.148 325.288 2.586,2 4.464,9 4.394,9
C 425 401 170.425 171.252 979,2 1.225,0 1.195,0
D 174 159 27.666 28.000 23,4 42,7 39,5
E 923 339 312.897 28.000 5.658,9 3.037,4 2.995,4
F 645 310 199.950 314.160 1.242,7 1.051,5 1.020,5
G 161 72 11.592 200.906 0,7 0,7 0,7
H 78 43 3.354 3.476 0,7 0,6 0,6
I 392 162 63.504 64.059 175,8 139,9 137,9
J 489 291 142.299 143.080 845,7 704,7 708,7
K 245 131 32.095 32.472 57,3 48,5 50,1
L 454 152 69.008 69.615 148,6 151,1 155,1
M 426 362 154.212 155.001 1.599,4 632,2 642,2
N 307 160 49.120 49.588 349,4 87,7 89,5
O 196 72 14.112 14.381 27,8 9,6 8,9
P 142 50 7.100 7.293 2,2 1,6 1,8
Q 122 17 2.074 2.214 0,2 0,2 0,2
R 17 6 102 126 0,1 0,1 0,1
S 240 165 39.600 40.006 151,5 51,9 53,8
TOTAL 6.043 3.517 1.625.400 1.651.153 13.850,0 11.650,6 11.495,3
21
A tabela 2 apresenta o resultado das funções objetivo de cada cenário. Observa-se que
todos os cenários mostram uma redução da soma das distâncias euclidianas entre árvores e
pátios para todas as subdivisões da UPA 04 quando comparados ao realizado pela empresa
gestora. No total, observa-se uma redução de 101 km para o cenário 1, 66 km para o cenário
2 e 53 km para o cenário 3.
Este resultado, corrobora com trabalhos que utilizam a otimização para determinar a
localidade ótima para instalação dos pátios de estocagem. MARTINHAGO (2012) e
SILVA (2015), em seus estudos tiveram resultados positivos, porem variando a redução
com o presente trabalho, devido às restrições estudadas, como por exemplo distância
máxima entre árvore-pátio e volumes máximos de estocagem.
Tabela 2 - Resultado da função objetivo por cenário e subdivisões da UPA 04.
DIVISÃO
ÁREA
(ha)
FUNÇÃO OBJETIVO (km) CENÁRIO
REALCENÁRIO 1 CENÁRIO 2 CENÁRIO 3
A 10 5,4 5,4 5,4 5,5
B 154 72,6 92,7 92,7 111,2
C 126 59,4 68,1 68,1 69,4
D 49 18,0 28,0 28,0 27,4
E 187 57,8 53,9 50,2 63,1
F 119 43,1 56,0 50,7 67,8
G 27 10,8 13,9 13,9 14,3
H 10 4,8 4,8 4,8 5,5
I 75 26,7 26,7 26,7 28,0
J 112 42,0 42,0 46,0 50,9
K 48 19,7 19,7 24,8 21,1
L 80 23,5 23,5 23,5 25,4
M 158 56,6 51,0 60,8 58,2
N 69 34,2 27,3 27,3 27,8
O 30 12,9 12,9 12,9 13,4
P 19 8,4 5,5 8,4 6,1
Q 12 1,9 1,9 1,9 2,0
R 4 4,8 4,8 4,8 5,4
S 66 27,1 27,1 27,1 28,7
TOTAL: 1355 529,6 565,1 578,0 631,1
22
Analisando a redução da distância em nível de subdivisão notamos que quanto menor
é área consequentemente menor é o ajuste na distância, isso se deve ao menor número de
pátios a serem instalados como também a maior facilidade em se encontrar um centro ótimo
dentro das áreas. Este resultado pode ser notado nas subdivisões A, H, Q, R e S onde em
todos os cenários a distância se manteve constante (Tabela 2).
Tabela 3 - Número de pátios em cada subdivisão por cenário.
DIVISÃO
NÚMERO DE PÁTIOS
CENÁRIO
1
CENÁRIO
2
CENÁRIO
3
CENÁRIO
REAL
A 1 1 1 1
B 13 8 8 8
C 8 6 6 6
D 5 2 2 2
E 8 9 10 10
F 8 5 6 5
G 2 1 1 1
H 1 1 1 1
I 4 4 4 4
J 7 7 6 6
K 3 3 2 3
L 4 4 4 4
M 9 11 8 11
N 3 4 4 5
O 2 2 2 2
P 1 2 1 1
Q 1 1 1 1
R 1 1 1 1
S 3 3 3 3
TOTAL: 84 75 71 75
Os cenários 2 e 3 apresentaram resultados semelhantes em quase todas as subáreas com
exceção da E, F, J, K, M e P, onde houve uma variação no número total de pátios instalados
(Tabela 3). Nas áreas restantes o número de pátios foi o mesmo, consequentemente o local
ótimo de instalação também se repetiu. O cenário 1 possui uma maior diferença quando
comparado com os outros modelos, pois este possui um total de 84 pátios instalados, nove
a mais que o cenário 3 e o real, e doze a mais que o cenário 2 (Tabela 3).
23
4.2. Análise da utilização dos pátios quanto ao volume
A análise por cenário nos proporciona ainda uma visão mais detalhada sobre a
utilização de cada pátio. Para isto, foram utilizados três intervalos para volume, sendo o
abaixo de 150 m³, representando pátios com baixa utilização; de 150 m³ a 350 m³, pátios
próximos ou com sua utilização máxima e o intervalo com volume acima de 350m³ para
pátios quentes, ou seja, onde o transporte de madeira para o pátio B é feito
concomitantemente com o arraste de toras para o pátio A.
O cenário 1, com o maior número de pátios instalados apresentou uma melhoria na
distribuição de volumes entre os pátios, reduzindo o número de pátios com menos de 150
m³ de madeira estocada quando comparado com o cenário real. Porem com menor número
de pátios com sua utilização máxima ou acima dela, quando comparado com os cenários
2 e 3 (Tabela 4).
O cenário 2, onde foi utilizado o mesmo número de pátios que no cenário realizado,
notamos um aumento do número de pátios com utilização acima de sua capacidade
máxima, ou seja, um maior número de pátios quentes. O número de pátios com baixa
utilização, abaixo de 150 m³, também foi reduzido, porem comparando o cenário 2 com o
1 vemos que a subdivisão P, possui um pátio a mais e com sua capacidade bem baixa
(Tabela 4).
O cenário 3, em que foram instalados 71 pátios, apresentou a maior porcentagem de
pátios quentes, com 43 pátios com volume superior à sua capacidade máxima, em relação
a pátios com utilização abaixo de 150 m³ foi o que apresentou a menor porcentagem
quando comparado com os outros três cenários (Tabela 4).
Para o cenário real observa-se que foram abertos um valor superior de pátios com
sua utilização abaixo dos 150 m³, ao se comparar com os cenários otimizados pelo modelo.
Além disso notasse que mais da metade dos pátios tem sua utilização no intervalo médio,
e 40% dos pátios com utilização acima da capacidade máxima (Tabela 4).
Comparando os três cenários com o realizado, podemos notar que todos
apresentaram melhorias quanto redução de número de pátios com baixa utilização de sua
capacidade máxima, com destaque para o cenário 3 que apresentou mais de 97% de seus
pátios com volume acima de 150 m³, seguido do cenário 2 e 1 (Tabela 4).
24
Tabela 4 - Análise da distribuição de volumes por subdivisão da UPA04 em cada um dos cenários.
DIVISÃO
NÚMERO DE PÁTIOS VOLUME MENOR QUE 150 m³ VOLUME ENTRE 150-350 m³ VOLUME MAIOR QUE 350 m³
CENÁRIO
1
CENÁRIO
2
CENÁRIO
3
CENÁRIO
REAL
CENÁRIO
1
CENÁRIO
2
CENÁRIO
3
CENÁRIO
REAL
CENÁRIO
1
CENÁRIO
2
CENÁRIO
3
CENÁRIO
REAL
CENÁRIO
1
CENÁRIO
2
CENÁRIO
3
CENÁRIO
REAL
A 1 1 1 1 0% 0% 0% 0% 100% 100% 100% 100% 0% 0% 0% 0%
B 13 8 8 8 8% 0% 0% 13% 38% 13% 13% 13% 54% 88% 88% 75%
C 8 6 6 6 0% 0% 0% 0% 63% 17% 17% 33% 38% 83% 83% 67%
D 5 2 2 2 0% 0% 0% 0% 60% 0% 0% 0% 40% 100% 100% 100%
E 8 9 10 10 0% 0% 0% 10% 50% 67% 80% 80% 50% 33% 20% 10%
F 8 5 6 5 0% 0% 0% 0% 50% 0% 17% 20% 50% 100% 83% 80%
G 2 1 1 1 0% 0% 0% 0% 50% 0% 0% 0% 50% 100% 100% 100%
H 1 1 1 1 0% 0% 0% 0% 100% 100% 100% 100% 0% 0% 0% 0%
I 4 4 4 4 25% 25% 25% 0% 0% 0% 0% 50% 75% 75% 75% 50%
J 7 7 6 6 0% 0% 0% 0% 71% 71% 50% 67% 29% 29% 50% 33%
K 3 3 2 3 0% 0% 0% 0% 33% 33% 0% 33% 67% 67% 100% 67%
L 4 4 4 4 0% 0% 0% 0% 25% 25% 25% 75% 75% 75% 75% 25%
M 9 11 8 11 0% 0% 0% 9% 67% 82% 38% 82% 33% 18% 63% 9%
N 3 4 4 5 0% 0% 0% 20% 33% 75% 75% 60% 67% 25% 25% 20%
O 2 2 2 2 0% 0% 0% 0% 50% 50% 50% 50% 50% 50% 50% 50%
P 1 2 1 1 0% 50% 0% 0% 0% 50% 0% 100% 100% 0% 100% 0%
Q 1 1 1 1 0% 0% 0% 0% 100% 100% 100% 100% 0% 0% 0% 0%
R 1 1 1 1 100% 100% 100% 100% 0% 0% 0% 0% 0% 0% 0% 0%
S 3 3 3 3 0% 0% 0% 0% 33% 33% 33% 33% 67% 67% 67% 67%
TOTAL: 84 75 71 75 4% 4% 3% 7% 49% 44% 37% 53% 48% 52% 61% 40%
25
4.3. Análise da utilização dos pátios quanto ás distâncias euclidianas
A comparação da distância euclidiana por cenário foi feita em duas classes, sendo a
primeira abaixo 250 m, para indivíduos dentro do raio ótimo de arraste para o Skidder, e
acima de 250 m para indivíduos arrastados acima da distância operacional ótima.
No cenário 1, analisando a soma das distancias euclidianas, verificamos que a classe
abaixo de 250 metros totalizou mais de 90%, representando assim que ás árvores em sua
maioria estão dentro da distância operacional ótima do Skidder. Sendo a subdivisão N com
a maior porcentagem de árvores acima de 250 metros, porém ainda assim com mais de
50% dentro do intervalo ideal (Tabela 5).
Na tabela 5, notamos também uma diminuição de aproximadamente 66 km entre o
cenário 2 e o cenário real, que utiliza o mesmo número de pátios, e um aumento no total
de árvore dentro do raio ótimo de ação do Skidder, de 81% no cenário realizado para 88%.
Comparando com o cenário 1, a soma das distancias foram maiores nas subdivisões em
que os números de pátios instalados foram menores.
Comparando as distancias entre as árvores e seus respectivos pátios, o cenário 3 foi
o que apresentou a menor redução quando comparado com o realizado pela empresa
responsável pelo manejo, mas ainda assim alcançando o valor de 53 km a menos. As
distancias em muitas subdivisões foram semelhantes ao cenário 3, onde a quantidade de
pátios era a mesma, porem onde o número de pátios era menor a distância euclidiana foi
maior, mas em compensação a utilização em estocagem de madeira foi melhor (Tabela 5).
26
Tabela 5 - Análise das distâncias euclidianas em cada subdivisão e por cenário.
DIVISÃO
SOMA DAS DISTÂNCIAS ÁRVORE-PÁTIO (m) DISTÂNCIAS ÁRVORE-PÁTIO MENOR QUE 250 m DISTÂNCIAS ÁRVORE-PÁTIO MAIOR QUE 250 m
CENÁRIO 1 CENÁRIO 2 CENÁRIO 3
CENÁRIO
REAL
CENÁRIO 1 CENÁRIO 2 CENÁRIO 3
CENÁRIO
REAL
CENÁRIO 1 CENÁRIO 2 CENÁRIO 3
CENÁRIO
REAL
A 5.406 5.406 5.406 5.406 100% 100% 100% 100% 0% 0% 0% 0%
B 72.598 92.728 92.728 92.728 98% 87% 87% 76% 2% 13% 13% 24%
C 59.391 68.080 68.080 68.080 92% 85% 85% 83% 8% 15% 15% 17%
D 18.015 27.984 27.984 27.984 99% 84% 84% 86% 1% 16% 16% 14%
E 57.779 53.863 50.243 50.243 83% 89% 93% 76% 17% 11% 7% 24%
F 43.145 56.040 50.726 50.726 94% 81% 89% 59% 6% 19% 11% 41%
G 10.819 13.892 13.892 13.892 86% 76% 76% 72% 14% 24% 24% 28%
H 4.780 4.780 4.780 4.780 100% 100% 100% 100% 0% 0% 0% 0%
I 26.706 26.706 26.706 26.706 86% 86% 86% 83% 14% 14% 14% 17%
J 42.014 42.014 45.991 45.991 93% 93% 88% 86% 7% 7% 12% 14%
K 19.677 19.677 24.810 24.810 90% 90% 74% 89% 10% 10% 26% 11%
L 23.491 23.491 23.491 23.491 93% 93% 93% 95% 7% 7% 7% 5%
M 56.649 51.011 60.835 60.835 90% 94% 87% 87% 10% 6% 13% 13%
N 34.203 27.313 27.313 27.313 66% 82% 82% 82% 34% 18% 18% 18%
O 12.860 12.860 12.860 12.860 85% 85% 85% 78% 15% 15% 15% 22%
P 8.393 5.505 8.393 8.393 76% 94% 76% 94% 24% 6% 24% 6%
Q 1.856 1.856 1.856 1.856 100% 100% 100% 100% 0% 0% 0% 0%
R 412 412 412 412 100% 100% 100% 100% 0% 0% 0% 0%
S 27.088 27.088 27.088 27.088 83% 83% 83% 87% 17% 17% 17% 13%
TOTAL: 525.281 560.703 573.592 626.114 90% 88% 87% 81% 10% 12% 13% 19%
27
Quando comparadas as distancias euclidiana entre as árvores e pátios dos cenários
e o realizado pela empresa, as distâncias reais são superiores em todas as subdivisões,
quando comparado com todos os cenários, porem se concentrando em uma distância
inferior a 250 metros, com apenas 19% das árvores a uma distância superior a distância
ótima estipulada pela empresa. O número de árvores varia com relação aos cenários
estudados, pois esta estão relacionadas aos pátios, e não a subdivisão utilizada no estudo,
que não foi considerada na época de execução da instalação dos pátios pela empresa
(Tabela 5).
Sendo assim, o cenário 1 foi o que apresentou a maior diminuição da soma das
distancias euclidianas entre os cenários, com 100 km a menos que o cenário realizado,
porem com o maior número de pátios, entre todos os comparados.
5. CONCLUSÃO
A partir da análise dos resultados obtidos no presente trabalho, podemos confirmar
que com o uso de ferramentas de programação linear, é possível reduzir as distâncias
euclidianas entre os pátios de estocagem dentro da floresta e as respectivas árvores dentro
de sua área de atuação, sendo uma ferramenta útil na tomada de decisão, durante
realização do microplanejamento da operação de manejo.
O cenário 2, demonstrou o ganho do uso da técnica de otimização matemática, pois
por possuir o mesmo número de pátios instalados no cenário real, este resultou em uma
menor soma das distancias euclidianas e uma melhor utilização dos pátios de estocagem
com relação ao volume alocado.
Contudo, o cenário 3 apesar de ter apresentado a menor redução das distâncias entre
eles, se mostra como a melhor alternativa, pois a partir de dados do censo e da área liquida
da UPA, após o microzoneamento, é possível estimar o número de pátios necessários,
evitando assim a abertura de pátios que irão ter uma subutilização de seu volume.
Como futuros trabalhos sugiro uma análise econômica, onde a função objetivo vise
minimizar os custos, levando em consideração desde os custos de abertura de pátios,
estradas secundárias e principais, assim como o custo de arraste e o valor de retorno
previsto para tora, para embasar a definição de qual é o melhor cenário.
28
REFERENCIA
AMARAL, P.; VERÍSSIMO, A.; BARRETO, P.; VIDAL, E. Floresta para Sempre: um
Manual para Produção de Madeira na Amazônia. Belém: Imazon, 1998.
AMATA S.A. – Plano de Manejo Florestal Sustentável – São Paulo, 2015.
ARAKAKI, R. G. I. - Heurística de localização-alocação para problemas de localização de
facilidades – INPE, São José dos Campos, 2003.
AUGUSTYNCZIK, A. L. D.; ARCE, J. E.; SILVA, A. C. L. - Planejamento espacial da
colheita considerando áreas máximas operacionais – Tese - UFPR, Curitiba, 2015.
BARRETO, P. et al. – Costs and benefits of forest management for timber production in eastern
Amazonia. Forest Ecology Management, Amsterdam, 1998.
BOLTZ, F.; HOLMES, P. T.; CARTER, D. R. – Economic and environmental impacts of
conventional and reduced-impact logging in Tropical Soth America: a comparative review.
Forest Policy and Economics, Amsterdam, 2003.
BRASIL. Instrução Normativa nº 4, de 4 de março de 2002. Diário Oficial da República
Federativa do Brasil, Brasília, DF, 7 mar. 2002.
BRASIL. Instituto Brasileiro do Meio Ambiente e Recursos Hídricos (IBAMA). Norma de
execução n.º 1, de 24 abril de 2007.Diário Oficial da República Federativa do Brasil,
Brasília, DF, n. 238, 13 dez, 2007. Seção 1, p. 155-188.
BRASIL. Instrução normativa nº 5, de 11 de dezembro de 2006. Diário Oficial da República
Federativa do Brasil, Brasília, DF, 13 de dezembro de 2006.
BRASIL. Resolução Nº 406, de 02 de fevereiro de 2009. Diário Oficial da República
Federativa do Brasil, Brasília, DF, n. 26, 06 de fev. 2009, p. 100.
BRASIL. Lei nº 12.651, de 25 de maio de 2012.DiárioBRASIL, Lei 9.985, Sistema Nacional
de Unidades de Conservação (SNUC), de 18 de julho de 2002, art. 17.
BRAZ, E. M.; CARNIERI, C. ARCE, J. E. - Um modelo otimizador para organização dos
compartimentos de exploração em floresta tropical – UFV, Viçosa, 2004.
CAMARA, G. et al. Anatomia de sistemas de informação geográfica. UNICAMP,
Campinas, 1998.
29
CARIELLO, R. V. - Considerações sobre a exploração florestal de impacto reduzido – Tese -
UFRJ, Seropédica, 2008.
CARRARA, C. M. – Uma Aplicação do SIG para a localização e alocação de terminais
logísticos em áreas urbanas congestionadas – Tese - USP, São Carlos, 2007
CASANOVA, M. A. et al. – Banco de dados geográficos. MundoGeo, Curitiba, 2005.
CASTRO, T. N. – Comparação de diferentes formas de colheita florestal na Amazônia
brasileira através da modelagem da produção e do crescimento – Tese - ESALQ, Piracicaba,
2016.
CASTRO, T. N. – Modelagem do crescimento e produção aplicado ao manejo florestal na
Amazônia brasileira – Tese - ESALQ, Piracicaba, 2016.
CHUN, W.; STUCKELBERGER, J.; ARUGA, K.; CUNDY, T. W. – Forest road network
design using a trade-off analysis between skidding and road construction costs. – Canada, NRC
Canada – 2008.
CHURCH, R. L. BEAMR: An exact and approximate model for the p-median problem.
Computers & Operations Research, v. 35, n. 2, p. 417–426, 2008.
EMBRAPA. Sistema Brasileiro de Classificação de Solos. Rio de Janeiro: EMBRAPA Solos,
2ª edição, Destrito Federal, 2006.
HOLMES, T.P.; BLATE, G. M.; ZWEEDE, J. C.; PEREIRA JR., R.; BARRETO, P.; BOLTZ,
F. Custos e benefícios financeiros da exploração de impacto reduzido em comparação à
exploração convencional na Amazônia Oriental. Fundação Floresta Tropical/Instituto
Floresta Tropical. Belém: IFT, Belém, 2002.
INSTITUTO FLORESTA TROPICAL. Manejo de Florestas Naturais da Amazônia –
Belém, 2011.
INSTITUTO FLORESTA TROPICAL. Manejo Florestal e Exploração de Impacto
Reduzido em Florestas Naturais de Produção da Amazônia – Belém, 2011.
INSTITUTO FLORESTA TROPICAL. As concessões de florestas públicas na Amazônia
Brasileira: A Lei de Gestão de Florestas Públicas e o panorama das concessões florestais na
Amazônia Brasileira. Informativo Técnico do IFT 2. IFT. Belém: IFT, 2012.
INSTITUTO FLORESTA TROPICAL. Manual de procedimentos técnicos para condução
de manejo florestal e exploração de impacto reduzido - IFT. Belém: IFT, 2002.
30
LENTINI, M.; VERISSIMO, A.; SOBRA, L. – Fatos florestais da Amazonia. IMAZON,
Belém, 2003.
MAPA, S. M. S. - Localização-alocação de instalações com sistema de informações
geográficas e modelagem matemática – Tese - UFI, Itajubá, 2007.
MARTINHAGO, A. Z. – Otimização para a locação de pátios de estocagem para exploração
de impacto reduzido na Amazônia brasileira – Tese - UFLA, Lavras, 2012.
MARTINS, F. A. S. – Introdução à pesquisa operacional – UNESP, São Paulo, 2011.
MLADENOVIĆ, N. et. al. – The p-median problem: a survey of metaheuristic approaches.
European Journal of Operational Research. Amsterdam, 2007
MMA/IBAMA. Plano de Manejo da Floresta Nacional do Jamari – Brasilia, 2005.
PHILIPPART, J.; MINGHE, S.; DOUCET, J. L.; LEJEUNE, P. - Mathematical formulation
and exact solution for landing location problem in tropical forest selective logging, a case study
in Southeast Cameroon – Journal of Forest Economics, 2012.
PIZZOLATO, N. D.; BARROS, A. G.; BARCELOS, F. B.; CANEN, A. C. - Avaliação da
localização de escolas com modelos capacitado e não-capacitado e uso de uma ferramenta GIS:
Estudo de caso de Vitória/ES - Pesquisa Operacional, Vitória, 1997.
PUTZ, F.E.; SIST, P.; FREDERICKSEN, T.; DYKSTRA, D. - Reduced-impact logging:
Challenges and opportunities - Forest Ecology and Management 256, 2008.
SABOGAL, C.- Manejo florestal empresarial na Amazônia brasileira - CIFOR, Belém, 2006.
SFB - Florestas do Brasil em resumo - 2013: dados de 2007-2012. Serviço Florestal
Brasileiro. – Brasília: SFB, 2013.
SILVA, P. H. - Desenvolvimento de modelo para alocação ótima de pátios de estocagem de
madeira - Tese - UFLA, Lavras, 2014.
SILVA, E. F - Alocação de pátios de estocagem em planos de manejo na Amazônia por meio
de programação matemática – Tese - UFES, Vitória, 2015.
SOUZA, S. F.; GRZEBIELICKAS, C. - Análise comparativa dos custos do manejo florestal e
da exploração seletiva ilegal: um estudo na Fazenda Valério Neto em Novo Progresso-PA -
XXXI Encontro nacional de engenharia de produção, Belo Horizonte, 2011.
TAHA, H. A – Pesquisa operacional: Uma visão geral – São Paulo, 2007.
VERÍSSIMO, A.; BARRETO, P.; MATTOS, M.; TARIFA, R. & UHL, C. Logging impacts
and prospects for sustainable forest management in an old Amazon frontier the case of
Paragominas. Forest Ecology and Management 55 169-199, 1992.
31
APÊNDICES
Figura 9 - Localização das árvores em relação ao seu respectivo pátio de estocagem, no cenário
1.
32
Tabela 6 - Resultado das distâncias euclidianas do cenário 1 por pátio.
PÁTIOS
VOLUME
(m³)
NÚMERO
DE
ÁRVORES
SOMA DAS
DISTÂNCIAS
(m)
DISTÂNCIA
MENOR QUE
100m
DISTÂNCIA
ENTRE 100 -
250m
DISTÂNCIA
MAIOR QUE
250m
5107 275 42 5406 29% 71% 0%
5292 236 36 4357 36% 61% 3%
5226 450 62 7442 29% 71% 0%
5160 356 43 5206 30% 70% 0%
3943 219 31 3095 52% 48% 0%
5172 425 47 6190 19% 81% 0%
5287 546 69 8154 41% 59% 0%
5344 570 68 7872 47% 51% 1%
5355 285 40 5062 38% 63% 0%
5426 353 45 6207 27% 67% 7%
5484 297 44 6530 18% 82% 0%
5281 324 48 6560 25% 67% 8%
5470 436 43 5449 37% 58% 5%
5505 31 7 474 86% 14% 0%
5760 499 75 13385 17% 64% 19%
5806 282 48 6763 27% 73% 0%
5669 522 66 10964 14% 76% 11%
5723 442 65 10132 31% 58% 11%
5822 345 39 4851 28% 69% 3%
5965 253 40 5100 28% 70% 3%
5960 201 30 3338 57% 43% 0%
5886 228 38 4858 37% 61% 3%
1411 367 35 4814 26% 74% 0%
1420 435 42 3965 60% 40% 0%
1472 290 29 3346 55% 38% 7%
1459 242 31 3510 45% 55% 0%
1457 162 22 2379 45% 55% 0%
3348 206 24 3479 33% 54% 13%
3315 416 51 8359 18% 71% 12%
3146 255 31 4692 26% 65% 10%
3487 299 40 6713 23% 63% 15%
3680 436 45 8175 22% 51% 27%
3392 524 65 13045 8% 65% 28%
3700 340 43 6569 26% 67% 7%
3903 403 40 6748 15% 73% 13%
2832 377 41 6803 15% 73% 12%
2948 370 44 6343 18% 80% 2%
2565 313 43 5837 40% 49% 12%
2440 252 27 2469 70% 22% 7%
2978 371 47 7484 28% 66% 6%
2965 524 57 8627 23% 70% 7%
3047 303 29 3235 45% 55% 0%
2559 159 22 2348 55% 45% 0%
1309 400 44 7893 20% 57% 23%
1341 251 28 2926 46% 54% 0%
2360 330 43 4780 53% 47% 0%
891 143 19 1613 63% 37% 0%
33
PÁTIOS
VOLUME
(m³)
NÚMERO
DE
ÁRVORES
SOMA DAS
DISTÂNCIAS
(m)
DISTÂNCIA
MENOR QUE
100m
DISTÂNCIA
ENTRE 100 -
250m
DISTÂNCIA
MAIOR QUE
250m
919 428 52 9142 10% 73% 17%
934 390 41 6683 24% 63% 12%
1108 456 50 9268 16% 68% 16%
4173 333 44 6122 30% 70% 0%
4307 437 42 7126 21% 69% 10%
4089 325 52 7112 35% 54% 12%
4035 373 44 6588 14% 82% 5%
4416 304 45 6157 36% 56% 9%
4179 298 33 4621 36% 52% 12%
4470 262 31 4289 26% 74% 0%
2144 380 43 6515 21% 67% 12%
2228 294 35 4709 34% 63% 3%
2315 441 53 8452 30% 57% 13%
1701 391 47 7617 15% 81% 4%
1987 393 38 6835 13% 68% 18%
1872 374 34 4657 32% 65% 3%
1902 228 33 4382 30% 70% 0%
629 345 36 5767 19% 69% 11%
347 457 39 6729 15% 69% 15%
481 305 30 5106 13% 73% 13%
296 187 27 4355 26% 59% 15%
337 326 52 7777 23% 67% 10%
267 396 46 7528 24% 67% 9%
429 266 37 5968 32% 43% 24%
477 310 43 6015 23% 77% 0%
560 489 52 7404 29% 67% 4%
4892 261 34 5235 26% 59% 15%
4752 491 64 13593 17% 50% 33%
4866 414 62 15375 11% 42% 47%
4525 493 49 8373 18% 69% 12%
4621 224 23 4487 4% 74% 22%
712 362 50 8393 32% 44% 24%
1606 191 17 1856 47% 53% 0%
1640 60 6 412 100% 0% 0%
126 482 74 13749 18% 57% 26%
183 502 63 10703 16% 70% 14%
193 214 28 2636 43% 57% 0%
34
Figura 10 - Localização das árvores em relação ao seu respectivo pátio de estocagem, no
cenário 2.
35
Tabela 7 - Resultado das distâncias euclidianas do cenário 2 por pátio.
PÁTIOS
VOLUME
(m³)
NÚMERO
DE
ÁRVORES
SOMA DAS
DISTÂNCIAS (m)
DISTÂNCIA
MENOR QUE
100m
DISTÂNCIA
ENTRE 100 -
250m
DISTÂNCIA
MAIOR QUE
250m
5107 275 42 5406 29% 71% 0%
5296 585 84 13749 20% 67% 13%
5245 707 92 13184 25% 70% 5%
3999 825 101 17220 19% 66% 15%
5281 439 63 10177 19% 62% 19%
5344 763 88 12488 36% 56% 8%
5426 452 65 13253 18% 49% 32%
5467 321 47 7209 19% 77% 4%
5470 436 43 5449 37% 58% 5%
5760 499 75 13385 17% 64% 19%
5806 310 53 8045 25% 68% 8%
5669 524 67 11260 13% 75% 12%
5723 529 77 13698 26% 48% 26%
5935 547 72 12271 17% 68% 15%
5918 361 57 9420 14% 81% 5%
1445 608 69 13768 22% 49% 29%
1441 887 90 14216 20% 73% 7%
3348 206 24 3479 33% 54% 13%
3315 403 50 8026 18% 72% 10%
3146 255 31 4692 26% 65% 10%
3487 299 40 6713 23% 63% 15%
3483 357 41 7027 20% 61% 20%
3351 306 36 5503 22% 72% 6%
3700 340 43 6569 26% 67% 7%
3691 321 36 5649 22% 64% 14%
3903 391 38 6205 16% 76% 8%
2928 440 60 10525 23% 60% 17%
2976 747 82 17047 9% 63% 28%
2629 416 47 7616 19% 68% 13%
2478 452 55 9557 15% 71% 15%
2983 614 66 11294 23% 59% 18%
1324 651 72 13892 11% 65% 24%
2360 330 43 4780 53% 47% 0%
891 143 19 1613 63% 37% 0%
919 428 52 9142 10% 73% 17%
934 390 41 6683 24% 63% 12%
1108 456 50 9268 16% 68% 16%
4173 333 44 6122 30% 70% 0%
4307 437 42 7126 21% 69% 10%
4089 325 52 7112 35% 54% 12%
36
PÁTIOS
VOLUME
(m³)
NÚMERO
DE
ÁRVORES
SOMA DAS
DISTÂNCIAS (m)
DISTÂNCIA
MENOR QUE
100m
DISTÂNCIA
ENTRE 100 -
250m
DISTÂNCIA
MAIOR QUE
250m
4035 373 44 6588 14% 82% 5%
4416 304 45 6157 36% 56% 9%
4179 298 33 4621 36% 52% 12%
4470 262 31 4289 26% 74% 0%
2144 380 43 6515 21% 67% 12%
2228 294 35 4709 34% 63% 3%
2315 441 53 8452 30% 57% 13%
1701 391 47 7617 15% 81% 4%
1987 393 38 6835 13% 68% 18%
1872 374 34 4657 32% 65% 3%
1902 228 33 4382 30% 70% 0%
579 263 29 5126 21% 69% 10%
459 298 27 4080 26% 70% 4%
296 187 27 4355 26% 59% 15%
337 323 51 7436 24% 69% 8%
267 396 46 7528 24% 67% 9%
346 349 28 3863 21% 75% 4%
405 201 25 3960 20% 68% 12%
618 299 31 3548 42% 58% 0%
432 210 28 2999 43% 54% 4%
452 198 27 2981 37% 63% 0%
539 359 43 5135 37% 63% 0%
4892 239 31 4255 29% 65% 6%
4752 472 62 12828 18% 52% 31%
4778 278 40 6242 30% 55% 15%
4987 177 27 3988 30% 63% 7%
4525 493 49 8373 18% 69% 12%
4621 224 23 4487 4% 74% 22%
718 285 38 4451 53% 39% 8%
679 77 12 1055 50% 50% 0%
1606 191 17 1856 47% 53% 0%
1640 60 6 412 100% 0% 0%
126 482 74 13749 18% 57% 26%
183 502 63 10703 16% 70% 14%
193 214 28 2636 43% 57% 0%
37
Figura 11 - Localização das árvores em relação ao seu respectivo pátio de estocagem, no
cenário 3.
38
Tabela 8 - Resultado das distâncias euclidianas do cenário 3 por pátio.
PÁTIOS
VOLUME
(m³)
NÚMERO DE
ÁRVORES
SOMA DAS
DISTÂNCIAS (m)
DISTÂNCIA
MENOR QUE
100m
DISTÂNCIA
ENTRE 100 -
250m
DISTÂNCIA
MAIOR QUE
250m
5107 275 42 5406 29% 71% 0%
5296 585 84 13749 20% 67% 13%
5245 707 92 13184 25% 70% 5%
3999 825 101 17220 19% 66% 15%
5281 439 63 10177 19% 62% 19%
5344 763 88 12488 36% 56% 8%
5426 452 65 13253 18% 49% 32%
5467 321 47 7209 19% 77% 4%
5470 436 43 5449 37% 58% 5%
5760 499 75 13385 17% 64% 19%
5806 310 53 8045 25% 68% 8%
5669 524 67 11260 13% 75% 12%
5723 529 77 13698 26% 48% 26%
5935 547 72 12271 17% 68% 15%
5918 361 57 9420 14% 81% 5%
1445 608 69 13768 22% 49% 29%
1441 887 90 14216 20% 73% 7%
3266 237 29 3474 45% 52% 3%
3348 183 21 2632 38% 62% 0%
3146 235 31 4651 26% 65% 10%
3418 310 38 5699 24% 66% 11%
3487 287 36 5587 25% 67% 8%
3482 237 31 4131 26% 71% 3%
3351 292 33 4940 24% 73% 3%
3700 340 43 6569 26% 67% 7%
3691 365 39 6355 21% 67% 13%
3903 391 38 6205 16% 76% 8%
2929 460 64 11789 19% 61% 20%
2938 403 48 7384 15% 79% 6%
2629 416 47 7616 19% 68% 13%
2478 452 55 9557 15% 71% 15%
2964 601 63 10282 21% 73% 6%
3027 337 33 4098 30% 70% 0%
1324 651 72 13892 11% 65% 24%
2360 330 43 4780 53% 47% 0%
891 143 19 1613 63% 37% 0%
919 428 52 9142 10% 73% 17%
934 390 41 6683 24% 63% 12%
1108 456 50 9268 16% 68% 16%
4188 338 45 6384 24% 76% 0%
39
PÁTIOS
VOLUME
(m³)
NÚMERO DE
ÁRVORES
SOMA DAS
DISTÂNCIAS (m)
DISTÂNCIA
MENOR QUE
100m
DISTÂNCIA
ENTRE 100 -
250m
DISTÂNCIA
MAIOR QUE
250m
4307 457 45 8110 20% 64% 16%
4089 325 52 7112 35% 54% 12%
4035 373 44 6588 14% 82% 5%
4417 543 73 13440 15% 62% 23%
4179 295 32 4359 38% 53% 9%
2173 630 68 13203 15% 62% 24%
2315 484 63 11607 25% 46% 29%
1701 391 47 7617 15% 81% 4%
1987 393 38 6835 13% 68% 18%
1872 374 34 4657 32% 65% 3%
1902 228 33 4382 30% 70% 0%
629 348 37 6272 19% 68% 14%
413 568 49 9904 10% 59% 31%
296 187 27 4355 26% 59% 15%
337 399 57 8912 21% 68% 11%
267 418 49 8485 22% 63% 14%
422 295 36 6829 19% 61% 19%
462 376 54 8572 15% 81% 4%
560 490 53 7505 28% 68% 4%
4892 239 31 4255 29% 65% 6%
4752 472 62 12828 18% 52% 31%
4778 278 40 6242 30% 55% 15%
4987 177 27 3988 30% 63% 7%
4525 493 49 8373 18% 69% 12%
4621 224 23 4487 4% 74% 22%
712 362 50 8393 32% 44% 24%
1606 191 17 1856 47% 53% 0%
1640 60 6 412 100% 0% 0%
126 482 74 13749 18% 57% 26%
183 502 63 10703 16% 70% 14%
193 214 28 2636 43% 57% 0%
40
Figura 12 - Localização das árvores em relação ao seu respectivo pátio de estocagem, no
cenário real.
41
Tabela 9 - Resultado das distâncias euclidianas do cenário real por pátio.
PÁTIOS
VOLUME
(m³)
NÚMERO DE
ÁRVORES
SOMA DAS
DISTÂNCIAS (m)
DISTÂNCIA
MENOR QUE
100m
DISTÂNCIA
ENTRE 100 -
250m
DISTÂNCIA
MAIOR QUE
250m
S145-2 275 52 5476 36% 64% 0%
S141-1 339 51 8778 24% 55% 22%
S139-1 1058 136 26121 15% 57% 27%
S140-1 566 92 12982 16% 61% 23%
S144-1 377 46 7689 28% 54% 17%
S139-2 848 101 16565 19% 68% 13%
S143-1 588 86 20485 10% 56% 34%
S142-1 126 51 3219 21% 79% 0%
S139-3 627 70 15339 9% 56% 36%
S145-1 448 69 12592 13% 62% 25%
S147-1 306 51 8459 20% 75% 6%
S146-1 474 59 10839 19% 61% 20%
S148-1 502 73 12896 22% 52% 26%
S148-2 478 64 10575 27% 59% 14%
S147-2 313 48 7369 19% 73% 8%
S140-3 552 60 11053 15% 62% 23%
S140-2 723 76 12155 18% 75% 7%
S129-1 425 51 11933 6% 47% 47%
S126-1 114 27 2513 0% 75% 25%
S128-1 285 36 6686 19% 53% 28%
S129-2 273 35 5443 23% 69% 9%
S130-1 206 27 4108 22% 67% 11%
S130-2 323 38 7128 16% 63% 21%
S128-2 332 41 7697 10% 68% 22%
S131-1 349 44 8816 16% 52% 32%
S131-2 263 24 3801 29% 63% 8%
S131-3 308 31 4955 32% 52% 16%
S138-1 328 38 9660 5% 39% 55%
S137-4 403 57 9791 21% 63% 16%
S137-2 612 68 18291 12% 32% 56%
S138-2 622 76 17247 17% 30% 53%
S137-3 704 71 12842 20% 55% 25%
S137-1 651 72 14291 10% 63% 28%
S136-1 330 43 5489 35% 65% 0%
S124-1 300 43 5741 22% 72% 6%
S124-2 278 36 6627 22% 53% 25%
S124-3 372 38 5733 26% 63% 11%
S124-4 468 52 9856 17% 60% 23%
S123-1 611 82 16535 7% 65% 27%
S125-1 408 56 8995 25% 66% 9%
S127-1 168 15 2871 7% 73% 20%
42
PÁTIOS
VOLUME
(m³)
NÚMERO DE
ÁRVORES
SOMA DAS
DISTÂNCIAS (m)
DISTÂNCIA
MENOR QUE
100m
DISTÂNCIA
ENTRE 100 -
250m
DISTÂNCIA
MAIOR QUE
250m
S125-2 287 40 6346 23% 73% 5%
S123-2 318 37 6530 5% 81% 14%
S125-3 320 40 5968 18% 83% 0%
S134-1 383 42 6273 24% 64% 12%
S135-1 251 31 4990 23% 71% 6%
S135-2 480 58 9806 14% 72% 14%
S112-2 344 49 7020 21% 72% 7%
S113-1 208 24 3486 17% 83% 0%
S112-4 348 32 5343 16% 81% 3%
S112-3 486 53 9543 8% 85% 8%
S118-5 92 11 1433 27% 73% 0%
S114-1 300 25 4054 12% 84% 4%
S115-1 347 35 7455 9% 43% 49%
S110-2 188 27 3446 33% 67% 0%
S110-1 210 21 3271 33% 57% 10%
S112-1 309 42 5172 31% 69% 0%
S111-1 225 31 4284 32% 61% 6%
S114-2 229 27 4162 26% 70% 4%
S118-4 343 35 4985 26% 74% 0%
S118-3 564 67 12481 9% 73% 18%
S118-2 241 40 5806 37% 40% 23%
S121-1 140 29 2279 35% 65% 0%
S119-1 397 52 9867 23% 52% 25%
S120-1 156 23 3527 17% 70% 13%
S119-2 284 39 7615 3% 69% 28%
S119-3 189 29 4515 28% 66% 7%
S122-1 427 43 7070 16% 72% 12%
S122-2 263 28 6033 11% 54% 36%
S121-2 285 38 4683 45% 47% 8%
S132-1 191 17 1995 18% 82% 0%
S133-1 60 6 453 100% 0% 0%
S116-1 387 59 8901 29% 63% 8%
S117-1 268 38 6401 16% 79% 5%
S118-1 504 63 12474 11% 65% 24%
43
EXEMPLO PROGRAMAÇÃO LINEAR INTEIRA (LPSolve)
A programação linear inteira apresentada na página 50, com dados fictícios, foi a
mesmo utilizada no trabalho apresentado. Esta forma de apresentação da programação pode
ser replicada no programa LPSolve e adaptada para outros tipos de problemas de alocação e
localização. Para este exemplo utilizamos um total de 10 árvores, que deverão ser alocadas em
um único pátio entre cinco possíveis. O limite máximo de volume por pátio foi definido com
100 m³ e o número máximo de pátios a serem alocados igual a um.
Tabela 10: Distâncias fictícias entre árvores e pátios do exemplo.
DISTÂNCIAS ÁRVORES-PÁTIO EM METROS
Pátios
Árvores
1 2 3 4 5 6 7 8 9 10
1 102,9 104,0 119,6 72,0 47,4 55,0 90,4 8,0 55,2 123,2
2 135,6 135,9 89,0 45,2 60,2 41,6 103,8 38,3 23,4 117,5
3 91,3 89,4 135,2 79,6 59,4 72,1 76,3 9,2 67,2 116,8
4 141,0 140,4 86,2 38,2 67,1 46,0 103,2 43,2 17,0 112,9
5 123,9 119,1 113,2 46,7 75,5 68,5 75,4 30,0 39,8 94,6
Este exemplo gerou 55 variáveis e 66 restrições, o tempo de processamento no
programa foi de 0.016 segundos. A função objetivo totalizou uma soma de 766,84 m entre as
árvores e o pátio selecionado número 02.
44
/*FUNÇÃO OBJETIVO*/
MIN:64.94A1P1+86.88A1P2+66.61A1P3+93.62A1P4+72.4A1P5+120.42A10P1+127.48A10P2+123.17A10P3
+128.69A10P4+95.9A10P5+46.67A2P1+67.2A2P2+46.75A2P3+74.4A2P4+67.98A2P5+45.65A3P1+33.02A3
P2+46.52A3P3+29.43A3P4+27.73A3P5+85.48A4P1+64.03A4P2+83.73A4P3+58.03A4P4+90.03A4P5+93.61
A5P1+84.4A5P2+90.79A5P3+84.38A5P4+115.75A5P5+87.69A6P1+80.62A6P2+84.86A6P3+81.44A6P4+111
.25A6P5+90.8A7P1+92.78A7P2+93.3A7P3+92.66A7P4+63.32A7P5+47.07A8P1+61.4A8P2+45.61A8P3+67.9
6A8P4+74.33A8P5+90.14A9P1+69.03A9P2+89.63A9P3+61.85A9P4+81.04A9P5;
/*RESTRIÇÃO DE ROTA UNICA*/
A1P1+A1P2+A1P3+A1P4+A1P5=1;
A2P1+A2P2+A2P3+A2P4+A2P5=1;
A3P1+A3P2+A3P3+A3P4+A3P5=1;
A4P1+A4P2+A4P3+A4P4+A4P5=1;
A5P1+A5P2+A5P3+A5P4+A5P5=1;
A6P1+A6P2+A6P3+A6P4+A6P5=1;
A7P1+A7P2+A7P3+A7P4+A7P5=1;
A8P1+A8P2+A8P3+A8P4+A8P5=1;
A9P1+A9P2+A9P3+A9P4+A9P5=1;
A10P1+A10P2+A10P3+A10P4+A10P5=1;
/*RESTRIÇÃO NUMERO TOTAL DE PÁTIOS*/
P1+P2+P3+P4+P5<=1;
/*RESTRIÇÃO VOLUME MAXIMO POR PÁTIOS*/
5 A1P1+6.3 A10P1+7 A2P1+3 A3P1+2.5 A4P1+4.2 A5P1+4 A6P1+3.3 A7P1+1.8 A8P1+6 A9P1<100;
5 A1P2+6.3 A10P2+7 A2P2+3 A3P2+2.5 A4P2+4.2 A5P2+4 A6P2+3.3 A7P2+1.8 A8P2+6 A9P2<100;
5 A1P3+6.3 A10P3+7 A2P3+3 A3P3+2.5 A4P3+4.2 A5P3+4 A6P3+3.3 A7P3+1.8 A8P3+6 A9P3<100;
5 A1P4+6.3 A10P4+7 A2P4+3 A3P4+2.5 A4P4+4.2 A5P4+4 A6P4+3.3 A7P4+1.8 A8P4+6 A9P4<100;
5 A1P5+6.3 A10P5+7 A2P5+3 A3P5+2.5 A4P5+4.2 A5P5+4 A6P5+3.3 A7P5+1.8 A8P5+6 A9P5<100;
/* RESTRIÇÃO DE LIGAÇÃO ÁRVORE-PÁTIO*/
A1P1-P1<=0;A1P2-P2<=0;A1P3-P3<=0;A1P4-P4<=0;A1P5-P5<=0;A10P1-P1<=0;A10P2-P2<=0;A10P3-
P3<=0;A10P4-P4<=0;A10P5-P5<=0;A2P1-P1<=0;A2P2-P2<=0;A2P3-P3<=0;A2P4-P4<=0;A2P5-
P5<=0;A3P1-P1<=0;A3P2-P2<=0;A3P3-P3<=0;A3P4-P4<=0;A3P5-P5<=0;A4P1-P1<=0;A4P2-P2<=0;A4P3-
P3<=0;A4P4-P4<=0;A4P5-P5<=0;A5P1-P1<=0;A5P2-P2<=0;A5P3-P3<=0;A5P4-P4<=0;A5P5-P5<=0;A6P1-
P1<=0;A6P2-P2<=0;A6P3-P3<=0;A6P4-P4<=0;A6P5-P5<=0;A7P1-P1<=0;A7P2-P2<=0;A7P3-P3<=0;A7P4-
P4<=0;A7P5-P5<=0;A8P1-P1<=0;A8P2-P2<=0;A8P3-P3<=0;A8P4-P4<=0;A8P5-P5<=0;A9P1-P1<=0;A9P2-
P2<=0;A9P3-P3<=0;A9P4-P4<=0;A9P5-P5<=0;
/*RESTRIÇÃO PATIOS BINARIA*/
Bin P1; Bin P2; Bin P3; Bin P4; Bin P5;
/*RESTRIÇÃO ARVORES BINARIA*/
Bin A1P1; Bin A2P1; Bin A3P1; Bin A4P1; Bin A5P1;
Bin A1P2; Bin A2P2; Bin A3P2; Bin A4P2; Bin A5P2;
Bin A1P3; Bin A2P3; Bin A3P3; Bin A4P3; Bin A5P3;
Bin A1P4; Bin A2P4; Bin A3P4; Bin A4P4; Bin A5P4;
Bin A1P5; Bin A2P5; Bin A3P5; Bin A4P5; Bin A5P5;
Bin A6P1; Bin A7P1; Bin A8P1; Bin A9P1; Bin A10P1;
Bin A6P2; Bin A7P2; Bin A8P2; Bin A9P2; Bin A10P2;
Bin A6P3; Bin A7P3; Bin A8P3; Bin A9P3; Bin A10P3;
Bin A6P4; Bin A7P4; Bin A8P4; Bin A9P4; Bin A10P4;
Bin A6P5; Bin A7P5; Bin A8P5; Bin A9P5; Bin A10P5;
/*FIM*/

Otimização da alocação de pátios no Manejo Florestal Sustentável na Flona do Jamari

  • 1.
    UNIVERSIDADE DE SÃOPAULO Escola Superior de Agricultura “Luiz de Queiroz” Departamento de Ciências Florestais Otimização da alocação de pátios no Manejo Florestal Sustentável na Flona do Jamari Tiê Mendes Tavares Piracicaba, 14 de dezembro de 2016 Trabalho de Conclusão de Curso em Engenharia Florestal apresentado como parte das exigências para conclusão do Curso de Engenharia Florestal
  • 2.
    Tiê Mendes Tavares Graduandoem Engenharia Florestal Otimização da alocação de pátios no Manejo Florestal Sustentável na Flona do Jamari Orientador: Prof. Dr. Luiz Carlos Estraviz Rodrigues Piracicaba 2016 Trabalho de Conclusão de Curso em Engenharia Florestal apresentado como parte das exigências para conclusão do Curso de Engenharia Florestal
  • 3.
    I AGRADECIMENTOS Agradeço primeiramente ameu Pai, Mãe e irmãos pelo apoio e presença em todos os momentos de minha jornada, sempre se orgulhando do meu esforço e dedicação. A Universidade de São Paulo (USP), principalmente aos professores, pesquisadores e todos os colaboradores da Escola Superior de Agricultura “Luiz de Queiroz”, pela oportunidade concedida para a realização do meu bacharel. Aos professores e funcionários do Departamento de Engenharia Florestal, assim como os técnicos e colaboradores das estações experimentais de Itatinga e Anhembi pelos ensinamentos e constantes contribuições dentro e fora de aula para que eu me tornasse um Engenheiro Florestal. A empresa Amata, seus funcionários e colaboradores, de todos os estados, pelo enorme ensinamento prático e teórico, durante este um ano de estágio, sobre como manejar uma floresta respeitando a sociedade, o ambiente e a economia em seu entorno, de maneira produtiva, transparente e ética. Ao meu orientador Prof. Dr. Luiz Carlos Estraviz Rodrigues e minha orientadora Eng. Florestal Juliana Carneiro Gonçalves, pelos ensinamentos e orientação para que fosse possível a finalização deste projeto. Meus colegas e amigos de turma pelos momentos de alegria vividas durante o curso e por compartilhar dos ótimos anos vividos durante o curso. A todos os moradores da Republica Biosfera, que conviveram diariamente comigo, me ensinando a importância de uma amizade, do trabalho em equipe e tantas outras lições que levarei comigo durante toda a minha vida. Enfim, a todos que, direta ou indiretamente, se fizeram presentes nesta minha caminhada.
  • 4.
    II RESUMO O objetivo dotrabalho foi avaliar a utilização de Programação linear (PL), na alocação ótima de pátios de estocagem temporários em condições de manejo de florestas nativas, afim de minimizar as distancias de arraste. A área de estudo foi a Unidade de Produção Anual 04 (UPA04), localizada na Unidade de Manejo Florestal III (UMF-III), na porção sudoeste da Flona do Jamari, no estado de Rondônia. Os dados como inventário 100%, hidrografia local e limites geográficos utilizados neste trabalho, foram disponibilizados pela empresa Amata S.A., dona da concessão de exploração da Flona. Os resultados demonstraram que com o uso de ferramentas de programação linear, é possível reduzir as distancias euclidianas entre os pátios de estocagem dentro da floresta e as respectivas árvores. Além disso, houve uma redução da soma das distancias euclidianas de 101 km para o cenário 1, 66 km para o cenário 2 e 53 km para o cenário 3. O cenário 2 foi o que se destacou como uma boa opção, pois auxilia a definir o número máximo de pátios, pois além de reduzir as distancias entre árvore- pátios, apresentou uma boa distribuição do volume de estocagem e um menor número de instalações. ABSTRACT The objective of this work was to evaluate the use of linear programming (LP), in the optimal allocation of temporary log landing yards for reduced impact logging (RIL) to minimize drag distances. The study area was the Annual Production Unit 04 (UPA04), located in the Forest Management Unit III (FMU-III), in the southwest portion of Flona do Jamari in the state of Rondônia. The company Amata SA, owner of the concession, provided data as 100% inventory, site hydrology and geographic boundaries used in this study. The results showed that with the use of linear programming tools, it is possible to reduce the Euclidean distances between the log landing yards within the forest and their respective trees. In addition, there was a reduction of the sum of the Euclidean distances of 101 km for scenario 1, 66 km for scenario 2 and 53 km for scenario 3. Scenario 2 was what stood out as a good option, because it helped to define the maximum number of log landing yards, as well as reducing the distances between tree-yards, had a good distribution of the storage volume and lower number of facilities.
  • 5.
    III LISTA DE FIGURAS Figura1 - Método de disposição dos pátios de estocagem de maneira sistemática e dirigida. .6 Figura 2 - Esquematização das Fases de um Estudo aplicando a PO. .......................................9 Figura 3 - Mapa de localização da área de estudo. ..................................................................11 Figura 4 - Mapas das áreas restritas a instalação de pátios devido a classificação da declividade da UPA.....................................................................................................................................13 Figura 5 - Mapas das áreas restritas a instalação de pátios devido a áreas de preservação permanente (APP) ou não operacionais...................................................................................14 Figura 6 - Mapas das áreas restritas a instalação de pátios devido a proximidade a árvores remanescentes, protegidas ou matriz. ......................................................................................15 Figura 7 - Mapas com os possíveis pátios a serem instalados dentro da UPA 04...................15 Figura 8 - Subdivisão da UPA 04 considerando a hidrografia local........................................16 Figura 9 - Localização das árvores em relação ao seu respectivo pátio de estocagem, no cenário 1................................................................................................................................................31 Figura 10 - Localização das árvores em relação ao seu respectivo pátio de estocagem, no cenário 2...................................................................................................................................34 Figura 11 - Localização das árvores em relação ao seu respectivo pátio de estocagem, no cenário 3...................................................................................................................................37 Figura 12 - Localização das árvores em relação ao seu respectivo pátio de estocagem, no cenário real...............................................................................................................................40
  • 6.
    IV LISTA DE TABELAS Tabela1 - Resumo das variáveis e tempo de processamento por cenários e subdivisões da UPA 04..............................................................................................................................................20 Tabela 2 - Resultado da função objetivo por cenário e subdivisões da UPA 04. ....................21 Tabela 3 - Número de pátios em cada subdivisão por cenário. ...............................................22 Tabela 4 - Análise da distribuição de volumes por subdivisão da UPA04 em cada um dos cenários. ...................................................................................................................................24 Tabela 5 - Análise das distâncias euclidianas em cada subdivisão e por cenário....................26 Tabela 6 - Resultado das distâncias euclidianas do cenário 1 por pátio. .................................32 Tabela 7 - Resultado das distâncias euclidianas do cenário 2 por pátio. .................................35 Tabela 8 - Resultado das distâncias euclidianas do cenário 3 por pátio. .................................38 Tabela 9 - Resultado das distâncias euclidianas do cenário real por pátio. .............................41 Tabela 10 - Distâncias fictícias entre árvores e pátios do exemplo. ........................................43
  • 7.
    V LISTA DE SIGLAS APP:Área de Preservação Permanente AUTEX: Autorização de Exploração EC: Exploração Convencional EIR: Exploração de Impacto Reduzido FLONA: Floresta Nacional IFT: Instituto Floresta Tropical PL: Programação Linear PMFS: Plano de Manejo Florestal Sustentável PO: Pesquisa Operacional POA: Plano de Operação Anual SFB: Serviço Florestal Brasileiro SNUC: Sistema Nacional de Unidades de Conservação UC: Unidade de Conservação UMF: Unidade de Manejo Florestal UPA: Unidade de Produção Anual UT: Unidade de Trabalho
  • 8.
    VI SUMÁRIO 1. INTRODUÇÃO.............................................................................................................................1 1.1. Objetivo.................................................................................................................. 3 2. REFERENCIAL TEÓRICO........................................................................................................3 2.1. Exploração Convencional......................................................................................... 3 2.2. Exploração de Impacto Reduzido ............................................................................. 4 2.2.1. Atividades pré-exploratórias ............................................................................. 4 2.2.2. Atividades exploratórias ................................................................................... 6 2.2.3. Atividades pós-exploratórias ............................................................................. 7 2.3. Pesquisa Operacional............................................................................................... 8 2.3.1. Problemas de localização-alocação .................................................................. 10 3. MATERIAIS E MÉTODOS ......................................................................................................11 3.1. Descrição da área de estudo ................................................................................... 11 3.2. Análise Geográfica................................................................................................. 12 3.2.1. Classificação da declividade da UPA ............................................................... 13 3.2.2. Obtenção das áreas de preservação permanente (APP) .................................... 13 3.2.3. Obtenção de áreas próximas a árvores remanescentes ou protegidas ................ 14 3.2.4. Alocação dos possíveis pátios na UPA.............................................................. 15 3.2.5. Subdivisão das áreas de acordo com a hidrográfica local.................................. 16 3.3. Modelo de programação inteira.............................................................................. 17 3.3.1. Cenários de estudo.......................................................................................... 18 4. RESULTADOS E DISCUSSÃO................................................................................................19 4.1. Análise geral da alocação dos pátios de estocagem pela distância euclidiana............. 19 4.2. Análise da utilização dos pátios quanto ao volume................................................... 23 4.3. Análise da utilização dos pátios quanto ás distâncias euclidianas ............................. 25 5. CONCLUSÃO.............................................................................................................................27 REFERENCIA....................................................................................................................................28 APÊNDICES .......................................................................................................................................31
  • 9.
    1 1. INTRODUÇÃO O Brasilpossui uma área total de mais de 850 milhões de hectares, sendo que mais de 50% é coberto por florestas, destes, 456 milhões de hectares de florestas naturais e o restante de florestas plantadas (SFB, 2013). O bioma Amazônia corresponde 30% de florestas tropicais remanescentes no mundo. Sua importância é reconhecida dentro e mesmo fora do país, não apenas por sua vasta extensão, mas também devido a sua diversidade, possuindo mais de 600 tipos diferentes de hábitats tanto terrestres como de água doce, sendo abrigo a aproximadamente 45 mil espécies de plantas e vertebrados (SFB, 2013) A Amazônia, por possuir um vasto estoque de carbono e madeiras comercias, produtos florestais não madeireiros, como também recursos minerais e hídricos, é alvo de grande pressão para a extração de tais riquezas. Pensando nisto, o governo federal criou leis para mitigar e retardar ações predatórias, como por exemplo o novo Código Florestal (BRASIL, 2012) e o Sistema Nacional de Unidades de Conservação (SNUC) (BRASIL, 2002). O Código Florestal, em termos gerais, institui regras sobre a proteção da vegetação, áreas de Reserva Legal e Preservação Permanente, como também sobre a exploração florestal, o fornecimento e controle da origem de matéria-prima e produtos florestais, o controle e prevenção de incêndios florestais, além de prever aparelhos econômicos e financeiros para atingir seus objetivos (BRASIL, 2012). O Sistema Nacional de Unidades de Conservação (SNUC) por sua vez constitui normas para a criação, implantação e gestão das unidades de conservação, assim como define e separa cada uma delas e seus objetivos. As Unidades de Conservação (UC) são divididas em dois grandes grupos, as Unidade de Proteção Integral e as Unidades de Uso Sustentável, os dois grupos somam um total de doze tipos diferentes de UC (BRASIL, 2002). Os dois grupos, apesar de terem o mesmo objetivo de preservação da natureza, se diferenciam devido ao uso de suas áreas. A Unidades de Proteção Integral tem por objetivo a conservação da natureza por meio de restrições do uso direto de seus recursos, com algumas exceções previstas pela Lei. As Unidades de Uso Sustentável que visam atingir a preservação por intermédio do uso de seus recursos de modo controlado e desenvolvido em cima dos três pilares da sustentabilidade, ou seja, economicamente viável, socialmente justo e ecologicamente correto. (BRASIL, 2002).
  • 10.
    2 A unidade deconservação do tipo Floresta Nacional, ou FLONA, está contida no grupo de uso sustentável e é o tipo que irá ser abordado no presente trabalho. A área da FLONA é de domínio público, sendo permitida apenas a permanência de populações tradicionais que já a habitavam anteriormente à sua criação. A visitação pública é permitida e incentivada assim como estudos científicos nas áreas (BRASIL, 2002). A concessão e exploração de florestas públicas são regidas pela Lei de Gestão de Florestas Públicas (Lei 11.284/2006) e pela Lei Geral de Licitações (Lei 8.666/1993), sendo o principal responsável o Serviço Florestal Brasileiro (SFB). Um dos requisitos básicos e principais quando se trata de exploração de florestas nativas é o Plano de Manejo Florestal Sustentável (PMFS). Conforme o Código Florestal, o PMFS deve atender a nove fundamentos técnicos científicos, sendo alguns deles referentes a caracterização dos meios físicos e biológicos; a determinação do estoque existente; intensidade de exploração compatível com a capacidade de suporte ambiental da floresta; ciclo de corte compatível com o tempo de restabelecimento do volume de produto extraído; adoção de sistema silvicultural e de exploração adequada além de medidas mitigadoras dos impactos ambientais e sociais; como também monitoramento do desenvolvimento da floresta remanescente (BRASIL, Lei 12.651, 2012, art. 31). Visando atingir os objetivos dentro do manejo florestal, torna-se indispensável o planejamento florestal, identificando e descrevendo as atividades integradas no decorrer do tempo. Nos últimos anos, as ferramentas utilizadas no planejamento florestal vêm se desenvolvendo e atingindo melhores níveis de precisão e acurácia devido ao desenvolvimento de diversos programas que auxiliam nas tomadas de decisão (SILVA, 2014). Neste contexto, segundo SILVA (2014) a utilização de programas baseados em modelos de programação linear tem-se destacado na área florestal, possibilitando agrupar um maior número de dados para elaboração dos planos de manejo resultando em uma prática mais sustentável e confiável, reduzindo os impactos ambientais e garantindo que as gerações seguintes possam desfrutar dos recursos e benefícios da floresta. Neste contexto, toda área com o Plano de Manejo Florestal Sustentável autorizado, deve apresentar anualmente o Plano de Operação Anual (POA), referente ás próximas atividades que serão realizadas, como condição para receber a Autorização de Exploração (AUTEX). Em seu conteúdo o gestor da floresta deve apresentar todo o planejamento da operação para
  • 11.
    3 área a serexplorada no ano, com informações como quantidade de unidades de trabalho, censo florestal processado, analise da hidrografia, relevo e vegetação, assim como o planejamento dos locais de construção das estradas primarias e secundárias além de pátios de estocagem sendo este item abordado no decorrer do presente trabalho. 1.1. Objetivo Este estudo foi realizado com o objetivo de avaliar a utilização de Programação linear (PL), na alocação ótima de pátios de estocagem temporários em condições de manejo de impacto reduzido, afim de minimizar as distancias de arraste. 2. REFERENCIAL TEÓRICO 2.1. Exploração Convencional As principais características da exploração convencional são a inexistência do planejamento das operações, maior dano causado a floresta e a grande perda de madeira e recursos. Neste tipo de manejo, não são respeitadas algumas premissas como diâmetro mínimo de corte, intensidade máxima de corte e o ciclo de corte (IFT, 2012; CASTRO, 2016). A atividade se baseia em poucas etapas. Primeiramente define-se a área de exploração, sem base em uma análise prévia do volume, espécie e localização das árvores, em seguida as árvores de interesse são identificadas e abatidas por um operador de motosserra, que realiza o corte muitas vezes sem o emprego de técnicas adequadas para se evitar o desperdício, como também a inexistência de equipamentos técnicas de proteção individual (IFT, 2012; CASTRO, 2016; HOLMES et al., 2002). Após o corte, as máquinas pesadas iniciam o processo de construção das estradas e dos pátios de estocagem, e só então é realizado o arraste das toras e o carregamento dos caminhões para o transporte da madeira (CASTRO,2016; HOLMES et al., 2002). Como não é feito nenhum mapeamento das árvores cortadas ou mapeamento das trilhas de arraste, muitas árvores são esquecidas no campo e muitos ramais de arraste são abertos desnecessariamente, aumentando os danos na floresta e os custos da exploração (HOLMES et al., 2002; LENTINI et al., 2012; IFT, 2012ª; BOLTZ et al., 2001; BARRETO et al. 1998, AMARAL et al. 1998).
  • 12.
    4 2.2. Exploração deImpacto Reduzido A Exploração de Impacto Reduzido (EIR), surgiu como uma alternativa a exploração convencional, e estabelece um passo importante para o manejo sustentável da floresta. Esta prática é dividida em três grandes etapas: a atividade pré-exploratória, dividida em macroplanejamento e microplanejamento da colheita, atividade exploratória e a atividade pós-exploratória (IFT, 2012; SABOGAL et. al. 2000; HOLMES, 2002; AMARAL et. al. 1998). 2.2.1. Atividades pré-exploratórias Esta etapa, como citado anteriormente, é dividida em duas subatividades: macroplanejamento e microplanejamento. O macroplanejamento é realizado antes, e fornece informações para tomada de decisões, ajudando a definir a viabilidade ou não do empreendimento. A primeira atividade no macroplanejamento é a seleção de áreas operacionais dentro da Unidade de Manejo Florestal (UMF), sendo excluídas áreas não operacionais, como por exemplo áreas de preservação permanente, áreas sem cobertura florestal, áreas de difícil acesso e de alta declividade, que impossibilitem o corte e entrada das maquinas para operação. Em UMFs dentro de florestas públicas também devem ser excluídas as áreas de reserva absoluta (IFT, 2002; AMARAL et. al. 1998). Após a definição da área útil da UMF, é feita a quantificação do potencial da floreta, esta avaliação é realizada de um inventário amostral, levantando informações como as espécies com valor econômico presente na região, o número de indivíduos e seus respectivos volumes. Dessa forma, pode ser realizada uma previsão dos produtos que serão gerados e se o retorno financeiro será atrativo em contraste com os custos da operação (AMATA, 2016). Posteriormente a UMF é dividida em unidades de produção anual (UPA’s), onde define-se a localização dos locais de construção da infraestrutura geral, como estradas primarias, alojamentos entre outras construções dependendo da região, que darão apoio ao manejo florestal. Na última etapa, já com os dados levantados, é possível determinar também o número de funcionários e suas funções assim como também os maquinários necessários (IFT, 2012; AMATA, 2016).
  • 13.
    5 A atividade demicroplanejamento, que é feita particularmente para cada UPA, com início no mínimo um ano antes do começo da época de corte. Nesta atividade, divide-se a UPA, em Unidades de Trabalho (UT), normalmente possuindo uma área de 100 hectares cada, sendo dispostos com auxílio de uma malha com quadrados de 1km x 1 km, afim de se facilitar a implementação do manejo. Ainda no microplanejamento é realizado o inventário florestal 100%, ou censo florestal, onde as árvores inventariadas recebem uma placa de identificação, suas medidas de diâmetro e altura são registradas assim como sua localização dentro da UT (IFT, 2012; AMATA, 2016; AMARAL et. al. 1998) O censo florestal é de extrema importância no manejo, pois fornece informações para que seja feita uma previsão do potencial de produção de produtos madeireiros e não madeireiros, dentro da floresta naquele ano, abrindo à possibilidade de se negociar a venda dos produtos anteriormente (IFT, 2002; AMARAL et. al. 1998). Além disso, é realizado durante o microplanejamento o corte de cipós e a coleta de informações de áreas não operacionais, como APP’s, grotas, cipoais nascentes e cursos d’águas com o uso de GPS e ferramentas cartográficas. As últimas atividades que antecedem a fase exploratória, são o processamento de dados de inventário, que irá definir quais árvores serão abatidas em cada UT, a confecção de mapas de corte, com a localização das árvores, estradas, pátios e áreas não operacionais. Para isso é preciso definir as dimensões dos pátios, escolher as localizações mais propícias para sua instalação, distribuí-los nas estradas secundárias e delimitar a área para sua construção. O dimensionamento dos pátios é obtido em razão do volume a ser explorado, sendo apenas possível planejar e construir após o processamento dos dados do inventário e a confecção dos mapas (IFT, 2002). Segundo AMARAL (1998), os pátios devem ser planejados como infraestrutura permanente da exploração, sendo colocados margeando as estradas secundárias, em lugares planos e com baixa densidade de árvores de grande porte. A disposição dos pátios pode ser realizada de maneira sistemática ou dirigida, variando de acordo com o tipo de solo e a topografia da floresta (Figura 1).
  • 14.
    6 Figura 1 -Método de disposição dos pátios de estocagem de maneira sistemática e dirigida, extraído de AMARAL et. al., 1998. Em áreas planas e com pouca diferença de solos, com um volume de extração constante em toda área de extração os pátios podem ser distribuídos de forma sistemática, ou seja, com distancias regulares entre eles e com o mesmo tamanho de área de estocagem. Áreas de manejo com características irregulares é preferível alocar os pátios de maneira dirigida, com distancias entre eles variando e área de estocagem sendo calculada de acordo com o volume estimado para cada um (AMARAL et. al. 1998). O Instituto Floresta Tropical (2002) enumera algumas das vantagens do planejamento prévio da construção dos pátios como por exemplo a redução dos custos de máquina durante a construção, menor consumo de combustível, menor desgaste e maior aproveitamento dos equipamentos, como também redução dos danos causados à vegetação e menor aberturado dossel da floresta. Porem aponta desvantagens, como a impossibilidade de realizar a operação antes do processamento de dados do inventário e da confecção dos mapas, além do treinamento das equipes. Com todas as atividades realizadas e informações coletadas, o Engenheiro Florestal responsável pela operação realiza a confecção do plano operacional anual (POA) que é enviado para o órgão ambiental responsável, para que, depois de aprovado, iniciem-se as atividades exploratórias. 2.2.2. Atividades exploratórias As atividades exploratórias abrangem o planejamento prévio para minimização dos danos ambientais, dos custos operacionais e aumento da segurança no trabalho e atividades
  • 15.
    7 de corte daárvore, traçamento e destopamento da árvore, arraste e transporte (IFT, 2002; AMARAL et. al. 1998). Na etapa do corte, o operador de motosserra e o ajudante, em posse do mapa de corte, GPS, bussola, equipamentos de corte e todos os equipamentos de proteção individual (EPI), realizam uma vistoria em todas as árvores comerciais selecionadas para corte, realizando o teste do oco, verificado a presença de ninhos ou abrigos de animais silvestres e se a identificação da árvore confere com o mapa (IFT, 2011). Sendo confirmada a inexistência de nenhuma inconformidade, trilhas de fuga são abertas pelo ajudante e só então o operador de motosserra realiza o corte direcional da árvore, aplicando técnicas que evitam riscos e desperdícios no momento do corte. Após o corte as árvores são destopadas e traçadas em toras menores, sempre visando o menor desperdício de madeira (IFT, 2011). Na etapa de arraste, membros da equipe de exploração realizam o planejamento das trilhas de arraste, sinalizando com fitas onde a máquina deve passar para chegar nas toras, evitando desta maneira maiores danos a floresta, menor custo com maquinas e horas trabalhadas, pois o operador sabe exatamente onde passar, evitando desta maneira a abertura de ramais desnecessários e o esquecimento de toras (SABOGAL et. al. 2000; HOLMES, 2002). Na chegada ao pátio ás toras passam por uma conferência e registro das dimensões da tora como comprimento e diâmetro, além do cálculo do seu respectivo volume e identificação, afim de se manter a rastreabilidade e garantindo a origem da madeira e que a mesma foi extraída de acordo com a legislação. As toras identificadas e medidas são então carregadas para os caminhões que as levarão ou para um pátio maior de distribuição ou diretamente para serraria (IFT, 2002; IFT, 2012). 2.2.3. Atividades pós-exploratórias Esta etapa consiste em algumas atividades que visam a manutenção da floresta após sua exploração, com o objetivo de realizar um acompanhamento continuo da floresta e viabilizar os próximos ciclos de corte. O Instituto Floresta Tropical (2002) cita algumas atividades para tal objetivo como por exemplo a manutenção da infraestrutura permanente, como pontes, estradas, bueiros e pátios de estocagem, mantendo a acessibilidade e evitando custos de reconstrução, o
  • 16.
    8 inventário continuo ea avaliação de danos e desperdícios da exploração, para aferir se as atividades de exploração prejudicaram o crescimento e regeneração da floresta, comparando parcelas onde ocorreu a atividade com áreas não afetadas, analisando também o esquecimento de toras, altura de tocos, toras rachadas e quantidade de arvores abatidas com ocos. Atividades de silvicultura pós-colheita visando aumentar o crescimento ou favorecer espécies sensíveis exploradas, podem ser realizados na floresta, como por exemplo liberação de árvores remanescentes através do desbaste por anelamento, corte de cipós, condução da regeneração e até mesmo plantios de enriquecimento. Assim como medidas de proteção florestal como placas de proibição de caça e pesca, ações de prevenção de incêndio, e combate a invasão como também conflitos fundiários (IFT, 2002; CARIELLO, 2008). 2.3. Pesquisa Operacional A Pesquisa Operacional (PO), tem por objetivo fornecer informações e auxiliar gestores na difícil tarefa de tomada de decisão, seja ela estratégica, gerencial ou operacional. Nesta área de estudo, os modelos matemáticos tentam reproduzir, da maneira mais fiel possível, a realidade afim de antever e comparar estratégias alternativas, sem necessariamente implanta-las no plano real (MARTINS, 2011). A modelagem matemática pode ser separada em dois tipos de problemas, sendo eles classificados como determinísticos (valores constantes/estáticos) ou estocásticos (valores randômicos/variáveis). No caso dos determinísticos todos os elementos e variáveis são conhecidos previamente e nenhuma aleatoriedade em sua ocorrência é permitida. Nos estocásticos por sua vez os componentes ocorrem de acordo com probabilidades predefinidas (TAHA, 2007; MARTINS, 2011). Segundo MARTINS (2011), podemos dividir o processo de resolução de um problema de pesquisa operacional em cinco fases, sendo elas a formulação do problema, construção de um modelo matemático, obtenção da solução, teste do modelo e da solução, implementação do resultado (Figura 2).
  • 17.
    9 Figura 2 -Esquematização das Fases de um Estudo aplicando a PO, extraído de MARTINS, 2011. Na primeira etapa, ao formularmos o problema, o analista deve assimilar e sistematizar as condições reais do problema, de preferência respondendo a alguns questionamentos básicos como quem será o responsável por tomar a decisão, quais são os objetivos (minimizar, maximizar, igualar), listar as variáveis que influenciem e ou restringem a resolução do problema (matéria prima, custo, pessoas), aspectos que fogem do controle de quem decide (clima, eventos inesperados) (TAHA, 2007; MARTINS, 2011). A construção do modelo matemático se dá pela representação simplificada da realidade através de expressões matemáticas, onde todas as “n” decisões quantificáveis serão representadas pelas “n” variáveis de decisão ou de controle. O objetivo que se almeja alcançar é representado por uma equação, chamada de Função Objetivo (FO), sendo está limitada por equações restritivas que possui um valor mínimo, máximo ou igual a ser atingido (TAHA, 2007). Com o avanço da tecnologia e a capacidade de se medir e interpretar um maior número de variáveis, os problemas envolvendo pesquisa operacional se tornaram mais complexos, sendo muitos quase que inviáveis de serem resolvido manualmente. Sendo assim, para se obter a solução de forma mais eficaz, foram criados alguns softwares que utilizam métodos matemáticos como programação linear, que será utilizada neste estudo, a programação em redes, a teoria dos grafos, entre outras (MARTINS, 2011). A pesquisa aqui apresentada enquadra-se nos níveis de planejamento estratégico e gerencial, pois abrange decisões como número de instalações (pátios), sua localização e sua
  • 18.
    10 capacidade de estocagem.O problema pode ser classificado como determinístico, e será resolvido utilizando Programação Linear (PL) de um modelo de localização-alocação, mais especificamente o modelo de p-medianas, onde alocam-se fluxos entre ofertas e demandas, simultaneamente. 2.3.1. Problemas de localização-alocação Entre os problemas resolvidos por programação linear podemos citar o de localização- alocação, onde o objetivo é procurar o lugar ideal para se fazer a instalação de tal modo a minimizar distância entre as instalações e seus clientes. Este tipo de problema pode ser reconhecido em redes que são formadas por grafos, conjunto de linhas e arestas, que representam por exemplo vias públicas, conexões telefônicas, ou sistemas de atendimento (ARAKAKI, 2002; MLADENOVIĆ et. al., 2007). Podemos dividir o problema de localização em duas classes, sendo o primeiro de localização de máxima cobertura, que busca identificar onde a instalação é colocada de modo a atender o máximo de clientes, dentro da distância de serviço. A outra classe conhecida como p-medianas, que busca minimizar as distancias entre os clientes e as instalações, neste todos os clientes são atendidos, sem a restrição de distância máxima de atendimento da instalação (ARAKIKI, 2002; MATINHAGO, 2012; MLADENOVIĆ et. al., 2007). Muitos trabalhos já se utilizaram da formulação do problema das p-medianas, como por exemplo PIZZOLATO (1997) na localização de escolas públicas. Na área florestal, o estudo de alocação de pátios já foi abordado anteriormente por MARTINHAGO (2012), SILVA (2014) e SILVA (2015) em estudo feitos no Brasil. Em outras regiões podemos citar PHILIPPART (2010) em estudos feitos em florestas tropicais na região da África Central.
  • 19.
    11 3. MATERIAIS EMÉTODOS 3.1. Descrição da área de estudo A área de estudo está localizada na Unidade de Manejo Florestal III (UMF-III), na porção sudoeste da Flona do Jamari, que abrange os municípios de Candeias do Jamari, Itapuã do Oeste e Cajubim, estando todos no estado de Rondônia. Seu acesso partindo de Porto Velho é realizado pela BR-364, sentido sul, percorrendo aproximadamente 140 km (Figura 3). Figura 3 - Mapa de localização da área de estudo. Segundo a classificação de Köppen, a área de estudo apresenta um clima do tipo Aw (Clima Tropical Chuvoso), com período seco bem definido durante os meses de junho a agosto, quando ocorre na região um moderado déficit hídrico. A média anual da precipitação pluvial, na região onde a Floresta Nacional está inserida, varia entre 1.800 e 2.200 mm/ano, onde mais de 90% desta ocorre na estação chuvosa. A média anual da temperatura do ar fica entre 24º e 26ºC (AMATA, 2016). O relevo dentro da UMF III apresenta apenas 12,2% de sua área em altitude superior a 150 metros. O solo predominante é o Vermelho-Amarelo Distrófico (Podzólico Vermelho-
  • 20.
    12 Amarelo Distrófico), comalgumas manchas de solos das classes Latossolo e Argissolos (EMBRAPA, 2006). As bacias hidrográficas que a unidade de manejo florestal se insere são a do rio Jacundá e rio Jamari (MMA/IBAMA, 2005). Segundo IBGE (2006), a área de estudo possui uma vegetação classificada como Floresta Ombrófila Aberta Submontana, que pode apresentar uma predominância de palmeiras ou cipós. Podendo ser caracterizado pela abundância de indivíduos arbóreos espaçados, podendo ter grupamentos de palmeiras e riqueza de lianas lenhosas e epífitas. O sub-bosque é coberto predominantemente por plântulas e árvores jovens das espécies dos extratos superiores. Segundo o Plano de Manejo Florestal Sustentável da UMF III (2016), as espécies que se destacam na Floresta Nacional do Jamari são o Tachi (Sclerolobium sp), Macucu–sangue (Licania sp), Roxinho (Peltogyne lecointei), Breu (Protium sp), Abiurana (Pouteria sp), Breu branco (Protium heptaphyllum), Faveira (Parkia sp), Envira (Xylopia sp), Guariúba (Clarisia racemosa), Jutai pororoca (Dialium guianensis), Muiracatiara (Astronium lecointei), Acariquara (Minquartia guianensis), Mata-matá preto (Eschweilera sp), Fava branca (Parkia sp), Copaíba (Copaifera multijuga), com mais de 2 indivíduos por hectare. Dentro do contexto da UMF III, a Unidade de Produção Anual selecionada para o estudo foi a UPA 04, que teve seu manejo realizado no ano de 2014, possuindo uma área total de 1.780,47 hectares, sendo 267,52 hectares destinados a áreas de preservação permanente, 18,34 ha para áreas não operacionais. Os pátios foram alocados pela empresa de maneira dirigida, ou seja, utilizando de dados do microzoneamento e do censo florestal, alocaram os pátios sempre que possível a uma distância de 250 metros entre eles, afim de não se sobrepor suas áreas de atuação, em locais planos e que cada um deles pudessem receber toras do maior número possível de árvores dentro do seu raio ótimo e quando necessário de distancias maiores. Foram alocados um total de 75 pátios dentro da UPA 04. 3.2. Análise Geográfica A análise geográfica foi utilizada para definir os locais aptos a serem instalados os pátios de estocagem, ou seja, áreas planas, fora de APP, áreas não operacionais e áreas próximas a árvores remanescentes. Este processo foi realizado no Sistema de Informações Geográficas (SIG) ArcGIS 10.4.
  • 21.
    13 3.2.1. Classificação dadeclividade da UPA Para a obtenção das áreas com restrições devido à sua declividade, foram utilizados dados de altitude do raster1 do Shuttle Radar Topography Mission (SRTM), disponibilizados gratuitamente na internet. A partir dos dados de altitude presentes no raster e utilizando a ferramenta Slope do software, foram determinados os graus de declividade do terreno em porcentagem. Figura 4 - Mapas das áreas restritas a instalação de pátios devido a classificação da declividade da UPA. Utilizando das mesmas premissas que MARTINHAGO (2012) e SILVA (2014), a imagem foi reclassificada em duas classes, sendo uma para valores acima de 15% e outra para valores abaixo de 15%, sendo a primeira imprópria para a instalação dos pátios. A imagem raster foi então convertida em polígonos de uma shape2 (Figura 4). 3.2.2. Obtenção das áreas de preservação permanente (APP) A hidrografia da Unidade de Produção Anual 4 (UPA04) foi disponibilizada pela empresa Amata S.A., levantada pela a equipe de campo durante o levantamento de dados para o microplanejamento, que coletou coletando com o GPS dados como o curso d’água e os pontos de nascentes. As áreas não operacionais foram levantadas concomitantemente, 1 Raster: Dados georreferenciados quando representados da forma matricial, é feito uso de um grid, uma malha quadriculada regular, sobre o qual é construído o elemento a ser representado, atribuindo valores ou códigos que indicam o atributo estudado, de modo que o computador (interface) saiba de qual elemento a célula pertence (CASANOVA, 2005). 2 Shape: Dados georreferenciados quando representados de maneira vetorial, onde o elemento ou componente é exibido da maneira mais fiel possível de sua realidade, podem tomar a forma de pontos, linhas e ou polígonos (CASANOVA, 2005).
  • 22.
    14 caracterizada por áreasde cipoais, brejos, pedreiras, ou outros motivos que impedem a mecanização e processo de colheita (Figura 5). Figura 5 - Mapas das áreas restritas a instalação de pátios devido a áreas de preservação permanente (APP) ou não operacionais. As operações de manejo em floresta nativas respeitam a legislação como qualquer outra atividade agrícola, sendo assim as áreas e faixas de exclusão foram demarcadas com a ferramenta Buffer do ArcGIS. Nos cursos d’água foram criadas faixas com 30 metros para cada lado, pois todos possuem menos de 10 metros de largura, e no caso das nascentes uma faixa circular de 50 metros. Por se tratar de uma região de planície, não foi encontrada nenhuma área de topo de morro. A soma de todas as áreas de preservação permanente e não operacionais na UPA totalizou 285,86 hectares, aproximadamente 16% da área total. 3.2.3. Obtenção de áreas próximas a árvores remanescentes ou protegidas Com a intenção de se diminuir ao máximo o impacto sobre a floresta, e os danos causados as árvores remanescentes (Amarelo), matrizes (Laranjas) e protegidas (Vermelhas), foi criado uma área de 20 metros no entorno de cada uma delas. Estas áreas, foram consideradas como inaptas para construção de pátios preservando assim a integridade destes indivíduos. Todas as áreas de proteção destas árvores totalizaram 1054 hectares, ou 59% da área total da UPA 04 (Figura 6).
  • 23.
    15 Figura 6 -Mapas das áreas restritas a instalação de pátios devido a proximidade a árvores remanescentes, protegidas ou matriz. 3.2.4. Alocação dos possíveis pátios na UPA Para se determinar todos os locais aptos para a instalação de pátios de estocagem, todos os shapes criados anteriormente, o de declividade, APP, árvores remanescentes ou protegidas e áreas não operacionais foram retirados da área total da UPA, utilizando a ferramenta Clip do software ArcGIS, restando assim apenas as áreas sem nenhuma das restrições (Figura 7). Figura 7 - Mapas com os possíveis pátios a serem instalados dentro da UPA 04.
  • 24.
    16 Com as áreasjá definidas, foi então criada uma malha de pontos de 25 x 25 metros entre eles, pois os pátios em geral possuem uma dimensão de 20 x 25 metros, possibilitando assim a sua construção em qualquer direção a partir do centroide selecionado. A malha de pontos totalizou uma soma de 6.043 pontos, ou 3,39 pontos por hectare. 3.2.5. Subdivisão das áreas de acordo com a hidrográfica local Conforme pode ser observado na figura 8, as áreas da UPA 04, foram subdivididas em áreas menores, usando como referência a hidrografia local, restringindo o arraste de árvores passando por dentro da APP, em outras palavras, uma árvore só pode ser arrastada para um pátio localizado na mesma subárea que ela. Outra vantagem na subdivisão da UPA, foi a possibilidade de processar os dados em conjuntos menores, diminuindo assim o número de variáveis por área e consequentemente o esforço computacional. No total a UPA foi dividida em 19 subáreas, com 1.356,3 hectares de área liquida. Figura 8 - Subdivisão da UPA 04 considerando a hidrografia local.
  • 25.
    17 3.3. Modelo deprogramação inteira Para otimização da localização dos pátios, foi utilizada a parametrização do problema de P-mediana, adaptado dos trabalhos de MATINHAGO (2012), SILVA (2014) e SILVA (2015), e visa encontrar receptores (medianas) em uma rede com n emissores (nós), tendo como objetivo a diminuição da soma de todas as distancias euclidianas entre o receptor (pátio) e os emissores (árvores). No modelo proposto também foram adicionadas duas restrições como volume máximo de estocagem por pátio e número de pátios máximo por subdivisão. O problema de P-medianas, adaptado para o a criação de pátios de estocagem, pode ser descrito da seguinte maneira: Função objetivo: 𝑀𝑖𝑛𝑖𝑚𝑖𝑧𝑎𝑟: 𝑍 = ∑ ∑ 𝑑𝑖𝑗 𝐴𝑖𝑗 𝑁 𝑗=1 𝑁 𝑖=1 (1) Restrições: ∑ 𝐴𝑖𝑗 𝑁 𝑗=1 = 1 ∀𝑖 (2) ∑ 𝑃𝑗 𝑁 𝑗=1 ≤ 𝑁𝑝 ∀𝑗 (3) ∑ 𝑣𝑖 𝑁 𝑖=1 𝐴𝑖𝑗 ≤ 𝑉𝑃𝑀𝐴𝑋 𝑗 𝑃𝑗 ∀𝑗 (4) 𝐴𝑖𝑗 − 𝑃𝑗 ≤ 0 ∀𝑗 (5) 𝐴𝑖𝑗 = {0; 1} ∀𝑖, ∀𝑗 (6) 𝑃𝑗 = {0; 1} ∀𝑗 (6) Sendo: i: são as árvores; j: são os pátios; 𝐴𝑖𝑗: variável representando árvore i sendo direcionada para o pátio j; 𝑃𝑗: variável de abertura de pátio; 𝑑𝑖𝑗: distância entre a árvore i e o pátio j;
  • 26.
    18 𝑁𝑝: número máximode pátios na subdivisão; 𝑣𝑖: volume individual por árvore; 𝑉𝑃𝑀𝐴𝑋 𝑖𝑗 : capacidade máxima de volume de cada pátio. A função objetivo é exibida pela equação (1), visa minimizar a soma das distancias. A restrição (2), garante que a árvore será arrastada para apenas um pátio. A equação (3) limita o número de pátios por subdivisão de áreas. A restrição de volume máximo por pátio é apresentada em (4). A equação de número (5) obriga a ligação da árvore com seu respectivo pátio. O conjunto de equações (6) é a restrição de variáveis Binárias do modelo. O número de pátios que serão alocados por subdivisão da UPA está diretamente relacionado a capacidade de estocagem destes. Em geral, o volume utilizado nos planos de manejo é de 350 m³ e segundo SILVA (2015) mesmo em pátios quentes o volume não ultrapassa o dobro de sua capacidade. Sendo assim o limite determinado para o estudo foi de 700 m³ por pátios. Desta forma, o máximo de pátios a serem instalados na UPA, é dado pela razão da soma total do volume das árvores dentro da área pela capacidade máxima estipulada para o pátio, como é demonstrado na equação 7. 𝑁𝑝 = 𝑉𝑜𝑙𝑢𝑚𝑒 𝑠𝑢𝑏á𝑟𝑒𝑎 𝑉𝑜𝑙𝑢𝑚𝑒 𝑃𝑀𝐴𝑋 (7) 3.3.1. Cenários de estudo Com o objetivo de se testar mais de um modelo, foram propostos três cenários: No primeiro cenário o modelo simulou o uso de “pátios quentes”, utilizando a restrição do número máximo de pátios possíveis por subdivisão e limite de volume igual a 700 m³ (modelo base); no segundo cenário restringiu-se o número de pátios, de forma a igualar ao real, sem restrição de volume máximo (modelo utilizado pela empresa) e no terceiro cenário o número de pátios foi definido pela divisão da área total pela área de um círculo com 250 metros de raio, sendo a distância ótima de arraste do Skidder (modelo alternativo). O processamento de dados dos cenários propostos, foi realizado em um computador Intel®Core™ i5-6600K CPU @ 3.5 GHz, 8 gb de memória RAM e desenvolvido no Solver LPSolver.
  • 27.
    19 4. RESULTADOS EDISCUSSÃO 4.1. Análise geral da alocação dos pátios de estocagem pela distância euclidiana O processamento de dados no software LPSolver, foi feito separadamente dentro das 19 subdivisões, e uma vez para cada cenário proposto. O tempo total de processamento foi de 10,3 horas, aproximadamente 3,8 horas para o cenário 1 e 3.2 horas para o cenário 2 e 3, sendo estes os mais rápidos. Foram avaliadas as combinações de 6.043 pátios possíveis para um total de 3.517 árvores, totalizando 1.625.400 variáveis para toda UPA. O número total de restrições formadas pelas equações somou 16.651.153. Devido a subdivisão da UPA pela hidrografia, e o processamento separado, a busca pela solução ótima do modelo proposto, reduziu o número de combinações possíveis, agilizando o processo em tempo, sem perda da qualidade do resultado, sendo todos factíveis. Os resultados de tempo quando comparados com MARTINHAGO (2012) foram relativamente inferiores, não ultrapassando o tempo de processamento de 20 horas estipulado no trabalho para a busca de uma solução exata. O mesmo método de subdivisão de áreas foi utilizado por SILVA (2015), totalizando em seu trabalho, um tempo de processamento, de aproximadamente 1 hora, porem para um total de 1.340.176 variáveis e 1.334.091 restrições para o cenário com maior tempo de processamento, encontrando soluções ótimas em tempo reduzido. O resumo das variáveis e tempo de processamento para cada uma das subdivisões da UPA estão apresentadas na Tabela 01.
  • 28.
    20 Tabela 1 –Resumo das variáveis e tempo de processamento por cenários e subdivisões da UPA 04. DIVISÃO PÁTIOS POSSIVEIS ÁRVORES VARIÁVEIS RESTRIÇÕES CENÁRIO 1 CENÁRIO 2 CENÁRIO 3 TEMPO (S) TEMPO (S) TEMPO (S) A 51 42 2.142 2.236 0,4 0,4 0,3 B 556 583 324.148 325.288 2.586,2 4.464,9 4.394,9 C 425 401 170.425 171.252 979,2 1.225,0 1.195,0 D 174 159 27.666 28.000 23,4 42,7 39,5 E 923 339 312.897 28.000 5.658,9 3.037,4 2.995,4 F 645 310 199.950 314.160 1.242,7 1.051,5 1.020,5 G 161 72 11.592 200.906 0,7 0,7 0,7 H 78 43 3.354 3.476 0,7 0,6 0,6 I 392 162 63.504 64.059 175,8 139,9 137,9 J 489 291 142.299 143.080 845,7 704,7 708,7 K 245 131 32.095 32.472 57,3 48,5 50,1 L 454 152 69.008 69.615 148,6 151,1 155,1 M 426 362 154.212 155.001 1.599,4 632,2 642,2 N 307 160 49.120 49.588 349,4 87,7 89,5 O 196 72 14.112 14.381 27,8 9,6 8,9 P 142 50 7.100 7.293 2,2 1,6 1,8 Q 122 17 2.074 2.214 0,2 0,2 0,2 R 17 6 102 126 0,1 0,1 0,1 S 240 165 39.600 40.006 151,5 51,9 53,8 TOTAL 6.043 3.517 1.625.400 1.651.153 13.850,0 11.650,6 11.495,3
  • 29.
    21 A tabela 2apresenta o resultado das funções objetivo de cada cenário. Observa-se que todos os cenários mostram uma redução da soma das distâncias euclidianas entre árvores e pátios para todas as subdivisões da UPA 04 quando comparados ao realizado pela empresa gestora. No total, observa-se uma redução de 101 km para o cenário 1, 66 km para o cenário 2 e 53 km para o cenário 3. Este resultado, corrobora com trabalhos que utilizam a otimização para determinar a localidade ótima para instalação dos pátios de estocagem. MARTINHAGO (2012) e SILVA (2015), em seus estudos tiveram resultados positivos, porem variando a redução com o presente trabalho, devido às restrições estudadas, como por exemplo distância máxima entre árvore-pátio e volumes máximos de estocagem. Tabela 2 - Resultado da função objetivo por cenário e subdivisões da UPA 04. DIVISÃO ÁREA (ha) FUNÇÃO OBJETIVO (km) CENÁRIO REALCENÁRIO 1 CENÁRIO 2 CENÁRIO 3 A 10 5,4 5,4 5,4 5,5 B 154 72,6 92,7 92,7 111,2 C 126 59,4 68,1 68,1 69,4 D 49 18,0 28,0 28,0 27,4 E 187 57,8 53,9 50,2 63,1 F 119 43,1 56,0 50,7 67,8 G 27 10,8 13,9 13,9 14,3 H 10 4,8 4,8 4,8 5,5 I 75 26,7 26,7 26,7 28,0 J 112 42,0 42,0 46,0 50,9 K 48 19,7 19,7 24,8 21,1 L 80 23,5 23,5 23,5 25,4 M 158 56,6 51,0 60,8 58,2 N 69 34,2 27,3 27,3 27,8 O 30 12,9 12,9 12,9 13,4 P 19 8,4 5,5 8,4 6,1 Q 12 1,9 1,9 1,9 2,0 R 4 4,8 4,8 4,8 5,4 S 66 27,1 27,1 27,1 28,7 TOTAL: 1355 529,6 565,1 578,0 631,1
  • 30.
    22 Analisando a reduçãoda distância em nível de subdivisão notamos que quanto menor é área consequentemente menor é o ajuste na distância, isso se deve ao menor número de pátios a serem instalados como também a maior facilidade em se encontrar um centro ótimo dentro das áreas. Este resultado pode ser notado nas subdivisões A, H, Q, R e S onde em todos os cenários a distância se manteve constante (Tabela 2). Tabela 3 - Número de pátios em cada subdivisão por cenário. DIVISÃO NÚMERO DE PÁTIOS CENÁRIO 1 CENÁRIO 2 CENÁRIO 3 CENÁRIO REAL A 1 1 1 1 B 13 8 8 8 C 8 6 6 6 D 5 2 2 2 E 8 9 10 10 F 8 5 6 5 G 2 1 1 1 H 1 1 1 1 I 4 4 4 4 J 7 7 6 6 K 3 3 2 3 L 4 4 4 4 M 9 11 8 11 N 3 4 4 5 O 2 2 2 2 P 1 2 1 1 Q 1 1 1 1 R 1 1 1 1 S 3 3 3 3 TOTAL: 84 75 71 75 Os cenários 2 e 3 apresentaram resultados semelhantes em quase todas as subáreas com exceção da E, F, J, K, M e P, onde houve uma variação no número total de pátios instalados (Tabela 3). Nas áreas restantes o número de pátios foi o mesmo, consequentemente o local ótimo de instalação também se repetiu. O cenário 1 possui uma maior diferença quando comparado com os outros modelos, pois este possui um total de 84 pátios instalados, nove a mais que o cenário 3 e o real, e doze a mais que o cenário 2 (Tabela 3).
  • 31.
    23 4.2. Análise dautilização dos pátios quanto ao volume A análise por cenário nos proporciona ainda uma visão mais detalhada sobre a utilização de cada pátio. Para isto, foram utilizados três intervalos para volume, sendo o abaixo de 150 m³, representando pátios com baixa utilização; de 150 m³ a 350 m³, pátios próximos ou com sua utilização máxima e o intervalo com volume acima de 350m³ para pátios quentes, ou seja, onde o transporte de madeira para o pátio B é feito concomitantemente com o arraste de toras para o pátio A. O cenário 1, com o maior número de pátios instalados apresentou uma melhoria na distribuição de volumes entre os pátios, reduzindo o número de pátios com menos de 150 m³ de madeira estocada quando comparado com o cenário real. Porem com menor número de pátios com sua utilização máxima ou acima dela, quando comparado com os cenários 2 e 3 (Tabela 4). O cenário 2, onde foi utilizado o mesmo número de pátios que no cenário realizado, notamos um aumento do número de pátios com utilização acima de sua capacidade máxima, ou seja, um maior número de pátios quentes. O número de pátios com baixa utilização, abaixo de 150 m³, também foi reduzido, porem comparando o cenário 2 com o 1 vemos que a subdivisão P, possui um pátio a mais e com sua capacidade bem baixa (Tabela 4). O cenário 3, em que foram instalados 71 pátios, apresentou a maior porcentagem de pátios quentes, com 43 pátios com volume superior à sua capacidade máxima, em relação a pátios com utilização abaixo de 150 m³ foi o que apresentou a menor porcentagem quando comparado com os outros três cenários (Tabela 4). Para o cenário real observa-se que foram abertos um valor superior de pátios com sua utilização abaixo dos 150 m³, ao se comparar com os cenários otimizados pelo modelo. Além disso notasse que mais da metade dos pátios tem sua utilização no intervalo médio, e 40% dos pátios com utilização acima da capacidade máxima (Tabela 4). Comparando os três cenários com o realizado, podemos notar que todos apresentaram melhorias quanto redução de número de pátios com baixa utilização de sua capacidade máxima, com destaque para o cenário 3 que apresentou mais de 97% de seus pátios com volume acima de 150 m³, seguido do cenário 2 e 1 (Tabela 4).
  • 32.
    24 Tabela 4 -Análise da distribuição de volumes por subdivisão da UPA04 em cada um dos cenários. DIVISÃO NÚMERO DE PÁTIOS VOLUME MENOR QUE 150 m³ VOLUME ENTRE 150-350 m³ VOLUME MAIOR QUE 350 m³ CENÁRIO 1 CENÁRIO 2 CENÁRIO 3 CENÁRIO REAL CENÁRIO 1 CENÁRIO 2 CENÁRIO 3 CENÁRIO REAL CENÁRIO 1 CENÁRIO 2 CENÁRIO 3 CENÁRIO REAL CENÁRIO 1 CENÁRIO 2 CENÁRIO 3 CENÁRIO REAL A 1 1 1 1 0% 0% 0% 0% 100% 100% 100% 100% 0% 0% 0% 0% B 13 8 8 8 8% 0% 0% 13% 38% 13% 13% 13% 54% 88% 88% 75% C 8 6 6 6 0% 0% 0% 0% 63% 17% 17% 33% 38% 83% 83% 67% D 5 2 2 2 0% 0% 0% 0% 60% 0% 0% 0% 40% 100% 100% 100% E 8 9 10 10 0% 0% 0% 10% 50% 67% 80% 80% 50% 33% 20% 10% F 8 5 6 5 0% 0% 0% 0% 50% 0% 17% 20% 50% 100% 83% 80% G 2 1 1 1 0% 0% 0% 0% 50% 0% 0% 0% 50% 100% 100% 100% H 1 1 1 1 0% 0% 0% 0% 100% 100% 100% 100% 0% 0% 0% 0% I 4 4 4 4 25% 25% 25% 0% 0% 0% 0% 50% 75% 75% 75% 50% J 7 7 6 6 0% 0% 0% 0% 71% 71% 50% 67% 29% 29% 50% 33% K 3 3 2 3 0% 0% 0% 0% 33% 33% 0% 33% 67% 67% 100% 67% L 4 4 4 4 0% 0% 0% 0% 25% 25% 25% 75% 75% 75% 75% 25% M 9 11 8 11 0% 0% 0% 9% 67% 82% 38% 82% 33% 18% 63% 9% N 3 4 4 5 0% 0% 0% 20% 33% 75% 75% 60% 67% 25% 25% 20% O 2 2 2 2 0% 0% 0% 0% 50% 50% 50% 50% 50% 50% 50% 50% P 1 2 1 1 0% 50% 0% 0% 0% 50% 0% 100% 100% 0% 100% 0% Q 1 1 1 1 0% 0% 0% 0% 100% 100% 100% 100% 0% 0% 0% 0% R 1 1 1 1 100% 100% 100% 100% 0% 0% 0% 0% 0% 0% 0% 0% S 3 3 3 3 0% 0% 0% 0% 33% 33% 33% 33% 67% 67% 67% 67% TOTAL: 84 75 71 75 4% 4% 3% 7% 49% 44% 37% 53% 48% 52% 61% 40%
  • 33.
    25 4.3. Análise dautilização dos pátios quanto ás distâncias euclidianas A comparação da distância euclidiana por cenário foi feita em duas classes, sendo a primeira abaixo 250 m, para indivíduos dentro do raio ótimo de arraste para o Skidder, e acima de 250 m para indivíduos arrastados acima da distância operacional ótima. No cenário 1, analisando a soma das distancias euclidianas, verificamos que a classe abaixo de 250 metros totalizou mais de 90%, representando assim que ás árvores em sua maioria estão dentro da distância operacional ótima do Skidder. Sendo a subdivisão N com a maior porcentagem de árvores acima de 250 metros, porém ainda assim com mais de 50% dentro do intervalo ideal (Tabela 5). Na tabela 5, notamos também uma diminuição de aproximadamente 66 km entre o cenário 2 e o cenário real, que utiliza o mesmo número de pátios, e um aumento no total de árvore dentro do raio ótimo de ação do Skidder, de 81% no cenário realizado para 88%. Comparando com o cenário 1, a soma das distancias foram maiores nas subdivisões em que os números de pátios instalados foram menores. Comparando as distancias entre as árvores e seus respectivos pátios, o cenário 3 foi o que apresentou a menor redução quando comparado com o realizado pela empresa responsável pelo manejo, mas ainda assim alcançando o valor de 53 km a menos. As distancias em muitas subdivisões foram semelhantes ao cenário 3, onde a quantidade de pátios era a mesma, porem onde o número de pátios era menor a distância euclidiana foi maior, mas em compensação a utilização em estocagem de madeira foi melhor (Tabela 5).
  • 34.
    26 Tabela 5 -Análise das distâncias euclidianas em cada subdivisão e por cenário. DIVISÃO SOMA DAS DISTÂNCIAS ÁRVORE-PÁTIO (m) DISTÂNCIAS ÁRVORE-PÁTIO MENOR QUE 250 m DISTÂNCIAS ÁRVORE-PÁTIO MAIOR QUE 250 m CENÁRIO 1 CENÁRIO 2 CENÁRIO 3 CENÁRIO REAL CENÁRIO 1 CENÁRIO 2 CENÁRIO 3 CENÁRIO REAL CENÁRIO 1 CENÁRIO 2 CENÁRIO 3 CENÁRIO REAL A 5.406 5.406 5.406 5.406 100% 100% 100% 100% 0% 0% 0% 0% B 72.598 92.728 92.728 92.728 98% 87% 87% 76% 2% 13% 13% 24% C 59.391 68.080 68.080 68.080 92% 85% 85% 83% 8% 15% 15% 17% D 18.015 27.984 27.984 27.984 99% 84% 84% 86% 1% 16% 16% 14% E 57.779 53.863 50.243 50.243 83% 89% 93% 76% 17% 11% 7% 24% F 43.145 56.040 50.726 50.726 94% 81% 89% 59% 6% 19% 11% 41% G 10.819 13.892 13.892 13.892 86% 76% 76% 72% 14% 24% 24% 28% H 4.780 4.780 4.780 4.780 100% 100% 100% 100% 0% 0% 0% 0% I 26.706 26.706 26.706 26.706 86% 86% 86% 83% 14% 14% 14% 17% J 42.014 42.014 45.991 45.991 93% 93% 88% 86% 7% 7% 12% 14% K 19.677 19.677 24.810 24.810 90% 90% 74% 89% 10% 10% 26% 11% L 23.491 23.491 23.491 23.491 93% 93% 93% 95% 7% 7% 7% 5% M 56.649 51.011 60.835 60.835 90% 94% 87% 87% 10% 6% 13% 13% N 34.203 27.313 27.313 27.313 66% 82% 82% 82% 34% 18% 18% 18% O 12.860 12.860 12.860 12.860 85% 85% 85% 78% 15% 15% 15% 22% P 8.393 5.505 8.393 8.393 76% 94% 76% 94% 24% 6% 24% 6% Q 1.856 1.856 1.856 1.856 100% 100% 100% 100% 0% 0% 0% 0% R 412 412 412 412 100% 100% 100% 100% 0% 0% 0% 0% S 27.088 27.088 27.088 27.088 83% 83% 83% 87% 17% 17% 17% 13% TOTAL: 525.281 560.703 573.592 626.114 90% 88% 87% 81% 10% 12% 13% 19%
  • 35.
    27 Quando comparadas asdistancias euclidiana entre as árvores e pátios dos cenários e o realizado pela empresa, as distâncias reais são superiores em todas as subdivisões, quando comparado com todos os cenários, porem se concentrando em uma distância inferior a 250 metros, com apenas 19% das árvores a uma distância superior a distância ótima estipulada pela empresa. O número de árvores varia com relação aos cenários estudados, pois esta estão relacionadas aos pátios, e não a subdivisão utilizada no estudo, que não foi considerada na época de execução da instalação dos pátios pela empresa (Tabela 5). Sendo assim, o cenário 1 foi o que apresentou a maior diminuição da soma das distancias euclidianas entre os cenários, com 100 km a menos que o cenário realizado, porem com o maior número de pátios, entre todos os comparados. 5. CONCLUSÃO A partir da análise dos resultados obtidos no presente trabalho, podemos confirmar que com o uso de ferramentas de programação linear, é possível reduzir as distâncias euclidianas entre os pátios de estocagem dentro da floresta e as respectivas árvores dentro de sua área de atuação, sendo uma ferramenta útil na tomada de decisão, durante realização do microplanejamento da operação de manejo. O cenário 2, demonstrou o ganho do uso da técnica de otimização matemática, pois por possuir o mesmo número de pátios instalados no cenário real, este resultou em uma menor soma das distancias euclidianas e uma melhor utilização dos pátios de estocagem com relação ao volume alocado. Contudo, o cenário 3 apesar de ter apresentado a menor redução das distâncias entre eles, se mostra como a melhor alternativa, pois a partir de dados do censo e da área liquida da UPA, após o microzoneamento, é possível estimar o número de pátios necessários, evitando assim a abertura de pátios que irão ter uma subutilização de seu volume. Como futuros trabalhos sugiro uma análise econômica, onde a função objetivo vise minimizar os custos, levando em consideração desde os custos de abertura de pátios, estradas secundárias e principais, assim como o custo de arraste e o valor de retorno previsto para tora, para embasar a definição de qual é o melhor cenário.
  • 36.
    28 REFERENCIA AMARAL, P.; VERÍSSIMO,A.; BARRETO, P.; VIDAL, E. Floresta para Sempre: um Manual para Produção de Madeira na Amazônia. Belém: Imazon, 1998. AMATA S.A. – Plano de Manejo Florestal Sustentável – São Paulo, 2015. ARAKAKI, R. G. I. - Heurística de localização-alocação para problemas de localização de facilidades – INPE, São José dos Campos, 2003. AUGUSTYNCZIK, A. L. D.; ARCE, J. E.; SILVA, A. C. L. - Planejamento espacial da colheita considerando áreas máximas operacionais – Tese - UFPR, Curitiba, 2015. BARRETO, P. et al. – Costs and benefits of forest management for timber production in eastern Amazonia. Forest Ecology Management, Amsterdam, 1998. BOLTZ, F.; HOLMES, P. T.; CARTER, D. R. – Economic and environmental impacts of conventional and reduced-impact logging in Tropical Soth America: a comparative review. Forest Policy and Economics, Amsterdam, 2003. BRASIL. Instrução Normativa nº 4, de 4 de março de 2002. Diário Oficial da República Federativa do Brasil, Brasília, DF, 7 mar. 2002. BRASIL. Instituto Brasileiro do Meio Ambiente e Recursos Hídricos (IBAMA). Norma de execução n.º 1, de 24 abril de 2007.Diário Oficial da República Federativa do Brasil, Brasília, DF, n. 238, 13 dez, 2007. Seção 1, p. 155-188. BRASIL. Instrução normativa nº 5, de 11 de dezembro de 2006. Diário Oficial da República Federativa do Brasil, Brasília, DF, 13 de dezembro de 2006. BRASIL. Resolução Nº 406, de 02 de fevereiro de 2009. Diário Oficial da República Federativa do Brasil, Brasília, DF, n. 26, 06 de fev. 2009, p. 100. BRASIL. Lei nº 12.651, de 25 de maio de 2012.DiárioBRASIL, Lei 9.985, Sistema Nacional de Unidades de Conservação (SNUC), de 18 de julho de 2002, art. 17. BRAZ, E. M.; CARNIERI, C. ARCE, J. E. - Um modelo otimizador para organização dos compartimentos de exploração em floresta tropical – UFV, Viçosa, 2004. CAMARA, G. et al. Anatomia de sistemas de informação geográfica. UNICAMP, Campinas, 1998.
  • 37.
    29 CARIELLO, R. V.- Considerações sobre a exploração florestal de impacto reduzido – Tese - UFRJ, Seropédica, 2008. CARRARA, C. M. – Uma Aplicação do SIG para a localização e alocação de terminais logísticos em áreas urbanas congestionadas – Tese - USP, São Carlos, 2007 CASANOVA, M. A. et al. – Banco de dados geográficos. MundoGeo, Curitiba, 2005. CASTRO, T. N. – Comparação de diferentes formas de colheita florestal na Amazônia brasileira através da modelagem da produção e do crescimento – Tese - ESALQ, Piracicaba, 2016. CASTRO, T. N. – Modelagem do crescimento e produção aplicado ao manejo florestal na Amazônia brasileira – Tese - ESALQ, Piracicaba, 2016. CHUN, W.; STUCKELBERGER, J.; ARUGA, K.; CUNDY, T. W. – Forest road network design using a trade-off analysis between skidding and road construction costs. – Canada, NRC Canada – 2008. CHURCH, R. L. BEAMR: An exact and approximate model for the p-median problem. Computers & Operations Research, v. 35, n. 2, p. 417–426, 2008. EMBRAPA. Sistema Brasileiro de Classificação de Solos. Rio de Janeiro: EMBRAPA Solos, 2ª edição, Destrito Federal, 2006. HOLMES, T.P.; BLATE, G. M.; ZWEEDE, J. C.; PEREIRA JR., R.; BARRETO, P.; BOLTZ, F. Custos e benefícios financeiros da exploração de impacto reduzido em comparação à exploração convencional na Amazônia Oriental. Fundação Floresta Tropical/Instituto Floresta Tropical. Belém: IFT, Belém, 2002. INSTITUTO FLORESTA TROPICAL. Manejo de Florestas Naturais da Amazônia – Belém, 2011. INSTITUTO FLORESTA TROPICAL. Manejo Florestal e Exploração de Impacto Reduzido em Florestas Naturais de Produção da Amazônia – Belém, 2011. INSTITUTO FLORESTA TROPICAL. As concessões de florestas públicas na Amazônia Brasileira: A Lei de Gestão de Florestas Públicas e o panorama das concessões florestais na Amazônia Brasileira. Informativo Técnico do IFT 2. IFT. Belém: IFT, 2012. INSTITUTO FLORESTA TROPICAL. Manual de procedimentos técnicos para condução de manejo florestal e exploração de impacto reduzido - IFT. Belém: IFT, 2002.
  • 38.
    30 LENTINI, M.; VERISSIMO,A.; SOBRA, L. – Fatos florestais da Amazonia. IMAZON, Belém, 2003. MAPA, S. M. S. - Localização-alocação de instalações com sistema de informações geográficas e modelagem matemática – Tese - UFI, Itajubá, 2007. MARTINHAGO, A. Z. – Otimização para a locação de pátios de estocagem para exploração de impacto reduzido na Amazônia brasileira – Tese - UFLA, Lavras, 2012. MARTINS, F. A. S. – Introdução à pesquisa operacional – UNESP, São Paulo, 2011. MLADENOVIĆ, N. et. al. – The p-median problem: a survey of metaheuristic approaches. European Journal of Operational Research. Amsterdam, 2007 MMA/IBAMA. Plano de Manejo da Floresta Nacional do Jamari – Brasilia, 2005. PHILIPPART, J.; MINGHE, S.; DOUCET, J. L.; LEJEUNE, P. - Mathematical formulation and exact solution for landing location problem in tropical forest selective logging, a case study in Southeast Cameroon – Journal of Forest Economics, 2012. PIZZOLATO, N. D.; BARROS, A. G.; BARCELOS, F. B.; CANEN, A. C. - Avaliação da localização de escolas com modelos capacitado e não-capacitado e uso de uma ferramenta GIS: Estudo de caso de Vitória/ES - Pesquisa Operacional, Vitória, 1997. PUTZ, F.E.; SIST, P.; FREDERICKSEN, T.; DYKSTRA, D. - Reduced-impact logging: Challenges and opportunities - Forest Ecology and Management 256, 2008. SABOGAL, C.- Manejo florestal empresarial na Amazônia brasileira - CIFOR, Belém, 2006. SFB - Florestas do Brasil em resumo - 2013: dados de 2007-2012. Serviço Florestal Brasileiro. – Brasília: SFB, 2013. SILVA, P. H. - Desenvolvimento de modelo para alocação ótima de pátios de estocagem de madeira - Tese - UFLA, Lavras, 2014. SILVA, E. F - Alocação de pátios de estocagem em planos de manejo na Amazônia por meio de programação matemática – Tese - UFES, Vitória, 2015. SOUZA, S. F.; GRZEBIELICKAS, C. - Análise comparativa dos custos do manejo florestal e da exploração seletiva ilegal: um estudo na Fazenda Valério Neto em Novo Progresso-PA - XXXI Encontro nacional de engenharia de produção, Belo Horizonte, 2011. TAHA, H. A – Pesquisa operacional: Uma visão geral – São Paulo, 2007. VERÍSSIMO, A.; BARRETO, P.; MATTOS, M.; TARIFA, R. & UHL, C. Logging impacts and prospects for sustainable forest management in an old Amazon frontier the case of Paragominas. Forest Ecology and Management 55 169-199, 1992.
  • 39.
    31 APÊNDICES Figura 9 -Localização das árvores em relação ao seu respectivo pátio de estocagem, no cenário 1.
  • 40.
    32 Tabela 6 -Resultado das distâncias euclidianas do cenário 1 por pátio. PÁTIOS VOLUME (m³) NÚMERO DE ÁRVORES SOMA DAS DISTÂNCIAS (m) DISTÂNCIA MENOR QUE 100m DISTÂNCIA ENTRE 100 - 250m DISTÂNCIA MAIOR QUE 250m 5107 275 42 5406 29% 71% 0% 5292 236 36 4357 36% 61% 3% 5226 450 62 7442 29% 71% 0% 5160 356 43 5206 30% 70% 0% 3943 219 31 3095 52% 48% 0% 5172 425 47 6190 19% 81% 0% 5287 546 69 8154 41% 59% 0% 5344 570 68 7872 47% 51% 1% 5355 285 40 5062 38% 63% 0% 5426 353 45 6207 27% 67% 7% 5484 297 44 6530 18% 82% 0% 5281 324 48 6560 25% 67% 8% 5470 436 43 5449 37% 58% 5% 5505 31 7 474 86% 14% 0% 5760 499 75 13385 17% 64% 19% 5806 282 48 6763 27% 73% 0% 5669 522 66 10964 14% 76% 11% 5723 442 65 10132 31% 58% 11% 5822 345 39 4851 28% 69% 3% 5965 253 40 5100 28% 70% 3% 5960 201 30 3338 57% 43% 0% 5886 228 38 4858 37% 61% 3% 1411 367 35 4814 26% 74% 0% 1420 435 42 3965 60% 40% 0% 1472 290 29 3346 55% 38% 7% 1459 242 31 3510 45% 55% 0% 1457 162 22 2379 45% 55% 0% 3348 206 24 3479 33% 54% 13% 3315 416 51 8359 18% 71% 12% 3146 255 31 4692 26% 65% 10% 3487 299 40 6713 23% 63% 15% 3680 436 45 8175 22% 51% 27% 3392 524 65 13045 8% 65% 28% 3700 340 43 6569 26% 67% 7% 3903 403 40 6748 15% 73% 13% 2832 377 41 6803 15% 73% 12% 2948 370 44 6343 18% 80% 2% 2565 313 43 5837 40% 49% 12% 2440 252 27 2469 70% 22% 7% 2978 371 47 7484 28% 66% 6% 2965 524 57 8627 23% 70% 7% 3047 303 29 3235 45% 55% 0% 2559 159 22 2348 55% 45% 0% 1309 400 44 7893 20% 57% 23% 1341 251 28 2926 46% 54% 0% 2360 330 43 4780 53% 47% 0% 891 143 19 1613 63% 37% 0%
  • 41.
    33 PÁTIOS VOLUME (m³) NÚMERO DE ÁRVORES SOMA DAS DISTÂNCIAS (m) DISTÂNCIA MENOR QUE 100m DISTÂNCIA ENTRE100 - 250m DISTÂNCIA MAIOR QUE 250m 919 428 52 9142 10% 73% 17% 934 390 41 6683 24% 63% 12% 1108 456 50 9268 16% 68% 16% 4173 333 44 6122 30% 70% 0% 4307 437 42 7126 21% 69% 10% 4089 325 52 7112 35% 54% 12% 4035 373 44 6588 14% 82% 5% 4416 304 45 6157 36% 56% 9% 4179 298 33 4621 36% 52% 12% 4470 262 31 4289 26% 74% 0% 2144 380 43 6515 21% 67% 12% 2228 294 35 4709 34% 63% 3% 2315 441 53 8452 30% 57% 13% 1701 391 47 7617 15% 81% 4% 1987 393 38 6835 13% 68% 18% 1872 374 34 4657 32% 65% 3% 1902 228 33 4382 30% 70% 0% 629 345 36 5767 19% 69% 11% 347 457 39 6729 15% 69% 15% 481 305 30 5106 13% 73% 13% 296 187 27 4355 26% 59% 15% 337 326 52 7777 23% 67% 10% 267 396 46 7528 24% 67% 9% 429 266 37 5968 32% 43% 24% 477 310 43 6015 23% 77% 0% 560 489 52 7404 29% 67% 4% 4892 261 34 5235 26% 59% 15% 4752 491 64 13593 17% 50% 33% 4866 414 62 15375 11% 42% 47% 4525 493 49 8373 18% 69% 12% 4621 224 23 4487 4% 74% 22% 712 362 50 8393 32% 44% 24% 1606 191 17 1856 47% 53% 0% 1640 60 6 412 100% 0% 0% 126 482 74 13749 18% 57% 26% 183 502 63 10703 16% 70% 14% 193 214 28 2636 43% 57% 0%
  • 42.
    34 Figura 10 -Localização das árvores em relação ao seu respectivo pátio de estocagem, no cenário 2.
  • 43.
    35 Tabela 7 -Resultado das distâncias euclidianas do cenário 2 por pátio. PÁTIOS VOLUME (m³) NÚMERO DE ÁRVORES SOMA DAS DISTÂNCIAS (m) DISTÂNCIA MENOR QUE 100m DISTÂNCIA ENTRE 100 - 250m DISTÂNCIA MAIOR QUE 250m 5107 275 42 5406 29% 71% 0% 5296 585 84 13749 20% 67% 13% 5245 707 92 13184 25% 70% 5% 3999 825 101 17220 19% 66% 15% 5281 439 63 10177 19% 62% 19% 5344 763 88 12488 36% 56% 8% 5426 452 65 13253 18% 49% 32% 5467 321 47 7209 19% 77% 4% 5470 436 43 5449 37% 58% 5% 5760 499 75 13385 17% 64% 19% 5806 310 53 8045 25% 68% 8% 5669 524 67 11260 13% 75% 12% 5723 529 77 13698 26% 48% 26% 5935 547 72 12271 17% 68% 15% 5918 361 57 9420 14% 81% 5% 1445 608 69 13768 22% 49% 29% 1441 887 90 14216 20% 73% 7% 3348 206 24 3479 33% 54% 13% 3315 403 50 8026 18% 72% 10% 3146 255 31 4692 26% 65% 10% 3487 299 40 6713 23% 63% 15% 3483 357 41 7027 20% 61% 20% 3351 306 36 5503 22% 72% 6% 3700 340 43 6569 26% 67% 7% 3691 321 36 5649 22% 64% 14% 3903 391 38 6205 16% 76% 8% 2928 440 60 10525 23% 60% 17% 2976 747 82 17047 9% 63% 28% 2629 416 47 7616 19% 68% 13% 2478 452 55 9557 15% 71% 15% 2983 614 66 11294 23% 59% 18% 1324 651 72 13892 11% 65% 24% 2360 330 43 4780 53% 47% 0% 891 143 19 1613 63% 37% 0% 919 428 52 9142 10% 73% 17% 934 390 41 6683 24% 63% 12% 1108 456 50 9268 16% 68% 16% 4173 333 44 6122 30% 70% 0% 4307 437 42 7126 21% 69% 10% 4089 325 52 7112 35% 54% 12%
  • 44.
    36 PÁTIOS VOLUME (m³) NÚMERO DE ÁRVORES SOMA DAS DISTÂNCIAS (m) DISTÂNCIA MENORQUE 100m DISTÂNCIA ENTRE 100 - 250m DISTÂNCIA MAIOR QUE 250m 4035 373 44 6588 14% 82% 5% 4416 304 45 6157 36% 56% 9% 4179 298 33 4621 36% 52% 12% 4470 262 31 4289 26% 74% 0% 2144 380 43 6515 21% 67% 12% 2228 294 35 4709 34% 63% 3% 2315 441 53 8452 30% 57% 13% 1701 391 47 7617 15% 81% 4% 1987 393 38 6835 13% 68% 18% 1872 374 34 4657 32% 65% 3% 1902 228 33 4382 30% 70% 0% 579 263 29 5126 21% 69% 10% 459 298 27 4080 26% 70% 4% 296 187 27 4355 26% 59% 15% 337 323 51 7436 24% 69% 8% 267 396 46 7528 24% 67% 9% 346 349 28 3863 21% 75% 4% 405 201 25 3960 20% 68% 12% 618 299 31 3548 42% 58% 0% 432 210 28 2999 43% 54% 4% 452 198 27 2981 37% 63% 0% 539 359 43 5135 37% 63% 0% 4892 239 31 4255 29% 65% 6% 4752 472 62 12828 18% 52% 31% 4778 278 40 6242 30% 55% 15% 4987 177 27 3988 30% 63% 7% 4525 493 49 8373 18% 69% 12% 4621 224 23 4487 4% 74% 22% 718 285 38 4451 53% 39% 8% 679 77 12 1055 50% 50% 0% 1606 191 17 1856 47% 53% 0% 1640 60 6 412 100% 0% 0% 126 482 74 13749 18% 57% 26% 183 502 63 10703 16% 70% 14% 193 214 28 2636 43% 57% 0%
  • 45.
    37 Figura 11 -Localização das árvores em relação ao seu respectivo pátio de estocagem, no cenário 3.
  • 46.
    38 Tabela 8 -Resultado das distâncias euclidianas do cenário 3 por pátio. PÁTIOS VOLUME (m³) NÚMERO DE ÁRVORES SOMA DAS DISTÂNCIAS (m) DISTÂNCIA MENOR QUE 100m DISTÂNCIA ENTRE 100 - 250m DISTÂNCIA MAIOR QUE 250m 5107 275 42 5406 29% 71% 0% 5296 585 84 13749 20% 67% 13% 5245 707 92 13184 25% 70% 5% 3999 825 101 17220 19% 66% 15% 5281 439 63 10177 19% 62% 19% 5344 763 88 12488 36% 56% 8% 5426 452 65 13253 18% 49% 32% 5467 321 47 7209 19% 77% 4% 5470 436 43 5449 37% 58% 5% 5760 499 75 13385 17% 64% 19% 5806 310 53 8045 25% 68% 8% 5669 524 67 11260 13% 75% 12% 5723 529 77 13698 26% 48% 26% 5935 547 72 12271 17% 68% 15% 5918 361 57 9420 14% 81% 5% 1445 608 69 13768 22% 49% 29% 1441 887 90 14216 20% 73% 7% 3266 237 29 3474 45% 52% 3% 3348 183 21 2632 38% 62% 0% 3146 235 31 4651 26% 65% 10% 3418 310 38 5699 24% 66% 11% 3487 287 36 5587 25% 67% 8% 3482 237 31 4131 26% 71% 3% 3351 292 33 4940 24% 73% 3% 3700 340 43 6569 26% 67% 7% 3691 365 39 6355 21% 67% 13% 3903 391 38 6205 16% 76% 8% 2929 460 64 11789 19% 61% 20% 2938 403 48 7384 15% 79% 6% 2629 416 47 7616 19% 68% 13% 2478 452 55 9557 15% 71% 15% 2964 601 63 10282 21% 73% 6% 3027 337 33 4098 30% 70% 0% 1324 651 72 13892 11% 65% 24% 2360 330 43 4780 53% 47% 0% 891 143 19 1613 63% 37% 0% 919 428 52 9142 10% 73% 17% 934 390 41 6683 24% 63% 12% 1108 456 50 9268 16% 68% 16% 4188 338 45 6384 24% 76% 0%
  • 47.
    39 PÁTIOS VOLUME (m³) NÚMERO DE ÁRVORES SOMA DAS DISTÂNCIAS(m) DISTÂNCIA MENOR QUE 100m DISTÂNCIA ENTRE 100 - 250m DISTÂNCIA MAIOR QUE 250m 4307 457 45 8110 20% 64% 16% 4089 325 52 7112 35% 54% 12% 4035 373 44 6588 14% 82% 5% 4417 543 73 13440 15% 62% 23% 4179 295 32 4359 38% 53% 9% 2173 630 68 13203 15% 62% 24% 2315 484 63 11607 25% 46% 29% 1701 391 47 7617 15% 81% 4% 1987 393 38 6835 13% 68% 18% 1872 374 34 4657 32% 65% 3% 1902 228 33 4382 30% 70% 0% 629 348 37 6272 19% 68% 14% 413 568 49 9904 10% 59% 31% 296 187 27 4355 26% 59% 15% 337 399 57 8912 21% 68% 11% 267 418 49 8485 22% 63% 14% 422 295 36 6829 19% 61% 19% 462 376 54 8572 15% 81% 4% 560 490 53 7505 28% 68% 4% 4892 239 31 4255 29% 65% 6% 4752 472 62 12828 18% 52% 31% 4778 278 40 6242 30% 55% 15% 4987 177 27 3988 30% 63% 7% 4525 493 49 8373 18% 69% 12% 4621 224 23 4487 4% 74% 22% 712 362 50 8393 32% 44% 24% 1606 191 17 1856 47% 53% 0% 1640 60 6 412 100% 0% 0% 126 482 74 13749 18% 57% 26% 183 502 63 10703 16% 70% 14% 193 214 28 2636 43% 57% 0%
  • 48.
    40 Figura 12 -Localização das árvores em relação ao seu respectivo pátio de estocagem, no cenário real.
  • 49.
    41 Tabela 9 -Resultado das distâncias euclidianas do cenário real por pátio. PÁTIOS VOLUME (m³) NÚMERO DE ÁRVORES SOMA DAS DISTÂNCIAS (m) DISTÂNCIA MENOR QUE 100m DISTÂNCIA ENTRE 100 - 250m DISTÂNCIA MAIOR QUE 250m S145-2 275 52 5476 36% 64% 0% S141-1 339 51 8778 24% 55% 22% S139-1 1058 136 26121 15% 57% 27% S140-1 566 92 12982 16% 61% 23% S144-1 377 46 7689 28% 54% 17% S139-2 848 101 16565 19% 68% 13% S143-1 588 86 20485 10% 56% 34% S142-1 126 51 3219 21% 79% 0% S139-3 627 70 15339 9% 56% 36% S145-1 448 69 12592 13% 62% 25% S147-1 306 51 8459 20% 75% 6% S146-1 474 59 10839 19% 61% 20% S148-1 502 73 12896 22% 52% 26% S148-2 478 64 10575 27% 59% 14% S147-2 313 48 7369 19% 73% 8% S140-3 552 60 11053 15% 62% 23% S140-2 723 76 12155 18% 75% 7% S129-1 425 51 11933 6% 47% 47% S126-1 114 27 2513 0% 75% 25% S128-1 285 36 6686 19% 53% 28% S129-2 273 35 5443 23% 69% 9% S130-1 206 27 4108 22% 67% 11% S130-2 323 38 7128 16% 63% 21% S128-2 332 41 7697 10% 68% 22% S131-1 349 44 8816 16% 52% 32% S131-2 263 24 3801 29% 63% 8% S131-3 308 31 4955 32% 52% 16% S138-1 328 38 9660 5% 39% 55% S137-4 403 57 9791 21% 63% 16% S137-2 612 68 18291 12% 32% 56% S138-2 622 76 17247 17% 30% 53% S137-3 704 71 12842 20% 55% 25% S137-1 651 72 14291 10% 63% 28% S136-1 330 43 5489 35% 65% 0% S124-1 300 43 5741 22% 72% 6% S124-2 278 36 6627 22% 53% 25% S124-3 372 38 5733 26% 63% 11% S124-4 468 52 9856 17% 60% 23% S123-1 611 82 16535 7% 65% 27% S125-1 408 56 8995 25% 66% 9% S127-1 168 15 2871 7% 73% 20%
  • 50.
    42 PÁTIOS VOLUME (m³) NÚMERO DE ÁRVORES SOMA DAS DISTÂNCIAS(m) DISTÂNCIA MENOR QUE 100m DISTÂNCIA ENTRE 100 - 250m DISTÂNCIA MAIOR QUE 250m S125-2 287 40 6346 23% 73% 5% S123-2 318 37 6530 5% 81% 14% S125-3 320 40 5968 18% 83% 0% S134-1 383 42 6273 24% 64% 12% S135-1 251 31 4990 23% 71% 6% S135-2 480 58 9806 14% 72% 14% S112-2 344 49 7020 21% 72% 7% S113-1 208 24 3486 17% 83% 0% S112-4 348 32 5343 16% 81% 3% S112-3 486 53 9543 8% 85% 8% S118-5 92 11 1433 27% 73% 0% S114-1 300 25 4054 12% 84% 4% S115-1 347 35 7455 9% 43% 49% S110-2 188 27 3446 33% 67% 0% S110-1 210 21 3271 33% 57% 10% S112-1 309 42 5172 31% 69% 0% S111-1 225 31 4284 32% 61% 6% S114-2 229 27 4162 26% 70% 4% S118-4 343 35 4985 26% 74% 0% S118-3 564 67 12481 9% 73% 18% S118-2 241 40 5806 37% 40% 23% S121-1 140 29 2279 35% 65% 0% S119-1 397 52 9867 23% 52% 25% S120-1 156 23 3527 17% 70% 13% S119-2 284 39 7615 3% 69% 28% S119-3 189 29 4515 28% 66% 7% S122-1 427 43 7070 16% 72% 12% S122-2 263 28 6033 11% 54% 36% S121-2 285 38 4683 45% 47% 8% S132-1 191 17 1995 18% 82% 0% S133-1 60 6 453 100% 0% 0% S116-1 387 59 8901 29% 63% 8% S117-1 268 38 6401 16% 79% 5% S118-1 504 63 12474 11% 65% 24%
  • 51.
    43 EXEMPLO PROGRAMAÇÃO LINEARINTEIRA (LPSolve) A programação linear inteira apresentada na página 50, com dados fictícios, foi a mesmo utilizada no trabalho apresentado. Esta forma de apresentação da programação pode ser replicada no programa LPSolve e adaptada para outros tipos de problemas de alocação e localização. Para este exemplo utilizamos um total de 10 árvores, que deverão ser alocadas em um único pátio entre cinco possíveis. O limite máximo de volume por pátio foi definido com 100 m³ e o número máximo de pátios a serem alocados igual a um. Tabela 10: Distâncias fictícias entre árvores e pátios do exemplo. DISTÂNCIAS ÁRVORES-PÁTIO EM METROS Pátios Árvores 1 2 3 4 5 6 7 8 9 10 1 102,9 104,0 119,6 72,0 47,4 55,0 90,4 8,0 55,2 123,2 2 135,6 135,9 89,0 45,2 60,2 41,6 103,8 38,3 23,4 117,5 3 91,3 89,4 135,2 79,6 59,4 72,1 76,3 9,2 67,2 116,8 4 141,0 140,4 86,2 38,2 67,1 46,0 103,2 43,2 17,0 112,9 5 123,9 119,1 113,2 46,7 75,5 68,5 75,4 30,0 39,8 94,6 Este exemplo gerou 55 variáveis e 66 restrições, o tempo de processamento no programa foi de 0.016 segundos. A função objetivo totalizou uma soma de 766,84 m entre as árvores e o pátio selecionado número 02.
  • 52.
    44 /*FUNÇÃO OBJETIVO*/ MIN:64.94A1P1+86.88A1P2+66.61A1P3+93.62A1P4+72.4A1P5+120.42A10P1+127.48A10P2+123.17A10P3 +128.69A10P4+95.9A10P5+46.67A2P1+67.2A2P2+46.75A2P3+74.4A2P4+67.98A2P5+45.65A3P1+33.02A3 P2+46.52A3P3+29.43A3P4+27.73A3P5+85.48A4P1+64.03A4P2+83.73A4P3+58.03A4P4+90.03A4P5+93.61 A5P1+84.4A5P2+90.79A5P3+84.38A5P4+115.75A5P5+87.69A6P1+80.62A6P2+84.86A6P3+81.44A6P4+111 .25A6P5+90.8A7P1+92.78A7P2+93.3A7P3+92.66A7P4+63.32A7P5+47.07A8P1+61.4A8P2+45.61A8P3+67.9 6A8P4+74.33A8P5+90.14A9P1+69.03A9P2+89.63A9P3+61.85A9P4+81.04A9P5; /*RESTRIÇÃO DEROTA UNICA*/ A1P1+A1P2+A1P3+A1P4+A1P5=1; A2P1+A2P2+A2P3+A2P4+A2P5=1; A3P1+A3P2+A3P3+A3P4+A3P5=1; A4P1+A4P2+A4P3+A4P4+A4P5=1; A5P1+A5P2+A5P3+A5P4+A5P5=1; A6P1+A6P2+A6P3+A6P4+A6P5=1; A7P1+A7P2+A7P3+A7P4+A7P5=1; A8P1+A8P2+A8P3+A8P4+A8P5=1; A9P1+A9P2+A9P3+A9P4+A9P5=1; A10P1+A10P2+A10P3+A10P4+A10P5=1; /*RESTRIÇÃO NUMERO TOTAL DE PÁTIOS*/ P1+P2+P3+P4+P5<=1; /*RESTRIÇÃO VOLUME MAXIMO POR PÁTIOS*/ 5 A1P1+6.3 A10P1+7 A2P1+3 A3P1+2.5 A4P1+4.2 A5P1+4 A6P1+3.3 A7P1+1.8 A8P1+6 A9P1<100; 5 A1P2+6.3 A10P2+7 A2P2+3 A3P2+2.5 A4P2+4.2 A5P2+4 A6P2+3.3 A7P2+1.8 A8P2+6 A9P2<100; 5 A1P3+6.3 A10P3+7 A2P3+3 A3P3+2.5 A4P3+4.2 A5P3+4 A6P3+3.3 A7P3+1.8 A8P3+6 A9P3<100; 5 A1P4+6.3 A10P4+7 A2P4+3 A3P4+2.5 A4P4+4.2 A5P4+4 A6P4+3.3 A7P4+1.8 A8P4+6 A9P4<100; 5 A1P5+6.3 A10P5+7 A2P5+3 A3P5+2.5 A4P5+4.2 A5P5+4 A6P5+3.3 A7P5+1.8 A8P5+6 A9P5<100; /* RESTRIÇÃO DE LIGAÇÃO ÁRVORE-PÁTIO*/ A1P1-P1<=0;A1P2-P2<=0;A1P3-P3<=0;A1P4-P4<=0;A1P5-P5<=0;A10P1-P1<=0;A10P2-P2<=0;A10P3- P3<=0;A10P4-P4<=0;A10P5-P5<=0;A2P1-P1<=0;A2P2-P2<=0;A2P3-P3<=0;A2P4-P4<=0;A2P5- P5<=0;A3P1-P1<=0;A3P2-P2<=0;A3P3-P3<=0;A3P4-P4<=0;A3P5-P5<=0;A4P1-P1<=0;A4P2-P2<=0;A4P3- P3<=0;A4P4-P4<=0;A4P5-P5<=0;A5P1-P1<=0;A5P2-P2<=0;A5P3-P3<=0;A5P4-P4<=0;A5P5-P5<=0;A6P1- P1<=0;A6P2-P2<=0;A6P3-P3<=0;A6P4-P4<=0;A6P5-P5<=0;A7P1-P1<=0;A7P2-P2<=0;A7P3-P3<=0;A7P4- P4<=0;A7P5-P5<=0;A8P1-P1<=0;A8P2-P2<=0;A8P3-P3<=0;A8P4-P4<=0;A8P5-P5<=0;A9P1-P1<=0;A9P2- P2<=0;A9P3-P3<=0;A9P4-P4<=0;A9P5-P5<=0; /*RESTRIÇÃO PATIOS BINARIA*/ Bin P1; Bin P2; Bin P3; Bin P4; Bin P5; /*RESTRIÇÃO ARVORES BINARIA*/ Bin A1P1; Bin A2P1; Bin A3P1; Bin A4P1; Bin A5P1; Bin A1P2; Bin A2P2; Bin A3P2; Bin A4P2; Bin A5P2; Bin A1P3; Bin A2P3; Bin A3P3; Bin A4P3; Bin A5P3; Bin A1P4; Bin A2P4; Bin A3P4; Bin A4P4; Bin A5P4; Bin A1P5; Bin A2P5; Bin A3P5; Bin A4P5; Bin A5P5; Bin A6P1; Bin A7P1; Bin A8P1; Bin A9P1; Bin A10P1; Bin A6P2; Bin A7P2; Bin A8P2; Bin A9P2; Bin A10P2; Bin A6P3; Bin A7P3; Bin A8P3; Bin A9P3; Bin A10P3; Bin A6P4; Bin A7P4; Bin A8P4; Bin A9P4; Bin A10P4; Bin A6P5; Bin A7P5; Bin A8P5; Bin A9P5; Bin A10P5; /*FIM*/