Incorporar apresentação
Baixado 14 vezes



















































































































































































































































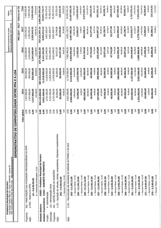
Este documento apresenta a proposta orçamentária da Prefeitura Municipal de Caruaru para o exercício de 2015, detalhando as receitas e despesas previstas para o município de Caruaru, localizado no estado de Pernambuco.


















































































































































































































































