Relação dos Alunos Classificados na 2º FASE das Olimpíadas Brasileiras
            de Matemática das Escolas Publicas - OBMEP




Centro de Aplicação:          Endereço:
EE 26 DE AGOSTO               R. RUI BARBOSA, 4580, SÃO FRANCISCO, - CAMPO GRANDE, MS

                                             Data da Prova e Horário:
                             Dia 15 de Setembro - Sábado - 14:30h. (Horário de Brasília)


    Os alunos relacionados abaixo deverão apresentar-se, no Centro descrito acima, portando
    documento original de identidade (carteira de identidade ou certidão de nascimento ou carteira
    escolar) e o cartão informativo da OBMEP (enviado a todas as escolas via postal).

    É recomendável que o aluno se apresente no CENTRO DE APLICAÇÃO com, pelo menos, trinta
    minutos de antecedência.


    Classificados - Nível 1 (6 alunos)


            Código                            Nome do Aluno                             Sala de Prova na 2a Fase
1      MS50006363100244             DENILSON ROBERTO DOS REIS JUNIOR                             Sala-01
2      MS50006363100189                KENNEDY DE SOUSA ARAUJO                                   Sala-01
3      MS50006363100207             LUAN REINOLD DE MENDONCA SILVA                               Sala-01
4      MS50006363100074                RAFAEL HENRIQUE DIAS LIMA                                 Sala-01
5      MS50006363100049                  ROSEANE TERR DA SILVA                                   Sala-01
6      MS50006363100487                  VICTOR DE ASSIS MAFRA                                   Sala-01



    Classificados - Nível 2 (8 alunos)

           Código                           Nome do Aluno                                Sala de Prova na 2a Fase
1     MS50006363200860            ALEXANDRE ALMEIDA LOPES BORGES                                  Sala-02
2     MS50006363200317          AMANDA HELOISE BORGES DA SILVA GARCIA                             Sala-02
3     MS50006363200100               DEISY MIRELLA AJALA BARUA                                    Sala-02
4     MS50006363200202              DOUGLAS DOS SANTOS BANDEIRA                                   Sala-02
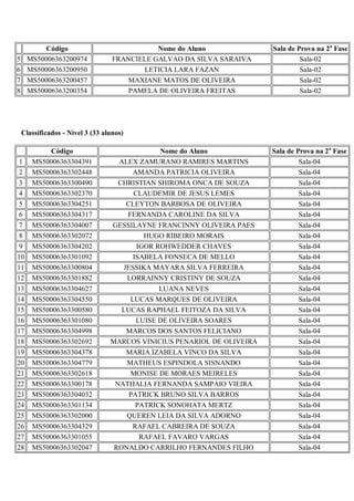
Código                             Nome do Aluno              Sala de Prova na 2a Fase
5     MS50006363200974             FRANCIELE GALVAO DA SILVA SARAIVA              Sala-02
6     MS50006363200950                    LETICIA LARA FAZAN                      Sala-02
7     MS50006363200457                MAXIANE MATOS DE OLIVEIRA                   Sala-02
8     MS50006363200354                 PAMELA DE OLIVEIRA FREITAS                 Sala-02




    Classificados - Nível 3 (33 alunos)

           Código                              Nome do Aluno             Sala de Prova na 2a Fase
 1     MS50006363304391             ALEX ZAMURANO RAMIRES MARTINS                 Sala-04
 2     MS50006363302448                 AMANDA PATRICIA OLIVEIRA                  Sala-04
 3     MS50006363300490             CHRISTIAN SHIROMA ONCA DE SOUZA               Sala-04
 4     MS50006363302370                 CLAUDEMIR DE JESUS LEMES                  Sala-04
 5     MS50006363304251               CLEYTON BARBOSA DE OLIVEIRA                 Sala-04
 6     MS50006363304317               FERNANDA CAROLINE DA SILVA                  Sala-04
 7     MS50006363304007            GESSILAYNE FRANCINNY OLIVEIRA PAES             Sala-04
 8     MS50006363302072                    HUGO RIBEIRO MORAIS                    Sala-04
 9     MS50006363304202                  IGOR ROHWEDDER CHAVES                    Sala-04
10     MS50006363301092                 ISABELA FONSECA DE MELLO                  Sala-04
11     MS50006363300804              JESSIKA MAYARA SILVA FERREIRA                Sala-04
12     MS50006363301882               LORRAINNY CRISTINY DE SOUZA                 Sala-04
13     MS50006363304627                        LUANA NEVES                       Sala-04
14     MS50006363304550                LUCAS MARQUES DE OLIVEIRA                 Sala-04
15     MS50006363300580              LUCAS RAPHAEL FEITOZA DA SILVA              Sala-04
16     MS50006363301080                  LUISE DE OLIVEIRA SOARES                Sala-04
17     MS50006363304998               MARCOS DOS SANTOS FELICIANO                Sala-04
18     MS50006363302692           MARCOS VINICIUS PENARIOL DE OLIVEIRA           Sala-04
19     MS50006363304378               MARIA IZABELA VINCO DA SILVA               Sala-04
20     MS50006363304779               MATHEUS ESPINDOLA SISNANDO                 Sala-04
21     MS50006363302618                MONISE DE MORAES MEIRELES                 Sala-04
22     MS50006363300178            NATHALIA FERNANDA SAMPAIO VIEIRA              Sala-04
23     MS50006363304032                PATRICK BRUNO SILVA BARROS                Sala-04
24     MS50006363301134                  PATRICK SONOHATA MERTZ                  Sala-04
25     MS50006363302000               QUEREN LEIA DA SILVA ADORNO                Sala-04
26     MS50006363304329                 RAFAEL CABREIRA DE SOUZA                 Sala-04
27     MS50006363301055                   RAFAEL FAVARO VARGAS                   Sala-04
28     MS50006363302047            RONALDO CARRILHO FERNANDES FILHO              Sala-04
Código                             Nome do Aluno                             Sala de Prova na 2a Fase
29   MS50006363304366               SILENE VIEIRA DE LIMA CHAVES                               Sala-04
30   MS50006363300981                  THAIS DE SOUZA SOARES                                   Sala-05
31   MS50006363304860                   THIAGO GOMES LACHI                                     Sala-05
32   MS50006363304421               WELLINGTON FONSECA A RIBEIRO                               Sala-05
33   MS50006363300257                WESLLEY SANTANA BARBOSA                                   Sala-05


 Atenção: quando a escola envia mais cartões-resposta que a quantidade permitida e há alunos
 empatados na última vaga, o sistema faz um corte aleatório.



 Qualquer Dúvida: Contato Professor Raul – Coordenação de Área

Relação aprovados 2º_fase_obmep. pdf

  • 1.
    Relação dos AlunosClassificados na 2º FASE das Olimpíadas Brasileiras de Matemática das Escolas Publicas - OBMEP Centro de Aplicação: Endereço: EE 26 DE AGOSTO R. RUI BARBOSA, 4580, SÃO FRANCISCO, - CAMPO GRANDE, MS Data da Prova e Horário: Dia 15 de Setembro - Sábado - 14:30h. (Horário de Brasília) Os alunos relacionados abaixo deverão apresentar-se, no Centro descrito acima, portando documento original de identidade (carteira de identidade ou certidão de nascimento ou carteira escolar) e o cartão informativo da OBMEP (enviado a todas as escolas via postal). É recomendável que o aluno se apresente no CENTRO DE APLICAÇÃO com, pelo menos, trinta minutos de antecedência. Classificados - Nível 1 (6 alunos) Código Nome do Aluno Sala de Prova na 2a Fase 1 MS50006363100244 DENILSON ROBERTO DOS REIS JUNIOR Sala-01 2 MS50006363100189 KENNEDY DE SOUSA ARAUJO Sala-01 3 MS50006363100207 LUAN REINOLD DE MENDONCA SILVA Sala-01 4 MS50006363100074 RAFAEL HENRIQUE DIAS LIMA Sala-01 5 MS50006363100049 ROSEANE TERR DA SILVA Sala-01 6 MS50006363100487 VICTOR DE ASSIS MAFRA Sala-01 Classificados - Nível 2 (8 alunos) Código Nome do Aluno Sala de Prova na 2a Fase 1 MS50006363200860 ALEXANDRE ALMEIDA LOPES BORGES Sala-02 2 MS50006363200317 AMANDA HELOISE BORGES DA SILVA GARCIA Sala-02 3 MS50006363200100 DEISY MIRELLA AJALA BARUA Sala-02 4 MS50006363200202 DOUGLAS DOS SANTOS BANDEIRA Sala-02
  • 2.
    Código Nome do Aluno Sala de Prova na 2a Fase 5 MS50006363200974 FRANCIELE GALVAO DA SILVA SARAIVA Sala-02 6 MS50006363200950 LETICIA LARA FAZAN Sala-02 7 MS50006363200457 MAXIANE MATOS DE OLIVEIRA Sala-02 8 MS50006363200354 PAMELA DE OLIVEIRA FREITAS Sala-02 Classificados - Nível 3 (33 alunos) Código Nome do Aluno Sala de Prova na 2a Fase 1 MS50006363304391 ALEX ZAMURANO RAMIRES MARTINS Sala-04 2 MS50006363302448 AMANDA PATRICIA OLIVEIRA Sala-04 3 MS50006363300490 CHRISTIAN SHIROMA ONCA DE SOUZA Sala-04 4 MS50006363302370 CLAUDEMIR DE JESUS LEMES Sala-04 5 MS50006363304251 CLEYTON BARBOSA DE OLIVEIRA Sala-04 6 MS50006363304317 FERNANDA CAROLINE DA SILVA Sala-04 7 MS50006363304007 GESSILAYNE FRANCINNY OLIVEIRA PAES Sala-04 8 MS50006363302072 HUGO RIBEIRO MORAIS Sala-04 9 MS50006363304202 IGOR ROHWEDDER CHAVES Sala-04 10 MS50006363301092 ISABELA FONSECA DE MELLO Sala-04 11 MS50006363300804 JESSIKA MAYARA SILVA FERREIRA Sala-04 12 MS50006363301882 LORRAINNY CRISTINY DE SOUZA Sala-04 13 MS50006363304627 LUANA NEVES Sala-04 14 MS50006363304550 LUCAS MARQUES DE OLIVEIRA Sala-04 15 MS50006363300580 LUCAS RAPHAEL FEITOZA DA SILVA Sala-04 16 MS50006363301080 LUISE DE OLIVEIRA SOARES Sala-04 17 MS50006363304998 MARCOS DOS SANTOS FELICIANO Sala-04 18 MS50006363302692 MARCOS VINICIUS PENARIOL DE OLIVEIRA Sala-04 19 MS50006363304378 MARIA IZABELA VINCO DA SILVA Sala-04 20 MS50006363304779 MATHEUS ESPINDOLA SISNANDO Sala-04 21 MS50006363302618 MONISE DE MORAES MEIRELES Sala-04 22 MS50006363300178 NATHALIA FERNANDA SAMPAIO VIEIRA Sala-04 23 MS50006363304032 PATRICK BRUNO SILVA BARROS Sala-04 24 MS50006363301134 PATRICK SONOHATA MERTZ Sala-04 25 MS50006363302000 QUEREN LEIA DA SILVA ADORNO Sala-04 26 MS50006363304329 RAFAEL CABREIRA DE SOUZA Sala-04 27 MS50006363301055 RAFAEL FAVARO VARGAS Sala-04 28 MS50006363302047 RONALDO CARRILHO FERNANDES FILHO Sala-04
  • 3.
    Código Nome do Aluno Sala de Prova na 2a Fase 29 MS50006363304366 SILENE VIEIRA DE LIMA CHAVES Sala-04 30 MS50006363300981 THAIS DE SOUZA SOARES Sala-05 31 MS50006363304860 THIAGO GOMES LACHI Sala-05 32 MS50006363304421 WELLINGTON FONSECA A RIBEIRO Sala-05 33 MS50006363300257 WESLLEY SANTANA BARBOSA Sala-05 Atenção: quando a escola envia mais cartões-resposta que a quantidade permitida e há alunos empatados na última vaga, o sistema faz um corte aleatório. Qualquer Dúvida: Contato Professor Raul – Coordenação de Área