Incorporar apresentação
Baixado 69 vezes



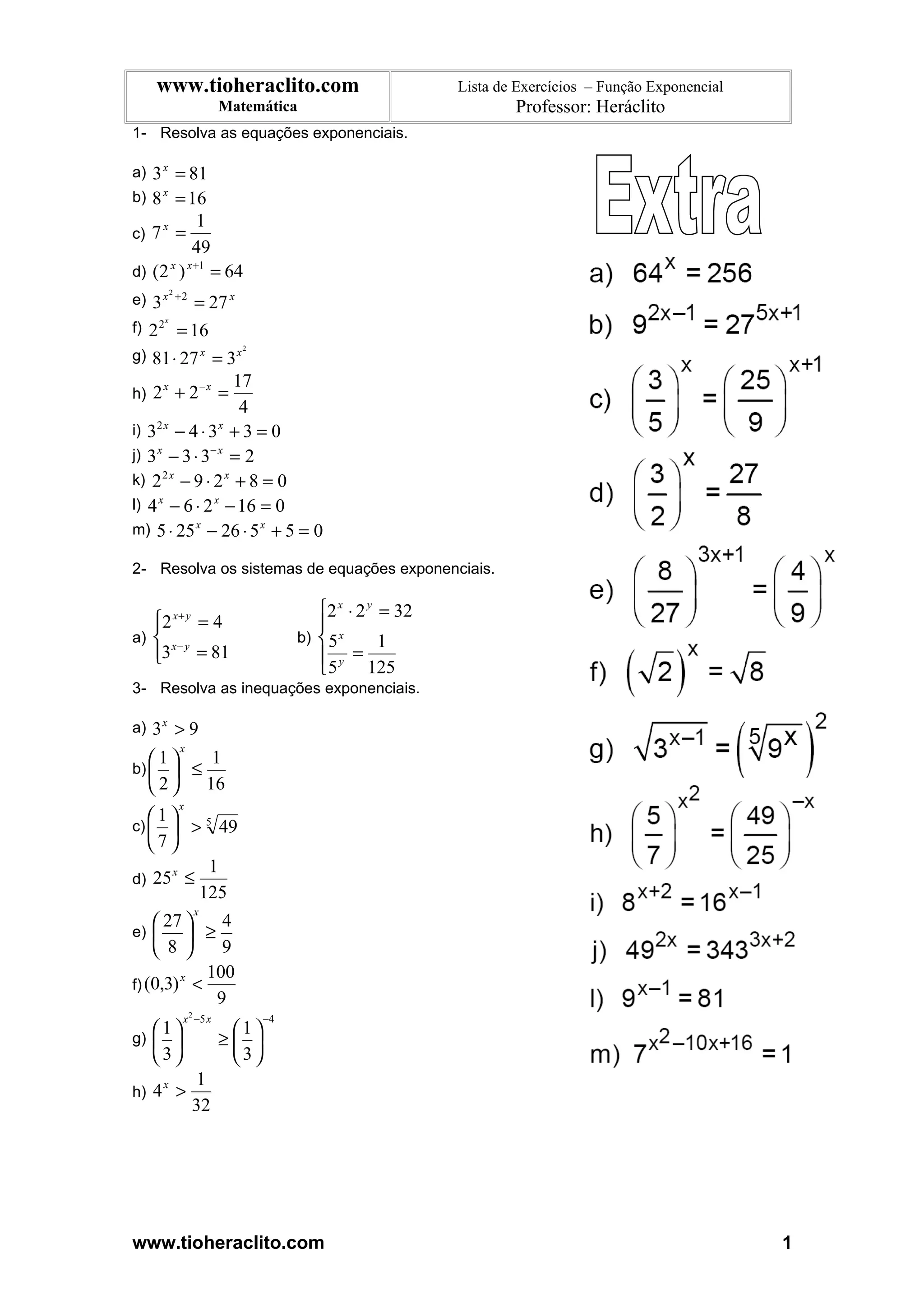
O documento apresenta uma lista de exercícios de funções exponenciais com 3 partes: 1) resolução de equações exponenciais, 2) resolução de sistemas de equações exponenciais e 3) resolução de inequações exponenciais. São propostos exercícios para serem resolvidos envolvendo operações com expoentes e logaritmos.

