01/01/1900   rui romao
19/04/2011   EMANUEL FORMIGA
19/04/2011   Sérgio Alexandre Marcelino de Figueiredo
20/04/2011   Rui Loureiro
20/04/2011   Agostinho Costa Fernandes
20/04/2011   HUMBERTO DA SILVA CARVALHEIRA
20/04/2011   Carlos Alberto dos Santos Martins
25/04/2011   carlos manuel maia marques
26/04/2011   Luis Carlos Pereira Carvalho
26/04/2011   paulo mendes
27/04/2011   luis pereira
27/04/2011   Mário Jorge Pinto
29/04/2011   Norberto Alves Henriques
29/04/2011   Hernâni Amaral
01/05/2011   MÁRIO SOARES
01/05/2011   Tiago Ribeiro
02/05/2011   Mário Teixeira
03/05/2011   José Mário Vilelo
03/05/2011   Rodolfo Barreira
08/05/2011   NATALIA BRAGA
08/05/2011   RAUL GOUVEIA
08/05/2011   Helder Tavares
10/05/2011   Marlene Pereira
14/05/2011   Rui Gomes
16/05/2011   Rui Paulo Barreiros de Oliveira
16/05/2011   Pedro Manuel de Oliveira Henriques
16/05/2011   Celso Vitor Pereira Trigo
16/05/2011   António Freitas
18/05/2011   Paulo Sérgio H. Pereira
19/05/2011   Marco Saraiva
19/05/2011   Apolinario Martins
23/05/2011   CARLOS CALISTO
29/05/2011   Raul Monteiro
30/05/2011   José Santos
31/05/2011   Jorge Manuel Maia Silva Alves Sousa
02/06/2011   joao mario
02/06/2011   joao veiga
02/06/2011   luis pinho
02/06/2011   Cesario Rocha
03/06/2011   Rui Costa
05/06/2011   ALBERTO SANTOS
06/06/2011   Daniel Brandão
07/06/2011   Samuel Neves
07/06/2011   IVO FONTOURA
09/06/2011   António José Trindade
09/06/2011   Ana Isabel Costa Pinto Alves
10/06/2011   Diana Santos
11/06/2011   juvencio aguiar
11/06/2011   António Martins Costa Amador
11/06/2011   David Estrela Pereira
11/06/2011   PEDRO SOARES
11/06/2011   PAULA FERREIRA
11/06/2011   LUIS CORDEIRO
11/06/2011   Silvério da Sêca Martins
13/06/2011   toni nevado
13/06/2011   Sara Costa
13/06/2011   Liliana Costa
14/06/2011   Leonel António Ferreira Braz Rodrigues
14/06/2011   rui sachse
14/06/2011   Helder Almeida
14/06/2011   NOel Costa
15/06/2011   nuno miguel neves dos santos
15/06/2011   JOSÉ ANTÓNIO
16/06/2011   Sérgio Amaro
16/06/2011   Ricardo Félix
16/06/2011   Bruno E. R. Morais
16/06/2011   João Pedro Maio Castro Ferreira
16/06/2011   Filipe Pereira
17/06/2011   Rodrigo André Melo Almeida
18/06/2011   Alexandre Miguel Santos Conceição
19/06/2011   Júlio António da Piedade Simões Correia
19/06/2011   Marcio Lemos
19/06/2011   Luis Pinto
19/06/2011   Jorge Oliveira
19/06/2011   Luis Campos
19/06/2011   Márcio Oliveira
20/06/2011   César Carvalhinho
20/06/2011   Julio ferreira
20/06/2011   JOSE COUTINHO
20/06/2011   Rui Miguel Marques Caetano
20/06/2011   Luis Filipe Miranda dos Santos
21/06/2011   Carlos Borges
21/06/2011   Paulo Pereira
21/06/2011   Telmo Marques
21/06/2011   Pedro Pinheiro
21/06/2011   PAULO CORREIA
21/06/2011   Pedro Miguel Pestana Moura
21/06/2011   JOAO VENTURA
21/06/2011   joaquim oliveira
21/06/2011   carlos jorge feijo
21/06/2011   joao oliveira
21/06/2011   RAFAEL SILVA
21/06/2011   luiz miguel frade
21/06/2011   Alexandre Casimiro
21/06/2011   Nuno Quaresma
21/06/2011   MIGUEL JORGE SANTOS FERREIRA
21/06/2011   Domingos Santiago
21/06/2011   Juliano Netto
21/06/2011   João Lopes Teixeira
21/06/2011   Francisco Jose de Lima Filho
21/06/2011   Marco Proença
#########    Filipe Brandão
#########    OSCAR MARTINS
#########    Nuno Miguel Martins Ferreira
#########    bruno filipe ferraz cacais de matos
#########    jose miguel rosmaninho pinto
#########    Pedro vasconcelos
#########    Pedro Oliveira
#########    Manuel Capitão
23/06/2011   Heitor Araújo
23/06/2011   Nuno Filipe Carvalho Neves
23/06/2011   j.nunes
23/06/2011   Jose Antonio
24/06/2011   Antonio Cortez
24/06/2011   Renato Neves
24/06/2011   António José da Silva Coutinho
24/06/2011   Amilcar Rafael Rodrigues Tavares
24/06/2011   Paulo Soares
24/06/2011   Bruno Sacramento
24/06/2011   Ivo Palhas
24/06/2011   Paulo Ramirez
25/06/2011   andre filipe da costa tavares
25/06/2011   Tiago Teixeira
25/06/2011   Rafael Neto
25/06/2011   Carlos Manuel Silva Lopes
25/06/2011   José bessa
25/06/2011   Nelson Costa
25/06/2011   Fábio Alves
26/06/2011   Ercilio
26/06/2011   Alexandre Cunha
26/06/2011   Carlos Vaz
26/06/2011   ANTÓNIO SILVA
26/06/2011   Celso Fernandes
26/06/2011   Filipe Silva
26/06/2011   Daniel Silveira
26/06/2011   Carlos Amaral
27/06/2011   Marco Miguel Ferreira Goncalves
27/06/2011   Pedro Tiago Silva Teixeira
27/06/2011   Nuno Almeida
27/06/2011   Adriano Tavares
27/06/2011   Pedro Paiva
27/06/2011   Susana Reis
27/06/2011   Fernando Figueiredo
27/06/2011   João Duque
27/06/2011   Bruno Oliveira
27/06/2011   Bruno Carvalho
27/06/2011   Pedro Almeida
27/06/2011   jose manuel oterino saburido
27/06/2011   jose manuel blanco blanco
27/06/2011   Luis Miguel Rodrigues Gomes
27/06/2011   Marcelo Silvino Matias Martins Pereira
27/06/2011   Adelaide Novais Lopes
27/06/2011   Lia Seabra
27/06/2011   GIL GUERRA
27/06/2011   Luis Tribuna
27/06/2011   Rui Almeida
27/06/2011   Elson Ferreira
27/06/2011   Pedro Fernanes
27/06/2011   Carolina Martinez
27/06/2011   Javier Esteban
27/06/2011   Arsénio Matos
27/06/2011   Domingos Magalhães
27/06/2011   Fernando Moreira
27/06/2011   Vitor Mousinho-Esteves
27/06/2011   Joao Adriano Gomes
27/06/2011   HENRIQUE RESENDE
27/06/2011   André Matias
27/06/2011   fernando daniel tavares rodrigues
27/06/2011   joaquim daniel rodrigues da silva
27/06/2011   Rogério Bastos
27/06/2011   José Manuel Costa
28/06/2011   Décio Cancela
             Antonio Garcia
             Antonio Rafael Rodrigues
             Ricardo Marques
             hugo rodrigues
             luis ventura
                           Aderito Ferreira Francisco
                            Tiago Ferreira Francisco
             Hilário Costa
             Bruno Almeida
             Marisa João Tavares da Costa
rua david santos              12/12/1974    10356629
SEVER DO VOUGA                25/11/1964     7029696
Verdemilho                    26/10/1972     9813005
Senhorinha - Sever do Vouga   25/03/1976 10730902 5ZZ2
Sever do Vouga                08/10/1965     7393518
SEVER DO VOUGA                23/11/1965     7786456
S.Bernardo                    06/09/1974    10601000
sever do vouga                09/04/1974    10413816
Sever do Vouga                12/02/1988    13436924
paradela                      23/04/1981    12210069
Sever do Vouga                06/06/1986    12979302
Sever do Vouga                05/01/1978    11383933
ribeira de fráguas            03/07/1980    12195897
Aveiro                        29/06/1953     2859559
VERMOIM - MAIA                26/05/1959     3713141
oliveira do bairro            26.03.87      13222374
Aveiro                        22/12/1973    10339202
Ílhavo                        09/09/1961     5559082
Torres Vedras                 26/02/1979    11563647
SEVER DOU VOUGA               24/12/1906     6663336
SEVER DO VOUGA                07/01/1962     5652048
Albergaria-a-velha            16/11/1978    11260655
Pessegueiro do Vouga           #########    12002176
Ovar                          16/07/1976    10858942
Viseu                         25/12/1965     7385705
Viseu                         03/02/1975    10549489
Viseu                         05/04/1965     9949743
Cucujães                      02/12/1975    10894902
Nogueira-Sever do Vouga       25/05/1976    10807359
EIXO- AVEIRO                  03/08/1974    10301783
Recardães                     23/09/1962     6256126
AVEIRO                        18/12/1973    10128691
Cedrim                        08/11/1970    10752857
Encosta S João                06/01/1958     3603443
Maia                          11/12/1976    10825730
aveiro                        21/03/1966     6960546
aveiro                        09/12/1977    11025144
aveiro                        05/04/1967     7706492
Ilhavo                        06/03/1967     8606922
Aveiro                        28/12/1976    10830823
ALBERGARIA-A-VELHA            02111980    11974642
Vale de Cambra                25/07/1979    11476652
Aveiro                        1793/04/18    10077256
ANGEJA                        18/03/1977    11361892
Tondela                       11/02/1985    12834175
Penalva do Castelo            27/09/1983    12382735
Canelas                       17/07/1984    12543872
carregosa                     17/09/1973    10431854
Sever do Vouga                12/10/1963     8189291
Sever do Vouga                09/10/1997    13933534
AVEIRO                                          28/O7/1981     11921320
AVEIRO                                          24/08/1970      8846950
AVEIRO                                          15/11/1966      9783418
Senhorinha                                      05/05/1959      5407393
vila nova de foz côa                            25/11/1979     13309305
Aveiro                                          13/10/1972      9831224
Aveiro                                          13/12/1982     12125873
Gafanha da Nazaré                               17/06/1967      7475784
aveiro                                          06/02/1970      8871145
Oliveira de Azemeis                             01/02/1975     10541332
Oliveira de Azemeis                             01/09/1975     10684106
pinheiro de azere                               02/12/1973     10276044
SÓLIGO-PESSEGUEIRO DO VOUGA                     28/05/1963      5936761
Cacia                                           03/05/1984     12558060
Fermelã                                         07/03/1981     11912148
Légua - Ílhavo                                  12/04/1977     10741136
Aveiro                                          22/10/1985     12810186
Aveiro                                          02/02/1972     10634046
Sangalhos                                       20/10/1982     12148284
Oliveira do Bairro                              30/03/1984     12486429
Rua Da Liberdade nº 76-A, 2º dto. - M. Do Vouga - 3750 779 TROFA4241799
                                                21/06/1958       AGD
Sebolido- Penafiel                              18/02/1983     12419467
Verdemilho - Aveiro                             03/09/1971      9534751
Ilhavo                                          12/07/1966      9699454
Verdemilho - Aveiro                             11/06/1966      7755926
Cesar                                           27/10/1983     12439477
Ílhavo                                          20/05/1975     10588187
malhapao-oia                                    08/06/1983     14756641
BONSUCESSO                                      12/09/1971      9511823
Esgueira                                        29/04/1969      9336198
Rua Sargento Joao Nunes Redondo nº144 2ºfrente6/11/1977
                                                1              11281818
Avanca                                          17/09/1965     10426269
Válega                                          18/05/1978     11231460
Albergaria-a-Velha                              19/12/1973     10022365
Macinhata do Vouga                              22/11/1977     11039077
TONDELA                                         18/09/1970      1857655
Carregal do Sal                                 26/01/1967      7672307
PINHEIRO DE AZERE                               12_01_1957      3608060
pinheiro de azere                               24_10_1979      1167839
aveiro                                          12/12/1978     10518265
pinheiro de azere                               05/04/1958      7155916
Estarreja                                       20/04/1981     12469845
leiria                                          15/12/1974     12251270
Mortágua                                        23/06/1978     11380145
Albergaria-a-Velha                              03/05/1977     11114189
AGUEDA                                          29/09/1983     12473965
Macinhata do Vouga                              26/02/1967      7648300
Aveiro                                          08/04/1985       150024
Carregosa                                       23/03/1972     11195737
Esgueira Aveiro                                 05/11/1965 P000595232
São Bernardo - Aveiro   20/07/1975    10666531
Vale de Cambra           8/27/1981    12034207
OLIVEIRA DO BAIRRO       4/22/1960     5416860
Oiã                      6/23/1978    11355321
senhora da hora           27071977    11146044
aveiro                  12/11/1985    13001909
Sever do Vouga           3/10/1968     7653779
Cesar                    7/27/1987    13203079
Santa Maria da Feira    12/19/1966     7922408
Santa Maria da Feira    19/07/1965     6880011
Aveiro                  17/08/1979    11480588
albergaria              03/05/1974    10746509
Ourense - Eespaña       15/07/1969 76709489G
Santa Maria da Feira    26/03/1960     3728749
Aveiro                  11/06/1979    11534087
Sever do Vouga          30/01/1972     9920933
Senhorinha              27/07/1975    10878607
Santa Maria da Feira    15/04/1971     9655176
Albergaria-a-Velha      03/08/1981    11923870
Travanca                291195      14548515
Aveiro                  02/07/1973    10167605
vale de cambra          16/09/1979    11996029
Aveiro                  29/06/1994    14672196
Aveiro                  06/05/1994    14670369
Pindelo                 01/12/1976    10751774
Travanca                19111979    11782776
Ilhavo                  03 01 76      10746966
Fermentelos             27/01/1990    13648765
oliveira do bairro      16.10.75      10936023
Verdemilho - Aveiro     26/07/1975    10524358
Feira                   05/10/1971     9542111
ALBERGARIA Á VELHA      27/08/1976    10893430
agueda                  23/04/1961     6094969
Aveiro                  26/07/1986    13046628
Aveiro                  17/08/1987    13214498
Sever do Vouga          21/10/1977    11144913
São João da Madeira     13/04/1978    11592618
São João da Madeira     04/05/1989    13632085
Vale de cambra          05/07/1972     9811075
Santa Maria da Feira    08/11/1967     7716132
Albergaria-a-Velha      11/03/2011    10654372
Aveiro                  10/06/1980    11682959
Sever do Vouga          06/12/1978    11244535
Sangalhos               20/09/1982    12148668
Estarreja               23/07/1979    11469143
Estarreja               31/05/1996    14751909
Mourisca do Vouga       23/10/1983    12400318
ourense                 29/09/1970 34992133-w
ourense                 25/04/1969 34981214-p
Pessegueiro do Vouga    13/10/1971     9631435
Pessegueiro do Vouga              27/12/1976    10878618
Aveiro                            20/05/1975    11007521
Mealhada                          04/05/1980    11828406
ILHAVO                            26/08/1966     7638500
Mamarrosa                         08/05/1982    12147430
Agueda                            10/08/1965    10367647
Agueda                            09/03/1994    14970255
Aveiro                            11/02/1984    12611052
Vila Nova de Gaia                 06/11/1963      405093
Vila Nova de Gaia                 12/08/1962     1115335
Águeda                            18/11/1965     7351583
Águeda                            27/07/1970     9705532
Águeda                            17/10/1980    11683411
Angeja                            28/04/1984    12627544
Oliveirinha-Aveiro                14/02/1964     6569874
ÁGUEDA                            19/09/1975    10526142
Ílhavo                            19/03/1981    11957732
murtosa                           10-101977     11095184
murtosa                           30/06/1986    13266787
Albergari-a-Velha                 04/05/1974    10586733
Sta. Maria da Feira               27/01/1964     8429902
sever do vouga                    17/02/1960     5419179
Aveiro                            06/06/1960     1914721
Aveiro                            18/06/1998    15656212
OLIVEIRA DO BAIRRO                03/05/1976    11113976
aveiro                            23/10/1978    11816278
sever do vouga                    09/01/1973 1000 59 87
                 Sever do Vouga
                 sever do vouga
Santa Maria da Feira              23/03/1967    8864497
aveiro                            01-05-1982   12838919
Alquerubim                        23/04/1976   10782390
ruipromao@gmail.com              919630513
emanuel.formiga@hotmail.com      919897670   sever team btt
sergiodfigueiredo@gmail.com      966787684   GD Verdemilho
ruiloureiro@cm-sever.pt          963188237
fernandes.costa@sapo.pt          917610760   SEVER TEAM BTT
scottmen212@sapo.pt              964132255   SEVER TEAM BTT
elianaaveiro@hotmail.com         965744599
carlosribok@hotmail.com          960401654   po&lama btt
luis_carvalho_88@hotmail.com     918881431   Pó & Lama BTT
totysal@hotmail.com              969690477   po&lama BTT
lcsp86@gmail.com                 918599601   PÓ & LAMA BTT
mario.pinto@millenniumbcp.pt     913461991   VeigaFit/Autopneus
norbertohenriques80@gmail.com    913300154   rodinhas da ribeira
cagareusbiketeam@sapo.pt         966067714   Cagaréus Bike Team/Pernalonga
mariosoares@hotmail.com          919638043   individual
tiky89_10@hotmail.com            919573585   Pernalonga bikes & companhia
mariotx73@gmail.com              962634771   GD Verdemilho
josevilelo@sapo.pt               967980122   Bacalhau Btt
rodolfobarreira@gmail.com        917910179   PÓTRILHOSBTT
nbseguros@hotmail.com            234556778   BTTLOVE
raulgouveia@cm-sever.pt          234556206   BTTLOVE
helder@mail.reage.pt             934127571   potrilhosbtt
marlenehpereira81@gmail.com      967623991   SEVER TEAM BTT
ruiasgomes@gmail.com             967679355   individual
ruipaulobarreiros@gmail.com      960408230   biriattus
ruipaulobarreiros@gmail.com      960408230
ruipaulobarreiros@gmail.com      960408230
bronxx170@gmail.com              913532948   Migos da Bina
paulopereira_27@hotmail.com      916010470   SeverTeam
maildobtt@gmail.com              961394244   EMPENOSDOMINGOSBTT
apolinario_martins@live.com.pt   962721217   Severteambtt
CJACALISTO@HOTMAIL.COM           961426379   BIKEZONE AVEIRO
helder@mail.reage.pt             932032459   potrilhosbtt
zecampanario@hotmail.com         964047648   SeverTeamBTT
jorge.sousa@mail.telepac.pt      914040422   Maia BTT Team
joao.mario@corvauto.pt           960563003   corvauto btt
joao.veiga@corvauto.pt           966923587   corvauto btt
luis.pinho@corvauto.pt           967093779   corvauto btt
cesario.rocha@hotmail.com        965612704   Pabol Soalhauto
ruisantoscosta@gmail.com         962095582   Cagareus Bike Team
santosbtt@hotmail.com            917730813   GHOST RIDER
danijorgebrandao@gmail.com       965880816   Individual
samuelneves@msn.com              916892985   Lusavouga Bike Team
IVFAUTO@HOTMAIL.COM              918555138   TEAM IVF AUTO
turkish.mac@gmail.com            919101538   PdxosTeam!
xilia_alves@hotmail.com          919624289   PdxosTeam!
diolsa@hotmail.com               933646632   Individual
juveaguiar@hotmail.com           915008140   individual
severinox@sapo.pt                969770634   SEVER TAEM BTT
audi_trex@hotmail.com            913967307
PEDRO.JORGE.SOARES@GMAIL.COM        918324781   TEAM IVFAUTO
fprff7@gmail.com                    961269882   LOBOS DO PEDAL/BIKEZIGEN
lcfc35@gmail.com                    967820153   LOBOS DO PEDAL/BIKEZIGEN
veigafit@gmail.com                  939508522   VeigaFit / AutoPneus
tonipacha@gmail.com                 968946499   ACCôa
saracosta@primusvitoria.com         960485052   Lobos do Pedal/Bikezigen
liliana_costa1@hotmail.com          964455724
rodrigues.leonel@gmail.com          961295334   Clube do Fitness
rui.sachse@corvauto.pt              234303150   corvauto btt
                                    916944534   Migos da Bina
toupeirinha@msn.com                 918189071   pedalsempre
nsantos@teixeiraduarte.pt           964440992   BTT TROCANOTA
gomescarvalho.j@gmail.com           938726958   individual
sergiompamaro@gmail.com             917441299   Irmãos Metralha Team
r.felix.almeida@gmail.com           914344166   Irmãos Metralha Team
ber.morais@gmail.com                967611350   EmpenósDomingosBTT
topas56@msn.com                     913230730   BTT Pinheiro de Ázere
filipejreis@gmail.com               910018510   URVA BIKE TEAM
rodrigoalmeida@live.com.pt          913058243   Pernalonga Bikes & Cia
a.miguel91@live.com.pt             9127627779   Individual
julio2correia@gmail.com             919402203   Individual
mjslemos@gmail.com                  934931508   Gondobike
luispaulo_pinto@hotmail.com         967867575   EmpenosdomingosBTT
luisnunes.dsg@gmail.com             965285996
luiscamput@hotmail.com              962980645   EmpenosdomingosBTT
marcio.marcio.17@hotmail.com        918881539   J. Santos automoveis
cesar.verdade@gmail.com             969039322   individual
cesar.ferreira.julio@hotmail.com    912371558   BTT-PROJECTO JOVEM-VICIO DO PEDAL
jose.coutinho@netvisao.pt           964776151   EmpenósDomingosBtt
rui.m.caetano@gmail.com             968037495   SWIG
luis.filipe.msantos@hotmail.com     961726765   Vicio do Pedal
camborges@sapo.pt                   915306420   Galitos / Ciclismo 1904 - Slowdown
Pauloperdido2009@hotmail.com        916937624   Seklistas Avanca
marques.telmo@gmail.com             963228514   eXCepçãoBTT
pedrotaos@mail.pt                   934252402   eXCepçãoBTT
p.antonio.correia@gmail.com         967065798   FREEBIKE-ONDABIKE
pmpmoura@hotmail.com                962695270   BTTrocanota
bafel.lda@sapo.pt                   917270349   btt pinheiro de azere
bafel.lda@sapo.pt                   917270349   btt pinheiro de azere
bafel.lda@sapo.pt                   917270349   btt pinheiro de azere
bafel.lda@sapo.pt                   917270349   btt pinheiro de azere
ra.fabikeastro@hotmail.com          913390551   Individual
bafel.lda@sapo.pt                   917270349   btt pinheiro de azere
geoalex04@portugalmail.pt           914256754   Avança
nmquaresma@gmail.com                917111238   eXCepçãoBTT
achas_7@gmail.com                   919631186   eXCepçãoBTT
comercial@santav.pt                 919223276   eXCepçãoBTT
juliano-lislye@hotmail.com          927381070   BTT Projecto Jovem / Vicio do Pedal
joni.byke@hotmail.com               914216404   PEDALSEMPRE/MINDOL/ A.C.de AZAGÃES
riquinholimafilho@gmail.com         917345309   individual
marco.ripro@gmail.com                   966243979   EmpenosDomingosBTT
ftbrandao@gmail.com                     918836181   eXCepçãoBTT
oscarcaldeira@sapo.pt                   966177089   BTTOIÃ
nunomferreira_web@hotmail.com           963405136   Btt Oiã
brunofilipematos@gmail.com              969289182   Probike Go Saude Team
streetcrazydog2@hotmail.com             911008711   guersan
pedro.vasconcelos@casadaaldeia.com      964028274
pedro_oliveira87@hotmail.com            916289532   J.Santos automóveis
manuel.capitao@gmail.com                964700964   MadBikers
heitor.araujo65@gmail.com               919862691   Individual
nunofcneves@gmail.com                   964102430
nunes.stg@gmail.com                     919093700   os phuras
joanmabo@gmail.com                      676413453
acortez@isvouga.pt                      914728202
neves.renat@gmail.com                   934908296   EmpenósDomingosBTT
antonio.jose34@gmail.com                938308114
amilcar.tavares@apts.pt                 962319746
paulomcsoares@clix.pt                   914078954
k.ark.aca@hotmail.com                   916416251   SBKTeam
iamsilva@hotmail.com                    918842654   Sbk Team
lojaaveiro@slowdown.pt                  934797911   GalitosCiclismo1904-Slowdown
andrefilipetavares@hotmail.com          918255738   intercaima
tiagoteixeira_296@hotmail.com           913390352   Agarrados ao Btt Clube
rafanetop@hotmail.com                   963276028   Agarrados ao Btt Clube
sketes@gmail.com                        912603272   Clube de Bilhar
jose2000bessa@gmail.com                 918761059   Sbk team
nguedescosta@hotmail.com                963157759
karoxu6@hotmail.com                     916683899   Btt Projecto Jovem-Vicio do Pedal
tiky89_10@hotmail.com                   919573585   vikings do mato
alexcunha1975@hotmail.com               967074505
carlosmvaz@gmail.com                    932649555   Indivudual
antoniosilva__@hotmail.com              917154629   APROCRED
                                        914899524   Individual
filipe_silva22@hotmail.com              918556315   AGARRADOS AO BTT
filipe_silva22@hotmail.com              915545378   AGARRADOS AO BTT
carlos.sever@sapo.pt                    916033707
kitus_13@hotmail.com                    919349167   Migos da Bina
pidux_15@hotmail.com                    916907422   Migos da Bina
nunocommand@gmail.com                   914100924   intercaima
isousatavares@mail.telepac.pt           966271855
pedro.paiva@motrinde.pt                 962520125   Cagareus Bike Team
anasusanasusreis@hotmail.com            938582156   GalitosCiclismo1904-Slowdown
eng.xff@gmail.com                    não possuo     individual
jmrduque@gmail.com                      967211885   White
mail@bruno-oliveira.com                 912328586   EstarrejaBikeTeam
mail@bruno-oliveira.com                 912328586   EstarrejaBikeTeam/Liberty Seguros Stª Maria da Feira
pedro_almeida_23@hotmail.com            967098021
extintoresoterino@yahoo.es              609431044   duas rodas
extintoresoterino@yahoo.es              619764902   duas rodas
lmfontoura@sapo.pt                      912834850
lmfontoura@sapo.pt                 916673851
adelaidenl@gmail.com               916028878   Galitos Ciclismo 1904 / Slowdown
liaseabra@iol.pt                   912130809   GalitosCiclismo1904-Slowdown
almeyda_1966@hotmail.com           918712148   Data Smart
luis.tribuna@gmail.com             917505568
rui.sport@gmail.com                914347550   SlowDown
elson.ferreira@live.com.pt         919847506   SlowDown
flamas_aveiro@hotmail.com          918960338
famesteb@hotmail.com               916717098
famesteb@hotmail.com               916717098
arsenio.matos@gmail.com            912695113   SlowDown/Medicértima
micobike1970@hotmail.com           917104025   SlowDown/Medicértima
fernandomoreira_@hotmail.com       967891789   SlowDown/Medicértima
vitormousinhoesteves@hotmail.com   918481969   Riding for Timor
gomes.jadr@gmail.com               914699665   Galitos 1904/Slowdown
dir.comercial@medicertima.pt       935326792   SLOWDWN-MEDICÉRTIMA
amatias@ua.pt                      966571890   individual
fernandodtr@sapo.pt                968968935
j_d_r_silva@hotmail.com            915132757
rogeriopb4@gmail.com               963722984
jmel.costa@hotmail.com             962526658   Individual

eng.antoniogarcia@gmail.com
eng.antoniogarcia@gmail.com
ricardokaka76@hotmail.com
                                               Galitos 1904/Slowdown




hilario.costa@eroding.pt
b.almeida_@hotmail.com                         Galitos 1904/Slowdown
majotaco@hotmail.com                           individual
sim
    0
                 sim
                 sim
                 não

                 sim

                 sim
    0            sim
    1
o                não


                 Sim
                 ?
                 Sim
    0            não
                 Não
        PARA PAPAR MIRTILOS
                 Não
                 Não
                 Sim
                 Não
                 Sim
                 Sim
                 Sim
    0            Sim
                 Sim
                 Sim
                 Sim
    2            Sim
                 Não
                 Não
                 Não
                 Sim
                 Sim
                 Sim
    1            Sim
                 Não
    1            Sim
                 Sim
                 Não
                 Sim
                 Sim
                 Sim
    0            Sim
                 Não
                 Não
    2            Sim
1               Sim
0               Sim
2               Sim
3               Sim
1               Sim
0               Sim
0               Sim
                Sim
                Sim
                Não
                Não
1               Sim
                Não
                Não
                Não
1               Sim
0               Sim
0               Sim
                Sim
                Sim
0               Não
                Não
                Sim
                Sim
                Sim
                Sim
0               Sim
                Não
0               Sim
                Sim
1               Sim
0               Sim
0               Não
                Não
                não
1               Sim
    Disponibilizarão o track da 1/2 maratona para GPS?
                Sim
                Sim
                Sim
                Sim
                Sim
1               Sim
                Sim
0               Sim
                Não
                Não
                Não
                Não
0               Sim
                Não
Sim
                                 0              não
                                 0              sim
                                                sim
                                                não
                                                sim
                                 0              não
                                                sim
                                                não
                                                Não
                                 0              Sim
                                                Sim
                                 1              Sim
                                                Não
                                                Sim
                                                Não
                                                Não
                                                Sim
                                 0              Não
                                 0              Não
                                                Sim
                                                Sim
                                                Sim
                                                Sim
                                 0              Não
                                 0              Não
                                                Não
                                                Não
                                                Não
                                                Não
                                                Não
                                                Não
                                                Não
                                                Não
                                                Não
                                                Não
                                                Não
                                                Não
                                 0              Não
                                 0              Não
                                                Não
                                                Não
                                 0   A transferência dos 10€ será realizada hoje 27-06-2011.
                                                Não
                                                Não
                                                Não
rty Seguros Stª Maria da Feira                  Não
                                                Não
                                                Sim
                                                Sim
                                                Sim
Sim
    Não
    Não
    Sim
    Não
    Não
    Não
    Não
    Não
    Não
    Não
    Não
    Não
    Não
    Não
    Não
1   Sim
    Sim
    Sim
    Não
    Não
    não
    sim
    sim
    não
    não
    não



    não
    não
    sim

Inscrições completas

  • 1.
    01/01/1900 rui romao 19/04/2011 EMANUEL FORMIGA 19/04/2011 Sérgio Alexandre Marcelino de Figueiredo 20/04/2011 Rui Loureiro 20/04/2011 Agostinho Costa Fernandes 20/04/2011 HUMBERTO DA SILVA CARVALHEIRA 20/04/2011 Carlos Alberto dos Santos Martins 25/04/2011 carlos manuel maia marques 26/04/2011 Luis Carlos Pereira Carvalho 26/04/2011 paulo mendes 27/04/2011 luis pereira 27/04/2011 Mário Jorge Pinto 29/04/2011 Norberto Alves Henriques 29/04/2011 Hernâni Amaral 01/05/2011 MÁRIO SOARES 01/05/2011 Tiago Ribeiro 02/05/2011 Mário Teixeira 03/05/2011 José Mário Vilelo 03/05/2011 Rodolfo Barreira 08/05/2011 NATALIA BRAGA 08/05/2011 RAUL GOUVEIA 08/05/2011 Helder Tavares 10/05/2011 Marlene Pereira 14/05/2011 Rui Gomes 16/05/2011 Rui Paulo Barreiros de Oliveira 16/05/2011 Pedro Manuel de Oliveira Henriques 16/05/2011 Celso Vitor Pereira Trigo 16/05/2011 António Freitas 18/05/2011 Paulo Sérgio H. Pereira 19/05/2011 Marco Saraiva 19/05/2011 Apolinario Martins 23/05/2011 CARLOS CALISTO 29/05/2011 Raul Monteiro 30/05/2011 José Santos 31/05/2011 Jorge Manuel Maia Silva Alves Sousa 02/06/2011 joao mario 02/06/2011 joao veiga 02/06/2011 luis pinho 02/06/2011 Cesario Rocha 03/06/2011 Rui Costa 05/06/2011 ALBERTO SANTOS 06/06/2011 Daniel Brandão 07/06/2011 Samuel Neves 07/06/2011 IVO FONTOURA 09/06/2011 António José Trindade 09/06/2011 Ana Isabel Costa Pinto Alves 10/06/2011 Diana Santos 11/06/2011 juvencio aguiar 11/06/2011 António Martins Costa Amador 11/06/2011 David Estrela Pereira
  • 2.
    11/06/2011 PEDRO SOARES 11/06/2011 PAULA FERREIRA 11/06/2011 LUIS CORDEIRO 11/06/2011 Silvério da Sêca Martins 13/06/2011 toni nevado 13/06/2011 Sara Costa 13/06/2011 Liliana Costa 14/06/2011 Leonel António Ferreira Braz Rodrigues 14/06/2011 rui sachse 14/06/2011 Helder Almeida 14/06/2011 NOel Costa 15/06/2011 nuno miguel neves dos santos 15/06/2011 JOSÉ ANTÓNIO 16/06/2011 Sérgio Amaro 16/06/2011 Ricardo Félix 16/06/2011 Bruno E. R. Morais 16/06/2011 João Pedro Maio Castro Ferreira 16/06/2011 Filipe Pereira 17/06/2011 Rodrigo André Melo Almeida 18/06/2011 Alexandre Miguel Santos Conceição 19/06/2011 Júlio António da Piedade Simões Correia 19/06/2011 Marcio Lemos 19/06/2011 Luis Pinto 19/06/2011 Jorge Oliveira 19/06/2011 Luis Campos 19/06/2011 Márcio Oliveira 20/06/2011 César Carvalhinho 20/06/2011 Julio ferreira 20/06/2011 JOSE COUTINHO 20/06/2011 Rui Miguel Marques Caetano 20/06/2011 Luis Filipe Miranda dos Santos 21/06/2011 Carlos Borges 21/06/2011 Paulo Pereira 21/06/2011 Telmo Marques 21/06/2011 Pedro Pinheiro 21/06/2011 PAULO CORREIA 21/06/2011 Pedro Miguel Pestana Moura 21/06/2011 JOAO VENTURA 21/06/2011 joaquim oliveira 21/06/2011 carlos jorge feijo 21/06/2011 joao oliveira 21/06/2011 RAFAEL SILVA 21/06/2011 luiz miguel frade 21/06/2011 Alexandre Casimiro 21/06/2011 Nuno Quaresma 21/06/2011 MIGUEL JORGE SANTOS FERREIRA 21/06/2011 Domingos Santiago 21/06/2011 Juliano Netto 21/06/2011 João Lopes Teixeira 21/06/2011 Francisco Jose de Lima Filho
  • 3.
    21/06/2011 Marco Proença ######### Filipe Brandão ######### OSCAR MARTINS ######### Nuno Miguel Martins Ferreira ######### bruno filipe ferraz cacais de matos ######### jose miguel rosmaninho pinto ######### Pedro vasconcelos ######### Pedro Oliveira ######### Manuel Capitão 23/06/2011 Heitor Araújo 23/06/2011 Nuno Filipe Carvalho Neves 23/06/2011 j.nunes 23/06/2011 Jose Antonio 24/06/2011 Antonio Cortez 24/06/2011 Renato Neves 24/06/2011 António José da Silva Coutinho 24/06/2011 Amilcar Rafael Rodrigues Tavares 24/06/2011 Paulo Soares 24/06/2011 Bruno Sacramento 24/06/2011 Ivo Palhas 24/06/2011 Paulo Ramirez 25/06/2011 andre filipe da costa tavares 25/06/2011 Tiago Teixeira 25/06/2011 Rafael Neto 25/06/2011 Carlos Manuel Silva Lopes 25/06/2011 José bessa 25/06/2011 Nelson Costa 25/06/2011 Fábio Alves 26/06/2011 Ercilio 26/06/2011 Alexandre Cunha 26/06/2011 Carlos Vaz 26/06/2011 ANTÓNIO SILVA 26/06/2011 Celso Fernandes 26/06/2011 Filipe Silva 26/06/2011 Daniel Silveira 26/06/2011 Carlos Amaral 27/06/2011 Marco Miguel Ferreira Goncalves 27/06/2011 Pedro Tiago Silva Teixeira 27/06/2011 Nuno Almeida 27/06/2011 Adriano Tavares 27/06/2011 Pedro Paiva 27/06/2011 Susana Reis 27/06/2011 Fernando Figueiredo 27/06/2011 João Duque 27/06/2011 Bruno Oliveira 27/06/2011 Bruno Carvalho 27/06/2011 Pedro Almeida 27/06/2011 jose manuel oterino saburido 27/06/2011 jose manuel blanco blanco 27/06/2011 Luis Miguel Rodrigues Gomes
  • 4.
    27/06/2011 Marcelo Silvino Matias Martins Pereira 27/06/2011 Adelaide Novais Lopes 27/06/2011 Lia Seabra 27/06/2011 GIL GUERRA 27/06/2011 Luis Tribuna 27/06/2011 Rui Almeida 27/06/2011 Elson Ferreira 27/06/2011 Pedro Fernanes 27/06/2011 Carolina Martinez 27/06/2011 Javier Esteban 27/06/2011 Arsénio Matos 27/06/2011 Domingos Magalhães 27/06/2011 Fernando Moreira 27/06/2011 Vitor Mousinho-Esteves 27/06/2011 Joao Adriano Gomes 27/06/2011 HENRIQUE RESENDE 27/06/2011 André Matias 27/06/2011 fernando daniel tavares rodrigues 27/06/2011 joaquim daniel rodrigues da silva 27/06/2011 Rogério Bastos 27/06/2011 José Manuel Costa 28/06/2011 Décio Cancela Antonio Garcia Antonio Rafael Rodrigues Ricardo Marques hugo rodrigues luis ventura Aderito Ferreira Francisco Tiago Ferreira Francisco Hilário Costa Bruno Almeida Marisa João Tavares da Costa
  • 5.
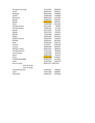
    rua david santos 12/12/1974 10356629 SEVER DO VOUGA 25/11/1964 7029696 Verdemilho 26/10/1972 9813005 Senhorinha - Sever do Vouga 25/03/1976 10730902 5ZZ2 Sever do Vouga 08/10/1965 7393518 SEVER DO VOUGA 23/11/1965 7786456 S.Bernardo 06/09/1974 10601000 sever do vouga 09/04/1974 10413816 Sever do Vouga 12/02/1988 13436924 paradela 23/04/1981 12210069 Sever do Vouga 06/06/1986 12979302 Sever do Vouga 05/01/1978 11383933 ribeira de fráguas 03/07/1980 12195897 Aveiro 29/06/1953 2859559 VERMOIM - MAIA 26/05/1959 3713141 oliveira do bairro 26.03.87 13222374 Aveiro 22/12/1973 10339202 Ílhavo 09/09/1961 5559082 Torres Vedras 26/02/1979 11563647 SEVER DOU VOUGA 24/12/1906 6663336 SEVER DO VOUGA 07/01/1962 5652048 Albergaria-a-velha 16/11/1978 11260655 Pessegueiro do Vouga ######### 12002176 Ovar 16/07/1976 10858942 Viseu 25/12/1965 7385705 Viseu 03/02/1975 10549489 Viseu 05/04/1965 9949743 Cucujães 02/12/1975 10894902 Nogueira-Sever do Vouga 25/05/1976 10807359 EIXO- AVEIRO 03/08/1974 10301783 Recardães 23/09/1962 6256126 AVEIRO 18/12/1973 10128691 Cedrim 08/11/1970 10752857 Encosta S João 06/01/1958 3603443 Maia 11/12/1976 10825730 aveiro 21/03/1966 6960546 aveiro 09/12/1977 11025144 aveiro 05/04/1967 7706492 Ilhavo 06/03/1967 8606922 Aveiro 28/12/1976 10830823 ALBERGARIA-A-VELHA 02111980 11974642 Vale de Cambra 25/07/1979 11476652 Aveiro 1793/04/18 10077256 ANGEJA 18/03/1977 11361892 Tondela 11/02/1985 12834175 Penalva do Castelo 27/09/1983 12382735 Canelas 17/07/1984 12543872 carregosa 17/09/1973 10431854 Sever do Vouga 12/10/1963 8189291 Sever do Vouga 09/10/1997 13933534
  • 6.
    AVEIRO 28/O7/1981 11921320 AVEIRO 24/08/1970 8846950 AVEIRO 15/11/1966 9783418 Senhorinha 05/05/1959 5407393 vila nova de foz côa 25/11/1979 13309305 Aveiro 13/10/1972 9831224 Aveiro 13/12/1982 12125873 Gafanha da Nazaré 17/06/1967 7475784 aveiro 06/02/1970 8871145 Oliveira de Azemeis 01/02/1975 10541332 Oliveira de Azemeis 01/09/1975 10684106 pinheiro de azere 02/12/1973 10276044 SÓLIGO-PESSEGUEIRO DO VOUGA 28/05/1963 5936761 Cacia 03/05/1984 12558060 Fermelã 07/03/1981 11912148 Légua - Ílhavo 12/04/1977 10741136 Aveiro 22/10/1985 12810186 Aveiro 02/02/1972 10634046 Sangalhos 20/10/1982 12148284 Oliveira do Bairro 30/03/1984 12486429 Rua Da Liberdade nº 76-A, 2º dto. - M. Do Vouga - 3750 779 TROFA4241799 21/06/1958 AGD Sebolido- Penafiel 18/02/1983 12419467 Verdemilho - Aveiro 03/09/1971 9534751 Ilhavo 12/07/1966 9699454 Verdemilho - Aveiro 11/06/1966 7755926 Cesar 27/10/1983 12439477 Ílhavo 20/05/1975 10588187 malhapao-oia 08/06/1983 14756641 BONSUCESSO 12/09/1971 9511823 Esgueira 29/04/1969 9336198 Rua Sargento Joao Nunes Redondo nº144 2ºfrente6/11/1977 1 11281818 Avanca 17/09/1965 10426269 Válega 18/05/1978 11231460 Albergaria-a-Velha 19/12/1973 10022365 Macinhata do Vouga 22/11/1977 11039077 TONDELA 18/09/1970 1857655 Carregal do Sal 26/01/1967 7672307 PINHEIRO DE AZERE 12_01_1957 3608060 pinheiro de azere 24_10_1979 1167839 aveiro 12/12/1978 10518265 pinheiro de azere 05/04/1958 7155916 Estarreja 20/04/1981 12469845 leiria 15/12/1974 12251270 Mortágua 23/06/1978 11380145 Albergaria-a-Velha 03/05/1977 11114189 AGUEDA 29/09/1983 12473965 Macinhata do Vouga 26/02/1967 7648300 Aveiro 08/04/1985 150024 Carregosa 23/03/1972 11195737 Esgueira Aveiro 05/11/1965 P000595232
  • 7.
    São Bernardo -Aveiro 20/07/1975 10666531 Vale de Cambra 8/27/1981 12034207 OLIVEIRA DO BAIRRO 4/22/1960 5416860 Oiã 6/23/1978 11355321 senhora da hora 27071977 11146044 aveiro 12/11/1985 13001909 Sever do Vouga 3/10/1968 7653779 Cesar 7/27/1987 13203079 Santa Maria da Feira 12/19/1966 7922408 Santa Maria da Feira 19/07/1965 6880011 Aveiro 17/08/1979 11480588 albergaria 03/05/1974 10746509 Ourense - Eespaña 15/07/1969 76709489G Santa Maria da Feira 26/03/1960 3728749 Aveiro 11/06/1979 11534087 Sever do Vouga 30/01/1972 9920933 Senhorinha 27/07/1975 10878607 Santa Maria da Feira 15/04/1971 9655176 Albergaria-a-Velha 03/08/1981 11923870 Travanca 291195 14548515 Aveiro 02/07/1973 10167605 vale de cambra 16/09/1979 11996029 Aveiro 29/06/1994 14672196 Aveiro 06/05/1994 14670369 Pindelo 01/12/1976 10751774 Travanca 19111979 11782776 Ilhavo 03 01 76 10746966 Fermentelos 27/01/1990 13648765 oliveira do bairro 16.10.75 10936023 Verdemilho - Aveiro 26/07/1975 10524358 Feira 05/10/1971 9542111 ALBERGARIA Á VELHA 27/08/1976 10893430 agueda 23/04/1961 6094969 Aveiro 26/07/1986 13046628 Aveiro 17/08/1987 13214498 Sever do Vouga 21/10/1977 11144913 São João da Madeira 13/04/1978 11592618 São João da Madeira 04/05/1989 13632085 Vale de cambra 05/07/1972 9811075 Santa Maria da Feira 08/11/1967 7716132 Albergaria-a-Velha 11/03/2011 10654372 Aveiro 10/06/1980 11682959 Sever do Vouga 06/12/1978 11244535 Sangalhos 20/09/1982 12148668 Estarreja 23/07/1979 11469143 Estarreja 31/05/1996 14751909 Mourisca do Vouga 23/10/1983 12400318 ourense 29/09/1970 34992133-w ourense 25/04/1969 34981214-p Pessegueiro do Vouga 13/10/1971 9631435
  • 8.
    Pessegueiro do Vouga 27/12/1976 10878618 Aveiro 20/05/1975 11007521 Mealhada 04/05/1980 11828406 ILHAVO 26/08/1966 7638500 Mamarrosa 08/05/1982 12147430 Agueda 10/08/1965 10367647 Agueda 09/03/1994 14970255 Aveiro 11/02/1984 12611052 Vila Nova de Gaia 06/11/1963 405093 Vila Nova de Gaia 12/08/1962 1115335 Águeda 18/11/1965 7351583 Águeda 27/07/1970 9705532 Águeda 17/10/1980 11683411 Angeja 28/04/1984 12627544 Oliveirinha-Aveiro 14/02/1964 6569874 ÁGUEDA 19/09/1975 10526142 Ílhavo 19/03/1981 11957732 murtosa 10-101977 11095184 murtosa 30/06/1986 13266787 Albergari-a-Velha 04/05/1974 10586733 Sta. Maria da Feira 27/01/1964 8429902 sever do vouga 17/02/1960 5419179 Aveiro 06/06/1960 1914721 Aveiro 18/06/1998 15656212 OLIVEIRA DO BAIRRO 03/05/1976 11113976 aveiro 23/10/1978 11816278 sever do vouga 09/01/1973 1000 59 87 Sever do Vouga sever do vouga Santa Maria da Feira 23/03/1967 8864497 aveiro 01-05-1982 12838919 Alquerubim 23/04/1976 10782390
  • 9.
    ruipromao@gmail.com 919630513 emanuel.formiga@hotmail.com 919897670 sever team btt sergiodfigueiredo@gmail.com 966787684 GD Verdemilho ruiloureiro@cm-sever.pt 963188237 fernandes.costa@sapo.pt 917610760 SEVER TEAM BTT scottmen212@sapo.pt 964132255 SEVER TEAM BTT elianaaveiro@hotmail.com 965744599 carlosribok@hotmail.com 960401654 po&lama btt luis_carvalho_88@hotmail.com 918881431 Pó & Lama BTT totysal@hotmail.com 969690477 po&lama BTT lcsp86@gmail.com 918599601 PÓ & LAMA BTT mario.pinto@millenniumbcp.pt 913461991 VeigaFit/Autopneus norbertohenriques80@gmail.com 913300154 rodinhas da ribeira cagareusbiketeam@sapo.pt 966067714 Cagaréus Bike Team/Pernalonga mariosoares@hotmail.com 919638043 individual tiky89_10@hotmail.com 919573585 Pernalonga bikes & companhia mariotx73@gmail.com 962634771 GD Verdemilho josevilelo@sapo.pt 967980122 Bacalhau Btt rodolfobarreira@gmail.com 917910179 PÓTRILHOSBTT nbseguros@hotmail.com 234556778 BTTLOVE raulgouveia@cm-sever.pt 234556206 BTTLOVE helder@mail.reage.pt 934127571 potrilhosbtt marlenehpereira81@gmail.com 967623991 SEVER TEAM BTT ruiasgomes@gmail.com 967679355 individual ruipaulobarreiros@gmail.com 960408230 biriattus ruipaulobarreiros@gmail.com 960408230 ruipaulobarreiros@gmail.com 960408230 bronxx170@gmail.com 913532948 Migos da Bina paulopereira_27@hotmail.com 916010470 SeverTeam maildobtt@gmail.com 961394244 EMPENOSDOMINGOSBTT apolinario_martins@live.com.pt 962721217 Severteambtt CJACALISTO@HOTMAIL.COM 961426379 BIKEZONE AVEIRO helder@mail.reage.pt 932032459 potrilhosbtt zecampanario@hotmail.com 964047648 SeverTeamBTT jorge.sousa@mail.telepac.pt 914040422 Maia BTT Team joao.mario@corvauto.pt 960563003 corvauto btt joao.veiga@corvauto.pt 966923587 corvauto btt luis.pinho@corvauto.pt 967093779 corvauto btt cesario.rocha@hotmail.com 965612704 Pabol Soalhauto ruisantoscosta@gmail.com 962095582 Cagareus Bike Team santosbtt@hotmail.com 917730813 GHOST RIDER danijorgebrandao@gmail.com 965880816 Individual samuelneves@msn.com 916892985 Lusavouga Bike Team IVFAUTO@HOTMAIL.COM 918555138 TEAM IVF AUTO turkish.mac@gmail.com 919101538 PdxosTeam! xilia_alves@hotmail.com 919624289 PdxosTeam! diolsa@hotmail.com 933646632 Individual juveaguiar@hotmail.com 915008140 individual severinox@sapo.pt 969770634 SEVER TAEM BTT audi_trex@hotmail.com 913967307
  • 10.
    PEDRO.JORGE.SOARES@GMAIL.COM 918324781 TEAM IVFAUTO fprff7@gmail.com 961269882 LOBOS DO PEDAL/BIKEZIGEN lcfc35@gmail.com 967820153 LOBOS DO PEDAL/BIKEZIGEN veigafit@gmail.com 939508522 VeigaFit / AutoPneus tonipacha@gmail.com 968946499 ACCôa saracosta@primusvitoria.com 960485052 Lobos do Pedal/Bikezigen liliana_costa1@hotmail.com 964455724 rodrigues.leonel@gmail.com 961295334 Clube do Fitness rui.sachse@corvauto.pt 234303150 corvauto btt 916944534 Migos da Bina toupeirinha@msn.com 918189071 pedalsempre nsantos@teixeiraduarte.pt 964440992 BTT TROCANOTA gomescarvalho.j@gmail.com 938726958 individual sergiompamaro@gmail.com 917441299 Irmãos Metralha Team r.felix.almeida@gmail.com 914344166 Irmãos Metralha Team ber.morais@gmail.com 967611350 EmpenósDomingosBTT topas56@msn.com 913230730 BTT Pinheiro de Ázere filipejreis@gmail.com 910018510 URVA BIKE TEAM rodrigoalmeida@live.com.pt 913058243 Pernalonga Bikes & Cia a.miguel91@live.com.pt 9127627779 Individual julio2correia@gmail.com 919402203 Individual mjslemos@gmail.com 934931508 Gondobike luispaulo_pinto@hotmail.com 967867575 EmpenosdomingosBTT luisnunes.dsg@gmail.com 965285996 luiscamput@hotmail.com 962980645 EmpenosdomingosBTT marcio.marcio.17@hotmail.com 918881539 J. Santos automoveis cesar.verdade@gmail.com 969039322 individual cesar.ferreira.julio@hotmail.com 912371558 BTT-PROJECTO JOVEM-VICIO DO PEDAL jose.coutinho@netvisao.pt 964776151 EmpenósDomingosBtt rui.m.caetano@gmail.com 968037495 SWIG luis.filipe.msantos@hotmail.com 961726765 Vicio do Pedal camborges@sapo.pt 915306420 Galitos / Ciclismo 1904 - Slowdown Pauloperdido2009@hotmail.com 916937624 Seklistas Avanca marques.telmo@gmail.com 963228514 eXCepçãoBTT pedrotaos@mail.pt 934252402 eXCepçãoBTT p.antonio.correia@gmail.com 967065798 FREEBIKE-ONDABIKE pmpmoura@hotmail.com 962695270 BTTrocanota bafel.lda@sapo.pt 917270349 btt pinheiro de azere bafel.lda@sapo.pt 917270349 btt pinheiro de azere bafel.lda@sapo.pt 917270349 btt pinheiro de azere bafel.lda@sapo.pt 917270349 btt pinheiro de azere ra.fabikeastro@hotmail.com 913390551 Individual bafel.lda@sapo.pt 917270349 btt pinheiro de azere geoalex04@portugalmail.pt 914256754 Avança nmquaresma@gmail.com 917111238 eXCepçãoBTT achas_7@gmail.com 919631186 eXCepçãoBTT comercial@santav.pt 919223276 eXCepçãoBTT juliano-lislye@hotmail.com 927381070 BTT Projecto Jovem / Vicio do Pedal joni.byke@hotmail.com 914216404 PEDALSEMPRE/MINDOL/ A.C.de AZAGÃES riquinholimafilho@gmail.com 917345309 individual
  • 11.
    marco.ripro@gmail.com 966243979 EmpenosDomingosBTT ftbrandao@gmail.com 918836181 eXCepçãoBTT oscarcaldeira@sapo.pt 966177089 BTTOIÃ nunomferreira_web@hotmail.com 963405136 Btt Oiã brunofilipematos@gmail.com 969289182 Probike Go Saude Team streetcrazydog2@hotmail.com 911008711 guersan pedro.vasconcelos@casadaaldeia.com 964028274 pedro_oliveira87@hotmail.com 916289532 J.Santos automóveis manuel.capitao@gmail.com 964700964 MadBikers heitor.araujo65@gmail.com 919862691 Individual nunofcneves@gmail.com 964102430 nunes.stg@gmail.com 919093700 os phuras joanmabo@gmail.com 676413453 acortez@isvouga.pt 914728202 neves.renat@gmail.com 934908296 EmpenósDomingosBTT antonio.jose34@gmail.com 938308114 amilcar.tavares@apts.pt 962319746 paulomcsoares@clix.pt 914078954 k.ark.aca@hotmail.com 916416251 SBKTeam iamsilva@hotmail.com 918842654 Sbk Team lojaaveiro@slowdown.pt 934797911 GalitosCiclismo1904-Slowdown andrefilipetavares@hotmail.com 918255738 intercaima tiagoteixeira_296@hotmail.com 913390352 Agarrados ao Btt Clube rafanetop@hotmail.com 963276028 Agarrados ao Btt Clube sketes@gmail.com 912603272 Clube de Bilhar jose2000bessa@gmail.com 918761059 Sbk team nguedescosta@hotmail.com 963157759 karoxu6@hotmail.com 916683899 Btt Projecto Jovem-Vicio do Pedal tiky89_10@hotmail.com 919573585 vikings do mato alexcunha1975@hotmail.com 967074505 carlosmvaz@gmail.com 932649555 Indivudual antoniosilva__@hotmail.com 917154629 APROCRED 914899524 Individual filipe_silva22@hotmail.com 918556315 AGARRADOS AO BTT filipe_silva22@hotmail.com 915545378 AGARRADOS AO BTT carlos.sever@sapo.pt 916033707 kitus_13@hotmail.com 919349167 Migos da Bina pidux_15@hotmail.com 916907422 Migos da Bina nunocommand@gmail.com 914100924 intercaima isousatavares@mail.telepac.pt 966271855 pedro.paiva@motrinde.pt 962520125 Cagareus Bike Team anasusanasusreis@hotmail.com 938582156 GalitosCiclismo1904-Slowdown eng.xff@gmail.com não possuo individual jmrduque@gmail.com 967211885 White mail@bruno-oliveira.com 912328586 EstarrejaBikeTeam mail@bruno-oliveira.com 912328586 EstarrejaBikeTeam/Liberty Seguros Stª Maria da Feira pedro_almeida_23@hotmail.com 967098021 extintoresoterino@yahoo.es 609431044 duas rodas extintoresoterino@yahoo.es 619764902 duas rodas lmfontoura@sapo.pt 912834850
  • 12.
    lmfontoura@sapo.pt 916673851 adelaidenl@gmail.com 916028878 Galitos Ciclismo 1904 / Slowdown liaseabra@iol.pt 912130809 GalitosCiclismo1904-Slowdown almeyda_1966@hotmail.com 918712148 Data Smart luis.tribuna@gmail.com 917505568 rui.sport@gmail.com 914347550 SlowDown elson.ferreira@live.com.pt 919847506 SlowDown flamas_aveiro@hotmail.com 918960338 famesteb@hotmail.com 916717098 famesteb@hotmail.com 916717098 arsenio.matos@gmail.com 912695113 SlowDown/Medicértima micobike1970@hotmail.com 917104025 SlowDown/Medicértima fernandomoreira_@hotmail.com 967891789 SlowDown/Medicértima vitormousinhoesteves@hotmail.com 918481969 Riding for Timor gomes.jadr@gmail.com 914699665 Galitos 1904/Slowdown dir.comercial@medicertima.pt 935326792 SLOWDWN-MEDICÉRTIMA amatias@ua.pt 966571890 individual fernandodtr@sapo.pt 968968935 j_d_r_silva@hotmail.com 915132757 rogeriopb4@gmail.com 963722984 jmel.costa@hotmail.com 962526658 Individual eng.antoniogarcia@gmail.com eng.antoniogarcia@gmail.com ricardokaka76@hotmail.com Galitos 1904/Slowdown hilario.costa@eroding.pt b.almeida_@hotmail.com Galitos 1904/Slowdown majotaco@hotmail.com individual
  • 13.
    sim 0 sim sim não sim sim 0 sim 1 o não Sim ? Sim 0 não Não PARA PAPAR MIRTILOS Não Não Sim Não Sim Sim Sim 0 Sim Sim Sim Sim 2 Sim Não Não Não Sim Sim Sim 1 Sim Não 1 Sim Sim Não Sim Sim Sim 0 Sim Não Não 2 Sim
  • 14.
    1 Sim 0 Sim 2 Sim 3 Sim 1 Sim 0 Sim 0 Sim Sim Sim Não Não 1 Sim Não Não Não 1 Sim 0 Sim 0 Sim Sim Sim 0 Não Não Sim Sim Sim Sim 0 Sim Não 0 Sim Sim 1 Sim 0 Sim 0 Não Não não 1 Sim Disponibilizarão o track da 1/2 maratona para GPS? Sim Sim Sim Sim Sim 1 Sim Sim 0 Sim Não Não Não Não 0 Sim Não
  • 15.
    Sim 0 não 0 sim sim não sim 0 não sim não Não 0 Sim Sim 1 Sim Não Sim Não Não Sim 0 Não 0 Não Sim Sim Sim Sim 0 Não 0 Não Não Não Não Não Não Não Não Não Não Não Não Não 0 Não 0 Não Não Não 0 A transferência dos 10€ será realizada hoje 27-06-2011. Não Não Não rty Seguros Stª Maria da Feira Não Não Sim Sim Sim
  • 16.
    Sim Não Não Sim Não Não Não Não Não Não Não Não Não Não Não Não 1 Sim Sim Sim Não Não não sim sim não não não não não sim