Alberto Magno Silveira Boaventura
Avaliação de Métodos de Estimação da Direção de
Chegada de Sinais em Sistemas de Comunicações
Celulares
Dissertação apresentada ao Departamento de Engenharia
Elétrica da PUC-RJ como parte dos requisitos para
obtenção do título de Mestre em Engenharia Elétrica.
Orientador: João Célio Brandão
CETUC
Pontifícia Universidade Católica do Rio de Janeiro
Rio de Janeiro, 30 de Abril de 1998.
Ao meu filho e ao meu irmão José.
Agradecimentos
Ao Professor João Célio Brandão pelo crédito, sugestões e apoio;
Aos Professores do CETUC;
À EMBRATEL pela oportunidade e financiamento do meu curso;
Ao amigo Gofredo Jorge Moreira pelo incentivo e apoio durante todo o curso;
Ao Professor José Fabiano da Rocha pelo apoio;
À minha mulher e ao meu filho pela paciência.
Resumo
Este estudo tem por objetivo contribuir para o emprego de antenas adaptativas em
sistemas de comunicações sem fio. É feita uma revisão dos métodos de estimação de ângulo
de chegada e de sua utilização na formação de feixe. O desempenho de alguns métodos
baseados em subspace fitting é comparado através de simulação considerando quatro
cenários. O primeiro supõe apenas a presença de ruído. Os demais consideram os modelos
típicos de espalhamento local, ou seja, espalhamento aleatório dos ângulos de chegada.
Abstract
This work intends to contribute for the employment of the Adaptive Antennas in
Wireless Communications. In this way, a review of methods for direction of arrival estimation
and beamforming is presented. The performance of some subspace fitting direction of arrival
estimation methods is evaluated by simulation considering four propagation scenarios: The
first assumes only additive white Gaussian noise; The three others consider typical models for
local scattering , which means a random angular spread of angle of arrival.
iii
Sumário
1. INTRODUÇÃO.................................................................................................................................................1
1.1 SISTEMAS DE COMUNICAÇÕES MÓVEIS .........................................................................................................3
1.2 MÉTODOS DE ACESSO....................................................................................................................................5
1.2.1 FDMA.....................................................................................................................................................6
1.2.2 TDMA.....................................................................................................................................................6
1.2.3 CDMA ....................................................................................................................................................7
1.2.4 TDD e FDD............................................................................................................................................8
1.3 O SDMA .......................................................................................................................................................9
1.3.1 Segmentação ..........................................................................................................................................9
1.3.2 Setorização...........................................................................................................................................10
1.3.3 Antenas Adaptativas.............................................................................................................................11
1.4 ANTENAS ADAPTATIVAS..............................................................................................................................13
1.4.1 Estimação da Direção de Chegada......................................................................................................13
1.4.2 Formação Ótima de Feixe e a Estimação da Direção de Chegada ....................................................14
1.4.3 Antenas Adaptativas em Comunicações Móveis...................................................................................15
1.4.4 Limitações ............................................................................................................................................16
1.5 OBJETIVO DESTE ESTUDO ............................................................................................................................18
2. ANTENAS ADAPTATIVAS..........................................................................................................................19
2.1 FUNÇÃO DE ONDA - WAVEFIELD ................................................................................................................19
2.1.1 Representação Complexa.....................................................................................................................20
2.1.2 Sinal de Faixa Estreita.........................................................................................................................21
2.2 ANTENA.......................................................................................................................................................22
2.2.1 Diagrama de Irradiação ......................................................................................................................24
2.2.2 Lobo Principal .....................................................................................................................................24
2.2.3 Matriz de Antenas.................................................................................................................................25
2.3 EXPLORANDO A DIMENSÃO ESPACIAL.........................................................................................................27
2.3.1 Amostragem Espacial...........................................................................................................................28
2.3.2 Array Manifold e Estimação de Parâmetros........................................................................................29
2.3.3 Matriz Covariância Espacial e Propriedades Algébricas....................................................................31
2.3.4 ULA - Uniform Linear Array................................................................................................................33
2.4 RESPOSTA DO CONJUNTO DE ANTENAS - BEAMFORMING ..............................................................................36
2.4.1 Formas de Implementação do Beamforming........................................................................................36
2.4.2 Phased Array........................................................................................................................................38
2.4.3 Modelo Geral .......................................................................................................................................41
2.4.4 Diagrama de Irradiação do Conjunto de Antenas ...............................................................................42
2.4.5 Formação Convencional de Feixe.......................................................................................................43
2.4.6 Cancelamento de Sinais - Null Steering...............................................................................................45
2.4.7 Formação Ótima de Feixe....................................................................................................................45
3. FORMAÇÃO ÓTIMA DE FEIXE E A ESTIMAÇÃO DA DIREÇÃO DE CHEGADA..........................46
3.1 MOTIVAÇÃO PARA ESTIMAÇÃO DA DIREÇÃO DE CHEGADA.........................................................................47
3.2 ESTIMAÇÃO DA DIREÇÃO DE CHEGADA BASEADO NA RESPOSTA DO CONJUNTO DE ANTENAS ....................48
3.2.1 Método da Variância da Resposta do Phased Array............................................................................48
3.2.2 Método de Mínima Variância...............................................................................................................49
3.2.3 Método da Maximização da Relação Sinal Ruído................................................................................49
3.3 ESTIMAÇÃO DA DIREÇÃO DE CHEGADA BASEADO NA DECOMPOSIÇÃO EM VALORES SINGULARES...............50
iv
3.3.1 Decomposição Harmônica de Pisarenko .............................................................................................51
3.3.2 MUSIC .................................................................................................................................................52
Resolução dos Métodos de Estimação da Direção de Chegada....................................................................53
3.4 ESTIMAÇÃO DA MATRIZ COVARIÂNCIA ESPACIAL.......................................................................................56
3.5 FORMAÇÃO ÓTIMA DE FEIXE BASEADO NA DIREÇÃO DE CHEGADA..............................................................58
3.5.1 Estimação do Número de Sinais Presentes ..........................................................................................59
3.5.1.1 MDL Minimum Description Length .................................................................................................................59
3.5.1.2 AIC Akaike’s Information Criterion.................................................................................................................61
3.5.1.3 Método Proposto por XU..................................................................................................................................61
3.5.2 Estimação do Ângulo de Chegada .......................................................................................................62
3.5.2.1 MD-MUSIC......................................................................................................................................................63
3.5.2.2 Estimador Máxima Verossimilhança para o Ângulo de chegada .....................................................................63
3.5.2.3 WSF Weighted Subspace Fitting......................................................................................................................64
3.5.2.4 MODE Method of Direction of Arrival Estimation..........................................................................................65
3.5.2.5 ROOT MUSIC..................................................................................................................................................66
3.5.3 Estimação do Sinal - Formação ótima de feixe....................................................................................68
3.5.3.1 Método com Restrições ....................................................................................................................................68
3.5.3.2 LLMV Least Linear Minimum Variance.........................................................................................................68
3.5.3.3 Estimador de Máxima Verossimilhança para o Sinal Determinístico ..............................................................69
3.5.3.4 Estimador de Máxima Verossimilhança para o Sinal Estocástico....................................................................70
4. ANTENAS ADAPTATIVAS EM COMUNICAÇÕES MÓVEIS ...............................................................72
4.1 MODELO DE PROPAGAÇÃO...........................................................................................................................72
4.1.1 Desvanecimento em Grande Escala.....................................................................................................74
4.1.2 Desvanecimento em Pequena Escala ...................................................................................................75
4.1.3 Desvanecimento Plano e Seletivo.........................................................................................................77
4.1.4 Desvanecimento Lento e Rápido ..........................................................................................................78
4.2 MODELO DE PROPAGAÇÃO E SINAIS RECEBIDOS NUMA MATRIZ DE ANTENAS...........................................78
4.2.1 Espalhamento Local.............................................................................................................................78
4.2.2 Espalhamento Local e a ULA...............................................................................................................81
4.2.3 Distribuição Gaussiana........................................................................................................................82
4.2.4 Modelo Circular...................................................................................................................................84
4.2.5 Modelo de Distribuição Uniforme........................................................................................................85
5. SIMULAÇÕES................................................................................................................................................87
5.1 MODELO E CARACTERÍSTICAS GERAIS DA SIMULAÇÃO ...............................................................................87
5.1.1 Obtenção da Matriz Covariância Espacial..........................................................................................88
5.1.2 Considerações para Implementação dos Métodos de Estimação da Direção de Chegada..................89
5.2 AMBIENTE SOMENTE COM RUÍDO BRANCO..................................................................................................90
5.2.1 Estimação do número de sinais presentes............................................................................................90
5.2.2 Estimação da Direção de Chegada......................................................................................................92
5.2.3 Estimação do Sinal - Formação de Feixe ..........................................................................................104
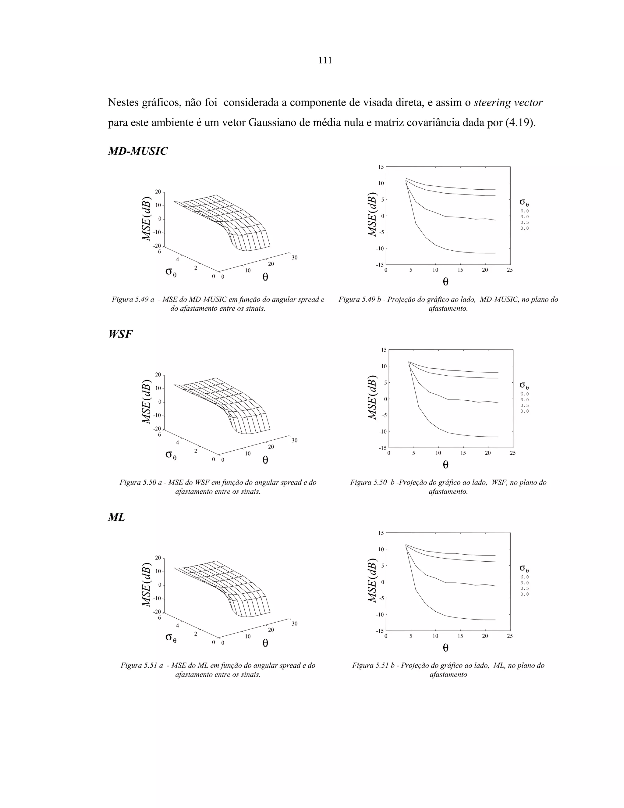
5.3 ESPALHAMENTO LOCAL COM DISTRIBUIÇÃO GAUSSIANA .........................................................................110
5.3.1 Estimação da Direção de Chegada Sem a Componente de Visada Direta ........................................110
5.3.2 Estimação da Direção de Chegada Com a Componente de Visada Direta com Energia Variável....113
5.4 ESPALHAMENTO LOCAL COM MODELO CIRCULAR ....................................................................................116
5.4.1 Estimação da Direção de Chegada Sem a Componente de visada direta..........................................116
5.5 ESPALHAMENTO LOCAL COM MODELO DE DISTRIBUIÇÃO UNIFORME .......................................................119
5.5.1 Estimação da Direção de Chegada Sem a Componente de Visada Direta ........................................120
6. CONCLUSÃO ...............................................................................................................................................123
REFERÊNCIAS................................................................................................................................................126
ANEXO I............................................................................................................................................................133
NOTAÇÕES.......................................................................................................................................................133
Representação Geral...................................................................................................................................133
Capítulo 2....................................................................................................................................................134
v
Capítulo 3....................................................................................................................................................136
Capítulo 4....................................................................................................................................................137
Capítulo 5....................................................................................................................................................138
DEDUÇÃO DAS EXPRESSÕES INDICADAS NO TEXTO.........................................................................................138
Expressões (2.1) e (2.2)...............................................................................................................................138
Propriedades dos Autovalores e Autovetores de uma Matriz Hermitiana .................................................140
Expressão (2.23) .........................................................................................................................................143
Expressão (2.22) .........................................................................................................................................144
Expressão (2.23) .........................................................................................................................................146
Expressão (2.24) .........................................................................................................................................147
Expressão (2.26) .........................................................................................................................................147
Expressão (2.45) .........................................................................................................................................148
Ganho das Antenas Adaptativas..................................................................................................................149
Expressão (3.3) ...........................................................................................................................................150
Expressão (3.4) ...........................................................................................................................................151
Expressão (3.8) ...........................................................................................................................................151
Expressão (3.9) ...........................................................................................................................................152
Expressão (3.16) .........................................................................................................................................152
Expressão (3.20) .........................................................................................................................................153
Expressão (3.23) .........................................................................................................................................154
Expressões (3.31) ........................................................................................................................................155
Expressão (3.32) .........................................................................................................................................157
Expressão (3.33) .........................................................................................................................................159
Expressão (3.44) .........................................................................................................................................159
Expressão (3.48) .........................................................................................................................................160
Expressão (3.61) .........................................................................................................................................161
Expressão (3.64) .........................................................................................................................................161
Expressão (3.65) .........................................................................................................................................162
Expressão (3.66) .........................................................................................................................................163
Expressão (3.67) .........................................................................................................................................164
Expressão (3.68) .........................................................................................................................................164
Expressão (4.16) .........................................................................................................................................164
Espaçamento entre as Antenas....................................................................................................................165
vi
Lista de Figuras e Tabelas
FIGURA 1.1 - PANORAMA DO PADRÕES TECNOLÓGICOS PARA O ATENDIMENTO DOS SERVIÇOS FIXOS E MÓVEIS ......3
FIGURA 1.2 - SISTEMA DE COMUNICAÇÃO MÓVEL CELULAR E SEUS COMPONENTES..............................................4
FIGURA 1.3 - REGIÃO GEOGRÁFICA DIVIDIDA EM CÉLULAS .....................................................................................4
FIGURA 1.4- REPRESENTAÇÃO DOS RECURSOS DE NATUREZA TEMPORAL................................................................5
FIGURA 1.5 - UTILIZAÇÃO DOS RECURSOS DO MEIO NO CASO FDMA......................................................................6
FIGURA 1.6 - UTILIZAÇÃO DOS RECURSOS DO MEIO NO CASO TDMA DE FAIXA ESTREITA.......................................7
FIGURA1.7 - FREQUENCY HOPPED..........................................................................................................................7
FIGURA 1.8 - UTILIZAÇÃO DOS RECURSOS DO MEIO NO CASO CDMA DE FAIXA ESTREITA .....................................7
FIGURA 1.9 A- FDD FREQUENCY DIVISION DUPLEX ...............................................................................................8
FIGURA1.9 B- TDD TIME DIVISION DUPLEX ..........................................................................................................8
TABELA 1.1 - TÉCNICAS DE MÚLTIPLO ACESSO UTILIZADAS NOS PADRÕES DE COMUNICAÇÕES MÓVEIS
EXISTENTES......................................................................................................................................................9
FIGURA 1.10- SEGMENTAÇÃO DE CÉLULAS............................................................................................................10
FIGURA 1.11 A - SETORIZAÇÃO COM SETORES DE 60 º ...........................................................................................11
FIGURA 1.11B - SETORIZAÇÃO COM SETORES DE 120 º ..........................................................................................11
FIGURA 1.12 A - SETORIZAÇÃO..............................................................................................................................11
FIGURA 1.12 B - SDMA IDEAL ANTENAS MAIS DIRETIVAS, PODENDO SER IMPLEMENTADO USANDO ANTENAS
ADAPTATIVAS ................................................................................................................................................11
FIGURA 1.13 - ANTENAS ADAPTATIVAS, AMOSTRAGEM ESPACIAL DO SINAL E AJUSTE DO DIAGRAMA DE
IRRADIAÇÃO...................................................................................................................................................12
FIGURA 1.14 - CÉLULAS COM FORMATOS QUE SE AJUSTAM A AGRUPAMENTOS DE TERMINAIS MÓVEIS DE ACORDO
COM A DEMANDA. ..........................................................................................................................................16
FIGURA 1.15 - DESVANECIMENTO DEVIDO A MULTIPERCURSO. .............................................................................17
FIGURA 1.16 ..........................................................................................................................................................18
FIGURA 2.1 - SUPERFÍCIES DE NÍVEL DE UMA ONDA PLANA QUE SE PROPAGA NA DIREÇÃO 0k . ..............................20
FIGURA 2.2 - REPRESENTAÇÃO NA FREQÜÊNCIA DO SINAL )(ty ............................................................................22
FIGURA 2.3A - ANTENA COMO UM TRANSDUTOR, NA RECEPÇÃO TRANSFORMANDO UMA FUNÇÃO NO ESPAÇO-
TEMPO EM OUTRA APENAS NO TEMPO.............................................................................................................23
FIGURA 2.3B - ANTENA COMO UM TRANSDUTOR, NA TRANSMISSÃO TRANSFORMANDO UMA FUNÇÃO NO TEMPO EM
OUTRANO ESPAÇO E TEMPO............................................................................................................................23
FIGURA 2.4A - ELEMENTOS DA GEOMETRIA DO DIAGRAMA DE IRRADIAÇÃO..........................................................25
FIGURA2.4 B - DIAGRAMA DE IRRADIAÇÃO DE ......................................................................................................25
FIGURA 2.4C - REPRESENTAÇÃO PLANAR DO DIAGRAMA DE IRRADIAÇÃO DA ANTENA VISTA EM B) . ....................25
FIGURA2.5 - REPRESENTAÇÃO ESQUEMÁTICA DE UM PHASED ARRAY COM 7 ELEMENTOS DISPOSTOS DE MANEIRA
LINEAR...........................................................................................................................................................26
FIGURA 2.6 - DIAGRAMA DE IRRADIAÇÃO EQUIVALENTE DO PHASED ARRAY AO LADO, INDICANDO OS LOBOS
PRINCIPAL E OS SECUNDÁRIOS........................................................................................................................26
FIGURA 2.7 - DIAGRAMA ESQUEMÁTICO DE UM CONJUNTO DE ANTENAS ADAPTATIVAS........................................27
FIGURA 2.8 CONJUNTO DE ANTENAS ARBITRÁRIO .................................................................................................28
FIGURA 2.9 - ARRAY MANIFOLD COMO UMA APLICAÇÃO DOS PARÂMETROS ESTIMÁVEIS. ....................................30
FIGURA 2.10- DISTRIBUIÇÃO DOS AUTOVALORES AOS AUTOVETORES CORRESPONDENTES DA MATRIZ
COVARIÂNCIA ESPACIAL ................................................................................................................................31
FIGURA 2.11 - CONJUNTO DE ANTENAS COM DISTRIBUIÇÃO UNIFORME E LINEAR ULA ........................................33
FIGURA 2.12 - GEOMETRIA PARA O CÁLCULO DA CONSTANTE DE PROPAGAÇÃO....................................................34
FIGURA 2.13 - SIMETRIA DA ULA .........................................................................................................................35
FIGURA 2.14 - UNIFORM CIRCULAR ARRAY - UCA..............................................................................................36
FIGURA 2.15 - EXEMPLO DE IMPLEMENTAÇÃO DO BEAMFORMING ANALÓGICO. ...................................................37
FIGURA 2.16 - ARQUITETURA GENÉRICA DE SISTEMA DBF....................................................................................37
vii
FIGURA 2.17 - ARQUITETURA PARA O SISTEMA DECT USANDO ANTENAS ADAPTATIVAS APENAS NA RECEPÇÃO..38
FIGURA 2.18 - M SINAIS INCIDENTES NUM PHASED ARRAY..................................................................................39
FIGURA 2.19 - RESPOSTA DE UM CONJUNTO DE ANTENAS......................................................................................41
FIGURA 2.20 - REPRESENTAÇÃO DE UM CONJUNTO DE ANTENAS COPLANAR .........................................................42
FIGURA 2.21A - GRÁFICOS CARTESIANOS DE UM PHASED ARRAY COM 8 ELEMENTOS, AJUSTADO PARA 0º EM AZUL,
E 45º EM VERMELHO. .....................................................................................................................................43
FIGURA 2.21B - DIAGRAMA DE IRRADIAÇÃO DE UM PHASED ARRAY COM 8 ELEMENTOS, AJUSTADO PARA 0º EM
AZUL, E 45º EM VERMELHO............................................................................................................................43
FIGURA 2.22 A - ULA COM 8 ELEMENTOS E AS DIREÇÕES INDICADAS PARA OBTENÇÃO DE GANHO MÁXIMO. .......44
FIGURA 2.22 B - DIAGRAMA DE IRRADIAÇÃO UTILIZANDO AS RESTRIÇÕES DE GANHOS MÁXIMOS EM -45º, 0º, 15º E
60º .................................................................................................................................................................44
FIGURA 3.2 - QUATRO SINAIS INCIDENTES NUMA ULA COM OITO ELEMENTOS .....................................................53
FIGURA 3.3- GRÁFICO DO MUSIC APLICADO A ULA DE 8 ELEMENTOS E 4 SINAIS COM DUAS POSIÇÕES DE
VISUALIZAÇÃO...............................................................................................................................................53
FIGURA 3.4 - VISUALIZAÇÃO GRÁFICA DA RESOLUÇÃO DE UMA FUNÇÃO SEGUNDO O CRITÉRIO DE RAYLEIGH. ....54
FIGURA 3.5 - VISUALIZAÇÃO GRÁFICA DA RESOLUÇÃO DE UMA FUNÇÃO. .............................................................54
FIGURA 3.6 A - RESOLUÇÃO DO BASEADO NA VARIÂNCIA DA RESPOSTA DO CONJUNTO DE ANTENAS EM FUNÇÃO
DO AFASTAMENTO, PARA CONJUNTO DE ANTENAS COM 8, 19 E 30 ELEMENTOS.............................................55
FIGURA 3.6 B - RESOLUÇÃO DO MUSIC EM FUNÇÃO DO AFASTAMENTO, PARA CONJUNTO DE ANTENAS COM 8, 19
E 30 ELEMENTOS............................................................................................................................................55
FIGURA 3.6 C -COMPARAÇÃO ENTRE A RESOLUÇÃO DO BASEADO NA VARIÂNCIA DA RESPOSTA E O MUSIC PARA
UM CONJUNTO COM 8 ELEMENTOS. ................................................................................................................55
FIGURA 3.7 - GRÁFICO COMPARANDO A RESOLUÇÃO ENTRE DIVERSOS MÉTODOS. ................................................56
FIGURA 3.8 - ESQUEMA DE FORMAÇÃO ÓTIMA DE FEIXE BASEADO NA DIREÇÃO DE CHEGADA............................58
FIGURA 3.9 - REPRESENTAÇÃO NO PLANO COMPLEXO A RAIZ R DO POLINÔMIO )(zP ............................................67
FIGURA 4.2 - FORMAS DE DESVANECIMENTO DO CANAL.......................................................................................73
FIGURA 4.3- DESVANECIMENTO EM PEQUENA E GRANDE ESCALA..........................................................................74
FIGURA 4.4 - DESVANECIMENTO DEVIDO A MULTIPERCURSO. ...............................................................................75
FIGURA 4.5 - CANAL DEPENDENTE DO TEMPO .......................................................................................................76
FIGURA 4.6A - O TERMINAL MÓVEL NA POSIÇÃO D1...............................................................................................76
FIGURA 4.6B - O TERMINAL MÓVEL NA POSIÇÃO D2 ...............................................................................................76
FIGURA 4.7 - DENSIDADE DE POTÊNCIA E FUNÇÃO AUTOCORRELAÇÃO DO CANAL EM FUNÇÃO DO RETARDO
DEVIDO AO MULTIPERCURSO..........................................................................................................................77
FIGURA 4.8 - GRÁFICO DA FUNÇÃO AUTOCORRELAÇÃO E DENSIDADE DE POTÊNCIA EM FUNÇÃO DA VARIAÇÃO
TEMPORAL DO AMBIENTE DE PROPAGAÇÃO....................................................................................................78
FIGURA 4.7 - ESPALHAMENTO LOCAL....................................................................................................................79
FIGURA 4.8 - DETALHAMENTO DO SINAL ESPALHADO ..........................................................................................79
FIGURA 4.9 - REPRESENTAÇÃO ESQUEMÁTICA DO MODELO DE ESPALHAMENTO ANGULAR....................................82
FIGURA 4.10 - DIAGRAMA ESQUEMÁTICO PARA REPRESENTAÇÃO DO MODELO CIRCULAR.....................................84
FIGURA 4.11- DIAGRAMA PARA ENTENDIMENTO DA DISTRIBUIÇÃO UNIFORME .....................................................85
FIGURA 5.1- FREQÜÊNCIA RELATIVA DO MDL EM FUNÇÃO DO NÚMERO DE AMOSTRAS PARA AFASTAMENTO
ANGULAR DE 4º, 12º E 20 º.............................................................................................................................91
FIGURA 5.2- FREQÜÊNCIA RELATIVA DO AIC EM FUNÇÃO DO NÚMERO DE AMOSTRAS PARA AFASTAMENTO
ANGULAR DE 4º, 12º E 20 º.............................................................................................................................91
FIGURA 5.3- COMPARAÇÃO ENTRE O MDL E O AIC EM FUNÇÃO DO NÚMERO DE AMOSTRAS PARA AFASTAMENTO
ANGULAR DE 12º. ..........................................................................................................................................91
FIGURA 5.4 - FREQÜÊNCIA RELATIVA DO MDL EM FUNÇÃO DA RELAÇÃO SINAL-RUÍDO PARA AFASTAMENTO
ANGULAR MÍNIMO DE 4º, 12º E 20º.................................................................................................................92
FIGURA 5.5 - FREQÜÊNCIA RELATIVA DO AIC EM FUNÇÃO DA RELAÇÃO SINAL-RUÍDO PARA AFASTAMENTO
ANGULAR MÍNIMO DE 4º, 12º E 20º.................................................................................................................92
FIGURA 5.6- COMPARAÇÃO ENTRE MDL E O AIC EM FUNÇÃO DA RELAÇÃO SINAL-RUÍDO PARA AFASTAMENTO
ANGULAR MÍNIMO DE 12º...............................................................................................................................92
FIGURA 5.7 - ULA COM 8 ELEMENTOS E 4 SINAIS INCIDENTES ..............................................................................93
FIGURA 5.8 - MSE DO MD MUSIC EM FUNÇÃO DO NÚMERO DE AMOSTRAS E DA RELAÇÃO SINAL RUÍDO............93
FIGURA 5.9 - MSE DO WSF EM FUNÇÃO DO NÚMERO DE AMOSTRAS E DA RELAÇÃO SINAL RUÍDO. ....................93
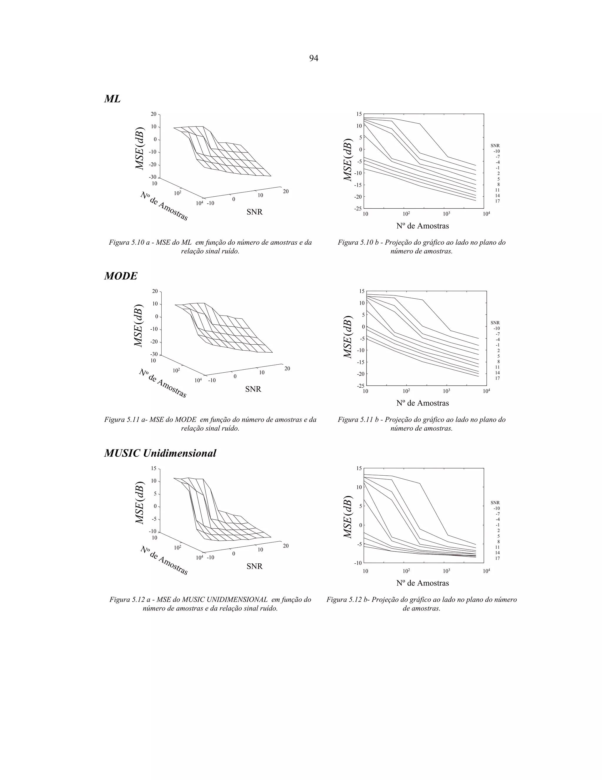
FIGURA 5.10 - MSE DO ML EM FUNÇÃO DO NÚMERO DE AMOSTRAS E DA RELAÇÃO SINAL RUÍDO......................94
FIGURA 5.11 A- MSE DO MODE EM FUNÇÃO DO NÚMERO DE AMOSTRAS E DA RELAÇÃO SINAL RUÍDO...............94
viii
FIGURA 5.12 - MSE DO MUSIC UNIDIMENSIONAL EM FUNÇÃO DO NÚMERO DE AMOSTRAS E DA RELAÇÃO
SINAL RUÍDO. .................................................................................................................................................94
FIGURA 5.13 - MSE DO ROOT MUSIC EM FUNÇÃO DO NÚMERO DE AMOSTRAS E DA RELAÇÃO SINAL RUÍDO. ..95
FIGURA 5.14 - COMPARAÇÃO ENTRE OS DIVERSOS MÉTODOS EM FUNÇÃO DO NÚMERO DE AMOSTRAS PARA
RELAÇÃO SINAL RUÍDO DE 2 DB.....................................................................................................................95
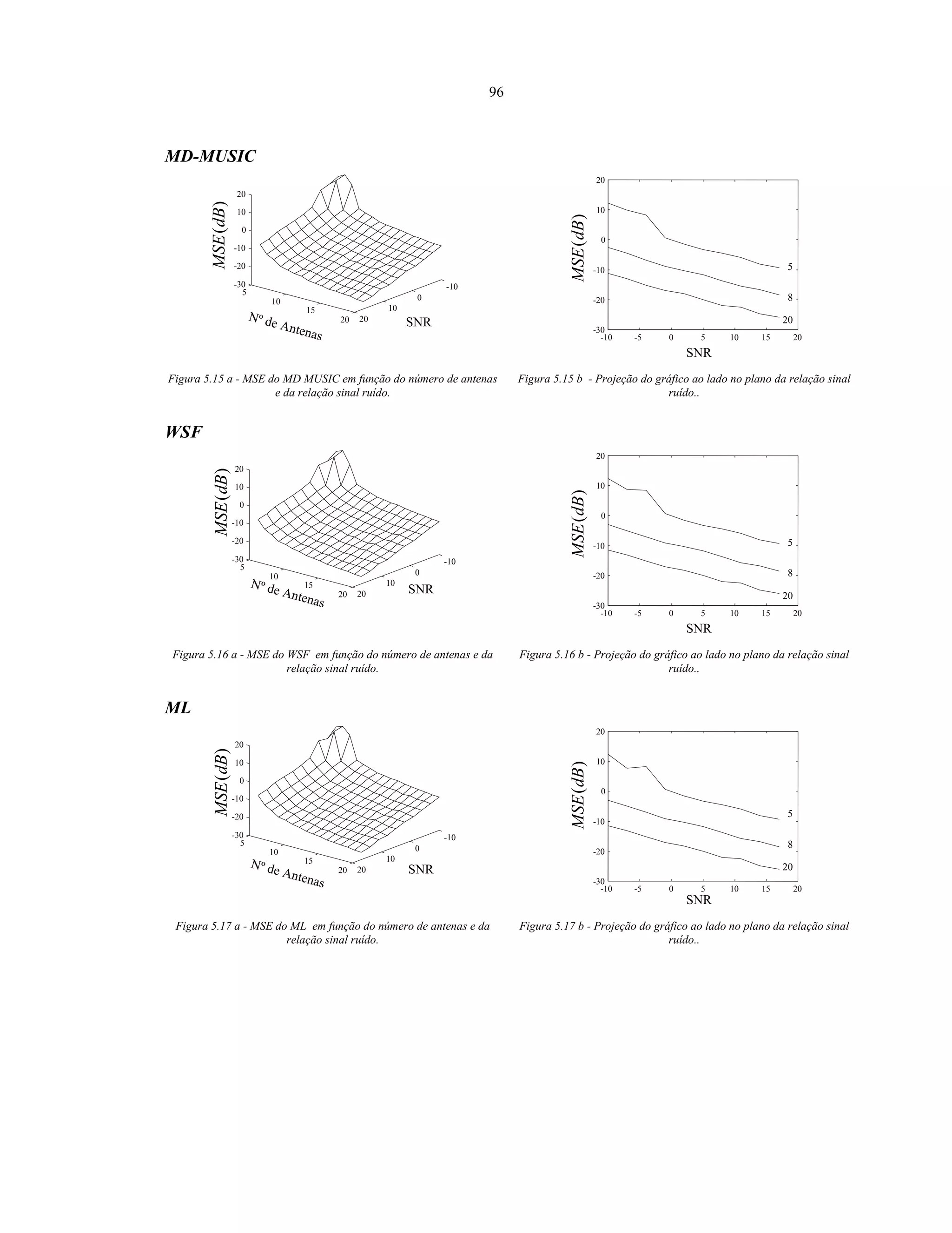
FIGURA 5.15 - MSE DO MD MUSIC EM FUNÇÃO DO NÚMERO DE ANTENAS E DA RELAÇÃO SINAL RUÍDO. ..........96
FIGURA 5.16 - MSE DO WSF EM FUNÇÃO DO NÚMERO DE ANTENAS E DA RELAÇÃO SINAL RUÍDO......................96
FIGURA 5.17 - MSE DO ML EM FUNÇÃO DO NÚMERO DE ANTENAS E DA RELAÇÃO SINAL RUÍDO........................96
FIGURA 5.18 - MSE DO MODE EM FUNÇÃO DO NÚMERO DE ANTENAS E DA RELAÇÃO SINAL RUÍDO. .................97
FIGURA 5.19 - MSE DO MUSIC UDIMENSIONAL EM FUNÇÃO DO NÚMERO DE ANTENAS E DA RELAÇÃO SINAL
RUÍDO. ...........................................................................................................................................................97
FIGURA 5.20 - MSE DO ROOT MUSIC EM FUNÇÃO DO NÚMERO DE ANTENAS E DA RELAÇÃO SINAL RUÍDO.......97
FIGURA 5.21 - COMPARAÇÃO ENTRE OS MÉTODOS DE ESTIMAÇÃO DA DIREÇÃO DE CHEGADA...............................98
FIGURA 5.22 - ESQUEMA DO AMBIENTE PARA AS SIMULAÇÕES ONDE O AFASTAMENTO ANGULARθ E O NÚMERO DE
ANTENAS VARIAM..........................................................................................................................................98
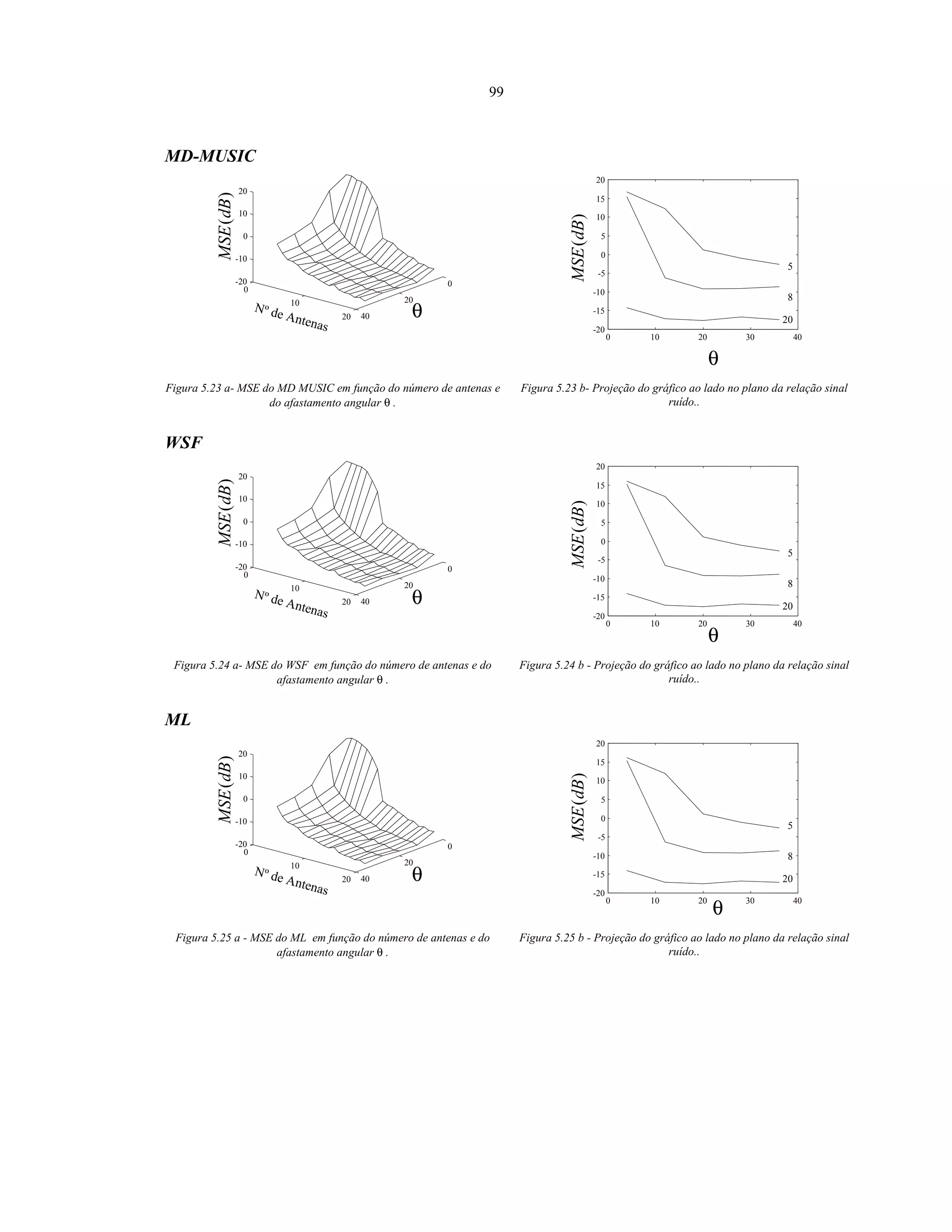
FIGURA 5.23 - MSE DO MD MUSIC EM FUNÇÃO DO NÚMERO DE ANTENAS E DO AFASTAMENTO ANGULAR θ .....99
FIGURA 5.24 - MSE DO WSF EM FUNÇÃO DO NÚMERO DE ANTENAS E DO AFASTAMENTO ANGULAR θ . ..............99
FIGURA 5.25 - MSE DO ML EM FUNÇÃO DO NÚMERO DE ANTENAS E DO AFASTAMENTO ANGULAR θ . ...............99
FIGURA 5.26 - MSE DO MODE EM FUNÇÃO DO NÚMERO DE ANTENAS E DO AFASTAMENTO ANGULAR θ .........100
FIGURA 5.27 - MSE DO MUSIC UDIMENSIONAL EM FUNÇÃO DO NÚMERO DE ANTENAS E DO AFASTAMENTO
ANGULAR θ . ................................................................................................................................................100
FIGURA 5.28 - MSE DO ROOT MUSIC EM FUNÇÃO DO NÚMERO DE ANTENAS E DO AFASTAMENTO ANGULAR θ .100
FIGURA 5.29 - GRÁFICO COMPARATIVO DOS DIVERSOS MÉTODOS EM FUNÇÃO DO AFASTAMENTO CONSIDERANDO
8 ANTENAS...................................................................................................................................................101
FIGURA 5.30 - MSE DO MD MUSIC EM FUNÇÃO DO ÍNDICE DE CORRELAÇÃO E DO AFASTAMENTO ANGULAR θ .102
FIGURA 5.31 - MSE DO WSF EM FUNÇÃO DO ÍNDICE DE CORRELAÇÃO E DO AFASTAMENTO ANGULAR θ .......102
FIGURA 5.32 - MSE DO ML EM FUNÇÃO DO ÍNDICE DE CORRELAÇÃO E DO AFASTAMENTO ANGULAR θ . ........102
FIGURA 5.33 - MSE DO MODE EM FUNÇÃO DO ÍNDICE DE CORRELAÇÃO E DO AFASTAMENTO ANGULAR θ . ..103
FIGURA 5.34 - MSE DO MUSIC UNIDIMENSIONAL EM FUNÇÃO DO ÍNDICE DE CORRELAÇÃO E DO
AFASTAMENTO ANGULAR θ .........................................................................................................................103
FIGURA 5.35 - MSE DO ROOT MUSIC EM FUNÇÃO DO ÍNDICE DE CORRELAÇÃO E DO AFASTAMENTO ANGULAR
θ ..................................................................................................................................................................103
FIGURA 5.36 - COMPARAÇÃO ENTRE OS MÉTODOS PARA ÍNDICE DE CORRELAÇÃO DE 1.0...................................104
FIGURA 5.37 A - ÍNDICE DE CORRELAÇÃO ENTRE O SINAL REAL E O SINAL ESTIMADO COM O BEAMFORMING
CONVENCIONAL EM FUNÇÃO DA RELAÇÃO SINAL RUÍDO PARA 10, 250 E 6250 AMOSTRAS PARA ESTIMAR A
MATRIZ COVARIÂNCIA ESPACIAL. O MÉTODO DE ESTIMAÇÃO DA DIREÇÃO FOI O WSF................................105
FIGURA 5.37 B - ÍNDICE DE CORRELAÇÃO ENTRE O SINAL REAL E O SINAL ESTIMADO COM O BEAMFORMING
CONVENCIONAL EM FUNÇÃO DA RELAÇÃO SINAL RUÍDO PARA 10, 250 E 6250 AMOSTRAS PARA ESTIMAR A
MATRIZ COVARIÂNCIA ESPACIAL. O MÉTODO DE ESTIMAÇÃO DA DIREÇÃO FOI O ROOT MUSIC................105
FIGURA 5.37 C - COMPARAÇÃO ENTRE OS MÉTODOS DE ESTIMAÇÃO DA DIREÇÃO DE CHEGADA E O IDEAL EM
COMBINAÇÃO COM O BEAMFORMING CONVENCIONAL EM FUNÇÃO DA RELAÇÃO SINAL RUÍDO PARA 250
AMOSTRAS. ..................................................................................................................................................105
FIGURA 5.38 A - ÍNDICE DE CORRELAÇÃO ENTRE O SINAL REAL E O SINAL ESTIMADO COM O MÉTODO DE MÍNIMA
VARIÂNCIA EM FUNÇÃO DA RELAÇÃO SINAL RUÍDO PARA 10, 250 E 6250 AMOSTRAS PARA ESTIMAR A
MATRIZ COVARIÂNCIA ESPACIAL. O MÉTODO DE ESTIMAÇÃO DA DIREÇÃO FOI O WSF................................106
FIGURA 5.38 B - ÍNDICE DE CORRELAÇÃO ENTRE O SINAL REAL E O SINAL ESTIMADO COM O MÉTODO DE MÍNIMA
VARIÂNCIA EM FUNÇÃO DA RELAÇÃO SINAL RUÍDO PARA 10, 250 E 6250 AMOSTRAS PARA ESTIMAR A
MATRIZ COVARIÂNCIA ESPACIAL. O MÉTODO DE ESTIMAÇÃO DA DIREÇÃO FOI O ROOT MUSIC................106
FIGURA 5.38 C - COMPARAÇÃO ENTRE OS MÉTODOS DE ESTIMAÇÃO DA DIREÇÃO DE CHEGADA E O IDEAL EM
COMBINAÇÃO COM O MÉTODO DE MÍNIMA VARIÂNCIA EM FUNÇÃO DA RELAÇÃO SINAL RUÍDO PARA 250
AMOSTRAS. ..................................................................................................................................................106
FIGURA 5.39 A - ÍNDICE DE CORRELAÇÃO ENTRE O SINAL REAL E O SINAL ESTIMADO COM O MÉTODO LEAST
LINEAR MINIMUM VARIANCE EM FUNÇÃO DA RELAÇÃO SINAL RUÍDO PARA 10, 250 E 6250 AMOSTRAS PARA
ESTIMAR A MATRIZ COVARIÂNCIA ESPACIAL. O MÉTODO DE ESTIMAÇÃO DA DIREÇÃO FOI O WSF..............106
ix
FIGURA 5.39 B - ÍNDICE DE CORRELAÇÃO ENTRE O SINAL REAL E O SINAL ESTIMADO COM O MÉTODO LEAST
LINEAR MINIMUM VARIANCE EM FUNÇÃO DA RELAÇÃO SINAL RUÍDO PARA 10, 250 E 6250 AMOSTRAS PARA
ESTIMAR A MATRIZ COVARIÂNCIA ESPACIAL. O MÉTODO DE ESTIMAÇÃO DA DIREÇÃO FOI O ROOT MUSIC.106
FIGURA 5.39 C - COMPARAÇÃO ENTRE OS MÉTODOS DE ESTIMAÇÃO DA DIREÇÃO DE CHEGADA E O IDEAL EM
COMBINAÇÃO COM O MÉTODO DE LEAST LINEAR MINIMUM VARIANCE EM FUNÇÃO DA RELAÇÃO SINAL
RUÍDO PARA 250 AMOSTRAS. .......................................................................................................................106
FIGURA 5.40 A - ÍNDICE DE CORRELAÇÃO ENTRE O SINAL REAL E O SINAL ESTIMADO COM O MÉTODO DE MÁXIMA
VEROSSIMILHANÇA COM SINAL CONHECIDO EM FUNÇÃO DA RELAÇÃO SINAL RUÍDO PARA 10, 250 E 6250
AMOSTRAS PARA ESTIMAR A MATRIZ COVARIÂNCIA ESPACIAL. O MÉTODO DE ESTIMAÇÃO DA DIREÇÃO FOI O
WSF. ...........................................................................................................................................................106
FIGURA 5.40 B - ÍNDICE DE CORRELAÇÃO ENTRE O SINAL REAL E O SINAL ESTIMADO COM O MÉTODO DE MÁXIMA
VEROSSIMILHANÇA COM SINAL CONHECIDO EM FUNÇÃO DA RELAÇÃO SINAL RUÍDO PARA 10, 250 E 6250
AMOSTRAS PARA ESTIMAR A MATRIZ COVARIÂNCIA ESPACIAL. O MÉTODO DE ESTIMAÇÃO DA DIREÇÃO FOI O
ROOT MUSIC. ...........................................................................................................................................106
FIGURA 5.40 C - COMPARAÇÃO ENTRE OS MÉTODOS DE ESTIMAÇÃO DA DIREÇÃO DE CHEGADA E O IDEAL EM
COMBINAÇÃO COM O MÉTODO DE MÁXIMA VEROSSIMILHANÇA COM SINAL CONHECIDO EM FUNÇÃO DA
RELAÇÃO SINAL RUÍDO PARA 250 AMOSTRAS. .............................................................................................106
FIGURA 5.41 A - ÍNDICE DE CORRELAÇÃO ENTRE O SINAL REAL E O SINAL ESTIMADO COM O MÉTODO DE MÁXIMA
VEROSSIMILHANÇA COM SINAL DESCONHECIDO EM FUNÇÃO DA RELAÇÃO SINAL RUÍDO PARA 10, 250 E 6250
AMOSTRAS PARA ESTIMAR A MATRIZ COVARIÂNCIA ESPACIAL. O MÉTODO DE ESTIMAÇÃO DA DIREÇÃO FOI O
WSF. ...........................................................................................................................................................107
FIGURA 5.41 B - ÍNDICE DE CORRELAÇÃO ENTRE O SINAL REAL E O SINAL ESTIMADO COM O MÉTODO DE MÁXIMA
VEROSSIMILHANÇA COM SINAL DESCONHECIDO EM FUNÇÃO DA RELAÇÃO SINAL RUÍDO PARA 10, 250 E 6250
AMOSTRAS PARA ESTIMAR A MATRIZ COVARIÂNCIA ESPACIAL. O MÉTODO DE ESTIMAÇÃO DA DIREÇÃO FOI O
ROOT MUSIC. ...........................................................................................................................................107
FIGURA 5.41 C - COMPARAÇÃO ENTRE OS MÉTODOS DE ESTIMAÇÃO DA DIREÇÃO DE CHEGADA E O IDEAL EM
COMBINAÇÃO COM O MÉTODO DE MÁXIMA VEROSSIMILHANÇA COM SINAL DESCONHECIDO EM FUNÇÃO DA
RELAÇÃO SINAL RUÍDO PARA 250 AMOSTRAS. .............................................................................................107
FIGURA 5.42 A - COMPARAÇÃO ENTRE OS MÉTODOS DE BEAMFORMING EM FUNÇÃO DA RELAÇÃO SINAL RUÍDO
COM 250 AMOSTRAS PARA ESTIMAÇÃO DA MATRIZ COVARIÂNCIA ESPACIAL. O MÉTODO DE ESTIMAÇÃO DA
DIREÇÃO FOI O WSF.....................................................................................................................................107
FIGURA 5.42 B - COMPARAÇÃO ENTRE OS MÉTODOS DE BEAMFORMING EM FUNÇÃO DA RELAÇÃO SINAL RUÍDO
COM 250 AMOSTRAS PARA ESTIMAÇÃO DA MATRIZ COVARIÂNCIA ESPACIAL. O MÉTODO DE ESTIMAÇÃO DA
DIREÇÃO FOI O ROOT MUSIC. ...................................................................................................................107
FIGURA 5.42 A - ÍNDICE DE CORRELAÇÃO ENTRE O SINAL REAL E O SINAL ESTIMADO COM O BEAMFORMING
CONVENCIONAL EM FUNÇÃO DO AFASTAMENTO ANGULAR PARA 8, 14 E 20 ANTENAS. O MÉTODO DE
ESTIMAÇÃO DA DIREÇÃO FOI O WSF............................................................................................................108
FIGURA 5.42 B - ÍNDICE DE CORRELAÇÃO ENTRE O SINAL REAL E O SINAL ESTIMADO COM O BEAMFORMING
CONVENCIONAL EM FUNÇÃO DO AFASTAMENTO ANGULAR PARA 8, 14 E 20 ANTENAS. O MÉTODO DE
ESTIMAÇÃO DA DIREÇÃO FOI O ROOT-MUSIC. ..........................................................................................108
FIGURA 5.42 C -- COMPARAÇÃO ENTRE OS MÉTODOS DE ESTIMAÇÃO DA DIREÇÃO DE CHEGADA E O IDEAL EM
COMBINAÇÃO COM O BEAMFORMING CONVENCIONAL EM FUNÇÃO AFASTAMENTO ANGULAR PARA 8
ANTENAS......................................................................................................................................................108
FIGURA 5.43 A - ÍNDICE DE CORRELAÇÃO ENTRE O SINAL REAL E O SINAL ESTIMADO COM O MÉTODO DA MÍNIMA
VARIÂNCIA EM FUNÇÃO DO AFASTAMENTO ANGULAR PARA 8, 14 E 20 ANTENAS. O MÉTODO DE ESTIMAÇÃO
DA DIREÇÃO FOI O WSF. ..............................................................................................................................108
FIGURA 5.43 B - ÍNDICE DE CORRELAÇÃO ENTRE O SINAL REAL E O SINAL ESTIMADO COM O MÉTODO DA MÍNIMA
VARIÂNCIA EM FUNÇÃO DO AFASTAMENTO ANGULAR PARA 8, 14 E 20 ANTENAS. O MÉTODO DE ESTIMAÇÃO
DA DIREÇÃO FOI O ROOT-MUSIC...............................................................................................................108
FIGURA 5.43 C - COMPARAÇÃO ENTRE OS MÉTODOS DE ESTIMAÇÃO DA DIREÇÃO DE CHEGADA E O IDEAL EM
COMBINAÇÃO COM O MÉTODO DA MÍNIMA VARIÂNCIA EM FUNÇÃO AFASTAMENTO ANGULAR PARA 8
ANTENAS......................................................................................................................................................108
FIGURA 5.44 A - ÍNDICE DE CORRELAÇÃO ENTRE O SINAL REAL E O SINAL ESTIMADO COM LEAST LINEAR
MINIMUM VARIANCE EM FUNÇÃO DO AFASTAMENTO ANGULAR PARA 8, 14 E 20 ANTENAS. O MÉTODO DE
ESTIMAÇÃO DA DIREÇÃO FOI O WSF............................................................................................................108
x
FIGURA 5.44 B - ÍNDICE DE CORRELAÇÃO ENTRE O SINAL REAL E O SINAL ESTIMADO COM LEAST LINEAR
MINIMUM VARIANCE EM FUNÇÃO DO AFASTAMENTO ANGULAR PARA 8, 14 E 20 ANTENAS. O MÉTODO DE
ESTIMAÇÃO DA DIREÇÃO FOI O ROOT-MUSIC. ..........................................................................................108
FIGURA 5.44 C - COMPARAÇÃO ENTRE OS MÉTODOS DE ESTIMAÇÃO DA DIREÇÃO DE CHEGADA E O IDEAL EM
COMBINAÇÃO COM LEAST LINEAR MINIMUM VARIANCE EM FUNÇÃO AFASTAMENTO ANGULAR PARA 8
ANTENAS......................................................................................................................................................108
FIGURA 5.45 A - ÍNDICE DE CORRELAÇÃO ENTRE O SINAL REAL E O SINAL ESTIMADO COM O MÉTODO MÁXIMA
VEROSSIMILHANÇA COM SINAL CONHECIDO EM FUNÇÃO DO AFASTAMENTO ANGULAR PARA 8, 14 E 20
ANTENAS. O MÉTODO DE ESTIMAÇÃO DA DIREÇÃO FOI O WSF....................................................................109
FIGURA 5.45 B - ÍNDICE DE CORRELAÇÃO ENTRE O SINAL REAL E O SINAL ESTIMADO COM O MÉTODO MÁXIMA
VEROSSIMILHANÇA COM SINAL CONHECIDO EM FUNÇÃO DO AFASTAMENTO ANGULAR PARA 8, 14 E 20
ANTENAS. O MÉTODO DE ESTIMAÇÃO DA DIREÇÃO FOI O ROOT-MUSIC....................................................109
FIGURA 5.45 C - COMPARAÇÃO ENTRE OS MÉTODOS DE ESTIMAÇÃO DA DIREÇÃO DE CHEGADA E O IDEAL EM
COMBINAÇÃO COM O MÉTODO MÁXIMA VEROSSIMILHANÇA COM SINAL CONHECIDO EM FUNÇÃO
AFASTAMENTO ANGULAR PARA 8 ANTENAS.................................................................................................109
FIGURA 5.46 A - ÍNDICE DE CORRELAÇÃO ENTRE O SINAL REAL E O SINAL ESTIMADO COM O MÉTODO MÁXIMA
VEROSSIMILHANÇA COM SINAL DESCONHECIDO EM FUNÇÃO DO AFASTAMENTO ANGULAR PARA 8, 14 E 20
ANTENAS. O MÉTODO DE ESTIMAÇÃO DA DIREÇÃO FOI O WSF....................................................................109
FIGURA 5.46 B - ÍNDICE DE CORRELAÇÃO ENTRE O SINAL REAL E O SINAL ESTIMADO COM O MÉTODO MÁXIMA
VEROSSIMILHANÇA COM SINAL DESCONHECIDO EM FUNÇÃO DO AFASTAMENTO ANGULAR PARA 8, 14 E 20
ANTENAS. O MÉTODO DE ESTIMAÇÃO DA DIREÇÃO FOI O ROOT-MUSIC....................................................109
FIGURA 5.46 C - COMPARAÇÃO ENTRE OS MÉTODOS DE ESTIMAÇÃO DA DIREÇÃO DE CHEGADA E O IDEAL EM
COMBINAÇÃO COM O MÉTODO MÁXIMA VEROSSIMILHANÇA COM SINAL DESCONHECIDO EM FUNÇÃO
AFASTAMENTO ANGULAR PARA 8 ANTENAS.................................................................................................109
FIGURA 5.47 A - COMPARAÇÃO ENTRE OS MÉTODOS DE BEAMFORMING EM FUNÇÃO DO AFASTAMENTO ANGULAR
CONSIDERANDO MATRIZ COM 8 ANTENAS. O MÉTODO DE ESTIMAÇÃO DA DIREÇÃO FOI O WSF. .................109
FIGURA 5.47 B - COMPARAÇÃO ENTRE OS MÉTODOS DE BEAMFORMING EM FUNÇÃO DO AFASTAMENTO ANGULAR
CONSIDERANDO MATRIZ COM 8 ANTENAS. O MÉTODO DE ESTIMAÇÃO DA DIREÇÃO FOI O ROOT MUSIC. .109
FIGURA 5.48 - DIAGRAMA EXPLICATIVO DOS TESTES COM O AMBIENTE ANGULAR SPREAD................................110
FIGURA 5.49 - MSE DO MD-MUSIC EM FUNÇÃO DO ANGULAR SPREAD E DO AFASTAMENTO ENTRE OS SINAIS.111
FIGURA 5.50 - MSE DO WSF EM FUNÇÃO DO ANGULAR SPREAD E DO AFASTAMENTO ENTRE OS SINAIS. ...........111
FIGURA 5.51 - MSE DO ML EM FUNÇÃO DO ANGULAR SPREAD E DO AFASTAMENTO ENTRE OS SINAIS. .............111
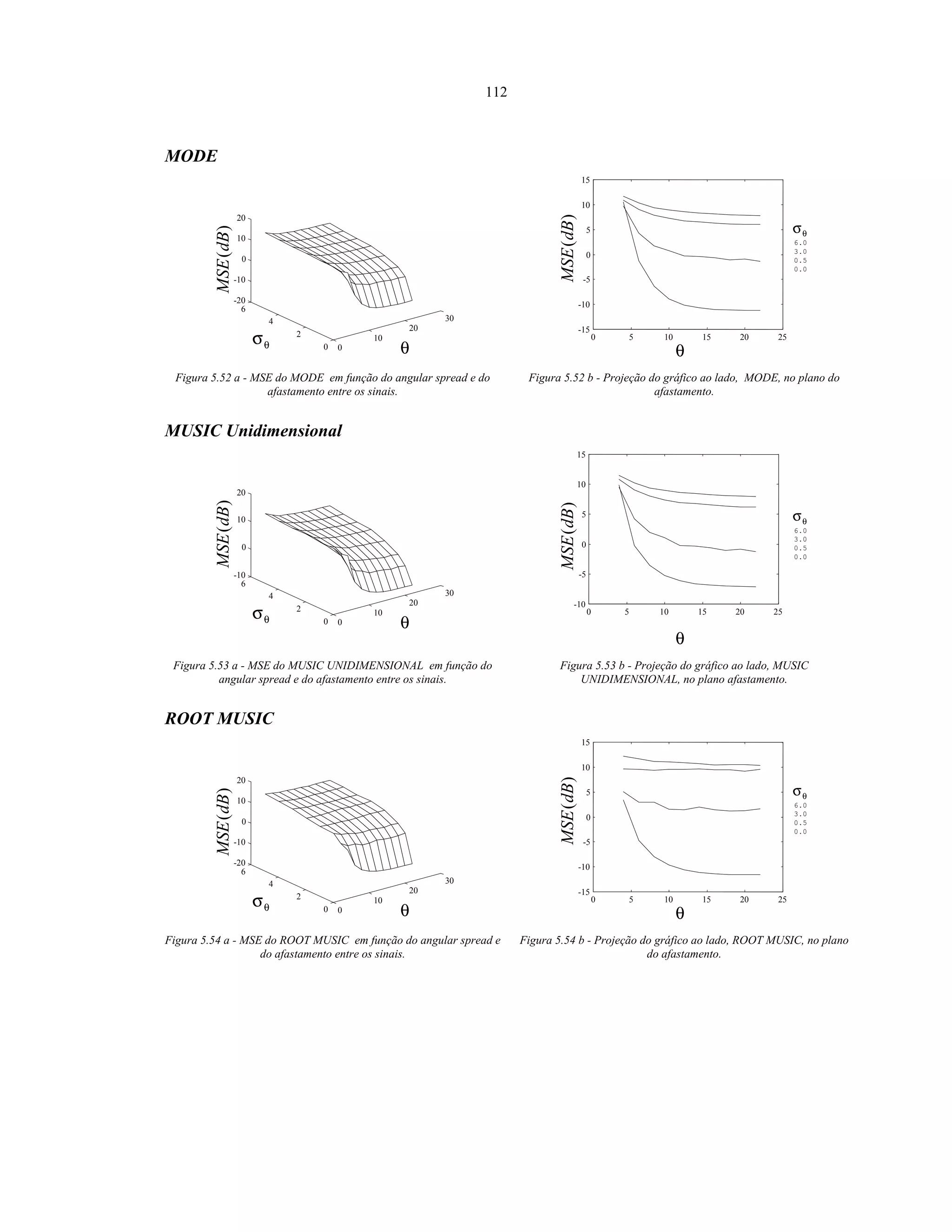
FIGURA 5.52 - MSE DO MODE EM FUNÇÃO DO ANGULAR SPREAD E DO AFASTAMENTO ENTRE OS SINAIS........112
FIGURA 5.53 - MSE DO MUSIC UNIDIMENSIONAL EM FUNÇÃO DO ANGULAR SPREAD E DO AFASTAMENTO
ENTRE OS SINAIS. .........................................................................................................................................112
FIGURA 5.54 - MSE DO ROOT MUSIC EM FUNÇÃO DO ANGULAR SPREAD E DO AFASTAMENTO ENTRE OS SINAIS.112
FIGURA 5.55 - COMPARAÇÃO ENTRE OS MECANISMOS DE ESTIMAÇÃO DA DIREÇÃO CONSIDERANDO O
AFASTAMENTO ENTRE OS SINAIS DE 12º. ......................................................................................................113
FIGURA 5.56 - MSE DO MD-MUSIC EM FUNÇÃO DE γ E DO AFASTAMENTO ENTRE OS SINAIS. ..........................114
FIGURA 5.57 - MSE DO WSF EM FUNÇÃO DO γ E DO AFASTAMENTO ENTRE OS SINAIS .....................................114
FIGURA 5.58 - MSE DO ML EM FUNÇÃO DO γ E DO AFASTAMENTO ENTRE OS SINAIS.......................................114
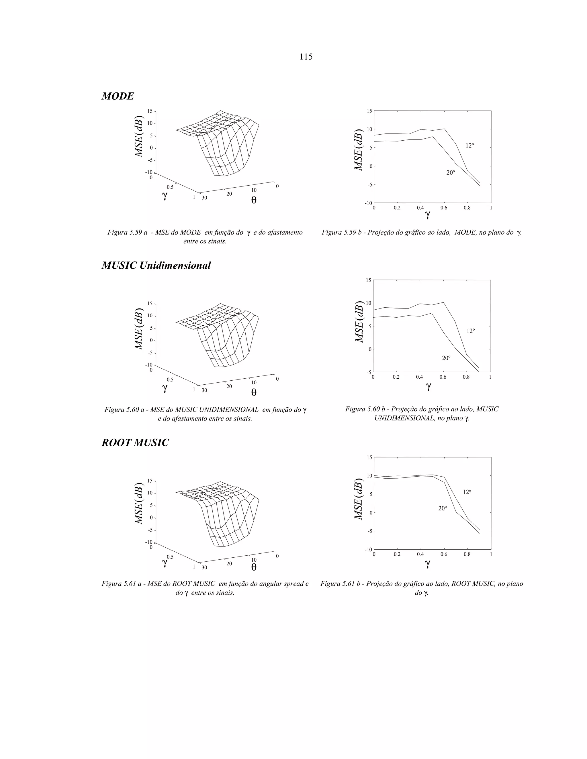
FIGURA 5.59 - MSE DO MODE EM FUNÇÃO DO γ E DO AFASTAMENTO ENTRE OS SINAIS.................................115
FIGURA 5.60 - MSE DO MUSIC UNIDIMENSIONAL EM FUNÇÃO DO γ E DO AFASTAMENTO ENTRE OS SINAIS.115
FIGURA 5.61 - MSE DO ROOT MUSIC EM FUNÇÃO DO ANGULAR SPREAD E DO γ ENTRE OS SINAIS. ...............115
FIGURA 5.62 - COMPARAÇÃO ENTRE OS MECANISMOS DE ESTIMAÇÃO DA DIREÇÃO CONSIDERANDO O
AFASTAMENTO ENTRE OS SINAIS DE 12º. ......................................................................................................116
FIGURA 5.63 - DIAGRAMA EXPLICATIVO DOS TESTES COM O AMBIENTE SEGUNDO O MODELO CIRCULAR...........116
FIGURA 5.64 - MSE DO MD-MUSIC EM FUNÇÃO DA ABERTURA ANGULAR E DO AFASTAMENTO ENTRE OS SINAIS.117
FIGURA 5.65 - MSE DO WSF EM FUNÇÃO DO ABERTURA ANGULAR DO AFASTAMENTO ENTRE OS SINAIS..........117
FIGURA 5.66 - MSE DO ML EM FUNÇÃO DO ABERTURA ANGULAR E DO AFASTAMENTO ENTRE OS SINAIS. ........118
FIGURA 5.67 - MSE DO MODE EM FUNÇÃO DA ABERTURA ANGULAR E DO AFASTAMENTO ENTRE OS SINAIS..118
FIGURA 5.68 - MSE DO MUSIC UNIDIMENSIONAL EM FUNÇÃO DA ABERTURA ANGULAR E DO
AFASTAMENTO ENTRE OS SINAIS. .................................................................................................................118
FIGURA 5.69 - MSE DO ROOT MUSIC EM FUNÇÃO DA ABERTURA ANGULAR E DO AFASTAMENTO ENTRE OS
SINAIS. .........................................................................................................................................................119
xi
FIGURA 5.70 - COMPARAÇÃO ENTRE OS MECANISMOS DE ESTIMAÇÃO DA DIREÇÃO CONSIDERANDO O
AFASTAMENTO ENTRE OS SINAIS DE 12º. ......................................................................................................119
FIGURA 5.71 - REPRESENTAÇÃO DO CONTORNO PARA AS SIMULAÇÕES DO MODELO DE DISTRIBUIÇÃO UNIFORME.120
FIGURA 5.72 - MSE DO MD-MUSIC EM FUNÇÃO DA ABERTURA ANGULAR E DO AFASTAMENTO ENTRE OS SINAIS.120
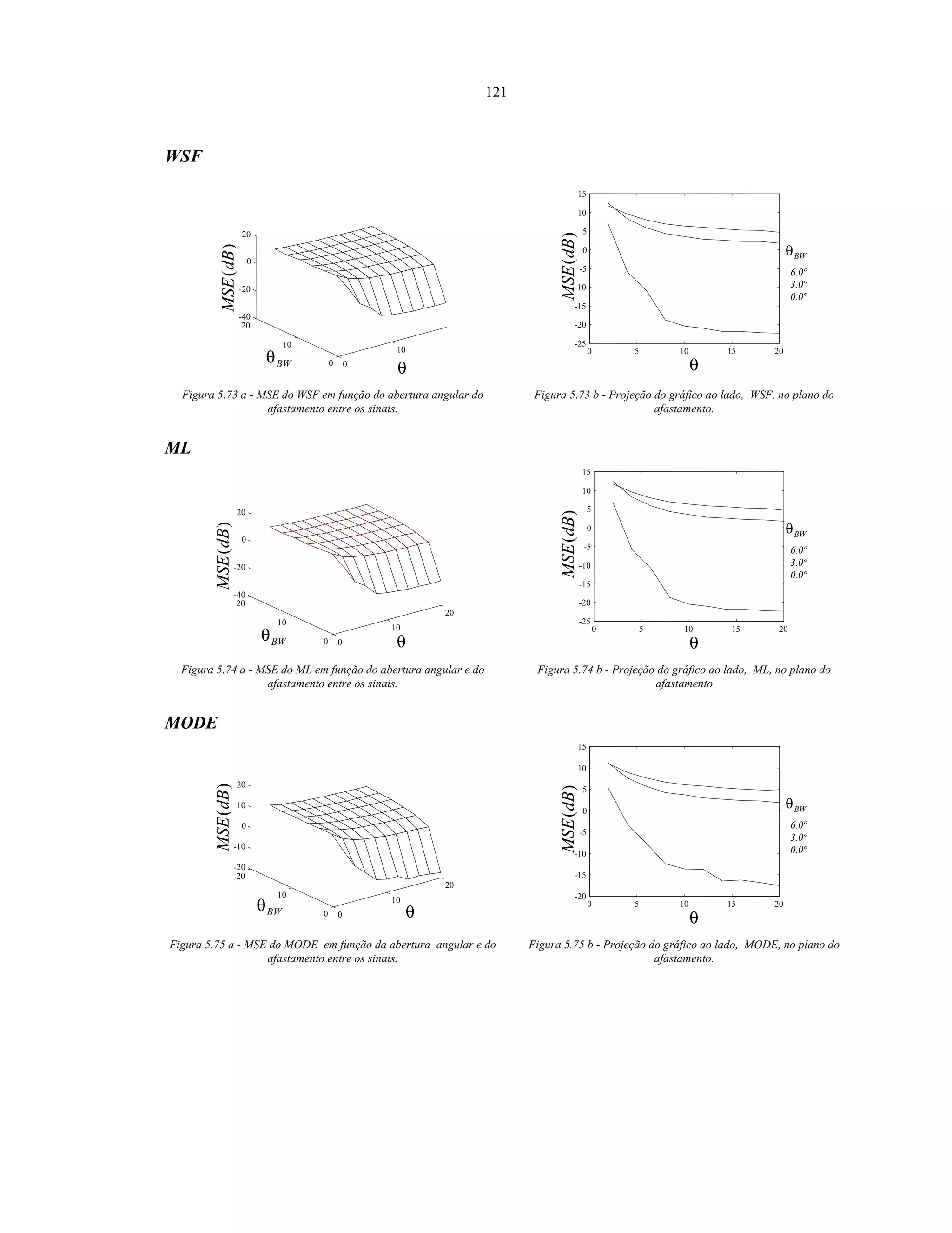
FIGURA 5.73 - MSE DO WSF EM FUNÇÃO DO ABERTURA ANGULAR DO AFASTAMENTO ENTRE OS SINAIS..........121
FIGURA 5.74 - MSE DO ML EM FUNÇÃO DO ABERTURA ANGULAR E DO AFASTAMENTO ENTRE OS SINAIS. ........121
FIGURA 5.75 - MSE DO MODE EM FUNÇÃO DA ABERTURA ANGULAR E DO AFASTAMENTO ENTRE OS SINAIS..121
FIGURA 5.76 - MSE DO MUSIC UNIDIMENSIONAL EM FUNÇÃO DA ABERTURA ANGULAR E DO
AFASTAMENTO ENTRE OS SINAIS. .................................................................................................................122
FIGURA 5.77 - MSE DO ROOT MUSIC EM FUNÇÃO DA ABERTURA ANGULAR E DO AFASTAMENTO ENTRE OS
SINAIS. .........................................................................................................................................................122
FIGURA 5.78 - COMPARAÇÃO ENTRE OS MECANISMOS DE ESTIMAÇÃO DA DIREÇÃO CONSIDERANDO O
AFASTAMENTO ENTRE OS SINAIS DE 12º. ......................................................................................................122
1
1. Introdução
O mundo hoje experimenta um período de grandes transformações catalisadas pelo
avanço tecnológico no acesso à informação. Este fenômeno é responsável por mudanças
comportamentais, tais como o aumento da exigência na qualidade dos serviços de informação,
bem como nas suas diferentes formas de apresentação. Assim se observa a translação de
paradigmas de serviços tradicionais para os de multimídia. Incontinenti, nos serviços, cada
vez mais, tem-se buscado soluções personalizadas para o atendimento das necessidades
individuais dos seus usuários, como as comunicações pessoais. Estas duas tendências,
multimídia e comunicações pessoais, aliadas aos fenômenos socio-econômicos: globalização
da economia, barateamento da tecnologia e serviços, convergirão no próximo milênio para
sistemas de comunicações pessoais universais baseados em multimídia.
Este cenário é consubstanciado pelo crescimento vertiginoso do mercado de
comunicações móveis desde a sua introdução no início dos anos 80, superando as mais
otimistas projeções. Três fatores são responsáveis pela alavancagem destes serviços:
desregulamentação, competição e tecnologia. A desregulamentação tem papel preponderante,
pois fomenta um ambiente de competição entre os prestadores de serviços de
2
telecomunicações, que no afã de cativar um mercado maior, buscam soluções personalizadas
para os seus usuários, viabilizadas pela introdução de novas tecnologias. Deste modo, se
verifica a forte consolidação do mercado de serviços móveis, sustentada por diversos textos,
dentre os quais está Mobile Green Paper [DGX01] que estima o mercado para comunicações
móveis na União Européia crescerá de 40 milhões de usuários no ano 2000 para 80 milhões
em 2010, com penetração de 70 a 80% de toda população contra 50% nos serviços fixos,
lembrando que os serviços móveis são pessoais, ou seja, um por pessoa. No mundo, para o
milênio que se avizinha, a expectativa para o volume de negócios em comunicações móveis
excederá 100 bilhões de dólares.
Os serviços móveis são atendidos em bandas bem definidas do espectro
eletromagnético dentro da região geográfica de atendimento. A utilização das bandas passa
por processo de concessão, que num mercado competitivo se dá por leilão, alcançando cifras
bilionárias. Basta observar notícias recentes da concessão da banda B no Brasil. A crescente
demanda por estes serviços implica na introdução de mais usuários, que aumenta
consideravelmente o tráfego em determinadas regiões atendidas pelos mesmos recursos,
acarretando na degradação do serviço. O esgotamento rápido do espectro destinado aos
serviços existentes implica diretamente em novos investimentos em infra-estrutura, sendo
imperativo a expansão do sistema existente ou introdução de um novo - que, inclusive,
envolve concessão de nova banda. Neste sentido, o espectro eletromagnético tem
demonstrado ser a componente de maior peso nos custos envolvendo a implantação dos
serviços de comunicações móveis. Assim, tem-se buscado otimizar os sistemas existentes,
introduzindo métodos, ou combinação de métodos, de acesso de maneira a utilizar mais
eficientemente o espectro eletromagnético versus região geográfica.
As comunicações móveis não são recentes, com notícias desde os anos 30, onde
sistemas de comunicação policial foram adaptados para um sistema móvel de segurança
pública nos Estados Unidos. Mas somente com as centrais digitais, e com a concepção da
célula, é que foi introduzido em 1983 o AMPS Advanced Mobile Phone System, inaugurando
a era dos serviços móveis como são conhecidos hoje. O mercado bilionário induziu uma
grande contingência de esforços para viabilizar tecnicamente os serviços demandados. Estes
esforços fazem com que as comunicações móveis sejam formadas por um misto de soluções
tecnológicas, passando por processamento de sinais, comunicações via satélite etc. Na
3
comunidade européia existem vários projetos buscando introduzir novas tecnologias para
atender os serviços móveis futuros, desenvolvidos dentro de grandes programas
(RACE/ACTS). Um dos projetos trata da introdução de dois padrões para a terceira geração
de comunicações móveis, a saber: UMTS (Universal Mobile Telecommunications System),
para compatibilização com os serviços da RDSI faixa estreita; e o MBS (Mobile Broadband
System) para atendimento aos serviços da RDSI de banda larga, conforme descreve a figura
1.1.
fast mobile
slow mobile
movable
fixed
9.6 2 150
kbit/s Mbit/s
service bit rate
ter. mobility
UMTS
B-ISDN
GSM
ISDN
MBS
Figura 1.1 - Panorama do padrões tecnológicos para o atendimento dos serviços fixos e móveis
1.1 Sistemas de Comunicações Móveis
De maneira simplista, os sistemas de comunicações móveis são constituídos de três
componentes, o terminal móvel, a estação rádio base e a central de comutação móvel, (figura
1.2). O terminal móvel é um transceptor portátil e inteligente utilizado pelo usuário. Este
terminal é munido de um sistema computacional que processa algoritmos usados no plano de
controle e plano do usuário do protocolo de múltiplo acesso deste sistema de comunicações.
Os acessos, chamados de canais de tráfego, são solicitados à estação rádio base que detém o
seu controle. O plano de controle é suportado por canais exclusivos entre os terminais móveis
e a estação rádio base, sendo estes chamados de canais de controle. Da mesma forma que os
terminais móveis, a estação rádio base utiliza transceptores de potência limitada de maneira à
atender uma região geográfica específica denominada de célula.
4
Terminal Móvel
Central de
Comutação
Móvel
Estação Rádio Base
Células
REDE
FIXA
Figura 1.2 - Sistema de Comunicação Móvel Celular e seus componentes
A célula é resultado da subdivisão da região geográfica atendida pelo serviço. A cada
célula são destinados um grupo de canais, de tal sorte que em células adjacentes, grupos com
canais diferentes são utilizados, conforme a figura 1.3. O menor grupamento de células
adjacentes cujos canais somam o total de canais disponíveis para o serviço é denominado de
cluster. O número de células em cada cluster é escolhido conforme as condições de
interferência cocanal. Quanto mais próximas as células de canais reutilizados maior é a
interferência cocanal. Este número de células é denominado de fator de reuso e indica o grau
de utilização do sistema - maior o fator de reuso, menor é a quantidade de tráfego cursado
pelo sistema para mesma quantidade de canais.
F5
F4
F0
F3
F2F6
F1
F5
F4
F0
F3
F2F6
F1
Células
Clusters
Região
Geográfica
Figura 1.3 - Região geográfica dividida em células
5
A central de comutação móvel faz a interface entre diversas estações rádio base e a
rede fixa, que na primeira geração de comunicações móveis é a rede pública de telefonia.
Assim, entre as funções da central estão: controlar as estações radio base filiadas a ela,
comutar para permitir o estabelecimento de comunicação entre usuários e compatibilizar os
serviços oferecidos pela rede fixa com os serviços móveis.
1.2 Métodos de Acesso
Os serviços de telecomunicações, nos atuais sistemas de comunicações móveis, são
caracterizados pela transferência de informação entre dois usuários situados em pontos
distintos. A transferência é feita dentro um perfil de qualidade de serviço tais como o tempo
de transferência, garantia da integridade da informação etc. Os pontos são unidos por um
meio físico onde trafega a informação, que no caso das comunicações móveis é compartilhado
por todos os usuários do sistema a partir da estação rádio base. O compartilhamento se dá pelo
uso adequado das características físicas do meio, que representam os seus recursos
disponíveis, ou capacidade de transferência da informação. O sistema pode ser representado
por modelo matemático onde se define a partição dos recursos disponíveis no meio em canais,
que devem ser ortogonais. Assim, os recursos podem ser subdivididos num número finito de
canais de comunicação utilizados pelos usuários, que são acessados através da modulação. A
recuperação da informação pelo outro usuário é feita por um processo de decomposição
ortogonal do vetor formado pela soma de todos os canais, que podem portar ou não sinais. A
decomposição separa estes canais e por conseguinte é obtido o sinal desejado com a
informação trazida por este. No caso ideal, este processo permitiria recuperar o sinal
fidedignamente. Porém isto nem sempre pode ser feito devido a presença de ruído e
interferência.
Freqüência
Tempo
Código
Figura 1.4- Representação dos recursos de natureza temporal.
6
Em geral, os métodos de acesso seguem basicamente quatro vertentes: freqüência,
tempo, código e espaço, sendo que os três primeiros são baseados no processamento temporal,
conforme diagrama da figura 1.4. As técnicas utilizadas nestes métodos, em ordem crescente
de complexidade de implementação, bem como na mesma ordem introdução nos sistemas
telecomunicações, são: o FDMA Frequency Division Multiple Access, TDMA Time Division
Multiple Access, CDMA Code Division Multiple Access e o SDMA Spatial Division Multiple
Access.
1.2.1 FDMA
No FDMA os canais são caracterizados por faixas de freqüência, em que os usuários
ocupam os canais durante todo o tempo de utilização do serviço, conforme indica figura 1.5
abaixo.
f
f1
f2
f3
fn
t tempo
freqüência
Canais
(faixas de freqüência)
Figura 1.5 - Utilização dos recursos do meio no caso FDMA
1.2.2 TDMA
O TDMA representa um estágio tecnológico superior ao FDMA, onde a utilização dos
recursos do meio, os canais, são intervalos de tempo. A informação é transferida nestes
intervalos periodicamente dentro de um quadro, conforme indica a figura 1.6.
7
t1
t
t2 t3 t1 t2 t3 t1
tempo
freqüência
f
Canais
(intervalos de tempo)
quadro
Figura 1.6 - Utilização dos recursos do meio no caso TDMA de faixa estreita
1.2.3 CDMA
O CDMA é implementado através da técnica de espalhamento espectral (spread
spectrum), existindo, basicamente, duas técnicas de espalhamento espectral a de salto de
freqüências Frequency Hopping, e seqüência direta Direct Sequence. No Frequency Hopping
os sinais são alocados dinamicamente em bandas de freqüência do espectro em tempos
definidos, cuja ordem de ocupação é dada pelo código pseudo-aleatório de cada canal,
conforme representa a figura 1.7. Na recepção, a informação do sinal pode ser obtida
conhecendo-se a seqüência de freqüências com a qual o sinal foi transmitido.
∆t tempo
freqüência
∆f
c1
c2
c3
c2
c3
c1
c3
c2
c1
c2
c1
c3
c1
c3
c2
c3
c2
c1
freqüência tempo
∆f
∆f
C1
C2
C3
C1
C2
C3
Canais
(Códigos)
Figura1.7 - Frequency Hopped Figura 1.8 - Utilização dos recursos do meio no caso CDMA de faixa
estreita
No método de seqüência direta, o sinal de faixa estreita é multiplicado por uma
seqüência de pulsos de faixa larga, cujas amplitudes são definidas pelo código do usuário,.
Isto resulta no espalhamento espectral deste sinal, que ocupa um espectro extremamente
maior que o original. A recepção é feita pela correlação temporal do transmitido sinal
utilizando o código do sinal desejado. Como limitante desta técnica, está o nível da potência
de ruído interferente provocado pelos demais códigos, (figura 1.8).
8
1.2.4 TDD e FDD
Os métodos de acesso descritos são combinados para formar os padrões de
comunicações sem fio existentes. Estes padrões suportam serviços que são normalmente
interativos, como a telefonia móvel. Os serviços interativos necessitam de dois canais para o
seu estabelecimento, que em comunicações móveis são o canal direto (forward) e o canal
reverso (reverse). O canal direto de conversação é da estação rádio base para o terminal
móvel, e o reverso do terminal móvel para a estação rádio base. Estes dois canais de
conversação, também chamados de canais de tráfego, são utilizados simultaneamente,
implicando na divisão por dois dos recursos destinados ao seu atendimento. Basicamente
existem duas técnicas para esta divisão, a saber: FDD Frequency Duplex Division e TDD
Time Duplex Division.
Canal Reverso Canal Direto
Partição na
freqüência
freqüência
Figura 1.9 a- FDD Frequency Division Duplex
Canal Reverso Canal Direto
Partição no
tempo
tempo
Figura1.9 b- TDD Time Division Duplex
No FDD, como seu nome indica, divide-se o espectro destinado ao serviço por dois.
Normalmente as freqüências baixas são destinados aos canais reversos e as freqüências altas
ao direto, como indica figura 1.9a. De maneira semelhante, o TDD divide um quadro, ou
intervalo de tempo, em dois, em que a primeira fatia é para o canal reverso, e a segunda para o
canal direto (figura 1.9b). No TDD o transceptor ora está habilitado para transmissão, ora para
recepção, usando sempre a mesma faixa de freqüência. O FDD e o TDD combinadas com as
técnicas de acesso viabilizam os serviços interativos nos diversos padrões hoje em operação
mostrados na tabela 1.1.
9
Padrão Celular Técnica de Múltiplo Acesso
AMPS Advanced Mobile Phone System FDMA/FDD
GSM Global System for Mobile TDMA/FDD
USDC U. S. Digital Cellular TDMA/FDD
JDC Japanese Digital Cellular TDMA/FDD
CT2 Cordless Telephone FDMA/TDD
DECT Digital European Cordless Telephone FDMA/TDD
IS-95 U.S. Narrow Band Spread Spectrum CDMA/FDD
Tabela 1.1 - Técnicas de Múltiplo Acesso utilizadas nos padrões de comunicações móveis existentes
1.3 O SDMA
O SDMA, conforme seu nome indica, explora a dimensão espacial, ou seja, permite a
multiplexação de várias fontes coerentes separadas apenas pela direção ou posição geográfica
de suas origens. Este método não é muito comum nos sistemas de telecomunicações, mas
formas primitivas de sua implementação são largamente utilizadas em comunicações móveis
como a segmentação e a setorização, sempre combinadas com os métodos de acesso baseados
no tempo.
1.3.1 Segmentação
A segmentação é a subdivisão da região de atendimento do serviço em regiões
menores denominadas de células. A célula possuí uma quantidade limitada de canais
acessados pelos usuários pertencentes a ela. Quando a demanda numa célula é muito grande,
excedendo a limite de tráfego dado pelo grau de serviço, ela é subdividida em células
menores, figura 1.10. A cada célula assim criada é atendida por uma nova estação rádio base
de maneira a atender um número menor de usuários que a célula anterior congestionada.
10
Célula Original
Células subdivididas
resultantes da
segmentação
Figura 1.10- Segmentação de células.
Como conseqüência desfavorável da utilização desta técnica, está o aumento do
tráfego nos canais de controle. Isto ocorre porque dada a diminuição das células, mantendo o
mesmo grau de mobilidade dos seus usuários, haverá um número maior de operações de
handoff. O handoff ocorre quando um terminal móvel atravessa a fronteira de duas células
adjacentes, e o controle do terminal bem como os canais de tráfego utilizados, passa a ser
feito pela estação da nova célula.
1.3.2 Setorização
A setorização surge como alternativa à segmentação, na solução dos problemas
relativos ao aumento de tráfego numa dada célula. Por outro lado, a setorização utiliza a
mesma infra-estrutura, ou melhor, não há necessidade de se introduzir novas estações, pois
utiliza antenas diretivas em substituição da antena omnidirecional. As antenas diretivas
substitutas atendem a setores específicos da célula, diminuindo a interferência cocanal. Como
conseqüência, pode-se ter maior número de canais por célula. A figura 1.11 abaixo apresenta
duas modalidades de setorização a de 60º e a de 120º.
11
Célula Original
Setores
de 60º
Figura 1.11a
- Setorização com setores de 60 º
Célula Original
Setores
de 120º
Figura 1.11b - Setorização com setores de 120 º
1.3.3 Antenas Adaptativas
A outra forma de implementação usando a dimensão espacial, ou o SDMA, pode ser
entendida como uma evolução do conceito de setorização, que se baseia na utilização de
antenas diretivas, implicando na diminuição da interferência. No limite da setorização, ou
seja, se o direcionamento e o estreitamento do diagrama de irradiação fosse de tal maneira a
atender e acompanhar cada usuário, então todos os usuários do sistema poderiam dispor de
todos os canais existentes no sistema. Desta maneira, se conseguiria separar usuários apenas
pela sua direção, ou melhor, permitir a multiplexação no espaço. Esta forma ideal de
implementação da diversidade espacial é o SDMA (figura 1.12b).
Figura 1.12a - Setorização Figura 1.12b - SDMA ideal Antenas mais diretivas, podendo ser
implementado usando antenas adaptativas
Antenas com propriedades próximas a estas descritas, são largamente utilizadas em
geofísica, sonares e radares, e são denominadas de antenas adaptativas. As antenas adaptativas
pertencem à área de processamento de sinais denominada de processamento de matrizes de
sinais (Array Signal Processing). Seu princípio é baseado no ajuste de parâmetros livres
Nppp ,,, 21 , pesos complexos, para obter objetivos desejados como a adaptação do
diagrama de irradiação, melhoria da relação sinal-ruído, determinação do número de sinais
12
presentes, rastreamento do sinal etc [DON01]. Para tanto utiliza das informações oriundas de
transdutores dispostos numa certa ordem, que amostram no espaço a onda incidente no
conjunto, conforme a figura 1.13.
p1 p2 pN
z(t)
Frentes de Onda
Diagrama de Irradiação
Equivalente
x1 x2 xN
Antenas
0º
Figura 1.13 - Antenas Adaptativas, amostragem espacial do sinal e ajuste do diagrama de irradiação.
Inicialmente, a implementação das antenas adaptativas se dava por ajustes das fases do
sinal em RF observados nos elementos deste conjunto. Esta técnica é conhecida como Phased
Array. O ajuste introduz diferentes retardos ao sinal analógico captados pelas antenas, de
maneira a somar em fase o sinal desejado, cujo efeito é a formação do feixe (beamforming)
direcionando o diagrama de irradiação para o sinal desejado (figura 1.13). Quando os pesos,
mencionados acima, são obtidos através da otimização de funções custo, por exemplo
melhoria da relação sinal-ruído, o efeito é um diagrama de irradiação do conjunto de antenas
atendendo ao requisito de otimização. A esta técnica dá-se o nome de beamforming ótimo
(formação ótima de feixe). Hoje com a combinação das tecnologias como o DSP Digital
Signal Processor e MMIC Monolithic Microwave Integrated Circuit, é possível a aplicação
de algoritmos mais sofisticados baseados na otimização, e sem introduzir distorções que as
soluções analógicas produzem. Esta combinação inaugurou a era do DBF Digital
BeamForming.
13
1.4 Antenas Adaptativas
As primeiras aplicações de matriz de antenas em radares datam do ano de 1959 com a
invenção de Howells [HOW01] denominada de IF Side Lobe Canceler SLC, ou cancelador de
lobo secundário. Posteriormente, em 1965, com o trabalho de Applebaum [APP01], o
conceito completo de antenas adaptativas foi desenvolvido. Este trabalho introduziu um
algoritmo baseado na obtenção dos pesos supracitados pela maximização da relação sinal-
ruído, e o SLC, concebido por Howells, pode ser considerado um caso particular do trabalho
de Applebaum. Em 1966, Widrow em [WID01], desenvolveu outra metodologia de adaptação
que utiliza o LMS Least Mean Square, observando que, para algumas conformações das
antenas, a formulação é semelhante a de um filtro transversal. Capon em [CAP01] utilizou
como métrica para otimização, a variância da resposta do conjunto de antenas )(tz , sendo os
pesos obtidos através da minimização da variância dos sinais indesejados, condicionado a
restrição para o sinal desejado a energia é máxima. Este algoritmo recebeu o nome de MVRD
Minimum Variance Distortionless Response, mas é também chamado de método de máxima
verossimilhança, pois maximiza a razão de máxima verossimilhança. Pode-se provar que os
métodos de Capon e o de Applebaum obtém o mesmo resultado, e o de Widrow em conjunto
com os demais converge para a solução ótima de Wiener [LIT01].
1.4.1 Estimação da Direção de Chegada
Como se verá neste trabalho, os diversos métodos de ajuste dos pesos nas antenas
adaptativas dependem da direção de chegada. A seguir será apresentado um resumo dos
principais resultados nesta área.
Pisarenko em [PIS01] obteve, como resultado no seu problema de otimização, a
expressão para os pesos em função do autovetor associado ao menor autovalor da matriz
covariância espacial1
. Com este trabalho, Pisarenko inspirou um método de estimação da
direção de chegada, o MUSIC MUltiple SIgnal Classification desenvolvido por Schimidt em
1981 [SCH00], que representou um marco nos métodos de estimação da direção em relação
aos existentes até então. O MUSIC se baseia nas propriedades dos autovalores e autovetores
da matriz covariância espacial, mais especificamente, no seguintes fatos: o número de
1
A matriz covariância espacial é obtida através dos sinais percebidos pelas antenas, amostras espaciais, da
matriz de antenas.
14
elementos do conjunto de antenas menos o número dos menores autovalores iguais da matriz
covariância é o número de sinais presentes; o vetor formado pelos sinais dos elementos da
matriz de antenas é ortogonal aos autovetores associados ao ruído, que são associados aos
menores autovalores iguais. Estes fatos motivaram a classificar o MUSIC, bem como outros
métodos derivados dele, de Subspace Fitting Methods, métodos baseados na projeção
ortogonal no subespaço gerado pelo ruído. Para investigação das direções dos sinais
incidentes, o MUSIC utiliza como medida o inverso da norma da projeção neste subespaço,
que possui resolução2
melhor que a resposta do conjunto de antenas )(tz , daí chamados
algoritmos de alta resolução. Após o MUSIC, outros métodos baseados nas mesmas
propriedades de ortogonalidade foram introduzidos como: o ESPRIT Estimation of Signal via
Rotation Invariance Techniques proposto por Roy em [ROY01]; o MD-MUSIC Multi
Dimensional MUSIC proposto Cadzow em [CAD01]. Mas Viberg em [VIB02] demonstrou
que estes últimos, bem como, o estimador de máxima verossimilhança com sinal
determinístico para as direções de incidência seguem uma mesma formulação, a menos de
uma matriz que os diferencia. No mesmo trabalho, foi obtida uma outra matriz, cuja expressão
resultante para estimar as direções de incidência possui variância do erro mais próxima do
limitante de Cramèr-Rao, quando comparada aos demais métodos. Este novo método foi
denominado, neste texto e em [VIB01], de WSF Weighted Subspace Fitting. Também em
[STO01], partindo de outras premissas, Stoica chegou ao MODE Method Of Direction
Estimation, que possui resultados semelhantes ao WSF. Outros métodos interessantes podem
ser encontrados como o ROOT-MUSIC, apresentado por Barabell em [BAR02], que depende
da disposição uniforme dos elementos.
1.4.2 Formação Ótima de Feixe e a Estimação da Direção de Chegada
O problema de estimação do sinal, ou seja, ajuste ótimo dos pesos do conjunto,
visando a formação ótima de feixe, pode ser simplificado bastante com a informação da
direção de incidência de cada um dos sinais. Com isto resume-se o trabalho a apenas algumas
operações matriciais. Por trabalhar com matrizes, esta forma de beamforming ótimo é
denominada de método em bloco, pois precisa de uma janela no tempo onde o sinal é
amostrado. Em [NAG01] os métodos de formação de feixe ótima são classificados em três
categorias: os algoritmos baseados na direção de chegada, que utilizam os métodos de
2
Habilidade de uma função separar graficamente dois pontos distintos.
15
estimação da direção discutidos acima; algoritmos que utilizam sinal de referência, ou melhor
baseados em treinamento de sinais como LMS Least Mean Square [WID01, QUI01], SMI
Sample Matrix Invertion, RLS Recursive Least Squares; e algoritmos de estimação cega que
são baseados na estrutura dos sinais de comunicação, como CMA Constant Modulus
Algorithm, alfabeto discreto, auto coerência [TAL01], [TAL02].
1.4.3 Antenas Adaptativas em Comunicações Móveis
Em 1987, Davies [DAV01], sugeriu emprego de antenas adaptativas nos futuros
sistemas comunicações móveis para incrementar o número de acessos aos usuários, com
aumento em 30 vezes na eficiência espectral. A idéia era de utilizar um conjunto de antenas
na estação rádio base para implementar diagramas de irradiação estreitos na direção do sinal
do terminal móvel, usando algoritmos de rastreamento e de formação do diagrama
(beamforming) [SWA01]. Desde então, as antenas adaptativas são indicadas em diversos
textos para melhoria da performance de sistema de comunicações móveis. Dentre os
benefícios pode-se citar: melhoria da relação sinal ruído interferente; melhoria da eficiência
espectral; diagrama de irradiação com múltiplos feixes [SWA01]; melhoria do fator de reuso
[PET01]; melhoria da taxa de erro de bit BER [NAG02]; melhoria da disponibilidade do
serviço pela redução da probabilidade de outage; redução da potência na transmissão; etc. Em
[GOD01] encontra-se uma lista enorme de outras melhorias e utilizações das antenas
adaptativas, como a aplicação em sistemas de comunicações móveis via satélite, com as
antenas a bordo dos satélites, por exemplo. Mas estações rádio base são apontadas como
emprego imediato das antenas adaptativas pela maioria dos textos [PET01, NAG01, SWA01,
DAV01, OTT02, AND01, ASZ01, ASZ02, GOD01]. O grande apelo para o uso está na
facilidade de implementação nas estações e custo competitivo quando comparado a
setorização e a segmentação. Dentre as possibilidades para o uso das antenas adapativas, a
mais simples é a setorização, utilizando múltiplos diagramas ajustados estaticamente para as
direções desejadas (formação convencional de feixe). Porém, o emprego mais interessante,
das antenas adaptativas, é o ajuste dinâmico dos diagramas de irradiação nas direções dos
terminais móveis. Como decorrências deste ajuste além de benefícios mencionados está a
possibilidade construir dinamicamente células com formatos a atender regiões de maior
tráfego (ver figura 1.14), diminuição da potência dos transmissores, entre outras. Outra
possibilidade, é anular o diagrama para as direções não desejadas, ao invés de adaptar o
16
diagrama para direção desejada. Esta técnica se chama de cancelamento de sinais ou null
steering.
Figura 1.14 - Células com formatos que se ajustam a agrupamentos de terminais móveis de acordo com a demanda.
A utilização de antenas adaptativas em comunicações móveis é objeto de muitos
programas de pesquisas. Entre eles está o TSUNAMI (Smart Antenna Technology For
Advanced Mobile Infrastructure) que é um projeto RACE/ACTS, reunindo diversos centros
de pesquisa e fabricantes de equipamentos na Europa. Neste projeto, o alvo é desenvolver
tecnologia em antenas adaptativas visando prioritariamente o UMTS, terceira geração de
comunicações móveis, mesmo os de segunda geração como o DECT. Dentre os produtos
resultantes deste projeto pode-se citar: modelo de propagação para um conjunto de antenas;
medição; avaliação de performance usando simulação e teste em campo; e modelo de tráfego
para este novo contexto.
1.4.4 Limitações
Dentre todas as utilizações e melhorias descritas acima, o que se busca com as antenas
adaptativas é implementar o SDMA, mas devido ao complicado ambiente de propagação, este
objetivo está longe de ser alcançado3
. Basta lembrar que a maioria dos algoritmos propostos
para obtenção da formação ótima de feixe, bem como estimação da direção de chegada, são
baseados num ambiente onde existe apenas o ruído branco aditivo, sem considerar o
multipercurso do sinal devido a reflexões, espalhamento etc, conforme (figura 1.15).
3
Aqui SDMA está relacionado com o caso ideal quando o fator de reuso é igual a 1.
17
LOS Line Of Sight
Refletores Dominantes
Refletor Dominante
Figura 1.15 - Desvanecimento devido a multipercurso.
Os diversos multipercursos, associados a outros fenômenos ondulatórios, degradam o
sinal original e recebem o nome genérico de desvanecimento. Conforme será abordado
brevemente no capítulo 4, o desvanecimento pode ser classificado em grande escala e
pequena escala, que por sua vez pode ser classificado em seletivo ou plano, rápido ou lento,
dependendo, também, da natureza do sinal [SKL01]. Estudos mais recentes buscam adaptar os
algoritmos de formação ótima de feixe e de estimação da direção de chegada [ASZ03,
BEN02, ASZ01], bem como a criação de outros [TRU01], para a nova realidade de um
ambiente com multipercurso [OTT02, ASZ03, ASZ02, ZET00]. Para tanto, modelos
específicos para recepção nas estações rádio base tem sido propostos, como por exemplo o
Low Rank Channel Model, Angular Spread Model, ou Gaussian Angle of Arrival One cluster
GAAO [OTT02, ASZ03, ASZ02, ZET00, ZET01, OTT02, TRU01]. Estes modelos são
usados para avaliar e adaptar os algoritmos de formação ótima de feixe e os métodos de
estimação da direção de chegada supracitados.
Outras dificuldades para implementação do SDMA são encontradas como em
[PET01], que fez avaliações da viabilidade de utilização do SDMA no AMPS Advanced
Mobile Phone System. Neste trabalho, se concluiu que para atender a qualidade de serviço
com a probabilidade de outage igual a 2% com separação angular de 5º são necessárias 44
antenas em disposição linear, cuja implementação é extremamente difícil. De toda forma, a
sua aplicação permite a redução do fator de reuso e melhoria na relação sinal ruído (ver
gráfico da figura 1.16).
18
1 3 4
Fator de Reuso
Número de Elementos
>46
8
5
Figura 1.16
1.5 Objetivo deste Estudo
Motivado pela importância crescente da tecnologia de antenas adaptativas para as
comunicações móveis em geral, este estudo tem por objetivo a avaliação de desempenho de
métodos de estimação de chegada em ambientes típicos. Mais especificamente, este estudo
objetiva comparar os métodos de estimação da direção de chagada baseados em Subspace
Fitting, e outras estimações inerentes, considerando quatro cenários. No primeiro cenário
existe apenas o ruído branco como distorção. Os demais consideram além do ruído branco, o
multipercurso. Para ser mais preciso, estes cenários consideram o espalhamento local dos
sinais percebidos pela estação rádio base produzindo o desvanecimento rápido e plano. Este
estudo pretende, ainda, relacionar os diversos modelos propostos, procurando apresentar suas
formulações de maneira clara e organizada com base nas referências bibliográficas. Para
cumprimento deste objetivo, ele está subdivido nos seguintes capítulos: Capítulo 2 - Antenas
Adaptativas: apresentação, abordagem conceitual normalizadora e apresentação do modelo
considerando apenas o ruído branco; Capítulo 3 - Formação Ótima de Feixe: apresentação dos
métodos de beamforming ótimo4
baseados na informação da direção de chegada; Capítulo 4-
Antenas adaptativas em Comunicações Móveis: apresentação do modelo de propagação em
comunicações móveis considerando múltiplas antenas; Capítulo 5- Simulações: resultado de
todas as simulações para os quatro ambientes de propagação; Capítulo 6 - Conclusões: onde
se busca dar interpretações aos resultados encontrados nas simulações.
4
Formatação ótima de feixe considerando o ruído branco e o número de amostras temporais.
19
2. Antenas Adaptativas
Este capítulo pretende fazer uma breve introdução aos conceitos preliminares deste
estudo, bem como, apresentar os seus elementos constituintes, objetivando uniformizar e
padronizar as notações constantes nas referências bibliográficas.
2.1 Função de Onda - Wavefield
Chama-se de função de onda (ver Anexo I) ),( rtf a função que representa o
comportamento de qualquer grandeza (escalar) física associada ao fenômeno de propagação
(valor da potência, módulo do campo elétrico ou magnético) em função do espaço
representado pelo vetor posição r , e tempo representado pela variável t.
Para uma onda plana (Anexo I) [DIN01] que se propaga na direção 0k a função se
resume em:
20







 ⋅
−=
c
kr
trtf 0
),( φ , (2.1)
onde cada situação em que ctekr =⋅ 0 (um plano de normal 0k ) a função de onda só depende
de t, ou melhor, a representação de f poder vista como uma sucessão de planos com mesma
fase como a figura 2.1 abaixo.
0k
ctekr =⋅ 0
Figura 2.1 - Superfícies de nível de uma onda plana que se propaga na direção 0k .
Dentre as ondas planas, existe uma de particular interesse que é a monocromática. As
ondas planas e monocromáticas são autofunções do operador de D’Alembert, D’Alembertiano
(ver Anexo 1), que supondo as condições de contorno como meio livre e isotrópico, toda onda
plana pode ser escrita como uma série de ondas planas e monocromáticas. A função de onda
de uma onda plana e monocromática de freqüência angular ω e que se propaga na direção 0k
é dada por:
( )0
),( krtj
ertf ⋅−
= ω
. (2.2)
2.1.1 Representação Complexa
De uma maneira geral o formato do sinal modulado utilizando os mecanismos de
acesso típicos nos sistemas de telecomunicações, como o FDMA, TDMA e CDMA, podem
ser representado de forma complexa segundo a expressão:
tjtfj cc
etyetyts ωπ
)()()( 2
== , (2.3)
onde cω é a freqüência angular da portadora e )(ty é a representação complexa da
informação, também chamada de envoltória complexa.
21
Durante o processo de transmissão o sinal )(ts é transformado numa das grandezas
físicas como magnitude do campo elétrico, potência do sinal etc, eqüivalendo a uma função
de onda ),( rtf escrita da seguinte forma:







 ⋅
−=
c
kr
tsrtf
ω
),( ,
(2.4)
que neste modelo é uma onda plana de direção de propagação k .
2.1.2 Sinal de Faixa Estreita
Em algumas situações abordadas a frente, o sinal )(ty será considerado de faixa
estreita. Esta consideração é importante pois simplifica de sobremaneira a implementação dos
mecanismos de adaptação, mais especificamente o phased array analógico. Pois um pequeno
atraso ∆ em )(ts pode ser considerado como uma defasagem. Ou seja:
)(
)()( ∆−
∆−=∆− tj c
etyts ω
. (2.5)
Como )(ty é um sinal de faixa estreita, )()( tyty ≈∆− , e assim:
φj
etsts −
≈∆− )()( , (2.6)
onde ∆= cωφ . A figura 2.2 esclarece o conceito de faixa estreita. Nesta figura estão
representados na freqüência o sinal )(ty e a parte real da transformada de )( ∆−tδ , visto que
)()()( ∆−∗=∆− ttyty δ . O sinal é considerado de faixa estreita se yB , a largura de banda de
)(ty , é bem menor que 1−
∆ . Neste caso, para yB≤ω tem-se: 1)cos( ≈∆ω , 0)sen( ≈∆ω e
∆
≈ ω
ωω j
eYY )()( , que seria forma dual da conclusão anterior.
22
( )∆ωcos
)(ωY
1−
∆<<yB
ω
Figura 2.2 - Representação na freqüência do sinal )(ty
No caso de uma onda plana correspondente ao sinal )(ts , ou seja,







 ⋅
−=
c
kr
tsrtf
ω
),( , os deslocamentos no espaço, terão o mesmo tratamento anterior, ou
seja:
( ) krjkrj
cc
ertfe
kr
ts
krr
tsrrtf ⋅−⋅−
=






 ⋅
−≈






 ⋅−
−=− 00
),(),( 0
0
ωω
,
(2.7)
se
kr
B c
y
⋅
<<
0
ω
.
Vale a pena comentar que neste estudo, o comportamento do sinal de informação não
é muito importante, pois a ênfase é na possibilidade de explorar a dimensão espacial da
função de onda. Mais especificamente, os algoritmos analisados aqui, fazem uso das amostras
temporais do sinal apenas para estimar a matriz covariância espacial. Portanto, não será
levado em conta o tipo de modulação, e/ou codificação, do sinal.
2.2 Antena
Uma antena, de maneira mais simplista, pode ser entendida como um transdutor que
objetiva transformar energia elétrica em onda eletromagnética e vice-versa. Na recepção, a
antena intercepta as ondas incidentes em sua superfície, e transforma a energia oriunda dessas
ondas em energia elétrica. Na transmissão, a antena funciona de maneira contrária, ou seja, a
energia elétrica excita o transdutor, que transforma esta energia numa onda eletromagnética.
23
Em termos matemáticos, a antena pode ser vista como a entidade que transforma uma função
no espaço-tempo numa outra dependente apenas do tempo, e vice-versa.
),( rtf
)(tz
),( rtf
)(tz
Figura 2.3a - Antena como um transdutor, na recepção transformando
uma função no espaço-tempo em outra apenas no tempo
Figura 2.3b - Antena como um transdutor, na transmissão
transformando uma função no tempo em outrano espaço e tempo
A energia transformada tanto na recepção quanto na transmissão segue o princípio da
reversabilidade, ou seja, a antena mantém suas propriedades desde que o sinal transformado
mantenha suas características como por exemplo a freqüência da portadora. A maior parte
deste texto será desenvolvido baseado nas propriedades da antena no modo de recepção. Na
transmissão subentende-se que possua a mesma característica. Na recepção, a energia
transformada )(tz da onda dada por sua função ),( rtf , segue a seguinte expressão:
∫∫∫= dVrtfrgtz ),()()( , (2.8)
onde dV é o elemento diferencial de volume, )(rg é chamada de Aperture Smoothing
Function [DON01], e depende basicamente da geometria da antena considerada, para pontos
exteriores a superfície da antena 0)( =rg . Observando a expressão acima, a antena é na
realidade um filtro espacial que seleciona regiões específicas do espaço, ou direções. Se a
antena possui dimensões pontuais e situada na posição 0r , a função )(rg é da forma:
)()( 0rrrg −= δ , (2.9)
onde )(⋅δ é a função delta de Dirac. A expressão para )(tz resulta em:
),(),()()( 00 rtfdVrtfrrtz =−= ∫∫∫δ . (2.10)
Da expressão acima se verifica que uma antena com dimensões pontuais amostra a função
),( rtf no espaço.
24
2.2.1 Diagrama de Irradiação
As antenas em geral podem ser classificadas de acordo com a sua diretividade
observada no seu diagrama de irradiação. Considere a figura 2.4a, onde aparece o vetor
posição r representado em coordenadas esféricas. Este vetor é função do seu módulo, da
elevação e do seu azimute. Assim, a função ),( rtf desta antena pode ser escrita como
),,,(),( ϕθrtfrtf = . O diagrama de irradiação )(θG de uma antena pode ser definido como
o gráfico da energia de )(tz , )(tz , em função do azimute de uma onda monocromática e
plana de energia unitária, mantendo-se fixos o módulo de r constante e a elevação igual a
zero 0=ϕ . Outra forma de obtenção do diagrama de irradiação é através da transformada de
Fourier no espaço de )(rg :
∫∫∫
⋅−
≡ dVergkG krj
)()( , (2.11)
onde )(θkk = , assim ( ))()( θθ kGG = .
O diagrama de irradiação é, então, a representação da função que se traduz na
habilidade da antena de filtrar no espaço, como a curva de resposta de um filtro, onde o
elemento filtrado é a direção de chegada das ondas incidentes, proporcionando ganhos
maiores ou menores dependendo deste ângulo de chegada. Os ganhos da antena são definidos
em relação a uma antena isotrópica disposta na mesma posição desta e seu valor expresso em
dB. No diagrama aparecem alguns indicadores da qualidade da antena no que se refere à
habilidade de filtragem espacial. Dentre os indicadores se destacam o lobo principal, a largura
de feixe.
2.2.2 Lobo Principal
Chama-se de lobo principal a parte da curva do diagrama de irradiação onde se
encontra o maior máximo entre dois mínimos consecutivos do diagrama. Os demais máximos
entre mínimos são chamados de lobos secundários, conforme indica a figura 2.4. O lobo
principal indica o grau de diretividade da antena. Se o lobo é estreito mais diretiva ela é, ou
mais seletiva em relação à direção associada ao lobo principal. A largura de feixe mede o grau
de estreitamento do lobo principal, e está intimamente ligada a resolução da antena em
análise, ou seja a capacidade de separação pelo ângulo de incidência de sinais distintos. Ela é
25
definida como a distância em graus de dois pontos do diagrama de irradiação que alcançam a
metade do valor máximo no lobo principal, conforme a figura 2.4.
r (r, )
Azimute
Elevação
0º
90
270
180 0º
Figura 2.4a - Elementos da geometria do
diagrama de irradiação
Figura2.4 b - Diagrama de Irradiação de Figura 2.4c - Representação planar
do diagrama de irradiação da antena
vista em b) .
2.2.3 Matriz de Antenas
De acordo com seu diagrama de irradiação, as antenas podem ser classificadas como
isotrópicas, omnidirecionais e direcionais. As antenas isotrópicas são aquelas em que o
diagrama de irradiação possui ganho igual em todas as direções 1)( =θG . As antenas
diretivas são, como o seu próprio nome diz, aquelas que para determinadas direções possuem
ganho maior que em outras direções.
Fisicamente, uma única antena estática (sem movimentos mecânicos) só tem
habilidade de filtrar, ou posicionar o seu diagrama de irradiação numa única direção
específica. Com emprego de duas ou mais antenas combinadas se consegue, não só selecionar
varias direções distintas, como também rastrear o sinal desejado. A utilização de uma ou mais
antenas combinadas apropriadamente é o objeto central deste estudo.
26
d d dd dd
Saída
1 2 3 4 5 60
30º
0º
30
210
60
240
90
270
120
300
150
330
180 0
Lobo
Principal
Largura
de Feixe
Lobos
Secundários
Figura2.5 - Representação esquemática de um Phased Array com 7
elementos dispostos de maneira linear.
Figura 2.6 - Diagrama de irradiação equivalente do Phased Array ao
lado, indicando os lobos principal e os secundários.
Uma forma simples de matriz de antenas é o phased array, também chamado de
delay-and-sum. Como respresentado na figura 2.5, esta implementação os sinais percebidos
pelos elementos são retardados e combinados de maneira a somar em fase para uma direção
desejada. A configuração apresentada na figura acima é uma matriz linear que será definida
pela sigla ULA (Uniform Linear Array). Como será visto adiante, e a dependência de ∆ em
relação ao ângulo de incidência θ é dada por:
)sen(2)( θ
λ
πθ
d
=∆ ,
(2.12)
onde λ é comprimento de onda da portadora, e d é o espaçamento entre elementos. Assim,
para direcionar o diagrama à direção desejada θ , basta atribuir a ∆ valor de acordo com a
expressão acima.
O nome antenas adaptativas, também chamadas de smart antennas, se atribui a um
conjunto de antenas, como por exemplo um phased array, onde o ajuste das fases n∆ se dá de
maneira dinâmica, adaptando a cada momento o diagrama de irradiação de acordo com os
objetivos a serem alcançados. A estrutura geral está representada figura 2.7. Da mesma forma
que o phased array, as antenas assim dispostas amostram espacialmente a onda incidente. As
informações de origem espacial e temporal são analisadas, de modo a fazer o ajuste
conveniente de pesos complexos Nppp ,, 21 . Quando este ajuste objetiva separar sinais
superpostos incidentes neste conjunto, estimando-se parâmetros livres deste modelo baseado
27
numa dada função custo a ser otimizada, este arranjo assim formado constitui numa antena
ótima.
p1 p2 pN
z(t)
Frentes de Onda
Diagrama de Irradiação
Equivalente
x1 x2 xN
Antenas
0º
Figura 2.7 - Diagrama esquemático de um conjunto de antenas adaptativas
2.3 Explorando a Dimensão Espacial
Cada elemento de uma matriz de antenas, é utilizado como entidade transformadora de
função no espaço-tempo para função somente do tempo. Deste modo, a função principal de
uma antena é amostrar no espaço a função de onda incidente na posição onde ela se encontra.
As informações das amostras espaciais se agregam as informações do comportamento
temporal do sinal, melhorando a sua assinatura, ou seja, a capacidade do sinal ser
reconhecido. Dependendo da disposição dessas antenas as amostras no espaço terão
características diferentes. Assim, a performance de um conjunto de antenas depende
fortemente da sua conformação geométrica. A ULA, apresentada no final desta seção, é uma
estrutura que possui um tratamento matemático simples, e bastante estudada com muitos
resultados encontrados na literatura. Finalmente, a amostra espacial possui algumas
características, como de maior importância, neste estudo, está a estatística de segunda ordem,
a matriz covariância espacial, que aplicando alguns resultados da Análise Funcional produzirá
as principais propriedades utilizadas nos algoritmos de estimação do ângulo de chegada
analisados aqui.
28
2.3.1 Amostragem Espacial
Considere a figura 2.8, onde aparecem N transdutores pontuais dispostos de maneira
qualquer. Esta conformação de transdutores, juntamente com os sinais percebidos por eles,
constitui num conjunto de antenas, ou matriz de antenas.
1r
2r
Nr
1k
Mk
1k
Mk
1k
Mk
1k
Mk
Antenas
Figura 2.8 Conjunto de antenas arbitrário
Sejam Nrrr ,,, 21 os vetores posição de cada um desses N transdutores, relativos a um
sistema de referência de tal sorte que ∑=
≡
N
i
ir
1
0. Para um único sinal incidente )(ts , com
direção dada por k , o sinal percebido pelo n’ésimo elemento nx deste conjunto,
considerando ausência de ruído, é dado por:
krj
n
n
etstx ⋅−
= )()( . (2.13)
Os sinais percebidos pelos N elementos do conjunto de antenas podem ser arranjados
na forma de um vetor )(tx , cujas componentes são as contribuições de cada um dos
elementos do conjunto: [ ]T
N txtxtxtx )(,),(),()( 21= . Este vetor pode ser reescrito da
seguinte forma:
)()()()(
2
1
tskats
e
e
e
tx
krj
krj
krj
N
=














=
⋅−
⋅−
⋅−
,
(2.14)
onde [ ]T
rkjrkjrkj N
eeeka −−−
= ,,,)( 21
. O vetor )(ka é chamado na literatura de steering vector e
pertence a uma classe especial de vetores chamados de Array Manifold. O Array Manifold é
29
um subconjunto de vetores genéricos de dimensão N, tal que a característica comum dos
vetores que pertencem a ele, depende da conformidade geométrica do conjunto de antenas5
.
Para M ondas planas incidentes correspondentes aos sinais )(,),(),( 21 tststs M , com
constantes de propagação [DIN01] Mkkk ,,, 21 e freqüências angulares Mωωω ,,, 21 , na
ausência de ruído, o sinal percebido pelo conjunto de antenas pode ser escrito como:
∑=
=
M
m
mm tskatx
1
)()()( .
(2.15)
Na expressão acima nota-se que o vetor )(tx pertence ao espaço gerado pelos vetores
{ }M
mmka 1
)( =
do Array Manifold associado a este conjunto de antenas.
Considere agora o vetor )(tw , onde cada componente é o ruído branco aditivo
associado ao elemento do conjunto de antenas correspondente, neste caso a expressão (2.15)
fica:
)()()()(
1
twtskatx
M
m
mm += ∑=
.
(2.16)
Rescrevendo em forma matricial:
)()()( twtsAtx += , (2.17)
em que [ ])()( 1 MkakaA = , e [ ]T
M tststs )()()( 1= .
A expressão (2.17) descreve o modelo para o ambiente de propagação considerando só
o ruído branco aditivo, e representa o mais simples dos modelos sendo a base para
desenvolvimento deste estudo.
2.3.2 Array Manifold e Estimação de Parâmetros
De uma maneira geral, o Array Manifold pode ser entendido como o gerador das
respostas possíveis do conjunto de antenas Nxxx ,, 21 em função de um universo de
5
O sinal negativo nos expoentes das componentes do steering vector depende do sistema de coordenadas
utilizado. Se for adotado um sistema diametralmente oposto ao anterior estes expoentes possuirão sinal positivo.
30
parâmetros, ressaltando que tais parâmetros não são relacionados com a informação
transportada por este sinal (figura 2.9).
a( )
Universo dos parâmetros
estimaveis
Array Manifold
Figura 2.9 - Array Manifold como uma aplicação dos parâmetros estimáveis.
Na maioria dos textos encontrados, com raras exceções [ASZ01], o universo, ou
conjunto dos parâmetros estimáveis está relacionado com o ângulo de chegada. Para
exemplificar considere o caso de um único parâmetro, sendo este o ângulo de chegada de um
dado sinal. Neste caso, seja ),(0 rtf uma onda plana e monocromática de direção de
propagação 0k incidindo sobre um conjunto de antenas com o ângulo θ, relativo a um sistema
de referência, que no caso de antenas coplanares é o ângulo entre o raio incidente e a normal
ao plano das antenas. Também considere que os N elementos, deste conjunto de antenas,
estejam posicionados de acordo com Nrrr ,...,, 21 . O Array Manifold A é definido como o
conjunto de vetores da seguinte forma:
[ ]{ }0
111 | krj
iNXi
i
eaaa ===A .
(2.18)
Uma característica desejável para o array manifold para evitar ambigüidades, é que a
aplicação que associa ao conjunto de parâmetros seja bijetora. Em particular se o conjunto de
parâmetros associados a ele for dado pela direção de propagação 0k é desejável que:
)()( jiji kakakk ≠⇔≠ . (2.19)
Daqui para frente, salvo aviso do contrário, quando for mencionado Array Manifold de
um conjunto de antenas, será aquele associado ao ângulo de chegada.
31
2.3.3 Matriz Covariância Espacial e Propriedades Algébricas
Dentre as estatísticas do vetor )(tx a mais importante, e base para este estudo, é a
matriz covariância espacial xR definida pela expressão6
:
[ ])()( txtxER
H
x ≡ . (2.20)
Da expressão (2.17), verifica-se que o vetor )(tx é função dos sinais incidentes e do
ruído branco representado pelo vetor )(tw . Sem perda de generalidade, considere o vetor
)(tw Gaussiano de componentes descorrelatadas, de média zero, de variância
2
wσ e também
descorrelatado com o vetor )(tsA , que representa o sinal. Neste caso, a expressão (2.20)
resulta em:
[ ] w
H
sw
HH
x KAARKAtstsAER +=+= )()( , (2.21)
onde [ ])()( 1 MkakaA = , [ ])()( tstsER
H
s = e IK ww
2
σ= .
Da definição, a matriz covariância espacial é uma matriz Hermitiana de ordem N.
Assim os seus autovalores são reais e seus autovetores distintos. Prova-se (ver Anexo I) que
se MD ≤ é o posto de sR então os autovalores Nλλλ ,,, 21 de xR podem ser ordenados da
seguinte forma:
2
121 wNDD σλλλλλ ===>≥≥≥ + , (2.22)
onde
2
wσ é variância do ruído.
1e 2e 3e De 1+De Ne
1λ
2λ
3λ
Dλ
1+Dλ Nλ2
wσ
ENERGIA
AUTOVETORES
Figura 2.10- Distribuição dos autovalores aos autovetores correspondentes da matriz covariância espacial
6
A expressão se aplica só se )(tx tiver média nula, o que foi assumido ao longo do trabalho.
32
O posto de sR representa o número de sinais descorrelacionados percebidos pelo
conjunto de antenas. Considerando sinais descorrelatados, ele representa o número de sinais
presentes. Este resultado introduz uma maneira simples de se obter o número de sinais
percebidos pelo conjunto de antenas. Analisando os autovalores resultantes da resolução
espectral de xR , o número de sinais presentes é o resultado da contabilização de seus
autovalores distintos. É importante, também, observar (ver Anexo I) que:
Se },,{ 1 NDW eespanE +=∈α então 0=αH
A , (2.23)
onde ND ee ,,1+ são autovetores associados respectivamente aos autovalores
2
1 wND σλλ ===+ . Em resumo:
♦ o número de sinais incoerentes presentes é igual à dimensão do espaço gerado
pelo sinal, ou seja, o numero dos sinais presentes é igual ao número de elementos
menos o número dos menores autovalores iguais;
♦ e os autovetores associados a estes menores autovalores, gerados pelo ruído, é
ortogonal aos vetores do array manifold associados às direções de chegada dos
sinais presentes.
Estas propriedades constituem o núcleo de toda a sistemática dos métodos de estimação do
ângulo de chegada baseados em Subspace Fitting e discutidos no próximo capítulo.
Quando MD = , sendo D o número de sinais descorrelatados, os autovetores D
nne 1}{ =
associados aos D maiores autovalores são a base ordenada do espaço }{AspanEW =
⊥
, onde
[ ])()( 1 MkakaA = . Desta forma os D
nne 1}{ = são chamados de autovetores associados aos
sinais. De maneira idêntica os N-D autovetores N
Dnne 1}{ += associados aos menores autovalores
iguais geram o subespaço associado ao ruído },,{ 1 NDW eespanE += . É fácil demonstrar (ver
Anexo I) que os espaços },,{ 1 NDW eespanE += e },,{ 1 DW eespanE =
⊥
são ortogonais, ou
seja, são espaços anuladores um do outro, e que o espaço gerado pelas colunas de xR é dado
pela soma direta de WE e
⊥
WE , ou melhor:
⊥
⊕= WWx EERspan }{ . (2.24)
33
A resolução espectral da matriz covariância espacial xR é da seguinte forma (ver
Anexo I):
H
EEw
H
EEE
N
Dn
H
nnw
D
n
H
nnn
N
n
H
nnnx WWWWW
UUUUeeeeeeR
2
1
2
11
σσλλ +Λ=+== ⊥⊥⊥∑∑∑ +===
,
(2.25)
onde ( )DEW
λλ ,,diag 1=Λ ⊥ , [ ]DE
eeeU
w
21=⊥ , [ ]NDDE eeeU w 21 ++= e
2
wσ
é a variância do ruído.
Outra expressão útil para matriz covariância é (ver Anexo I):
( ) NNw
H
EDDwEEx IUIUR
www
×× +−Λ= ⊥⊥⊥
22
σσ . (2.26)
2.3.4 ULA - Uniform Linear Array
A disposição uniforme e linear de elementos é a mais comum nos diversos artigos que
estudam os benefícios das antenas adaptativas. Esta disposição está representada na figura
2.11 abaixo:
d d
1r 2
Nr 2−Nr Nr2r
d
N
nrn 









−=
2
Figura 2.11 - Conjunto de Antenas com distribuição uniforme e linear ULA
Nesta figura os N elementos do conjunto linear e uniforme estão espaçados por uma
distância d, onde foi usado o critério descrito acima para origem do sistema de coordenadas,
ou melhor: ∑=
≡
N
i
ir
1
0.
Considere uma onda plana e monocromática que incide sobre o plano deste conjunto
de antenas. Para cada posição dos N elementos deste conjunto, observando as figuras 2.11 e
2.12, tem-se:
34
mk
θm
βm
xnn err =
Direção de
propagação
Plano do
conjunto de
antenas
-θm
- +0º
Figura 2.12 - Geometria para o cálculo da constante de propagação
2
),()(
N
n
tj
nn ertftx
−
=≡ φω
,
(2.27)
onde :
( )












−=−=⋅−= mm
dN
njrkjrkj θ
λ
πβφ sen
2
2expcosexp)exp( 00
. (2.28)
Chamando
m
d
j
m e
θ
λ
π
φ
sen2
= a expressão (2.27) fica:
)()(
2
1
tstx m
N
nM
m
mn
−
=
∑= φ .
(2.29)
Alguns comentários importantes podem ser feitos sobre esta estrutura de antenas.
Sendo um conjunto de antenas coplanares, o vetor ( )θa do array manifold é função do ângulo
formado entre a normal do plano das antenas e o raio incidente - ângulo de incidência.
Conforme a expressão acima, o vetor do Array Manifold desta estrutura de antenas
correspondente ao ângulo de incidência θ pode ser expresso por:
( )
















=


















































=
−
−
−
−
2
2
1
2
2)sen(2
2
1
)sen(2
2)sen(2
N
N
N
N
d
j
N
d
j
N
d
j
e
e
e
a
φ
φ
φ
θ
θ
λ
π
θ
λ
π
θ
λ
π
, (2.30)
onde
)sen(2 θ
λ
π
φ
d
j
e= .
35
O primeiro fato relevante é que as componentes do vetor ( )θa são potências de
)sen(2 θ
λ
π
φ
d
j
e= , o que permite associar a antena adaptativa a um filtro transversal com entrada
)sen(2 θ
λ
π
d
j
e . Outro fato relevante é que esta estrutura introduz ambigüidades, pois os vetores do
Array Manifold associados a ângulos simétricos em relação ao plano que contém os
elementos do conjunto (ver figura 2.13), são iguais, como é mostrado a seguir.
θ π-θ
......
sen(π-θ)=senθ
Figura 2.13 - Simetria da ULA
De acordo com (2.30) o vetor associado ao ângulo θ é dado por:
1
2)sen(2
)(
NX
N
nd
j
ea


















=
−
θ
λ
π
θ ,
e o associado ao ângulo π-θ:
1
2)sen(2
1
2)sen(2
)(
NX
N
nd
j
NX
N
nd
j
eea


















=


















=−
−−
− θ
λ
πθπ
λ
π
θπ ,
(2.31)
assim:
)()( θπθ −= aa . (2.32)
Da expressão acima é fácil observar que sinais com direções simétricas em relação a
180º não são distinguíveis pela ULA. Em algumas situações tais ambigüidades podem ser
contornadas utilizando mais de um conjunto de antenas dispostas perpendicularmente, por
exemplo. Ou, por outro lado, pode-se usar uma outra conformação de antenas diferente da
ULA com pouca simetria. Como alternativa, algumas referências utilizam uma matriz circular
(UCA Uniform Circular Array) que distingue sinais dispostos no intervalo de incidência de 0º
36
à 360º. Neste caso os elementos estão dispostos de maneira circular e igualmente espaçados
(figura 2.14). Em geral a análise de matrizes circulares é mais complexa que a ULA, podendo
ser encontrada uma ampla discussão em [MAT01, pp 171-216].
Frente de onda
0
1
2
n
-1
-2
m
Figura 2.14 - Uniform Circular Array - UCA
2.4 Resposta do conjunto de antenas - Beamforming
O termo beamforming está relacionado a com antena7
formada por um elenco de
dispositivos, que possui a propriedade de formatar o diagrama de irradiação para uma dada
direção [LIT01]. No caso deste estudo, beamforming é o nome dado a uma grande variedade
de algoritmos baseados no processamento de matrizes (array processing) que, de acordo com
os métodos empregados, otimização dos pesos p por exemplo, possui a propriedade de focar
o diagrama de irradiação na direção do sinal desejado [DON01]. De maneira geral, o
beamforming denota a capacidade de um dispositivo ou aparato de ajustar o seu diagrama de
irradiação, selecionando determinada direção em detrimento das demais, funcionando como
filtro espacial controlável. Este ajuste pode ser feito para privilegiar a recepção, a transmissão
ou os dois modos de operação de uma antena.
2.4.1 Formas de Implementação do Beamforming
Conforme a tecnologia empregada para implementação, o beamforming pode ser
classificado como analógico ou digital. O beamforming analógico emprega um conjunto de
antenas, como o phased array discutido brevemente acima, onde as fases são ajustadas em
sinais analógicos, utilizando dispositivos analógicos, como a figura (2.15).
7
Aqui antena tem sinônimo de aparato, e pode ser considerado um conjunto de antenas, ou de sensores.
37
Antenas
Deslocadores
de Fase
Divisores
de Potência
Rede
Beamforming
Figura 2.15 - Exemplo de implementação do Beamforming analógico.
O Digital Beamforming DBF surgiu com o casamento entre a tecnologia de antenas e
o processamento digital em radio freqüência Software Radio, concebida no início dos anos 70
para aplicações militares, e disponibilizada nos anos 80 e 90 com possibilidade inclusive de
processar em RF. No DBF a principal vantagem é que, uma vez capturado o sinal em RF, ele
é digitalizado, e o tratamento é feito utilizando a informação proveniente do sinal digitalizado.
Com isto, pode-se usar um sem número de técnicas de processamento de sinais como, por
exemplo, algoritmos para separação de sinais, filtragem adaptativa, etc., sem introduzir
distorções inerentes à implementação analógica [LIT01], seguindo a tendência de se
implementar cada vez mais as funcionalidades de RF e IF em software e não em hardware
[KEN01]. A arquitetura genérica do DBF aparece na figura 2.16.
DIGITALSIGNALPROCESSOR
DSP
TRANSCEPTOR
I
Q
TRANSCEPTOR
I
Q
TRANSCEPTOR
I
Q
Outputs
Inputs
MatrizdeAntenas
Figura 2.16 - Arquitetura genérica de sistema DBF.
Nesta figura aparecem os seguintes módulos constituintes: A matriz de antenas -
responsável pela amostragem espacial ; os transceptores conversores - em banda básica ou FI,
onde se obtém as componentes em fase I e quadratura Q; e o DSP Digital Signal Processor,
onde os sinais digitais I e Q serão analisados e processados. A figura 2.17 apresenta, de
maneira esquemática, um exemplo de arquitetura para o sistema DECT, usando antenas
38
adaptativas apenas na recepção (extraída de [ARN01]). Neste texto, foi apresentado como a
configuração de testes para TSUNAMI na fase 1.
D/C
D/C
D/C Digital
Beamformer
A
C40 DSP
Digital
Beamformer
B
C40 DSP
Codec
e
Demodulador
DECT
A
P
Codec
e
Demodulador
DECT
B
P
Estimador
de
BER
Estimador
de
BER
90º
A/D
A/D
TOAT
1.78 GHz
110 MHz
Conversor em Quadratura
M
atrizde
Antenas
Chave
TX
e
RxDownconvertereDigitalizadorDualDigitalBeam
form
er
Estação
Base
DECT
Q
I
Figura 2.17 - Arquitetura para o sistema DECT usando antenas adaptativas apenas na recepção.
A seguir é apresentada uma análise básica do problema do beamforming. Inicialmente,
é apresentada uma análise do phased array, por possuir formulação mais simples, e de
facilmente ser estendido para o modelo mais complexo utilizado no DBF.
2.4.2 Phased Array
O phased array, também chamado de delay-and-sum, constitui-se no mais simples
exemplo de implementação de um conjunto de antenas. No phased array os sinais oriundos
dos elementos são defasados, e combinados posteriormente, direcionado o diagrama de
irradiação à direção desejada.
39
z(t)
x1 x2 xN
1
1k Mk
2 N
Figura 2.18 - M sinais incidentes num Phased Array..
Considerando M sinais incidentes
M
mc
m
m
kr
ts
1=















 ⋅
−
ω
, o vetor )(tx é dado por:
∑∑ ==
=





























 ⋅
−







 ⋅
−







 ⋅
−
==
M
m
m
M
m
c
mN
m
c
m
m
c
m
m
tu
kr
ts
kr
ts
kr
ts
tutx
11
2
1
)()()(
ω
ω
ω
.
(2.33)
É interessante notar que cada uma das componentes do vetor )(tul é o sinal )(tsl
defasado da quantidade
c
ln kr
ω
⋅
. Conforme indica a figura (2.18), para cada sinal ( )txn ,
percebido pelo n ésimo elemento do conjunto de antenas, é introduzido um retardo n∆ . Em
seguida, todos os sinais com os seus repectivos retardos são combinados obtendo-se:
( ) ∑∑∑ = ==








∆−
⋅
−=∆−=
N
n
M
m
n
c
m
m
N
n
nn
kr
tstxtz
1 1
1
1
)(
ω
.
(2.34)
Para obter o l ésimo sinal dado pela direção lk , basta fazer cada retardo:
40
c
ln
n
kr
t
ω
⋅
−=∆ 0 ,
(2.35)
onde 0t é um valor arbitrário, escolhido para fazer n∆ positivo. Por simplificação de notação,
considere 00 =t . A expressão para )(tz fica:
∑∑=
≠
=








∆−
⋅
−+=
N
n
M
lm
m
n
c
m
ml
kr
tstNstz
1 1
1
)()(
ω
.
(2.36)
Como as direções Mkkk ,,, 21 são quaisquer, o resultado é a soma em fase do sinal
desejado proveniente dos elementos do conjunto de antenas e a soma aleatória para os outros
sinais. Isto tende anular estes sinais. Logo, com esta metodologia pode-se obter, usando o
conjunto de antenas, o sinal desejado )(tsl de maneira seletiva pelo simples ajuste dos
retardos n∆ .
Se o sinal )(ty for de faixa estreita, como mostrado na seção 2.12, um atraso
relativamente pequeno é equivalente a uma defasagem, o que explica o nome Phased Array.
Para um único sinal a expressão (2.36) fica:
( ) ∑∑∑ =
∆−⋅−
=
∆−⋅−
=
==∆−=
N
n
jkrj
N
n
jkrj
N
n
nn
ncnncn
eetseetstxtz
111
)()()( ωω
.
(2.37)
Então, pode-se escrever:
)()()( kaptstz
H
= , (2.38)
onde [ ]Tjjj Nccc
eeep ∆∆∆
= ωωω 21
. Supondo agora que os retardos estejam
convenientemente ajustados para a direção lk , ou seja
c
ln
n
kr
ω
⋅
−=∆ , tem-se:
( )
( )
( )
[ ]
[ ]
[ ]
)(
exp
exp
exp
exp
exp
exp
2
1
2
1
l
lN
l
l
Nc
c
c
ka
krj
krj
krj
j
j
j
p =














⋅−
⋅−
⋅−
=












∆
∆
∆
=
ω
ω
ω
, (2.39)
41
Assim )(tz fica:
[ ])()()()( kakatstz l
H
= . (2.40)
Aplicando a desigualdade de Schwartz a este caso, tem-se:
Nkakakaka ll
H
=≤ )()()()( , (2.41)
onde a igualdade se dá quando )()( kaka l α= . )()( kaka l α= . Caso a conformação do
conjunto de antenas não introduza ambigüidades ao seu array manifold, o máximo do módulo
de )(tz em função de k acontece quando lkk = . Isto corrobora o que foi antecipado, ou
seja, um conjunto de antenas ajustado desta forma, seleciona os sinais provenientes da direção
lk .
2.4.3 Modelo Geral
O esquema do phased array pode ser generalizado associando ganhos ajustáveis
Nααα ,...,, 21 aos sinais )(,),(),( 21 txtxtx N , respectivamente, além dos retardos
introduzidos, conforme figura (2.19).
)(tz
∆1 α1
∆2 α 2
∆N αN
Σ
),( 1rtf
),( 2rtf
),( Nrtf
Figura 2.19 - Resposta de um conjunto de antenas
Para um único sinal incidente a resposta do conjunto de antenas fica:
( ) )()()()()(
11
txpkaptseetstxtz HH
N
n
krjj
n
N
n
nnn
nnc
===∆−= ∑∑ =
⋅−∆−
=
ω
αα ,
(2.42)
onde o vetor p , também chamado de vetor de pesos do conjunto de antenas, é dado por:
42
( )
( )
( )











∆
∆
∆
=
NcN
c
c
j
j
j
p
ωα
ωα
ωα
exp
exp
exp
22
11
.
(2.43)
2.4.4 Diagrama de Irradiação do Conjunto de Antenas
Conforme foi definido, o diagrama de irradiação de uma antena pode ser obtido pelo módulo
da transformada de Fourier no espaço da função abertura )(rg da antena considerada, que se
relaciona com )(tz segundo a expressão (2.10). Para o conjunto de antenas desta análise, a
função )(rg é da forma:
∑=
∆−
−=
N
n
n
j
n rrerg nc
1
)()( δα ω
.
(2.44)
Aplicando a transformada de Fourier no espaço em )(rg (Anexo I), tem-se:
)()( kapkG H
= , (2.45)
onde o vetor k é a direção de propagação do sinal considerado. No caso de elementos do
conjunto de antenas coplanares, como é o caso da ULA, o azimute θ da direção de um
determinado sinal pode ser representado pelo ângulo entre a direção de propagação k e a
normal ao plano dos elementos (figura 2.20).
Antenas
)(θk
Normal
Direção da
onda incidente
Plano
das
Antenas
Figura 2.20 - Representação de um conjunto de antenas coplanar
Isto posto, a função )(kG pode ser escrita em função do azimute θ , ou melhor:
)()( θθ apG H
= . (2.46)
43
Para o caso do phased array, quando 11 === Nαα , supondo que os retardos estão
ajustados para a direção )( ll kk θ= , tem-se:
[ ]T
rkjrkjrkj Nlll
eeep ⋅−⋅−⋅−
= )()()( 21 θθθ
. (2.47)
Aplicando novamente a desigualdade de Schwartz, o módulo de )(θG terá valor máximo
quando lθθ = , )()( lGG θθ ≤ , indicando que o lobo principal está na direção de lθ . Com o
ajuste dos pesos dados por )( lp θ , para o ângulo lθ , pode-se modificar o diagrama de
irradiação de tal sorte a apontar o lobo principal para este ângulo desejado lθ , resultando num
esquema de modificação, ou adaptação, para o diagrama de irradiação. A esta técnica dá-se o
nome de beamforming, pois o diagrama de irradiação é formatado conforme ajustes
convenientes dos pesos dados por p (figura 2.21).
-100 -50 0 50 100
-0.2
0
0.2
0.4
0.6
0.8
1
30
210
60
240
90
270
120
300
150
330
180
Figura 2.21a - Gráficos cartesianos de um phased array com 8
elementos, ajustado para 0º em azul, e 45º em vermelho.
Figura 2.21b - Diagrama de irradiação de um phased array com 8
elementos, ajustado para 0º em azul, e 45º em vermelho.
De acordo com a forma de obtenção dos pesos, o beamforming pode ser classificado
como: convencional, cancelamento de sinais (null steering), adaptativo e ótimo [GOD01].
2.4.5 Formação Convencional de Feixe
Na seção 2.4.2 foi mencionado que o tratamento mais simples para o conjunto de
antenas era a soma em fase cada um dos sinais provenientes das antenas. Para tanto, pesos
complexos p são utilizados de maneira a compensar a defasagem introduzida pela dispersão
no espaço das antenas. Suponha agora o que se deseja é estabelecer um elenco de condições
sobre o diagrama de irradiação dado por (2.46), isto é:
44







=
=
=
LL
H
H
H
bkap
bkap
bkap
)(
)(
)(
22
11
,
(2.48)
ou de forma matricial:
TH
bAp = , (2.49)
onde [ ])()()( 21 LkakakaA = e [ ]T
Lbbbb 21= , ou ainda:
bAAAp H 1
)( −
= , (2.50)
Observando a expressão (2.48) conclui-se que este problema se relaciona com a solução de
um sistema linear de N incógnitas com L equações, com NL ≤ . Este sistema terá solução,
não necessariamente única, quando o posto de ],[ bA for menor ou igual a L [HOF01]. Neste
caso pode-se obter o vetor peso p de tal modo que atenda as condições impostas. A figura
(2.22) exemplifica o problema de se obter ganhos máximos, diferentes de zero, nas direções -
45º, 0º, 15º e 60º numa ULA com 8 elementos, mostrando o diagrama de irradiação
equivalente.
1 2
5.0=
λ
d
5 6 7 8
-45º
15º0º
60º
30
210
60
240
90
270
120
300
150
330
180 0
Figura 2.22 a - ULA com 8 elementos e as direções indicadas para
obtenção de ganho máximo.
Figura 2.22 b - Diagrama de irradiação utilizando as restrições de
ganhos máximos em -45º, 0º, 15º e 60º
Uma expressão útil, e que será utilizada futuramente, é resultante da expressão (2.49)
considerando uma única restrição:
45
1)( =θap
H
, (2.51)
Neste caso:
N
a
aa
a
p H
)(
)()(
)( θ
θθ
θ
== .
(2.52)
Nota-se que a expressão (2.52). a exceção do termo 1−
N , é equivalente à expressão
(2.39) obtida para o phased array.
2.4.6 Cancelamento de Sinais - Null Steering
A formação de sinais convencional introduz como subproduto de utilização o
cancelamento de sinais (null steering). O cancelamento de sinais possui grande aplicação pois
permite para determinadas direções o seu cancelamento. O problema estabelece que para as
direções não desejadas Lkkk ,,, 21 , o cancelamento da função )(tz eqüivale a:







=
=
=
0)(
0)(
0)(
2
1
L
H
H
H
kap
kap
kap
. (2.53)
Este problema é uma particularização do item anterior, e terá solução não trivial
quando o posto de ],[ bA for maior que zero e menor que L. Assim, o número máximo de
direções onde se deseja o cancelamento do sinal é N-1. Normalmente é interessante impor
uma condição não nula, por exemplo estabelecer a l ésima direção como desejada. Logo, a
solução deste problema se resume em:
( ) )(
1
l
H
kaAAp
−
= . (2.57)
2.4.7 Formação Ótima de Feixe
No próximo capítulo serão discutidos diversos métodos para obtenção do vetor de
pesos p baseados na otimização de funções específicas como a razão sinal ruído, variância
do sinal interferente etc. O beamforming assim obtido é denominado de beamforming ótimo,
ou formação ótima de feixe.
46
3. Formação Ótima de
Feixe e a Estimação da
Direção de Chegada
No capítulo anterior foi mostrado que com o ajuste conveniente dos pesos complexos
Nppp ,...,, 21 numa matriz de antenas, se consegue formatar o diagrama de irradiação. No
presente capítulo será abordado o problema da formação ótima de feixe, que objetiva obter os
pesos supracitados otimizando funções custo num ambiente de propagação onde existe apenas
o ruído branco aditivo, utilizando para tanto amostras do sinal na saída da matriz de antenas.
Também, será mostrado que a obtenção dos pesos Nppp ,...,, 21 para a formação ótima do
feixe pode ser bastante simplificada quando se tem a informação da direção de chegada, que
pode ser estimada utilizando diversos estimadores. Dentre estes estimadores estão os baseados
na decomposição em subespaços, como o MUSIC, e que possuem alta resolução para
separação de direções de sinais incidentes num conjunto de antenas. Resumindo, as seções
47
subsequentes pretendem apresentar os mecanismos de estimação utilizados na formação ótima
de feixe quando a informação da direção é conhecida (estimada).
3.1 Motivação para Estimação da Direção de Chegada
A formação ótima de feixe pode ser bastante simplificada quando a direção do sinal
incidente é conhecida [DON01]. Para exemplificar esta questão, a seguir será obtido o
estimador de máxima verossimilhança para a direção de chegada e para o sinal incidente.
Da expressão (2.17), considerando conhecidos o sinal )(ts e o steering vector )(ka associado
a direção de incidência, )(tx é um vetor Gaussiano de média )()( tska e matriz covariância
wK , ou seja, )),()((~)( wKtskaNtx . Assim, densidade de probabilidade condicional sendo
dados o sinal e a direção é dada por:
( ) ( )[ ]
( ) ( )



−−−=
−
)()()()()()(
2
1
exp
det2
1
))(),(|)((
1
)()(|
tskatxKtskatx
K
tskatxp w
H
w
Ntskax
π
. (3.1)
Aplicando o critério de máxima verossimilhança para estimação de k e )(ts , tem-se:
{ } ( ) ( ){ })()()()()()(min))((axm]ˆ,
ˆ
[
11
ˆ,
ˆ)()(|
1
ˆ,
ˆ
tskatxKtskatxtxpsk w
H
sk
tskax
sk
ML −−==
−−−
. (3.2)
Pode-se mostrar (Anexo I) que os estimadores desejados são a solução do seguinte sistema de
equações:
[ ] [ ]
[ ][ ] 0)()()()()(Re:
ˆ
0)()()(:ˆ
121
1
=−
=−
−−
−
kaKkatskaKxtsk
tskaxKkas
w
H
w
H
w
H
,
(3.3)
onde








∂
∂
∂
∂
∂
∂
=
zyx k
ka
k
ka
k
ka
ka
)()()(
)( , e ),,( zyx kkkk = .
Observando a segunda expressão do sistema de equações diferenciais acima, verifica-se que é
extremamente complexo de ser resolvida e dependente da conformação da matriz de antenas
em estudo [DON01]. Se a informação da direção é dada, o sistema acima simplifica para uma
48
única equação (a primeira equação acima), e independente da disposição das antenas,
resultando:
[ ]
[ ]
[ ] )()()(
)()(
)(
)(ˆ
†
1
1
txkatx
kaKka
Kka
ts
w
H
w
H
==
−
−
,
(3.4)
onde IK ww
2
σ= e [ ] [ ] HH
kakakaka )()()()(
1† −
≡ é a matriz pseudo inversa de )(ka .
Observa-se então que os pesos que fornecem a estimação ML do sinal são dados por
[ ]†
)(ˆ kap = . Assim nota-se, pela simplificação do problema, que é imperativo a obtenção da
direção de chegada DOA, ou direção de incidência. A seguir serão mostrados métodos de
obtenção da direção de chegada k , onde se buscou dar uma ordem histórica na introdução
desses métodos.
3.2 Estimação da Direção de Chegada baseado na
Resposta do Conjunto de Antenas
A seguir são descritos métodos de formação de feixe baseados na potência de saída na
matriz de antenas, ou seja a potência de )(tz (expressão 2.42). Nestes métodos os parâmetros
(vetor p ) dependem da direção de chegada do sinal desejado. Como os parâmetros possuem
uma relação com o ângulo ou a direção de chegada, a sua variação permite varrer os todos
ângulos - expressão (2.48). É importante destacar que tanto os sinais como o ruído são de
média nula de modo que as suas potências são iguais as suas variâncias.
3.2.1 Método da Variância da Resposta do Phased Array
O primeiro método apresentado para obtenção das direções de incidência dos sinais
presentes é o método da variância da resposta do conjunto de antenas dada pela expressão:
[ ] pRpxpEtzE x
HH
=



=
22
)( .
(3.5)
Para o phased array )(θap = , neste caso tem-se:
49
[ ] )()()()(
2
θθθ aRatzEf x
H
== . (3.6)
Obtém-se, assim, uma expressão para avaliar os ângulos de incidência. O método se baseia na
investigação da expressão (3.6) para cada ângulo θ , onde os ângulos candidatos são
máximos relativos desta expressão.
3.2.2 Método de Mínima Variância
Este método é semelhante ao anterior, só que neste caso o vetor peso é obtido pela
minimização da variância da resposta )(tz [DON01,WAX03] dado que para uma direção
específica a variância é igual a 1 , isto é:
[ ] { }pRpxpEtzEp x
H
p
H
pp
12121
minmin)(minˆ −−−
=



== , condicionado a 1)( =θap
H
.
(3.7)
Note-se que, com a restrição de variância unitária na direção desejada, a minimização da
variância total eqüivale a minimizar a variância do ruído e dos sinais fora desta direção.
Utilizando multiplicadores de Lagrange, a expressão acima resulta em (ver Anexo I):
)()(
)(
ˆ 1
1
θθ
θ
aRa
aR
p
x
H
x
−
−
= ,
(3.8)
e a variância mínima é igual a:
)()(
1
)( 1
2
min
θθ
σθ
aRa
f
x
Hz −
== .
(3.9)
A expressão (3.9), que indica a variância mínima da resposta )(tz , introduz uma
forma de se investigar o ângulo de chegada θ . Com esta variância deve ser máxima quando o
ângulo θ coincidir com o ângulo de um sinal incidente, deve-se também, neste caso, buscar o
valor de θ que maximiza (3.9).
3.2.3 Método da Maximização da Relação Sinal Ruído
Este método é baseado na maximização da relação sinal ruído de um conjunto de
antenas. Considere um único sinal presente. Neste caso a relação sinal ruído SNR é dada por:
50
pRp
paap
pRp
pRp
SNR
w
H
HH
s
w
H
x
H
)()(
1
2 θθ
σ=−= ,
(3.10)
onde
2
sσ é a energia do sinal, )(θa é o steering vector associado ao ângulo θ .
Estabelecendo a condição 1)( =θap
H
, o valor de p que maximiza a relação sinal ruído fica:
{ } { }pRp
pRp
SNRp w
H
p
w
Hs
pp
1211
min
1
maxmaxˆ −−−
=








== σ .
(3.11)
De maneira semelhante ao caso da seção (3.2.1), o desenvolvimento leva a:
)()(
)(
ˆ 1
1
θθ
θ
aRa
aR
p
w
H
w
−
−
= .
(3.12)
Se o ruído for vetor Gaussiano descorrelatado, a matriz covariância é dada por IR ww
2
σ= , e a
expressão acima fica:
)()(
)(
ˆ
θθ
θ
aa
a
p H
= ,
(3.13)
que é semelhante à expressão (3.6), a exceção do ganho. Para o valor de pˆ encontrado, a
relação sinal ruído é dada por:
)()(
ˆˆ
)ˆ()(
12
2
θθσ
σ
θ aRa
pRp
pSNRf w
H
s
w
H
s −
=== .
(3.14)
De maneira semelhante ao caso anterior, a maximização de (3.14) permite obter o valor de θ
que que deve ser usado em (3.12).
3.3 Estimação da Direção de Chegada baseado na
decomposição em valores singulares
Nos algoritmos descritos acima foram introduzidas formas de se estimar a direção do
sinal incidente no conjunto de antenas utilizando a potência de saída do conjunto de antenas.
Abaixo será apresentado o MUSIC, precursor dos estimadores pertencentes a categoria dos
51
métodos de estimação da direção de chegada denominada de subspace fitting methods. É
importante observar que o MUSIC pode ser visto como uma evolução da decomposição
harmônica de Pisarenko descrita a seguir.
3.3.1 Decomposição Harmônica de Pisarenko
A decomposição harmônica de Pisarenko tem a seguinte formulação:
[ ] { }pRpxpEtzEp x
H
p
H
pp
12121
minmin)(minˆ −−−
=



== ,
condicionado a 1=pBp
H
,
(3.15)
onde B é uma matriz qualquer positiva semidefinida. Utilizando multiplicador de Lagrange
λ , chega-se a seguinte expressão:
pBpRx λ= , (3.16)
que é a equação geral de autovalores e autovetores. Se a matriz B é a matriz identidade, os
vetores p que satisfazem a expressão acima são exatamente os autovetores de xR . Pode-se
mostrar que os vetores que minimizam a variância de )(tz são exatamente aqueles
correspondentes aos menores autovalores iguais a variância do ruído, conforme descrito na
seção 2.3.3. Para um único sinal com direção de chegada igual a θ , a variância de )(tz é dada
por:
2222
)( ws
H
z ap σσθσ += , (3.17)
onde
2
sσ e
2
wσ são as variâncias do sinal e do ruído respectivamente. Da expressão (3.17)
verifica-se que p minimiza a variância quando é ortogonal ao vetor )(θa . Como este vetor
p é exatamente um dos autovetores associados ao menor autovalor que é a variância do ruído
2
wσ , tem-se que )(θa é ortogonal a estes autovetores. Este resultado é consubstanciado nas
propriedades da matriz covariância espacial discutidas na seção 2.3.3. Assim, isto sugere que
se pode estimar a direção de chegada do sinal utilizando um dos autovetores mencionados e ,
52
e avaliando o inverso da expressão
2
)(θae
H
. Os valores de θ associados a cada pico desta
expressão são candidatos a direção de chegada.
3.3.2 MUSIC
O algoritmo acima, com poucas modificações, foi proposto por Schimidt em [SCH01]
e é chamado de MUSIC Multiple Signal Classification. O MUSIC na realidade baseia-se nas
propriedades da matriz covariância espacial do sinal recebido pelo conjunto de antenas,
introduzidas na seção 2.3.3. Em última análise, o MUSIC baseia-se no fato que o espaço
vetorial das colunas associadas ao ruído é ortogonal ao espaço vetorial das colunas associadas
ao sinal, ou melhor, },,{ 1 NDW eespanE += e },,{ 1 DW eespanE =
⊥
são ortogonais,
conforme expressões (2.23) e (2.24). Os possíveis valores de θ candidatos a direção de
chegada são aqueles que minimizam o módulo da projeção ortogonal de WE em )(θa , ou que
maximizam o inverso deste módulo, isto é:
wa UP
f
)(
1
)(
θ
θ = ,
(3.18)
onde [ ]NDw eeU ,,1+= ,
)()(
)()(
)(
θθ
θθ
θ
aa
aa
P H
H
a = , e MD ≤ é o número de sinais presentes com
correlação entre eles diferente de um. O MUSIC investiga a expressão (3.18) para cada
ângulo θ . Assim, os D ângulos θ que maximizam a expressão (3.18) são candidatos a
ângulos de incidência.
A ortogonalidade entre os subespaços gerados pelos autovetores associados ao ruído e
ao sinal é a base do MUSIC e dos outros métodos, apresentados adiante. Outro fato relevante
a mencionar é que o MUSIC descrito acima é chamado de MUSIC unidimensional, pois a
minimização é feita tratando os sinais isoladamente. Como será visto na seção 3.5.2.1 a
otimização pode ser feita para o conjunto de sinais, constituindo-se no MUSIC
multidimensional.
Para ilustrar o MUSIC, considere a figura (3.2), onde 4 sinais idênticos com mesma
potência e com baixa correlação incidem numa matriz de antenas ULA de 8 elementos nos
53
ângulos -50º, -25º, 0º e 50º. Mostra-se na figura 3.3 o comportamento de )(θf em função da
relação sinal ruído, observando-se a existência de picos elevados mesmo para pequenos
valores da relação sinal ruído.
1 2
5.0=
λ
d
5 6 7 8
-50º
-25º
0º
50º
Figura 3.2 - Quatro sinais incidentes numa ULA com oito elementos
-20
0
20
-100 -50 0 50 100
SNR
θ
)(θf
-10
0
10
20
-100
0
100
θ SNR
)(θf
Figura 3.3- Gráfico do MUSIC aplicado a ULA de 8 elementos e 4 sinais com duas posições de visualização.
Resolução dos Métodos de Estimação da Direção de Chegada
Os métodos baseados na decomposição em autovalores e autovetores da matriz
covariância espacial ou subspace fitting, como o MUSIC, são chamados de métodos de alta
resolução. A resolução de uma função pode ser entendida como a capacidade de identificar ou
separar dois picos desta função. Rayleigh [DON01] postulou um critério para definição de
resolução: Se uma curva é a soma de duas outras, a resolução desta soma é a distância entre o
zero de uma das curvas e a abscissa do máximo da outra conforme indica a figura (3.4).
54
)(xf
x
Curva 1 Curva 2
Resolução - Critério de Rayleigh
Figura 3.4 - Visualização gráfica da resolução de uma função segundo o critério de Rayleigh.
O critério adotado aqui será aquele que aparece nos textos [ZHA01], [ZHO01] e que
aparece na figura (3.5), onde está indicada a obtenção da resolução:
)()( mpico xff −=∆γ , (3.19)
)(xf
)( 1xf
2
)()( 21 xfxf
fpico
+
=
)( 2xf
1x 2x
2
21 xx
xm
+
=
x
)(∆γ
∆
)( mxf
lResolvíveNão0)(
lResolvíve0)(
<∆
>∆
γ
γ
Figura 3.5 - Visualização gráfica da resolução de uma função.
Para exemplificar, considere o método baseado na variância da resposta do conjunto
de antenas descrito na seção 3.2.1, onde a função que investiga os possíveis ângulos
candidatos seja a variância de )(tz . Pode-se mostrar que a expressão para a resolução deste
critério, para uma ULA com N elementos, é dada por (ver Anexo I):
22
beamvar
4
sen
4
sen
2
2
sen
2
sen
1)(












∆
∆
−












∆
∆
+=∆
N
N
N
N
γ .
(3.20)
55
onde θ
λ
π sen2
d
=∆ . Em [ZHO01] foi obtida uma expressão para resolução da função usada
no MUSIC, considerando as premissas adotadas anteriormente. Esta expressão é dada por:
∆
∆
+












∆
∆
−=∆
sen
sen
1
2
sen
2
sen
1)(
2
N
N
N
N
MUSICγ .
(3.21)
Na figura 3.6 estão os gráficos da resolução utilizando os dois métodos estimação da
direção de chegada, o baseado na variância da resposta de um phased array e o MUSIC.
Avaliando os gráficos, fica claro que o MUSIC possui melhor resolução que o outro, é mais
rápido e apresenta maior valor positivo de )(∆γ .
0 5 10 15 20
0
0.2
0.4
0.6
0.8
1
8
19
30
)(∆γ
θ
Figura 3.6 a - Resolução do baseado na
variância da resposta do conjunto de antenas
em função do afastamento, para conjunto de
antenas com 8, 19 e 30 elementos.
)(∆γ
θ
0 10 20 30 40
-0.2
0
0.2
0.4
0.6
0.8
1
8
19
30
Figura 3.6 b - Resolução do MUSIC em
função do afastamento, para conjunto de
antenas com 8, 19 e 30 elementos.
0 10 20 30 40
0
0.2
0.4
0.6
0.8
1
)(∆beamγ
)(∆MUSICγ
θ
Figura 3.6 c -Comparação entre a resolução
do baseado na variância da resposta e o
MUSIC para um conjunto com 8 elementos.
Na figura 3.7 são comparadas as resoluções do MUSIC, do método da variância da
resposta do conjunto de antenas, e da mínima variância, através de simulação. Para este
exemplo foram considerados dois sinais incidentes numa ULA de 8 elementos nos ângulos de
-30º e 40º, com relação sinal ruído de 0dB. Na figura fica claro que a resolução do MUSIC é
bem maior que os demais.
56
-100 -50 0 50 100
1
10
102
103
104
MUSIC
MÉTODO BASEADO NA VARIÂNCIA DA RESPOSTA
MÉTODO DA MÍNIMA VARIÂNCIA
Figura 3.7 - Gráfico comparando a resolução entre diversos métodos.
3.4 Estimação da Matriz Covariância Espacial
Os algoritmos abordados acima seriam ótimos, segundo os diversos critérios, se
houvesse apenas o ruído como elemento perturbador, ou seja, estes algoritmos seriam ótimos
no caso ideal quando se obtém fidedignamente a matriz covariância espacial xR . Na prática é
impossível tal feito, e neste caso a matriz covariância xR é estimada a partir da amostragem
do vetor )(tx , por exemplo, nos intervalos { }T
iit 1=
obtendo-se NXTji txX )]([= . O estimador
que utiliza as amostras temporais de )(tx é dado pela expressão8
:
[ ][ ]∑=
=≡
T
k
H
kk
H
x txtx
T
XX
T
R
1
)()(
11ˆ .
(3.22)
Este estimador foi introduzido Bartlett, sendo um processo de Wisshart [DON01] de valor
esperado igual a matriz covariância xR .
Vale aqui comentar que a matriz covariância estimada desta forma necessita de uma
janela de tempo, ou um bloco de informações do sinal. Portanto, em alguns textos os
algoritmos de estimação da direção de chegada (como o MUSIC) que utilizam a estimação da
matriz covariância são referenciados como métodos de estimação em bloco. Outro fato
importante é que a estimação introduz algumas distorções devido a limitação do número de
amostras T, ou melhor, somente no limite em que número de amostras tende ao infinito, xRˆ
tende a xR . Como principal distorção destaca-se a desigualdade dos autovalores menores de
57
xRˆ , os quais não são mais identicamente iguais à variância do ruído. Esta distorção
impossibilita determinar o número de sinais incoerentes presentes, MD ≤ , sendo necessário
usar métodos estatísticos. Outro fato decorrente, é que boa parte dos métodos existentes e
mais utilizados para estimação da direção de chegada, como o MUSIC, dependem do
conhecimento do número de sinais presentes, pois só assim espaços vetoriais do ruído e do
sinal são obtidos com precisão.
Investigando um pouco melhor xRˆ , pode-se verificar que seus autovalores e
autovetores são estimadores naturais para os autovalores e autovetores correspondentes da
matriz xR . De fato, utilizando a expressão logarítmica da função de máxima verossimilhança
para a matriz NXTji txX )]([= 9
(ver Anexo I):
[ ] ]traço[||ln),}{,}{|(ln),}{,}{|(
1
1111 xxxw
N
nn
N
nnXw
N
nn
N
nn RRTRTeXpeXL
−
==== −−=−≡ σλσλ , (3.23)
onde ||⋅ representa o determinante, chega-se [WAX03, pag 19] as expressões para os
estimadores da variância do ruído e dos autovalores D
nn 1}ˆ{ =λ e autovetores N
Dnne 1}ˆ{ += de xR , e
que são respectivamente dadas por:
∑+=−
=
N
dk
kw l
DN 1
1
ˆσ ;
(3.24)
kk l=λˆ , para 1,...,Nk = ; (3.25)
kk ue =ˆ , para 1,...,Nk = ; (3.26)
em que N
kkl 1}{ = e N
kku 1}{ = são os autovalores e autovetores do estimador da matriz covariância
xRˆ .
8
Considerando o valor médio de )(tx nulo.
9
Neste caso o vetor s(t) é considerado Gaussiano
58
3.5 Formação ótima de feixe baseado na Direção de
Chegada
Conforme discussão acima, a estimação do sinal incidente )(ˆ ts simplifica bastante
com a informação da direção de chegada. Se o estimador da direção for baseado na
decomposição da matriz covariância espacial em valores singulares, depende número de
sinais incidentes. Como a estimação da matriz covariância espacial introduz algumas
distorções devido ao número finito de amostras, o número de sinais incidentes não se faz mais
com uma simples contagem dos menores autovalores diminuídos do número de elementos do
conjunto. Sendo assim, é imperativo a introdução de mais um estimador no contexto geral
para obtenção dos sinais, ou seja, para estimar10
o número de sinais presentes. Sintetizando, a
figura 3.8 abaixo apresenta de maneira esquemática o processo de estimação do sinais,
formação ótima de feixe, baseado na informação da direção ou ângulo de chegada.
xRˆ
Estimação
da
Matriz
Covariância
Estimação
do número
de sinais
presentes
Estimação da
direção de
chegada
Estimação
do sinalDˆ θˆ SˆX
X
xRˆ
Figura 3.8 - Esquema de Formação Ótima de Feixe baseado na Direção de Chegada
O primeiro passo é a estimação da matriz covariância xRˆ em função das informações
dos sinais percebidos pelo conjunto de antenas X . Como foi visto, as propriedades algébricas
da matriz covariância são utilizadas para determinação do número de sinais presentes, como
também a direção de chegada dos sinais. O segundo passo, é a estimação do número de sinais
presentes MD ≤ baseado no estimador da matriz covariância xRˆ . Em seguida com as
informações da dimensão do espaço citado, se estimam os ângulos de chegada
[ ]T
Dˆ21
ˆ,,ˆ,ˆˆ θθθθ = para cada um dos sinais presentes minimizando funções custos
apropriadas. Finalmente, os sinais são estimados a partir do vetor dos sinais percebidos pelo
conjunto de antenas X , e dos vetores peso )ˆ(),...,ˆ(),ˆ( 21 D
ppp θθθ para cada um dos sinais e
que são função dos ângulos de chegada desses sinais estimados anteriormente, ou melhor:
59
[ ] XpppS
H
D
)ˆ()ˆ()ˆ(ˆ ˆ21 θθθ= . (3.27)
Nos itens a seguir serão discutidos métodos relativos aos passos descritos acima,
existentes na bibliografia referenciada no final deste texto, obedecendo a ordem em que eles
aparecem.
3.5.1 Estimação do Número de Sinais Presentes
A seguir serão apresentados os métodos para estimação do número de sinais presentes,
ou detecção desses números, apresentados na grande maioria dos textos, a saber: o MDL
proposto por Rissanen; o AIC proposto por Akaike e o modelo proposto por Xu.
3.5.1.1 MDL Minimum Description Length
O MDL Minimum Description Length foi proposto por Rissanen em [RIS01]. Ele se
baseia na assertiva que com um conjunto de dados e uma família de modelos, o melhor
modelo é aquele que requer a menor quantidade de informação para sua representação, ou
seja, aquele em que os dados são codificados com menor comprimento. Para entender melhor,
considere d o número suposto de sinais presentes, não necessariamente igual ao número real.
Assim, da expressão (2.25) com alguns desenvolvimentos (ver Anexo I) chega-se a:
( ) NNw
d
n
H
nnwn
N
n
H
nnnx IeeeeR ×
==
+−== ∑∑
2
1
2
1
σσλλ ,
(3.28)
onde N
nne 1}{ = e N
nn 1}{ =λ são respectivamente os autovetores e autovalores da matriz covariância
xR . Para cada valor de d ( 1,,0 −= N ) supõe-se um modelo de sinais incidentes para
representar o conjunto de dados observados representado pela matriz NXTji txX )]([= .
Considerando-se todos os valores possíveis de d tem-se uma família de modelos para estes
dados. De acordo com o MDL o melhor modelo é aquele que necessita da menor quantidade
de algarismos, bits com o alfabeto binário, para representar os dados NXTji txX )]([= .
Segundo Shannon em [SHA01], o menor comprimento ][XL da matriz X , é dado por:
( )[ ] ][]|[,log][ , ξξξξ LXLXpXL x +=−= , (3.29)
10
Em alguns textos é utilizada a expressão detecção ao invés de estimação.
60
onde:
( )[ ]XpXL xξξ |log]|[ −= , (3.30)
e ξ representa os parâmetros do modelo que neste caso é dado por
[ ]w
N
nn
N
nn e σλξ 11 }{}{ === . Nota-se que (3.29) é o oposto da expressão do logaritmo de
máxima verossimilhança obtido pela expressão (3.24) (ver Anexo I), ou seja, obter ]|[ ξXL
mínimo é o mesmo que obter o estimador de máxima verossimilhança para ξ . Pode-se provar
(ver Anexo I) que:
( ) ( )












−
−−−= ∑∑ +=+=
N
dk
k
N
dk
k
dN
dNTXL
11
ˆ1
logˆlog]ˆ|[ λλξ , e
(3.31)
TXLXL log
2
]ˆ|[][
ν
ξ += ,
(3.32)
onde [ ]w
d
nn
d
nn e σλξ ˆ}ˆ{}ˆ{ˆ
11 === ; wσˆ , d
nn 1}ˆ{ =λ e d
nne 1}ˆ{ = são dados pelas expressões (3.24),
(3.25) e (3.26) respectivamente; T é o número de amostras temporais; ν é o número de graus
de liberdade de ξˆ que neste caso é 1)12( ++−= dNdν (ver Anexo I) [WAX03].
Substituindo ν e a expressão (3.31) na expressão (3.33), com algumas modificações (ver
Anexo I), obtém-se a expressão para ][XL :
TdN
d
dN
dMTXL M
dk
k
dNN
dk
k
log)12(
2ˆ1
ˆ
log)()(
1
1
1
+−+














−






−−=
∑
∏
+=
−
+=
λ
λ
,
(3.33)
onde foram omitidos os termos constantes independentes de d. O MDL é o método que
minimiza a expressão acima, dado por:
{ }
















+−+
















−






−−==
∑
∏
+=
−
+=−−
TdN
d
dN
dMTXLD N
dk
k
dNN
dk
k
dd
MDL log)12(
2ˆ1
ˆ
log)(min][minˆ
1
1
111
λ
λ
(3.34)
61
3.5.1.2 AIC Akaike’s Information Criterion
O AIC Akaike’s Information Criterion é baseado na análise assintótica da distância de
Kulback-Leibler [WAX03] entre o modelo verdadeiro e o estimado, em que se obtém
expressão semelhante ao MDL:
( )[ ]{ }νξ +−= XpD xAIC |logminˆ , (3.35)
para estimação do número de sinais presentes:
















+−+














−






−−=
∑
∏
+=
−
+=−
)12(
ˆ1
ˆ
ln)(minˆ
1
1
11
dMd
dN
dMTD N
dk
k
dNN
dk
k
d
AIC
λ
λ
.
(3.36)
3.5.1.3 Método Proposto por XU
Anderson e Gupta demostraram em [AND01] e [GUP01] respectivamente que a
variável )(dl dada pela expressão:
















−






−−=
∑
∏
+=
−
+=
N
dk
k
dNN
dk
k
dN
dNTdl
1
1
1
1
log)()(
λ
λ
,
(3.37)
é uma variável chi quadrada com 1)( 2
−− dN graus de liberdade, ou melhor :
[ ]1)(~)( 22
−− dNdl χ . Baseado nisto, Xu em [XU01] sugeriu um método para estimação do
número de sinais presentes avaliando a expressão acima e comparando com um limiar γ . O
método avalia seqüencialmente o valor de )(dl a partir de d=0, e testa com este limitante γ ,
onde é subjetivamente escolhido através de uma heurística [VIB01] dada por:
)log( 0
0
N
c
=γ ,
(3.38)
62
com 0c é obtido da distribuição chi quadrada, 0N é selecionado de acordo com a covariância
do erro estimado assintoticamente. Quando γ≤)(dL o algoritmo para e o valor estimado para
o número de sinais que chegam é obtido ( dD =ˆ ).
3.5.2 Estimação do Ângulo de Chegada
Na seção 3.3.2 foi apresentado o MUSIC como método de estimação da direção de
chegada com resolução superior aos métodos baseados na resposta do conjunto de antenas.
Foi discutido, também, que o MUSIC investiga os ângulos candidatos de maneira
unidimensional. A seguir, outros métodos serão apresentados utilizando as mesmas
propriedades que o MUSIC unidimensional explora, ou seja, a ortogonalidade entre os
subespaços gerados pelos autovetores da matriz covariância espacial associados ao ruído e ao
sinal. Estes métodos são o MD-MUSIC Multi Dimensional MUSIC proposto Cadzow em
[CAD01]; o ML Maximum Likelihood para os sinais determinísticos; WSF Weighted
Subspace Fitting proposto por Viberg e Ottersten em [VIB01, VIB02]; o MODE Method Of
Direction Estimation proposto por Stoica em [STO01] e o ROOT-MUSIC.
Em [VIB01, VIB02] Viberg e Ottersten demonstraram que os métodos MD MUSIC,
ML sinal determinístico, TLS-ESPRIT (não apresentado aqui) possuem expressões
semelhantes, diferenciando-se apenas por uma matriz que introduz certos pesos. Para obter
este resultado, Viberg e Ottersten usaram o resultado apresentado por Golub em [GOL01],
para o problema Total Least Square:
21
,
minˆ, FBA
ABCBA −=
−
, (3.39)
onde A , B e C são matrizes, sendo C dada, e F
⋅ é a norma de Frobenius (ver Anexo I), cuja
solução se resume nas expressões:
Se CAB †ˆ = , então (3.40)
( )H
A
A
CCPA traçomax
1−
= , (3.41)
63
onde HH
AAAA 1†
)( −
= é a matriz pseudoinversa de A , e †
AAPA = é a matriz projeção
ortogonal no espaço vetorial gerado pelas colunas da matriz A . Os resultados apresentados
pelas expressões (3.39), (3.40) e (3.41) serão apropriadamente aplicados nos itens a seguir.
3.5.2.1 MD-MUSIC
O MUSIC multidimensional, ou Multi Dimensional MUSIC, é derivado do trabalho de
Cadzow em [CAD01]. Neste trabalho foi formulado uma expressão para determinação
simultânea dos ângulos para direção de chegada. Como premissa, foi utilizado o fato de que
os autovetores correspondentes aos sinais são base do espaço vetorial dos sinais presentes.
Esta assertiva traduz-se na seguinte expressão:
F
H
EEA UUP ⊥⊥
−
= ˆˆmaxˆ 1
θ
θ . (3.42)
onde [ ]T
Dθθθ ˆˆˆ
1= é o vetor contendo as Dˆ direções de chegada dos sinais presentes,
( ) [ ])()( ˆ1 D
aaA θθθ = , { }D
mma
ˆ
1
)( =
θ são os steering vectors associados às direções
[ ]T
Dθθθ ˆˆˆ
1= , †
AAPA = é projeção ortogonal no espaço coluna de )(θA ,
[ ]DE
eeeU ˆ21 ˆˆˆˆ =⊥ e { }D
mme
ˆ
1
ˆ =
são os autovetores da matriz covariância xRˆ . Da expressão
(3.42) chega-se [GOL01]:
( )H
EEA UUP ⊥⊥
−
= ˆˆtraçomaxˆ 1
θ
θ . (3.43)
3.5.2.2 Estimador Máxima Verossimilhança para o Ângulo de chegada
O método de máxima verossimilhança para o sinal determinístico é decorrente da
maximização do logaritmo da máxima verossimilhança [ ])(ln ,| Xp SsAaX == para matriz X .
Resolvendo esta expressão, (ver Anexo I) pode-se chegar a seguinte formulação:
( ) 2
,
1
minˆ,ˆ
FS
SAXS θθ
θ
−= −
, (3.44)
onde [ ]T
Dθθθ ˆˆˆ
1= é o vetor contendo as d direções de chegada dos sinais presentes,
( ) [ ])()( 1 DaaA θθθ = é uma matriz cujas colunas são os steering vectors associados às
64
direções dos sinais presentes e, finalmente, S é a matriz em que cada linha representa os
sinais presentes. Utilizando os resultados dados pelas expressões (3.40) e (3.41), este
problema recai nas seguintes expressões:
XAS †ˆ = , (3.45)
( )xARP ˆtraçomaxˆ 1
θ
θ −
= . (3.46)
De maneira semelhante ao resultado encontrado para xR em (2.26), pode-se
aproximar xRˆ sob a forma:
IUUR w
H
EEx
ww
2
ˆˆ~ˆˆ σ+Λ≈ ⊥⊥ , (3.47)
onde Idiag wD
2
1 ˆ)ˆ,,ˆ(
~
σλλ −=Λ . Quando o número de amostras para estimar xRˆ for muito
grande, a expressão para estimação das direções de chegada dos sinais θˆ fica (ver Anexo I):
( )H
EEA ww
UUP ⊥⊥ Λ= − ˆ~ˆtraçomaxˆ 1
θ
θ . (3.48)
3.5.2.3 WSF Weighted Subspace Fitting
Observando as expressões (3.43) e (3.48) encontradas para os estimadores MD-
MUSIC e o ML respectivamente, verifica-se que elas possuem formas semelhantes, ou
melhor, ambas são do tipo:
( )H
EEA ww
UBUP ⊥⊥
−
= ˆˆtraçomaxˆ 1
θ
θ , (3.49)
onde IB = para o MD-MUSIC, e Λ=
~
B para o ML. Baseado nisto, Viberg e Ottersten
calcularam em [VIB02] o valor para matriz B de forma a obter um estimador eficiente para
as direções de chegada θ e consistente quando o número de amostras T , para estimação da
matriz covariância xRˆ , tendesse ao infinito. Melhor dizendo, um estimador θˆ cujo erro de
estimação tende ao limitante de Cramèr-Rao quando T tende ao infinito. Para atender tal
condição, a matriz B é dada por [VIB01,VIB02,BAR01,AND01]:
12~ −
ΛΛ= SB , (3.50)
65
onde Λ
~
definida na seção anterior e )ˆ,,ˆ( 1 DS diag λλ=Λ . Em [VIB02] este método foi
denominado de WSF Weighted Subspace Fitting.
3.5.2.4 MODE Method of Direction of Arrival Estimation
Em [STO01], Stoica introduziu um novo estimador baseado na ortogonalidade dos
espaços gerados pelos autovetores correspondentes ao ruído e ao sinal. Conforme foi visto na
seção 2.3.3, os autovetores associados aos sinais formam a base ortonormal dos steering
vectors associados às direções de chegada, que por sua vez são ortogonais aos autovalores
associados ao ruído. Assim, a projeção ortogonal no espaço gerado pelo ruído de uma
combinação linear dos steering vectors associados às direções de chegada é, no caso ideal,
nula. O MODE avalia uma combinação linear em particular de ( ) [ ])()( 1 DaaA θθθ =
associado as direções [ ]T
Dθθθ 1= , cujo estimador deve minimizar a norma da projeção
desta combinação no espaço associado ao ruído, ou seja:
( )BAEEABAP
H
ww
H
F
Ew
)(ˆˆ)(traçomin)(minˆ 1
2
2
1
1
θθθθ
θθ
−−
== ,
(3.51)
onde [ ]{ }112
)(ˆ~ˆ)(
−−
ΛΛ= θθ AEEAB
H
sSs
H
. Pode-se provar [OTT03] que tanto o MODE quanto
o WSF possuem o mesmo comportamento assintótico para estatística de segunda ordem dos
seus erros.
Os métodos para estimação da direção de chegada, ângulo de chegada, descritos acima
possuem formulação semelhantes no que concerne à filosofia de implementação. Se o número
de amostras para estimação da matriz covariância espacial tendesse ao infinito, ou melhor,
+∞→T , os métodos possuiriam resultados iguais. O WSF e o MODE possuem
comportamentos idênticos no que se refere a eficiência e a consistência, sendo melhores que
os outros métodos multidimensionais11
[VIB02] e [OTT03].
Outro fato importante é que existem métodos específicos para estimação da direção de
chegada dependentes da conformação das antenas, ou seja, da disposição espacial dos
elementos. No caso de estruturas uniformes como a ULA ou a UCA, pode-se utilizar métodos
como o ROOT-MUSIC discutido a seguir.
11
Aqui, o multidimensional reside no fato que os métodos estimam simultaneamente todas as direções.
66
3.5.2.5 ROOT MUSIC
O ROOT-MUSIC, apresentado por Barabell em [BAR02], é um método de estimação
do ângulo de chegada baseado nas propriedades da matriz covariância espacial apresentada na
seção 2.3.3, que depende de conformações especiais como a ULA. A sua formulação está
descrita a seguir.
Como o steering vector )(θa associado à direção θ de uma onda incidente numa
matriz de antenas é ortogonal ao espaço WE , gerado pelos autovetores N
Dkke 1}{ += da matriz
covariância espacial xR associado ao ruído, WE é o espaço anulador de )(θa , e a norma da
projeção ortogonal de )(θa neste espaço é nula, isto é:
0)( =θaU
H
w . (3.52)
O steering vector )(θa da ULA associado a direção θ pode ser escrito da seguinte
forma:
)sen(2
)()( θ
λ
π
θ d
j
ez
zaa
=
= .
(3.53)
Assim, pode-se definir o polinômio )(zP da seguinte maneira:
)()()( 1
zaUUzazP
H
ww
−
≡ , (3.54)
onde [ ]NDw eeU 1+= . Pela definição de )(zP , e chamando
H
wwUUB = , onde
[ ]nknk Bb = , obtém-se:
∑∑= =
−−
==
N
n
N
k
nk
nk
H
ww zbzaUUzazP
1 1
1
)()()( .
(3.55)
Fazendo nlk += , tem-se:
∑∑∑ ∑∑ ∑ =
−
=
+
= −=
+
=
−
−=
+ +==
N
n
nN
l
l
nln
N
n nl
l
nln
N
n
nN
nl
l
nln zbzbzbzP
1 1
;
1
0
1
;
1 1
;)( .
(3.56)
Invertendo a ordem dos índices dos somatórios acima, tem-se:
67
∑∑ ∑∑ ∑
−
−−=
−
=
−
=
+
−−= −=
+ =+=
1
)1(
1
1 1
;
0
)1( 1
;)(
N
Nl
l
l
N
l
lN
n
nln
l
Nl
N
ln
nln
l
zcbzbzzP ,
(3.57)
onde:






≤≤
≤≤
=
∑
∑
−
=
+
−=
+
)(N-lb
l)-(N-b
c lN
n
nln
N
ln
nln
l
11para,
01para,
1
;
1
;
.
(3.58)
θ
λ
π sen2
d
j
er =1=r
{}zRe
{}zIm
Figura 3.9 - Representação no plano complexo a raiz r do polinômio )(zP
No caso ideal, quando se obtém fidedignamente a matriz covariância espacial, é fácil
provar que
θ
λ
π sen2
d
j
er = é raiz de )(zP desde que θ é direção de um sinal incidente. Esta
propriedade induz ao mecanismo de determinação dos ângulos de chegada denominado de
ROOT-MUSIC. Em resumo, o ROOT-MUSIC se baseia na investigação de todas as raízes de
)(zP . As raízes pertencentes à circunferência de raio um no plano complexo de z ( 1=r ) (ver
figura 3.9), possuem associados a elas ângulos de chegada dados por:
( )



= −
r
d
arg
2
sen 1
π
λ
θ .
(3.59)
Mas na prática o que se tem é o estimador da matriz covariância xRˆ e os autovetores
associados ao ruído são dados por: [ ]NDw eeU ˆˆˆ 1ˆ += . Assim, nem sempre será possível
encontrar raízes de )(zP com módulo um, sendo necessário encontrar as raízes mais
próximas da circunferência de raio um no plano complexo de z.
68
3.5.3 Estimação do Sinal - Formação ótima de feixe
No item 3.2, foram apresentados métodos de formação ótima de feixe, e que também
são aplicáveis aqui. A seguir serão apresentados alguns destes métodos de forma generalizada
e os demais métodos. Os métodos de estimação do sinal combinados com a informação da
direção de chegada, levam a formação ótima de feixe baseado na direção de chegada.
3.5.3.1 Método com Restrições
Os métodos para estimação do sinal, como o método de mínima variância, em geral,
pertencem a uma classe de estimadores denominada de método de otimização com restrições
(Constrained Optimization Method). O método de otimização condicionada minimiza a
variância do sinal )(tz usando K expressões lineares (funcionais lineares) condicionantes
para o vetor peso. Traduzindo:
{ }pRpp x
H1
minˆ −
= , condicionado a cpC = , (3.60)
onde C é uma matriz NxK, e c é uma matriz Kx1. Usando multiplicadores de Lagrange (ver
Anexo I), o resultado é:
( ) cCCRCRp H
x
H
x
111
ˆ
−−−
= . (3.61)
Na prática a matriz covariância xR é estimada, trocando a expressão acima a matriz
covariância pelo seu estimador obtém-se:
( ) cCRCCRp H
x
H
x
111 ˆˆˆ
−−−
= . (3.62)
3.5.3.2 LLMV Least Linear Minimum Variance
Na expressão acima, se a matriz C for igual a transposta conjugada da matriz cujas
colunas são os steering vectors associados às direções de chegada (na realidade a sua
estimativa), ou melhor, [ ]H
DaaC )ˆ()ˆ( 1 θθ= , e ainda o vetor coluna c for do tipo:
[ ]



=
contráriocaso0,
ângulocomsinalopara,1
1
i
ic
θ
,
(3.63)
69
tem-se o método LLMV Least Linear Minimum Variance. Considerando, agora, a matriz P
cujas colunas são os pesos associados aos sinais, ou melhor, [ ]D
ppP ˆˆ1
= , tem-se (ver
Anexo I):
( ) ( ) ( )
1
11 ˆˆˆˆˆ
−
−−




= θθθ ARAARP x
H
x ,
(3.64)
onde ( ) [ ])ˆ()ˆ(ˆ
1 DaaA θθθ = .
3.5.3.3 Estimador de Máxima Verossimilhança para o Sinal Determinístico12
Na discussão para motivação de se estimar a direção de chegada foi obtida uma
expressão para estimação do sinal baseado na razão de máxima verossimilhança, que estimava
o sinal contínuo. Agora, será obtida expressão semelhante, mas será considerada a
amostragem do sinal percebido pelas antenas X .
Recapitulando, o estimador de máxima verossimilhança para o sinal utiliza a
distribuição conjunta do ruído branco aditivo percebido por cada elemento do conjunto de
antenas. Esta distribuição, a do vetor w , é conjuntamente Gaussiana e descorrelatada. Assim,
a expressão do logaritmo da densidade de probabilidade do vetor X condicionado ao sinal, ou
seja, considerando o sinal )(ts com natureza determinística13
é dado por (ver Anexo I):
{ } ( )∑=
=
−−−=
T
k
kk
w
ww
T
kk tsAtxTNtsAXL
1
2
2
22
1
)()(
1
ln),)(),(|( θ
σ
σσθ .
(3.65)
Extraindo o valor da variância
2
wσ pela minimização da expressão acima,
substituindo em seguida e minimizando para os valores de { }T
kkts 1
)( =
, tem-se (ver Anexo I):
( ) )()ˆ()ˆ()ˆ()(ˆ
1
k
HH
k txAAAts θθθ
−
= . (3.66)
Para o m’ ésimo sinal )(ˆ)( tstz m= , e como )(ˆ)( txptz
H
m
= , assim, os pesos utilizando o
estimador de máxima verossimilhança correspondentes a todos sinais, ou seja
12
Aqui o determinístico, em obediência à literatura, trata-se do sinal como informação dada não aleatória.
13
Semelhante ao que foi obtido na seção 3.1, mas considerando valores pontuais no tempo dos processos
estocásticos.
70
[ ]D
ppP ˆˆ1
= , podem ser obtidos através da expressão mais genérica dada por (ver
Anexo I):
( )1
)ˆ()ˆ()ˆ(
−
= θθθ AAAP H
. (3.67)
Comparando a equação acima com aquela para o LLMV observa-se que se a matriz
covariância dos sinais percebidos pelos elementos do conjunto de antenas for a identidade, as
expressões seriam idênticas.
3.5.3.4 Estimador de Máxima Verossimilhança para o Sinal Estocástico
Em [OTT01] foi desenvolvida uma expressão para o estimador de máxima
verossimilhança quando o sinal não é de natureza determinística, ou não se sabe o seu
comportamento. Este estimador foi denominado de máxima verossimilhança estocástico, ou
stochastic maximum likelihood estimator.
Da expressão (2.17), considere que os sinais dados por )(ts sejam de natureza
Gaussiana e com média nula. Assim o vetor )(tx é Gaussiano de média nula e matriz
covariância dada pela expressão (2.21). Neste caso, o logaritmo da função densidade de
probabilidade da matriz X condicionada ao conhecimento de )(θA , sR e
2
wσ (parâmetros
estimados) é dado por (ver Anexo I):
[ ] ]traço[||ln),),(|(ln),),(|(
122
xxxwsXws RRTRTRAXpRAXL
−
−−=−≡ σθσθ , (3.68)
Este problema de otimização pode ser subdividido em três expressões [WAX03, pag
34, 35 e 36]. Uma para a estimar variância, outra para estimar a covariância do ruído e a
terceira para estimar o sinal, ou melhor:
( ){ }xAw RPI
DN
ˆtraço
1
ˆ )(
2
θσ −
−
= ,
(3.69)
( )( )H
wxs AIRAR †2†
)(ˆˆ)(ˆ θσθ −= , (3.70)
( ) sw
H
s RAIARAP ˆ)(ˆ)(ˆ)(
12
θσθθ
−
+= , (3.71)
71
onde )(θAP é a projeção ortogonal em )(θA e [ ]D
ppP ˆˆ1
= é a matriz de pesos utilizadas
para estimar os sinais.
É importante notar que nos estimadores dos sinais, discutidos até aqui, aparece a
matriz )(θA cujas colunas são os vetores contendo a informação da direção dos sinais
estimadas. Nestes estimadores foi considerado como dada a informação da direção contida
nesta matriz, que pode ser estimada utilizando os estimadores das direções de chegada já
discutidos.
72
4. Antenas Adaptativas em
Comunicações Móveis
Este capítulo objetiva introduzir brevemente o ambiente de propagação encontrado em
comunicações móveis, apresentando três cenários típicos para a análise desempenho de
matrizes de antenas. Ao final, é apresentada uma alternativa de estimação encontrado em
[ASZ01], considerando estes cenários.
4.1 Modelo de Propagação
O modelo de propagação para sistemas de comunicações móveis é bastante complexo,
envolvendo fenômenos inerentes a ondas eletromagnéticas, como reflexões em diversos
objetos (árvores, montanhas, edifícios, ruas etc), difração e refração. A reflexão ocorre
quando uma onda eletromagnética incide numa superfície lisa com dimensões muito maiores
do que o seu comprimento de onda, como prédios, montanhas. Já a difração, acontece quando
a trajetória da onda eletromagnética é obstruída por um corpo de dimensões superiores ao seu
73
comprimento de onda, como pequenas construções, por exemplo postes. O espalhamento
ocorre quando a onda é obstruída por um corpo de dimensões do seu comprimento de onda,
ou uma superfície de rugosidade da ordem do seu comprimento de onda, como ruas, folhagem
de uma árvore etc. Estes fenômenos descritos podem ser reunidos e analisados conforme
modelo disposto na figura 4.2 [SKL01].
Manifestações
de desvanecimento
do canal
Desvanecimento em larga escala
devido ao deslocamento em
grandes áreas
Desvanecimento em pequena escala
devido a pequenas mudanças
na posição
Atenuação
média do sinal
X distância
Variações
sobre a
Média
Espalhamento
temporal do
sinal
Variância
temporal do
Canal
Representação
do sinal no domínio
do seu retardo
Representação
do sinal no domínio
da freqüência
Representação
do sinal no domínio
do tempo
Representação
do sinal no domínio
do deslocamento
Doppler
Desvanecimento
seletivo na
freqüência
Desvanecimento
Flat
Desvanecimento
seletivo na
freqüência
Desvanecimento
Flat
Desvanecimento
Rápido
Desvanecimento
Lento
Desvanecimento
Rápido
Desvanecimento
Lento
Figura 4.2 - Formas de Desvanecimento do Canal
Quando um sinal é transmitido no canal de comunicações móveis, ele é composto por
um elenco de ondas, que descrevem uma complicada trajetória (multipercurso) até alcançar o
seu objetivo, refletindo em edifícios, montanhas, ruas etc., sofrendo interferências de outros
fenômenos ondulatórios, descritos acima, dificultando a recepção deste sinal. Este processo de
degradação da informação se deve basicamente aos multipercursos do sinal transmitido, e tem
o nome genérico de desvanecimento. Os desvanecimentos, ou degradações no sinal,
observados em comunicações móveis podem ser entendidos como combinação de dois
grandes grupos: o desvanecimento em grande escala e o em pequena escala (ver figura 4.3).
Conforme indica figura 4.3, o desvanecimento em grande escala introduz grandes atenuações
no sinal de variação lenta, ao contrário do desvanecimento de pequena escala, onde a
atenuação é pequena e de rápida variação. O sinal )(tx observado na antena pode ser visto
74
como produto de uma componente aleatória devido ao desvanecimento em grande escala e
uma outra componente devido ao desvanecimento de pequena escala.
)(tx
)(tdsmall
)(tdlarge
Sinal percebido
pela antena
Desvanecimento
em pequena escala
Desvanecimento
em larga escala
Figura 4.3- Desvanecimento em pequena e grande escala.
4.1.1 Desvanecimento em Grande Escala
O desvanecimento em grande escala está principalmente vinculado ao afastamento da
fonte geradora do sinal ou transmissor, mas também está associado a movimentação em
grandes áreas, onde existem grandes objetos como montanhas, florestas, prédios etc. Como a
potência da onda é finita, o afastamento em relação a origem do sinal produz uma perda de
energia )(dLp :






∝
0
10log10)(
d
d
ndLp (em dB),
(4.1)
onde d é a distância entre o receptor e o transmissor, 0d é uma distância de referência e n
varia em função das condições de propagação. Quando existem fenômenos de dutos, n é
menor do que 2, para o espaço livre n é igual a 2 e no cenário urbano de ruas cercada de
prédios, nos demais casos n é maior do que 2.
A figura 4.4 apresenta os multipercursos provenientes da estação rádio base chegando
no terminal móvel, onde aparece a trajetória com a menor perda, denominada de (LOS - Line
Of Sight) linha de visada.
75
LOS Line Of Sight
Refletores Dominantes
Refletor Dominante
Figura 4.4 - Desvanecimento devido a multipercurso.
O desvanecimento em grande escala tem uma componente aleatória devido ao
sombreamento, ou melhor, aumento na atenuação do canal devido principalmente a
fenômenos meteorológicos. Desta forma, a perda )(dLp devido a distância entre o
transmissor e o receptor é descrita pela expressão [SKL01]:
σW
d
d
ndLdL sp +





+=
0
100 log10)()( (em dB),
(4.2)
onde d é a distância entre o receptor e o transmissor, 0d é a distância de referência 14
. A
componente aleatória σW é uma variável Gaussiana de média nula e variância σ , que é
determinada em função do ambiente de propagação, feito através de medias neste ambiente.
Como a variável é expressa em dB a distância é conhecida como log-normal.
4.1.2 Desvanecimento em Pequena Escala
O desvanecimento em pequena escala é devido a mudanças constantes da posição
relativa entre a estação radio base e o terminal móvel, ou seja, a cada posição do móvel
variam as condições de propagação, como reflexões em objetos inerentes ao ambiente. E
como complicador existe a introdução do efeito Doppler que é descrito como a mudança
aparente da freqüência do sinal transmitido percebido pelo receptor.
14
Corresponde ao ponto mais distante da antena e para células grandes 0d é da ordem de 1 Km, para
microcélulas é 100 m e canais indoor 1 m [SKL01].
76
d
v
Figura 4.5 - Canal dependente do tempo
O efeito Doppler está associado a um canal variante no tempo como explicado a
seguir.
Considere que o terminal móvel possua movimento retilíneo uniforme de velocidade
relativa v . Assim, a resposta impulsiva do canal ),( tdh é função da distância relativa d e
do tempo t . Se )(ts é o sinal enviado pelo transmissor, o sinal recebido pela antena )(tx é
dado por:
∫
∞
∞−
−=∗= τττ dtdhstdhtstx ),()(),()()( . (4.3)
11 vtd =
v1τ
1Lτ
Figura 4.6a - O terminal móvel na posição d1
22 vtd =
v
1τ
2Lτ
Figura 4.6b - O terminal móvel na posição d2
Mas como v é constante, então pode-se escrever vtd = , e a função de transferência fica:
),(),( ττ thtdh =− , (4.4)
onde t representa o tempo em que a função de transferência varia, em função do movimento
do móvel, e τ representa o retardo de cada onda devido ao multipercurso.
O desvanecimento em pequena escala pode ser classificado de quatro maneiras pela
combinação de dois tipos com duas manifestações:
♦ Desvanecimento seletivo e não seletivo na freqüência; associado a soma dos
multipercursos do sinal. Corresponde a espalhamento temporal (variável τ ).
77
♦ Desvanecimento rápido e lento; associado a mudanças do canal, ou mudanças de
posição. Corresponde a espalhamento na freqüência (variável t ).
4.1.3 Desvanecimento Plano e Seletivo
O desvanecimento plano e seletivo é devido a soma dos multipercursos, podendo esta
soma ser em fase ou em contraposição. Resultando desvanecimento do sinal original. Os
multipercursos são caracterizados pelas funções denominadas de “perfil de retardos” e
“correlação espectral” representadas na figura 4.7. A primeira representa a distribuição da
potência dos multipercursos em função dos seus retardos e a segunda representa a correlação
entre duas componentes de freqüência na saída do canal separadas de f∆ .
Transformada
de Fourier
Tm
S(τ)
τ f0
|R(∆f)|
∆f
Figura 4.7 - Densidade de potência e função autocorrelação do canal em função do retardo devido ao multipercurso.
Neste gráfico, verifica-se que a energia do sinal é espalhada no tempo, e o intervalo de
tempo mT entre a primeira componente de um dado sinal e a última componente é chamado
de retardo máximo. Na transmissão digital é importante comparar este retardo com a duração
de um símbolo. Considerando sT o tempo de transferência de um símbolo, se ms TT > todas as
componentes do sinal são coerentes e o desvanecimento é não seletivo na freqüência. Caso
contrário o desvanecimento é seletivo. Isto fica melhor explicado se considerar o gráfico do
lado direito da figura 4.7. Neste gráfico 0f é largura de banda em que o sinal é recebido
coerentemente, ou seja, todas as componentes do sinal existentes neste intervalo são
atenuadas do mesmo modo. No caso da banda do sinal transmitido
sT
B 1≈ ser menor que o
intervalo de coerência 0f o desvanecimento é não seletivo, caso contrário é seletivo. O
espalhamento local do sinal, ou seja, na vizinhança do receptor é não seletivo, e estas
componentes do sinal formam um grupamento ou cluster. Um sinal pode, além do
espalhamento local, possuir outros clusters, que em geral são produzidos quando o ambiente
de propagação possuir grandes objetos, como montanhas, planícies, prédios etc., que refletem
e/ou espalham o sinal, sendo chamados de refletores dominantes.
78
4.1.4 Desvanecimento Lento e Rápido
O desvanecimento rápido é proveniente da variação da posição relativa entre o
terminal móvel e a estação rádio base e está associado ao efeito Doppler. Quando o canal (a
posição relativa) varia dentro de um período de transmissão de um símbolo diz-se que o canal
possuí desvanecimento rápido ou seletivo no tempo. Caso contrário o canal possuí
desvanecimento lento ou não seletivo no tempo. Na figura 4.8, o gráfico da esquerda,
apresenta a função autocorrelação onde aparece 0T que é o intervalo de tempo de coerência.
Quando o período de transmissão de símbolo sT for inferior a 0T , diz-se que o canal possui
desvanecimento lento, caso contrário o canal possui desvanecimento rápido.
|R(∆t)|
T0
∆t fc - fd fc + fdfc
fd
S(ν)
Transformada
de Fourier
Figura 4.8 - Gráfico da função autocorrelação e densidade de potência em função da variação temporal do ambiente de propagação.
4.2 Modelo de Propagação E Sinais Recebidos numa
Matriz de Antenas
A seguir serão descritos três modelos para levar em conta o efeito da propagação na
recepção das antenas adaptativas. Nestes modelos considera-se desvanecimento plano na
freqüência (não seletivo). Outrossim, vale a pena mencionar que os cenários abordados
descrevem apenas o comportamento do sinal percebido pelo conjunto de antenas situado na
estação rádio base. Outros estudos [ZET01] consideram os problemas pertinentes à
transmissão no enlace direto.
4.2.1 Espalhamento Local
Um canal com apenas o espalhamento local é o exemplo mais simples de um canal
com multipercurso. Ele só considera desvanecimento plano, ou seja, as componentes de
multipercurso são todas coerentes no tempo, e próximas da componente de percurso mais
curto. O espalhamento local pode ser entendido como reflexões ao redor da fonte originadora
79
do sinal transmitido, neste caso pelo terminal móvel. Por simplificação, o espalhamento local
pode ser entendido como uma região contendo várias antenas gerando o mesmo sinal com
uma pequena defasagem (ver figura 4.7).
BW
Região de
Espalhamento
1 2 3
L BW l
)( 0 ll ttsE τ−−
Figura 4.7 - Espalhamento local. Figura 4.8 - Detalhamento do sinal espalhado
Na figura, as componentes do sinal transmitido pelo terminal móvel são espalhadas em
torno de uma região de espalhamento, sendo o ângulo esférico BWθ o ângulo de abertura que
delimita a região. No caso da região for coplanar com o conjunto de antenas este ângulo é
plano. O ângulo θ que representa o ângulo nominal da direção do terminal móvel.
Considerando L sinais espalhados provenientes do sinal transmitido )(ts , o sinal percebido
para uma única antena )(tx é dado por:
)()()(
1
0 twttsHtx
L
l
ll +−−= ∑=
τ ,
(4.5)
onde lH é a atenuação da l-ésima componente do sinal, 0t é o retardo da componente de
menor retardo (menor percurso), que sem perda de generalidade pode-se considerar como
nula ( 00 =t ), lτ é o retardo relativo entre a componente de menor percurso e o l ésima
componente do sinal, lt τ+0 é o retardo total. Considerando o sinal transportado )(ts de
faixa estreita, isto é, )()( tsets lj
l
φ
τ −
=− , tem-se:
)()()(
1
tweHtstx
L
l
j
l
l
+= ∑=
− φ
,
(4.6)
80
onde lcl τωφ ≡ , e cω é a freqüência angular da portadora. Observando a expressão acima,
nota-se que ∑=
−
≡
L
l
j
l
l
eHh
1
φ
é uma variável aleatória que traduz o comportamento do canal, ou
melhor, h é a função de transferência complexa deste canal. Para L muito grande e assumindo
{ }L
ll 1=
φ , { }L
llH 1=
independentes e identicamente distribuídas, com { }L
ll 1=
φ uniformemente
distribuídas em ]2,0[ π , h pode ser aproximada por uma variável Gaussiana complexa. Se o
canal possuir uma componente de visada direta, h é uma variável de Rice, caso contrário
(pior caso) h é uma variável de Rayleigh.
Para um conjunto de antenas, em vez de um único elemento, o raciocínio é análogo.
Neste caso, com sinal transmitido )(ts , a expressão para o vetor )(tx , cujas componentes são
os sinais percebidos pelos elementos do conjunto, é [ASZ02]:
)()()()(
1
0 twttsaHtx
L
l
lll +−−+= ∑=
τθθ ,
(4.7)
onde lθθ + é o ângulo de incidência da l ésima componente do sinal.
Fazendo as mesmas considerações feitas anteriormente para um único elemento
chega-se à:
)()()()()()()(
1
twtsvtwaeHtstx
L
l
l
j
l
l
+=++= ∑=
−
θθθφ
,
(4.8)
onde ∑=
−
+≡
L
l
l
j
l aeHv l
1
)()( θθθ φ
.
O vetor )(θv descreve o comportamento do canal, só que, diferentemente do caso de
um único elemento, traz a informação da direção do sinal θ . O vetor )(θv é o vetor resposta
do conjunto de antenas para o ambiente de propagação contendo espalhamento local. Com as
mesmas hipóteses feitas anteriormente pode-se aproximar )(θv por um vetor conjuntamente
Gaussiano complexo, cuja matriz covariância vR dada por:
81
[ ] [ ] [ ])()(][)()(][)()(
2
1
2
l
H
ll
L
l
l
H
ll
H
v aaEHLEaaEHEvvER θθθθθθθθθθ ++=++== ∑=
.
(4.9)
Da mesma forma que no caso de uma única antena, se não existir a componente de
visada direta o valor médio de )(θv é nulo, tratando-se um canal de Rayleigh. No caso do
valor médio de )(θv ser diferente de zero, ou melhor, [ ] )()( θγθ avE = , o canal passa a ser de
Rice. É importante comentar que o modelo descrito acima deve obedecer também a condição
[ASZ02]:
[ ] 0)()( =θθ
T
vvE . (4.10)
4.2.2 Espalhamento Local e a ULA
Para a conformação uniforme e linear de um conjunto de antenas ULA, a expressão
(4.9) possui algumas simplificações, o que é mais uma vantagem desta estrutura. Também por
simplificação, fazendo 1][
2
=lHLE , a expressão para a matriz covariância de )(θv fica:
[ ])()( l
H
lv aaER θθθθ ++= . (4.11)
Mas como para a ULA [ ]
( )l
dN
kj
nl ea
θθ
λ
π
θθ
+





−
=+
sen
2
2
1
)( , substituindo vem:
[ ] )( knR nkv −=ρ , (4.12)
onde
( ) ( )






≡−
+− l
d
knj
eEkn
θθ
λ
π
ρ
sen2
)( , implicando na estacionaridade espacial no sentido amplo
para o vetor )(θv .
A seguir serão vistos três comportamentos estatísticos para lθ , que se traduzem em
três modelos clássicos para o espalhamento local. Serão obtidas, para cada modelo, as
expressões para a matriz covariância do vetor )(θv . Em todos os casos, se o número de
multipercursos for extremamente grande, usando o Teorema do Limite Central, )(θv é um
vetor Gaussiano. Neste caso, )(θv fica estatisticamente definido, a partir de sua matriz
covariância vR .
82
4.2.3 Distribuição Gaussiana
Em [ZET01], [OTT02], [TRU01] sugere-se a utilização da distribuição normal de
média nula e variância
2
θσ para as variáveis { }L
ll 1=
θ . É importante comentar que, neste caso,
não existe uma abertura angular BWθ bem definida. O que caracteriza a abertura é o desvio
padrão θσ é denominado de espalhamento angular. O espalhamento angular define a região
em torno de θ onde é maior probabilidade do vetor )(θv ocorrer, e representa um parâmetro
bastante crítico para sistemas que adotam a diversidade espacial ou o SDMA [OTT02].
Figura 4.9 - representação esquemática do modelo de espalhamento angular.
Retomando a expressão para (4.12) tem-se:
( ) ( ) ( ) ( )
∫
∞
∞−
−+−+−
=





=− l
d
knj
d
knj
deeeEkn
l
ll
θ
σπ
ρ θσ
θ
θθ
λ
π
θ
θθ
λ
π 2
2
2
sen2sen2
2
1
)( .
(4.13)
O integrando em (4.13) pode ser desenvolvido resultando funções da forma )sencos( θx e
)sensen( θx , estas funções, por sua vez, podem ser expandidas em séries de funções de
Bessel:
∑
∞
=
+=
1
20 )2cos()(J2)(J)sencos(
i
i ixxx θθ , e
(4.14)
∑
∞
=
− −=
1
12 )12sen()(J2)sensen(
i
i ixx θθ ,
(4.15)
onde ∞
=0|)(J kk x são funções de Bessel de primeira classe e ordem dada por k. Substituindo na
expressão para (4.13) pode-se provar que (ver Anexo I):
83
( )
( )( )
.)12sen()(2J2
)2cos()(2J2)(2J)(
1
2
12
12
1
2
2
20
2
2
∑
∑
∞
=
−
−
−
∞
=
−
−





−+






−+





−=−
i
i
i
i
i
i
iekn
d
j
iekn
d
kn
d
kn
θ
λ
π
θ
λ
π
λ
πρ
θ
θ
σ
σ (4.16)
A expressão acima pode ser simplificada se for considerado um espalhamento angular
pequeno (na prática a variação de θσ é de 2º a 6º [OTT02]). Fazendo esta consideração tem-
se:
θθθθθ cossen)sen( ll +≈+ . (4.17)
Substituindo na definição de )( kn −ρ tem-se:
( ) ( ) ( )
( )
2
2
2
2
cos2
sen2
2
sen2
2
1
)(






−
−−∞
∞−
−+−
==− ∫
θσ
λ
π
θ
λ
π
σ
θ
θθ
λ
π
θ
θ
θ
θ
σπ
ρ
d
kn
d
knj
l
d
knj
eedeekn
l
l
.
(4.18)
Assim a expressão para matriz covariância do vetor )(θv fica:
BaaR
H
v )()( θθ= , (4.19)
onde [ ]
2)sen(2
1)(
N
nd
j
n ea
−








=
θ
λ
π
θ , [ ]
( )
2
2
cos2 





−
−
=
θσ
λ
π θ
d
kn
nk eB e é o produto de Schur-Hadamard
(ver Anexo I). Investigando melhor a natureza da matriz B verifica-se que esta matriz é uma
matriz de Toeplitz, pois pela definição [ ] )( knfB nk −= . Ainda B é Hermitiana pois
[ ] [ ] *
knnk BB = . Estas considerações são importantes pois facilitam de sobre maneira a
construção das simulações para este ambiente de propagação.
O modelo de canal descrito acima é denominado em [OTT02] de Low Rank Channel
Model, Angular Spread Model, ou Gaussian Angle of Arrival One cluster GAAO [ZET00], e
foi validado utilizando dados coletados experimentalmente pela Ericsson Radio Systems
[FOR01]. Os dados coletados foram obtidos através de uma experiência de campo em áreas
urbanas sem linha de visada, ou melhor, sem a componente de visada direta. Na obtenção dos
dados, foi utilizada uma distância entre o transmissor e o conjunto de antenas de 1 Km, com
84
o conjunto a uma altura de 30m. Neste cenário, o espalhamento angular θσ variou entre 2º a
6º [OTT02].
4.2.4 Modelo Circular
Este modelo é mais simples que o anterior e bastante utilizado nas simulações
existentes em diversos textos como [ASZ02], [KLO01], [AND01]. Basicamente considera o
espalhamento local oriundo de uma circunferência em torno do terminal móvel, de tal sorte
que a projeção do ângulo esférico que contorna a circunferência no plano contendo as antenas
é BWθ , conforme figura 4.10. Melhor dizendo, os multipercursos, provenientes do
espalhamento local, têm origem na circunferência de raio r que:
R
rBW
=
2
tan
θ
,
(4.20)
onde R é a distância entre o terminal móvel e a estação rádio base. Considerando o móvel
suficientemente afastado R>>r, ou melhor, 0≈BWθ , tem-se:
R
rBWBW
=≈
2
tan
2
θθ
,
(4.21)






l
LT
BW πθ 2
sen
2
BW
R
r
Espalhamento
l
l
LT
π2
Figura 4.10 - Diagrama esquemático para representação do modelo circular
Da figura, também se extrai:






=





=≈ l
L
l
LR
r
T
BW
T
ll
πθπ
θθ
2
sen
2
2
sentan ,
(4.22)
85
onde lθ representa a direção do l ésimo multipercurso, que representa uma variável aleatória
discreta uniformemente distribuída em 1,,0 −= TLl . Substituindo a expressão (4.22) na
expressão (4.12) obtém-se:
( ) ( ) ( ) ( )
∑
−
=
+−+−
=





=−
1
0
sen2sen2 1
)(
T
ll
L
l
d
knj
T
d
knj
e
L
eEkn
θθ
λ
πθθ
λ
π
ρ .
(4.23)
A matriz covariância do )(θv para este caso fica:
BaaR
H
v )()( θθ= , (4.24)
onde [ ] ( )∑
−
= 















−=
1
0
2
sen
2
cos2exp
1 TL
l T
BW
T
nk l
L
d
knj
L
B
πθ
θ
λ
π .
4.2.5 Modelo de Distribuição Uniforme
Este modelo é semelhante ao anterior. A diferença é apenas na disposição do
espalhamento do sinal, que neste caso fica restrito a um ângulo de abertura BWθ . Este ângulo é
subdividido subdividindo-o em TL partes, definindo-se assim um número de TL
multipercursos, conforme a figura 4.11.
BW
Espalhamento
l
Figura 4.11- Diagrama para entendimento da distribuição uniforme
Assumindo TL ímpar, neste caso lθ é dado por:
l
LT
BW
l
1−
=
θ
θ ,
(4.25)
onde l é uma variável discreta e uniformemente distribuída entre
2
1−
− TL
e
2
1−TL
.
Retomando a expressão (4.12) tem-se:
86
( ) ( ) ( ) ( )
∑
−
−
−=
+−+−
=





=−
2
1
2
1
sen2sen2 1
)(
T
T
ll
L
L
l
d
knj
T
d
knj
e
L
eEkn
θθ
λ
πθθ
λ
π
ρ ,
(4.26)
Novamente considerando 0≈BWθ , a matriz covariância de )(θv fica:
BaaR
H
v )()( θθ= , (4.27)
onde [ ] ( )∑
−
−
−= 





−



−=
2
1
2
1 1
cos2exp
1
T
T
L
L
l T
BW
T
nk l
L
d
knj
L
B
θ
θ
λ
π .
87
5. Simulações
Neste capítulo são apresentados resultados de diversas simulações visando a uma
análise comparativa dos métodos de estimação de ângulo de chegada.
5.1 Modelo e Características Gerais da Simulação
Para obtenção dos resultados a seguir foi utilizado o software Matlab. Em todas as
simulações foi considerada a estrutura ULA, ou melhor, a disposição linear das antenas com
espaçamento entre elas constante igual a 0.5 comprimento de onda da portadora ( 5.0/ =λd ).
Este valor foi adotado como resultado do teorema da amostragem aplicado às amostras
espaciais, ver Anexo I - Espaçamento entre as Antenas. As simulações foram feitas supondo o
modo de recepção na estação rádio base e estão subdivididas em quatro grupos. O primeiro
considera apenas o ruído branco como elemento perturbador do ambiente de propagação. Os
demais consideram os ambientes de propagação com espalhamento local no terminal móvel
com Distribuição Gaussiana - seção 4.2.3; Circular - seção 4.2.4 e Uniforme - seção 4.2.5.
88
O roteiro básico de todas as simulações pode ser assim resumido: (i) caracterização
dos sinais incidentes através da sua matriz covariância SR e de seus ângulos de incidência;
(ii) geração das amostras do sinal e do ruído; (iii) estimação da matriz covariância espacial da
matriz de antenas xRˆ ; (iv) aplicação dos métodos de estimação da direção de chegada.
5.1.1 Obtenção da Matriz Covariância Espacial
Na seção (3.4) foi introduzido o estimador para matriz covariância espacial dado pela
expressão (3.22). Este estimador foi obtido a partir das amostras temporais dos sinais
percebidos pelo conjunto de antenas NXTji txX )]([= em que as colunas representam as
amostras espaciais da onda incidente, e as linhas as amostras temporais. Da expressão (2.16)
para M sinais incidentes num conjunto de antenas com ruído Gaussiano aditivo, é fácil chegar
à seguinte expressão para o vetor observado na saída da matriz no instante jt :
[ ] [ ] [ ] [ ]1
1
11
)()()()()( ij
M
m
jmimijjiij twtsatxtxX +=== ∑=
θ ,
(5.1)
Na forma matricial:
WSAX += )(θ , (5.2)
onde [ ])()()()( 21 MaaaA θθθθ = , [ ] )( jiij twW = e [ ] )( jmmj tsS = .
Resgatando a expressão (3.22) e aplicando o resultado acima, tem-se:
( )( )HH
x WSAWSA
T
XX
T
R ++=≡ )()(
11ˆ θθ .
(5.3)
Supondo que o vetor dado pelo ruído seja descorrelacionado com sinal e entre si tem-se:
( ) ( )



+



≈ HHH
x WW
T
ASS
T
AR
1
)(
1
)(ˆ θθ .
(5.4)
Conforme foi antecipado na seção (2.12), nota-se na expressão (5.4) que a informação
temporal é utilizada apenas para estimar a matriz covariância espacial dada pela expressão
(3.22). Assim, a influência da modulação será pequena, ou mesmo desprezível se considerar
que o sinal poderá sofrer desvanecimento. Este é o caso considerado aqui. As amostras
89
temporais de S aplicadas a expressão (5.2), utilizadas nas simulações, foram obtidas usando
a seguinte expressão:
0
2/1
SRS S= , (5.5)
onde 0S é uma matriz NxT cujos elementos variáveis Gaussianas complexas descorrelatadas
de média nula e variância 1. A matriz 




 Λ=
H
sSsS UUR 2
1
2/1
é a transformação linear de 0S
em S . Onde sU é a matriz cujas colunas são os autovetores de SR e SΛ é a matriz diagonal
e a sua diagonal principal é formada pelos autovalores de SR . Nota-se que a transformação
dada por (5.5) permite obter, a partir de 0S , uma matriz S cuja matriz covariância é igual à
matriz covariância especificada SR .
Para os modelos com espalhamento local, foi utilizada nas simulações expressão
semelhante a expressão (5.2), ou seja:
WSVX += )(θ , (5.6)
onde [ ])()()()( 21 MvvvV θθθθ = e { }M
mmv 1
)( =
θ dado pela expressão (4.8), que em
função do caso de espalhamento simulado, Distribuição Gaussiana, Modelo Circular ou
Uniforme. É importante comentar que para obtenção da matriz [ ])()( 1 TtxtxX = os
multipercursos não se alteraram durante o período de amostragem nos instantes { }T
kkt 1=
.
5.1.2 Considerações para Implementação dos Métodos de Estimação da
Direção de Chegada
Conforme sugerido em [SCH01] e mencionado na seção 3.3.2, o MUSIC
unidimensional é implementado pesquisando θK ângulos candidatos em intervalos de
θθ K/º180=∆ varrendo o intervalo de -90º até 90º. Como valor prático para θK adotou-se
1000, e o intervalo entre ângulos pesquisados, neste caso, é de 0.18º. Este valor foi adotado
como um compromisso entre a resolução15
θ∆ e a complexidade do algoritmo. Assim, fica
15
Resolução aqui é a menor distância entre dois ângulos avaliados.
90
claro que o número de ângulos pesquisados é um grande limitante deste método, fato, este,
consubstanciado nos gráficos apresentados nas seções seguintes.
Os métodos de estimação da direção de chegada que investigam simultaneamente
todos os ângulos como o MD-MUSIC (seção 3.5.2.1), ML (seção 3.5.2.2), WSF (seção
3.5.2.3) e o MODE (seção 3.5.2.4) utilizam a rotina interna do MATLAB fmins, que minimiza
funções de múltiplas variáveis, para obtenção dos ângulos que otimizam funções custo
apropriadas. Para isto, a rotina fmins precisa de valores iniciais para pesquisa, sendo esta
rotina bastante susceptível a mínimos locais, convergindo para pontos indesejados. Assim,
para iniciação da fmins, foi utilizado o MUSIC unidimensional que pesquisa ângulos com
diferença de 1º, ou seja, 180=θK .
5.2 Ambiente Somente com Ruído Branco
Neste item serão apresentadas as simulações onde foi considerado só o ruído branco
como agente perturbador. De acordo com a figura 3.8 serão consideradas seqüencialmente nas
simulações:
♦ Estimação do número de sinais presentes, percebidos pelo conjunto de antenas;
♦ Estimação da direção de chegada de cada um dos sinais obtidos na etapa acima;
♦ Estimação do Sinal, ou beamforming, para cada um dos sinais relacionados com as
direções de chegada obtidas na etapa anterior.
5.2.1 Estimação do número de sinais presentes
Os métodos considerados aqui, já discutidos anteriormente, são o MDL (seção 3.5.1.1)
e o AIC (seção 3.5.1.2). A probabilidade de erro no número de sinais é obtida em função dos
seguintes parâmetros: relação sinal-ruído, quantidade de amostras, número de elementos do
conjunto, número de amostras para estimação da matriz covariância, afastamento angular16
entre os sinais incidentes e índice de correlação entre os sinais. Foram tomados
sucessivamente ,71,2, sinais incidentes. Para um dado número de sinais foram feitas da
ordem de 3000 simulações e em cada uma delas os ângulos dos sinais foram escolhidos
16
Afastamento angular é a distância angular entre os ângulos de chegada de dois sinais incidentes.
91
aleatoriamente, observando-se a restrição de um afastamento angular mínimo entre os sinais.
A matriz covariância foi obtida supondo uma correlação de 0,1 entre os sinais.
Número de Amostras e Afastamento Angular Mínimo
Os gráficos das figuras 5.1 até 5.3 apresentam o comportamento da freqüência relativa
do erro de detecção do número de sinais presentes em função do número de amostras para
estimar a matriz covariância espacial e o afastamento angular mínimo. Neste caso foram
mantidos constantes a relação sinal ruído igual a 10dB, o número de elementos das antenas
igual a 8 elementos.
Número de Amostras
FreqüênciadoErro
4º
12º
20º
10
1
10
2
10
3
10
4
0
0.2
0.4
0.6
0.8
1
Número de Amostras
FreqüênciadoErro
4º
12º
20º
10
1
10
2
10
3
10
4
0
0.2
0.4
0.6
0.8
1
Número de Amostras
FreqüênciadoErro
10
1
10
2
10
3
10
4
0
0.2
0.4
0.6
0.8
1
MDL
AIC
Figura 5.1- Freqüência relativa do MDL em
função do Número de Amostras para
afastamento angular de 4º, 12º e 20 º
Figura 5.2- Freqüência relativa do AIC em
função do Número de Amostras para
afastamento angular de 4º, 12º e 20 º
Figura 5.3- Comparação entre o MDL e o
AIC em função do Número de Amostras
para afastamento angular de 12º.
Relação Sinal-Ruído e Afastamento Angular
As figuras 5.4 até 5.6 apresentam gráficos de simulações onde foi avaliada a
freqüência relativa do erro de estimação do número de sinais usando as técnicas MDL e AIC
em função da relação sinal-ruído e afastamento angular. Neste caso foram usadas oito antenas
numa ULA, o número de sinais incidentes variou de um até sete com correlação de 0.1 entre
eles.
92
-10 -5 0 5 10 15 20
0
0.1
0.2
0.3
0.4
0.5
FreqüênciadoErro
SNR
4º
12º
20º
FreqüênciadoErro
SNR
4º
12º
20º
-10 -5 0 5 10 15 20
0.1
0.15
0.2
0.25
0.3
0.35
0.4
0.45
FreqüênciadoErro
SNR
-10 -5 0 5 10 15 20
0.1
0.15
0.2
0.25
0.3
0.35
0.4
AIC
MDL
Figura 5.4 - Freqüência relativa do MDL
em função da Relação Sinal-Ruído para
afastamento angular mínimo de 4º, 12º e
20º.
Figura 5.5 - Freqüência relativa do AIC em
função da Relação Sinal-Ruído para
afastamento angular mínimo de 4º, 12º e
20º.
Figura 5.6- Comparação entre MDL e o
AIC em função da Relação Sinal-Ruído para
afastamento angular mínimo de 12º.
5.2.2 Estimação da Direção de Chegada
Os métodos utilizados nas simulações, para estimação dos ângulos de chegada, foram
o MD-MUSIC (seção 3.5.2.1), WSF (seção 3.5.2.3), ML (seção 3.5.2.2), MODE (seção
3.5.2.4), MUSIC unidimensional (seção 3.3.2) e o ROOT MUSIC (seção 3.5.2.4). Nas
simulações foi considerado o número de sinais presentes como dado, e a medida de
comparação entre o real e o estimado foi o erro médio quadrático (MSE) em graus expresso
em dB, ou seja:
[ ])(log10)( 10 GrausMSEdBMSE = (5.8)
As simulações foram realizadas combinando as seguintes variantes:
♦ a relação sinal ruído;
♦ o afastamento angular entre os sinais;
♦ o número de amostras;
♦ número de antenas;
♦ o índice de correlação entre os sinais.
Relação Sinal Ruído e o Número de Amostras
De início pretendeu-se avaliar o desempenho dos diversos métodos num cenário típico
escolhido arbitrariamente. Foram considerados 4 sinais incidentes, fracamente correlatados
com índice de correlação de 0.1, no conjunto de antenas com 8 elementos. A separação
angular destes sinais foi de -30º, -10º, 0º e 40º em relação a normal do plano das antenas
(figura 5.7).
93
1 2
5.0=
λ
d
5 6 7 8
-30º
-10º
0º
40º
Figura 5.7 - ULA com 8 elementos e 4 sinais incidentes
Nos gráficos das figuras 5.8 até 5.14 estão os resultados relativos aos diversos
métodos de estimação em função da relação sinal ruído variando de -10dB até 17dB, e do
número de amostras variando exponencialmente de 10 até 6250.
MD-MUSIC
)(dBMSE
-10
0
10
20
-30
-20
-10
0
10
20
Nº de Amostras
SNR
10
102
104
-25
-20
-15
-10
-5
0
5
10
15
)(dBMSE
Nº de Amostras
10 102 103 104
SNR
-10
-7
-4
-1
2
5
8
11
14
17
Figura 5.8a- MSE do MD MUSIC em função do número de amostras e
da relação sinal ruído.
Figura 5.8b - Projeção do gráfico ao lado no plano do número
de amostras.
WSF
)(dBMSE
Nº de Amostras
SNR
10
102
104 -10
0
10
20
-30
-20
-10
0
10
20
)(dBMSE
Nº de Amostras
10 102 103 104
SNR
-10
-7
-4
-1
2
5
8
11
14
17
-25
-20
-15
-10
-5
0
5
10
15
.
Figura 5.9 a - MSE do WSF em função do número de amostras e da
relação sinal ruído.
Figura 5.9b - Projeção do gráfico ao lado no plano do número
de amostras
94
ML
)(dBMSE
Nº de Amostras
SNR
10
102
104 -10
0
10
20
-30
-20
-10
0
10
20
)(dBMSE
Nº de Amostras
10 102 103 104
SNR
-10
-7
-4
-1
2
5
8
11
14
17
-25
-20
-15
-10
-5
0
5
10
15
Figura 5.10 a - MSE do ML em função do número de amostras e da
relação sinal ruído.
Figura 5.10 b - Projeção do gráfico ao lado no plano do
número de amostras.
MODE
)(dBMSE
Nº de Amostras
SNR
10
102
104 -10
0
10
20
-30
-20
-10
0
10
20
)(dBMSE
Nº de Amostras
10 102 103 104
SNR
-10
-7
-4
-1
2
5
8
11
14
17
-25
-20
-15
-10
-5
0
5
10
15
Figura 5.11 a- MSE do MODE em função do número de amostras e da
relação sinal ruído.
Figura 5.11 b - Projeção do gráfico ao lado no plano do
número de amostras.
MUSIC Unidimensional
)(dBMSE
Nº de Amostras
SNR
10
102
104 -10
0
10
20
-10
-5
0
5
10
15
)(dBMSE
Nº de Amostras
10 102
103
104
SNR
-10
-7
-4
-1
2
5
8
11
14
17
-10
-5
0
5
10
15
Figura 5.12 a - MSE do MUSIC UNIDIMENSIONAL em função do
número de amostras e da relação sinal ruído.
Figura 5.12 b- Projeção do gráfico ao lado no plano do número
de amostras.
95
ROOT MUSIC
)(dBMSE
Nº de Amostras
SNR
10
102
104 -10
0
10
20
-20
-10
0
10
20
)(dBMSE
Nº de Amostras
SNR
-10
-7
-4
-1
2
5
8
11
14
17
10
1
10
2
10
3
10
4
-20
-10
0
10
20
Figura 5.13 a - MSE do ROOT MUSIC em função do número de
amostras e da relação sinal ruído.
Figura 5.13 b - Projeção do gráfico ao lado no plano do
número de amostras.
SNR=2dB
MUSIC
WSF
ML
MUSIC UNI
ROOT MUSIC
MODE
10
1
10
2
10
3
10
4
-20
-10
0
10
20
Nº de Amostras
Figura 5.14 - Comparação entre os diversos métodos em função do número de amostras para relação sinal ruído de 2 dB.
Observa-se na figura 5.14 que os métodos têm um desempenho semelhante para um
pequeno número de amostras e para um grande número o MODE, o MD-MUSIC, o WSF e o
ML têm melhor desempenho. Com relação ao MUSIC unidimensional observa-se um patamar
( dB44,7]º18.0[ −=≈ dB ) determinado pelo número de ângulos utilizados θK na otimização
exaustiva.
Relação Sinal Ruído e o Número de Antenas
Os gráficos das figuras 5.15 até 5.21 permitem avaliar a influência do número de
antenas que foi variado de 5 até 20 para uma relação sinal ruído de -10dB até 17dB. Os
ângulos de chegada são os mesmos dos gráficos anteriores dado pela figura 5.7. O índice de
correlação entre os sinais foi de 0.1 e foram usadas 1000 amostras para estimar a matriz
covariância espacial.
96
MD-MUSIC
)(dBMSE
Nº de Antenas
SNR
-10
0
10
20
5
10
15
20
-30
-20
-10
0
10
20
)(dBMSE
SNR
-10 -5 0 5 10 15 20
-30
-20
-10
0
10
20
20
8
5
Figura 5.15 a - MSE do MD MUSIC em função do número de antenas
e da relação sinal ruído.
Figura 5.15 b - Projeção do gráfico ao lado no plano da relação sinal
ruído..
WSF
)(dBMSE
Nº de Antenas
SNR
-10
0
10
20
5
10
15
20
-30
-20
-10
0
10
20
)(dBMSE
SNR
20
8
5
-10 -5 0 5 10 15 20
-30
-20
-10
0
10
20
Figura 5.16 a - MSE do WSF em função do número de antenas e da
relação sinal ruído.
Figura 5.16 b - Projeção do gráfico ao lado no plano da relação sinal
ruído..
ML
)(dBMSE
Nº de Antenas
SNR
-10
0
10
20
5
10
15
20
-30
-20
-10
0
10
20
)(dBMSE
SNR
20
8
5
-10 -5 0 5 10 15 20
-30
-20
-10
0
10
20
Figura 5.17 a - MSE do ML em função do número de antenas e da
relação sinal ruído.
Figura 5.17 b - Projeção do gráfico ao lado no plano da relação sinal
ruído..
97
MODE
)(dBMSE
Nº de Antenas
SNR
-10
0
10
20
5
10
15
20
-30
-20
-10
0
10
20
)(dBMSE
SNR
20
8
5
-10 -5 0 5 10 15 20
-30
-20
-10
0
10
20
Figura 5.18 a - MSE do MODE em função do número de antenas e da
relação sinal ruído.
Figura 5.18 b - Projeção do gráfico ao lado no plano da relação sinal
ruído..
MUSIC Unidimensional
)(dBMSE
Nº de Antenas
SNR
-10
0
10
20
5
10
15
20
-10
-5
0
5
10
15
)(dBMSE
SNR
20
8
5
-10 -5 0 5 10 15 20
-10
-5
0
5
10
15
Figura 5.19 a - MSE do MUSIC UDIMENSIONAL em função do
número de antenas e da relação sinal ruído.
Figura 5.19 b - Projeção do gráfico ao lado no plano da relação sinal
ruído..
ROOT MUSIC
)(dBMSE
Nº de Antenas
SNR
-10
0
10
20
5
10
15
20
-40
-20
0
20
)(dBMSE
SNR
20
8
5
-10 -5 0 5 10 15 20
-30
-20
-10
0
10
20
Figura 5.20 a - MSE do ROOT MUSIC em função do número de
antenas e da relação sinal ruído.
Figura 5.20 b - Projeção do gráfico ao lado no plano da relação sinal
ruído..
98
)(dBMSE
Nº de Antenas
5 10 15 20
-25
-20
-15
-10
-5
0
5
10
15
MUSIC
WSF
ML
MUSIC UNI
ROOT MUSIC
MODE
SNR=11dB
Figura 5.21 - Comparação entre os métodos de estimação da direção de chegada.
Nota-se de novo o melhor desempenho dos métodos MODE, o MD-MUSIC, WSF e o
ML, que melhora progressivamente com o número de antenas.
Afastamento Angular e o Número de Antenas
A figura 5.22 apresenta de maneira esquemática o ambiente para as simulações
descritas nesta seção. Nos gráficos a seguir procurou-se simular o efeito da variação da raiz
quadrada do erro médio quadrático em função da variação do número de antenas e do
afastamento angular.
5.0=
λ
d
2
θ
2
θ
Figura 5.22 - Esquema do ambiente para as simulações onde o afastamento angularθ e o número de antenas variam.
Para tanto, o afastamento angular θ variou de 4º até 36º, o número de antenas de
variou de 5 até 20, a relação sinal ruído foi de 0dB, o índice de correlação entre os sinais foi
de 0.1, e o 1000 amostras para estimar a matriz covariância espacial.
99
MD-MUSIC
)(dBMSE
Nº de Antenas
θ
0
20
40
0
10
20
-20
-10
0
10
20
)(dBMSE
θ
20
8
5
0 10 20 30 40
-20
-15
-10
-5
0
5
10
15
20
Figura 5.23 a- MSE do MD MUSIC em função do número de antenas e
do afastamento angular θ .
Figura 5.23 b- Projeção do gráfico ao lado no plano da relação sinal
ruído..
WSF
)(dBMSE
Nº de Antenas
θ
0
20
40
0
10
20
-20
-10
0
10
20
)(dBMSE
θ
20
8
5
0 10 20 30 40
-20
-15
-10
-5
0
5
10
15
20
Figura 5.24 a- MSE do WSF em função do número de antenas e do
afastamento angular θ .
Figura 5.24 b - Projeção do gráfico ao lado no plano da relação sinal
ruído..
ML
)(dBMSE
Nº de Antenas
θ
0
20
40
0
10
20
-20
-10
0
10
20
)(dBMSE
θ
20
8
5
0 10 20 30 40
-20
-15
-10
-5
0
5
10
15
20
Figura 5.25 a - MSE do ML em função do número de antenas e do
afastamento angular θ .
Figura 5.25 b - Projeção do gráfico ao lado no plano da relação sinal
ruído..
100
MODE
)(dBMSE
Nº de Antenas
θ
0
20
40
0
10
20
-20
-10
0
10
20
)(dBMSE
θ
20
8
5
0 10 20 30 40
-20
-15
-10
-5
0
5
10
15
20
Figura 5.26 a - MSE do MODE em função do número de antenas e do
afastamento angular θ .
Figura 5.26 b - Projeção do gráfico ao lado no plano da relação sinal
ruído..
MUSIC Unidimensional
)(dBMSE
Nº de Antenas
θ
0
20
40
0
10
20
-10
0
10
20
)(dBMSE
θ
20
8
5
0 10 20 30 40
-10
-5
0
5
10
15
20
Figura 5.27 a - MSE do MUSIC UDIMENSIONAL em função do
número de antenas e do afastamento angular θ .
Figura 5.27 b - Projeção do gráfico ao lado no plano da relação sinal
ruído..
ROOT-MUSIC
)(dBMSE
Nº de Antenas
θ
0
20
40
0
10
20
-20
-10
0
10
20
)(dBMSE
θ
20
8
5
0 10 20 30 40
-20
-15
-10
-5
0
5
10
15
Figura 5.28 a - MSE do ROOT MUSIC em função do número de
antenas e do afastamento angular θ .
Figura 5.28 b - Projeção do gráfico ao lado no plano da relação sinal
ruído..
101
8 antenas
MUSIC
WSF
ML
MUSIC UNI
ROOT MUSIC
MODE
)(dBMSE
θ
0 10 20 30 40
-10
-5
0
5
10
15
20
Figura 5.29 - Gráfico comparativo dos diversos métodos em função do afastamento considerando 8 antenas.
Observa-se que ROOT MUSIC, método mais eficiente aqui, pode estimar direções de
chegada de dois sinais com um erro médio quadrático menor que 0dB se os sinais tiverem
separação maior do que 5º, enquanto para os outros este valor é de 10º. Outro fato, é que
todos os métodos possuem comportamento assintótico semelhante em relação ao afastamento
angular a exceção do MUSIC unidimensional. O MUSIC unidimensional, conforme já
comentado, tem resolução limitada pelo número de ângulos pesquisados ( 1000=θK ).
Afastamento Angular e o Índice de Correlação entre os Sinais
Nos gráficos a seguir foi considerada a mesma situação mostrada na figura 5.22, neste
caso com o número fixo de antenas, ou seja, 8 antenas. A relação sinal ruído constante foi de
0dB e o número de amostras para estimar a matriz covariância espacial foi de 1000. O
afastamento angular θ entre os sinais variou de 4º até 36º, e o índice de correlação entre os
sinais ρ variou de 0 a 1, conforme a matriz covariância dos sinais SR :






=
1
1
ρ
ρ
SR .
(5.9)
102
MD-MUSIC
)(dBMSE
Índice de Correlação
θ
0
20
40
0
0.5
1
-20
-10
0
10
20
)(dBMSE
θ
0.1
0.7
1.0
0 10 20 30 40
-15
-10
-5
0
5
10
15
Figura 5.30 a - MSE do MD MUSIC em função do Índice de
Correlação e do afastamento angular θ .
Figura 5.30 b- Projeção do gráfico ao lado no plano do Índice de
Correlação.
WSF
)(dBMSE
Índice de Correlação
θ
0
20
40
0
0.5
1
-20
-10
0
10
20
)(dBMSE
θ
0.1
0.7
1.0
0 10 20 30 40
-15
-10
-5
0
5
10
15
20
Figura 5.31 a - MSE do WSF em função do Índice de Correlação e do
afastamento angular θ .
Figura 5.31 b - Projeção do gráfico ao lado no plano do Índice de
Correlação.
ML
)(dBMSE
Índice de Correlação
θ
0
20
40
0
0.5
1
-20
-10
0
10
20
)(dBMSE
θ
0.1
0.7
1.0
0 10 20 30 40
-15
-10
-5
0
5
10
15
20
Figura 5.32 a - MSE do ML em função do Índice de Correlação e do
afastamento angular θ .
Figura 5.32 b - Projeção do gráfico ao lado no plano do Índice de
Correlação.
103
MODE
)(dBMSE
Índice de Correlação
θ
0
20
40
0
0.5
1
-20
-10
0
10
20
)(dBMSE
θ
0.1
0.7
1.0
0 10 20 30 40
-15
-10
-5
0
5
10
15
Figura 5.33 a - MSE do MODE em função do Índice de Correlação e
do afastamento angular θ .
Figura 5.33 b - Projeção do gráfico ao lado no plano do Índice de
Correlação.
MUSIC-Unidimensional
)(dBMSE
Índice de Correlação
θ
0
20
40
0
0.5
1
-10
-5
0
5
10
15
)(dBMSE
θ
0.1
0.7
1.0
0 10 20 30 40
-10
-5
0
5
10
15
Figura 5.34 a - MSE do MUSIC UNIDIMENSIONAL em função do
Índice de Correlação e do afastamento angular θ .
Figura 5.34 b - Projeção do gráfico ao lado no plano do Índice de
Correlação.
ROOT-MUSIC
)(dBMSE
Índice de Correlação
θ
0
20
40
0
0.5
1
-20
-10
0
10
20
)(dBMSE
θ
0.1
0.7
1.0
0 10 20 30 40
-15
-10
-5
0
5
10
15
Figura 5.35 a - MSE do ROOT MUSIC em função do Índice de
Correlação e do afastamento angular θ .
Figura 5.35 b - Projeção do gráfico ao lado no plano do Índice de
Correlação.
104
)(dBMSE
θ
0 10 20 30 40
-15
-10
-5
0
5
10
15
20
Índice de
Correlação = 1.0
MUSIC
WSF
ML
MUSIC UNI
ROOT MUSIC
MODE
Figura 5.36 - Comparação entre os métodos para Índice de Correlação de 1.0.
Os resultados mostram que o índice de correlação afeta diferentemente os diversos
métodos, sendo mais sensíveis o MD-MUSIC e ROOT-MUSIC. Também, através da figura
5.36, observa-se que a correlação não tem grande impacto na capacidade de separação de 2
sinais próximos.
5.2.3 Estimação do Sinal - Formação de Feixe
Esta seção contém os resultados das simulações dos métodos de estimação do sinal,
mais precisamente os métodos de formação de feixe que dependem da informação do ângulo
de chegada. Para cada simulação, foram utilizados dois métodos de estimação de direção de
chegada o WSF e o ROOT MUSIC. Também foi feita outra simulação em que a direção foi
dada, e a que deu-se o nome de ideal. As três formas de obtenção do ângulo de chegada foram
combinadas com os métodos para formação de feixe apresentados anteriormente, cujas
formulações encontram-se a seguir:
♦ Beamforming Convencional - Algoritmo sem nenhuma regra de otimização, ou
seja, os pesos são uma mera compensação das fases dos sinais, e segue a seguinte
formulação: [ ]D
ppP ˆˆ1
= , com
)()(
)(
ˆ
mm
H
m
m
aa
a
p
θθ
θ
= , para Dm ,,1= , dado
pela expressão (2.52);
♦ Método da Mínima Variância - [ ]D
ppP ˆˆ1
= , com
)()(
)(
ˆ 1
1
mxm
H
mx
m
aRa
aR
p
θθ
θ
−
−
= ,
para Dm ,,1= , expressão (3.8);
♦ LLMV Least Linear Minimum Variance - ( ) ( ) ( )
1
11 ˆˆˆˆˆ
−
−−




= θθθ ARAARP x
H
x
,
expressão (3.64);
105
♦ Máxima Verossimilhança com sinal conhecido -
[ ] ( )1
1
)ˆ()ˆ()ˆ(ˆˆ
−
== θθθ AAAppP H
D
, expressão (3.67);
♦ Máxima Verossimilhança com sinal desconhecido ( ){ }xAw RPI
DN
ˆtraço
1
ˆ )(
2
θσ −
−
= ,
( )( )H
wxs AIRAR †2†
)(ˆˆ)(ˆ θσθ −= , ( ) sw
H
s RAIARAP ˆ)ˆ(ˆ)ˆ(ˆ)ˆ(
12
θσθθ
−
+= , expressões
(3.69), (3.70) e (3.71) respectivamente.
Os parâmetros variados nas simulações foram os mesmos das simulações para direção
de chegada, porém, como medida comparativa da eficiência na obtenção do sinal foi utilizado
o índice de correlação entre o sinal original e o estimado.
Número de Amostras e Relação Sinal Ruído
Para obtenção dos resultados apresentados a seguir foram utilizadas 8 antenas e dois
sinais incidentes nos ângulos -8º e 8º com índice de correlação entre eles de 0.1. Os gráficos
das figuras 5.37 a 5.41 relacionam o índice de correlação entre o sinal desejado e o estimado
com a relação sinal ruído e o número de amostras temporais para estimar a matriz covariância
espacial.
Beamforming Convencional
10
250
6250
ÍndicedeCorrelação
(módulo)
SNR
-10 -5 0 5 10 15 20
0.3
0.4
0.5
0.6
0.7
0.8
0.9
1
10
250
6250
ÍndicedeCorrelação
(módulo)
SNR
-10 -5 0 5 10 15 20
0.3
0.4
0.5
0.6
0.7
0.8
0.9
1
-10 -5 0 5 10 15 20
0.65
0.7
0.75
0.8
0.85
0.9
0.95
1
ÍndicedeCorrelação
(módulo)
SNR
WSF
ROOT
IDEAL
Figura 5.37 a - Índice de Correlação entre o
sinal real e o sinal estimado com o
Beamforming Convencional em função da
relação sinal ruído para 10, 250 e 6250
amostras para estimar a matriz covariância
espacial. O método de estimação da direção
foi o WSF.
Figura 5.37 b - Índice de Correlação entre o
sinal real e o sinal estimado com o
Beamforming Convencional em função da
relação sinal ruído para 10, 250 e 6250
amostras para estimar a matriz covariância
espacial. O método de estimação da direção
foi o ROOT MUSIC.
Figura 5.37 c - Comparação entre os
métodos de estimação da direção de
chegada e o ideal em combinação com o
Beamforming Convencional em função da
relação sinal ruído para 250 amostras.
106
Mínima Variância
ÍndicedeCorrelação
(módulo)
SNR
10
250
6250
-10 -5 0 5 10 15 20
0
0.2
0.4
0.6
0.8
1
10
250
6250
ÍndicedeCorrelação
(módulo)
SNR
-10 -5 0 5 10 15 20
0
0.2
0.4
0.6
0.8
1
20
ÍndicedeCorrelação
(módulo)
SNR
WSF
ROOT
IDEAL
-10 -5 0 5 10 15
0.6
0.65
0.7
0.75
0.8
0.85
0.9
0.95
1
Figura 5.38 a - Índice de Correlação entre o
sinal real e o sinal estimado com o método
de Mínima Variância em função da relação
sinal ruído para 10, 250 e 6250 amostras
para estimar a matriz covariância espacial.
O método de estimação da direção foi o
WSF.
Figura 5.38 b - Índice de Correlação entre o
sinal real e o sinal estimado com o método
de Mínima Variância em função da relação
sinal ruído para 10, 250 e 6250 amostras
para estimar a matriz covariância espacial.
O método de estimação da direção foi o
ROOT MUSIC.
Figura 5.38 c - Comparação entre os
métodos de estimação da direção de
chegada e o ideal em combinação com o
método de Mínima Variância em função da
relação sinal ruído para 250 amostras.
Least Linear Minimum Variance
10
250
6250
ÍndicedeCorrelação
(módulo)
SNR
-10 -5 0 5 10 15 20
0.3
0.4
0.5
0.6
0.7
0.8
0.9
1
10
250
6250
ÍndicedeCorrelação
(módulo)
SNR
-10 -5 0 5 10 15 20
0.3
0.4
0.5
0.6
0.7
0.8
0.9
1
ÍndicedeCorrelação
(módulo) SNR
WSF
ROOT
IDEAL
-10 -5 0 5 10 15
0.65
0.7
0.75
0.8
0.85
0.9
0.95
1
Figura 5.39 a - Índice de Correlação entre o
sinal real e o sinal estimado com o método
Least Linear Minimum Variance em função
da relação sinal ruído para 10, 250 e 6250
amostras para estimar a matriz covariância
espacial. O método de estimação da direção
foi o WSF.
Figura 5.39 b - Índice de Correlação entre o
sinal real e o sinal estimado com o método
Least Linear Minimum Variance em função
da relação sinal ruído para 10, 250 e 6250
amostras para estimar a matriz covariância
espacial. O método de estimação da direção
foi o ROOT MUSIC.
Figura 5.39 c - Comparação entre os
métodos de estimação da direção de
chegada e o ideal em combinação com o
método de Least Linear Minimum Variance
em função da relação sinal ruído para 250
amostras.
Máxima Verossimilhança com sinal conhecido
10
250
6250
ÍndicedeCorrelação
(módulo)
SNR
-10 -5 0 5 10 15 20
0.3
0.4
0.5
0.6
0.7
0.8
0.9
1
10
250
6250
ÍndicedeCorrelação
(módulo)
SNR
-10 -5 0 5 10 15 20
0.3
0.4
0.5
0.6
0.7
0.8
0.9
1
ÍndicedeCorrelação
(módulo)
SNR
WSF
ROOT
IDEAL
-10 -5 0 5 10 15 20
0.65
0.7
0.75
0.8
0.85
0.9
0.95
1
Figura 5.40 a - Índice de Correlação entre o
sinal real e o sinal estimado com o método
de Máxima Verossimilhança com sinal
conhecido em função da relação sinal ruído
para 10, 250 e 6250 amostras para estimar
a matriz covariância espacial. O método de
estimação da direção foi o WSF.
Figura 5.40 b - Índice de Correlação entre o
sinal real e o sinal estimado com o método
de Máxima Verossimilhança com sinal
conhecido em função da relação sinal ruído
para 10, 250 e 6250 amostras para estimar
a matriz covariância espacial. O método de
estimação da direção foi o ROOT MUSIC.
Figura 5.40 c - Comparação entre os
métodos de estimação da direção de
chegada e o ideal em combinação com o
método de Máxima Verossimilhança com
sinal conhecido em função da relação sinal
ruído para 250 amostras.
107
Máxima Verossimilhança com sinal desconhecido
10
250
6250
ÍndicedeCorrelação
(módulo)
SNR
-10 -5 0 5 10 15 20
0.3
0.4
0.5
0.6
0.7
0.8
0.9
1
20
10
250
6250
ÍndicedeCorrelação
(módulo)
SNR
-10 -5 0 5 10 15
0.3
0.4
0.5
0.6
0.7
0.8
0.9
1
ÍndicedeCorrelação
(módulo)
SNR
WSF
ROOT
IDEAL
-10 -5 0 5 10 15 20
0.65
0.7
0.75
0.8
0.85
0.9
0.95
1
Figura 5.41 a - Índice de Correlação entre o
sinal real e o sinal estimado com o método
de Máxima Verossimilhança com sinal
desconhecido em função da relação sinal
ruído para 10, 250 e 6250 amostras para
estimar a matriz covariância espacial. O
método de estimação da direção foi o WSF.
Figura 5.41 b - Índice de Correlação entre o
sinal real e o sinal estimado com o método
de Máxima Verossimilhança com sinal
desconhecido em função da relação sinal
ruído para 10, 250 e 6250 amostras para
estimar a matriz covariância espacial. O
método de estimação da direção foi o ROOT
MUSIC.
Figura 5.41 c - Comparação entre os
métodos de estimação da direção de
chegada e o ideal em combinação com o
método de Máxima Verossimilhança com
sinal desconhecido em função da relação
sinal ruído para 250 amostras.
ÍndicedeCorrelação
(módulo)
SNR
-10 -5 0 5 10 15 20
0.6
0.65
0.7
0.75
0.8
0.85
0.9
0.95
1
* BC
+ MV
. LL
o MLD
-- MLE
-10 -5 0 5 10 15 20
0.6
0.65
0.7
0.75
0.8
0.85
0.9
0.95
1
ÍndicedeCorrelação
(módulo)
SNR
* BC
+ MV
. LL
o MLD
-- MLE
Figura 5.42 a - Comparação entre os métodos de beamforming em
função da relação sinal ruído com 250 amostras para estimação da
matriz covariância espacial. O método de estimação da direção foi o
WSF.
Figura 5.42 b - Comparação entre os métodos de beamforming em
função da relação sinal ruído com 250 amostras para estimação da
matriz covariância espacial. O método de estimação da direção foi o
ROOT MUSIC.
Nos gráficos das figuras 5.42-a e 5.42-b são apresentadas a comparação entre os
diversos métodos de formação de feixe associados ao WSF e ao ROOT MUSIC
respectivamente. Observa-se que o método de mínima variância apresenta um resultado
ligeiramente pior que os outros métodos, cujos resultados são coincidentes.
Número de Antenas e Afastamento Angular
Nos próximos gráficos apresentam simulações onde se verifica o índice de correlação
entre o sinal estimado e o sinal real para os diversos métodos de beamforming. Estes gráficos
foram obtidos variando o número de antenas e o afastamento angular entre dois sinais com
índice de correlação entre eles de 0.1.
108
Beamforming Convencional
8
14
20
0 10 20 30 40
0.6
0.65
0.7
0.75
0.8
0.85
0.9
0.95
1ÍndicedeCorrelação
(módulo)
ÍndicedeCorrelação
(módulo)
0 10 20 30 40
0.7
0.75
0.8
0.85
0.9
0.95
1
ÍndicedeCorrelação
(módulo)
0 10 20 30 40
0.6
0.65
0.7
0.75
0.8
0.85
0.9
0.95
WSF
ROOT
IDEAL
Figura 5.42 a - Índice de Correlação entre o
sinal real e o sinal estimado com o
Beamforming Convencional em função do
afastamento angular para 8, 14 e 20
antenas. O método de estimação da direção
foi o WSF.
Figura 5.42 b - Índice de Correlação entre o
sinal real e o sinal estimado com o
Beamforming Convencional em função do
afastamento angular para 8, 14 e 20
antenas. O método de estimação da direção
foi o ROOT-MUSIC.
Figura 5.42 c -- Comparação entre os
métodos de estimação da direção de
chegada e o ideal em combinação com o
Beamforming Convencional em função
afastamento angular para 8 antenas.
Mínima Variância
ÍndicedeCorrelação
(módulo)
8
14
20
0 10 20 30 40
0.82
0.84
0.86
0.88
0.9
0.92
0.94
0.96
ÍndicedeCorrelação
(módulo)
8
14
20
0 10 20 30 40
0.82
0.84
0.86
0.88
0.9
0.92
0.94
0.96
ÍndicedeCorrelação
(módulo)
0 10 20 30 40
0.65
0.7
0.75
0.8
0.85
0.9
0.95
WSF
ROOT
IDEAL
Figura 5.43 a - Índice de Correlação entre o
sinal real e o sinal estimado com o método
da Mínima Variância em função do
afastamento angular para 8, 14 e 20
antenas. O método de estimação da direção
foi o WSF.
Figura 5.43 b - Índice de Correlação entre
o sinal real e o sinal estimado com o
método da Mínima Variância em função do
afastamento angular para 8, 14 e 20
antenas. O método de estimação da direção
foi o ROOT-MUSIC.
Figura 5.43 c - Comparação entre os
métodos de estimação da direção de
chegada e o ideal em combinação com o
método da Mínima Variância em função
afastamento angular para 8 antenas.
Least Linear Minimum Variance
ÍndicedeCorrelação
(módulo)
8
14
20
0 10 20 30 40
0.6
0.65
0.7
0.75
0.8
0.85
0.9
0.95
1
ÍndicedeCorrelação
(módulo)
8
14
20
0 10 20 30 40
0.7
0.75
0.8
0.85
0.9
0.95
1
ÍndicedeCorrelação
(módulo)
0 10 20 30 40
0.6
0.65
0.7
0.75
0.8
0.85
0.9
0.95
WSF
ROOT
IDEAL
Figura 5.44 a - Índice de Correlação entre o
sinal real e o sinal estimado com Least
Linear Minimum Variance em função do
afastamento angular para 8, 14 e 20
antenas. O método de estimação da direção
foi o WSF.
Figura 5.44 b - Índice de Correlação entre o
sinal real e o sinal estimado com Least
Linear Minimum Variance em função do
afastamento angular para 8, 14 e 20
antenas. O método de estimação da direção
foi o ROOT-MUSIC.
Figura 5.44 c - Comparação entre os
métodos de estimação da direção de
chegada e o ideal em combinação com Least
Linear Minimum Variance em função
afastamento angular para 8 antenas.
109
Máxima Verossimilhança com sinal conhecido
ÍndicedeCorrelação
(módulo)
8
14
20
0 10 20 30 40
0.6
0.65
0.7
0.75
0.8
0.85
0.9
0.95
1
ÍndicedeCorrelação
(módulo)
8
14
20
0 10 20 30 40
0.7
0.75
0.8
0.85
0.9
0.95
1
ÍndicedeCorrelação
(módulo)
0 10 20 30 40
0.6
0.65
0.7
0.75
0.8
0.85
0.9
0.95
WSF
ROOT
IDEAL
Figura 5.45 a - Índice de Correlação entre o
sinal real e o sinal estimado com o método
Máxima Verossimilhança com sinal
conhecido em função do afastamento
angular para 8, 14 e 20 antenas. O método
de estimação da direção foi o WSF.
Figura 5.45 b - Índice de Correlação entre
o sinal real e o sinal estimado com o método
Máxima Verossimilhança com sinal
conhecido em função do afastamento
angular para 8, 14 e 20 antenas. O método
de estimação da direção foi o ROOT-
MUSIC.
Figura 5.45 c - Comparação entre os
métodos de estimação da direção de
chegada e o ideal em combinação com o
método Máxima Verossimilhança com sinal
conhecido em função afastamento angular
para 8 antenas.
Máxima Verossimilhança com sinal desconhecido
ÍndicedeCorrelação
(módulo)
8
14
20
0 10 20 30 40
0.6
0.65
0.7
0.75
0.8
0.85
0.9
0.95
1
ÍndicedeCorrelação
(módulo)
8
14
20
0 10 20 30 40
0.7
0.75
0.8
0.85
0.9
0.95
1
ÍndicedeCorrelação
(módulo)
0 10 20 30 40
0.6
0.65
0.7
0.75
0.8
0.85
0.9
0.95
WSF
ROOT
IDEAL
Figura 5.46 a - Índice de Correlação entre o
sinal real e o sinal estimado com o método
Máxima Verossimilhança com sinal
desconhecido em função do afastamento
angular para 8, 14 e 20 antenas. O método
de estimação da direção foi o WSF.
Figura 5.46 b - Índice de Correlação entre o
sinal real e o sinal estimado com o método
Máxima Verossimilhança com sinal
desconhecido em função do afastamento
angular para 8, 14 e 20 antenas. O método
de estimação da direção foi o ROOT-
MUSIC.
Figura 5.46 c - Comparação entre os
métodos de estimação da direção de
chegada e o ideal em combinação com o
método Máxima Verossimilhança com sinal
desconhecido em função afastamento
angular para 8 antenas.
ÍndicedeCorrelação
(módulo)
0 10 20 30 40
0.6
0.65
0.7
0.75
0.8
0.85
0.9
0.95
* BC
+ MV
. LL
o MLD
-- MLE
ÍndicedeCorrelação
(módulo)
* BC
+ MV
. LL
o MLD
-- MLE
0 10 20 30 40
0.7
0.75
0.8
0.85
0.9
0.95
Figura 5.47 a - Comparação entre os métodos de beamforming em
função do afastamento angular considerando matriz com 8 antenas.
O método de estimação da direção foi o WSF.
Figura 5.47 b - Comparação entre os métodos de beamforming em
função do afastamento angular considerando matriz com 8 antenas.
O método de estimação da direção foi o ROOT MUSIC.
110
Os gráficos das figuras 5.47-a e 5.47-b apresentam uma comparação entre os métodos
de formação de feixe associados aos estimadores WSF e ROOT-MUSIC respectivamente.
Nota-se que os métodos apresentam resultados semelhantes para o afastamento angular acima
de 10º, sendo que o método de mínima variância apresenta uma ligeira melhora em relação
aos demais, cujos resultados coincidem.
Para os demais ambientes de propagação a seguir, mais especificamente, aqueles que
descrevem o comportamento do espalhamento local, não serão avaliados os métodos de
estimação do número de sinais presentes nem de formação de feixe. Serão comparados
através de simulações apenas os métodos de estimação de direção de chegada.
5.3 Espalhamento Local com Distribuição Gaussiana
As simulações realizadas aqui objetivam avaliar os algoritmos de estimação de direção
de chegada com o modelo descrito na seção 4.2.3: espalhamento local com distribuição
Gaussiana. Foram considerados dois sinais incidentes com mesma potência e de maneira
simétrica em relação a normal à linha das antenas, representado na figura 5.48.
1 2
5.0=
λ
d
5 6 7 8
/2/2
Figura 5.48 - Diagrama explicativo dos testes com o ambiente Angular Spread.
5.3.1 Estimação da Direção de Chegada Sem a Componente de Visada
Direta
As figuras 5.49 até 5.55 apresentam os resultados da avaliação dos algoritmos de
estimação considerando matriz com com 8 elementos; relação sinal ruído de 0 dB e o número
de amostras temporais para estimar a matriz covariância foi de 1000. Os parâmetros variados
foram: o desvio padrão θσ (variando de 0º a 6º); e o ângulo θ que variou de 4º até 30º.
111
Nestes gráficos, não foi considerada a componente de visada direta, e assim o steering vector
para este ambiente é um vetor Gaussiano de média nula e matriz covariância dada por (4.19).
MD-MUSIC
θσ
θ
)(dBMSE
0
10
20
30
0
2
4
6
-20
-10
0
10
20
)(dBMSE
θ
6.0
3.0
0.5
0.0
θσ
0 5 10 15 20 25
-15
-10
-5
0
5
10
15
Figura 5.49 a - MSE do MD-MUSIC em função do angular spread e
do afastamento entre os sinais.
Figura 5.49 b - Projeção do gráfico ao lado, MD-MUSIC, no plano do
afastamento.
WSF
θσ
θ
)(dBMSE
0
10
20
30
0
2
4
6
-20
-10
0
10
20 )(dBMSE
θ
6.0
3.0
0.5
0.0
θσ
0 5 10 15 20 25
-15
-10
-5
0
5
10
15
Figura 5.50 a - MSE do WSF em função do angular spread e do
afastamento entre os sinais.
Figura 5.50 b -Projeção do gráfico ao lado, WSF, no plano do
afastamento.
ML
θσ
θ
)(dBMSE
0
10
20
30
0
2
4
6
-20
-10
0
10
20
)(dBMSE
θ
6.0
3.0
0.5
0.0
θσ
0 5 10 15 20 25
-15
-10
-5
0
5
10
15
Figura 5.51 a - MSE do ML em função do angular spread e do
afastamento entre os sinais.
Figura 5.51 b - Projeção do gráfico ao lado, ML, no plano do
afastamento
112
MODE
θσ
θ
)(dBMSE
0
10
20
30
0
2
4
6
-20
-10
0
10
20
)(dBMSE
θ
6.0
3.0
0.5
0.0
θσ
0 5 10 15 20 25
-15
-10
-5
0
5
10
15
Figura 5.52 a - MSE do MODE em função do angular spread e do
afastamento entre os sinais.
Figura 5.52 b - Projeção do gráfico ao lado, MODE, no plano do
afastamento.
MUSIC Unidimensional
θσ
θ
)(dBMSE
0
10
20
30
0
2
4
6
-10
0
10
20
)(dBMSE
θ
6.0
3.0
0.5
0.0
θσ
0 5 10 15 20 25
-10
-5
0
5
10
15
Figura 5.53 a - MSE do MUSIC UNIDIMENSIONAL em função do
angular spread e do afastamento entre os sinais.
Figura 5.53 b - Projeção do gráfico ao lado, MUSIC
UNIDIMENSIONAL, no plano afastamento.
ROOT MUSIC
θσ
θ
)(dBMSE
0
10
20
30
0
2
4
6
-20
-10
0
10
20
)(dBMSE
θ
6.0
3.0
0.5
0.0
θσ
0 5 10 15 20 25
-15
-10
-5
0
5
10
15
Figura 5.54 a - MSE do ROOT MUSIC em função do angular spread e
do afastamento entre os sinais.
Figura 5.54 b - Projeção do gráfico ao lado, ROOT MUSIC, no plano
do afastamento.
113
θσ
)(dBMSE
MUSIC
WSF
ML
MUSIC UNI
ROOT MUSIC
MODE
θ=12º
0 1 2 3 4 5 6
-15
-10
-5
0
5
10
15
Figura 5.55 - Comparação entre os mecanismos de estimação da direção considerando o afastamento entre os sinais de 12º.
Observa-se em todos os gráficos que, a partir da separação angular de 10º, o que
determina o erro médio quadrático é basicamente o espalhamento angular θσ , confirmado no
gráfico da figura 5.55.
5.3.2 Estimação da Direção de Chegada Com a Componente de Visada
Direta com Energia Variável
Este conjunto de simulações objetiva avaliar os métodos de estimação apresentados
em função da energia da componente de visada direta, que se relaciona com o steering vector
)(1 θv da seguinte forma:
)()1()()(1 θγθγθ vav −+= (5.11)
onde ),0()( vRNv =θ e )(θa é a resposta da ULA para a direção θ .
São considerados os mesmos sinais da figura 5.48, um espalhamento angular de 4º,
uma ULA de 8 elementos e o índice de correlação entre os sinais de 0.1.
114
MD-MUSIC
γ θ
)(dBMSE
0
10
20
30
0
0.5
1
-10
-5
0
5
10
15
γ
)(dBMSE
20º
12º
0 0.2 0.4 0.6 0.8 1
-10
-5
0
5
10
15
Figura 5.56 a - MSE do MD-MUSIC em função de γ e do afastamento
entre os sinais.
Figura 5.56 b - Projeção do gráfico ao lado, MD-MUSIC, no plano de
γ.
WSF
γ θ
)(dBMSE
0
10
20
30
0
0.5
1
-10
-5
0
5
10
15
γ
)(dBMSE
20º
12º
0 0.2 0.4 0.6 0.8 1
-10
-5
0
5
10
15
Figura 5.57 a - MSE do WSF em função do γ e do afastamento entre
os sinais
Figura 5.57 b - Projeção do gráfico ao lado, WSF, no plano do γ .
ML
γ θ
)(dBMSE
0
10
20
30
0
0.5
1
-10
-5
0
5
10
15
γ
)(dBMSE
20º
12º
0 0.2 0.4 0.6 0.8 1
-10
-5
0
5
10
15
Figura 5.58 a - MSE do ML em função do γ e do afastamento entre
os sinais.
Figura 5.58 b - Projeção do gráfico ao lado, ML, no plano do γ.
115
MODE
γ θ
)(dBMSE
0
10
20
30
0
0.5
1
-10
-5
0
5
10
15
γ
)(dBMSE
20º
12º
0 0.2 0.4 0.6 0.8 1
-10
-5
0
5
10
15
Figura 5.59 a - MSE do MODE em função do γ e do afastamento
entre os sinais.
Figura 5.59 b - Projeção do gráfico ao lado, MODE, no plano do γ.
MUSIC Unidimensional
γ θ
)(dBMSE
0
10
20
30
0
0.5
1
-10
-5
0
5
10
15
γ
)(dBMSE 20º
12º
0 0.2 0.4 0.6 0.8 1
-5
0
5
10
15
Figura 5.60 a - MSE do MUSIC UNIDIMENSIONAL em função do γ
e do afastamento entre os sinais.
Figura 5.60 b - Projeção do gráfico ao lado, MUSIC
UNIDIMENSIONAL, no plano γ.
ROOT MUSIC
γ
θ
)(dBMSE
0
10
20
30
0
0.5
1
-10
-5
0
5
10
15
γ
)(dBMSE
20º
12º
0 0.2 0.4 0.6 0.8 1
-10
-5
0
5
10
15
Figura 5.61 a - MSE do ROOT MUSIC em função do angular spread e
do γ entre os sinais.
Figura 5.61 b - Projeção do gráfico ao lado, ROOT MUSIC, no plano
do γ.
116
γ
)(dBMSE
MUSIC
WSF
ML
MUSIC UNI
ROOT MUSIC
MODE
θ=12º
0 0.2 0.4 0.6 0.8 1
-5
0
5
10
15
Figura 5.62 - Comparação entre os mecanismos de estimação da direção considerando o afastamento entre os sinais de 12º.
Nota-se que o desempenho dos métodos só melhora a partir de um valor expressivo da
componente de visada direta (γ em torno de 0.5) que eqüivale a uma razão entre a
componente direta e o espalhamento de 0 dB.
5.4 Espalhamento Local com Modelo Circular
As próximas simulações têm por finalidade avaliar os algoritmos de estimação de
direção de chegada no ambiente de propagação com Modelo Circular descrito na seção 4.24,
considerando a figura 5.63 e com os mesmos parâmetros da seção 5.3.
BW
1 2
5.0=
λ
d
5 6 7 8
BW
Figura 5.63 - Diagrama explicativo dos testes com o ambiente segundo o Modelo Circular.
5.4.1 Estimação da Direção de Chegada Sem a Componente de visada
direta
Os resultados estão apresentados nas figuras 5.64 a 5.70. Neste caso, a simulação dos
multipercursos foi feita considerando 100 sinais de forma que o steering vector dado por 4.8 é
dado por:
117
∑=
+=
100
1
)(
1
)(
l
l
j
l aeH
P
v l
θθθ φ
,
(5.12)
onde lθ é dado pela expressão 4.22, e
N
aeH
P l
l
j
l
l
∑=
+
=
100
1
)( θθφ
.
MD-MUSIC
BWθ
θ
)(dBMSE
0
10
20
0
10
20
-20
-10
0
10
20
)(dBMSE θ
BWθ
6.0º
3.0º
0.0º
0 5 10 15 20
-20
-15
-10
-5
0
5
10
15
Figura 5.64 a - MSE do MD-MUSIC em função da abertura angular e
do afastamento entre os sinais.
Figura 5.64 b - Projeção do gráfico ao lado, MD-MUSIC, no plano da
do afastamento angular, para abertura do espalhamento BWθ para 0º,
3º e 6º .
WSF
BWθ
θ
)(dBMSE
0
10
20
0
10
20
-20
-10
0
10
20
)(dBMSE
BWθ
6.0º
3.0º
0.0º
θ
0 5 10 15 20
-20
-15
-10
-5
0
5
10
15
Figura 5.65 a - MSE do WSF em função do abertura angular do
afastamento entre os sinais.
Figura 5.65 b - Projeção do gráfico ao lado, WSF, no plano da do
afastamento angular, para abertura do espalhamento BWθ para 0º, 3º
e 6º .
118
ML
BWθ θ
)(dBMSE
0
10
20
0
10
20
-20
-10
0
10
20
)(dBMSE
θ
BWθ
6.0º
3.0º
0.0º
0 5 10 15 20
-20
-15
-10
-5
0
5
10
15
Figura 5.66 a - MSE do ML em função do abertura angular e do
afastamento entre os sinais.
Figura 5.66 b - Projeção do gráfico ao lado, ML, no plano da do
afastamento angular, para abertura do espalhamento BWθ para 0º, 3º
e 6º .
MODE
BWθ
θ
)(dBMSE
0
10
20
0
10
20
-20
-10
0
10
20
)(dBMSE
θ
BWθ
6.0º
3.0º
0.0º
0 5 10 15 20
-15
-10
-5
0
5
10
15
Figura 5.67 a - MSE do MODE em função da abertura angular e do
afastamento entre os sinais.
Figura 5.67 b - Projeção do gráfico ao lado, MODE, no plano da do
afastamento angular, para abertura do espalhamento BWθ para 0º, 3º
e 6º .
MUSIC Unidimensional
BWθ
θ
)(dBMSE
0
10
20
0
10
20
-10
0
10
20
)(dBMSE
θ
BWθ
6.0º
3.0º
0.0º
0 5 10 15 20
-10
-5
0
5
10
15
Figura 5.68 a - MSE do MUSIC UNIDIMENSIONAL em função da
abertura angular e do afastamento entre os sinais.
Figura 5.68 b - Projeção do gráfico ao lado, MUSIC
UNIDIMENSIONAL, no plano da do afastamento angular, para
abertura do espalhamento BWθ para 0º, 3º e 6º .
119
ROOT MUSIC
BWθ θ
)(dBMSE
0
10
20
0
10
20
-20
-10
0
10
20
)(dBMSE
θ
BWθ
6.0º
3.0º
0.0º
0 5 10 15 20
-20
-15
-10
-5
0
5
10
15
Figura 5.69 a - MSE do ROOT MUSIC em função da abertura
angular e do afastamento entre os sinais.
Figura 5.69 b - Projeção do gráfico ao lado, ROOT MUSIC, no plano
da do afastamento angular, para abertura do espalhamento BWθ para
0º, 3º e 6º .
)(dBMSE
BWθ
MUSIC
WSF
ML
MUSIC UNI
ROOT MUSIC
MODE
θ=12º
0 5 10 15 20
-20
-15
-10
-5
0
5
10
15
Figura 5.70 - Comparação entre os mecanismos de estimação da direção considerando o afastamento entre os sinais de 12º.
Da mesma forma que o modelo anterior, observa-se que o parâmetro que define a
abertura do espalhamento, neste caso BWθ , define o desempenho. A partir de 10º o erro
médio quadrático é um pouco maior que
2
BWθ
.
5.5 Espalhamento Local com Modelo de Distribuição
Uniforme
As simulações a seguir têm por finalidade avaliar os algoritmos de estimação de
direção de chegada no ambiente de propagação com Modelo de Distribuição Uniforme
descrito na seção (4.2.5), tendo como base a figura 5.71. Por simplificação, os dois sinais são
incidentes de maneira simétrica em relação a normal a linha das antenas, e possuem a mesma
energia conforme aparece na figura 5.71.
120
1 2
5.0=
λ
d
5 6 7 8
BW
/2
BW
/2
Figura 5.71 - Representação do contorno para as simulações do modelo de distribuição uniforme.
5.5.1 Estimação da Direção de Chegada Sem a Componente de Visada
Direta
A seguir os algoritmos de estimação da direção de chegada são avaliados em função
do afastamento angular θ , que variou de 4º até 30º , e da abertura angular BWθ , que variou de
0º até 18º. Foi considerado que relação sinal ruído de 0 dB e 1000 amostras para estimar a
matriz covariância espacial. Também, nos próximos gráficos, não foi considerada a
componente de visada direta, e o steering vector para cada sinal incidente, neste ambiente,
segue a seguinte formulação:
∑=
+=
100
1
)(
1
)(
l
l
j
l aeH
P
v l
θθθ φ
,
(5.15)
onde lθ é dado pela expressão (4.25) e
N
aeH
P l
l
j
l
l
∑=
+
=
100
1
)( θθφ
.
MUSIC
BWθ
θ
)(dBMSE
0
10
20
0
10
20
-40
-20
0
20
)(dBMSE
θ
BWθ
6.0º
3.0º
0.0º
0 5 10 15 20
-25
-20
-15
-10
-5
0
5
10
15
Figura 5.72 a - MSE do MD-MUSIC em função da abertura angular e
do afastamento entre os sinais.
Figura 5.72 b - Projeção do gráfico ao lado, MD-MUSIC, no plano do
afastamento.
121
WSF
BWθ
θ
)(dBMSE
0
10
0
10
20
-40
-20
0
20
)(dBMSE
θ
BWθ
6.0º
3.0º
0.0º
0 5 10 15 20
-25
-20
-15
-10
-5
0
5
10
15
Figura 5.73 a - MSE do WSF em função do abertura angular do
afastamento entre os sinais.
Figura 5.73 b - Projeção do gráfico ao lado, WSF, no plano do
afastamento.
ML
BWθ θ
)(dBMSE
0
10
20
0
10
20
-40
-20
0
20
)(dBMSE
θ
BWθ
6.0º
3.0º
0.0º
0 5 10 15 20
-25
-20
-15
-10
-5
0
5
10
15
Figura 5.74 a - MSE do ML em função do abertura angular e do
afastamento entre os sinais.
Figura 5.74 b - Projeção do gráfico ao lado, ML, no plano do
afastamento
MODE
BWθ θ
)(dBMSE
0
10
20
0
10
20
-20
-10
0
10
20
)(dBMSE
θ
BWθ
6.0º
3.0º
0.0º
0 5 10 15 20
-20
-15
-10
-5
0
5
10
15
Figura 5.75 a - MSE do MODE em função da abertura angular e do
afastamento entre os sinais.
Figura 5.75 b - Projeção do gráfico ao lado, MODE, no plano do
afastamento.
122
MUSIC Unidimensional
BWθ
θ
)(dBMSE
0
10
20
0
10
20
-10
0
10
20
)(dBMSE
θ
BWθ
6.0º
3.0º
0.0º
0 5 10 15 20
-10
-5
0
5
10
15
Figura 5.76 a - MSE do MUSIC UNIDIMENSIONAL em função da
abertura angular e do afastamento entre os sinais.
Figura 5.76 b - Projeção do gráfico ao lado, MUSIC
UNIDIMENSIONAL, no plano afastamento.
ROOT MUSIC
BWθ
θ
)(dBMSE
0
10
20
0
10
20
-40
-20
0
20
)(dBMSE
θ
BWθ
6.0º
3.0º
0.0º
0 5 10 15 20
-25
-20
-15
-10
-5
0
5
10
15
Figura 5.77 a - MSE do ROOT MUSIC em função da abertura
angular e do afastamento entre os sinais.
Figura 5.77 b - Projeção do gráfico ao lado, ROOT MUSIC, no plano
do afastamento.
)(dBMSE
BWθ
MUSIC
WSF
ML
MUSIC UNI
ROOT MUSIC
MODE
θ=12º
0 5 10 15 20
-25
-20
-15
-10
-5
0
5
10
15
Figura 5.78 - Comparação entre os mecanismos de estimação da direção considerando o afastamento entre os sinais de 12º.
Da mesma forma que os outros modelos de espalhamento, aqui se observa o
comportamento do erro médio quadrático monotonicamente crescente com a abertura angular
do espalhamento BWθ a partir do afastamento angular de 10º para uma ULA com 8 antenas.
123
6. Conclusão
Com o grande desenvolvimento da tecnologia de comunicação sem fio, o interesse nas
antenas adaptativas aumentou muito nos últimos anos. Hoje há a certeza de que a próxima
geração de sistemas de comunicações sem fio deverá empregar antena adaptativa com forma
de implementar total ou parcialmente o conceito do SDMA (Spatial Division Multiple
Access).
Não existe, entretanto, uma visão suficientemente clara da melhor técnica de formação
de feixe a ser adotada nas antenas adaptativas dos sistemas celulares. Duas grandes linhas
ainda são objeto de investigação: adaptação e formação a partir de referência temporal ou a
partir de referência espacial, ou seja, ângulo de chegada e número de sinais incidentes. Este
trabalho aborda a segunda linha, e foi desenvolvido a partir de um conjunto de resultados
básicos referentes a métodos de estimação de ângulo de chegada, em princípio, de aplicação
geral. Diversos métodos foram revistos com bases em referências recentes na literatura,
usando sua apresentação de forma organizada e uma comparação de desempenho. Uma
atenção especial foi dada aos métodos de subspace fitting.
124
Com relação à comparação de desempenho, foram obtidos, através de simulação em
computador, diversos resultados em ambiente perturbado apenas por ruído branco aditivo
Gaussiano, e esses resultados confirmaram a boa eficiência dos métodos de subspace fitting.
Observou-se que a identificação de dois sinais incidentes próximos usando uma ULA com 8
elementos e espaçamento entre os elementos da ordem de 0.5 comprimento de onda, em
ambiente sem multipercursos, pode ser feita até com uma separação angular da ordem de 5º
pelo melhor método (ROOT MUSIC) e tipicamente 10º para os outros métodos: MD-MUSIC,
WSF e ML.
O principal objetivo, porém, foi o de analisar e comparar o desempenho destes
métodos em ambientes típicos de um sistema celular. Para isto foram revistos modelos de
propagação propostos recentemente para esta finalidade. Três destes modelos, referidos como
modelos de espalhamento local, foram selecionados e utilizados nas simulações. Nestes
modelos, um grande número de sinais incidentes chega a matriz de antenas com fases
diferentes resultando num sinal com desvanecimento plano de Rayleigh ou Rice.
A conclusão geral sobre o desempenho dos métodos de estimação de ângulo de
chegada em ambiente com espalhamento local é que o espalhamento degrada muito o
desempenho destes métodos. Como medida aproximada, pode-se dizer que para o
espalhamento Gaussiano o valor RMS do erro estimado é da ordem do desvio padrão dos
ângulos de incidência dos diversos multipercursos, espalhamento angular θσ . Este
comportamento é observado a partir de uma separação angular entre dois sinais que é
praticamente a mesma separação mínima obtida nos casos sem multipercurso. Para outros
modelos de espalhamento, observa-se um comportamento semelhante, ou seja,
monotonicamente crescente com a abertura angular BWθ . Foi, ainda, investigado, no caso do
espalhamento Gaussiano, o efeito da presença de uma componente de visada direta
(desvanecimento Rice), concluindo-se que o efeito só se dá a partir de uma razão de 0dB entre
a sua potência e a potência da componente espalhada.
Este trabalho, embora envolvendo um extensivo número de simulações dos métodos
de estimação baseados na covariância espacial, é apenas uma base para um estudo mais
específico e profundo de esquemas de formação de feixe. A partir dos resultados obtidos é
possível ter uma idéia do potencial dos métodos e de sua complexidade visando a proposição
125
de um esquema específico. Por outro lado, com ferramentas teóricas e práticas (software
desenvolvido) é possível analisar diversos outros cenários (considerando outras estruturas) e o
efeito de outros parâmetros (espaçamento entre as antenas).
126
Referências
AND01 ANDERSON, S - MILLNERT,
M. VIBERG, M.
“An Adaptive Array for Mobile Communication
Systems”, IEEE Transaction on Vehicular
Technology, vol. 40, no 1, feb-1991.
ANT01 ANDERSON, T. “Asymptotic Theory for Principal Component
Analysis”, Ann. Math. Statist., vol. 34, pp. 122-148,
1963.
APP01 APPLEBAUM, S. “Adaptive Arrays”, technical Report SPL TR-66-001,
Syracuse University, Res. Corp. Report, 1965.
ASZ01 ASZTÉLY, D. - OTTERSTEN,
B. E SWINDLEHURST, A
“A Generalized Array Manifold Model for Local
Scattering in Wireless Communications”,
Proceedings ICASSP’97 - Jan 97.
127
ASZ02 ASZTÉLY, D. “On Antenna Array in Mobile Communication
Systems Fast Fading and GSM Base Station
Receiver”, Department of Signals, Sensors &
Systems of the Royal Institute of Technology -
Stockholm, Mar-1996.
ASZ03 ASZTÉLEY, D. &
OTTERSTEN, B.
“Modified Array Manifold for Signal Waveform
Estimation in Wireless Communications”,
Department of Signals, Sensors & Systems of the
Royal Institute of Technology - Stockholm, Nov-
1996.
BAR01 KAVEH, M. & BARABELL,
A.
“The Statistical Performance of The Music and the
Minimum-Norm Algorithms in Resolving Plane
Waves in Noise”, IEEE Transactions on Acoustics,
Speech and Signal Processing, vol. ASSP-34, no. 2,
apr-1986.
BAR02 BARABELL, A . J. “Improving the Resolution Performance of
Eigenstructure-Based Direction-Finding
Algorithms”, Proc. ICASSP, Bostonm MA, 1983,
336-339.
BEN01 BENGTSSON, M. &
OTTERSTEN, B
“Low Complexity Estimation of Angular Spread an
Antenna Array”, Royal Institute of Technology -
Department of Signals, Sensors & Systems Signal
Processing - Stockholm, Mar 1997.
BEN02 BENGTSSON, M. &
OTTERSTEN, B
“Signal Waveform Estimation from Array Data in
Angular Spread Environment”, Royal Institute of
Technology - Department of Signals, Sensors &
Systems Signal Processing - Stockholm, Nov 1996.
CAD01 CADZOW, J. “A High Resolution Direction of Arrival Algorithm
for Narrow Band Coherent and Incoherent Sources”,
IEEE Trans. Acoust., Speech Signal Processing, vol.
36, pp 965-979, Jul 1988.
CAP01 CAPON, J. “High Resolution Frequency Wave Number
Spectrum Analysis”, Proceedings IEEE, vol 57, 1969
CHU01 CHU, T. & GREENSTEIN, L. “A Semi-Empirical Representation of Antenna
Diversity Gain at Cellular and PCS Base Stations”,
IEEE Transaction on Communications, vol. 45, no 6,
jun-1997.
128
DAV01 DAVIES, W. “The Challenge of Advanced Base-Station Antennas
for Future Cellular Radio Systems”, IEEE Int
Workshop on Digital Mobile Radio, Melbourne,
Australia, Mar-1987
DGX01 EUROPEAN COMMISSION
DGXIII
“Towards the Personal Communication Environment:
Green Paper on mobile & personal communications”,
27th April 1994
DIN01 DINIZ, A & FREIRE, G. “Ondas Eletromagnéticas”, Livros Técnicos e
Científicos Editora, 1973.
DON01 JOHNSON, DON H. &
DUDGEON, DAN E.
“Array Signal Processing”, PRENTICE HALL
PROCESSING SERIES.
FOR01 FORSSÉN, U. - KARLSON,
J. - JOHANNISSON, B. -
ALMGREN, M. - LOTSE, F.
& KRONESTEDT F.
“Adaptive Antenna Arrays for GSM900/DCS1800”,
Proc. IEEE Veh. Technol. Conf., p 605-609, 1994.
GOD01 GODARA, L. “Applications of Antenna Arrays to Mobile
Communications, Part I: Performance Improvement,
Feasibility, and System Considerations”, Proceedings
of IEEE, vol. 85, no. 7, jul-1997.
GOD02 GODARA, L. “Applications of Antenna Arrays to Mobile
Communications, Part II: Beam-Forming and
Direction-of-Arrival “, Proceedings of IEEE, vol. 85,
no. 8, agu-1997.
GOL01 GOLUB, G. E LOAN C. “Matrix Computation”, Johns Hopkins University
Press, 3ª edição, 1996
GUP01 GUPTA, R. “Asymptotic Theory for Principal Component
Analysis in Complex Case”, J. Indian Statist. Assoc..,
vol. 3, pp. 97-106, 1965.
HOF01 HOFFMAN, K E KUNZE, R “Álgebra Linear”, Livros Técnicos e Científicos
Editora, 1979.
HOW01 HOWELLS, P. “Intermediate Frequency Sidelobe Canceller”,
Technical Report, U. S. Patent 3202990, May 1959.
HUA01 HUANG, Y. “Dynamic Programming Algorithm for the
maximum Likelihood Localization of Multiple
Sources”, IEEE Transactions on Antennas and
Propagation, vol. 40, no 9, Set-1992.
129
JER01 JERUSHIM, M. - BALABAN,
P. & SHANMUGAM, K.
“Simulation of Communication”, Plenum Press, New
York, 1992.
KEN01 KENNEDY, J. & SULLIVAN
M.
“Direction Finding and Smart Antennas Using
Software Radio Archtectures”, IEEE Communication
Magazine, May - 1995.
KLO01 KLOUCHE-DJEDID, A E
FUJITA, M.
“Adaptive Array Sensor Processing Applications for
Mobile Telephone Communications”, IEEE
Transactions on Vehicular Technology, vol. 45, no.
3, Ago-1996.
LIT01 LITVA, J. & KWOK-YEUNG
LO, T.
“Digital Beamforming in Wireless Communication”,
Artech House Publishers, 1996.
MAT01 MATHEUS, C. &
ZOLTOWSKI
“Closed-Form 2D Angle Estimation with Circular
Array/Appertures via Phase Mode Excitation na
ESPRIT”, Advances in Spectrum Analysis and Array
Processing vol 3, Simon Haykin Editor,
Prentice-Hall, 1995.
NAG01 NAGUIB, AYMAN F. “Advanced Antennas CDMA Wireless Networks”,
PhD dissertation thesis of Stanford University, aug-
1996.
NAG02 NAGUIB, A. - PAULRAJ, A.
& KAILATH, T.
“Capacity Improvement with Base-Station Antenna
Arrays in Cellular CDMA”, IEEE Trans Veh.
Technology, vol 43, pp. 691-698, aug-1994.
OTT01 OTTERSTENM, B. - ROY,
R. & KAILATH, T.
“Signal Waveform Estimation in Sensor Array
Processing”, Proceedings 23rd Asilomar Conference,
Nov. 1989.
OTT02 OTTERSTEN, BJÖRN “Array Processing for Wireless Communication”,
Royal Institute of Technology - Department of
Signals, Sensors & Systems Signal Processing -
Stockholm, Mar 1996.
OTT03 OTTERSTEN, B. - VIBERG,
M. - STOICA, P. &
NEHORAI, A
“Exact and Large sample ML techniques for
Parameter Estimation and Detection in Array
Processing”, Radar Array Processing (S. Haykin,
ed.), ch. 4, Springer-Velag, 1991.
PAP01 PAPOULIS A. “Signal Analysis”, McGraw-Hill, 1984.
PET01 PETRUS, P. “Novel Adaptive Array Algorithms and Their Impact
on Cellular System Capacity”, PhD Dissertation
submitted to the Faculty of the Virginia Tech, 1997.
130
PIS01 PISARENKO, V. “The Retrieval of Harmonics From a Covariance
Function”, Geophys. J. R. Astr. Soc., vol 33,
pag:347-366, 1973.
QUI01 QUINAUD, E & BRANDÃO,
J.
“Fundamentos de Antenas Adaptativas e Aplicação
em Comunicações Móveis”, CETUC PASR, ago-
1996.
RAP01 RAPPAPORT, T. “Wireless Communications Principle & Practice”,
IEEE Press - Prentice Hall, 1996.
RIS01 RISSANEN, J. “Modeling by the Shortest Data Description”,
Automatica, vol. 14 pp. 465-471, 1978.
ROY01 ROY, R. - PAULRAJ, A. &
KAILATH, T.
“ESPRIT - A Subspace Rotation Approach of
Estimation of Parameters of Cisoids in Noise”, IEEE
Transaction Accoust., Speech, Signal Processing, vol
34, no 4, pp. 1340-1342, oct-1986.
SCH00 SCHMIDT, R. “Signal Subspace Approach to Multiple Emitter
Location and Spectral Estimation”, PhD dissertation
thesis Standford University, 1981.
SCH01 SCHMIDT, RALPH O “Multiple Emitter Location and Signal Parameter
Estimation”, IEEE Transaction on Antennas and
Propagation, vol . AP-34, Nº 3, Mar-1986.
SCH02 SCHMIDT, RALPH O “Multiple Source DF Signal Processing: An
Experimental System”, IEEE Transaction on
Antennas and Propagation, vol . AP-34, Nº 3, Mar-
1986.
SHA01 SHANNON, C. “The Mathematical Theory of Communication”, Bell
System Technical Journal, vol. 46 pp. 497-511, 1948.
SKL01 SKLAR, B. “Rayleigh Fading Channels in Mobile Digital
Communication Part I and Part II”, IEEE
Communications, vol 35, no. 9, set-1997.
STO01 STOICA, P. & SHARMAN,
K.
“Maximum Likelihood Methods for Direction of
Arrival Estimation”, IEEE Trans. Acoust. Speech
Signal Processing, vol 38, pp.1132-1143, Jul 1990.
SWA01 SWALES, S. - BEACH, M. -
EDWARDS, J. E
MCGEEHAN, J.
“The Performance Enhancement to Multibeam
Adaptive Base-Station Antennas for Cellular Land
Mobile Radio Systems”, IEEE Transactions on
Vehicular Technology, vol. 39, no. 1, fev-1990.
131
TAL01 TALWAR, S. - VIBERG, M.
& PAULRAJ, A.
“Blind Separation of Synchronous Co-Channel
Digital Signals Using na Antenna Array - part 1:
Algorithms”, IEEE Proc, 27th Asilomar Conf.
Signals, Syst. Comput., vol I, pp 349-353.
TAL02 TALWAR & PAULRAJ, A. “Blind Separation of Synchronous Co-Channel
Digital Signals Using na Antenna Array - part 2:
Performance Analysis”, IEEE Transactions on Signal
Processing, vol. 45, no. 3, mar-1997.
THA01 THAYER, J. “Operadores Auto-adjuntos e Equações Diferenciais
Parciais”, Projeto Euclides IMPA - CNPq, 1987.
TRU01 TRUMP, T. & OTTERSTEN,
B.
“Estimation of Normal Direction of Arrival and
Angular Spread using na Array of Sensors”, IEEE
Signal Processing Magazine, no 50, pag 57-69,
1996.
TSO01 TSOULOS, G. - BEACH, M.
- MCGEEHAN, J.
“Wireless Personal Communications for the 21st
Century: European Technological Advances in
Adaptive Antennas”, IEEE Communication
Magazine, vol. 35 no 9, 1997.
VEE01 DER VEEN “Subspace Based Signal Analysis using Singular
Value Decomposition”, Proceeding IEEE, vol. 81, pp
1277-1308, set-1993.
VIB01 VIBERG, M. - OTTERSTEN,
B E KAILATH, T.
“Detection and Estimation in Sensor Arrays Using
Weighted Subspace Fitting”, IEEE Transaction on
Signal Processing, vol. 39, no 5, Mai-1991.
VIB02 VIBERG, M. E OTTERSTEN,
B
“Sensor Array Processing Based on Subspace
Fitting”, IEEE Transaction on Signal Processing, vol.
39, no 5, Mai-1991.
WAX01 WAX, MATI “Detection and Localization of Multiple Sources Via
the Stochastic Signals Model”, IEEE Transaction on
Signal Processing, vol. 39, Nº 11, Nov-1991”.
WAX02 WAX, MATI E KAILATH, T. “Detection of Signals by Information Theoretic
Criteria”, IEEE Transaction on Signal Processing,
vol. 33, Abr-1985.
WAX03 WAX, M. “Model-Based Processing in Sensor Array”,
Advances in Spectrum Analysis and Array
Processing vol 3, Simon Haykin Editor,
Prentice-Hall, 1995.
132
WID02 WIDROW, B - DUVALL, K
& GOOCH, R
“Signal Cancellation Phenomena in Adaptive
Antenna”, IEEE Transaction on AP, vol 30, pp. 469-
78, 1982
XU01 XU, GUANGHAN E
KAILATH, THOMAS
“Detection of Number of Sources via Exploitation of
Centro-Symmetry Property”, IEEE Transaction on
Signal Processing, vol 42, no 1, Jan-1994.
ZET00 ZETTERBERG, P. “Mobile Cellular Communications with Base
Stations Antenna Arrays: Spectrum Efficiency,
Algorithms and Propagation Models”, Phd
Dissertation Thesis, Signal Processing, Department
of Signals, Sensors and Systems, Royal Institute of
Technology - Stockholm, Sweden, 1997.
ZET01 ZETTERBERG, P. -
OTTERSTEN, B.
“The Spectrum Efficiency of a Base Station Antenna
Array System for Spatially Selective Transmission”,
IEEE Transaction on Vehicular Technology, vol. 44,
no. 3, ago-1995.
ZET02 ZETTERBERG, P. -
MOGENSEN, P. - DAM, H. -
ESPENSEN, P. - LARSEN, S.
& OLESEN, K.
“Algorithms and Antenna Array Recommendations”,
Technical Report A020/AUC/A12/DR/P/1/xx-
D2.1.2, TSUAMI (II), Set-1996.
ZHA01 ZHANG, Q. “A Statistical Resolution Theory of the Beamformer-
Based Spatial Spectrum for Determining the
Directions of Signals in White Noise”, IEEE
Transactions on Signal Processing, vol.43, no. 8,
aug-1995.
ZHO01 ZHOU, C & JAGGARD, D. “A Resolution Measure for the MUSIC Algorithm
and Its Application to Plane Wave Arrivals
Contaminated by Coherent Interference”, IEEE
Transaction on Signal Processing, vol. 39, no. 2, feb-
1991.
ZET03 ZETTERBERG, P. &
OTTERSTEN, B.
“The Spectrum Efficiency of a Base Station Antenna
Array System for Spatially Selective Transmission”,
IEEE Transaction on Vehicular Technology, vol 44,
no. 3, aug-1995.
133
Anexo I
Este anexo contém as notações utilizadas e algumas demonstrações de resultados
apresentados durante a exposição dos capítulos deste estudo.
Notações
Representação Geral
x Letra minúscula com travessão em baixo da letra
representa vetor coluna de uma dada grandeza.
A Letra maiúscula com travessão em baixo da letra
representa uma matriz com mais de uma coluna.
*
)(⋅ Conjugado.
134
[ ] MNmnaA ×
= ou
[ ]mnmn Aa =
Representação de uma matriz genérica associada aos seus
elementos e vice-versa.
T
)(⋅ Operador T representa a transposta de uma matriz,
[ ] [ ]knnk
T
AA = .
H
)(⋅ Operador H representa a transposta conjugada de uma
matriz, [ ] [ ] *
knnk
H
AA = .
aˆ ,aˆ e Aˆ Estimador do parâmetro a , do vetor a e da matriz A
respectivamente.
†
A Matriz pseudo inversa de A .
AP Projeção ortogonal no espaço das colunas de A .
Operador de Schur-Hadamard, [ ] [ ] [ ]nknknk BABA = .
{}⋅traço Retorna o traço de uma matriz.
⋅ , F
⋅
Norma de Frobenius dada por: [ ]∑∑= =
=
N
n
M
m
nmF
AA
1 1
2
.
⋅ Módulo de um número complexo.
{}⋅arg Argumento, ou fase, de um número complexo.
][⋅E Valor esperado.
Capítulo 2
),( rtf Função de Onda, t é o tempo e r é o vetor posição.
( )0krtj
e ⋅−ω
Onda plana, na direção 0k , e monocromática com
freqüência angular ω em rad/s.
)(ts Representação complexa do sinal modulado.
)(ty Representação complexa sinal não modulado.
cω Freqüência angular da portadora.
135







 ⋅
−
c
kr
ts
ω
Função de Onda plana correspondente ao sinal modulado
com direção k .
)(tz Representação temporal da resposta de uma antena ou de
um conjunto de antenas.
)(rg , )(kG Aperture Smoothing Function, representação em função do
espaço e da freqüência espacial respectivamente.
N Geralmente o número de antenas.
M Geralmente o número de sinais incidentes.
)(tx Vetor das amostras espaciais de um conjunto de antenas.
)(ka , )(θa Steering Vector, associado à direção de chegada k , ou ao
ângulo de chegada θ .
)(tw Vetor Gaussiano associado a amostra espacial do conjunto
de antenas.
A É a matriz contendo as respostas espaciais do sinal
incidente, ou seja, suas colunas são os steering vectors
associados às direções de chegada.
)(ts Vetor com os sinais incidentes.
A Array Manifold.
xR Matriz Covariância Espacial do vetor )(tx
sR Matriz Covariância Espacial do vetor )(ts .
2
wσ Variância das componentes de )(tw
)|( βα Produto interno entre α e β .
Nλλλ ,,, 21 Os N autovalores de xR .
Neee ,,, 21 Os N autovetores de xR .
D Posto de sR .
WE Espaço gerado pelo ruído, { }WEW UE span= .
136
WEB Base ordenada do espaço gerado pelo ruído.
wEU Matriz cujas as colunas são os autovetores de xR
associados ao ruído.
⊥
WE Espaço gerado pelo sinal, { }⊥=
⊥
WEW UE span .
⊥
WE
B Base ordenada do espaço gerado pelo sinal.
⊥Λ
wE
Matriz diagonal contendo na diagonal principal os
autovalores da matriz covariância xR associados ao sinal
em ordem decrescente.
⊥
wE
U Matriz cujas as colunas são os autovetores de xR
associados ao sinal, correspondentes aos autovalores em
ordem decrescente.
⊕ Soma direta de espaços vetoriais, se 1E∈α , 2E∈β , e
0)|( =βα , então E é soma direta com
2121 EEEEE ∪=⊕= .
1
2)sen(2
)(
NX
N
nd
j
ea


















=
−
θ
λ
π
θ
Steering Vector de uma ULA associado à direção θ .
n∆ Retardo de ordem n empregado num Phased Array.
( )ncnn jp ∆−= ωα exp Peso complexo de ordem n empregado numa matriz de
antenas.
[ ]T
Npppp 21= Vetor peso cujas as componentes são os pesos complexos.
Capítulo 3
)(∆γ Função resolução para o afastamento ∆ .
{ }),(min yxf ,
{ }),(max yxf
Retorna o valor mínimo, ou máximo respectivamente, da
função ),( yxf .
137
{ }),(min
1
yxf
x
−
,
{ }),(max
1
yxf
x
−
Retorna x que minimiza, ou maximiza respectivamente, a
função ),( yxf . Na ausência de argumentos, então é
tomado todo o par.
X Matriz dos sinais percebidos pelas antenas do conjunto de
antenas, cuja as colunas correspondem a amostragem
espacial da combinação das funções de onda incidentes no
conjunto de antenas, e as linhas correspondem a
amostragem temporal dessas mesmas ondas.
Capítulo 4
)(dLp
Desvanecimento em grande escala em função da distância
d.
),( tdh Resposta impulsiva do canal em função da distância
relativa d e do tempo t.
lH Variável aleatória que representa a atenuação da l ésimo
multipercurso.
lτ Variável aleatória que representa o retardo relativo ao l
ésimo multipercurso.
lφ Variável aleaória com distribuição uniforme em [0,2π] que
traduz no retardo de fase do l ésimo multipercurso.
∑=
−
≡
L
l
j
l
l
eHh
1
φ Resposta do canal percebido por uma única antena.
lθ Variável aleatória que representa o afastamento angular
em relação ao ângulo nominal de inciência θ relativo ao l
ésimo multipercurso.
∑=
−
+≡
L
l
l
j
l aeHv l
1
)()( θθθ φ Steering Vector associado a um canal com espalhamento
local e um único cluster. Também é chamado de resposta
do canal.
vR Matriz covariância de )(θv .
[ ]nkvRkn =− )(ρ Elemento nk da matriz covaiância.
θσ Espalhamento angular do Modelo Gaussiano e traduz no
desvio padrão do ângulo de incidência θ.
138
BWθ Ângulo de abertura dos modelos Circular e Uniforme.
TL Número de multipercursos dos modelos Circular e
Uniforme.
Capítulo 5
S, [ ] )( jmmj tsS = Matriz contendo os sinais (cada linha), e as amostras
temporais dos sinais (cada coluna).
W, [ ] )( jiij twW = Cada linha representa o ruído aditivo correspondente ao
elemento do conjunto de antenas e cada coluna as
amostras temporais.
Dedução das Expressões Indicadas no Texto
Expressões (2.1) e (2.2)
A função onda conforme foi descrita, é decorrente da solução das equações de
Maxwell aplicadas a contornos específicos, que pode ser o módulo dos campo elétrico e ou
magnético, ou simplesmente o valor da potência no tempo e espaço. Utilizando estas equações
se obtém a equação de onda para os campos elétrico e magnéticos num meio isotrópico, onde
as permissividade elétrica e a permeabilidade magnética são escalares:
02
2
2
=





∂
∂
−
∂
∂
−∇ e
tt
σµµε ,
02
2
2
=





∂
∂
−
∂
∂
−∇ h
tt
σµµε
onde ε , µ e σ são a permissividade elétrica, a permeabilidade magnética e a condutividade
respectivamente do meio para os campos elétrico e e magnético h .
Admitindo soluções do tipo [ ]γω ⋅−= rtjEe exp0 e substituindo na expressão acima, tem-se:
139
0122
=





++
ωε
σ
µεωγ
j
,






+−=
ωε
σ
µεωγ
j
12
,
onde γγ = . Considerando o meio com pequena condutividade 0≈σ , a expressão simplifica
para:
µεωγ j= .
O valor ( )1−
µε é valor da velocidade da luz c no meio considerado, e γ é chamado
de constante de propagação. Normalmente a quantidade µεω é designada por k , ficando a
expressão para o campo elétrico da seguinte forma:
[ ])(exp0 krtjEe ⋅−= ω .
É importante ressaltar que a função [ ]γω ⋅−= rtjEe exp0 é autofunção do operador
2
2
22
t
•
∂
∂
−∇= µε , também chamado de D’ Alembertiano, e que no caso mais geral a solução
é combinação linear dessas funções observando o problema de contorno e de valor inicial.
Para o módulo do campo elétrico ou magnético, ou ainda a potência da onda, tem-se a
seguinte expressão:
[ ])(exp),( krtjFrtf ⋅−= ω ,
se F for igual a um o que se tem é a função de onda plana e monocromática. Outro fato
importante a ressaltar é que o vetor 0E é ortogonal a k no caso de propagação em espaço
livre. De fato, aplicado a Lei de Gauss 0div =e para o espaço livre, tem-se:
[ ]( ) ( ) ( ) ( ) [ ]krtjkEeeEkrtjEe krtj
⋅−⋅−=⋅=⋅−= ⋅−
ωω ω
expgradexpdivdiv 000
( ) [ ] 0exp0 =⋅−⋅− krtjkE ω
00 =⋅kE ,
140
ou seja, o campo elétrico é ortogonal k . Aplicando o mesmo raciocínio para o campo
magnético, se concluí que campo magnético também é ortogonal a k . Como k indica a
direção de propagação da onda, a onda plana propagando no espaço livre é transversal no que
se refere os campos elétrico e magnético.
Para o caso geral de uma onda plana qualquer do tipo:







 ⋅
−=
c
kr
tsrtf
ω
),( , (2.5)
tem-se:
[ ] 0"),( 2
2
2
=







−






 ⋅
−=
cc
kkr
tsrtf•
ω
µε
ω
.
Para expressão acima ser satisfeita para quaisquer )(ts , tem-se novamente:
µεωck = .
Assim quaisquer função de onda plana que segue a expressão (2.5) é solução da equação
diferencial de onda no espaço livre, devendo ser restrita apenas em relação as condições de
contorno e de valor incial.
Propriedades dos Autovalores e Autovetores de uma Matriz Hermitiana
A seguir serão apresentadas, de forma resumida e informal, algumas definições de
estruturas e resultados da Análise Funcional, que podem ser encontrados em textos como
[HOF01], [THA01] e [GOL01].
Toda matriz complexa [ ] MNnmaA ×
= com posto igual a D pode ser decomposta em
valores singulares [GOL01]:
H
VUA Λ=
141
onde [ ]DuuU 1= , com os vetores Duuu ,,, 21 ortogonais entre si. De maneira idêntica
[ ]DvvV 1= , com suas colunas constituírem um conjunto de vetores ortonormais, ou
melhor:
DD
H
IUU ×= , NN
H
IUU ×= , e
DD
H
IVV ×= , MM
H
IVV ×= ,
onde KKI × é matriz identidade de ordem K.
A matriz ( )Dλλλ ,,,diag 21=Λ , onde 021 ≥≥≥≥ Dλλλ são reais chamados de
valores singulares. Quando a matriz A for quadrada, mais especificamente, se A for
Hermitiana, as matrizes [ ]NuuU 1= e [ ]NvvV 1= são idênticas, e suas colunas
são o conjunto completo dos seus autovetores associados aos autovalores Nλλλ ,,, 21 .
Assim, de acordo com a decomposição em valores singulares, pode-se relacionar as seguintes
propriedades relativas aos autovalores das matrizes Hemitianas:
♦ Os autovalores de uma matriz Hermitiana são reais e maiores que zero.
♦ Os autovetores de matriz Hermitiana são ortogonais e distintos, mesmo que seus
autovalores possuam multiplicidade.
Uma outra forma de demonstrar as propriedades acima destacadas, para autovalores
distintos, é a seguinte:
1) “Os autovalores de uma matriz Hermitiana são reais e maiores que zero”
Lembrando que autovetor v e o autovalor λ associado de um operador (matriz) são
definidos como:
vvT λ= .
Lema. 1
Se T é Hermitiano então seus autovalores são reais. De fato:
)|()|()|( ααλαλααα ==T , mas
)|()|()|( αααααα TTT H
== , e
142
)|()|()|( ααλαααα == TT , assim:
λλ = .
Lema 2:
Os autovalores são positivos, pois seja },...,,{ 21 Neee=B a base do espaço V com o produto
interno )|( ⋅⋅ . Considere agora a matriz M definida por:
NXNijmM ][= , tal que )|( ijij eem ≡ ,
É fácil ver que M é Hermitiana, pois:
jijiijij meeeem ==≡ )|()|(
Se ∑=
=
N
i
ii exx
1
e ∑=
=
N
i
ii eyy
1
, assim :
∑∑∑∑ = ===
=







=
N
j
ij
N
i
ij
N
i
ii
N
j
jj eeyxeyexyx
1 111
)|(|)|(
XMYyx
H
=)|(
Para todo produto interno tem-se:
0)|( ≥= XMXxx
H
Se X é autovetor de M correspondente ao autovalor λ, então:
00 ≥⇒≥= λλ XXXMX
HH
.
2) “Os autovetores de matriz Hermitiana são ortogonais e distintos, mesmo que seus
autovalores possuam multiplicidade.”
Lema 1:
Para autovalores distintos é de imediato. Considere ke e ne correspondentes aos
autovalores kλ e nλ distintos, assim:
143
)|()|()|()|()|()|( nknnnknknknkknkk eeeeeTeeeTeeee λλλλ ===== ,
0)|)(( =− nknk eeλλ ,
como nk λλ ≠ , tem-se 0)|( =nk ee provando o que são ortogonais.
Resolução Espectral
Chama-se de resolução espectral de um operador unitário A , ou matriz Hermitiana, a
decomposição [HOF01] (Anexo I):
∑=
=
N
i
ei i
PA
1
λ
onde
H
iie eePi
= é a projeção ortogonal associada ao autovetor ie de A , e { }N
ii 1=
λ é o conjunto
de autovalores de A , também são chamados de espectro deste operador. O nome resolução
espectral se deve a uma classe de operadores unitários bastante estudada sobre o espaço das
funções: Os operadores invariantes no tempo, que possuem autovalores do tipo )(ωH
correspondentes à autofunções tj
e ω
.
Expressão (2.23)
A expressão (2.23) é uma decorrência simples da decomposição em valores singulares
de uma matriz Hermitiana. Como:
H
UUA Λ=
[ ] [ ] [ ] [ ] [ ] [ ] [ ] [ ]∑∑∑ ∑ === =
==Λ=
N
l
m
H
lnll
N
l
lm
H
nll
N
l
N
k
km
H
lknlnm eeUUUUA
111 1
λλ ,
logo:
∑=
=
N
l
H
lll eeA
1
λ ,
como
H
lle eeP l
= , tem-se:
144
∑=
=
N
i
ei i
PA
1
λ
(2.23)
Expressão (2.22)
Considere a matriz covariância xR do sinal x percebido pelo conjunto de N antenas:
IAARR w
H
sx
2
σ+= . (2.21)’
Lema 1. Seja MD ≤ o posto de sR , que indica o número de sinais incoerentes presentes no
sistema, então o posto de H
s AAR é D.
Considere [ ]Ms pppR 21
= , assim:
∑=
=
D
k
kkj
vcp
1
,
onde Dvvv ,...,, 21 são L.I.s.
Seja:
MXN
kj
M
k
ik
H
s apARB 





== ∑=1
,
Assim a j’ésima coluna de B é dada por:
∑ ∑∑ = ==
==
M
k
l
D
l
ljkjk
M
k
kj vkcaapb
1 11
)(
∑∑ ∑ == =
==
D
l
ll
D
l
M
k
ljklj vckcavb
1
'
1 1
)( ,
assim o posto de B é D.
Da mesma forma, H
s AAR é dado por:
[ ] ( )ji
M
k
kjikij
H
s babaAAR |
1
== ∑=
145
Assim seja o mj o j’ésimo vetor coluna de H
s AAR , dado por:
( )∑=
=
M
k
ijij ebam
1
| ,
onde { }N
kki ee 1=
∈ base canônica do espaço gerado pelas colunas de M. Assim:
( )∑∑∑ ∑ === =
=





=
M
k
ili
D
l
l
M
k
i
D
l
llij evacevcam
11
'
1 1
'
||
Chamando:
( )∑=
≡
M
i
ilil evau
1
| ,
tem-se:
l
D
l
lj ucm ∑=
=
1
'
Verificando que { }D
jju 1=
são L.I.s., seja:
∑=
=
D
l
ll uyy
1
,
para y=0:
( ) ( ) 0||
1 11 1
=== ∑ ∑∑ ∑ = == =
M
k
D
l
lklk
D
l
M
k
klkl vayeevayy
( ) N}{1,...,kpara,0|
1
∈=∑=
D
l
lkl vay
Como N>D, tem-se:
0=ly ,
logo { }D
jju 1=
são L.I.s.
Assim o posto de H
s AAR é D.
146
Lema 2. Chama-se polinômio característico de uma matriz M ao polinômio:
)det()( IMp λλ −≡ .
Para matriz H
s AAR tem-se:
)det()( IAPAp H
AAR H
s
λλ −≡ ,
e pode ser escrito como:
( )∏
−
=
−=
DN
k
k
D
AAR
ap H
s
1
'
)( λλλλ ,
onde 0 é autovalor de H
s AAR com multiplicidade D, e { } DN
kk
−
=1
'
λ são os demais autovalores.
Para matriz covariância xR , tem-se:
))(det()det()(
2
IAARIRp w
H
sxRx
σλλλ −−=−≡
)()(
2
wAARR H
sx
pp σλλ −= ,
que pode ser escrito:
( ) ( )[ ]∏
−
=
+−−=
DN
k
wk
D
wRx ap
1
2'2
)( σλλσλλ ,
onde a é o coeficiente dominante do polinômio característico de xR .
Assim )(λRxp posui D autovalores iguais a
2
nσ , e os demais autovalores maiores que
2
nσ ,
lembrando que 0'
≥kλ , ou melhor:
Se { }N
kk 1=
λ são autovalores de xR então:
2
121 wNDD σλλλλλ ===>≥≥≥ + .
Expressão (2.23)
147
Se },,{ 1 NDW eespanE +=∈α tem-se:
∑
−
=
+=
DN
k
kDk e
1
αα ,
assim:
( ) 0
1
2
1
∑∑
−
=
+
−
=
+ =−==
DN
k
kDwxk
DN
k
kD
H
sk
H
s eIReAARAAR σααα .
Como não necessariamente 0=α , tem-se:
( ) 00 =⇒= αα HH
s AAAR .
Expressão (2.24)
Sejam WE∈α e
⊥
∈ WEβ assim:
∑
−
=
+=
DN
k
kDk e
1
αα , e
∑=
=
D
k
kk e
1
ββ .
O produto interno entre α e β é dado por:
0|)|(
1 1
*
11
==





= ∑∑∑∑
−
=
+
==
−
=
+
DN
k
kD
D
m
H
mmk
D
k
kk
DN
k
kDk eeee βαβαβα ,
logo },,{ 1 NDW eespanE += e },,{ 1 DW eespanE =
⊥
são ortogonais. Como
{}0=∩
⊥
WW EE , e { }xWW REE span=∪
⊥
logo:
⊥
⊕= WWx EERspan }{ , (2.24)
onde ⊕ é a soma direta de WE com
⊥
WE .
Expressão (2.26)
148
Analisando melhor a expressão acima, tem-se que:
[ ] [ ] [ ] [ ] [ ] [ ]∑∑∑∑ ====
===





=
N
n
l
H
nknn
N
n
l
H
nknn
N
n
kl
H
nnn
kl
N
n
H
nnnklx eeeeeeeeR
1
11
1
11
11
λλλλ .
Chamando [ ] NNnkuU ×
= tal que [ ]1knkn eu = e, [ ]l
H
nln eu 1=
∗
substituindo tem-se:
[ ] [ ]∑∑∑∑ == ==
Λ===
N
n
lnkn
N
n
ln
N
i
iki
N
n
lnknnklx uUuuuuR
1
*
1
*
11
*
δλλ , mas [ ]nl
H
ln Uu =
*
:
[ ] [ ] [ ] [ ] [ ]kl
H
N
n
nl
H
kn
N
n
lnknklx UUUUuUR Λ=Λ=Λ= ∑∑ == 11
*
,
assim:
H
x UUR Λ= .
Este resultado é válido para qualquer matriz Hermitiana, em particular:
H
EEE
H
s www
UUAAR ⊥⊥⊥ Λ= ,
onde [ ]DE
eeeU
w
21=⊥ , onde Deee ,, 21 são os autovetores de sR . É fácil
provar que são também os D autovetores de xR , pois:
( ) kwkkwxk
H
s eeIReAAR
22
)( σλσ −=−= , para Dk ,...,1= .
Assim:
( ) IUIUIUUR w
H
EwEEw
H
EEEx wwwwww
222
σσσ +−Λ=+Λ= ⊥⊥⊥⊥⊥⊥ , (2.26)
Expressão (2.45)
Aplicando a transformada de Fourier à )(rg :
∑∫∫∫∑∫∫∫ =
⋅−∆−⋅−
=
∆−⋅−
=−==
N
n
rkjj
n
rkj
N
n
n
j
n
rkj nncnc
eedVerredVergkG
11
)()()( ωω
αδα ,
)()( kapkG H
= . (2.45)
149
Ganho das Antenas Adaptativas
O uso de antenas adaptativas se justifica sobre tudo na melhoria da relação sinal ruído.
Esta vantagem no seu emprego está no ganho ao se utilizar este esquema em relação ao não se
utilizar esquema algum, ou melhor, com um único elemento. O ganho traduz no aumento da
relação sinal-ruído com o esquema de antenas adaptativas e a relação original, ou seja:
SNR
SNR
G
array
array =
Para um sinal transportado por uma onda plana e monocromática, cuja percepção no
conjunto de antenas é dada por [ ] )()()()( 1
tsatseetu
T
rkjrkj N
θ== ⋅−⋅−
, a relação sinal
ruído do conjunto é dada por:
[ ]
[ ] pRp
pRp
twpE
tupE
SNR
w
H
u
H
H
H
array == 2
2
)(
)(
,
onde uR e wR são as matrizes covariância de )(tu e )(tw respectivamente. E a relação sinal
ruído sem considerar as antenas é dada por:
[ ]
[ ]
[ ]
[ ]w
u
Rtraço
Rtraço
twE
tuE
SNR == 2
2
)(
)(
,
e o ganho fica:
[ ]
[ ]w
w
H
u
u
H
array
Rtraço
pRp
Rtraço
pRp
G = .
Escolhendo os retardos de tal forma que
c
kri
i
⋅
−≡∆ , obtém-se:
150
121
1
2
1 1
1
2
2
1
2
1
22
2
2
1
2
>+=






=






=
∑
∑∑
∑
∑
∑
∑
=
=
≠
=
=
=
=
=
N
n
n
N
n
N
nk
k
kn
N
n
n
N
n
n
w
N
n
nw
s
N
n
ns
array
N
N
G
α
αα
α
α
σ
ασ
σ
ασ
.
Com a utilização de antenas adaptativas, para um único sinal, fica claro que o
resultado é o aumento da relação sinal-ruído quando comparado a um único elemento. No
caso do phased array, este ganho do conjunto de antenas fica:
NG N
n
N
n
array =






=
∑
∑
=
=
1
2
2
1
1
1
.
Expressão (3.3)
Da expressão (3.2):
{ } ( ) ( ){ })()()()()()(min))((axm]ˆ,
ˆ
[
11
ˆ,
ˆ)()(|
1
ˆ,
ˆ
tskatxKtskatxtxpsk w
H
sk
tskax
sk
ML −−==
−−−
, (3.2)
derivando a expressão (3.2) em relação a )(ts e igualando a zero tem-se:
( ) 0)()()()(
1
=−
−
tskatxKka w
H
. (II)
Derivando, agora, em relação a ),,( zyx kkkk = e igualando a zero, tem-se:
( )
( ) 0)(
)()()(
)()()(
)()()(
)()()(
)(
1
1
=








∂
∂
∂
∂
∂
∂
−
+−
















∂
∂
∂
∂
∂
∂
−
−
ts
k
ka
k
ka
k
ka
Ktskatx
tskatxK
k
ka
k
ka
k
ka
ts
zyx
w
H
w
H
zyx
Rearrumando, tem-se:
151
0
)()()(
)()(
)()()(
)()(Re
121
=
















∂
∂
∂
∂
∂
∂
+








∂
∂
∂
∂
∂
∂ −−
zyx
w
zyx
w
H
k
ka
k
ka
k
ka
Kkats
k
ka
k
ka
k
ka
Ktxts ,
fazendo )(
)()()(
ka
k
ka
k
ka
k
ka
zyx
=








∂
∂
∂
∂
∂
∂
, tem-se:
[ ][ ] 0)()()()()(Re
121
=−
−−
kaKkatskaKxts w
H
w
H
. (II)
De (I) e (II), obtém-se a expressão (3.3):
[ ] [ ]
[ ][ ] 0)()()()()(Re:
ˆ
0)()()(:ˆ
121
1
=−
=−
−−
−
kaKkatskaKxtsk
tskaxKkas
w
H
w
H
w
H
.
(3.3)
Expressão (3.4)
Supondo IK ww
2
σ= , substituindo na expressão 3.4 tem-se:
[ ] [ ] 0)()()(
2
=−
−
tskaxIka w
H
σ ,
de imediato:
[ ]
[ ]
[ ] )()()(
)()(
)(
)(ˆ
†
txkatx
kaka
ka
ts H
H
== ,
(3.4)
Expressão (3.8)
Da expressão 3.7:
{ }pRpp x
H
p
1
minˆ −
= , condicionado a 1)( =θap
H
, (3.7)
usando multiplicador de Lagrange λ , e derivando em relação a p :
( ){ } 01)( =−+
∂
∂
θλ appRp
p
H
x
H
, tem-se:
0)( =+ θλapRx ⇒ )(
1
θλ aRp x
−
−= .
152
Mas 1)( =θap
H
, assim:
[ ] 1)()()(
1
=−=
−
θθλθ aRaap x
HH
,
logo:
)()(
1
1
θθ
λ
aRa x
H −
−
= .
Substituindo na expressão para obtenção p , de imediato:
)()(
)(
ˆ 1
1
θθ
θ
aRa
aR
p
x
H
x
−
−
= ,
(3.8)
Expressão (3.9)
A variância em função do parâmetro p é dada por:
pRpp x
H
z =)(
2
σ ,
substituindo na expressão da variância no ponto de otimização da expressão (3.5),
tem-se:
[ ]21
1
1
1
1
1
2
)()(
)()(
)()(
)(
)()(
)(
)ˆ(
θθ
θθ
θθ
θ
θθ
θ
σ
aRa
aRa
aRa
aR
R
aRa
aR
p
x
H
x
H
x
H
x
x
H
x
H
x
z −
−
−
−
−
−
=





= ,
logo:
)()(
1
1
2
θθ
σ
aRa x
Hz −
= .
(3.9)
Expressão (3.16)
{ }pRpp x
H
p
1
minˆ −
= , condicionado a 1=pBp
H
, (3.15)
usando multiplicador de Lagrange λ , e derivando em relação a p :
153
( ){ } 01 =−+
∂
∂
pBppRp
p
H
x
H
λ , tem-se:
pBpRx λ= , (3.16)
Expressão (3.20)
Considere dois sinais descorrelacionados incidentes numa ULA com N elementos,
com os ângulos de chegada 1θ e 2θ , e por simplificação de mesma energia
2
sσ e valor médio
nulo. Considere, também, apenas o ruído Gaussiano de variância
2
wσ , onde as amostras nos
elementos do conjunto seja descorrelacionados e com os sinais incidentes . Em primeiro lugar,
suponha que se esteja utilizando a variância da resposta do conjunto de antenas como método
de estimação da direção de chegada (os métodos baseados em beamforming derivam de uma
expressão similar). Assim tem-se:
[ ] ( ) 


 ++=



==
2
2211
22
)()()()()()()()()()( twtsatsaaEtxaEtzEf
HH
θθθθθ .
Por simplificação, seja θ
λ
πβ sen2
d
≡ , assim a expressão acima fica:
( ) .)()()()()()()()()()()(
22
2
2
1
22
2211 w
HH
s
H
NaaaatwtsatsaaEf σββββσββββ +



 +=



 ++=
Para uma ULA, tem-se:
( )
( )
2
sen
2
sen
)()(
12
12
)(
2
1
1
))(1(
21
12
12
ββ
ββ
ββ
ββ
ββ
−
−
==
−




 −
=
−−
∑
N
eeaa
N
jN
n
njH
,
substituindo vem:
154
( )
( )
( )
( )
2
2
2
2
2
1
1
2
2
sen
2
sen
2
sen
2
sen
)( ws N
NN
f σ
ββ
ββ
ββ
ββ
σβ +
























−
−
+












−
−
= .
Aplicando na definição da resolução adotada )()(var mpicobeam ff βγ −=∆ , tem-se:














+
























∆
∆
−+
























∆
∆
+=∆
2
2
22
2
22
var
4
sen
4
sen
2
2
sen
2
sen
)( wswsbeam N
N
N
N
N σσσσγ ,
onde 










 +





 −
=−=∆
2
cos
2
sen4 2112
12
θθθθ
λ
πββ
d
. Normalizando vem:
22
var
4
sen
4
sen
2
2
sen
2
sen
1)(












∆
∆
−












∆
∆
+=∆
N
N
N
N
beamγ .
(3.20)
Expressão (3.23)
Considere a expressão (2.17), sendo que agora o vetor )(tx é amostrado nos tempos
T
jjt 1}{ = , obtendo a expressão:
WSAX += )(θ ,
onde [ ])()()( 21 TtxtxtxX = , [ ])()()( 1 DaaA θθθ = , [ ])()()( 21 TtststsS = e
[ ])()()( 21 TtwtwtwW = . Supondo que o vetor )(ts seja Gaussiano de média nula,
)(tx é Gaussiano de média nula e matriz covariância xR , ou seja:
),0(~)( xRNtx .
Considere agora a função densidade de probabilidade de X ),}{,}{|( 11 w
N
nn
N
nnX eXp σλ == :
),}{,}{|)(,),(),((),}{,}{|( 1121)(,),(),(11 21 w
N
nn
N
nnTtxtxtxw
N
nn
N
nnX etxtxtxpeXp T
σλσλ ==== = .
155
Como os vetores amostras { }T
kktx 1
)( =
são identicamente distribuidas e supondo que sejam
estatisticamente independentes tem-se:
( ) ( )[ ]
( )∏=
−
==












−=
T
k
kx
H
k
x
N
w
N
nn
N
nnX txRtx
R
eXp
1
1
11 )()(
2
1
exp
det2
1
),}{,}{|(
π
σλ ,
( ) ( )[ ]
( ) 





−= ∑=
−
==
T
k
kx
H
k
T
x
NT
w
N
nn
N
nnX txRtx
R
eXp
1
1
11 )()(
2
1
exp
det2
1
),}{,}{|(
π
σλ .
Mas:
( ) ( ) [ ] [ ] [ ] [ ]∑∑∑∑∑∑∑ = = =
−
= = =
−
=
−
==
T
k
N
i
N
j
ijxki
H
jk
T
k
N
i
N
j
kjijxki
T
k
kx
H
k RXXtxRtxtxRtx
1 1 1
1
1 1 1
1*
1
1
)()()()(
( ) [ ] [ ] [ ] [ ] [ ] { }xx
N
i
N
j
jixijx
N
i
N
j
T
k
ki
H
jkijx
T
k
kx
H
k RRTRRTXXRtxRtx ˆtraçoˆ)()(
1
1 1
1
1 1 1
1
1
1 −
= =
−
= = =
−
=
−
==





= ∑∑∑∑ ∑∑ ,
substituindo vem:
( ) ( )[ ]
{ }



−=
−
== xx
T
x
NT
w
N
nn
N
nnX RRT
R
eXp ˆtraço
2
1
exp
det2
1
),}{,}{|(
1
11
π
σλ
Aplicando o logaritmo Neperiano na expressão acima, e excluindo os termos independentes,
tem-se:
( )[ ] ]traço[detln),}{,}{|(
1
11 xxxw
N
nn
N
nn RRTRTeXL
−
== −−=σλ . (3.23)
Expressões (3.31)
De maneira semelhante a expressão (3.23), pode-se obter ]|[ ξXL , dado por:
( )[ ] ]traço[||loglog]|[
1
| xxxx RRTRTXpXL
−
+=−= ξξ .
Mas da expressão (2.26) tem-se:
( )[ ]1221 −
××
−
+−Λ= ⊥⊥⊥ NNw
H
EddwEEx IUIUR
www
σσ
usando o lema da inversão de matrizes 111111
)()( −−−−−−
+−=+ DACBDABAABCDA :
156
H
EE
w
x
ww
UUIR ⊥⊥ Γ−=
−
2
1 1
σ
,
onde
1
2
1 −
⊥Λ−=Γ
wE
w
I
σ
.
Mas:
H
x ULUR ˆˆˆ = ,
onde [ ]NeeeU ˆˆˆ 21= , { }NL λλλ ˆ,,ˆ,ˆdiag 21= , N
nn 1}ˆ{ =λ e N
nne 1}ˆ{ = são os autovalores e
autovetores de xRˆ respectivamente. Ainda, o determinante de xR é dado por:
( ) ∏=
==
N
k
kxx RR
1
det λ .
Substituindo os resultados obtidos acima na expressão para ]|[ ξXL , tem-se:
]traço[
1
]traço[
1
log]|[ 22
1
LQQTRTTXL H
w
x
w
N
k
k Γ−+





= ∏= σσ
λξ ,
onde ⊥=
wE
H
UUQ ˆ . Mas:
∑=








−≤Γ
d
k w
k
k
kH
LQQ
1
2
ˆˆ
]traço[
σ
λ
λ
λ
,
onde a igualdade se dá quando 





= ×
×
0
dd
dN
I
Q , tornado a expressão ]|[ ξXL mínima. Neste
caso:
















−−+−+





= ∑∑∏ ===
d
k w
k
k
k
w
N
k
k
w
w
d
k
k dNTXL
1
22
1
2
2
1
ˆˆ1ˆ1
log)(log]|[
σ
λ
λ
λ
σ
λ
σ
σλξ
assim:






++−+





= ∑∑∏ +===
N
dk
k
w
d
k k
k
w
d
k
k dNTXL
1
2
1
2
1
ˆ1ˆ
log)(log]|[ λ
σλ
λ
σλξ ,
157
ou:






+−+





= ∑∏ ==
N
k k
k
w
d
k
k dNTXL
1
2
1
ˆ
log)(log]|[
λ
λ
σλξ .
Derivando em relação a
2
wσ e igualando a expressão a zero, tem-se:
∑+=−
=
N
dk
kw
DN 1
ˆ1
ˆ λσ .
(3.24)
Como [ ]w
N
nn
N
nn e σλξ 11 }{}{ === , definindo:
[ ]w
N
nn
N
nn e σλξ ˆ}ˆ{}ˆ{ˆ
11 ==≡ ,
a expressão para ]ˆ|[ ξXL é dada por:






+





−
−+





= ∑∏ +==
N
dN
dNTXL
N
dk
k
d
k
k
11
ˆ1
log)(ˆlog]ˆ|[ λλξ .
Analisando a expressão acima, verifica-se que N não altera o resultado de minimização de
]ˆ|[ ξXL , da mesma forma que adicionando ∏=
−
N
k
k
1
ˆlog λ . Assim, tem-se:
( ) ( )












−
−−−= ∑∑ +=+=
N
dk
k
N
dk
k
dN
dNTXL
11
ˆ1
logˆlog]ˆ|[ λλξ .
(3.31)
Expressão (3.32)
Retomando a expressão (3.29) :
][]|[][ ξξ LXLXL += , (3.29)
tal que:
∑=
−=
ν
δξ
1
log][
k
kL ,
158
onde ν é o número de parâmetros livres de ξ e kδ é o grau de precisão do k ésimo parâmetro
de ξ . Seja [ ]T
νδδδ 1≡ onde cada componente é a precisão do parâmetro ξξ ˆ= ,
definido anteriormente, desenvolvendo ]|[ δXL em série de Taylor tem-se:
∑=
−++=
ν
δδδξδ
1
log
2
1
]ˆ|[]|[
k
k
T
HXLXL ,
onde H é a matriz de Hesse de ]ˆ|[ ξXL . Diferenciando a expressão acima de maneira a
obter o mínimo de δ , tem-se:
)1(−
= δδH ,
onde
T






=
−
νδδδ
δ
111
21
)1(
. Assim:
νδδδδδδ
ν
=== ∑=
−−
1
1)1(
k
kk
TT
H .
Substituindo os resultados acima tem-se:
∑=
−++=
ν
δ
ν
ξδ
1
ˆlog
2
]ˆ|[]|[
k
kXLXL .
Como ]ˆ|[ ξXL cresce com o número de amostras T, de tal sorte que os elementos de H
T
1
são da ordem de um [WAX03]. Neste caso pode-se aproximar
T
k
1ˆ ≈δ ,
substituindo vem:
)(log
2
]ˆ|[]|[ 1−
++= ToTXLXL
ν
ξδ .
Para T muito grande chega-se à:
159
TXLXL log
2
]ˆ|[][
ν
ξ += ,
(3.32)
Expressão (3.33)
Com os resultados acima tem-se:
( ) ( ) T
dN
dNTXL
N
dk
k
N
dk
k log
2
ˆ1
logˆlog][
11
ν
λλ +












−
−−−= ∑∑ +=+=
,
rearrumando:
( ) ( )
T
dN
dNTT
dN
TXL N
dk
k
N
dk
k
N
dk
k
dNN
dk
k
log
2ˆlog
ˆ1
log)(log
2ˆlog
ˆ1
log][
1
1
1
1 ν
λ
λ
ν
λ
λ
+












−
−−=+




















−
−=
∏
∑
∏
∑
+=
+=
+=
−
+=
.
Em [WAX03] prova-se que 1)12( ++−= dNdν , substituindo vem:
TdN
d
dN
dMTXL M
dk
k
dNN
dk
k
log)12(
2ˆ1
ˆ
log)()(
1
1
1
+−+
















−






−−=
∑
∏
+=
−
+=
λ
λ
,
(3.33)
Expressão (3.44)
Usando a expressão logarítmica da máxima verossimilhança tem-se:
{ })(lnmaxˆ,ˆ
,|
1
XpS SAX
−
=θ .
Considerando a expansão da matriz [ ])()()( 21 TtwtwtwW = num vetor coluna Ψ , de
tal sorte que [ ] [ ] jiTji W ,1,)1( =Ψ −+ tem-se:
( ) [ ]
[ ]ΨΨ−=Ψ=
−1
,| exp
det2
1
)()( ψ
ψ
ψ
π
R
R
pXp
H
TNSAX .
160
Calculando ψR :
[ ] [ ][ ] [ ] [ ]**
)()( lkjimnnm
H
nm
tWtWEEER === ψψψψψ ,
onde Tjin )1( −+= e Tlkm )1( −+= . Mas [ ] 2*
)()( wlkji tWtWE σ= quando ki = e lj = ,
caso contrário é nula a expressão. Assim:
[ ] nmwnm
R δσψ
2
= ,
substituindo vem:
( )





 ΨΨ
−= 2,|
2
exp
2
1
)(
w
H
TNTN
w
SAX Xp
σπσ
.
Como [ ] ∑∑∑ = ==
−===Ψ=ΨΨ
N
i
FF
T
j
ij
TN
k
k
H
SAXWW
1
22
1
2
1
2
1 )(θ , tem-se:
( ) 






 −
−= 2
2
,|
2
)(
exp
2
1
)(
w
F
TNTN
w
SAX
SAX
Xp
σ
θ
πσ
.
Aplicando o logaritmo Neperiano na expressão acima, e excluindo os termos independentes:
21
)(minˆ,ˆ
F
SAXS θθ −= −
.
Expressão (3.48)
Da expressão (3.44), verifica-se que é semelhante a expressão (3.39), que cuja a
solução é dada por (3.40) e (3.41). Substituindo apropriadamente as componentes em (3.44)
tem-se:
( ) ( )xA
A
H
A
A
RPXXPA ˆtraçomaxtraçomax
11 −−
== , (3.41)’
mas de (3.48):
( ) ( )[ ]IUUPRPA w
H
EEA
A
xA
A ww
211
ˆˆ~ˆtraçomaxˆtraçomax σ+Λ== ⊥⊥
−−
.
161
Como IP wA
2
ˆσ independe para o problema de otimização tem-se:
( )H
EEA UUP ⊥⊥ Λ= − ˆ~ˆtraçomaxˆ 1
θ
θ . (3.48)
Expressão (3.61)
Este caso é semelhante obtenção da expressão (3.8), só que o multiplicador de
Lagrange, agora, é de natureza vetorial. Da expressão (3.60):
( ){ } 0=−+
∂
∂
λ
H
x
H
cpCpRp
p
, tem-se:
02 =+ λH
x CpR ⇒
2
1
λH
x CR
p
−
−= .
Mas cpC = , multiplicando pela direita por C a última expressão obtida, e substituindo tem-
se:
[ ]
2
1
λH
x CCR
c
−
−= ,
logo:
[ ] cCCR H
x
11
2
−−
−=λ .
Substituindo na expressão para obtenção p , de imediato:
( ) cCCRCRp H
x
H
x
111
ˆ
−−−
= . (3.61)
Expressão (3.64)
Esta expressão é decorrente da expressão (3.63) do obtida acima, onde
[ ] )ˆ()ˆ()ˆ( 1 θθθ AaaC
H
D == , ic é dado por:
[ ]



≠
=
=
ik0,
ik,1
1kic ,
162
e o peso estimado é do i ésimo sinal i
pˆ , substituindo na expressão (3.64):
[ ] [ ] [ ] i
H
x
H
xi
cARAARp
1
11
)ˆ()ˆ()ˆ(ˆ
−
−−




= θθθ , para Di ,...,1= .
Construindo uma matriz DxD tal que a i ésima coluna seja dado por ic , e substituindo na
expressão acima tem-se:
[ ] [ ] [ ] [ ] [ ]D
H
x
H
xD
cccARAARppp 21
1
11
21
)ˆ()ˆ()ˆ(ˆˆˆ
−
−−




= θθθ ,
mas [ ] DDD Iccc ×=21 , obtendo, então, a expressão (3.67):
( ) ( ) ( )
1
11 ˆˆˆˆˆ
−
−−




= θθθ ARAARP x
H
x .
(3.64)
Expressão (3.65)
Usando a expressão (3.1) para distribuição conjunta do vetor )(tx , considerando neste
caso MD ≤ sinais incidentes incoerentes, ou seja, )(tx é vetor Gaussiano de média )()( tsA θ
e matriz covariância wK , e a função densidade de probabilidade de )(tx é dada por:
( ) ( )[ ]
( ) ( )



−−−=
−
)()()()()()(
2
1
exp
det2
1
)),(),(|)((
12
)(),(| tsAtxKtsAtx
K
tsAtxp w
H
w
NwtsAx θθ
π
σθθ
,
onde ( ) [ ])()( 1 DaaA θθθ = , IK ww
2
σ= , substituindo vem:
( )






−−=
2
2
2
)(),(| )()()(
2
1
exp
2
1
)),(),(|)(( tsAtxtsAtxp
w
NN
w
wtsAx θ
σπσ
σθθ .
Considere agora a função densidade de probabilidade de X , )),(),(|(
2
wX tsAXp σθ :
{ } ),)(),(|)(,),(),(()),(),(|(
2
121)(,),(),(
2
21 w
T
kkTtxtxtxwX tsAtxtxtxptsAXp T
σθσθ =
= .
Como os vetores amostras { }T
kktx 1
)( =
são identicamente distribuidas e supondo que sejam
estatisticamente independentes tem-se:
163
{ }
( )
∏=
=














−−=
T
k
kk
w
NN
w
w
T
kkX tsAtxtsAXp
1
2
2
2
1
)()()(
2
1
exp
2
1
),)(),(|( θ
σπσ
σθ ,
{ }
( )






−−





= ∑=
=
T
k
kk
w
T
NN
w
w
T
kkX tsAtxtsAXp
1
2
2
2
1
)()()(
2
1
exp
2
1
),)(),(|( θ
σπσ
σθ .
Aplicando o logaritmo Neperiano a expressão acima e excluindo os termos independentes
tem-se:
{ } ( )∑=
=
−−−=
T
k
kk
w
ww
T
kk tsAtxTNtsAXL
1
2
2
2
1
)()(
2
1
ln),)(),(|( θ
σ
σσθ ,
multiplicando por 2 os termos acima não altera o problema de otimização, assim:
{ } ( )∑=
=
−−−=
T
k
kk
w
ww
T
kk tsAtxTNtsAXL
1
2
2
22
1
)()(
1
ln),)(),(|( θ
σ
σσθ .
(3.65)
Expressão (3.66)
De maneira semelhante a expressão (3.23):
{ } ( )∑=
=
−−−=
T
k
kk
w
ww
T
kk tsAtxTKtsXL
1
2
2
22
1
)()(
1
ln),)(,|( θ
σ
σσθ .
(3.65)
onde ( ){ } ( )∑=
−=−
T
k
kkF
tsAtxSAX
1
22
)()(traço θθ . É fácil verificar que a expressão acima é
máxima quando:
( ) 0)()( =− kk tsAtx θ ,
assim:
( )[ ] ( ) ( ) )()( kk
H
txAtsAA θθθ = ,
multiplicado os dois lados por ( )[ ] ( ){ }1−
θθ AA
H
, tem-se:
( ) )()ˆ()ˆ()ˆ()(ˆ
1
k
HH
k txAAAts θθθ
−
= . (3.66)
164
Expressão (3.67)
Para o m ésimo sinal )(ˆ)(ˆ)( txptstz
H
mm == , assim:
[ ] ( ){ }H
HH
D
AAAppp )ˆ()ˆ()ˆ(ˆˆˆ
1
21
θθθ
−
= ,
logo:
[ ] ( )1
21
)ˆ()ˆ()ˆ(ˆˆˆ
−
= θθθ AAAppp H
D
,
encontrando a expressão (3.67).
Expressão (3.68)
De maneira análoga ao desenvolvimento para expressão (3.23), a função densidade de
probabilidade de X condicionado ao conhecimento de )(θA , sR e
2
wσ é dada por:
),),({|)(,),(),((),),(|( 21)(,),(),(,),(| 21 wsTtxtxtxwsRAX RAtxtxtxpRAXp Tws
σθσθσθ =
Da mesma forma, tem-se:
( ) ( )[ ]
{ }



−=
−
xx
T
x
NT
wsRAX RRT
R
RAXp ws
ˆtraço
2
1
exp
det2
1
),),(|(
1
,),(|
π
σθσθ
Aplicando o logaritmo Neperiano na expressão acima, e excluindo os termos independentes,
tem-se:
( )[ ] ]traço[detln),),(|(
1
xxxws RRTRTRAXL
−
−−=σθ . (3.68)
Expressão (4.16)
Lembrando que:
( ) ( )
( ) ( ) ( ) ( ) 











+−+





+−=





=−
+−
ll
d
knj d
knj
d
knEeEkn
l
θθ
λ
πθθ
λ
πρ
θθ
λ
π
sen2sensen2cos)(
sen2
.
165
Substituindo as expressões (4.14) e (4.15) na expressão acima:
( )( )[ ] ( )( )[ ]l
i
i
i
li iExjiExxkn θθθθρ +−+++=− ∑∑
∞
=
−
∞
=
)12(sen)(J22cos)(J2)(J)(
1
12
1
20 ,
onde )(2 kn
d
x −=
λ
π .
[ ] [ ]{ }
( ) ( )
[ ] ( ) ( )
[ ]{ }ll
ll
ijijijij
i
i
k
ijijijij
i
eEeeEex
eEeeEexxkn
θθθθ
θθθθ
ρ
12121212
1
12
1
2222
20
)(J
)(J)(J)(
−−−−−−
∞
=
−
∞
=
−−
−
+++=−
∑
∑
.
Mas [ ]l
l
j
eEM νθ
θ ν ≡)( é a função característica de lθ , e neste caso é dada por:
2
22
)(
θσν
θ ν
−
= eM l
,
substituindo vem:
( ) ( )
j
ee
iMxj
ee
iMxxkn
ijij
i
i
k
ijij
i ll
2
)12()(J2
2
)2()(J2)(J)(
1212
1
12
1
22
20
θθ
θ
θθ
θρ
−−−∞
=
−
∞
=
−
−
−+
+
+=− ∑∑ ,
pois )()( νν θθ −= ll
MM . Finalmente, rearrumando a expressão acima:
( )
( )( )
.)12sen()(2J2
)2cos()(2J2)(2J)(
1
2
12
12
1
2
2
20
2
2
∑
∑
∞
=
−
−
−
∞
=
−
−





−+






−+





−=−
i
i
i
i
i
i
iekn
d
j
iekn
d
kn
d
kn
θ
λ
π
θ
λ
π
λ
πρ
θ
θ
σ
σ (4.16)
Espaçamento entre as Antenas
Por simplificação de notação para análise da dimensão espacial, será definida a
seguinte função:
),()( rtfrq ≡ .
166
A função )(rq se relaciona com a sua transformada de Fourier )(kQ segundo as expressões:
( ) ∫
⋅
=
3
R
k
rkj
dVekQrq )(
2
1
)( 3
π
, e
∫
⋅−
=
3
R
r
rkj
dVerqkQ )()( ,
onde k
dV e rdV são os elementos diferenciais de volume para os espaços formados por k e r
respectivamente.
Conforme foi antecipado, as antenas de um conjunto de antenas amostram a função de
onda nas posições onde elas se encontram. Considerando a ULA para a disposição das
antenas, pode-se definir a função )(nqd tal que:
)()()( ∆== nqrqnq nd ,
onde θsend=∆ , d é o espaçamento entre as antenas e θ é o ângulo de incidência.
Da mesma forma que o caso contínuo, a função )(nqd se relaciona com a sua
transformada )(kdQ segundo as expressões:
∫−
=
π
ππ
kk k
deQnq jn
dd )(
2
1
)( , e
k
k jn
n
dd enqQ −
∞
−∞=
∑= )()( ,
onde k é equivalente à k para o caso contínuo. Observando as expressões acima, pode-se
escrever )(nqd da seguinte forma:
dkekQnqnq jnk
d
∆
∞
∞−∫=∆= )(
2
1
)()(
π
,
Fazendo ∆= kk , tem-se:
k
k k
deQnq jn
d ∫
∞
∞−






∆∆
=
π2
1
)( ,
167
que pode ser escrita como:
∑ ∫
∞
−∞=
+
+−






∆∆
=
p
jn
p
p
d deQnq k
k k
ππ
πππ
2
22
1
)( .
Fazendo pπ2−= kk , tem-se:
∑ ∫
∞
−∞=
−






∆∆
=
p
njjn
d dee
p
Qnq k
k pk π
π
π
π
π
22-
2
1
)( ,
como 12
=pnj
e π
, tem-se:
∑ ∫
∞
−∞=
−






∆∆
=
p
jn
d de
p
Qnq k
k k
π
π
π
π
2-
2
1
)( .
Aplicando a transformada discreta de Fourier, tem-se:
∑
∞
−∞=






∆∆
=
p
d
p
QQ
π2-1
)(
k
k .
As amostras )(nqd só serão representativas quando não houver perda de informação
da função original )(rq . Isto só acontece quando 0=





∆
k
Q para π>k , ou seja, a largura de
banda de )(rq , qB , for dada por:
∆
≤
π
qB .
No caso de uma onda plana incidente na ULA considerada, tem-se:






−= rtsrq
cλω
θπ sen2
)( ,
e a largura de banda de )(rq é:
s
c
q BB
λω
θπ sen2
= .
168
Mas de (2.3), a largura de faixa de )(ts é cω , pois tj c
etyts ω
)()( = , onde )(ty é considerado
de faixa estreita. Substituindo na expressão acima, tem-se:
λ
θπ sen2
=qB ,
Aplicando na expressão anterior, tem-se:
∆
≤
π
λ
θπ sen2
,
rearrumando e substituindo vem:
2
1
sen2
≤θ
λ
d
,
como 1sen ≤θ , tem-se:
2
1
≤
λ
d
.
Assim, para que não haja perda de informação na amostragem espacial, para uma ULA é
necessário que o afastamento entre antenas não seja superior à λ5.0 .
Evaluation of the direction of arrival estimation methods for the wireless communications systems (beamforming & smart antenna)

Evaluation of the direction of arrival estimation methods for the wireless communications systems (beamforming & smart antenna)

  • 1.
    Alberto Magno SilveiraBoaventura Avaliação de Métodos de Estimação da Direção de Chegada de Sinais em Sistemas de Comunicações Celulares Dissertação apresentada ao Departamento de Engenharia Elétrica da PUC-RJ como parte dos requisitos para obtenção do título de Mestre em Engenharia Elétrica. Orientador: João Célio Brandão CETUC Pontifícia Universidade Católica do Rio de Janeiro Rio de Janeiro, 30 de Abril de 1998.
  • 2.
    Ao meu filhoe ao meu irmão José.
  • 3.
    Agradecimentos Ao Professor JoãoCélio Brandão pelo crédito, sugestões e apoio; Aos Professores do CETUC; À EMBRATEL pela oportunidade e financiamento do meu curso; Ao amigo Gofredo Jorge Moreira pelo incentivo e apoio durante todo o curso; Ao Professor José Fabiano da Rocha pelo apoio; À minha mulher e ao meu filho pela paciência.
  • 4.
    Resumo Este estudo tempor objetivo contribuir para o emprego de antenas adaptativas em sistemas de comunicações sem fio. É feita uma revisão dos métodos de estimação de ângulo de chegada e de sua utilização na formação de feixe. O desempenho de alguns métodos baseados em subspace fitting é comparado através de simulação considerando quatro cenários. O primeiro supõe apenas a presença de ruído. Os demais consideram os modelos típicos de espalhamento local, ou seja, espalhamento aleatório dos ângulos de chegada. Abstract This work intends to contribute for the employment of the Adaptive Antennas in Wireless Communications. In this way, a review of methods for direction of arrival estimation and beamforming is presented. The performance of some subspace fitting direction of arrival estimation methods is evaluated by simulation considering four propagation scenarios: The first assumes only additive white Gaussian noise; The three others consider typical models for local scattering , which means a random angular spread of angle of arrival.
  • 5.
    iii Sumário 1. INTRODUÇÃO.................................................................................................................................................1 1.1 SISTEMASDE COMUNICAÇÕES MÓVEIS .........................................................................................................3 1.2 MÉTODOS DE ACESSO....................................................................................................................................5 1.2.1 FDMA.....................................................................................................................................................6 1.2.2 TDMA.....................................................................................................................................................6 1.2.3 CDMA ....................................................................................................................................................7 1.2.4 TDD e FDD............................................................................................................................................8 1.3 O SDMA .......................................................................................................................................................9 1.3.1 Segmentação ..........................................................................................................................................9 1.3.2 Setorização...........................................................................................................................................10 1.3.3 Antenas Adaptativas.............................................................................................................................11 1.4 ANTENAS ADAPTATIVAS..............................................................................................................................13 1.4.1 Estimação da Direção de Chegada......................................................................................................13 1.4.2 Formação Ótima de Feixe e a Estimação da Direção de Chegada ....................................................14 1.4.3 Antenas Adaptativas em Comunicações Móveis...................................................................................15 1.4.4 Limitações ............................................................................................................................................16 1.5 OBJETIVO DESTE ESTUDO ............................................................................................................................18 2. ANTENAS ADAPTATIVAS..........................................................................................................................19 2.1 FUNÇÃO DE ONDA - WAVEFIELD ................................................................................................................19 2.1.1 Representação Complexa.....................................................................................................................20 2.1.2 Sinal de Faixa Estreita.........................................................................................................................21 2.2 ANTENA.......................................................................................................................................................22 2.2.1 Diagrama de Irradiação ......................................................................................................................24 2.2.2 Lobo Principal .....................................................................................................................................24 2.2.3 Matriz de Antenas.................................................................................................................................25 2.3 EXPLORANDO A DIMENSÃO ESPACIAL.........................................................................................................27 2.3.1 Amostragem Espacial...........................................................................................................................28 2.3.2 Array Manifold e Estimação de Parâmetros........................................................................................29 2.3.3 Matriz Covariância Espacial e Propriedades Algébricas....................................................................31 2.3.4 ULA - Uniform Linear Array................................................................................................................33 2.4 RESPOSTA DO CONJUNTO DE ANTENAS - BEAMFORMING ..............................................................................36 2.4.1 Formas de Implementação do Beamforming........................................................................................36 2.4.2 Phased Array........................................................................................................................................38 2.4.3 Modelo Geral .......................................................................................................................................41 2.4.4 Diagrama de Irradiação do Conjunto de Antenas ...............................................................................42 2.4.5 Formação Convencional de Feixe.......................................................................................................43 2.4.6 Cancelamento de Sinais - Null Steering...............................................................................................45 2.4.7 Formação Ótima de Feixe....................................................................................................................45 3. FORMAÇÃO ÓTIMA DE FEIXE E A ESTIMAÇÃO DA DIREÇÃO DE CHEGADA..........................46 3.1 MOTIVAÇÃO PARA ESTIMAÇÃO DA DIREÇÃO DE CHEGADA.........................................................................47 3.2 ESTIMAÇÃO DA DIREÇÃO DE CHEGADA BASEADO NA RESPOSTA DO CONJUNTO DE ANTENAS ....................48 3.2.1 Método da Variância da Resposta do Phased Array............................................................................48 3.2.2 Método de Mínima Variância...............................................................................................................49 3.2.3 Método da Maximização da Relação Sinal Ruído................................................................................49 3.3 ESTIMAÇÃO DA DIREÇÃO DE CHEGADA BASEADO NA DECOMPOSIÇÃO EM VALORES SINGULARES...............50
  • 6.
    iv 3.3.1 Decomposição Harmônicade Pisarenko .............................................................................................51 3.3.2 MUSIC .................................................................................................................................................52 Resolução dos Métodos de Estimação da Direção de Chegada....................................................................53 3.4 ESTIMAÇÃO DA MATRIZ COVARIÂNCIA ESPACIAL.......................................................................................56 3.5 FORMAÇÃO ÓTIMA DE FEIXE BASEADO NA DIREÇÃO DE CHEGADA..............................................................58 3.5.1 Estimação do Número de Sinais Presentes ..........................................................................................59 3.5.1.1 MDL Minimum Description Length .................................................................................................................59 3.5.1.2 AIC Akaike’s Information Criterion.................................................................................................................61 3.5.1.3 Método Proposto por XU..................................................................................................................................61 3.5.2 Estimação do Ângulo de Chegada .......................................................................................................62 3.5.2.1 MD-MUSIC......................................................................................................................................................63 3.5.2.2 Estimador Máxima Verossimilhança para o Ângulo de chegada .....................................................................63 3.5.2.3 WSF Weighted Subspace Fitting......................................................................................................................64 3.5.2.4 MODE Method of Direction of Arrival Estimation..........................................................................................65 3.5.2.5 ROOT MUSIC..................................................................................................................................................66 3.5.3 Estimação do Sinal - Formação ótima de feixe....................................................................................68 3.5.3.1 Método com Restrições ....................................................................................................................................68 3.5.3.2 LLMV Least Linear Minimum Variance.........................................................................................................68 3.5.3.3 Estimador de Máxima Verossimilhança para o Sinal Determinístico ..............................................................69 3.5.3.4 Estimador de Máxima Verossimilhança para o Sinal Estocástico....................................................................70 4. ANTENAS ADAPTATIVAS EM COMUNICAÇÕES MÓVEIS ...............................................................72 4.1 MODELO DE PROPAGAÇÃO...........................................................................................................................72 4.1.1 Desvanecimento em Grande Escala.....................................................................................................74 4.1.2 Desvanecimento em Pequena Escala ...................................................................................................75 4.1.3 Desvanecimento Plano e Seletivo.........................................................................................................77 4.1.4 Desvanecimento Lento e Rápido ..........................................................................................................78 4.2 MODELO DE PROPAGAÇÃO E SINAIS RECEBIDOS NUMA MATRIZ DE ANTENAS...........................................78 4.2.1 Espalhamento Local.............................................................................................................................78 4.2.2 Espalhamento Local e a ULA...............................................................................................................81 4.2.3 Distribuição Gaussiana........................................................................................................................82 4.2.4 Modelo Circular...................................................................................................................................84 4.2.5 Modelo de Distribuição Uniforme........................................................................................................85 5. SIMULAÇÕES................................................................................................................................................87 5.1 MODELO E CARACTERÍSTICAS GERAIS DA SIMULAÇÃO ...............................................................................87 5.1.1 Obtenção da Matriz Covariância Espacial..........................................................................................88 5.1.2 Considerações para Implementação dos Métodos de Estimação da Direção de Chegada..................89 5.2 AMBIENTE SOMENTE COM RUÍDO BRANCO..................................................................................................90 5.2.1 Estimação do número de sinais presentes............................................................................................90 5.2.2 Estimação da Direção de Chegada......................................................................................................92 5.2.3 Estimação do Sinal - Formação de Feixe ..........................................................................................104 5.3 ESPALHAMENTO LOCAL COM DISTRIBUIÇÃO GAUSSIANA .........................................................................110 5.3.1 Estimação da Direção de Chegada Sem a Componente de Visada Direta ........................................110 5.3.2 Estimação da Direção de Chegada Com a Componente de Visada Direta com Energia Variável....113 5.4 ESPALHAMENTO LOCAL COM MODELO CIRCULAR ....................................................................................116 5.4.1 Estimação da Direção de Chegada Sem a Componente de visada direta..........................................116 5.5 ESPALHAMENTO LOCAL COM MODELO DE DISTRIBUIÇÃO UNIFORME .......................................................119 5.5.1 Estimação da Direção de Chegada Sem a Componente de Visada Direta ........................................120 6. CONCLUSÃO ...............................................................................................................................................123 REFERÊNCIAS................................................................................................................................................126 ANEXO I............................................................................................................................................................133 NOTAÇÕES.......................................................................................................................................................133 Representação Geral...................................................................................................................................133 Capítulo 2....................................................................................................................................................134
  • 7.
    v Capítulo 3....................................................................................................................................................136 Capítulo 4....................................................................................................................................................137 Capítulo5....................................................................................................................................................138 DEDUÇÃO DAS EXPRESSÕES INDICADAS NO TEXTO.........................................................................................138 Expressões (2.1) e (2.2)...............................................................................................................................138 Propriedades dos Autovalores e Autovetores de uma Matriz Hermitiana .................................................140 Expressão (2.23) .........................................................................................................................................143 Expressão (2.22) .........................................................................................................................................144 Expressão (2.23) .........................................................................................................................................146 Expressão (2.24) .........................................................................................................................................147 Expressão (2.26) .........................................................................................................................................147 Expressão (2.45) .........................................................................................................................................148 Ganho das Antenas Adaptativas..................................................................................................................149 Expressão (3.3) ...........................................................................................................................................150 Expressão (3.4) ...........................................................................................................................................151 Expressão (3.8) ...........................................................................................................................................151 Expressão (3.9) ...........................................................................................................................................152 Expressão (3.16) .........................................................................................................................................152 Expressão (3.20) .........................................................................................................................................153 Expressão (3.23) .........................................................................................................................................154 Expressões (3.31) ........................................................................................................................................155 Expressão (3.32) .........................................................................................................................................157 Expressão (3.33) .........................................................................................................................................159 Expressão (3.44) .........................................................................................................................................159 Expressão (3.48) .........................................................................................................................................160 Expressão (3.61) .........................................................................................................................................161 Expressão (3.64) .........................................................................................................................................161 Expressão (3.65) .........................................................................................................................................162 Expressão (3.66) .........................................................................................................................................163 Expressão (3.67) .........................................................................................................................................164 Expressão (3.68) .........................................................................................................................................164 Expressão (4.16) .........................................................................................................................................164 Espaçamento entre as Antenas....................................................................................................................165
  • 8.
    vi Lista de Figurase Tabelas FIGURA 1.1 - PANORAMA DO PADRÕES TECNOLÓGICOS PARA O ATENDIMENTO DOS SERVIÇOS FIXOS E MÓVEIS ......3 FIGURA 1.2 - SISTEMA DE COMUNICAÇÃO MÓVEL CELULAR E SEUS COMPONENTES..............................................4 FIGURA 1.3 - REGIÃO GEOGRÁFICA DIVIDIDA EM CÉLULAS .....................................................................................4 FIGURA 1.4- REPRESENTAÇÃO DOS RECURSOS DE NATUREZA TEMPORAL................................................................5 FIGURA 1.5 - UTILIZAÇÃO DOS RECURSOS DO MEIO NO CASO FDMA......................................................................6 FIGURA 1.6 - UTILIZAÇÃO DOS RECURSOS DO MEIO NO CASO TDMA DE FAIXA ESTREITA.......................................7 FIGURA1.7 - FREQUENCY HOPPED..........................................................................................................................7 FIGURA 1.8 - UTILIZAÇÃO DOS RECURSOS DO MEIO NO CASO CDMA DE FAIXA ESTREITA .....................................7 FIGURA 1.9 A- FDD FREQUENCY DIVISION DUPLEX ...............................................................................................8 FIGURA1.9 B- TDD TIME DIVISION DUPLEX ..........................................................................................................8 TABELA 1.1 - TÉCNICAS DE MÚLTIPLO ACESSO UTILIZADAS NOS PADRÕES DE COMUNICAÇÕES MÓVEIS EXISTENTES......................................................................................................................................................9 FIGURA 1.10- SEGMENTAÇÃO DE CÉLULAS............................................................................................................10 FIGURA 1.11 A - SETORIZAÇÃO COM SETORES DE 60 º ...........................................................................................11 FIGURA 1.11B - SETORIZAÇÃO COM SETORES DE 120 º ..........................................................................................11 FIGURA 1.12 A - SETORIZAÇÃO..............................................................................................................................11 FIGURA 1.12 B - SDMA IDEAL ANTENAS MAIS DIRETIVAS, PODENDO SER IMPLEMENTADO USANDO ANTENAS ADAPTATIVAS ................................................................................................................................................11 FIGURA 1.13 - ANTENAS ADAPTATIVAS, AMOSTRAGEM ESPACIAL DO SINAL E AJUSTE DO DIAGRAMA DE IRRADIAÇÃO...................................................................................................................................................12 FIGURA 1.14 - CÉLULAS COM FORMATOS QUE SE AJUSTAM A AGRUPAMENTOS DE TERMINAIS MÓVEIS DE ACORDO COM A DEMANDA. ..........................................................................................................................................16 FIGURA 1.15 - DESVANECIMENTO DEVIDO A MULTIPERCURSO. .............................................................................17 FIGURA 1.16 ..........................................................................................................................................................18 FIGURA 2.1 - SUPERFÍCIES DE NÍVEL DE UMA ONDA PLANA QUE SE PROPAGA NA DIREÇÃO 0k . ..............................20 FIGURA 2.2 - REPRESENTAÇÃO NA FREQÜÊNCIA DO SINAL )(ty ............................................................................22 FIGURA 2.3A - ANTENA COMO UM TRANSDUTOR, NA RECEPÇÃO TRANSFORMANDO UMA FUNÇÃO NO ESPAÇO- TEMPO EM OUTRA APENAS NO TEMPO.............................................................................................................23 FIGURA 2.3B - ANTENA COMO UM TRANSDUTOR, NA TRANSMISSÃO TRANSFORMANDO UMA FUNÇÃO NO TEMPO EM OUTRANO ESPAÇO E TEMPO............................................................................................................................23 FIGURA 2.4A - ELEMENTOS DA GEOMETRIA DO DIAGRAMA DE IRRADIAÇÃO..........................................................25 FIGURA2.4 B - DIAGRAMA DE IRRADIAÇÃO DE ......................................................................................................25 FIGURA 2.4C - REPRESENTAÇÃO PLANAR DO DIAGRAMA DE IRRADIAÇÃO DA ANTENA VISTA EM B) . ....................25 FIGURA2.5 - REPRESENTAÇÃO ESQUEMÁTICA DE UM PHASED ARRAY COM 7 ELEMENTOS DISPOSTOS DE MANEIRA LINEAR...........................................................................................................................................................26 FIGURA 2.6 - DIAGRAMA DE IRRADIAÇÃO EQUIVALENTE DO PHASED ARRAY AO LADO, INDICANDO OS LOBOS PRINCIPAL E OS SECUNDÁRIOS........................................................................................................................26 FIGURA 2.7 - DIAGRAMA ESQUEMÁTICO DE UM CONJUNTO DE ANTENAS ADAPTATIVAS........................................27 FIGURA 2.8 CONJUNTO DE ANTENAS ARBITRÁRIO .................................................................................................28 FIGURA 2.9 - ARRAY MANIFOLD COMO UMA APLICAÇÃO DOS PARÂMETROS ESTIMÁVEIS. ....................................30 FIGURA 2.10- DISTRIBUIÇÃO DOS AUTOVALORES AOS AUTOVETORES CORRESPONDENTES DA MATRIZ COVARIÂNCIA ESPACIAL ................................................................................................................................31 FIGURA 2.11 - CONJUNTO DE ANTENAS COM DISTRIBUIÇÃO UNIFORME E LINEAR ULA ........................................33 FIGURA 2.12 - GEOMETRIA PARA O CÁLCULO DA CONSTANTE DE PROPAGAÇÃO....................................................34 FIGURA 2.13 - SIMETRIA DA ULA .........................................................................................................................35 FIGURA 2.14 - UNIFORM CIRCULAR ARRAY - UCA..............................................................................................36 FIGURA 2.15 - EXEMPLO DE IMPLEMENTAÇÃO DO BEAMFORMING ANALÓGICO. ...................................................37 FIGURA 2.16 - ARQUITETURA GENÉRICA DE SISTEMA DBF....................................................................................37
  • 9.
    vii FIGURA 2.17 -ARQUITETURA PARA O SISTEMA DECT USANDO ANTENAS ADAPTATIVAS APENAS NA RECEPÇÃO..38 FIGURA 2.18 - M SINAIS INCIDENTES NUM PHASED ARRAY..................................................................................39 FIGURA 2.19 - RESPOSTA DE UM CONJUNTO DE ANTENAS......................................................................................41 FIGURA 2.20 - REPRESENTAÇÃO DE UM CONJUNTO DE ANTENAS COPLANAR .........................................................42 FIGURA 2.21A - GRÁFICOS CARTESIANOS DE UM PHASED ARRAY COM 8 ELEMENTOS, AJUSTADO PARA 0º EM AZUL, E 45º EM VERMELHO. .....................................................................................................................................43 FIGURA 2.21B - DIAGRAMA DE IRRADIAÇÃO DE UM PHASED ARRAY COM 8 ELEMENTOS, AJUSTADO PARA 0º EM AZUL, E 45º EM VERMELHO............................................................................................................................43 FIGURA 2.22 A - ULA COM 8 ELEMENTOS E AS DIREÇÕES INDICADAS PARA OBTENÇÃO DE GANHO MÁXIMO. .......44 FIGURA 2.22 B - DIAGRAMA DE IRRADIAÇÃO UTILIZANDO AS RESTRIÇÕES DE GANHOS MÁXIMOS EM -45º, 0º, 15º E 60º .................................................................................................................................................................44 FIGURA 3.2 - QUATRO SINAIS INCIDENTES NUMA ULA COM OITO ELEMENTOS .....................................................53 FIGURA 3.3- GRÁFICO DO MUSIC APLICADO A ULA DE 8 ELEMENTOS E 4 SINAIS COM DUAS POSIÇÕES DE VISUALIZAÇÃO...............................................................................................................................................53 FIGURA 3.4 - VISUALIZAÇÃO GRÁFICA DA RESOLUÇÃO DE UMA FUNÇÃO SEGUNDO O CRITÉRIO DE RAYLEIGH. ....54 FIGURA 3.5 - VISUALIZAÇÃO GRÁFICA DA RESOLUÇÃO DE UMA FUNÇÃO. .............................................................54 FIGURA 3.6 A - RESOLUÇÃO DO BASEADO NA VARIÂNCIA DA RESPOSTA DO CONJUNTO DE ANTENAS EM FUNÇÃO DO AFASTAMENTO, PARA CONJUNTO DE ANTENAS COM 8, 19 E 30 ELEMENTOS.............................................55 FIGURA 3.6 B - RESOLUÇÃO DO MUSIC EM FUNÇÃO DO AFASTAMENTO, PARA CONJUNTO DE ANTENAS COM 8, 19 E 30 ELEMENTOS............................................................................................................................................55 FIGURA 3.6 C -COMPARAÇÃO ENTRE A RESOLUÇÃO DO BASEADO NA VARIÂNCIA DA RESPOSTA E O MUSIC PARA UM CONJUNTO COM 8 ELEMENTOS. ................................................................................................................55 FIGURA 3.7 - GRÁFICO COMPARANDO A RESOLUÇÃO ENTRE DIVERSOS MÉTODOS. ................................................56 FIGURA 3.8 - ESQUEMA DE FORMAÇÃO ÓTIMA DE FEIXE BASEADO NA DIREÇÃO DE CHEGADA............................58 FIGURA 3.9 - REPRESENTAÇÃO NO PLANO COMPLEXO A RAIZ R DO POLINÔMIO )(zP ............................................67 FIGURA 4.2 - FORMAS DE DESVANECIMENTO DO CANAL.......................................................................................73 FIGURA 4.3- DESVANECIMENTO EM PEQUENA E GRANDE ESCALA..........................................................................74 FIGURA 4.4 - DESVANECIMENTO DEVIDO A MULTIPERCURSO. ...............................................................................75 FIGURA 4.5 - CANAL DEPENDENTE DO TEMPO .......................................................................................................76 FIGURA 4.6A - O TERMINAL MÓVEL NA POSIÇÃO D1...............................................................................................76 FIGURA 4.6B - O TERMINAL MÓVEL NA POSIÇÃO D2 ...............................................................................................76 FIGURA 4.7 - DENSIDADE DE POTÊNCIA E FUNÇÃO AUTOCORRELAÇÃO DO CANAL EM FUNÇÃO DO RETARDO DEVIDO AO MULTIPERCURSO..........................................................................................................................77 FIGURA 4.8 - GRÁFICO DA FUNÇÃO AUTOCORRELAÇÃO E DENSIDADE DE POTÊNCIA EM FUNÇÃO DA VARIAÇÃO TEMPORAL DO AMBIENTE DE PROPAGAÇÃO....................................................................................................78 FIGURA 4.7 - ESPALHAMENTO LOCAL....................................................................................................................79 FIGURA 4.8 - DETALHAMENTO DO SINAL ESPALHADO ..........................................................................................79 FIGURA 4.9 - REPRESENTAÇÃO ESQUEMÁTICA DO MODELO DE ESPALHAMENTO ANGULAR....................................82 FIGURA 4.10 - DIAGRAMA ESQUEMÁTICO PARA REPRESENTAÇÃO DO MODELO CIRCULAR.....................................84 FIGURA 4.11- DIAGRAMA PARA ENTENDIMENTO DA DISTRIBUIÇÃO UNIFORME .....................................................85 FIGURA 5.1- FREQÜÊNCIA RELATIVA DO MDL EM FUNÇÃO DO NÚMERO DE AMOSTRAS PARA AFASTAMENTO ANGULAR DE 4º, 12º E 20 º.............................................................................................................................91 FIGURA 5.2- FREQÜÊNCIA RELATIVA DO AIC EM FUNÇÃO DO NÚMERO DE AMOSTRAS PARA AFASTAMENTO ANGULAR DE 4º, 12º E 20 º.............................................................................................................................91 FIGURA 5.3- COMPARAÇÃO ENTRE O MDL E O AIC EM FUNÇÃO DO NÚMERO DE AMOSTRAS PARA AFASTAMENTO ANGULAR DE 12º. ..........................................................................................................................................91 FIGURA 5.4 - FREQÜÊNCIA RELATIVA DO MDL EM FUNÇÃO DA RELAÇÃO SINAL-RUÍDO PARA AFASTAMENTO ANGULAR MÍNIMO DE 4º, 12º E 20º.................................................................................................................92 FIGURA 5.5 - FREQÜÊNCIA RELATIVA DO AIC EM FUNÇÃO DA RELAÇÃO SINAL-RUÍDO PARA AFASTAMENTO ANGULAR MÍNIMO DE 4º, 12º E 20º.................................................................................................................92 FIGURA 5.6- COMPARAÇÃO ENTRE MDL E O AIC EM FUNÇÃO DA RELAÇÃO SINAL-RUÍDO PARA AFASTAMENTO ANGULAR MÍNIMO DE 12º...............................................................................................................................92 FIGURA 5.7 - ULA COM 8 ELEMENTOS E 4 SINAIS INCIDENTES ..............................................................................93 FIGURA 5.8 - MSE DO MD MUSIC EM FUNÇÃO DO NÚMERO DE AMOSTRAS E DA RELAÇÃO SINAL RUÍDO............93 FIGURA 5.9 - MSE DO WSF EM FUNÇÃO DO NÚMERO DE AMOSTRAS E DA RELAÇÃO SINAL RUÍDO. ....................93 FIGURA 5.10 - MSE DO ML EM FUNÇÃO DO NÚMERO DE AMOSTRAS E DA RELAÇÃO SINAL RUÍDO......................94 FIGURA 5.11 A- MSE DO MODE EM FUNÇÃO DO NÚMERO DE AMOSTRAS E DA RELAÇÃO SINAL RUÍDO...............94
  • 10.
    viii FIGURA 5.12 -MSE DO MUSIC UNIDIMENSIONAL EM FUNÇÃO DO NÚMERO DE AMOSTRAS E DA RELAÇÃO SINAL RUÍDO. .................................................................................................................................................94 FIGURA 5.13 - MSE DO ROOT MUSIC EM FUNÇÃO DO NÚMERO DE AMOSTRAS E DA RELAÇÃO SINAL RUÍDO. ..95 FIGURA 5.14 - COMPARAÇÃO ENTRE OS DIVERSOS MÉTODOS EM FUNÇÃO DO NÚMERO DE AMOSTRAS PARA RELAÇÃO SINAL RUÍDO DE 2 DB.....................................................................................................................95 FIGURA 5.15 - MSE DO MD MUSIC EM FUNÇÃO DO NÚMERO DE ANTENAS E DA RELAÇÃO SINAL RUÍDO. ..........96 FIGURA 5.16 - MSE DO WSF EM FUNÇÃO DO NÚMERO DE ANTENAS E DA RELAÇÃO SINAL RUÍDO......................96 FIGURA 5.17 - MSE DO ML EM FUNÇÃO DO NÚMERO DE ANTENAS E DA RELAÇÃO SINAL RUÍDO........................96 FIGURA 5.18 - MSE DO MODE EM FUNÇÃO DO NÚMERO DE ANTENAS E DA RELAÇÃO SINAL RUÍDO. .................97 FIGURA 5.19 - MSE DO MUSIC UDIMENSIONAL EM FUNÇÃO DO NÚMERO DE ANTENAS E DA RELAÇÃO SINAL RUÍDO. ...........................................................................................................................................................97 FIGURA 5.20 - MSE DO ROOT MUSIC EM FUNÇÃO DO NÚMERO DE ANTENAS E DA RELAÇÃO SINAL RUÍDO.......97 FIGURA 5.21 - COMPARAÇÃO ENTRE OS MÉTODOS DE ESTIMAÇÃO DA DIREÇÃO DE CHEGADA...............................98 FIGURA 5.22 - ESQUEMA DO AMBIENTE PARA AS SIMULAÇÕES ONDE O AFASTAMENTO ANGULARθ E O NÚMERO DE ANTENAS VARIAM..........................................................................................................................................98 FIGURA 5.23 - MSE DO MD MUSIC EM FUNÇÃO DO NÚMERO DE ANTENAS E DO AFASTAMENTO ANGULAR θ .....99 FIGURA 5.24 - MSE DO WSF EM FUNÇÃO DO NÚMERO DE ANTENAS E DO AFASTAMENTO ANGULAR θ . ..............99 FIGURA 5.25 - MSE DO ML EM FUNÇÃO DO NÚMERO DE ANTENAS E DO AFASTAMENTO ANGULAR θ . ...............99 FIGURA 5.26 - MSE DO MODE EM FUNÇÃO DO NÚMERO DE ANTENAS E DO AFASTAMENTO ANGULAR θ .........100 FIGURA 5.27 - MSE DO MUSIC UDIMENSIONAL EM FUNÇÃO DO NÚMERO DE ANTENAS E DO AFASTAMENTO ANGULAR θ . ................................................................................................................................................100 FIGURA 5.28 - MSE DO ROOT MUSIC EM FUNÇÃO DO NÚMERO DE ANTENAS E DO AFASTAMENTO ANGULAR θ .100 FIGURA 5.29 - GRÁFICO COMPARATIVO DOS DIVERSOS MÉTODOS EM FUNÇÃO DO AFASTAMENTO CONSIDERANDO 8 ANTENAS...................................................................................................................................................101 FIGURA 5.30 - MSE DO MD MUSIC EM FUNÇÃO DO ÍNDICE DE CORRELAÇÃO E DO AFASTAMENTO ANGULAR θ .102 FIGURA 5.31 - MSE DO WSF EM FUNÇÃO DO ÍNDICE DE CORRELAÇÃO E DO AFASTAMENTO ANGULAR θ .......102 FIGURA 5.32 - MSE DO ML EM FUNÇÃO DO ÍNDICE DE CORRELAÇÃO E DO AFASTAMENTO ANGULAR θ . ........102 FIGURA 5.33 - MSE DO MODE EM FUNÇÃO DO ÍNDICE DE CORRELAÇÃO E DO AFASTAMENTO ANGULAR θ . ..103 FIGURA 5.34 - MSE DO MUSIC UNIDIMENSIONAL EM FUNÇÃO DO ÍNDICE DE CORRELAÇÃO E DO AFASTAMENTO ANGULAR θ .........................................................................................................................103 FIGURA 5.35 - MSE DO ROOT MUSIC EM FUNÇÃO DO ÍNDICE DE CORRELAÇÃO E DO AFASTAMENTO ANGULAR θ ..................................................................................................................................................................103 FIGURA 5.36 - COMPARAÇÃO ENTRE OS MÉTODOS PARA ÍNDICE DE CORRELAÇÃO DE 1.0...................................104 FIGURA 5.37 A - ÍNDICE DE CORRELAÇÃO ENTRE O SINAL REAL E O SINAL ESTIMADO COM O BEAMFORMING CONVENCIONAL EM FUNÇÃO DA RELAÇÃO SINAL RUÍDO PARA 10, 250 E 6250 AMOSTRAS PARA ESTIMAR A MATRIZ COVARIÂNCIA ESPACIAL. O MÉTODO DE ESTIMAÇÃO DA DIREÇÃO FOI O WSF................................105 FIGURA 5.37 B - ÍNDICE DE CORRELAÇÃO ENTRE O SINAL REAL E O SINAL ESTIMADO COM O BEAMFORMING CONVENCIONAL EM FUNÇÃO DA RELAÇÃO SINAL RUÍDO PARA 10, 250 E 6250 AMOSTRAS PARA ESTIMAR A MATRIZ COVARIÂNCIA ESPACIAL. O MÉTODO DE ESTIMAÇÃO DA DIREÇÃO FOI O ROOT MUSIC................105 FIGURA 5.37 C - COMPARAÇÃO ENTRE OS MÉTODOS DE ESTIMAÇÃO DA DIREÇÃO DE CHEGADA E O IDEAL EM COMBINAÇÃO COM O BEAMFORMING CONVENCIONAL EM FUNÇÃO DA RELAÇÃO SINAL RUÍDO PARA 250 AMOSTRAS. ..................................................................................................................................................105 FIGURA 5.38 A - ÍNDICE DE CORRELAÇÃO ENTRE O SINAL REAL E O SINAL ESTIMADO COM O MÉTODO DE MÍNIMA VARIÂNCIA EM FUNÇÃO DA RELAÇÃO SINAL RUÍDO PARA 10, 250 E 6250 AMOSTRAS PARA ESTIMAR A MATRIZ COVARIÂNCIA ESPACIAL. O MÉTODO DE ESTIMAÇÃO DA DIREÇÃO FOI O WSF................................106 FIGURA 5.38 B - ÍNDICE DE CORRELAÇÃO ENTRE O SINAL REAL E O SINAL ESTIMADO COM O MÉTODO DE MÍNIMA VARIÂNCIA EM FUNÇÃO DA RELAÇÃO SINAL RUÍDO PARA 10, 250 E 6250 AMOSTRAS PARA ESTIMAR A MATRIZ COVARIÂNCIA ESPACIAL. O MÉTODO DE ESTIMAÇÃO DA DIREÇÃO FOI O ROOT MUSIC................106 FIGURA 5.38 C - COMPARAÇÃO ENTRE OS MÉTODOS DE ESTIMAÇÃO DA DIREÇÃO DE CHEGADA E O IDEAL EM COMBINAÇÃO COM O MÉTODO DE MÍNIMA VARIÂNCIA EM FUNÇÃO DA RELAÇÃO SINAL RUÍDO PARA 250 AMOSTRAS. ..................................................................................................................................................106 FIGURA 5.39 A - ÍNDICE DE CORRELAÇÃO ENTRE O SINAL REAL E O SINAL ESTIMADO COM O MÉTODO LEAST LINEAR MINIMUM VARIANCE EM FUNÇÃO DA RELAÇÃO SINAL RUÍDO PARA 10, 250 E 6250 AMOSTRAS PARA ESTIMAR A MATRIZ COVARIÂNCIA ESPACIAL. O MÉTODO DE ESTIMAÇÃO DA DIREÇÃO FOI O WSF..............106
  • 11.
    ix FIGURA 5.39 B- ÍNDICE DE CORRELAÇÃO ENTRE O SINAL REAL E O SINAL ESTIMADO COM O MÉTODO LEAST LINEAR MINIMUM VARIANCE EM FUNÇÃO DA RELAÇÃO SINAL RUÍDO PARA 10, 250 E 6250 AMOSTRAS PARA ESTIMAR A MATRIZ COVARIÂNCIA ESPACIAL. O MÉTODO DE ESTIMAÇÃO DA DIREÇÃO FOI O ROOT MUSIC.106 FIGURA 5.39 C - COMPARAÇÃO ENTRE OS MÉTODOS DE ESTIMAÇÃO DA DIREÇÃO DE CHEGADA E O IDEAL EM COMBINAÇÃO COM O MÉTODO DE LEAST LINEAR MINIMUM VARIANCE EM FUNÇÃO DA RELAÇÃO SINAL RUÍDO PARA 250 AMOSTRAS. .......................................................................................................................106 FIGURA 5.40 A - ÍNDICE DE CORRELAÇÃO ENTRE O SINAL REAL E O SINAL ESTIMADO COM O MÉTODO DE MÁXIMA VEROSSIMILHANÇA COM SINAL CONHECIDO EM FUNÇÃO DA RELAÇÃO SINAL RUÍDO PARA 10, 250 E 6250 AMOSTRAS PARA ESTIMAR A MATRIZ COVARIÂNCIA ESPACIAL. O MÉTODO DE ESTIMAÇÃO DA DIREÇÃO FOI O WSF. ...........................................................................................................................................................106 FIGURA 5.40 B - ÍNDICE DE CORRELAÇÃO ENTRE O SINAL REAL E O SINAL ESTIMADO COM O MÉTODO DE MÁXIMA VEROSSIMILHANÇA COM SINAL CONHECIDO EM FUNÇÃO DA RELAÇÃO SINAL RUÍDO PARA 10, 250 E 6250 AMOSTRAS PARA ESTIMAR A MATRIZ COVARIÂNCIA ESPACIAL. O MÉTODO DE ESTIMAÇÃO DA DIREÇÃO FOI O ROOT MUSIC. ...........................................................................................................................................106 FIGURA 5.40 C - COMPARAÇÃO ENTRE OS MÉTODOS DE ESTIMAÇÃO DA DIREÇÃO DE CHEGADA E O IDEAL EM COMBINAÇÃO COM O MÉTODO DE MÁXIMA VEROSSIMILHANÇA COM SINAL CONHECIDO EM FUNÇÃO DA RELAÇÃO SINAL RUÍDO PARA 250 AMOSTRAS. .............................................................................................106 FIGURA 5.41 A - ÍNDICE DE CORRELAÇÃO ENTRE O SINAL REAL E O SINAL ESTIMADO COM O MÉTODO DE MÁXIMA VEROSSIMILHANÇA COM SINAL DESCONHECIDO EM FUNÇÃO DA RELAÇÃO SINAL RUÍDO PARA 10, 250 E 6250 AMOSTRAS PARA ESTIMAR A MATRIZ COVARIÂNCIA ESPACIAL. O MÉTODO DE ESTIMAÇÃO DA DIREÇÃO FOI O WSF. ...........................................................................................................................................................107 FIGURA 5.41 B - ÍNDICE DE CORRELAÇÃO ENTRE O SINAL REAL E O SINAL ESTIMADO COM O MÉTODO DE MÁXIMA VEROSSIMILHANÇA COM SINAL DESCONHECIDO EM FUNÇÃO DA RELAÇÃO SINAL RUÍDO PARA 10, 250 E 6250 AMOSTRAS PARA ESTIMAR A MATRIZ COVARIÂNCIA ESPACIAL. O MÉTODO DE ESTIMAÇÃO DA DIREÇÃO FOI O ROOT MUSIC. ...........................................................................................................................................107 FIGURA 5.41 C - COMPARAÇÃO ENTRE OS MÉTODOS DE ESTIMAÇÃO DA DIREÇÃO DE CHEGADA E O IDEAL EM COMBINAÇÃO COM O MÉTODO DE MÁXIMA VEROSSIMILHANÇA COM SINAL DESCONHECIDO EM FUNÇÃO DA RELAÇÃO SINAL RUÍDO PARA 250 AMOSTRAS. .............................................................................................107 FIGURA 5.42 A - COMPARAÇÃO ENTRE OS MÉTODOS DE BEAMFORMING EM FUNÇÃO DA RELAÇÃO SINAL RUÍDO COM 250 AMOSTRAS PARA ESTIMAÇÃO DA MATRIZ COVARIÂNCIA ESPACIAL. O MÉTODO DE ESTIMAÇÃO DA DIREÇÃO FOI O WSF.....................................................................................................................................107 FIGURA 5.42 B - COMPARAÇÃO ENTRE OS MÉTODOS DE BEAMFORMING EM FUNÇÃO DA RELAÇÃO SINAL RUÍDO COM 250 AMOSTRAS PARA ESTIMAÇÃO DA MATRIZ COVARIÂNCIA ESPACIAL. O MÉTODO DE ESTIMAÇÃO DA DIREÇÃO FOI O ROOT MUSIC. ...................................................................................................................107 FIGURA 5.42 A - ÍNDICE DE CORRELAÇÃO ENTRE O SINAL REAL E O SINAL ESTIMADO COM O BEAMFORMING CONVENCIONAL EM FUNÇÃO DO AFASTAMENTO ANGULAR PARA 8, 14 E 20 ANTENAS. O MÉTODO DE ESTIMAÇÃO DA DIREÇÃO FOI O WSF............................................................................................................108 FIGURA 5.42 B - ÍNDICE DE CORRELAÇÃO ENTRE O SINAL REAL E O SINAL ESTIMADO COM O BEAMFORMING CONVENCIONAL EM FUNÇÃO DO AFASTAMENTO ANGULAR PARA 8, 14 E 20 ANTENAS. O MÉTODO DE ESTIMAÇÃO DA DIREÇÃO FOI O ROOT-MUSIC. ..........................................................................................108 FIGURA 5.42 C -- COMPARAÇÃO ENTRE OS MÉTODOS DE ESTIMAÇÃO DA DIREÇÃO DE CHEGADA E O IDEAL EM COMBINAÇÃO COM O BEAMFORMING CONVENCIONAL EM FUNÇÃO AFASTAMENTO ANGULAR PARA 8 ANTENAS......................................................................................................................................................108 FIGURA 5.43 A - ÍNDICE DE CORRELAÇÃO ENTRE O SINAL REAL E O SINAL ESTIMADO COM O MÉTODO DA MÍNIMA VARIÂNCIA EM FUNÇÃO DO AFASTAMENTO ANGULAR PARA 8, 14 E 20 ANTENAS. O MÉTODO DE ESTIMAÇÃO DA DIREÇÃO FOI O WSF. ..............................................................................................................................108 FIGURA 5.43 B - ÍNDICE DE CORRELAÇÃO ENTRE O SINAL REAL E O SINAL ESTIMADO COM O MÉTODO DA MÍNIMA VARIÂNCIA EM FUNÇÃO DO AFASTAMENTO ANGULAR PARA 8, 14 E 20 ANTENAS. O MÉTODO DE ESTIMAÇÃO DA DIREÇÃO FOI O ROOT-MUSIC...............................................................................................................108 FIGURA 5.43 C - COMPARAÇÃO ENTRE OS MÉTODOS DE ESTIMAÇÃO DA DIREÇÃO DE CHEGADA E O IDEAL EM COMBINAÇÃO COM O MÉTODO DA MÍNIMA VARIÂNCIA EM FUNÇÃO AFASTAMENTO ANGULAR PARA 8 ANTENAS......................................................................................................................................................108 FIGURA 5.44 A - ÍNDICE DE CORRELAÇÃO ENTRE O SINAL REAL E O SINAL ESTIMADO COM LEAST LINEAR MINIMUM VARIANCE EM FUNÇÃO DO AFASTAMENTO ANGULAR PARA 8, 14 E 20 ANTENAS. O MÉTODO DE ESTIMAÇÃO DA DIREÇÃO FOI O WSF............................................................................................................108
  • 12.
    x FIGURA 5.44 B- ÍNDICE DE CORRELAÇÃO ENTRE O SINAL REAL E O SINAL ESTIMADO COM LEAST LINEAR MINIMUM VARIANCE EM FUNÇÃO DO AFASTAMENTO ANGULAR PARA 8, 14 E 20 ANTENAS. O MÉTODO DE ESTIMAÇÃO DA DIREÇÃO FOI O ROOT-MUSIC. ..........................................................................................108 FIGURA 5.44 C - COMPARAÇÃO ENTRE OS MÉTODOS DE ESTIMAÇÃO DA DIREÇÃO DE CHEGADA E O IDEAL EM COMBINAÇÃO COM LEAST LINEAR MINIMUM VARIANCE EM FUNÇÃO AFASTAMENTO ANGULAR PARA 8 ANTENAS......................................................................................................................................................108 FIGURA 5.45 A - ÍNDICE DE CORRELAÇÃO ENTRE O SINAL REAL E O SINAL ESTIMADO COM O MÉTODO MÁXIMA VEROSSIMILHANÇA COM SINAL CONHECIDO EM FUNÇÃO DO AFASTAMENTO ANGULAR PARA 8, 14 E 20 ANTENAS. O MÉTODO DE ESTIMAÇÃO DA DIREÇÃO FOI O WSF....................................................................109 FIGURA 5.45 B - ÍNDICE DE CORRELAÇÃO ENTRE O SINAL REAL E O SINAL ESTIMADO COM O MÉTODO MÁXIMA VEROSSIMILHANÇA COM SINAL CONHECIDO EM FUNÇÃO DO AFASTAMENTO ANGULAR PARA 8, 14 E 20 ANTENAS. O MÉTODO DE ESTIMAÇÃO DA DIREÇÃO FOI O ROOT-MUSIC....................................................109 FIGURA 5.45 C - COMPARAÇÃO ENTRE OS MÉTODOS DE ESTIMAÇÃO DA DIREÇÃO DE CHEGADA E O IDEAL EM COMBINAÇÃO COM O MÉTODO MÁXIMA VEROSSIMILHANÇA COM SINAL CONHECIDO EM FUNÇÃO AFASTAMENTO ANGULAR PARA 8 ANTENAS.................................................................................................109 FIGURA 5.46 A - ÍNDICE DE CORRELAÇÃO ENTRE O SINAL REAL E O SINAL ESTIMADO COM O MÉTODO MÁXIMA VEROSSIMILHANÇA COM SINAL DESCONHECIDO EM FUNÇÃO DO AFASTAMENTO ANGULAR PARA 8, 14 E 20 ANTENAS. O MÉTODO DE ESTIMAÇÃO DA DIREÇÃO FOI O WSF....................................................................109 FIGURA 5.46 B - ÍNDICE DE CORRELAÇÃO ENTRE O SINAL REAL E O SINAL ESTIMADO COM O MÉTODO MÁXIMA VEROSSIMILHANÇA COM SINAL DESCONHECIDO EM FUNÇÃO DO AFASTAMENTO ANGULAR PARA 8, 14 E 20 ANTENAS. O MÉTODO DE ESTIMAÇÃO DA DIREÇÃO FOI O ROOT-MUSIC....................................................109 FIGURA 5.46 C - COMPARAÇÃO ENTRE OS MÉTODOS DE ESTIMAÇÃO DA DIREÇÃO DE CHEGADA E O IDEAL EM COMBINAÇÃO COM O MÉTODO MÁXIMA VEROSSIMILHANÇA COM SINAL DESCONHECIDO EM FUNÇÃO AFASTAMENTO ANGULAR PARA 8 ANTENAS.................................................................................................109 FIGURA 5.47 A - COMPARAÇÃO ENTRE OS MÉTODOS DE BEAMFORMING EM FUNÇÃO DO AFASTAMENTO ANGULAR CONSIDERANDO MATRIZ COM 8 ANTENAS. O MÉTODO DE ESTIMAÇÃO DA DIREÇÃO FOI O WSF. .................109 FIGURA 5.47 B - COMPARAÇÃO ENTRE OS MÉTODOS DE BEAMFORMING EM FUNÇÃO DO AFASTAMENTO ANGULAR CONSIDERANDO MATRIZ COM 8 ANTENAS. O MÉTODO DE ESTIMAÇÃO DA DIREÇÃO FOI O ROOT MUSIC. .109 FIGURA 5.48 - DIAGRAMA EXPLICATIVO DOS TESTES COM O AMBIENTE ANGULAR SPREAD................................110 FIGURA 5.49 - MSE DO MD-MUSIC EM FUNÇÃO DO ANGULAR SPREAD E DO AFASTAMENTO ENTRE OS SINAIS.111 FIGURA 5.50 - MSE DO WSF EM FUNÇÃO DO ANGULAR SPREAD E DO AFASTAMENTO ENTRE OS SINAIS. ...........111 FIGURA 5.51 - MSE DO ML EM FUNÇÃO DO ANGULAR SPREAD E DO AFASTAMENTO ENTRE OS SINAIS. .............111 FIGURA 5.52 - MSE DO MODE EM FUNÇÃO DO ANGULAR SPREAD E DO AFASTAMENTO ENTRE OS SINAIS........112 FIGURA 5.53 - MSE DO MUSIC UNIDIMENSIONAL EM FUNÇÃO DO ANGULAR SPREAD E DO AFASTAMENTO ENTRE OS SINAIS. .........................................................................................................................................112 FIGURA 5.54 - MSE DO ROOT MUSIC EM FUNÇÃO DO ANGULAR SPREAD E DO AFASTAMENTO ENTRE OS SINAIS.112 FIGURA 5.55 - COMPARAÇÃO ENTRE OS MECANISMOS DE ESTIMAÇÃO DA DIREÇÃO CONSIDERANDO O AFASTAMENTO ENTRE OS SINAIS DE 12º. ......................................................................................................113 FIGURA 5.56 - MSE DO MD-MUSIC EM FUNÇÃO DE γ E DO AFASTAMENTO ENTRE OS SINAIS. ..........................114 FIGURA 5.57 - MSE DO WSF EM FUNÇÃO DO γ E DO AFASTAMENTO ENTRE OS SINAIS .....................................114 FIGURA 5.58 - MSE DO ML EM FUNÇÃO DO γ E DO AFASTAMENTO ENTRE OS SINAIS.......................................114 FIGURA 5.59 - MSE DO MODE EM FUNÇÃO DO γ E DO AFASTAMENTO ENTRE OS SINAIS.................................115 FIGURA 5.60 - MSE DO MUSIC UNIDIMENSIONAL EM FUNÇÃO DO γ E DO AFASTAMENTO ENTRE OS SINAIS.115 FIGURA 5.61 - MSE DO ROOT MUSIC EM FUNÇÃO DO ANGULAR SPREAD E DO γ ENTRE OS SINAIS. ...............115 FIGURA 5.62 - COMPARAÇÃO ENTRE OS MECANISMOS DE ESTIMAÇÃO DA DIREÇÃO CONSIDERANDO O AFASTAMENTO ENTRE OS SINAIS DE 12º. ......................................................................................................116 FIGURA 5.63 - DIAGRAMA EXPLICATIVO DOS TESTES COM O AMBIENTE SEGUNDO O MODELO CIRCULAR...........116 FIGURA 5.64 - MSE DO MD-MUSIC EM FUNÇÃO DA ABERTURA ANGULAR E DO AFASTAMENTO ENTRE OS SINAIS.117 FIGURA 5.65 - MSE DO WSF EM FUNÇÃO DO ABERTURA ANGULAR DO AFASTAMENTO ENTRE OS SINAIS..........117 FIGURA 5.66 - MSE DO ML EM FUNÇÃO DO ABERTURA ANGULAR E DO AFASTAMENTO ENTRE OS SINAIS. ........118 FIGURA 5.67 - MSE DO MODE EM FUNÇÃO DA ABERTURA ANGULAR E DO AFASTAMENTO ENTRE OS SINAIS..118 FIGURA 5.68 - MSE DO MUSIC UNIDIMENSIONAL EM FUNÇÃO DA ABERTURA ANGULAR E DO AFASTAMENTO ENTRE OS SINAIS. .................................................................................................................118 FIGURA 5.69 - MSE DO ROOT MUSIC EM FUNÇÃO DA ABERTURA ANGULAR E DO AFASTAMENTO ENTRE OS SINAIS. .........................................................................................................................................................119
  • 13.
    xi FIGURA 5.70 -COMPARAÇÃO ENTRE OS MECANISMOS DE ESTIMAÇÃO DA DIREÇÃO CONSIDERANDO O AFASTAMENTO ENTRE OS SINAIS DE 12º. ......................................................................................................119 FIGURA 5.71 - REPRESENTAÇÃO DO CONTORNO PARA AS SIMULAÇÕES DO MODELO DE DISTRIBUIÇÃO UNIFORME.120 FIGURA 5.72 - MSE DO MD-MUSIC EM FUNÇÃO DA ABERTURA ANGULAR E DO AFASTAMENTO ENTRE OS SINAIS.120 FIGURA 5.73 - MSE DO WSF EM FUNÇÃO DO ABERTURA ANGULAR DO AFASTAMENTO ENTRE OS SINAIS..........121 FIGURA 5.74 - MSE DO ML EM FUNÇÃO DO ABERTURA ANGULAR E DO AFASTAMENTO ENTRE OS SINAIS. ........121 FIGURA 5.75 - MSE DO MODE EM FUNÇÃO DA ABERTURA ANGULAR E DO AFASTAMENTO ENTRE OS SINAIS..121 FIGURA 5.76 - MSE DO MUSIC UNIDIMENSIONAL EM FUNÇÃO DA ABERTURA ANGULAR E DO AFASTAMENTO ENTRE OS SINAIS. .................................................................................................................122 FIGURA 5.77 - MSE DO ROOT MUSIC EM FUNÇÃO DA ABERTURA ANGULAR E DO AFASTAMENTO ENTRE OS SINAIS. .........................................................................................................................................................122 FIGURA 5.78 - COMPARAÇÃO ENTRE OS MECANISMOS DE ESTIMAÇÃO DA DIREÇÃO CONSIDERANDO O AFASTAMENTO ENTRE OS SINAIS DE 12º. ......................................................................................................122
  • 14.
    1 1. Introdução O mundohoje experimenta um período de grandes transformações catalisadas pelo avanço tecnológico no acesso à informação. Este fenômeno é responsável por mudanças comportamentais, tais como o aumento da exigência na qualidade dos serviços de informação, bem como nas suas diferentes formas de apresentação. Assim se observa a translação de paradigmas de serviços tradicionais para os de multimídia. Incontinenti, nos serviços, cada vez mais, tem-se buscado soluções personalizadas para o atendimento das necessidades individuais dos seus usuários, como as comunicações pessoais. Estas duas tendências, multimídia e comunicações pessoais, aliadas aos fenômenos socio-econômicos: globalização da economia, barateamento da tecnologia e serviços, convergirão no próximo milênio para sistemas de comunicações pessoais universais baseados em multimídia. Este cenário é consubstanciado pelo crescimento vertiginoso do mercado de comunicações móveis desde a sua introdução no início dos anos 80, superando as mais otimistas projeções. Três fatores são responsáveis pela alavancagem destes serviços: desregulamentação, competição e tecnologia. A desregulamentação tem papel preponderante, pois fomenta um ambiente de competição entre os prestadores de serviços de
  • 15.
    2 telecomunicações, que noafã de cativar um mercado maior, buscam soluções personalizadas para os seus usuários, viabilizadas pela introdução de novas tecnologias. Deste modo, se verifica a forte consolidação do mercado de serviços móveis, sustentada por diversos textos, dentre os quais está Mobile Green Paper [DGX01] que estima o mercado para comunicações móveis na União Européia crescerá de 40 milhões de usuários no ano 2000 para 80 milhões em 2010, com penetração de 70 a 80% de toda população contra 50% nos serviços fixos, lembrando que os serviços móveis são pessoais, ou seja, um por pessoa. No mundo, para o milênio que se avizinha, a expectativa para o volume de negócios em comunicações móveis excederá 100 bilhões de dólares. Os serviços móveis são atendidos em bandas bem definidas do espectro eletromagnético dentro da região geográfica de atendimento. A utilização das bandas passa por processo de concessão, que num mercado competitivo se dá por leilão, alcançando cifras bilionárias. Basta observar notícias recentes da concessão da banda B no Brasil. A crescente demanda por estes serviços implica na introdução de mais usuários, que aumenta consideravelmente o tráfego em determinadas regiões atendidas pelos mesmos recursos, acarretando na degradação do serviço. O esgotamento rápido do espectro destinado aos serviços existentes implica diretamente em novos investimentos em infra-estrutura, sendo imperativo a expansão do sistema existente ou introdução de um novo - que, inclusive, envolve concessão de nova banda. Neste sentido, o espectro eletromagnético tem demonstrado ser a componente de maior peso nos custos envolvendo a implantação dos serviços de comunicações móveis. Assim, tem-se buscado otimizar os sistemas existentes, introduzindo métodos, ou combinação de métodos, de acesso de maneira a utilizar mais eficientemente o espectro eletromagnético versus região geográfica. As comunicações móveis não são recentes, com notícias desde os anos 30, onde sistemas de comunicação policial foram adaptados para um sistema móvel de segurança pública nos Estados Unidos. Mas somente com as centrais digitais, e com a concepção da célula, é que foi introduzido em 1983 o AMPS Advanced Mobile Phone System, inaugurando a era dos serviços móveis como são conhecidos hoje. O mercado bilionário induziu uma grande contingência de esforços para viabilizar tecnicamente os serviços demandados. Estes esforços fazem com que as comunicações móveis sejam formadas por um misto de soluções tecnológicas, passando por processamento de sinais, comunicações via satélite etc. Na
  • 16.
    3 comunidade européia existemvários projetos buscando introduzir novas tecnologias para atender os serviços móveis futuros, desenvolvidos dentro de grandes programas (RACE/ACTS). Um dos projetos trata da introdução de dois padrões para a terceira geração de comunicações móveis, a saber: UMTS (Universal Mobile Telecommunications System), para compatibilização com os serviços da RDSI faixa estreita; e o MBS (Mobile Broadband System) para atendimento aos serviços da RDSI de banda larga, conforme descreve a figura 1.1. fast mobile slow mobile movable fixed 9.6 2 150 kbit/s Mbit/s service bit rate ter. mobility UMTS B-ISDN GSM ISDN MBS Figura 1.1 - Panorama do padrões tecnológicos para o atendimento dos serviços fixos e móveis 1.1 Sistemas de Comunicações Móveis De maneira simplista, os sistemas de comunicações móveis são constituídos de três componentes, o terminal móvel, a estação rádio base e a central de comutação móvel, (figura 1.2). O terminal móvel é um transceptor portátil e inteligente utilizado pelo usuário. Este terminal é munido de um sistema computacional que processa algoritmos usados no plano de controle e plano do usuário do protocolo de múltiplo acesso deste sistema de comunicações. Os acessos, chamados de canais de tráfego, são solicitados à estação rádio base que detém o seu controle. O plano de controle é suportado por canais exclusivos entre os terminais móveis e a estação rádio base, sendo estes chamados de canais de controle. Da mesma forma que os terminais móveis, a estação rádio base utiliza transceptores de potência limitada de maneira à atender uma região geográfica específica denominada de célula.
  • 17.
    4 Terminal Móvel Central de Comutação Móvel EstaçãoRádio Base Células REDE FIXA Figura 1.2 - Sistema de Comunicação Móvel Celular e seus componentes A célula é resultado da subdivisão da região geográfica atendida pelo serviço. A cada célula são destinados um grupo de canais, de tal sorte que em células adjacentes, grupos com canais diferentes são utilizados, conforme a figura 1.3. O menor grupamento de células adjacentes cujos canais somam o total de canais disponíveis para o serviço é denominado de cluster. O número de células em cada cluster é escolhido conforme as condições de interferência cocanal. Quanto mais próximas as células de canais reutilizados maior é a interferência cocanal. Este número de células é denominado de fator de reuso e indica o grau de utilização do sistema - maior o fator de reuso, menor é a quantidade de tráfego cursado pelo sistema para mesma quantidade de canais. F5 F4 F0 F3 F2F6 F1 F5 F4 F0 F3 F2F6 F1 Células Clusters Região Geográfica Figura 1.3 - Região geográfica dividida em células
  • 18.
    5 A central decomutação móvel faz a interface entre diversas estações rádio base e a rede fixa, que na primeira geração de comunicações móveis é a rede pública de telefonia. Assim, entre as funções da central estão: controlar as estações radio base filiadas a ela, comutar para permitir o estabelecimento de comunicação entre usuários e compatibilizar os serviços oferecidos pela rede fixa com os serviços móveis. 1.2 Métodos de Acesso Os serviços de telecomunicações, nos atuais sistemas de comunicações móveis, são caracterizados pela transferência de informação entre dois usuários situados em pontos distintos. A transferência é feita dentro um perfil de qualidade de serviço tais como o tempo de transferência, garantia da integridade da informação etc. Os pontos são unidos por um meio físico onde trafega a informação, que no caso das comunicações móveis é compartilhado por todos os usuários do sistema a partir da estação rádio base. O compartilhamento se dá pelo uso adequado das características físicas do meio, que representam os seus recursos disponíveis, ou capacidade de transferência da informação. O sistema pode ser representado por modelo matemático onde se define a partição dos recursos disponíveis no meio em canais, que devem ser ortogonais. Assim, os recursos podem ser subdivididos num número finito de canais de comunicação utilizados pelos usuários, que são acessados através da modulação. A recuperação da informação pelo outro usuário é feita por um processo de decomposição ortogonal do vetor formado pela soma de todos os canais, que podem portar ou não sinais. A decomposição separa estes canais e por conseguinte é obtido o sinal desejado com a informação trazida por este. No caso ideal, este processo permitiria recuperar o sinal fidedignamente. Porém isto nem sempre pode ser feito devido a presença de ruído e interferência. Freqüência Tempo Código Figura 1.4- Representação dos recursos de natureza temporal.
  • 19.
    6 Em geral, osmétodos de acesso seguem basicamente quatro vertentes: freqüência, tempo, código e espaço, sendo que os três primeiros são baseados no processamento temporal, conforme diagrama da figura 1.4. As técnicas utilizadas nestes métodos, em ordem crescente de complexidade de implementação, bem como na mesma ordem introdução nos sistemas telecomunicações, são: o FDMA Frequency Division Multiple Access, TDMA Time Division Multiple Access, CDMA Code Division Multiple Access e o SDMA Spatial Division Multiple Access. 1.2.1 FDMA No FDMA os canais são caracterizados por faixas de freqüência, em que os usuários ocupam os canais durante todo o tempo de utilização do serviço, conforme indica figura 1.5 abaixo. f f1 f2 f3 fn t tempo freqüência Canais (faixas de freqüência) Figura 1.5 - Utilização dos recursos do meio no caso FDMA 1.2.2 TDMA O TDMA representa um estágio tecnológico superior ao FDMA, onde a utilização dos recursos do meio, os canais, são intervalos de tempo. A informação é transferida nestes intervalos periodicamente dentro de um quadro, conforme indica a figura 1.6.
  • 20.
    7 t1 t t2 t3 t1t2 t3 t1 tempo freqüência f Canais (intervalos de tempo) quadro Figura 1.6 - Utilização dos recursos do meio no caso TDMA de faixa estreita 1.2.3 CDMA O CDMA é implementado através da técnica de espalhamento espectral (spread spectrum), existindo, basicamente, duas técnicas de espalhamento espectral a de salto de freqüências Frequency Hopping, e seqüência direta Direct Sequence. No Frequency Hopping os sinais são alocados dinamicamente em bandas de freqüência do espectro em tempos definidos, cuja ordem de ocupação é dada pelo código pseudo-aleatório de cada canal, conforme representa a figura 1.7. Na recepção, a informação do sinal pode ser obtida conhecendo-se a seqüência de freqüências com a qual o sinal foi transmitido. ∆t tempo freqüência ∆f c1 c2 c3 c2 c3 c1 c3 c2 c1 c2 c1 c3 c1 c3 c2 c3 c2 c1 freqüência tempo ∆f ∆f C1 C2 C3 C1 C2 C3 Canais (Códigos) Figura1.7 - Frequency Hopped Figura 1.8 - Utilização dos recursos do meio no caso CDMA de faixa estreita No método de seqüência direta, o sinal de faixa estreita é multiplicado por uma seqüência de pulsos de faixa larga, cujas amplitudes são definidas pelo código do usuário,. Isto resulta no espalhamento espectral deste sinal, que ocupa um espectro extremamente maior que o original. A recepção é feita pela correlação temporal do transmitido sinal utilizando o código do sinal desejado. Como limitante desta técnica, está o nível da potência de ruído interferente provocado pelos demais códigos, (figura 1.8).
  • 21.
    8 1.2.4 TDD eFDD Os métodos de acesso descritos são combinados para formar os padrões de comunicações sem fio existentes. Estes padrões suportam serviços que são normalmente interativos, como a telefonia móvel. Os serviços interativos necessitam de dois canais para o seu estabelecimento, que em comunicações móveis são o canal direto (forward) e o canal reverso (reverse). O canal direto de conversação é da estação rádio base para o terminal móvel, e o reverso do terminal móvel para a estação rádio base. Estes dois canais de conversação, também chamados de canais de tráfego, são utilizados simultaneamente, implicando na divisão por dois dos recursos destinados ao seu atendimento. Basicamente existem duas técnicas para esta divisão, a saber: FDD Frequency Duplex Division e TDD Time Duplex Division. Canal Reverso Canal Direto Partição na freqüência freqüência Figura 1.9 a- FDD Frequency Division Duplex Canal Reverso Canal Direto Partição no tempo tempo Figura1.9 b- TDD Time Division Duplex No FDD, como seu nome indica, divide-se o espectro destinado ao serviço por dois. Normalmente as freqüências baixas são destinados aos canais reversos e as freqüências altas ao direto, como indica figura 1.9a. De maneira semelhante, o TDD divide um quadro, ou intervalo de tempo, em dois, em que a primeira fatia é para o canal reverso, e a segunda para o canal direto (figura 1.9b). No TDD o transceptor ora está habilitado para transmissão, ora para recepção, usando sempre a mesma faixa de freqüência. O FDD e o TDD combinadas com as técnicas de acesso viabilizam os serviços interativos nos diversos padrões hoje em operação mostrados na tabela 1.1.
  • 22.
    9 Padrão Celular Técnicade Múltiplo Acesso AMPS Advanced Mobile Phone System FDMA/FDD GSM Global System for Mobile TDMA/FDD USDC U. S. Digital Cellular TDMA/FDD JDC Japanese Digital Cellular TDMA/FDD CT2 Cordless Telephone FDMA/TDD DECT Digital European Cordless Telephone FDMA/TDD IS-95 U.S. Narrow Band Spread Spectrum CDMA/FDD Tabela 1.1 - Técnicas de Múltiplo Acesso utilizadas nos padrões de comunicações móveis existentes 1.3 O SDMA O SDMA, conforme seu nome indica, explora a dimensão espacial, ou seja, permite a multiplexação de várias fontes coerentes separadas apenas pela direção ou posição geográfica de suas origens. Este método não é muito comum nos sistemas de telecomunicações, mas formas primitivas de sua implementação são largamente utilizadas em comunicações móveis como a segmentação e a setorização, sempre combinadas com os métodos de acesso baseados no tempo. 1.3.1 Segmentação A segmentação é a subdivisão da região de atendimento do serviço em regiões menores denominadas de células. A célula possuí uma quantidade limitada de canais acessados pelos usuários pertencentes a ela. Quando a demanda numa célula é muito grande, excedendo a limite de tráfego dado pelo grau de serviço, ela é subdividida em células menores, figura 1.10. A cada célula assim criada é atendida por uma nova estação rádio base de maneira a atender um número menor de usuários que a célula anterior congestionada.
  • 23.
    10 Célula Original Células subdivididas resultantesda segmentação Figura 1.10- Segmentação de células. Como conseqüência desfavorável da utilização desta técnica, está o aumento do tráfego nos canais de controle. Isto ocorre porque dada a diminuição das células, mantendo o mesmo grau de mobilidade dos seus usuários, haverá um número maior de operações de handoff. O handoff ocorre quando um terminal móvel atravessa a fronteira de duas células adjacentes, e o controle do terminal bem como os canais de tráfego utilizados, passa a ser feito pela estação da nova célula. 1.3.2 Setorização A setorização surge como alternativa à segmentação, na solução dos problemas relativos ao aumento de tráfego numa dada célula. Por outro lado, a setorização utiliza a mesma infra-estrutura, ou melhor, não há necessidade de se introduzir novas estações, pois utiliza antenas diretivas em substituição da antena omnidirecional. As antenas diretivas substitutas atendem a setores específicos da célula, diminuindo a interferência cocanal. Como conseqüência, pode-se ter maior número de canais por célula. A figura 1.11 abaixo apresenta duas modalidades de setorização a de 60º e a de 120º.
  • 24.
    11 Célula Original Setores de 60º Figura1.11a - Setorização com setores de 60 º Célula Original Setores de 120º Figura 1.11b - Setorização com setores de 120 º 1.3.3 Antenas Adaptativas A outra forma de implementação usando a dimensão espacial, ou o SDMA, pode ser entendida como uma evolução do conceito de setorização, que se baseia na utilização de antenas diretivas, implicando na diminuição da interferência. No limite da setorização, ou seja, se o direcionamento e o estreitamento do diagrama de irradiação fosse de tal maneira a atender e acompanhar cada usuário, então todos os usuários do sistema poderiam dispor de todos os canais existentes no sistema. Desta maneira, se conseguiria separar usuários apenas pela sua direção, ou melhor, permitir a multiplexação no espaço. Esta forma ideal de implementação da diversidade espacial é o SDMA (figura 1.12b). Figura 1.12a - Setorização Figura 1.12b - SDMA ideal Antenas mais diretivas, podendo ser implementado usando antenas adaptativas Antenas com propriedades próximas a estas descritas, são largamente utilizadas em geofísica, sonares e radares, e são denominadas de antenas adaptativas. As antenas adaptativas pertencem à área de processamento de sinais denominada de processamento de matrizes de sinais (Array Signal Processing). Seu princípio é baseado no ajuste de parâmetros livres Nppp ,,, 21 , pesos complexos, para obter objetivos desejados como a adaptação do diagrama de irradiação, melhoria da relação sinal-ruído, determinação do número de sinais
  • 25.
    12 presentes, rastreamento dosinal etc [DON01]. Para tanto utiliza das informações oriundas de transdutores dispostos numa certa ordem, que amostram no espaço a onda incidente no conjunto, conforme a figura 1.13. p1 p2 pN z(t) Frentes de Onda Diagrama de Irradiação Equivalente x1 x2 xN Antenas 0º Figura 1.13 - Antenas Adaptativas, amostragem espacial do sinal e ajuste do diagrama de irradiação. Inicialmente, a implementação das antenas adaptativas se dava por ajustes das fases do sinal em RF observados nos elementos deste conjunto. Esta técnica é conhecida como Phased Array. O ajuste introduz diferentes retardos ao sinal analógico captados pelas antenas, de maneira a somar em fase o sinal desejado, cujo efeito é a formação do feixe (beamforming) direcionando o diagrama de irradiação para o sinal desejado (figura 1.13). Quando os pesos, mencionados acima, são obtidos através da otimização de funções custo, por exemplo melhoria da relação sinal-ruído, o efeito é um diagrama de irradiação do conjunto de antenas atendendo ao requisito de otimização. A esta técnica dá-se o nome de beamforming ótimo (formação ótima de feixe). Hoje com a combinação das tecnologias como o DSP Digital Signal Processor e MMIC Monolithic Microwave Integrated Circuit, é possível a aplicação de algoritmos mais sofisticados baseados na otimização, e sem introduzir distorções que as soluções analógicas produzem. Esta combinação inaugurou a era do DBF Digital BeamForming.
  • 26.
    13 1.4 Antenas Adaptativas Asprimeiras aplicações de matriz de antenas em radares datam do ano de 1959 com a invenção de Howells [HOW01] denominada de IF Side Lobe Canceler SLC, ou cancelador de lobo secundário. Posteriormente, em 1965, com o trabalho de Applebaum [APP01], o conceito completo de antenas adaptativas foi desenvolvido. Este trabalho introduziu um algoritmo baseado na obtenção dos pesos supracitados pela maximização da relação sinal- ruído, e o SLC, concebido por Howells, pode ser considerado um caso particular do trabalho de Applebaum. Em 1966, Widrow em [WID01], desenvolveu outra metodologia de adaptação que utiliza o LMS Least Mean Square, observando que, para algumas conformações das antenas, a formulação é semelhante a de um filtro transversal. Capon em [CAP01] utilizou como métrica para otimização, a variância da resposta do conjunto de antenas )(tz , sendo os pesos obtidos através da minimização da variância dos sinais indesejados, condicionado a restrição para o sinal desejado a energia é máxima. Este algoritmo recebeu o nome de MVRD Minimum Variance Distortionless Response, mas é também chamado de método de máxima verossimilhança, pois maximiza a razão de máxima verossimilhança. Pode-se provar que os métodos de Capon e o de Applebaum obtém o mesmo resultado, e o de Widrow em conjunto com os demais converge para a solução ótima de Wiener [LIT01]. 1.4.1 Estimação da Direção de Chegada Como se verá neste trabalho, os diversos métodos de ajuste dos pesos nas antenas adaptativas dependem da direção de chegada. A seguir será apresentado um resumo dos principais resultados nesta área. Pisarenko em [PIS01] obteve, como resultado no seu problema de otimização, a expressão para os pesos em função do autovetor associado ao menor autovalor da matriz covariância espacial1 . Com este trabalho, Pisarenko inspirou um método de estimação da direção de chegada, o MUSIC MUltiple SIgnal Classification desenvolvido por Schimidt em 1981 [SCH00], que representou um marco nos métodos de estimação da direção em relação aos existentes até então. O MUSIC se baseia nas propriedades dos autovalores e autovetores da matriz covariância espacial, mais especificamente, no seguintes fatos: o número de 1 A matriz covariância espacial é obtida através dos sinais percebidos pelas antenas, amostras espaciais, da matriz de antenas.
  • 27.
    14 elementos do conjuntode antenas menos o número dos menores autovalores iguais da matriz covariância é o número de sinais presentes; o vetor formado pelos sinais dos elementos da matriz de antenas é ortogonal aos autovetores associados ao ruído, que são associados aos menores autovalores iguais. Estes fatos motivaram a classificar o MUSIC, bem como outros métodos derivados dele, de Subspace Fitting Methods, métodos baseados na projeção ortogonal no subespaço gerado pelo ruído. Para investigação das direções dos sinais incidentes, o MUSIC utiliza como medida o inverso da norma da projeção neste subespaço, que possui resolução2 melhor que a resposta do conjunto de antenas )(tz , daí chamados algoritmos de alta resolução. Após o MUSIC, outros métodos baseados nas mesmas propriedades de ortogonalidade foram introduzidos como: o ESPRIT Estimation of Signal via Rotation Invariance Techniques proposto por Roy em [ROY01]; o MD-MUSIC Multi Dimensional MUSIC proposto Cadzow em [CAD01]. Mas Viberg em [VIB02] demonstrou que estes últimos, bem como, o estimador de máxima verossimilhança com sinal determinístico para as direções de incidência seguem uma mesma formulação, a menos de uma matriz que os diferencia. No mesmo trabalho, foi obtida uma outra matriz, cuja expressão resultante para estimar as direções de incidência possui variância do erro mais próxima do limitante de Cramèr-Rao, quando comparada aos demais métodos. Este novo método foi denominado, neste texto e em [VIB01], de WSF Weighted Subspace Fitting. Também em [STO01], partindo de outras premissas, Stoica chegou ao MODE Method Of Direction Estimation, que possui resultados semelhantes ao WSF. Outros métodos interessantes podem ser encontrados como o ROOT-MUSIC, apresentado por Barabell em [BAR02], que depende da disposição uniforme dos elementos. 1.4.2 Formação Ótima de Feixe e a Estimação da Direção de Chegada O problema de estimação do sinal, ou seja, ajuste ótimo dos pesos do conjunto, visando a formação ótima de feixe, pode ser simplificado bastante com a informação da direção de incidência de cada um dos sinais. Com isto resume-se o trabalho a apenas algumas operações matriciais. Por trabalhar com matrizes, esta forma de beamforming ótimo é denominada de método em bloco, pois precisa de uma janela no tempo onde o sinal é amostrado. Em [NAG01] os métodos de formação de feixe ótima são classificados em três categorias: os algoritmos baseados na direção de chegada, que utilizam os métodos de 2 Habilidade de uma função separar graficamente dois pontos distintos.
  • 28.
    15 estimação da direçãodiscutidos acima; algoritmos que utilizam sinal de referência, ou melhor baseados em treinamento de sinais como LMS Least Mean Square [WID01, QUI01], SMI Sample Matrix Invertion, RLS Recursive Least Squares; e algoritmos de estimação cega que são baseados na estrutura dos sinais de comunicação, como CMA Constant Modulus Algorithm, alfabeto discreto, auto coerência [TAL01], [TAL02]. 1.4.3 Antenas Adaptativas em Comunicações Móveis Em 1987, Davies [DAV01], sugeriu emprego de antenas adaptativas nos futuros sistemas comunicações móveis para incrementar o número de acessos aos usuários, com aumento em 30 vezes na eficiência espectral. A idéia era de utilizar um conjunto de antenas na estação rádio base para implementar diagramas de irradiação estreitos na direção do sinal do terminal móvel, usando algoritmos de rastreamento e de formação do diagrama (beamforming) [SWA01]. Desde então, as antenas adaptativas são indicadas em diversos textos para melhoria da performance de sistema de comunicações móveis. Dentre os benefícios pode-se citar: melhoria da relação sinal ruído interferente; melhoria da eficiência espectral; diagrama de irradiação com múltiplos feixes [SWA01]; melhoria do fator de reuso [PET01]; melhoria da taxa de erro de bit BER [NAG02]; melhoria da disponibilidade do serviço pela redução da probabilidade de outage; redução da potência na transmissão; etc. Em [GOD01] encontra-se uma lista enorme de outras melhorias e utilizações das antenas adaptativas, como a aplicação em sistemas de comunicações móveis via satélite, com as antenas a bordo dos satélites, por exemplo. Mas estações rádio base são apontadas como emprego imediato das antenas adaptativas pela maioria dos textos [PET01, NAG01, SWA01, DAV01, OTT02, AND01, ASZ01, ASZ02, GOD01]. O grande apelo para o uso está na facilidade de implementação nas estações e custo competitivo quando comparado a setorização e a segmentação. Dentre as possibilidades para o uso das antenas adapativas, a mais simples é a setorização, utilizando múltiplos diagramas ajustados estaticamente para as direções desejadas (formação convencional de feixe). Porém, o emprego mais interessante, das antenas adaptativas, é o ajuste dinâmico dos diagramas de irradiação nas direções dos terminais móveis. Como decorrências deste ajuste além de benefícios mencionados está a possibilidade construir dinamicamente células com formatos a atender regiões de maior tráfego (ver figura 1.14), diminuição da potência dos transmissores, entre outras. Outra possibilidade, é anular o diagrama para as direções não desejadas, ao invés de adaptar o
  • 29.
    16 diagrama para direçãodesejada. Esta técnica se chama de cancelamento de sinais ou null steering. Figura 1.14 - Células com formatos que se ajustam a agrupamentos de terminais móveis de acordo com a demanda. A utilização de antenas adaptativas em comunicações móveis é objeto de muitos programas de pesquisas. Entre eles está o TSUNAMI (Smart Antenna Technology For Advanced Mobile Infrastructure) que é um projeto RACE/ACTS, reunindo diversos centros de pesquisa e fabricantes de equipamentos na Europa. Neste projeto, o alvo é desenvolver tecnologia em antenas adaptativas visando prioritariamente o UMTS, terceira geração de comunicações móveis, mesmo os de segunda geração como o DECT. Dentre os produtos resultantes deste projeto pode-se citar: modelo de propagação para um conjunto de antenas; medição; avaliação de performance usando simulação e teste em campo; e modelo de tráfego para este novo contexto. 1.4.4 Limitações Dentre todas as utilizações e melhorias descritas acima, o que se busca com as antenas adaptativas é implementar o SDMA, mas devido ao complicado ambiente de propagação, este objetivo está longe de ser alcançado3 . Basta lembrar que a maioria dos algoritmos propostos para obtenção da formação ótima de feixe, bem como estimação da direção de chegada, são baseados num ambiente onde existe apenas o ruído branco aditivo, sem considerar o multipercurso do sinal devido a reflexões, espalhamento etc, conforme (figura 1.15). 3 Aqui SDMA está relacionado com o caso ideal quando o fator de reuso é igual a 1.
  • 30.
    17 LOS Line OfSight Refletores Dominantes Refletor Dominante Figura 1.15 - Desvanecimento devido a multipercurso. Os diversos multipercursos, associados a outros fenômenos ondulatórios, degradam o sinal original e recebem o nome genérico de desvanecimento. Conforme será abordado brevemente no capítulo 4, o desvanecimento pode ser classificado em grande escala e pequena escala, que por sua vez pode ser classificado em seletivo ou plano, rápido ou lento, dependendo, também, da natureza do sinal [SKL01]. Estudos mais recentes buscam adaptar os algoritmos de formação ótima de feixe e de estimação da direção de chegada [ASZ03, BEN02, ASZ01], bem como a criação de outros [TRU01], para a nova realidade de um ambiente com multipercurso [OTT02, ASZ03, ASZ02, ZET00]. Para tanto, modelos específicos para recepção nas estações rádio base tem sido propostos, como por exemplo o Low Rank Channel Model, Angular Spread Model, ou Gaussian Angle of Arrival One cluster GAAO [OTT02, ASZ03, ASZ02, ZET00, ZET01, OTT02, TRU01]. Estes modelos são usados para avaliar e adaptar os algoritmos de formação ótima de feixe e os métodos de estimação da direção de chegada supracitados. Outras dificuldades para implementação do SDMA são encontradas como em [PET01], que fez avaliações da viabilidade de utilização do SDMA no AMPS Advanced Mobile Phone System. Neste trabalho, se concluiu que para atender a qualidade de serviço com a probabilidade de outage igual a 2% com separação angular de 5º são necessárias 44 antenas em disposição linear, cuja implementação é extremamente difícil. De toda forma, a sua aplicação permite a redução do fator de reuso e melhoria na relação sinal ruído (ver gráfico da figura 1.16).
  • 31.
    18 1 3 4 Fatorde Reuso Número de Elementos >46 8 5 Figura 1.16 1.5 Objetivo deste Estudo Motivado pela importância crescente da tecnologia de antenas adaptativas para as comunicações móveis em geral, este estudo tem por objetivo a avaliação de desempenho de métodos de estimação de chegada em ambientes típicos. Mais especificamente, este estudo objetiva comparar os métodos de estimação da direção de chagada baseados em Subspace Fitting, e outras estimações inerentes, considerando quatro cenários. No primeiro cenário existe apenas o ruído branco como distorção. Os demais consideram além do ruído branco, o multipercurso. Para ser mais preciso, estes cenários consideram o espalhamento local dos sinais percebidos pela estação rádio base produzindo o desvanecimento rápido e plano. Este estudo pretende, ainda, relacionar os diversos modelos propostos, procurando apresentar suas formulações de maneira clara e organizada com base nas referências bibliográficas. Para cumprimento deste objetivo, ele está subdivido nos seguintes capítulos: Capítulo 2 - Antenas Adaptativas: apresentação, abordagem conceitual normalizadora e apresentação do modelo considerando apenas o ruído branco; Capítulo 3 - Formação Ótima de Feixe: apresentação dos métodos de beamforming ótimo4 baseados na informação da direção de chegada; Capítulo 4- Antenas adaptativas em Comunicações Móveis: apresentação do modelo de propagação em comunicações móveis considerando múltiplas antenas; Capítulo 5- Simulações: resultado de todas as simulações para os quatro ambientes de propagação; Capítulo 6 - Conclusões: onde se busca dar interpretações aos resultados encontrados nas simulações. 4 Formatação ótima de feixe considerando o ruído branco e o número de amostras temporais.
  • 32.
    19 2. Antenas Adaptativas Estecapítulo pretende fazer uma breve introdução aos conceitos preliminares deste estudo, bem como, apresentar os seus elementos constituintes, objetivando uniformizar e padronizar as notações constantes nas referências bibliográficas. 2.1 Função de Onda - Wavefield Chama-se de função de onda (ver Anexo I) ),( rtf a função que representa o comportamento de qualquer grandeza (escalar) física associada ao fenômeno de propagação (valor da potência, módulo do campo elétrico ou magnético) em função do espaço representado pelo vetor posição r , e tempo representado pela variável t. Para uma onda plana (Anexo I) [DIN01] que se propaga na direção 0k a função se resume em:
  • 33.
    20         ⋅ −= c kr trtf 0 ),(φ , (2.1) onde cada situação em que ctekr =⋅ 0 (um plano de normal 0k ) a função de onda só depende de t, ou melhor, a representação de f poder vista como uma sucessão de planos com mesma fase como a figura 2.1 abaixo. 0k ctekr =⋅ 0 Figura 2.1 - Superfícies de nível de uma onda plana que se propaga na direção 0k . Dentre as ondas planas, existe uma de particular interesse que é a monocromática. As ondas planas e monocromáticas são autofunções do operador de D’Alembert, D’Alembertiano (ver Anexo 1), que supondo as condições de contorno como meio livre e isotrópico, toda onda plana pode ser escrita como uma série de ondas planas e monocromáticas. A função de onda de uma onda plana e monocromática de freqüência angular ω e que se propaga na direção 0k é dada por: ( )0 ),( krtj ertf ⋅− = ω . (2.2) 2.1.1 Representação Complexa De uma maneira geral o formato do sinal modulado utilizando os mecanismos de acesso típicos nos sistemas de telecomunicações, como o FDMA, TDMA e CDMA, podem ser representado de forma complexa segundo a expressão: tjtfj cc etyetyts ωπ )()()( 2 == , (2.3) onde cω é a freqüência angular da portadora e )(ty é a representação complexa da informação, também chamada de envoltória complexa.
  • 34.
    21 Durante o processode transmissão o sinal )(ts é transformado numa das grandezas físicas como magnitude do campo elétrico, potência do sinal etc, eqüivalendo a uma função de onda ),( rtf escrita da seguinte forma:         ⋅ −= c kr tsrtf ω ),( , (2.4) que neste modelo é uma onda plana de direção de propagação k . 2.1.2 Sinal de Faixa Estreita Em algumas situações abordadas a frente, o sinal )(ty será considerado de faixa estreita. Esta consideração é importante pois simplifica de sobremaneira a implementação dos mecanismos de adaptação, mais especificamente o phased array analógico. Pois um pequeno atraso ∆ em )(ts pode ser considerado como uma defasagem. Ou seja: )( )()( ∆− ∆−=∆− tj c etyts ω . (2.5) Como )(ty é um sinal de faixa estreita, )()( tyty ≈∆− , e assim: φj etsts − ≈∆− )()( , (2.6) onde ∆= cωφ . A figura 2.2 esclarece o conceito de faixa estreita. Nesta figura estão representados na freqüência o sinal )(ty e a parte real da transformada de )( ∆−tδ , visto que )()()( ∆−∗=∆− ttyty δ . O sinal é considerado de faixa estreita se yB , a largura de banda de )(ty , é bem menor que 1− ∆ . Neste caso, para yB≤ω tem-se: 1)cos( ≈∆ω , 0)sen( ≈∆ω e ∆ ≈ ω ωω j eYY )()( , que seria forma dual da conclusão anterior.
  • 35.
    22 ( )∆ωcos )(ωY 1− ∆<<yB ω Figura 2.2- Representação na freqüência do sinal )(ty No caso de uma onda plana correspondente ao sinal )(ts , ou seja,         ⋅ −= c kr tsrtf ω ),( , os deslocamentos no espaço, terão o mesmo tratamento anterior, ou seja: ( ) krjkrj cc ertfe kr ts krr tsrrtf ⋅−⋅− =        ⋅ −≈        ⋅− −=− 00 ),(),( 0 0 ωω , (2.7) se kr B c y ⋅ << 0 ω . Vale a pena comentar que neste estudo, o comportamento do sinal de informação não é muito importante, pois a ênfase é na possibilidade de explorar a dimensão espacial da função de onda. Mais especificamente, os algoritmos analisados aqui, fazem uso das amostras temporais do sinal apenas para estimar a matriz covariância espacial. Portanto, não será levado em conta o tipo de modulação, e/ou codificação, do sinal. 2.2 Antena Uma antena, de maneira mais simplista, pode ser entendida como um transdutor que objetiva transformar energia elétrica em onda eletromagnética e vice-versa. Na recepção, a antena intercepta as ondas incidentes em sua superfície, e transforma a energia oriunda dessas ondas em energia elétrica. Na transmissão, a antena funciona de maneira contrária, ou seja, a energia elétrica excita o transdutor, que transforma esta energia numa onda eletromagnética.
  • 36.
    23 Em termos matemáticos,a antena pode ser vista como a entidade que transforma uma função no espaço-tempo numa outra dependente apenas do tempo, e vice-versa. ),( rtf )(tz ),( rtf )(tz Figura 2.3a - Antena como um transdutor, na recepção transformando uma função no espaço-tempo em outra apenas no tempo Figura 2.3b - Antena como um transdutor, na transmissão transformando uma função no tempo em outrano espaço e tempo A energia transformada tanto na recepção quanto na transmissão segue o princípio da reversabilidade, ou seja, a antena mantém suas propriedades desde que o sinal transformado mantenha suas características como por exemplo a freqüência da portadora. A maior parte deste texto será desenvolvido baseado nas propriedades da antena no modo de recepção. Na transmissão subentende-se que possua a mesma característica. Na recepção, a energia transformada )(tz da onda dada por sua função ),( rtf , segue a seguinte expressão: ∫∫∫= dVrtfrgtz ),()()( , (2.8) onde dV é o elemento diferencial de volume, )(rg é chamada de Aperture Smoothing Function [DON01], e depende basicamente da geometria da antena considerada, para pontos exteriores a superfície da antena 0)( =rg . Observando a expressão acima, a antena é na realidade um filtro espacial que seleciona regiões específicas do espaço, ou direções. Se a antena possui dimensões pontuais e situada na posição 0r , a função )(rg é da forma: )()( 0rrrg −= δ , (2.9) onde )(⋅δ é a função delta de Dirac. A expressão para )(tz resulta em: ),(),()()( 00 rtfdVrtfrrtz =−= ∫∫∫δ . (2.10) Da expressão acima se verifica que uma antena com dimensões pontuais amostra a função ),( rtf no espaço.
  • 37.
    24 2.2.1 Diagrama deIrradiação As antenas em geral podem ser classificadas de acordo com a sua diretividade observada no seu diagrama de irradiação. Considere a figura 2.4a, onde aparece o vetor posição r representado em coordenadas esféricas. Este vetor é função do seu módulo, da elevação e do seu azimute. Assim, a função ),( rtf desta antena pode ser escrita como ),,,(),( ϕθrtfrtf = . O diagrama de irradiação )(θG de uma antena pode ser definido como o gráfico da energia de )(tz , )(tz , em função do azimute de uma onda monocromática e plana de energia unitária, mantendo-se fixos o módulo de r constante e a elevação igual a zero 0=ϕ . Outra forma de obtenção do diagrama de irradiação é através da transformada de Fourier no espaço de )(rg : ∫∫∫ ⋅− ≡ dVergkG krj )()( , (2.11) onde )(θkk = , assim ( ))()( θθ kGG = . O diagrama de irradiação é, então, a representação da função que se traduz na habilidade da antena de filtrar no espaço, como a curva de resposta de um filtro, onde o elemento filtrado é a direção de chegada das ondas incidentes, proporcionando ganhos maiores ou menores dependendo deste ângulo de chegada. Os ganhos da antena são definidos em relação a uma antena isotrópica disposta na mesma posição desta e seu valor expresso em dB. No diagrama aparecem alguns indicadores da qualidade da antena no que se refere à habilidade de filtragem espacial. Dentre os indicadores se destacam o lobo principal, a largura de feixe. 2.2.2 Lobo Principal Chama-se de lobo principal a parte da curva do diagrama de irradiação onde se encontra o maior máximo entre dois mínimos consecutivos do diagrama. Os demais máximos entre mínimos são chamados de lobos secundários, conforme indica a figura 2.4. O lobo principal indica o grau de diretividade da antena. Se o lobo é estreito mais diretiva ela é, ou mais seletiva em relação à direção associada ao lobo principal. A largura de feixe mede o grau de estreitamento do lobo principal, e está intimamente ligada a resolução da antena em análise, ou seja a capacidade de separação pelo ângulo de incidência de sinais distintos. Ela é
  • 38.
    25 definida como adistância em graus de dois pontos do diagrama de irradiação que alcançam a metade do valor máximo no lobo principal, conforme a figura 2.4. r (r, ) Azimute Elevação 0º 90 270 180 0º Figura 2.4a - Elementos da geometria do diagrama de irradiação Figura2.4 b - Diagrama de Irradiação de Figura 2.4c - Representação planar do diagrama de irradiação da antena vista em b) . 2.2.3 Matriz de Antenas De acordo com seu diagrama de irradiação, as antenas podem ser classificadas como isotrópicas, omnidirecionais e direcionais. As antenas isotrópicas são aquelas em que o diagrama de irradiação possui ganho igual em todas as direções 1)( =θG . As antenas diretivas são, como o seu próprio nome diz, aquelas que para determinadas direções possuem ganho maior que em outras direções. Fisicamente, uma única antena estática (sem movimentos mecânicos) só tem habilidade de filtrar, ou posicionar o seu diagrama de irradiação numa única direção específica. Com emprego de duas ou mais antenas combinadas se consegue, não só selecionar varias direções distintas, como também rastrear o sinal desejado. A utilização de uma ou mais antenas combinadas apropriadamente é o objeto central deste estudo.
  • 39.
    26 d d dddd Saída 1 2 3 4 5 60 30º 0º 30 210 60 240 90 270 120 300 150 330 180 0 Lobo Principal Largura de Feixe Lobos Secundários Figura2.5 - Representação esquemática de um Phased Array com 7 elementos dispostos de maneira linear. Figura 2.6 - Diagrama de irradiação equivalente do Phased Array ao lado, indicando os lobos principal e os secundários. Uma forma simples de matriz de antenas é o phased array, também chamado de delay-and-sum. Como respresentado na figura 2.5, esta implementação os sinais percebidos pelos elementos são retardados e combinados de maneira a somar em fase para uma direção desejada. A configuração apresentada na figura acima é uma matriz linear que será definida pela sigla ULA (Uniform Linear Array). Como será visto adiante, e a dependência de ∆ em relação ao ângulo de incidência θ é dada por: )sen(2)( θ λ πθ d =∆ , (2.12) onde λ é comprimento de onda da portadora, e d é o espaçamento entre elementos. Assim, para direcionar o diagrama à direção desejada θ , basta atribuir a ∆ valor de acordo com a expressão acima. O nome antenas adaptativas, também chamadas de smart antennas, se atribui a um conjunto de antenas, como por exemplo um phased array, onde o ajuste das fases n∆ se dá de maneira dinâmica, adaptando a cada momento o diagrama de irradiação de acordo com os objetivos a serem alcançados. A estrutura geral está representada figura 2.7. Da mesma forma que o phased array, as antenas assim dispostas amostram espacialmente a onda incidente. As informações de origem espacial e temporal são analisadas, de modo a fazer o ajuste conveniente de pesos complexos Nppp ,, 21 . Quando este ajuste objetiva separar sinais superpostos incidentes neste conjunto, estimando-se parâmetros livres deste modelo baseado
  • 40.
    27 numa dada funçãocusto a ser otimizada, este arranjo assim formado constitui numa antena ótima. p1 p2 pN z(t) Frentes de Onda Diagrama de Irradiação Equivalente x1 x2 xN Antenas 0º Figura 2.7 - Diagrama esquemático de um conjunto de antenas adaptativas 2.3 Explorando a Dimensão Espacial Cada elemento de uma matriz de antenas, é utilizado como entidade transformadora de função no espaço-tempo para função somente do tempo. Deste modo, a função principal de uma antena é amostrar no espaço a função de onda incidente na posição onde ela se encontra. As informações das amostras espaciais se agregam as informações do comportamento temporal do sinal, melhorando a sua assinatura, ou seja, a capacidade do sinal ser reconhecido. Dependendo da disposição dessas antenas as amostras no espaço terão características diferentes. Assim, a performance de um conjunto de antenas depende fortemente da sua conformação geométrica. A ULA, apresentada no final desta seção, é uma estrutura que possui um tratamento matemático simples, e bastante estudada com muitos resultados encontrados na literatura. Finalmente, a amostra espacial possui algumas características, como de maior importância, neste estudo, está a estatística de segunda ordem, a matriz covariância espacial, que aplicando alguns resultados da Análise Funcional produzirá as principais propriedades utilizadas nos algoritmos de estimação do ângulo de chegada analisados aqui.
  • 41.
    28 2.3.1 Amostragem Espacial Considerea figura 2.8, onde aparecem N transdutores pontuais dispostos de maneira qualquer. Esta conformação de transdutores, juntamente com os sinais percebidos por eles, constitui num conjunto de antenas, ou matriz de antenas. 1r 2r Nr 1k Mk 1k Mk 1k Mk 1k Mk Antenas Figura 2.8 Conjunto de antenas arbitrário Sejam Nrrr ,,, 21 os vetores posição de cada um desses N transdutores, relativos a um sistema de referência de tal sorte que ∑= ≡ N i ir 1 0. Para um único sinal incidente )(ts , com direção dada por k , o sinal percebido pelo n’ésimo elemento nx deste conjunto, considerando ausência de ruído, é dado por: krj n n etstx ⋅− = )()( . (2.13) Os sinais percebidos pelos N elementos do conjunto de antenas podem ser arranjados na forma de um vetor )(tx , cujas componentes são as contribuições de cada um dos elementos do conjunto: [ ]T N txtxtxtx )(,),(),()( 21= . Este vetor pode ser reescrito da seguinte forma: )()()()( 2 1 tskats e e e tx krj krj krj N =               = ⋅− ⋅− ⋅− , (2.14) onde [ ]T rkjrkjrkj N eeeka −−− = ,,,)( 21 . O vetor )(ka é chamado na literatura de steering vector e pertence a uma classe especial de vetores chamados de Array Manifold. O Array Manifold é
  • 42.
    29 um subconjunto devetores genéricos de dimensão N, tal que a característica comum dos vetores que pertencem a ele, depende da conformidade geométrica do conjunto de antenas5 . Para M ondas planas incidentes correspondentes aos sinais )(,),(),( 21 tststs M , com constantes de propagação [DIN01] Mkkk ,,, 21 e freqüências angulares Mωωω ,,, 21 , na ausência de ruído, o sinal percebido pelo conjunto de antenas pode ser escrito como: ∑= = M m mm tskatx 1 )()()( . (2.15) Na expressão acima nota-se que o vetor )(tx pertence ao espaço gerado pelos vetores { }M mmka 1 )( = do Array Manifold associado a este conjunto de antenas. Considere agora o vetor )(tw , onde cada componente é o ruído branco aditivo associado ao elemento do conjunto de antenas correspondente, neste caso a expressão (2.15) fica: )()()()( 1 twtskatx M m mm += ∑= . (2.16) Rescrevendo em forma matricial: )()()( twtsAtx += , (2.17) em que [ ])()( 1 MkakaA = , e [ ]T M tststs )()()( 1= . A expressão (2.17) descreve o modelo para o ambiente de propagação considerando só o ruído branco aditivo, e representa o mais simples dos modelos sendo a base para desenvolvimento deste estudo. 2.3.2 Array Manifold e Estimação de Parâmetros De uma maneira geral, o Array Manifold pode ser entendido como o gerador das respostas possíveis do conjunto de antenas Nxxx ,, 21 em função de um universo de 5 O sinal negativo nos expoentes das componentes do steering vector depende do sistema de coordenadas utilizado. Se for adotado um sistema diametralmente oposto ao anterior estes expoentes possuirão sinal positivo.
  • 43.
    30 parâmetros, ressaltando quetais parâmetros não são relacionados com a informação transportada por este sinal (figura 2.9). a( ) Universo dos parâmetros estimaveis Array Manifold Figura 2.9 - Array Manifold como uma aplicação dos parâmetros estimáveis. Na maioria dos textos encontrados, com raras exceções [ASZ01], o universo, ou conjunto dos parâmetros estimáveis está relacionado com o ângulo de chegada. Para exemplificar considere o caso de um único parâmetro, sendo este o ângulo de chegada de um dado sinal. Neste caso, seja ),(0 rtf uma onda plana e monocromática de direção de propagação 0k incidindo sobre um conjunto de antenas com o ângulo θ, relativo a um sistema de referência, que no caso de antenas coplanares é o ângulo entre o raio incidente e a normal ao plano das antenas. Também considere que os N elementos, deste conjunto de antenas, estejam posicionados de acordo com Nrrr ,...,, 21 . O Array Manifold A é definido como o conjunto de vetores da seguinte forma: [ ]{ }0 111 | krj iNXi i eaaa ===A . (2.18) Uma característica desejável para o array manifold para evitar ambigüidades, é que a aplicação que associa ao conjunto de parâmetros seja bijetora. Em particular se o conjunto de parâmetros associados a ele for dado pela direção de propagação 0k é desejável que: )()( jiji kakakk ≠⇔≠ . (2.19) Daqui para frente, salvo aviso do contrário, quando for mencionado Array Manifold de um conjunto de antenas, será aquele associado ao ângulo de chegada.
  • 44.
    31 2.3.3 Matriz CovariânciaEspacial e Propriedades Algébricas Dentre as estatísticas do vetor )(tx a mais importante, e base para este estudo, é a matriz covariância espacial xR definida pela expressão6 : [ ])()( txtxER H x ≡ . (2.20) Da expressão (2.17), verifica-se que o vetor )(tx é função dos sinais incidentes e do ruído branco representado pelo vetor )(tw . Sem perda de generalidade, considere o vetor )(tw Gaussiano de componentes descorrelatadas, de média zero, de variância 2 wσ e também descorrelatado com o vetor )(tsA , que representa o sinal. Neste caso, a expressão (2.20) resulta em: [ ] w H sw HH x KAARKAtstsAER +=+= )()( , (2.21) onde [ ])()( 1 MkakaA = , [ ])()( tstsER H s = e IK ww 2 σ= . Da definição, a matriz covariância espacial é uma matriz Hermitiana de ordem N. Assim os seus autovalores são reais e seus autovetores distintos. Prova-se (ver Anexo I) que se MD ≤ é o posto de sR então os autovalores Nλλλ ,,, 21 de xR podem ser ordenados da seguinte forma: 2 121 wNDD σλλλλλ ===>≥≥≥ + , (2.22) onde 2 wσ é variância do ruído. 1e 2e 3e De 1+De Ne 1λ 2λ 3λ Dλ 1+Dλ Nλ2 wσ ENERGIA AUTOVETORES Figura 2.10- Distribuição dos autovalores aos autovetores correspondentes da matriz covariância espacial 6 A expressão se aplica só se )(tx tiver média nula, o que foi assumido ao longo do trabalho.
  • 45.
    32 O posto desR representa o número de sinais descorrelacionados percebidos pelo conjunto de antenas. Considerando sinais descorrelatados, ele representa o número de sinais presentes. Este resultado introduz uma maneira simples de se obter o número de sinais percebidos pelo conjunto de antenas. Analisando os autovalores resultantes da resolução espectral de xR , o número de sinais presentes é o resultado da contabilização de seus autovalores distintos. É importante, também, observar (ver Anexo I) que: Se },,{ 1 NDW eespanE +=∈α então 0=αH A , (2.23) onde ND ee ,,1+ são autovetores associados respectivamente aos autovalores 2 1 wND σλλ ===+ . Em resumo: ♦ o número de sinais incoerentes presentes é igual à dimensão do espaço gerado pelo sinal, ou seja, o numero dos sinais presentes é igual ao número de elementos menos o número dos menores autovalores iguais; ♦ e os autovetores associados a estes menores autovalores, gerados pelo ruído, é ortogonal aos vetores do array manifold associados às direções de chegada dos sinais presentes. Estas propriedades constituem o núcleo de toda a sistemática dos métodos de estimação do ângulo de chegada baseados em Subspace Fitting e discutidos no próximo capítulo. Quando MD = , sendo D o número de sinais descorrelatados, os autovetores D nne 1}{ = associados aos D maiores autovalores são a base ordenada do espaço }{AspanEW = ⊥ , onde [ ])()( 1 MkakaA = . Desta forma os D nne 1}{ = são chamados de autovetores associados aos sinais. De maneira idêntica os N-D autovetores N Dnne 1}{ += associados aos menores autovalores iguais geram o subespaço associado ao ruído },,{ 1 NDW eespanE += . É fácil demonstrar (ver Anexo I) que os espaços },,{ 1 NDW eespanE += e },,{ 1 DW eespanE = ⊥ são ortogonais, ou seja, são espaços anuladores um do outro, e que o espaço gerado pelas colunas de xR é dado pela soma direta de WE e ⊥ WE , ou melhor: ⊥ ⊕= WWx EERspan }{ . (2.24)
  • 46.
    33 A resolução espectralda matriz covariância espacial xR é da seguinte forma (ver Anexo I): H EEw H EEE N Dn H nnw D n H nnn N n H nnnx WWWWW UUUUeeeeeeR 2 1 2 11 σσλλ +Λ=+== ⊥⊥⊥∑∑∑ +=== , (2.25) onde ( )DEW λλ ,,diag 1=Λ ⊥ , [ ]DE eeeU w 21=⊥ , [ ]NDDE eeeU w 21 ++= e 2 wσ é a variância do ruído. Outra expressão útil para matriz covariância é (ver Anexo I): ( ) NNw H EDDwEEx IUIUR www ×× +−Λ= ⊥⊥⊥ 22 σσ . (2.26) 2.3.4 ULA - Uniform Linear Array A disposição uniforme e linear de elementos é a mais comum nos diversos artigos que estudam os benefícios das antenas adaptativas. Esta disposição está representada na figura 2.11 abaixo: d d 1r 2 Nr 2−Nr Nr2r d N nrn           −= 2 Figura 2.11 - Conjunto de Antenas com distribuição uniforme e linear ULA Nesta figura os N elementos do conjunto linear e uniforme estão espaçados por uma distância d, onde foi usado o critério descrito acima para origem do sistema de coordenadas, ou melhor: ∑= ≡ N i ir 1 0. Considere uma onda plana e monocromática que incide sobre o plano deste conjunto de antenas. Para cada posição dos N elementos deste conjunto, observando as figuras 2.11 e 2.12, tem-se:
  • 47.
    34 mk θm βm xnn err = Direçãode propagação Plano do conjunto de antenas -θm - +0º Figura 2.12 - Geometria para o cálculo da constante de propagação 2 ),()( N n tj nn ertftx − =≡ φω , (2.27) onde : ( )             −=−=⋅−= mm dN njrkjrkj θ λ πβφ sen 2 2expcosexp)exp( 00 . (2.28) Chamando m d j m e θ λ π φ sen2 = a expressão (2.27) fica: )()( 2 1 tstx m N nM m mn − = ∑= φ . (2.29) Alguns comentários importantes podem ser feitos sobre esta estrutura de antenas. Sendo um conjunto de antenas coplanares, o vetor ( )θa do array manifold é função do ângulo formado entre a normal do plano das antenas e o raio incidente - ângulo de incidência. Conforme a expressão acima, o vetor do Array Manifold desta estrutura de antenas correspondente ao ângulo de incidência θ pode ser expresso por: ( )                 =                                                   = − − − − 2 2 1 2 2)sen(2 2 1 )sen(2 2)sen(2 N N N N d j N d j N d j e e e a φ φ φ θ θ λ π θ λ π θ λ π , (2.30) onde )sen(2 θ λ π φ d j e= .
  • 48.
    35 O primeiro fatorelevante é que as componentes do vetor ( )θa são potências de )sen(2 θ λ π φ d j e= , o que permite associar a antena adaptativa a um filtro transversal com entrada )sen(2 θ λ π d j e . Outro fato relevante é que esta estrutura introduz ambigüidades, pois os vetores do Array Manifold associados a ângulos simétricos em relação ao plano que contém os elementos do conjunto (ver figura 2.13), são iguais, como é mostrado a seguir. θ π-θ ...... sen(π-θ)=senθ Figura 2.13 - Simetria da ULA De acordo com (2.30) o vetor associado ao ângulo θ é dado por: 1 2)sen(2 )( NX N nd j ea                   = − θ λ π θ , e o associado ao ângulo π-θ: 1 2)sen(2 1 2)sen(2 )( NX N nd j NX N nd j eea                   =                   =− −− − θ λ πθπ λ π θπ , (2.31) assim: )()( θπθ −= aa . (2.32) Da expressão acima é fácil observar que sinais com direções simétricas em relação a 180º não são distinguíveis pela ULA. Em algumas situações tais ambigüidades podem ser contornadas utilizando mais de um conjunto de antenas dispostas perpendicularmente, por exemplo. Ou, por outro lado, pode-se usar uma outra conformação de antenas diferente da ULA com pouca simetria. Como alternativa, algumas referências utilizam uma matriz circular (UCA Uniform Circular Array) que distingue sinais dispostos no intervalo de incidência de 0º
  • 49.
    36 à 360º. Nestecaso os elementos estão dispostos de maneira circular e igualmente espaçados (figura 2.14). Em geral a análise de matrizes circulares é mais complexa que a ULA, podendo ser encontrada uma ampla discussão em [MAT01, pp 171-216]. Frente de onda 0 1 2 n -1 -2 m Figura 2.14 - Uniform Circular Array - UCA 2.4 Resposta do conjunto de antenas - Beamforming O termo beamforming está relacionado a com antena7 formada por um elenco de dispositivos, que possui a propriedade de formatar o diagrama de irradiação para uma dada direção [LIT01]. No caso deste estudo, beamforming é o nome dado a uma grande variedade de algoritmos baseados no processamento de matrizes (array processing) que, de acordo com os métodos empregados, otimização dos pesos p por exemplo, possui a propriedade de focar o diagrama de irradiação na direção do sinal desejado [DON01]. De maneira geral, o beamforming denota a capacidade de um dispositivo ou aparato de ajustar o seu diagrama de irradiação, selecionando determinada direção em detrimento das demais, funcionando como filtro espacial controlável. Este ajuste pode ser feito para privilegiar a recepção, a transmissão ou os dois modos de operação de uma antena. 2.4.1 Formas de Implementação do Beamforming Conforme a tecnologia empregada para implementação, o beamforming pode ser classificado como analógico ou digital. O beamforming analógico emprega um conjunto de antenas, como o phased array discutido brevemente acima, onde as fases são ajustadas em sinais analógicos, utilizando dispositivos analógicos, como a figura (2.15). 7 Aqui antena tem sinônimo de aparato, e pode ser considerado um conjunto de antenas, ou de sensores.
  • 50.
    37 Antenas Deslocadores de Fase Divisores de Potência Rede Beamforming Figura2.15 - Exemplo de implementação do Beamforming analógico. O Digital Beamforming DBF surgiu com o casamento entre a tecnologia de antenas e o processamento digital em radio freqüência Software Radio, concebida no início dos anos 70 para aplicações militares, e disponibilizada nos anos 80 e 90 com possibilidade inclusive de processar em RF. No DBF a principal vantagem é que, uma vez capturado o sinal em RF, ele é digitalizado, e o tratamento é feito utilizando a informação proveniente do sinal digitalizado. Com isto, pode-se usar um sem número de técnicas de processamento de sinais como, por exemplo, algoritmos para separação de sinais, filtragem adaptativa, etc., sem introduzir distorções inerentes à implementação analógica [LIT01], seguindo a tendência de se implementar cada vez mais as funcionalidades de RF e IF em software e não em hardware [KEN01]. A arquitetura genérica do DBF aparece na figura 2.16. DIGITALSIGNALPROCESSOR DSP TRANSCEPTOR I Q TRANSCEPTOR I Q TRANSCEPTOR I Q Outputs Inputs MatrizdeAntenas Figura 2.16 - Arquitetura genérica de sistema DBF. Nesta figura aparecem os seguintes módulos constituintes: A matriz de antenas - responsável pela amostragem espacial ; os transceptores conversores - em banda básica ou FI, onde se obtém as componentes em fase I e quadratura Q; e o DSP Digital Signal Processor, onde os sinais digitais I e Q serão analisados e processados. A figura 2.17 apresenta, de maneira esquemática, um exemplo de arquitetura para o sistema DECT, usando antenas
  • 51.
    38 adaptativas apenas narecepção (extraída de [ARN01]). Neste texto, foi apresentado como a configuração de testes para TSUNAMI na fase 1. D/C D/C D/C Digital Beamformer A C40 DSP Digital Beamformer B C40 DSP Codec e Demodulador DECT A P Codec e Demodulador DECT B P Estimador de BER Estimador de BER 90º A/D A/D TOAT 1.78 GHz 110 MHz Conversor em Quadratura M atrizde Antenas Chave TX e RxDownconvertereDigitalizadorDualDigitalBeam form er Estação Base DECT Q I Figura 2.17 - Arquitetura para o sistema DECT usando antenas adaptativas apenas na recepção. A seguir é apresentada uma análise básica do problema do beamforming. Inicialmente, é apresentada uma análise do phased array, por possuir formulação mais simples, e de facilmente ser estendido para o modelo mais complexo utilizado no DBF. 2.4.2 Phased Array O phased array, também chamado de delay-and-sum, constitui-se no mais simples exemplo de implementação de um conjunto de antenas. No phased array os sinais oriundos dos elementos são defasados, e combinados posteriormente, direcionado o diagrama de irradiação à direção desejada.
  • 52.
    39 z(t) x1 x2 xN 1 1kMk 2 N Figura 2.18 - M sinais incidentes num Phased Array.. Considerando M sinais incidentes M mc m m kr ts 1=                 ⋅ − ω , o vetor )(tx é dado por: ∑∑ == =                               ⋅ −         ⋅ −         ⋅ − == M m m M m c mN m c m m c m m tu kr ts kr ts kr ts tutx 11 2 1 )()()( ω ω ω . (2.33) É interessante notar que cada uma das componentes do vetor )(tul é o sinal )(tsl defasado da quantidade c ln kr ω ⋅ . Conforme indica a figura (2.18), para cada sinal ( )txn , percebido pelo n ésimo elemento do conjunto de antenas, é introduzido um retardo n∆ . Em seguida, todos os sinais com os seus repectivos retardos são combinados obtendo-se: ( ) ∑∑∑ = ==         ∆− ⋅ −=∆−= N n M m n c m m N n nn kr tstxtz 1 1 1 1 )( ω . (2.34) Para obter o l ésimo sinal dado pela direção lk , basta fazer cada retardo:
  • 53.
    40 c ln n kr t ω ⋅ −=∆ 0 , (2.35) onde0t é um valor arbitrário, escolhido para fazer n∆ positivo. Por simplificação de notação, considere 00 =t . A expressão para )(tz fica: ∑∑= ≠ =         ∆− ⋅ −+= N n M lm m n c m ml kr tstNstz 1 1 1 )()( ω . (2.36) Como as direções Mkkk ,,, 21 são quaisquer, o resultado é a soma em fase do sinal desejado proveniente dos elementos do conjunto de antenas e a soma aleatória para os outros sinais. Isto tende anular estes sinais. Logo, com esta metodologia pode-se obter, usando o conjunto de antenas, o sinal desejado )(tsl de maneira seletiva pelo simples ajuste dos retardos n∆ . Se o sinal )(ty for de faixa estreita, como mostrado na seção 2.12, um atraso relativamente pequeno é equivalente a uma defasagem, o que explica o nome Phased Array. Para um único sinal a expressão (2.36) fica: ( ) ∑∑∑ = ∆−⋅− = ∆−⋅− = ==∆−= N n jkrj N n jkrj N n nn ncnncn eetseetstxtz 111 )()()( ωω . (2.37) Então, pode-se escrever: )()()( kaptstz H = , (2.38) onde [ ]Tjjj Nccc eeep ∆∆∆ = ωωω 21 . Supondo agora que os retardos estejam convenientemente ajustados para a direção lk , ou seja c ln n kr ω ⋅ −=∆ , tem-se: ( ) ( ) ( ) [ ] [ ] [ ] )( exp exp exp exp exp exp 2 1 2 1 l lN l l Nc c c ka krj krj krj j j j p =               ⋅− ⋅− ⋅− =             ∆ ∆ ∆ = ω ω ω , (2.39)
  • 54.
    41 Assim )(tz fica: [])()()()( kakatstz l H = . (2.40) Aplicando a desigualdade de Schwartz a este caso, tem-se: Nkakakaka ll H =≤ )()()()( , (2.41) onde a igualdade se dá quando )()( kaka l α= . )()( kaka l α= . Caso a conformação do conjunto de antenas não introduza ambigüidades ao seu array manifold, o máximo do módulo de )(tz em função de k acontece quando lkk = . Isto corrobora o que foi antecipado, ou seja, um conjunto de antenas ajustado desta forma, seleciona os sinais provenientes da direção lk . 2.4.3 Modelo Geral O esquema do phased array pode ser generalizado associando ganhos ajustáveis Nααα ,...,, 21 aos sinais )(,),(),( 21 txtxtx N , respectivamente, além dos retardos introduzidos, conforme figura (2.19). )(tz ∆1 α1 ∆2 α 2 ∆N αN Σ ),( 1rtf ),( 2rtf ),( Nrtf Figura 2.19 - Resposta de um conjunto de antenas Para um único sinal incidente a resposta do conjunto de antenas fica: ( ) )()()()()( 11 txpkaptseetstxtz HH N n krjj n N n nnn nnc ===∆−= ∑∑ = ⋅−∆− = ω αα , (2.42) onde o vetor p , também chamado de vetor de pesos do conjunto de antenas, é dado por:
  • 55.
    42 ( ) ( ) ()            ∆ ∆ ∆ = NcN c c j j j p ωα ωα ωα exp exp exp 22 11 . (2.43) 2.4.4 Diagrama de Irradiação do Conjunto de Antenas Conforme foi definido, o diagrama de irradiação de uma antena pode ser obtido pelo módulo da transformada de Fourier no espaço da função abertura )(rg da antena considerada, que se relaciona com )(tz segundo a expressão (2.10). Para o conjunto de antenas desta análise, a função )(rg é da forma: ∑= ∆− −= N n n j n rrerg nc 1 )()( δα ω . (2.44) Aplicando a transformada de Fourier no espaço em )(rg (Anexo I), tem-se: )()( kapkG H = , (2.45) onde o vetor k é a direção de propagação do sinal considerado. No caso de elementos do conjunto de antenas coplanares, como é o caso da ULA, o azimute θ da direção de um determinado sinal pode ser representado pelo ângulo entre a direção de propagação k e a normal ao plano dos elementos (figura 2.20). Antenas )(θk Normal Direção da onda incidente Plano das Antenas Figura 2.20 - Representação de um conjunto de antenas coplanar Isto posto, a função )(kG pode ser escrita em função do azimute θ , ou melhor: )()( θθ apG H = . (2.46)
  • 56.
    43 Para o casodo phased array, quando 11 === Nαα , supondo que os retardos estão ajustados para a direção )( ll kk θ= , tem-se: [ ]T rkjrkjrkj Nlll eeep ⋅−⋅−⋅− = )()()( 21 θθθ . (2.47) Aplicando novamente a desigualdade de Schwartz, o módulo de )(θG terá valor máximo quando lθθ = , )()( lGG θθ ≤ , indicando que o lobo principal está na direção de lθ . Com o ajuste dos pesos dados por )( lp θ , para o ângulo lθ , pode-se modificar o diagrama de irradiação de tal sorte a apontar o lobo principal para este ângulo desejado lθ , resultando num esquema de modificação, ou adaptação, para o diagrama de irradiação. A esta técnica dá-se o nome de beamforming, pois o diagrama de irradiação é formatado conforme ajustes convenientes dos pesos dados por p (figura 2.21). -100 -50 0 50 100 -0.2 0 0.2 0.4 0.6 0.8 1 30 210 60 240 90 270 120 300 150 330 180 Figura 2.21a - Gráficos cartesianos de um phased array com 8 elementos, ajustado para 0º em azul, e 45º em vermelho. Figura 2.21b - Diagrama de irradiação de um phased array com 8 elementos, ajustado para 0º em azul, e 45º em vermelho. De acordo com a forma de obtenção dos pesos, o beamforming pode ser classificado como: convencional, cancelamento de sinais (null steering), adaptativo e ótimo [GOD01]. 2.4.5 Formação Convencional de Feixe Na seção 2.4.2 foi mencionado que o tratamento mais simples para o conjunto de antenas era a soma em fase cada um dos sinais provenientes das antenas. Para tanto, pesos complexos p são utilizados de maneira a compensar a defasagem introduzida pela dispersão no espaço das antenas. Suponha agora o que se deseja é estabelecer um elenco de condições sobre o diagrama de irradiação dado por (2.46), isto é:
  • 57.
    44        = = = LL H H H bkap bkap bkap )( )( )( 22 11 , (2.48) ou de formamatricial: TH bAp = , (2.49) onde [ ])()()( 21 LkakakaA = e [ ]T Lbbbb 21= , ou ainda: bAAAp H 1 )( − = , (2.50) Observando a expressão (2.48) conclui-se que este problema se relaciona com a solução de um sistema linear de N incógnitas com L equações, com NL ≤ . Este sistema terá solução, não necessariamente única, quando o posto de ],[ bA for menor ou igual a L [HOF01]. Neste caso pode-se obter o vetor peso p de tal modo que atenda as condições impostas. A figura (2.22) exemplifica o problema de se obter ganhos máximos, diferentes de zero, nas direções - 45º, 0º, 15º e 60º numa ULA com 8 elementos, mostrando o diagrama de irradiação equivalente. 1 2 5.0= λ d 5 6 7 8 -45º 15º0º 60º 30 210 60 240 90 270 120 300 150 330 180 0 Figura 2.22 a - ULA com 8 elementos e as direções indicadas para obtenção de ganho máximo. Figura 2.22 b - Diagrama de irradiação utilizando as restrições de ganhos máximos em -45º, 0º, 15º e 60º Uma expressão útil, e que será utilizada futuramente, é resultante da expressão (2.49) considerando uma única restrição:
  • 58.
    45 1)( =θap H , (2.51) Nestecaso: N a aa a p H )( )()( )( θ θθ θ == . (2.52) Nota-se que a expressão (2.52). a exceção do termo 1− N , é equivalente à expressão (2.39) obtida para o phased array. 2.4.6 Cancelamento de Sinais - Null Steering A formação de sinais convencional introduz como subproduto de utilização o cancelamento de sinais (null steering). O cancelamento de sinais possui grande aplicação pois permite para determinadas direções o seu cancelamento. O problema estabelece que para as direções não desejadas Lkkk ,,, 21 , o cancelamento da função )(tz eqüivale a:        = = = 0)( 0)( 0)( 2 1 L H H H kap kap kap . (2.53) Este problema é uma particularização do item anterior, e terá solução não trivial quando o posto de ],[ bA for maior que zero e menor que L. Assim, o número máximo de direções onde se deseja o cancelamento do sinal é N-1. Normalmente é interessante impor uma condição não nula, por exemplo estabelecer a l ésima direção como desejada. Logo, a solução deste problema se resume em: ( ) )( 1 l H kaAAp − = . (2.57) 2.4.7 Formação Ótima de Feixe No próximo capítulo serão discutidos diversos métodos para obtenção do vetor de pesos p baseados na otimização de funções específicas como a razão sinal ruído, variância do sinal interferente etc. O beamforming assim obtido é denominado de beamforming ótimo, ou formação ótima de feixe.
  • 59.
    46 3. Formação Ótimade Feixe e a Estimação da Direção de Chegada No capítulo anterior foi mostrado que com o ajuste conveniente dos pesos complexos Nppp ,...,, 21 numa matriz de antenas, se consegue formatar o diagrama de irradiação. No presente capítulo será abordado o problema da formação ótima de feixe, que objetiva obter os pesos supracitados otimizando funções custo num ambiente de propagação onde existe apenas o ruído branco aditivo, utilizando para tanto amostras do sinal na saída da matriz de antenas. Também, será mostrado que a obtenção dos pesos Nppp ,...,, 21 para a formação ótima do feixe pode ser bastante simplificada quando se tem a informação da direção de chegada, que pode ser estimada utilizando diversos estimadores. Dentre estes estimadores estão os baseados na decomposição em subespaços, como o MUSIC, e que possuem alta resolução para separação de direções de sinais incidentes num conjunto de antenas. Resumindo, as seções
  • 60.
    47 subsequentes pretendem apresentaros mecanismos de estimação utilizados na formação ótima de feixe quando a informação da direção é conhecida (estimada). 3.1 Motivação para Estimação da Direção de Chegada A formação ótima de feixe pode ser bastante simplificada quando a direção do sinal incidente é conhecida [DON01]. Para exemplificar esta questão, a seguir será obtido o estimador de máxima verossimilhança para a direção de chegada e para o sinal incidente. Da expressão (2.17), considerando conhecidos o sinal )(ts e o steering vector )(ka associado a direção de incidência, )(tx é um vetor Gaussiano de média )()( tska e matriz covariância wK , ou seja, )),()((~)( wKtskaNtx . Assim, densidade de probabilidade condicional sendo dados o sinal e a direção é dada por: ( ) ( )[ ] ( ) ( )    −−−= − )()()()()()( 2 1 exp det2 1 ))(),(|)(( 1 )()(| tskatxKtskatx K tskatxp w H w Ntskax π . (3.1) Aplicando o critério de máxima verossimilhança para estimação de k e )(ts , tem-se: { } ( ) ( ){ })()()()()()(min))((axm]ˆ, ˆ [ 11 ˆ, ˆ)()(| 1 ˆ, ˆ tskatxKtskatxtxpsk w H sk tskax sk ML −−== −−− . (3.2) Pode-se mostrar (Anexo I) que os estimadores desejados são a solução do seguinte sistema de equações: [ ] [ ] [ ][ ] 0)()()()()(Re: ˆ 0)()()(:ˆ 121 1 =− =− −− − kaKkatskaKxtsk tskaxKkas w H w H w H , (3.3) onde         ∂ ∂ ∂ ∂ ∂ ∂ = zyx k ka k ka k ka ka )()()( )( , e ),,( zyx kkkk = . Observando a segunda expressão do sistema de equações diferenciais acima, verifica-se que é extremamente complexo de ser resolvida e dependente da conformação da matriz de antenas em estudo [DON01]. Se a informação da direção é dada, o sistema acima simplifica para uma
  • 61.
    48 única equação (aprimeira equação acima), e independente da disposição das antenas, resultando: [ ] [ ] [ ] )()()( )()( )( )(ˆ † 1 1 txkatx kaKka Kka ts w H w H == − − , (3.4) onde IK ww 2 σ= e [ ] [ ] HH kakakaka )()()()( 1† − ≡ é a matriz pseudo inversa de )(ka . Observa-se então que os pesos que fornecem a estimação ML do sinal são dados por [ ]† )(ˆ kap = . Assim nota-se, pela simplificação do problema, que é imperativo a obtenção da direção de chegada DOA, ou direção de incidência. A seguir serão mostrados métodos de obtenção da direção de chegada k , onde se buscou dar uma ordem histórica na introdução desses métodos. 3.2 Estimação da Direção de Chegada baseado na Resposta do Conjunto de Antenas A seguir são descritos métodos de formação de feixe baseados na potência de saída na matriz de antenas, ou seja a potência de )(tz (expressão 2.42). Nestes métodos os parâmetros (vetor p ) dependem da direção de chegada do sinal desejado. Como os parâmetros possuem uma relação com o ângulo ou a direção de chegada, a sua variação permite varrer os todos ângulos - expressão (2.48). É importante destacar que tanto os sinais como o ruído são de média nula de modo que as suas potências são iguais as suas variâncias. 3.2.1 Método da Variância da Resposta do Phased Array O primeiro método apresentado para obtenção das direções de incidência dos sinais presentes é o método da variância da resposta do conjunto de antenas dada pela expressão: [ ] pRpxpEtzE x HH =    = 22 )( . (3.5) Para o phased array )(θap = , neste caso tem-se:
  • 62.
    49 [ ] )()()()( 2 θθθaRatzEf x H == . (3.6) Obtém-se, assim, uma expressão para avaliar os ângulos de incidência. O método se baseia na investigação da expressão (3.6) para cada ângulo θ , onde os ângulos candidatos são máximos relativos desta expressão. 3.2.2 Método de Mínima Variância Este método é semelhante ao anterior, só que neste caso o vetor peso é obtido pela minimização da variância da resposta )(tz [DON01,WAX03] dado que para uma direção específica a variância é igual a 1 , isto é: [ ] { }pRpxpEtzEp x H p H pp 12121 minmin)(minˆ −−− =    == , condicionado a 1)( =θap H . (3.7) Note-se que, com a restrição de variância unitária na direção desejada, a minimização da variância total eqüivale a minimizar a variância do ruído e dos sinais fora desta direção. Utilizando multiplicadores de Lagrange, a expressão acima resulta em (ver Anexo I): )()( )( ˆ 1 1 θθ θ aRa aR p x H x − − = , (3.8) e a variância mínima é igual a: )()( 1 )( 1 2 min θθ σθ aRa f x Hz − == . (3.9) A expressão (3.9), que indica a variância mínima da resposta )(tz , introduz uma forma de se investigar o ângulo de chegada θ . Com esta variância deve ser máxima quando o ângulo θ coincidir com o ângulo de um sinal incidente, deve-se também, neste caso, buscar o valor de θ que maximiza (3.9). 3.2.3 Método da Maximização da Relação Sinal Ruído Este método é baseado na maximização da relação sinal ruído de um conjunto de antenas. Considere um único sinal presente. Neste caso a relação sinal ruído SNR é dada por:
  • 63.
    50 pRp paap pRp pRp SNR w H HH s w H x H )()( 1 2 θθ σ=−= , (3.10) onde 2 sσé a energia do sinal, )(θa é o steering vector associado ao ângulo θ . Estabelecendo a condição 1)( =θap H , o valor de p que maximiza a relação sinal ruído fica: { } { }pRp pRp SNRp w H p w Hs pp 1211 min 1 maxmaxˆ −−− =         == σ . (3.11) De maneira semelhante ao caso da seção (3.2.1), o desenvolvimento leva a: )()( )( ˆ 1 1 θθ θ aRa aR p w H w − − = . (3.12) Se o ruído for vetor Gaussiano descorrelatado, a matriz covariância é dada por IR ww 2 σ= , e a expressão acima fica: )()( )( ˆ θθ θ aa a p H = , (3.13) que é semelhante à expressão (3.6), a exceção do ganho. Para o valor de pˆ encontrado, a relação sinal ruído é dada por: )()( ˆˆ )ˆ()( 12 2 θθσ σ θ aRa pRp pSNRf w H s w H s − === . (3.14) De maneira semelhante ao caso anterior, a maximização de (3.14) permite obter o valor de θ que que deve ser usado em (3.12). 3.3 Estimação da Direção de Chegada baseado na decomposição em valores singulares Nos algoritmos descritos acima foram introduzidas formas de se estimar a direção do sinal incidente no conjunto de antenas utilizando a potência de saída do conjunto de antenas. Abaixo será apresentado o MUSIC, precursor dos estimadores pertencentes a categoria dos
  • 64.
    51 métodos de estimaçãoda direção de chegada denominada de subspace fitting methods. É importante observar que o MUSIC pode ser visto como uma evolução da decomposição harmônica de Pisarenko descrita a seguir. 3.3.1 Decomposição Harmônica de Pisarenko A decomposição harmônica de Pisarenko tem a seguinte formulação: [ ] { }pRpxpEtzEp x H p H pp 12121 minmin)(minˆ −−− =    == , condicionado a 1=pBp H , (3.15) onde B é uma matriz qualquer positiva semidefinida. Utilizando multiplicador de Lagrange λ , chega-se a seguinte expressão: pBpRx λ= , (3.16) que é a equação geral de autovalores e autovetores. Se a matriz B é a matriz identidade, os vetores p que satisfazem a expressão acima são exatamente os autovetores de xR . Pode-se mostrar que os vetores que minimizam a variância de )(tz são exatamente aqueles correspondentes aos menores autovalores iguais a variância do ruído, conforme descrito na seção 2.3.3. Para um único sinal com direção de chegada igual a θ , a variância de )(tz é dada por: 2222 )( ws H z ap σσθσ += , (3.17) onde 2 sσ e 2 wσ são as variâncias do sinal e do ruído respectivamente. Da expressão (3.17) verifica-se que p minimiza a variância quando é ortogonal ao vetor )(θa . Como este vetor p é exatamente um dos autovetores associados ao menor autovalor que é a variância do ruído 2 wσ , tem-se que )(θa é ortogonal a estes autovetores. Este resultado é consubstanciado nas propriedades da matriz covariância espacial discutidas na seção 2.3.3. Assim, isto sugere que se pode estimar a direção de chegada do sinal utilizando um dos autovetores mencionados e ,
  • 65.
    52 e avaliando oinverso da expressão 2 )(θae H . Os valores de θ associados a cada pico desta expressão são candidatos a direção de chegada. 3.3.2 MUSIC O algoritmo acima, com poucas modificações, foi proposto por Schimidt em [SCH01] e é chamado de MUSIC Multiple Signal Classification. O MUSIC na realidade baseia-se nas propriedades da matriz covariância espacial do sinal recebido pelo conjunto de antenas, introduzidas na seção 2.3.3. Em última análise, o MUSIC baseia-se no fato que o espaço vetorial das colunas associadas ao ruído é ortogonal ao espaço vetorial das colunas associadas ao sinal, ou melhor, },,{ 1 NDW eespanE += e },,{ 1 DW eespanE = ⊥ são ortogonais, conforme expressões (2.23) e (2.24). Os possíveis valores de θ candidatos a direção de chegada são aqueles que minimizam o módulo da projeção ortogonal de WE em )(θa , ou que maximizam o inverso deste módulo, isto é: wa UP f )( 1 )( θ θ = , (3.18) onde [ ]NDw eeU ,,1+= , )()( )()( )( θθ θθ θ aa aa P H H a = , e MD ≤ é o número de sinais presentes com correlação entre eles diferente de um. O MUSIC investiga a expressão (3.18) para cada ângulo θ . Assim, os D ângulos θ que maximizam a expressão (3.18) são candidatos a ângulos de incidência. A ortogonalidade entre os subespaços gerados pelos autovetores associados ao ruído e ao sinal é a base do MUSIC e dos outros métodos, apresentados adiante. Outro fato relevante a mencionar é que o MUSIC descrito acima é chamado de MUSIC unidimensional, pois a minimização é feita tratando os sinais isoladamente. Como será visto na seção 3.5.2.1 a otimização pode ser feita para o conjunto de sinais, constituindo-se no MUSIC multidimensional. Para ilustrar o MUSIC, considere a figura (3.2), onde 4 sinais idênticos com mesma potência e com baixa correlação incidem numa matriz de antenas ULA de 8 elementos nos
  • 66.
    53 ângulos -50º, -25º,0º e 50º. Mostra-se na figura 3.3 o comportamento de )(θf em função da relação sinal ruído, observando-se a existência de picos elevados mesmo para pequenos valores da relação sinal ruído. 1 2 5.0= λ d 5 6 7 8 -50º -25º 0º 50º Figura 3.2 - Quatro sinais incidentes numa ULA com oito elementos -20 0 20 -100 -50 0 50 100 SNR θ )(θf -10 0 10 20 -100 0 100 θ SNR )(θf Figura 3.3- Gráfico do MUSIC aplicado a ULA de 8 elementos e 4 sinais com duas posições de visualização. Resolução dos Métodos de Estimação da Direção de Chegada Os métodos baseados na decomposição em autovalores e autovetores da matriz covariância espacial ou subspace fitting, como o MUSIC, são chamados de métodos de alta resolução. A resolução de uma função pode ser entendida como a capacidade de identificar ou separar dois picos desta função. Rayleigh [DON01] postulou um critério para definição de resolução: Se uma curva é a soma de duas outras, a resolução desta soma é a distância entre o zero de uma das curvas e a abscissa do máximo da outra conforme indica a figura (3.4).
  • 67.
    54 )(xf x Curva 1 Curva2 Resolução - Critério de Rayleigh Figura 3.4 - Visualização gráfica da resolução de uma função segundo o critério de Rayleigh. O critério adotado aqui será aquele que aparece nos textos [ZHA01], [ZHO01] e que aparece na figura (3.5), onde está indicada a obtenção da resolução: )()( mpico xff −=∆γ , (3.19) )(xf )( 1xf 2 )()( 21 xfxf fpico + = )( 2xf 1x 2x 2 21 xx xm + = x )(∆γ ∆ )( mxf lResolvíveNão0)( lResolvíve0)( <∆ >∆ γ γ Figura 3.5 - Visualização gráfica da resolução de uma função. Para exemplificar, considere o método baseado na variância da resposta do conjunto de antenas descrito na seção 3.2.1, onde a função que investiga os possíveis ângulos candidatos seja a variância de )(tz . Pode-se mostrar que a expressão para a resolução deste critério, para uma ULA com N elementos, é dada por (ver Anexo I): 22 beamvar 4 sen 4 sen 2 2 sen 2 sen 1)(             ∆ ∆ −             ∆ ∆ +=∆ N N N N γ . (3.20)
  • 68.
    55 onde θ λ π sen2 d =∆. Em [ZHO01] foi obtida uma expressão para resolução da função usada no MUSIC, considerando as premissas adotadas anteriormente. Esta expressão é dada por: ∆ ∆ +             ∆ ∆ −=∆ sen sen 1 2 sen 2 sen 1)( 2 N N N N MUSICγ . (3.21) Na figura 3.6 estão os gráficos da resolução utilizando os dois métodos estimação da direção de chegada, o baseado na variância da resposta de um phased array e o MUSIC. Avaliando os gráficos, fica claro que o MUSIC possui melhor resolução que o outro, é mais rápido e apresenta maior valor positivo de )(∆γ . 0 5 10 15 20 0 0.2 0.4 0.6 0.8 1 8 19 30 )(∆γ θ Figura 3.6 a - Resolução do baseado na variância da resposta do conjunto de antenas em função do afastamento, para conjunto de antenas com 8, 19 e 30 elementos. )(∆γ θ 0 10 20 30 40 -0.2 0 0.2 0.4 0.6 0.8 1 8 19 30 Figura 3.6 b - Resolução do MUSIC em função do afastamento, para conjunto de antenas com 8, 19 e 30 elementos. 0 10 20 30 40 0 0.2 0.4 0.6 0.8 1 )(∆beamγ )(∆MUSICγ θ Figura 3.6 c -Comparação entre a resolução do baseado na variância da resposta e o MUSIC para um conjunto com 8 elementos. Na figura 3.7 são comparadas as resoluções do MUSIC, do método da variância da resposta do conjunto de antenas, e da mínima variância, através de simulação. Para este exemplo foram considerados dois sinais incidentes numa ULA de 8 elementos nos ângulos de -30º e 40º, com relação sinal ruído de 0dB. Na figura fica claro que a resolução do MUSIC é bem maior que os demais.
  • 69.
    56 -100 -50 050 100 1 10 102 103 104 MUSIC MÉTODO BASEADO NA VARIÂNCIA DA RESPOSTA MÉTODO DA MÍNIMA VARIÂNCIA Figura 3.7 - Gráfico comparando a resolução entre diversos métodos. 3.4 Estimação da Matriz Covariância Espacial Os algoritmos abordados acima seriam ótimos, segundo os diversos critérios, se houvesse apenas o ruído como elemento perturbador, ou seja, estes algoritmos seriam ótimos no caso ideal quando se obtém fidedignamente a matriz covariância espacial xR . Na prática é impossível tal feito, e neste caso a matriz covariância xR é estimada a partir da amostragem do vetor )(tx , por exemplo, nos intervalos { }T iit 1= obtendo-se NXTji txX )]([= . O estimador que utiliza as amostras temporais de )(tx é dado pela expressão8 : [ ][ ]∑= =≡ T k H kk H x txtx T XX T R 1 )()( 11ˆ . (3.22) Este estimador foi introduzido Bartlett, sendo um processo de Wisshart [DON01] de valor esperado igual a matriz covariância xR . Vale aqui comentar que a matriz covariância estimada desta forma necessita de uma janela de tempo, ou um bloco de informações do sinal. Portanto, em alguns textos os algoritmos de estimação da direção de chegada (como o MUSIC) que utilizam a estimação da matriz covariância são referenciados como métodos de estimação em bloco. Outro fato importante é que a estimação introduz algumas distorções devido a limitação do número de amostras T, ou melhor, somente no limite em que número de amostras tende ao infinito, xRˆ tende a xR . Como principal distorção destaca-se a desigualdade dos autovalores menores de
  • 70.
    57 xRˆ , osquais não são mais identicamente iguais à variância do ruído. Esta distorção impossibilita determinar o número de sinais incoerentes presentes, MD ≤ , sendo necessário usar métodos estatísticos. Outro fato decorrente, é que boa parte dos métodos existentes e mais utilizados para estimação da direção de chegada, como o MUSIC, dependem do conhecimento do número de sinais presentes, pois só assim espaços vetoriais do ruído e do sinal são obtidos com precisão. Investigando um pouco melhor xRˆ , pode-se verificar que seus autovalores e autovetores são estimadores naturais para os autovalores e autovetores correspondentes da matriz xR . De fato, utilizando a expressão logarítmica da função de máxima verossimilhança para a matriz NXTji txX )]([= 9 (ver Anexo I): [ ] ]traço[||ln),}{,}{|(ln),}{,}{|( 1 1111 xxxw N nn N nnXw N nn N nn RRTRTeXpeXL − ==== −−=−≡ σλσλ , (3.23) onde ||⋅ representa o determinante, chega-se [WAX03, pag 19] as expressões para os estimadores da variância do ruído e dos autovalores D nn 1}ˆ{ =λ e autovetores N Dnne 1}ˆ{ += de xR , e que são respectivamente dadas por: ∑+=− = N dk kw l DN 1 1 ˆσ ; (3.24) kk l=λˆ , para 1,...,Nk = ; (3.25) kk ue =ˆ , para 1,...,Nk = ; (3.26) em que N kkl 1}{ = e N kku 1}{ = são os autovalores e autovetores do estimador da matriz covariância xRˆ . 8 Considerando o valor médio de )(tx nulo. 9 Neste caso o vetor s(t) é considerado Gaussiano
  • 71.
    58 3.5 Formação ótimade feixe baseado na Direção de Chegada Conforme discussão acima, a estimação do sinal incidente )(ˆ ts simplifica bastante com a informação da direção de chegada. Se o estimador da direção for baseado na decomposição da matriz covariância espacial em valores singulares, depende número de sinais incidentes. Como a estimação da matriz covariância espacial introduz algumas distorções devido ao número finito de amostras, o número de sinais incidentes não se faz mais com uma simples contagem dos menores autovalores diminuídos do número de elementos do conjunto. Sendo assim, é imperativo a introdução de mais um estimador no contexto geral para obtenção dos sinais, ou seja, para estimar10 o número de sinais presentes. Sintetizando, a figura 3.8 abaixo apresenta de maneira esquemática o processo de estimação do sinais, formação ótima de feixe, baseado na informação da direção ou ângulo de chegada. xRˆ Estimação da Matriz Covariância Estimação do número de sinais presentes Estimação da direção de chegada Estimação do sinalDˆ θˆ SˆX X xRˆ Figura 3.8 - Esquema de Formação Ótima de Feixe baseado na Direção de Chegada O primeiro passo é a estimação da matriz covariância xRˆ em função das informações dos sinais percebidos pelo conjunto de antenas X . Como foi visto, as propriedades algébricas da matriz covariância são utilizadas para determinação do número de sinais presentes, como também a direção de chegada dos sinais. O segundo passo, é a estimação do número de sinais presentes MD ≤ baseado no estimador da matriz covariância xRˆ . Em seguida com as informações da dimensão do espaço citado, se estimam os ângulos de chegada [ ]T Dˆ21 ˆ,,ˆ,ˆˆ θθθθ = para cada um dos sinais presentes minimizando funções custos apropriadas. Finalmente, os sinais são estimados a partir do vetor dos sinais percebidos pelo conjunto de antenas X , e dos vetores peso )ˆ(),...,ˆ(),ˆ( 21 D ppp θθθ para cada um dos sinais e que são função dos ângulos de chegada desses sinais estimados anteriormente, ou melhor:
  • 72.
    59 [ ] XpppS H D )ˆ()ˆ()ˆ(ˆˆ21 θθθ= . (3.27) Nos itens a seguir serão discutidos métodos relativos aos passos descritos acima, existentes na bibliografia referenciada no final deste texto, obedecendo a ordem em que eles aparecem. 3.5.1 Estimação do Número de Sinais Presentes A seguir serão apresentados os métodos para estimação do número de sinais presentes, ou detecção desses números, apresentados na grande maioria dos textos, a saber: o MDL proposto por Rissanen; o AIC proposto por Akaike e o modelo proposto por Xu. 3.5.1.1 MDL Minimum Description Length O MDL Minimum Description Length foi proposto por Rissanen em [RIS01]. Ele se baseia na assertiva que com um conjunto de dados e uma família de modelos, o melhor modelo é aquele que requer a menor quantidade de informação para sua representação, ou seja, aquele em que os dados são codificados com menor comprimento. Para entender melhor, considere d o número suposto de sinais presentes, não necessariamente igual ao número real. Assim, da expressão (2.25) com alguns desenvolvimentos (ver Anexo I) chega-se a: ( ) NNw d n H nnwn N n H nnnx IeeeeR × == +−== ∑∑ 2 1 2 1 σσλλ , (3.28) onde N nne 1}{ = e N nn 1}{ =λ são respectivamente os autovetores e autovalores da matriz covariância xR . Para cada valor de d ( 1,,0 −= N ) supõe-se um modelo de sinais incidentes para representar o conjunto de dados observados representado pela matriz NXTji txX )]([= . Considerando-se todos os valores possíveis de d tem-se uma família de modelos para estes dados. De acordo com o MDL o melhor modelo é aquele que necessita da menor quantidade de algarismos, bits com o alfabeto binário, para representar os dados NXTji txX )]([= . Segundo Shannon em [SHA01], o menor comprimento ][XL da matriz X , é dado por: ( )[ ] ][]|[,log][ , ξξξξ LXLXpXL x +=−= , (3.29) 10 Em alguns textos é utilizada a expressão detecção ao invés de estimação.
  • 73.
    60 onde: ( )[ ]XpXLxξξ |log]|[ −= , (3.30) e ξ representa os parâmetros do modelo que neste caso é dado por [ ]w N nn N nn e σλξ 11 }{}{ === . Nota-se que (3.29) é o oposto da expressão do logaritmo de máxima verossimilhança obtido pela expressão (3.24) (ver Anexo I), ou seja, obter ]|[ ξXL mínimo é o mesmo que obter o estimador de máxima verossimilhança para ξ . Pode-se provar (ver Anexo I) que: ( ) ( )             − −−−= ∑∑ +=+= N dk k N dk k dN dNTXL 11 ˆ1 logˆlog]ˆ|[ λλξ , e (3.31) TXLXL log 2 ]ˆ|[][ ν ξ += , (3.32) onde [ ]w d nn d nn e σλξ ˆ}ˆ{}ˆ{ˆ 11 === ; wσˆ , d nn 1}ˆ{ =λ e d nne 1}ˆ{ = são dados pelas expressões (3.24), (3.25) e (3.26) respectivamente; T é o número de amostras temporais; ν é o número de graus de liberdade de ξˆ que neste caso é 1)12( ++−= dNdν (ver Anexo I) [WAX03]. Substituindo ν e a expressão (3.31) na expressão (3.33), com algumas modificações (ver Anexo I), obtém-se a expressão para ][XL : TdN d dN dMTXL M dk k dNN dk k log)12( 2ˆ1 ˆ log)()( 1 1 1 +−+               −       −−= ∑ ∏ += − += λ λ , (3.33) onde foram omitidos os termos constantes independentes de d. O MDL é o método que minimiza a expressão acima, dado por: { }                 +−+                 −       −−== ∑ ∏ += − +=−− TdN d dN dMTXLD N dk k dNN dk k dd MDL log)12( 2ˆ1 ˆ log)(min][minˆ 1 1 111 λ λ (3.34)
  • 74.
    61 3.5.1.2 AIC Akaike’sInformation Criterion O AIC Akaike’s Information Criterion é baseado na análise assintótica da distância de Kulback-Leibler [WAX03] entre o modelo verdadeiro e o estimado, em que se obtém expressão semelhante ao MDL: ( )[ ]{ }νξ +−= XpD xAIC |logminˆ , (3.35) para estimação do número de sinais presentes:                 +−+               −       −−= ∑ ∏ += − +=− )12( ˆ1 ˆ ln)(minˆ 1 1 11 dMd dN dMTD N dk k dNN dk k d AIC λ λ . (3.36) 3.5.1.3 Método Proposto por XU Anderson e Gupta demostraram em [AND01] e [GUP01] respectivamente que a variável )(dl dada pela expressão:                 −       −−= ∑ ∏ += − += N dk k dNN dk k dN dNTdl 1 1 1 1 log)()( λ λ , (3.37) é uma variável chi quadrada com 1)( 2 −− dN graus de liberdade, ou melhor : [ ]1)(~)( 22 −− dNdl χ . Baseado nisto, Xu em [XU01] sugeriu um método para estimação do número de sinais presentes avaliando a expressão acima e comparando com um limiar γ . O método avalia seqüencialmente o valor de )(dl a partir de d=0, e testa com este limitante γ , onde é subjetivamente escolhido através de uma heurística [VIB01] dada por: )log( 0 0 N c =γ , (3.38)
  • 75.
    62 com 0c éobtido da distribuição chi quadrada, 0N é selecionado de acordo com a covariância do erro estimado assintoticamente. Quando γ≤)(dL o algoritmo para e o valor estimado para o número de sinais que chegam é obtido ( dD =ˆ ). 3.5.2 Estimação do Ângulo de Chegada Na seção 3.3.2 foi apresentado o MUSIC como método de estimação da direção de chegada com resolução superior aos métodos baseados na resposta do conjunto de antenas. Foi discutido, também, que o MUSIC investiga os ângulos candidatos de maneira unidimensional. A seguir, outros métodos serão apresentados utilizando as mesmas propriedades que o MUSIC unidimensional explora, ou seja, a ortogonalidade entre os subespaços gerados pelos autovetores da matriz covariância espacial associados ao ruído e ao sinal. Estes métodos são o MD-MUSIC Multi Dimensional MUSIC proposto Cadzow em [CAD01]; o ML Maximum Likelihood para os sinais determinísticos; WSF Weighted Subspace Fitting proposto por Viberg e Ottersten em [VIB01, VIB02]; o MODE Method Of Direction Estimation proposto por Stoica em [STO01] e o ROOT-MUSIC. Em [VIB01, VIB02] Viberg e Ottersten demonstraram que os métodos MD MUSIC, ML sinal determinístico, TLS-ESPRIT (não apresentado aqui) possuem expressões semelhantes, diferenciando-se apenas por uma matriz que introduz certos pesos. Para obter este resultado, Viberg e Ottersten usaram o resultado apresentado por Golub em [GOL01], para o problema Total Least Square: 21 , minˆ, FBA ABCBA −= − , (3.39) onde A , B e C são matrizes, sendo C dada, e F ⋅ é a norma de Frobenius (ver Anexo I), cuja solução se resume nas expressões: Se CAB †ˆ = , então (3.40) ( )H A A CCPA traçomax 1− = , (3.41)
  • 76.
    63 onde HH AAAA 1† )(− = é a matriz pseudoinversa de A , e † AAPA = é a matriz projeção ortogonal no espaço vetorial gerado pelas colunas da matriz A . Os resultados apresentados pelas expressões (3.39), (3.40) e (3.41) serão apropriadamente aplicados nos itens a seguir. 3.5.2.1 MD-MUSIC O MUSIC multidimensional, ou Multi Dimensional MUSIC, é derivado do trabalho de Cadzow em [CAD01]. Neste trabalho foi formulado uma expressão para determinação simultânea dos ângulos para direção de chegada. Como premissa, foi utilizado o fato de que os autovetores correspondentes aos sinais são base do espaço vetorial dos sinais presentes. Esta assertiva traduz-se na seguinte expressão: F H EEA UUP ⊥⊥ − = ˆˆmaxˆ 1 θ θ . (3.42) onde [ ]T Dθθθ ˆˆˆ 1= é o vetor contendo as Dˆ direções de chegada dos sinais presentes, ( ) [ ])()( ˆ1 D aaA θθθ = , { }D mma ˆ 1 )( = θ são os steering vectors associados às direções [ ]T Dθθθ ˆˆˆ 1= , † AAPA = é projeção ortogonal no espaço coluna de )(θA , [ ]DE eeeU ˆ21 ˆˆˆˆ =⊥ e { }D mme ˆ 1 ˆ = são os autovetores da matriz covariância xRˆ . Da expressão (3.42) chega-se [GOL01]: ( )H EEA UUP ⊥⊥ − = ˆˆtraçomaxˆ 1 θ θ . (3.43) 3.5.2.2 Estimador Máxima Verossimilhança para o Ângulo de chegada O método de máxima verossimilhança para o sinal determinístico é decorrente da maximização do logaritmo da máxima verossimilhança [ ])(ln ,| Xp SsAaX == para matriz X . Resolvendo esta expressão, (ver Anexo I) pode-se chegar a seguinte formulação: ( ) 2 , 1 minˆ,ˆ FS SAXS θθ θ −= − , (3.44) onde [ ]T Dθθθ ˆˆˆ 1= é o vetor contendo as d direções de chegada dos sinais presentes, ( ) [ ])()( 1 DaaA θθθ = é uma matriz cujas colunas são os steering vectors associados às
  • 77.
    64 direções dos sinaispresentes e, finalmente, S é a matriz em que cada linha representa os sinais presentes. Utilizando os resultados dados pelas expressões (3.40) e (3.41), este problema recai nas seguintes expressões: XAS †ˆ = , (3.45) ( )xARP ˆtraçomaxˆ 1 θ θ − = . (3.46) De maneira semelhante ao resultado encontrado para xR em (2.26), pode-se aproximar xRˆ sob a forma: IUUR w H EEx ww 2 ˆˆ~ˆˆ σ+Λ≈ ⊥⊥ , (3.47) onde Idiag wD 2 1 ˆ)ˆ,,ˆ( ~ σλλ −=Λ . Quando o número de amostras para estimar xRˆ for muito grande, a expressão para estimação das direções de chegada dos sinais θˆ fica (ver Anexo I): ( )H EEA ww UUP ⊥⊥ Λ= − ˆ~ˆtraçomaxˆ 1 θ θ . (3.48) 3.5.2.3 WSF Weighted Subspace Fitting Observando as expressões (3.43) e (3.48) encontradas para os estimadores MD- MUSIC e o ML respectivamente, verifica-se que elas possuem formas semelhantes, ou melhor, ambas são do tipo: ( )H EEA ww UBUP ⊥⊥ − = ˆˆtraçomaxˆ 1 θ θ , (3.49) onde IB = para o MD-MUSIC, e Λ= ~ B para o ML. Baseado nisto, Viberg e Ottersten calcularam em [VIB02] o valor para matriz B de forma a obter um estimador eficiente para as direções de chegada θ e consistente quando o número de amostras T , para estimação da matriz covariância xRˆ , tendesse ao infinito. Melhor dizendo, um estimador θˆ cujo erro de estimação tende ao limitante de Cramèr-Rao quando T tende ao infinito. Para atender tal condição, a matriz B é dada por [VIB01,VIB02,BAR01,AND01]: 12~ − ΛΛ= SB , (3.50)
  • 78.
    65 onde Λ ~ definida naseção anterior e )ˆ,,ˆ( 1 DS diag λλ=Λ . Em [VIB02] este método foi denominado de WSF Weighted Subspace Fitting. 3.5.2.4 MODE Method of Direction of Arrival Estimation Em [STO01], Stoica introduziu um novo estimador baseado na ortogonalidade dos espaços gerados pelos autovetores correspondentes ao ruído e ao sinal. Conforme foi visto na seção 2.3.3, os autovetores associados aos sinais formam a base ortonormal dos steering vectors associados às direções de chegada, que por sua vez são ortogonais aos autovalores associados ao ruído. Assim, a projeção ortogonal no espaço gerado pelo ruído de uma combinação linear dos steering vectors associados às direções de chegada é, no caso ideal, nula. O MODE avalia uma combinação linear em particular de ( ) [ ])()( 1 DaaA θθθ = associado as direções [ ]T Dθθθ 1= , cujo estimador deve minimizar a norma da projeção desta combinação no espaço associado ao ruído, ou seja: ( )BAEEABAP H ww H F Ew )(ˆˆ)(traçomin)(minˆ 1 2 2 1 1 θθθθ θθ −− == , (3.51) onde [ ]{ }112 )(ˆ~ˆ)( −− ΛΛ= θθ AEEAB H sSs H . Pode-se provar [OTT03] que tanto o MODE quanto o WSF possuem o mesmo comportamento assintótico para estatística de segunda ordem dos seus erros. Os métodos para estimação da direção de chegada, ângulo de chegada, descritos acima possuem formulação semelhantes no que concerne à filosofia de implementação. Se o número de amostras para estimação da matriz covariância espacial tendesse ao infinito, ou melhor, +∞→T , os métodos possuiriam resultados iguais. O WSF e o MODE possuem comportamentos idênticos no que se refere a eficiência e a consistência, sendo melhores que os outros métodos multidimensionais11 [VIB02] e [OTT03]. Outro fato importante é que existem métodos específicos para estimação da direção de chegada dependentes da conformação das antenas, ou seja, da disposição espacial dos elementos. No caso de estruturas uniformes como a ULA ou a UCA, pode-se utilizar métodos como o ROOT-MUSIC discutido a seguir. 11 Aqui, o multidimensional reside no fato que os métodos estimam simultaneamente todas as direções.
  • 79.
    66 3.5.2.5 ROOT MUSIC OROOT-MUSIC, apresentado por Barabell em [BAR02], é um método de estimação do ângulo de chegada baseado nas propriedades da matriz covariância espacial apresentada na seção 2.3.3, que depende de conformações especiais como a ULA. A sua formulação está descrita a seguir. Como o steering vector )(θa associado à direção θ de uma onda incidente numa matriz de antenas é ortogonal ao espaço WE , gerado pelos autovetores N Dkke 1}{ += da matriz covariância espacial xR associado ao ruído, WE é o espaço anulador de )(θa , e a norma da projeção ortogonal de )(θa neste espaço é nula, isto é: 0)( =θaU H w . (3.52) O steering vector )(θa da ULA associado a direção θ pode ser escrito da seguinte forma: )sen(2 )()( θ λ π θ d j ez zaa = = . (3.53) Assim, pode-se definir o polinômio )(zP da seguinte maneira: )()()( 1 zaUUzazP H ww − ≡ , (3.54) onde [ ]NDw eeU 1+= . Pela definição de )(zP , e chamando H wwUUB = , onde [ ]nknk Bb = , obtém-se: ∑∑= = −− == N n N k nk nk H ww zbzaUUzazP 1 1 1 )()()( . (3.55) Fazendo nlk += , tem-se: ∑∑∑ ∑∑ ∑ = − = + = −= + = − −= + +== N n nN l l nln N n nl l nln N n nN nl l nln zbzbzbzP 1 1 ; 1 0 1 ; 1 1 ;)( . (3.56) Invertendo a ordem dos índices dos somatórios acima, tem-se:
  • 80.
    67 ∑∑ ∑∑ ∑ − −−= − = − = + −−=−= + =+= 1 )1( 1 1 1 ; 0 )1( 1 ;)( N Nl l l N l lN n nln l Nl N ln nln l zcbzbzzP , (3.57) onde:       ≤≤ ≤≤ = ∑ ∑ − = + −= + )(N-lb l)-(N-b c lN n nln N ln nln l 11para, 01para, 1 ; 1 ; . (3.58) θ λ π sen2 d j er =1=r {}zRe {}zIm Figura 3.9 - Representação no plano complexo a raiz r do polinômio )(zP No caso ideal, quando se obtém fidedignamente a matriz covariância espacial, é fácil provar que θ λ π sen2 d j er = é raiz de )(zP desde que θ é direção de um sinal incidente. Esta propriedade induz ao mecanismo de determinação dos ângulos de chegada denominado de ROOT-MUSIC. Em resumo, o ROOT-MUSIC se baseia na investigação de todas as raízes de )(zP . As raízes pertencentes à circunferência de raio um no plano complexo de z ( 1=r ) (ver figura 3.9), possuem associados a elas ângulos de chegada dados por: ( )    = − r d arg 2 sen 1 π λ θ . (3.59) Mas na prática o que se tem é o estimador da matriz covariância xRˆ e os autovetores associados ao ruído são dados por: [ ]NDw eeU ˆˆˆ 1ˆ += . Assim, nem sempre será possível encontrar raízes de )(zP com módulo um, sendo necessário encontrar as raízes mais próximas da circunferência de raio um no plano complexo de z.
  • 81.
    68 3.5.3 Estimação doSinal - Formação ótima de feixe No item 3.2, foram apresentados métodos de formação ótima de feixe, e que também são aplicáveis aqui. A seguir serão apresentados alguns destes métodos de forma generalizada e os demais métodos. Os métodos de estimação do sinal combinados com a informação da direção de chegada, levam a formação ótima de feixe baseado na direção de chegada. 3.5.3.1 Método com Restrições Os métodos para estimação do sinal, como o método de mínima variância, em geral, pertencem a uma classe de estimadores denominada de método de otimização com restrições (Constrained Optimization Method). O método de otimização condicionada minimiza a variância do sinal )(tz usando K expressões lineares (funcionais lineares) condicionantes para o vetor peso. Traduzindo: { }pRpp x H1 minˆ − = , condicionado a cpC = , (3.60) onde C é uma matriz NxK, e c é uma matriz Kx1. Usando multiplicadores de Lagrange (ver Anexo I), o resultado é: ( ) cCCRCRp H x H x 111 ˆ −−− = . (3.61) Na prática a matriz covariância xR é estimada, trocando a expressão acima a matriz covariância pelo seu estimador obtém-se: ( ) cCRCCRp H x H x 111 ˆˆˆ −−− = . (3.62) 3.5.3.2 LLMV Least Linear Minimum Variance Na expressão acima, se a matriz C for igual a transposta conjugada da matriz cujas colunas são os steering vectors associados às direções de chegada (na realidade a sua estimativa), ou melhor, [ ]H DaaC )ˆ()ˆ( 1 θθ= , e ainda o vetor coluna c for do tipo: [ ]    = contráriocaso0, ângulocomsinalopara,1 1 i ic θ , (3.63)
  • 82.
    69 tem-se o métodoLLMV Least Linear Minimum Variance. Considerando, agora, a matriz P cujas colunas são os pesos associados aos sinais, ou melhor, [ ]D ppP ˆˆ1 = , tem-se (ver Anexo I): ( ) ( ) ( ) 1 11 ˆˆˆˆˆ − −−     = θθθ ARAARP x H x , (3.64) onde ( ) [ ])ˆ()ˆ(ˆ 1 DaaA θθθ = . 3.5.3.3 Estimador de Máxima Verossimilhança para o Sinal Determinístico12 Na discussão para motivação de se estimar a direção de chegada foi obtida uma expressão para estimação do sinal baseado na razão de máxima verossimilhança, que estimava o sinal contínuo. Agora, será obtida expressão semelhante, mas será considerada a amostragem do sinal percebido pelas antenas X . Recapitulando, o estimador de máxima verossimilhança para o sinal utiliza a distribuição conjunta do ruído branco aditivo percebido por cada elemento do conjunto de antenas. Esta distribuição, a do vetor w , é conjuntamente Gaussiana e descorrelatada. Assim, a expressão do logaritmo da densidade de probabilidade do vetor X condicionado ao sinal, ou seja, considerando o sinal )(ts com natureza determinística13 é dado por (ver Anexo I): { } ( )∑= = −−−= T k kk w ww T kk tsAtxTNtsAXL 1 2 2 22 1 )()( 1 ln),)(),(|( θ σ σσθ . (3.65) Extraindo o valor da variância 2 wσ pela minimização da expressão acima, substituindo em seguida e minimizando para os valores de { }T kkts 1 )( = , tem-se (ver Anexo I): ( ) )()ˆ()ˆ()ˆ()(ˆ 1 k HH k txAAAts θθθ − = . (3.66) Para o m’ ésimo sinal )(ˆ)( tstz m= , e como )(ˆ)( txptz H m = , assim, os pesos utilizando o estimador de máxima verossimilhança correspondentes a todos sinais, ou seja 12 Aqui o determinístico, em obediência à literatura, trata-se do sinal como informação dada não aleatória. 13 Semelhante ao que foi obtido na seção 3.1, mas considerando valores pontuais no tempo dos processos estocásticos.
  • 83.
    70 [ ]D ppP ˆˆ1 =, podem ser obtidos através da expressão mais genérica dada por (ver Anexo I): ( )1 )ˆ()ˆ()ˆ( − = θθθ AAAP H . (3.67) Comparando a equação acima com aquela para o LLMV observa-se que se a matriz covariância dos sinais percebidos pelos elementos do conjunto de antenas for a identidade, as expressões seriam idênticas. 3.5.3.4 Estimador de Máxima Verossimilhança para o Sinal Estocástico Em [OTT01] foi desenvolvida uma expressão para o estimador de máxima verossimilhança quando o sinal não é de natureza determinística, ou não se sabe o seu comportamento. Este estimador foi denominado de máxima verossimilhança estocástico, ou stochastic maximum likelihood estimator. Da expressão (2.17), considere que os sinais dados por )(ts sejam de natureza Gaussiana e com média nula. Assim o vetor )(tx é Gaussiano de média nula e matriz covariância dada pela expressão (2.21). Neste caso, o logaritmo da função densidade de probabilidade da matriz X condicionada ao conhecimento de )(θA , sR e 2 wσ (parâmetros estimados) é dado por (ver Anexo I): [ ] ]traço[||ln),),(|(ln),),(|( 122 xxxwsXws RRTRTRAXpRAXL − −−=−≡ σθσθ , (3.68) Este problema de otimização pode ser subdividido em três expressões [WAX03, pag 34, 35 e 36]. Uma para a estimar variância, outra para estimar a covariância do ruído e a terceira para estimar o sinal, ou melhor: ( ){ }xAw RPI DN ˆtraço 1 ˆ )( 2 θσ − − = , (3.69) ( )( )H wxs AIRAR †2† )(ˆˆ)(ˆ θσθ −= , (3.70) ( ) sw H s RAIARAP ˆ)(ˆ)(ˆ)( 12 θσθθ − += , (3.71)
  • 84.
    71 onde )(θAP éa projeção ortogonal em )(θA e [ ]D ppP ˆˆ1 = é a matriz de pesos utilizadas para estimar os sinais. É importante notar que nos estimadores dos sinais, discutidos até aqui, aparece a matriz )(θA cujas colunas são os vetores contendo a informação da direção dos sinais estimadas. Nestes estimadores foi considerado como dada a informação da direção contida nesta matriz, que pode ser estimada utilizando os estimadores das direções de chegada já discutidos.
  • 85.
    72 4. Antenas Adaptativasem Comunicações Móveis Este capítulo objetiva introduzir brevemente o ambiente de propagação encontrado em comunicações móveis, apresentando três cenários típicos para a análise desempenho de matrizes de antenas. Ao final, é apresentada uma alternativa de estimação encontrado em [ASZ01], considerando estes cenários. 4.1 Modelo de Propagação O modelo de propagação para sistemas de comunicações móveis é bastante complexo, envolvendo fenômenos inerentes a ondas eletromagnéticas, como reflexões em diversos objetos (árvores, montanhas, edifícios, ruas etc), difração e refração. A reflexão ocorre quando uma onda eletromagnética incide numa superfície lisa com dimensões muito maiores do que o seu comprimento de onda, como prédios, montanhas. Já a difração, acontece quando a trajetória da onda eletromagnética é obstruída por um corpo de dimensões superiores ao seu
  • 86.
    73 comprimento de onda,como pequenas construções, por exemplo postes. O espalhamento ocorre quando a onda é obstruída por um corpo de dimensões do seu comprimento de onda, ou uma superfície de rugosidade da ordem do seu comprimento de onda, como ruas, folhagem de uma árvore etc. Estes fenômenos descritos podem ser reunidos e analisados conforme modelo disposto na figura 4.2 [SKL01]. Manifestações de desvanecimento do canal Desvanecimento em larga escala devido ao deslocamento em grandes áreas Desvanecimento em pequena escala devido a pequenas mudanças na posição Atenuação média do sinal X distância Variações sobre a Média Espalhamento temporal do sinal Variância temporal do Canal Representação do sinal no domínio do seu retardo Representação do sinal no domínio da freqüência Representação do sinal no domínio do tempo Representação do sinal no domínio do deslocamento Doppler Desvanecimento seletivo na freqüência Desvanecimento Flat Desvanecimento seletivo na freqüência Desvanecimento Flat Desvanecimento Rápido Desvanecimento Lento Desvanecimento Rápido Desvanecimento Lento Figura 4.2 - Formas de Desvanecimento do Canal Quando um sinal é transmitido no canal de comunicações móveis, ele é composto por um elenco de ondas, que descrevem uma complicada trajetória (multipercurso) até alcançar o seu objetivo, refletindo em edifícios, montanhas, ruas etc., sofrendo interferências de outros fenômenos ondulatórios, descritos acima, dificultando a recepção deste sinal. Este processo de degradação da informação se deve basicamente aos multipercursos do sinal transmitido, e tem o nome genérico de desvanecimento. Os desvanecimentos, ou degradações no sinal, observados em comunicações móveis podem ser entendidos como combinação de dois grandes grupos: o desvanecimento em grande escala e o em pequena escala (ver figura 4.3). Conforme indica figura 4.3, o desvanecimento em grande escala introduz grandes atenuações no sinal de variação lenta, ao contrário do desvanecimento de pequena escala, onde a atenuação é pequena e de rápida variação. O sinal )(tx observado na antena pode ser visto
  • 87.
    74 como produto deuma componente aleatória devido ao desvanecimento em grande escala e uma outra componente devido ao desvanecimento de pequena escala. )(tx )(tdsmall )(tdlarge Sinal percebido pela antena Desvanecimento em pequena escala Desvanecimento em larga escala Figura 4.3- Desvanecimento em pequena e grande escala. 4.1.1 Desvanecimento em Grande Escala O desvanecimento em grande escala está principalmente vinculado ao afastamento da fonte geradora do sinal ou transmissor, mas também está associado a movimentação em grandes áreas, onde existem grandes objetos como montanhas, florestas, prédios etc. Como a potência da onda é finita, o afastamento em relação a origem do sinal produz uma perda de energia )(dLp :       ∝ 0 10log10)( d d ndLp (em dB), (4.1) onde d é a distância entre o receptor e o transmissor, 0d é uma distância de referência e n varia em função das condições de propagação. Quando existem fenômenos de dutos, n é menor do que 2, para o espaço livre n é igual a 2 e no cenário urbano de ruas cercada de prédios, nos demais casos n é maior do que 2. A figura 4.4 apresenta os multipercursos provenientes da estação rádio base chegando no terminal móvel, onde aparece a trajetória com a menor perda, denominada de (LOS - Line Of Sight) linha de visada.
  • 88.
    75 LOS Line OfSight Refletores Dominantes Refletor Dominante Figura 4.4 - Desvanecimento devido a multipercurso. O desvanecimento em grande escala tem uma componente aleatória devido ao sombreamento, ou melhor, aumento na atenuação do canal devido principalmente a fenômenos meteorológicos. Desta forma, a perda )(dLp devido a distância entre o transmissor e o receptor é descrita pela expressão [SKL01]: σW d d ndLdL sp +      += 0 100 log10)()( (em dB), (4.2) onde d é a distância entre o receptor e o transmissor, 0d é a distância de referência 14 . A componente aleatória σW é uma variável Gaussiana de média nula e variância σ , que é determinada em função do ambiente de propagação, feito através de medias neste ambiente. Como a variável é expressa em dB a distância é conhecida como log-normal. 4.1.2 Desvanecimento em Pequena Escala O desvanecimento em pequena escala é devido a mudanças constantes da posição relativa entre a estação radio base e o terminal móvel, ou seja, a cada posição do móvel variam as condições de propagação, como reflexões em objetos inerentes ao ambiente. E como complicador existe a introdução do efeito Doppler que é descrito como a mudança aparente da freqüência do sinal transmitido percebido pelo receptor. 14 Corresponde ao ponto mais distante da antena e para células grandes 0d é da ordem de 1 Km, para microcélulas é 100 m e canais indoor 1 m [SKL01].
  • 89.
    76 d v Figura 4.5 -Canal dependente do tempo O efeito Doppler está associado a um canal variante no tempo como explicado a seguir. Considere que o terminal móvel possua movimento retilíneo uniforme de velocidade relativa v . Assim, a resposta impulsiva do canal ),( tdh é função da distância relativa d e do tempo t . Se )(ts é o sinal enviado pelo transmissor, o sinal recebido pela antena )(tx é dado por: ∫ ∞ ∞− −=∗= τττ dtdhstdhtstx ),()(),()()( . (4.3) 11 vtd = v1τ 1Lτ Figura 4.6a - O terminal móvel na posição d1 22 vtd = v 1τ 2Lτ Figura 4.6b - O terminal móvel na posição d2 Mas como v é constante, então pode-se escrever vtd = , e a função de transferência fica: ),(),( ττ thtdh =− , (4.4) onde t representa o tempo em que a função de transferência varia, em função do movimento do móvel, e τ representa o retardo de cada onda devido ao multipercurso. O desvanecimento em pequena escala pode ser classificado de quatro maneiras pela combinação de dois tipos com duas manifestações: ♦ Desvanecimento seletivo e não seletivo na freqüência; associado a soma dos multipercursos do sinal. Corresponde a espalhamento temporal (variável τ ).
  • 90.
    77 ♦ Desvanecimento rápidoe lento; associado a mudanças do canal, ou mudanças de posição. Corresponde a espalhamento na freqüência (variável t ). 4.1.3 Desvanecimento Plano e Seletivo O desvanecimento plano e seletivo é devido a soma dos multipercursos, podendo esta soma ser em fase ou em contraposição. Resultando desvanecimento do sinal original. Os multipercursos são caracterizados pelas funções denominadas de “perfil de retardos” e “correlação espectral” representadas na figura 4.7. A primeira representa a distribuição da potência dos multipercursos em função dos seus retardos e a segunda representa a correlação entre duas componentes de freqüência na saída do canal separadas de f∆ . Transformada de Fourier Tm S(τ) τ f0 |R(∆f)| ∆f Figura 4.7 - Densidade de potência e função autocorrelação do canal em função do retardo devido ao multipercurso. Neste gráfico, verifica-se que a energia do sinal é espalhada no tempo, e o intervalo de tempo mT entre a primeira componente de um dado sinal e a última componente é chamado de retardo máximo. Na transmissão digital é importante comparar este retardo com a duração de um símbolo. Considerando sT o tempo de transferência de um símbolo, se ms TT > todas as componentes do sinal são coerentes e o desvanecimento é não seletivo na freqüência. Caso contrário o desvanecimento é seletivo. Isto fica melhor explicado se considerar o gráfico do lado direito da figura 4.7. Neste gráfico 0f é largura de banda em que o sinal é recebido coerentemente, ou seja, todas as componentes do sinal existentes neste intervalo são atenuadas do mesmo modo. No caso da banda do sinal transmitido sT B 1≈ ser menor que o intervalo de coerência 0f o desvanecimento é não seletivo, caso contrário é seletivo. O espalhamento local do sinal, ou seja, na vizinhança do receptor é não seletivo, e estas componentes do sinal formam um grupamento ou cluster. Um sinal pode, além do espalhamento local, possuir outros clusters, que em geral são produzidos quando o ambiente de propagação possuir grandes objetos, como montanhas, planícies, prédios etc., que refletem e/ou espalham o sinal, sendo chamados de refletores dominantes.
  • 91.
    78 4.1.4 Desvanecimento Lentoe Rápido O desvanecimento rápido é proveniente da variação da posição relativa entre o terminal móvel e a estação rádio base e está associado ao efeito Doppler. Quando o canal (a posição relativa) varia dentro de um período de transmissão de um símbolo diz-se que o canal possuí desvanecimento rápido ou seletivo no tempo. Caso contrário o canal possuí desvanecimento lento ou não seletivo no tempo. Na figura 4.8, o gráfico da esquerda, apresenta a função autocorrelação onde aparece 0T que é o intervalo de tempo de coerência. Quando o período de transmissão de símbolo sT for inferior a 0T , diz-se que o canal possui desvanecimento lento, caso contrário o canal possui desvanecimento rápido. |R(∆t)| T0 ∆t fc - fd fc + fdfc fd S(ν) Transformada de Fourier Figura 4.8 - Gráfico da função autocorrelação e densidade de potência em função da variação temporal do ambiente de propagação. 4.2 Modelo de Propagação E Sinais Recebidos numa Matriz de Antenas A seguir serão descritos três modelos para levar em conta o efeito da propagação na recepção das antenas adaptativas. Nestes modelos considera-se desvanecimento plano na freqüência (não seletivo). Outrossim, vale a pena mencionar que os cenários abordados descrevem apenas o comportamento do sinal percebido pelo conjunto de antenas situado na estação rádio base. Outros estudos [ZET01] consideram os problemas pertinentes à transmissão no enlace direto. 4.2.1 Espalhamento Local Um canal com apenas o espalhamento local é o exemplo mais simples de um canal com multipercurso. Ele só considera desvanecimento plano, ou seja, as componentes de multipercurso são todas coerentes no tempo, e próximas da componente de percurso mais curto. O espalhamento local pode ser entendido como reflexões ao redor da fonte originadora
  • 92.
    79 do sinal transmitido,neste caso pelo terminal móvel. Por simplificação, o espalhamento local pode ser entendido como uma região contendo várias antenas gerando o mesmo sinal com uma pequena defasagem (ver figura 4.7). BW Região de Espalhamento 1 2 3 L BW l )( 0 ll ttsE τ−− Figura 4.7 - Espalhamento local. Figura 4.8 - Detalhamento do sinal espalhado Na figura, as componentes do sinal transmitido pelo terminal móvel são espalhadas em torno de uma região de espalhamento, sendo o ângulo esférico BWθ o ângulo de abertura que delimita a região. No caso da região for coplanar com o conjunto de antenas este ângulo é plano. O ângulo θ que representa o ângulo nominal da direção do terminal móvel. Considerando L sinais espalhados provenientes do sinal transmitido )(ts , o sinal percebido para uma única antena )(tx é dado por: )()()( 1 0 twttsHtx L l ll +−−= ∑= τ , (4.5) onde lH é a atenuação da l-ésima componente do sinal, 0t é o retardo da componente de menor retardo (menor percurso), que sem perda de generalidade pode-se considerar como nula ( 00 =t ), lτ é o retardo relativo entre a componente de menor percurso e o l ésima componente do sinal, lt τ+0 é o retardo total. Considerando o sinal transportado )(ts de faixa estreita, isto é, )()( tsets lj l φ τ − =− , tem-se: )()()( 1 tweHtstx L l j l l += ∑= − φ , (4.6)
  • 93.
    80 onde lcl τωφ≡ , e cω é a freqüência angular da portadora. Observando a expressão acima, nota-se que ∑= − ≡ L l j l l eHh 1 φ é uma variável aleatória que traduz o comportamento do canal, ou melhor, h é a função de transferência complexa deste canal. Para L muito grande e assumindo { }L ll 1= φ , { }L llH 1= independentes e identicamente distribuídas, com { }L ll 1= φ uniformemente distribuídas em ]2,0[ π , h pode ser aproximada por uma variável Gaussiana complexa. Se o canal possuir uma componente de visada direta, h é uma variável de Rice, caso contrário (pior caso) h é uma variável de Rayleigh. Para um conjunto de antenas, em vez de um único elemento, o raciocínio é análogo. Neste caso, com sinal transmitido )(ts , a expressão para o vetor )(tx , cujas componentes são os sinais percebidos pelos elementos do conjunto, é [ASZ02]: )()()()( 1 0 twttsaHtx L l lll +−−+= ∑= τθθ , (4.7) onde lθθ + é o ângulo de incidência da l ésima componente do sinal. Fazendo as mesmas considerações feitas anteriormente para um único elemento chega-se à: )()()()()()()( 1 twtsvtwaeHtstx L l l j l l +=++= ∑= − θθθφ , (4.8) onde ∑= − +≡ L l l j l aeHv l 1 )()( θθθ φ . O vetor )(θv descreve o comportamento do canal, só que, diferentemente do caso de um único elemento, traz a informação da direção do sinal θ . O vetor )(θv é o vetor resposta do conjunto de antenas para o ambiente de propagação contendo espalhamento local. Com as mesmas hipóteses feitas anteriormente pode-se aproximar )(θv por um vetor conjuntamente Gaussiano complexo, cuja matriz covariância vR dada por:
  • 94.
    81 [ ] [] [ ])()(][)()(][)()( 2 1 2 l H ll L l l H ll H v aaEHLEaaEHEvvER θθθθθθθθθθ ++=++== ∑= . (4.9) Da mesma forma que no caso de uma única antena, se não existir a componente de visada direta o valor médio de )(θv é nulo, tratando-se um canal de Rayleigh. No caso do valor médio de )(θv ser diferente de zero, ou melhor, [ ] )()( θγθ avE = , o canal passa a ser de Rice. É importante comentar que o modelo descrito acima deve obedecer também a condição [ASZ02]: [ ] 0)()( =θθ T vvE . (4.10) 4.2.2 Espalhamento Local e a ULA Para a conformação uniforme e linear de um conjunto de antenas ULA, a expressão (4.9) possui algumas simplificações, o que é mais uma vantagem desta estrutura. Também por simplificação, fazendo 1][ 2 =lHLE , a expressão para a matriz covariância de )(θv fica: [ ])()( l H lv aaER θθθθ ++= . (4.11) Mas como para a ULA [ ] ( )l dN kj nl ea θθ λ π θθ +      − =+ sen 2 2 1 )( , substituindo vem: [ ] )( knR nkv −=ρ , (4.12) onde ( ) ( )       ≡− +− l d knj eEkn θθ λ π ρ sen2 )( , implicando na estacionaridade espacial no sentido amplo para o vetor )(θv . A seguir serão vistos três comportamentos estatísticos para lθ , que se traduzem em três modelos clássicos para o espalhamento local. Serão obtidas, para cada modelo, as expressões para a matriz covariância do vetor )(θv . Em todos os casos, se o número de multipercursos for extremamente grande, usando o Teorema do Limite Central, )(θv é um vetor Gaussiano. Neste caso, )(θv fica estatisticamente definido, a partir de sua matriz covariância vR .
  • 95.
    82 4.2.3 Distribuição Gaussiana Em[ZET01], [OTT02], [TRU01] sugere-se a utilização da distribuição normal de média nula e variância 2 θσ para as variáveis { }L ll 1= θ . É importante comentar que, neste caso, não existe uma abertura angular BWθ bem definida. O que caracteriza a abertura é o desvio padrão θσ é denominado de espalhamento angular. O espalhamento angular define a região em torno de θ onde é maior probabilidade do vetor )(θv ocorrer, e representa um parâmetro bastante crítico para sistemas que adotam a diversidade espacial ou o SDMA [OTT02]. Figura 4.9 - representação esquemática do modelo de espalhamento angular. Retomando a expressão para (4.12) tem-se: ( ) ( ) ( ) ( ) ∫ ∞ ∞− −+−+− =      =− l d knj d knj deeeEkn l ll θ σπ ρ θσ θ θθ λ π θ θθ λ π 2 2 2 sen2sen2 2 1 )( . (4.13) O integrando em (4.13) pode ser desenvolvido resultando funções da forma )sencos( θx e )sensen( θx , estas funções, por sua vez, podem ser expandidas em séries de funções de Bessel: ∑ ∞ = += 1 20 )2cos()(J2)(J)sencos( i i ixxx θθ , e (4.14) ∑ ∞ = − −= 1 12 )12sen()(J2)sensen( i i ixx θθ , (4.15) onde ∞ =0|)(J kk x são funções de Bessel de primeira classe e ordem dada por k. Substituindo na expressão para (4.13) pode-se provar que (ver Anexo I):
  • 96.
    83 ( ) ( )() .)12sen()(2J2 )2cos()(2J2)(2J)( 1 2 12 12 1 2 2 20 2 2 ∑ ∑ ∞ = − − − ∞ = − −      −+       −+      −=− i i i i i i iekn d j iekn d kn d kn θ λ π θ λ π λ πρ θ θ σ σ (4.16) A expressão acima pode ser simplificada se for considerado um espalhamento angular pequeno (na prática a variação de θσ é de 2º a 6º [OTT02]). Fazendo esta consideração tem- se: θθθθθ cossen)sen( ll +≈+ . (4.17) Substituindo na definição de )( kn −ρ tem-se: ( ) ( ) ( ) ( ) 2 2 2 2 cos2 sen2 2 sen2 2 1 )(       − −−∞ ∞− −+− ==− ∫ θσ λ π θ λ π σ θ θθ λ π θ θ θ θ σπ ρ d kn d knj l d knj eedeekn l l . (4.18) Assim a expressão para matriz covariância do vetor )(θv fica: BaaR H v )()( θθ= , (4.19) onde [ ] 2)sen(2 1)( N nd j n ea −         = θ λ π θ , [ ] ( ) 2 2 cos2       − − = θσ λ π θ d kn nk eB e é o produto de Schur-Hadamard (ver Anexo I). Investigando melhor a natureza da matriz B verifica-se que esta matriz é uma matriz de Toeplitz, pois pela definição [ ] )( knfB nk −= . Ainda B é Hermitiana pois [ ] [ ] * knnk BB = . Estas considerações são importantes pois facilitam de sobre maneira a construção das simulações para este ambiente de propagação. O modelo de canal descrito acima é denominado em [OTT02] de Low Rank Channel Model, Angular Spread Model, ou Gaussian Angle of Arrival One cluster GAAO [ZET00], e foi validado utilizando dados coletados experimentalmente pela Ericsson Radio Systems [FOR01]. Os dados coletados foram obtidos através de uma experiência de campo em áreas urbanas sem linha de visada, ou melhor, sem a componente de visada direta. Na obtenção dos dados, foi utilizada uma distância entre o transmissor e o conjunto de antenas de 1 Km, com
  • 97.
    84 o conjunto auma altura de 30m. Neste cenário, o espalhamento angular θσ variou entre 2º a 6º [OTT02]. 4.2.4 Modelo Circular Este modelo é mais simples que o anterior e bastante utilizado nas simulações existentes em diversos textos como [ASZ02], [KLO01], [AND01]. Basicamente considera o espalhamento local oriundo de uma circunferência em torno do terminal móvel, de tal sorte que a projeção do ângulo esférico que contorna a circunferência no plano contendo as antenas é BWθ , conforme figura 4.10. Melhor dizendo, os multipercursos, provenientes do espalhamento local, têm origem na circunferência de raio r que: R rBW = 2 tan θ , (4.20) onde R é a distância entre o terminal móvel e a estação rádio base. Considerando o móvel suficientemente afastado R>>r, ou melhor, 0≈BWθ , tem-se: R rBWBW =≈ 2 tan 2 θθ , (4.21)       l LT BW πθ 2 sen 2 BW R r Espalhamento l l LT π2 Figura 4.10 - Diagrama esquemático para representação do modelo circular Da figura, também se extrai:       =      =≈ l L l LR r T BW T ll πθπ θθ 2 sen 2 2 sentan , (4.22)
  • 98.
    85 onde lθ representaa direção do l ésimo multipercurso, que representa uma variável aleatória discreta uniformemente distribuída em 1,,0 −= TLl . Substituindo a expressão (4.22) na expressão (4.12) obtém-se: ( ) ( ) ( ) ( ) ∑ − = +−+− =      =− 1 0 sen2sen2 1 )( T ll L l d knj T d knj e L eEkn θθ λ πθθ λ π ρ . (4.23) A matriz covariância do )(θv para este caso fica: BaaR H v )()( θθ= , (4.24) onde [ ] ( )∑ − =                 −= 1 0 2 sen 2 cos2exp 1 TL l T BW T nk l L d knj L B πθ θ λ π . 4.2.5 Modelo de Distribuição Uniforme Este modelo é semelhante ao anterior. A diferença é apenas na disposição do espalhamento do sinal, que neste caso fica restrito a um ângulo de abertura BWθ . Este ângulo é subdividido subdividindo-o em TL partes, definindo-se assim um número de TL multipercursos, conforme a figura 4.11. BW Espalhamento l Figura 4.11- Diagrama para entendimento da distribuição uniforme Assumindo TL ímpar, neste caso lθ é dado por: l LT BW l 1− = θ θ , (4.25) onde l é uma variável discreta e uniformemente distribuída entre 2 1− − TL e 2 1−TL . Retomando a expressão (4.12) tem-se:
  • 99.
    86 ( ) () ( ) ( ) ∑ − − −= +−+− =      =− 2 1 2 1 sen2sen2 1 )( T T ll L L l d knj T d knj e L eEkn θθ λ πθθ λ π ρ , (4.26) Novamente considerando 0≈BWθ , a matriz covariância de )(θv fica: BaaR H v )()( θθ= , (4.27) onde [ ] ( )∑ − − −=       −    −= 2 1 2 1 1 cos2exp 1 T T L L l T BW T nk l L d knj L B θ θ λ π .
  • 100.
    87 5. Simulações Neste capítulosão apresentados resultados de diversas simulações visando a uma análise comparativa dos métodos de estimação de ângulo de chegada. 5.1 Modelo e Características Gerais da Simulação Para obtenção dos resultados a seguir foi utilizado o software Matlab. Em todas as simulações foi considerada a estrutura ULA, ou melhor, a disposição linear das antenas com espaçamento entre elas constante igual a 0.5 comprimento de onda da portadora ( 5.0/ =λd ). Este valor foi adotado como resultado do teorema da amostragem aplicado às amostras espaciais, ver Anexo I - Espaçamento entre as Antenas. As simulações foram feitas supondo o modo de recepção na estação rádio base e estão subdivididas em quatro grupos. O primeiro considera apenas o ruído branco como elemento perturbador do ambiente de propagação. Os demais consideram os ambientes de propagação com espalhamento local no terminal móvel com Distribuição Gaussiana - seção 4.2.3; Circular - seção 4.2.4 e Uniforme - seção 4.2.5.
  • 101.
    88 O roteiro básicode todas as simulações pode ser assim resumido: (i) caracterização dos sinais incidentes através da sua matriz covariância SR e de seus ângulos de incidência; (ii) geração das amostras do sinal e do ruído; (iii) estimação da matriz covariância espacial da matriz de antenas xRˆ ; (iv) aplicação dos métodos de estimação da direção de chegada. 5.1.1 Obtenção da Matriz Covariância Espacial Na seção (3.4) foi introduzido o estimador para matriz covariância espacial dado pela expressão (3.22). Este estimador foi obtido a partir das amostras temporais dos sinais percebidos pelo conjunto de antenas NXTji txX )]([= em que as colunas representam as amostras espaciais da onda incidente, e as linhas as amostras temporais. Da expressão (2.16) para M sinais incidentes num conjunto de antenas com ruído Gaussiano aditivo, é fácil chegar à seguinte expressão para o vetor observado na saída da matriz no instante jt : [ ] [ ] [ ] [ ]1 1 11 )()()()()( ij M m jmimijjiij twtsatxtxX +=== ∑= θ , (5.1) Na forma matricial: WSAX += )(θ , (5.2) onde [ ])()()()( 21 MaaaA θθθθ = , [ ] )( jiij twW = e [ ] )( jmmj tsS = . Resgatando a expressão (3.22) e aplicando o resultado acima, tem-se: ( )( )HH x WSAWSA T XX T R ++=≡ )()( 11ˆ θθ . (5.3) Supondo que o vetor dado pelo ruído seja descorrelacionado com sinal e entre si tem-se: ( ) ( )    +    ≈ HHH x WW T ASS T AR 1 )( 1 )(ˆ θθ . (5.4) Conforme foi antecipado na seção (2.12), nota-se na expressão (5.4) que a informação temporal é utilizada apenas para estimar a matriz covariância espacial dada pela expressão (3.22). Assim, a influência da modulação será pequena, ou mesmo desprezível se considerar que o sinal poderá sofrer desvanecimento. Este é o caso considerado aqui. As amostras
  • 102.
    89 temporais de Saplicadas a expressão (5.2), utilizadas nas simulações, foram obtidas usando a seguinte expressão: 0 2/1 SRS S= , (5.5) onde 0S é uma matriz NxT cujos elementos variáveis Gaussianas complexas descorrelatadas de média nula e variância 1. A matriz       Λ= H sSsS UUR 2 1 2/1 é a transformação linear de 0S em S . Onde sU é a matriz cujas colunas são os autovetores de SR e SΛ é a matriz diagonal e a sua diagonal principal é formada pelos autovalores de SR . Nota-se que a transformação dada por (5.5) permite obter, a partir de 0S , uma matriz S cuja matriz covariância é igual à matriz covariância especificada SR . Para os modelos com espalhamento local, foi utilizada nas simulações expressão semelhante a expressão (5.2), ou seja: WSVX += )(θ , (5.6) onde [ ])()()()( 21 MvvvV θθθθ = e { }M mmv 1 )( = θ dado pela expressão (4.8), que em função do caso de espalhamento simulado, Distribuição Gaussiana, Modelo Circular ou Uniforme. É importante comentar que para obtenção da matriz [ ])()( 1 TtxtxX = os multipercursos não se alteraram durante o período de amostragem nos instantes { }T kkt 1= . 5.1.2 Considerações para Implementação dos Métodos de Estimação da Direção de Chegada Conforme sugerido em [SCH01] e mencionado na seção 3.3.2, o MUSIC unidimensional é implementado pesquisando θK ângulos candidatos em intervalos de θθ K/º180=∆ varrendo o intervalo de -90º até 90º. Como valor prático para θK adotou-se 1000, e o intervalo entre ângulos pesquisados, neste caso, é de 0.18º. Este valor foi adotado como um compromisso entre a resolução15 θ∆ e a complexidade do algoritmo. Assim, fica 15 Resolução aqui é a menor distância entre dois ângulos avaliados.
  • 103.
    90 claro que onúmero de ângulos pesquisados é um grande limitante deste método, fato, este, consubstanciado nos gráficos apresentados nas seções seguintes. Os métodos de estimação da direção de chegada que investigam simultaneamente todos os ângulos como o MD-MUSIC (seção 3.5.2.1), ML (seção 3.5.2.2), WSF (seção 3.5.2.3) e o MODE (seção 3.5.2.4) utilizam a rotina interna do MATLAB fmins, que minimiza funções de múltiplas variáveis, para obtenção dos ângulos que otimizam funções custo apropriadas. Para isto, a rotina fmins precisa de valores iniciais para pesquisa, sendo esta rotina bastante susceptível a mínimos locais, convergindo para pontos indesejados. Assim, para iniciação da fmins, foi utilizado o MUSIC unidimensional que pesquisa ângulos com diferença de 1º, ou seja, 180=θK . 5.2 Ambiente Somente com Ruído Branco Neste item serão apresentadas as simulações onde foi considerado só o ruído branco como agente perturbador. De acordo com a figura 3.8 serão consideradas seqüencialmente nas simulações: ♦ Estimação do número de sinais presentes, percebidos pelo conjunto de antenas; ♦ Estimação da direção de chegada de cada um dos sinais obtidos na etapa acima; ♦ Estimação do Sinal, ou beamforming, para cada um dos sinais relacionados com as direções de chegada obtidas na etapa anterior. 5.2.1 Estimação do número de sinais presentes Os métodos considerados aqui, já discutidos anteriormente, são o MDL (seção 3.5.1.1) e o AIC (seção 3.5.1.2). A probabilidade de erro no número de sinais é obtida em função dos seguintes parâmetros: relação sinal-ruído, quantidade de amostras, número de elementos do conjunto, número de amostras para estimação da matriz covariância, afastamento angular16 entre os sinais incidentes e índice de correlação entre os sinais. Foram tomados sucessivamente ,71,2, sinais incidentes. Para um dado número de sinais foram feitas da ordem de 3000 simulações e em cada uma delas os ângulos dos sinais foram escolhidos 16 Afastamento angular é a distância angular entre os ângulos de chegada de dois sinais incidentes.
  • 104.
    91 aleatoriamente, observando-se arestrição de um afastamento angular mínimo entre os sinais. A matriz covariância foi obtida supondo uma correlação de 0,1 entre os sinais. Número de Amostras e Afastamento Angular Mínimo Os gráficos das figuras 5.1 até 5.3 apresentam o comportamento da freqüência relativa do erro de detecção do número de sinais presentes em função do número de amostras para estimar a matriz covariância espacial e o afastamento angular mínimo. Neste caso foram mantidos constantes a relação sinal ruído igual a 10dB, o número de elementos das antenas igual a 8 elementos. Número de Amostras FreqüênciadoErro 4º 12º 20º 10 1 10 2 10 3 10 4 0 0.2 0.4 0.6 0.8 1 Número de Amostras FreqüênciadoErro 4º 12º 20º 10 1 10 2 10 3 10 4 0 0.2 0.4 0.6 0.8 1 Número de Amostras FreqüênciadoErro 10 1 10 2 10 3 10 4 0 0.2 0.4 0.6 0.8 1 MDL AIC Figura 5.1- Freqüência relativa do MDL em função do Número de Amostras para afastamento angular de 4º, 12º e 20 º Figura 5.2- Freqüência relativa do AIC em função do Número de Amostras para afastamento angular de 4º, 12º e 20 º Figura 5.3- Comparação entre o MDL e o AIC em função do Número de Amostras para afastamento angular de 12º. Relação Sinal-Ruído e Afastamento Angular As figuras 5.4 até 5.6 apresentam gráficos de simulações onde foi avaliada a freqüência relativa do erro de estimação do número de sinais usando as técnicas MDL e AIC em função da relação sinal-ruído e afastamento angular. Neste caso foram usadas oito antenas numa ULA, o número de sinais incidentes variou de um até sete com correlação de 0.1 entre eles.
  • 105.
    92 -10 -5 05 10 15 20 0 0.1 0.2 0.3 0.4 0.5 FreqüênciadoErro SNR 4º 12º 20º FreqüênciadoErro SNR 4º 12º 20º -10 -5 0 5 10 15 20 0.1 0.15 0.2 0.25 0.3 0.35 0.4 0.45 FreqüênciadoErro SNR -10 -5 0 5 10 15 20 0.1 0.15 0.2 0.25 0.3 0.35 0.4 AIC MDL Figura 5.4 - Freqüência relativa do MDL em função da Relação Sinal-Ruído para afastamento angular mínimo de 4º, 12º e 20º. Figura 5.5 - Freqüência relativa do AIC em função da Relação Sinal-Ruído para afastamento angular mínimo de 4º, 12º e 20º. Figura 5.6- Comparação entre MDL e o AIC em função da Relação Sinal-Ruído para afastamento angular mínimo de 12º. 5.2.2 Estimação da Direção de Chegada Os métodos utilizados nas simulações, para estimação dos ângulos de chegada, foram o MD-MUSIC (seção 3.5.2.1), WSF (seção 3.5.2.3), ML (seção 3.5.2.2), MODE (seção 3.5.2.4), MUSIC unidimensional (seção 3.3.2) e o ROOT MUSIC (seção 3.5.2.4). Nas simulações foi considerado o número de sinais presentes como dado, e a medida de comparação entre o real e o estimado foi o erro médio quadrático (MSE) em graus expresso em dB, ou seja: [ ])(log10)( 10 GrausMSEdBMSE = (5.8) As simulações foram realizadas combinando as seguintes variantes: ♦ a relação sinal ruído; ♦ o afastamento angular entre os sinais; ♦ o número de amostras; ♦ número de antenas; ♦ o índice de correlação entre os sinais. Relação Sinal Ruído e o Número de Amostras De início pretendeu-se avaliar o desempenho dos diversos métodos num cenário típico escolhido arbitrariamente. Foram considerados 4 sinais incidentes, fracamente correlatados com índice de correlação de 0.1, no conjunto de antenas com 8 elementos. A separação angular destes sinais foi de -30º, -10º, 0º e 40º em relação a normal do plano das antenas (figura 5.7).
  • 106.
    93 1 2 5.0= λ d 5 67 8 -30º -10º 0º 40º Figura 5.7 - ULA com 8 elementos e 4 sinais incidentes Nos gráficos das figuras 5.8 até 5.14 estão os resultados relativos aos diversos métodos de estimação em função da relação sinal ruído variando de -10dB até 17dB, e do número de amostras variando exponencialmente de 10 até 6250. MD-MUSIC )(dBMSE -10 0 10 20 -30 -20 -10 0 10 20 Nº de Amostras SNR 10 102 104 -25 -20 -15 -10 -5 0 5 10 15 )(dBMSE Nº de Amostras 10 102 103 104 SNR -10 -7 -4 -1 2 5 8 11 14 17 Figura 5.8a- MSE do MD MUSIC em função do número de amostras e da relação sinal ruído. Figura 5.8b - Projeção do gráfico ao lado no plano do número de amostras. WSF )(dBMSE Nº de Amostras SNR 10 102 104 -10 0 10 20 -30 -20 -10 0 10 20 )(dBMSE Nº de Amostras 10 102 103 104 SNR -10 -7 -4 -1 2 5 8 11 14 17 -25 -20 -15 -10 -5 0 5 10 15 . Figura 5.9 a - MSE do WSF em função do número de amostras e da relação sinal ruído. Figura 5.9b - Projeção do gráfico ao lado no plano do número de amostras
  • 107.
    94 ML )(dBMSE Nº de Amostras SNR 10 102 104-10 0 10 20 -30 -20 -10 0 10 20 )(dBMSE Nº de Amostras 10 102 103 104 SNR -10 -7 -4 -1 2 5 8 11 14 17 -25 -20 -15 -10 -5 0 5 10 15 Figura 5.10 a - MSE do ML em função do número de amostras e da relação sinal ruído. Figura 5.10 b - Projeção do gráfico ao lado no plano do número de amostras. MODE )(dBMSE Nº de Amostras SNR 10 102 104 -10 0 10 20 -30 -20 -10 0 10 20 )(dBMSE Nº de Amostras 10 102 103 104 SNR -10 -7 -4 -1 2 5 8 11 14 17 -25 -20 -15 -10 -5 0 5 10 15 Figura 5.11 a- MSE do MODE em função do número de amostras e da relação sinal ruído. Figura 5.11 b - Projeção do gráfico ao lado no plano do número de amostras. MUSIC Unidimensional )(dBMSE Nº de Amostras SNR 10 102 104 -10 0 10 20 -10 -5 0 5 10 15 )(dBMSE Nº de Amostras 10 102 103 104 SNR -10 -7 -4 -1 2 5 8 11 14 17 -10 -5 0 5 10 15 Figura 5.12 a - MSE do MUSIC UNIDIMENSIONAL em função do número de amostras e da relação sinal ruído. Figura 5.12 b- Projeção do gráfico ao lado no plano do número de amostras.
  • 108.
    95 ROOT MUSIC )(dBMSE Nº deAmostras SNR 10 102 104 -10 0 10 20 -20 -10 0 10 20 )(dBMSE Nº de Amostras SNR -10 -7 -4 -1 2 5 8 11 14 17 10 1 10 2 10 3 10 4 -20 -10 0 10 20 Figura 5.13 a - MSE do ROOT MUSIC em função do número de amostras e da relação sinal ruído. Figura 5.13 b - Projeção do gráfico ao lado no plano do número de amostras. SNR=2dB MUSIC WSF ML MUSIC UNI ROOT MUSIC MODE 10 1 10 2 10 3 10 4 -20 -10 0 10 20 Nº de Amostras Figura 5.14 - Comparação entre os diversos métodos em função do número de amostras para relação sinal ruído de 2 dB. Observa-se na figura 5.14 que os métodos têm um desempenho semelhante para um pequeno número de amostras e para um grande número o MODE, o MD-MUSIC, o WSF e o ML têm melhor desempenho. Com relação ao MUSIC unidimensional observa-se um patamar ( dB44,7]º18.0[ −=≈ dB ) determinado pelo número de ângulos utilizados θK na otimização exaustiva. Relação Sinal Ruído e o Número de Antenas Os gráficos das figuras 5.15 até 5.21 permitem avaliar a influência do número de antenas que foi variado de 5 até 20 para uma relação sinal ruído de -10dB até 17dB. Os ângulos de chegada são os mesmos dos gráficos anteriores dado pela figura 5.7. O índice de correlação entre os sinais foi de 0.1 e foram usadas 1000 amostras para estimar a matriz covariância espacial.
  • 109.
    96 MD-MUSIC )(dBMSE Nº de Antenas SNR -10 0 10 20 5 10 15 20 -30 -20 -10 0 10 20 )(dBMSE SNR -10-5 0 5 10 15 20 -30 -20 -10 0 10 20 20 8 5 Figura 5.15 a - MSE do MD MUSIC em função do número de antenas e da relação sinal ruído. Figura 5.15 b - Projeção do gráfico ao lado no plano da relação sinal ruído.. WSF )(dBMSE Nº de Antenas SNR -10 0 10 20 5 10 15 20 -30 -20 -10 0 10 20 )(dBMSE SNR 20 8 5 -10 -5 0 5 10 15 20 -30 -20 -10 0 10 20 Figura 5.16 a - MSE do WSF em função do número de antenas e da relação sinal ruído. Figura 5.16 b - Projeção do gráfico ao lado no plano da relação sinal ruído.. ML )(dBMSE Nº de Antenas SNR -10 0 10 20 5 10 15 20 -30 -20 -10 0 10 20 )(dBMSE SNR 20 8 5 -10 -5 0 5 10 15 20 -30 -20 -10 0 10 20 Figura 5.17 a - MSE do ML em função do número de antenas e da relação sinal ruído. Figura 5.17 b - Projeção do gráfico ao lado no plano da relação sinal ruído..
  • 110.
    97 MODE )(dBMSE Nº de Antenas SNR -10 0 10 20 5 10 15 20 -30 -20 -10 0 10 20 )(dBMSE SNR 20 8 5 -10-5 0 5 10 15 20 -30 -20 -10 0 10 20 Figura 5.18 a - MSE do MODE em função do número de antenas e da relação sinal ruído. Figura 5.18 b - Projeção do gráfico ao lado no plano da relação sinal ruído.. MUSIC Unidimensional )(dBMSE Nº de Antenas SNR -10 0 10 20 5 10 15 20 -10 -5 0 5 10 15 )(dBMSE SNR 20 8 5 -10 -5 0 5 10 15 20 -10 -5 0 5 10 15 Figura 5.19 a - MSE do MUSIC UDIMENSIONAL em função do número de antenas e da relação sinal ruído. Figura 5.19 b - Projeção do gráfico ao lado no plano da relação sinal ruído.. ROOT MUSIC )(dBMSE Nº de Antenas SNR -10 0 10 20 5 10 15 20 -40 -20 0 20 )(dBMSE SNR 20 8 5 -10 -5 0 5 10 15 20 -30 -20 -10 0 10 20 Figura 5.20 a - MSE do ROOT MUSIC em função do número de antenas e da relação sinal ruído. Figura 5.20 b - Projeção do gráfico ao lado no plano da relação sinal ruído..
  • 111.
    98 )(dBMSE Nº de Antenas 510 15 20 -25 -20 -15 -10 -5 0 5 10 15 MUSIC WSF ML MUSIC UNI ROOT MUSIC MODE SNR=11dB Figura 5.21 - Comparação entre os métodos de estimação da direção de chegada. Nota-se de novo o melhor desempenho dos métodos MODE, o MD-MUSIC, WSF e o ML, que melhora progressivamente com o número de antenas. Afastamento Angular e o Número de Antenas A figura 5.22 apresenta de maneira esquemática o ambiente para as simulações descritas nesta seção. Nos gráficos a seguir procurou-se simular o efeito da variação da raiz quadrada do erro médio quadrático em função da variação do número de antenas e do afastamento angular. 5.0= λ d 2 θ 2 θ Figura 5.22 - Esquema do ambiente para as simulações onde o afastamento angularθ e o número de antenas variam. Para tanto, o afastamento angular θ variou de 4º até 36º, o número de antenas de variou de 5 até 20, a relação sinal ruído foi de 0dB, o índice de correlação entre os sinais foi de 0.1, e o 1000 amostras para estimar a matriz covariância espacial.
  • 112.
    99 MD-MUSIC )(dBMSE Nº de Antenas θ 0 20 40 0 10 20 -20 -10 0 10 20 )(dBMSE θ 20 8 5 010 20 30 40 -20 -15 -10 -5 0 5 10 15 20 Figura 5.23 a- MSE do MD MUSIC em função do número de antenas e do afastamento angular θ . Figura 5.23 b- Projeção do gráfico ao lado no plano da relação sinal ruído.. WSF )(dBMSE Nº de Antenas θ 0 20 40 0 10 20 -20 -10 0 10 20 )(dBMSE θ 20 8 5 0 10 20 30 40 -20 -15 -10 -5 0 5 10 15 20 Figura 5.24 a- MSE do WSF em função do número de antenas e do afastamento angular θ . Figura 5.24 b - Projeção do gráfico ao lado no plano da relação sinal ruído.. ML )(dBMSE Nº de Antenas θ 0 20 40 0 10 20 -20 -10 0 10 20 )(dBMSE θ 20 8 5 0 10 20 30 40 -20 -15 -10 -5 0 5 10 15 20 Figura 5.25 a - MSE do ML em função do número de antenas e do afastamento angular θ . Figura 5.25 b - Projeção do gráfico ao lado no plano da relação sinal ruído..
  • 113.
    100 MODE )(dBMSE Nº de Antenas θ 0 20 40 0 10 20 -20 -10 0 10 20 )(dBMSE θ 20 8 5 010 20 30 40 -20 -15 -10 -5 0 5 10 15 20 Figura 5.26 a - MSE do MODE em função do número de antenas e do afastamento angular θ . Figura 5.26 b - Projeção do gráfico ao lado no plano da relação sinal ruído.. MUSIC Unidimensional )(dBMSE Nº de Antenas θ 0 20 40 0 10 20 -10 0 10 20 )(dBMSE θ 20 8 5 0 10 20 30 40 -10 -5 0 5 10 15 20 Figura 5.27 a - MSE do MUSIC UDIMENSIONAL em função do número de antenas e do afastamento angular θ . Figura 5.27 b - Projeção do gráfico ao lado no plano da relação sinal ruído.. ROOT-MUSIC )(dBMSE Nº de Antenas θ 0 20 40 0 10 20 -20 -10 0 10 20 )(dBMSE θ 20 8 5 0 10 20 30 40 -20 -15 -10 -5 0 5 10 15 Figura 5.28 a - MSE do ROOT MUSIC em função do número de antenas e do afastamento angular θ . Figura 5.28 b - Projeção do gráfico ao lado no plano da relação sinal ruído..
  • 114.
    101 8 antenas MUSIC WSF ML MUSIC UNI ROOTMUSIC MODE )(dBMSE θ 0 10 20 30 40 -10 -5 0 5 10 15 20 Figura 5.29 - Gráfico comparativo dos diversos métodos em função do afastamento considerando 8 antenas. Observa-se que ROOT MUSIC, método mais eficiente aqui, pode estimar direções de chegada de dois sinais com um erro médio quadrático menor que 0dB se os sinais tiverem separação maior do que 5º, enquanto para os outros este valor é de 10º. Outro fato, é que todos os métodos possuem comportamento assintótico semelhante em relação ao afastamento angular a exceção do MUSIC unidimensional. O MUSIC unidimensional, conforme já comentado, tem resolução limitada pelo número de ângulos pesquisados ( 1000=θK ). Afastamento Angular e o Índice de Correlação entre os Sinais Nos gráficos a seguir foi considerada a mesma situação mostrada na figura 5.22, neste caso com o número fixo de antenas, ou seja, 8 antenas. A relação sinal ruído constante foi de 0dB e o número de amostras para estimar a matriz covariância espacial foi de 1000. O afastamento angular θ entre os sinais variou de 4º até 36º, e o índice de correlação entre os sinais ρ variou de 0 a 1, conforme a matriz covariância dos sinais SR :       = 1 1 ρ ρ SR . (5.9)
  • 115.
    102 MD-MUSIC )(dBMSE Índice de Correlação θ 0 20 40 0 0.5 1 -20 -10 0 10 20 )(dBMSE θ 0.1 0.7 1.0 010 20 30 40 -15 -10 -5 0 5 10 15 Figura 5.30 a - MSE do MD MUSIC em função do Índice de Correlação e do afastamento angular θ . Figura 5.30 b- Projeção do gráfico ao lado no plano do Índice de Correlação. WSF )(dBMSE Índice de Correlação θ 0 20 40 0 0.5 1 -20 -10 0 10 20 )(dBMSE θ 0.1 0.7 1.0 0 10 20 30 40 -15 -10 -5 0 5 10 15 20 Figura 5.31 a - MSE do WSF em função do Índice de Correlação e do afastamento angular θ . Figura 5.31 b - Projeção do gráfico ao lado no plano do Índice de Correlação. ML )(dBMSE Índice de Correlação θ 0 20 40 0 0.5 1 -20 -10 0 10 20 )(dBMSE θ 0.1 0.7 1.0 0 10 20 30 40 -15 -10 -5 0 5 10 15 20 Figura 5.32 a - MSE do ML em função do Índice de Correlação e do afastamento angular θ . Figura 5.32 b - Projeção do gráfico ao lado no plano do Índice de Correlação.
  • 116.
    103 MODE )(dBMSE Índice de Correlação θ 0 20 40 0 0.5 1 -20 -10 0 10 20 )(dBMSE θ 0.1 0.7 1.0 010 20 30 40 -15 -10 -5 0 5 10 15 Figura 5.33 a - MSE do MODE em função do Índice de Correlação e do afastamento angular θ . Figura 5.33 b - Projeção do gráfico ao lado no plano do Índice de Correlação. MUSIC-Unidimensional )(dBMSE Índice de Correlação θ 0 20 40 0 0.5 1 -10 -5 0 5 10 15 )(dBMSE θ 0.1 0.7 1.0 0 10 20 30 40 -10 -5 0 5 10 15 Figura 5.34 a - MSE do MUSIC UNIDIMENSIONAL em função do Índice de Correlação e do afastamento angular θ . Figura 5.34 b - Projeção do gráfico ao lado no plano do Índice de Correlação. ROOT-MUSIC )(dBMSE Índice de Correlação θ 0 20 40 0 0.5 1 -20 -10 0 10 20 )(dBMSE θ 0.1 0.7 1.0 0 10 20 30 40 -15 -10 -5 0 5 10 15 Figura 5.35 a - MSE do ROOT MUSIC em função do Índice de Correlação e do afastamento angular θ . Figura 5.35 b - Projeção do gráfico ao lado no plano do Índice de Correlação.
  • 117.
    104 )(dBMSE θ 0 10 2030 40 -15 -10 -5 0 5 10 15 20 Índice de Correlação = 1.0 MUSIC WSF ML MUSIC UNI ROOT MUSIC MODE Figura 5.36 - Comparação entre os métodos para Índice de Correlação de 1.0. Os resultados mostram que o índice de correlação afeta diferentemente os diversos métodos, sendo mais sensíveis o MD-MUSIC e ROOT-MUSIC. Também, através da figura 5.36, observa-se que a correlação não tem grande impacto na capacidade de separação de 2 sinais próximos. 5.2.3 Estimação do Sinal - Formação de Feixe Esta seção contém os resultados das simulações dos métodos de estimação do sinal, mais precisamente os métodos de formação de feixe que dependem da informação do ângulo de chegada. Para cada simulação, foram utilizados dois métodos de estimação de direção de chegada o WSF e o ROOT MUSIC. Também foi feita outra simulação em que a direção foi dada, e a que deu-se o nome de ideal. As três formas de obtenção do ângulo de chegada foram combinadas com os métodos para formação de feixe apresentados anteriormente, cujas formulações encontram-se a seguir: ♦ Beamforming Convencional - Algoritmo sem nenhuma regra de otimização, ou seja, os pesos são uma mera compensação das fases dos sinais, e segue a seguinte formulação: [ ]D ppP ˆˆ1 = , com )()( )( ˆ mm H m m aa a p θθ θ = , para Dm ,,1= , dado pela expressão (2.52); ♦ Método da Mínima Variância - [ ]D ppP ˆˆ1 = , com )()( )( ˆ 1 1 mxm H mx m aRa aR p θθ θ − − = , para Dm ,,1= , expressão (3.8); ♦ LLMV Least Linear Minimum Variance - ( ) ( ) ( ) 1 11 ˆˆˆˆˆ − −−     = θθθ ARAARP x H x , expressão (3.64);
  • 118.
    105 ♦ Máxima Verossimilhançacom sinal conhecido - [ ] ( )1 1 )ˆ()ˆ()ˆ(ˆˆ − == θθθ AAAppP H D , expressão (3.67); ♦ Máxima Verossimilhança com sinal desconhecido ( ){ }xAw RPI DN ˆtraço 1 ˆ )( 2 θσ − − = , ( )( )H wxs AIRAR †2† )(ˆˆ)(ˆ θσθ −= , ( ) sw H s RAIARAP ˆ)ˆ(ˆ)ˆ(ˆ)ˆ( 12 θσθθ − += , expressões (3.69), (3.70) e (3.71) respectivamente. Os parâmetros variados nas simulações foram os mesmos das simulações para direção de chegada, porém, como medida comparativa da eficiência na obtenção do sinal foi utilizado o índice de correlação entre o sinal original e o estimado. Número de Amostras e Relação Sinal Ruído Para obtenção dos resultados apresentados a seguir foram utilizadas 8 antenas e dois sinais incidentes nos ângulos -8º e 8º com índice de correlação entre eles de 0.1. Os gráficos das figuras 5.37 a 5.41 relacionam o índice de correlação entre o sinal desejado e o estimado com a relação sinal ruído e o número de amostras temporais para estimar a matriz covariância espacial. Beamforming Convencional 10 250 6250 ÍndicedeCorrelação (módulo) SNR -10 -5 0 5 10 15 20 0.3 0.4 0.5 0.6 0.7 0.8 0.9 1 10 250 6250 ÍndicedeCorrelação (módulo) SNR -10 -5 0 5 10 15 20 0.3 0.4 0.5 0.6 0.7 0.8 0.9 1 -10 -5 0 5 10 15 20 0.65 0.7 0.75 0.8 0.85 0.9 0.95 1 ÍndicedeCorrelação (módulo) SNR WSF ROOT IDEAL Figura 5.37 a - Índice de Correlação entre o sinal real e o sinal estimado com o Beamforming Convencional em função da relação sinal ruído para 10, 250 e 6250 amostras para estimar a matriz covariância espacial. O método de estimação da direção foi o WSF. Figura 5.37 b - Índice de Correlação entre o sinal real e o sinal estimado com o Beamforming Convencional em função da relação sinal ruído para 10, 250 e 6250 amostras para estimar a matriz covariância espacial. O método de estimação da direção foi o ROOT MUSIC. Figura 5.37 c - Comparação entre os métodos de estimação da direção de chegada e o ideal em combinação com o Beamforming Convencional em função da relação sinal ruído para 250 amostras.
  • 119.
    106 Mínima Variância ÍndicedeCorrelação (módulo) SNR 10 250 6250 -10 -50 5 10 15 20 0 0.2 0.4 0.6 0.8 1 10 250 6250 ÍndicedeCorrelação (módulo) SNR -10 -5 0 5 10 15 20 0 0.2 0.4 0.6 0.8 1 20 ÍndicedeCorrelação (módulo) SNR WSF ROOT IDEAL -10 -5 0 5 10 15 0.6 0.65 0.7 0.75 0.8 0.85 0.9 0.95 1 Figura 5.38 a - Índice de Correlação entre o sinal real e o sinal estimado com o método de Mínima Variância em função da relação sinal ruído para 10, 250 e 6250 amostras para estimar a matriz covariância espacial. O método de estimação da direção foi o WSF. Figura 5.38 b - Índice de Correlação entre o sinal real e o sinal estimado com o método de Mínima Variância em função da relação sinal ruído para 10, 250 e 6250 amostras para estimar a matriz covariância espacial. O método de estimação da direção foi o ROOT MUSIC. Figura 5.38 c - Comparação entre os métodos de estimação da direção de chegada e o ideal em combinação com o método de Mínima Variância em função da relação sinal ruído para 250 amostras. Least Linear Minimum Variance 10 250 6250 ÍndicedeCorrelação (módulo) SNR -10 -5 0 5 10 15 20 0.3 0.4 0.5 0.6 0.7 0.8 0.9 1 10 250 6250 ÍndicedeCorrelação (módulo) SNR -10 -5 0 5 10 15 20 0.3 0.4 0.5 0.6 0.7 0.8 0.9 1 ÍndicedeCorrelação (módulo) SNR WSF ROOT IDEAL -10 -5 0 5 10 15 0.65 0.7 0.75 0.8 0.85 0.9 0.95 1 Figura 5.39 a - Índice de Correlação entre o sinal real e o sinal estimado com o método Least Linear Minimum Variance em função da relação sinal ruído para 10, 250 e 6250 amostras para estimar a matriz covariância espacial. O método de estimação da direção foi o WSF. Figura 5.39 b - Índice de Correlação entre o sinal real e o sinal estimado com o método Least Linear Minimum Variance em função da relação sinal ruído para 10, 250 e 6250 amostras para estimar a matriz covariância espacial. O método de estimação da direção foi o ROOT MUSIC. Figura 5.39 c - Comparação entre os métodos de estimação da direção de chegada e o ideal em combinação com o método de Least Linear Minimum Variance em função da relação sinal ruído para 250 amostras. Máxima Verossimilhança com sinal conhecido 10 250 6250 ÍndicedeCorrelação (módulo) SNR -10 -5 0 5 10 15 20 0.3 0.4 0.5 0.6 0.7 0.8 0.9 1 10 250 6250 ÍndicedeCorrelação (módulo) SNR -10 -5 0 5 10 15 20 0.3 0.4 0.5 0.6 0.7 0.8 0.9 1 ÍndicedeCorrelação (módulo) SNR WSF ROOT IDEAL -10 -5 0 5 10 15 20 0.65 0.7 0.75 0.8 0.85 0.9 0.95 1 Figura 5.40 a - Índice de Correlação entre o sinal real e o sinal estimado com o método de Máxima Verossimilhança com sinal conhecido em função da relação sinal ruído para 10, 250 e 6250 amostras para estimar a matriz covariância espacial. O método de estimação da direção foi o WSF. Figura 5.40 b - Índice de Correlação entre o sinal real e o sinal estimado com o método de Máxima Verossimilhança com sinal conhecido em função da relação sinal ruído para 10, 250 e 6250 amostras para estimar a matriz covariância espacial. O método de estimação da direção foi o ROOT MUSIC. Figura 5.40 c - Comparação entre os métodos de estimação da direção de chegada e o ideal em combinação com o método de Máxima Verossimilhança com sinal conhecido em função da relação sinal ruído para 250 amostras.
  • 120.
    107 Máxima Verossimilhança comsinal desconhecido 10 250 6250 ÍndicedeCorrelação (módulo) SNR -10 -5 0 5 10 15 20 0.3 0.4 0.5 0.6 0.7 0.8 0.9 1 20 10 250 6250 ÍndicedeCorrelação (módulo) SNR -10 -5 0 5 10 15 0.3 0.4 0.5 0.6 0.7 0.8 0.9 1 ÍndicedeCorrelação (módulo) SNR WSF ROOT IDEAL -10 -5 0 5 10 15 20 0.65 0.7 0.75 0.8 0.85 0.9 0.95 1 Figura 5.41 a - Índice de Correlação entre o sinal real e o sinal estimado com o método de Máxima Verossimilhança com sinal desconhecido em função da relação sinal ruído para 10, 250 e 6250 amostras para estimar a matriz covariância espacial. O método de estimação da direção foi o WSF. Figura 5.41 b - Índice de Correlação entre o sinal real e o sinal estimado com o método de Máxima Verossimilhança com sinal desconhecido em função da relação sinal ruído para 10, 250 e 6250 amostras para estimar a matriz covariância espacial. O método de estimação da direção foi o ROOT MUSIC. Figura 5.41 c - Comparação entre os métodos de estimação da direção de chegada e o ideal em combinação com o método de Máxima Verossimilhança com sinal desconhecido em função da relação sinal ruído para 250 amostras. ÍndicedeCorrelação (módulo) SNR -10 -5 0 5 10 15 20 0.6 0.65 0.7 0.75 0.8 0.85 0.9 0.95 1 * BC + MV . LL o MLD -- MLE -10 -5 0 5 10 15 20 0.6 0.65 0.7 0.75 0.8 0.85 0.9 0.95 1 ÍndicedeCorrelação (módulo) SNR * BC + MV . LL o MLD -- MLE Figura 5.42 a - Comparação entre os métodos de beamforming em função da relação sinal ruído com 250 amostras para estimação da matriz covariância espacial. O método de estimação da direção foi o WSF. Figura 5.42 b - Comparação entre os métodos de beamforming em função da relação sinal ruído com 250 amostras para estimação da matriz covariância espacial. O método de estimação da direção foi o ROOT MUSIC. Nos gráficos das figuras 5.42-a e 5.42-b são apresentadas a comparação entre os diversos métodos de formação de feixe associados ao WSF e ao ROOT MUSIC respectivamente. Observa-se que o método de mínima variância apresenta um resultado ligeiramente pior que os outros métodos, cujos resultados são coincidentes. Número de Antenas e Afastamento Angular Nos próximos gráficos apresentam simulações onde se verifica o índice de correlação entre o sinal estimado e o sinal real para os diversos métodos de beamforming. Estes gráficos foram obtidos variando o número de antenas e o afastamento angular entre dois sinais com índice de correlação entre eles de 0.1.
  • 121.
    108 Beamforming Convencional 8 14 20 0 1020 30 40 0.6 0.65 0.7 0.75 0.8 0.85 0.9 0.95 1ÍndicedeCorrelação (módulo) ÍndicedeCorrelação (módulo) 0 10 20 30 40 0.7 0.75 0.8 0.85 0.9 0.95 1 ÍndicedeCorrelação (módulo) 0 10 20 30 40 0.6 0.65 0.7 0.75 0.8 0.85 0.9 0.95 WSF ROOT IDEAL Figura 5.42 a - Índice de Correlação entre o sinal real e o sinal estimado com o Beamforming Convencional em função do afastamento angular para 8, 14 e 20 antenas. O método de estimação da direção foi o WSF. Figura 5.42 b - Índice de Correlação entre o sinal real e o sinal estimado com o Beamforming Convencional em função do afastamento angular para 8, 14 e 20 antenas. O método de estimação da direção foi o ROOT-MUSIC. Figura 5.42 c -- Comparação entre os métodos de estimação da direção de chegada e o ideal em combinação com o Beamforming Convencional em função afastamento angular para 8 antenas. Mínima Variância ÍndicedeCorrelação (módulo) 8 14 20 0 10 20 30 40 0.82 0.84 0.86 0.88 0.9 0.92 0.94 0.96 ÍndicedeCorrelação (módulo) 8 14 20 0 10 20 30 40 0.82 0.84 0.86 0.88 0.9 0.92 0.94 0.96 ÍndicedeCorrelação (módulo) 0 10 20 30 40 0.65 0.7 0.75 0.8 0.85 0.9 0.95 WSF ROOT IDEAL Figura 5.43 a - Índice de Correlação entre o sinal real e o sinal estimado com o método da Mínima Variância em função do afastamento angular para 8, 14 e 20 antenas. O método de estimação da direção foi o WSF. Figura 5.43 b - Índice de Correlação entre o sinal real e o sinal estimado com o método da Mínima Variância em função do afastamento angular para 8, 14 e 20 antenas. O método de estimação da direção foi o ROOT-MUSIC. Figura 5.43 c - Comparação entre os métodos de estimação da direção de chegada e o ideal em combinação com o método da Mínima Variância em função afastamento angular para 8 antenas. Least Linear Minimum Variance ÍndicedeCorrelação (módulo) 8 14 20 0 10 20 30 40 0.6 0.65 0.7 0.75 0.8 0.85 0.9 0.95 1 ÍndicedeCorrelação (módulo) 8 14 20 0 10 20 30 40 0.7 0.75 0.8 0.85 0.9 0.95 1 ÍndicedeCorrelação (módulo) 0 10 20 30 40 0.6 0.65 0.7 0.75 0.8 0.85 0.9 0.95 WSF ROOT IDEAL Figura 5.44 a - Índice de Correlação entre o sinal real e o sinal estimado com Least Linear Minimum Variance em função do afastamento angular para 8, 14 e 20 antenas. O método de estimação da direção foi o WSF. Figura 5.44 b - Índice de Correlação entre o sinal real e o sinal estimado com Least Linear Minimum Variance em função do afastamento angular para 8, 14 e 20 antenas. O método de estimação da direção foi o ROOT-MUSIC. Figura 5.44 c - Comparação entre os métodos de estimação da direção de chegada e o ideal em combinação com Least Linear Minimum Variance em função afastamento angular para 8 antenas.
  • 122.
    109 Máxima Verossimilhança comsinal conhecido ÍndicedeCorrelação (módulo) 8 14 20 0 10 20 30 40 0.6 0.65 0.7 0.75 0.8 0.85 0.9 0.95 1 ÍndicedeCorrelação (módulo) 8 14 20 0 10 20 30 40 0.7 0.75 0.8 0.85 0.9 0.95 1 ÍndicedeCorrelação (módulo) 0 10 20 30 40 0.6 0.65 0.7 0.75 0.8 0.85 0.9 0.95 WSF ROOT IDEAL Figura 5.45 a - Índice de Correlação entre o sinal real e o sinal estimado com o método Máxima Verossimilhança com sinal conhecido em função do afastamento angular para 8, 14 e 20 antenas. O método de estimação da direção foi o WSF. Figura 5.45 b - Índice de Correlação entre o sinal real e o sinal estimado com o método Máxima Verossimilhança com sinal conhecido em função do afastamento angular para 8, 14 e 20 antenas. O método de estimação da direção foi o ROOT- MUSIC. Figura 5.45 c - Comparação entre os métodos de estimação da direção de chegada e o ideal em combinação com o método Máxima Verossimilhança com sinal conhecido em função afastamento angular para 8 antenas. Máxima Verossimilhança com sinal desconhecido ÍndicedeCorrelação (módulo) 8 14 20 0 10 20 30 40 0.6 0.65 0.7 0.75 0.8 0.85 0.9 0.95 1 ÍndicedeCorrelação (módulo) 8 14 20 0 10 20 30 40 0.7 0.75 0.8 0.85 0.9 0.95 1 ÍndicedeCorrelação (módulo) 0 10 20 30 40 0.6 0.65 0.7 0.75 0.8 0.85 0.9 0.95 WSF ROOT IDEAL Figura 5.46 a - Índice de Correlação entre o sinal real e o sinal estimado com o método Máxima Verossimilhança com sinal desconhecido em função do afastamento angular para 8, 14 e 20 antenas. O método de estimação da direção foi o WSF. Figura 5.46 b - Índice de Correlação entre o sinal real e o sinal estimado com o método Máxima Verossimilhança com sinal desconhecido em função do afastamento angular para 8, 14 e 20 antenas. O método de estimação da direção foi o ROOT- MUSIC. Figura 5.46 c - Comparação entre os métodos de estimação da direção de chegada e o ideal em combinação com o método Máxima Verossimilhança com sinal desconhecido em função afastamento angular para 8 antenas. ÍndicedeCorrelação (módulo) 0 10 20 30 40 0.6 0.65 0.7 0.75 0.8 0.85 0.9 0.95 * BC + MV . LL o MLD -- MLE ÍndicedeCorrelação (módulo) * BC + MV . LL o MLD -- MLE 0 10 20 30 40 0.7 0.75 0.8 0.85 0.9 0.95 Figura 5.47 a - Comparação entre os métodos de beamforming em função do afastamento angular considerando matriz com 8 antenas. O método de estimação da direção foi o WSF. Figura 5.47 b - Comparação entre os métodos de beamforming em função do afastamento angular considerando matriz com 8 antenas. O método de estimação da direção foi o ROOT MUSIC.
  • 123.
    110 Os gráficos dasfiguras 5.47-a e 5.47-b apresentam uma comparação entre os métodos de formação de feixe associados aos estimadores WSF e ROOT-MUSIC respectivamente. Nota-se que os métodos apresentam resultados semelhantes para o afastamento angular acima de 10º, sendo que o método de mínima variância apresenta uma ligeira melhora em relação aos demais, cujos resultados coincidem. Para os demais ambientes de propagação a seguir, mais especificamente, aqueles que descrevem o comportamento do espalhamento local, não serão avaliados os métodos de estimação do número de sinais presentes nem de formação de feixe. Serão comparados através de simulações apenas os métodos de estimação de direção de chegada. 5.3 Espalhamento Local com Distribuição Gaussiana As simulações realizadas aqui objetivam avaliar os algoritmos de estimação de direção de chegada com o modelo descrito na seção 4.2.3: espalhamento local com distribuição Gaussiana. Foram considerados dois sinais incidentes com mesma potência e de maneira simétrica em relação a normal à linha das antenas, representado na figura 5.48. 1 2 5.0= λ d 5 6 7 8 /2/2 Figura 5.48 - Diagrama explicativo dos testes com o ambiente Angular Spread. 5.3.1 Estimação da Direção de Chegada Sem a Componente de Visada Direta As figuras 5.49 até 5.55 apresentam os resultados da avaliação dos algoritmos de estimação considerando matriz com com 8 elementos; relação sinal ruído de 0 dB e o número de amostras temporais para estimar a matriz covariância foi de 1000. Os parâmetros variados foram: o desvio padrão θσ (variando de 0º a 6º); e o ângulo θ que variou de 4º até 30º.
  • 124.
    111 Nestes gráficos, nãofoi considerada a componente de visada direta, e assim o steering vector para este ambiente é um vetor Gaussiano de média nula e matriz covariância dada por (4.19). MD-MUSIC θσ θ )(dBMSE 0 10 20 30 0 2 4 6 -20 -10 0 10 20 )(dBMSE θ 6.0 3.0 0.5 0.0 θσ 0 5 10 15 20 25 -15 -10 -5 0 5 10 15 Figura 5.49 a - MSE do MD-MUSIC em função do angular spread e do afastamento entre os sinais. Figura 5.49 b - Projeção do gráfico ao lado, MD-MUSIC, no plano do afastamento. WSF θσ θ )(dBMSE 0 10 20 30 0 2 4 6 -20 -10 0 10 20 )(dBMSE θ 6.0 3.0 0.5 0.0 θσ 0 5 10 15 20 25 -15 -10 -5 0 5 10 15 Figura 5.50 a - MSE do WSF em função do angular spread e do afastamento entre os sinais. Figura 5.50 b -Projeção do gráfico ao lado, WSF, no plano do afastamento. ML θσ θ )(dBMSE 0 10 20 30 0 2 4 6 -20 -10 0 10 20 )(dBMSE θ 6.0 3.0 0.5 0.0 θσ 0 5 10 15 20 25 -15 -10 -5 0 5 10 15 Figura 5.51 a - MSE do ML em função do angular spread e do afastamento entre os sinais. Figura 5.51 b - Projeção do gráfico ao lado, ML, no plano do afastamento
  • 125.
    112 MODE θσ θ )(dBMSE 0 10 20 30 0 2 4 6 -20 -10 0 10 20 )(dBMSE θ 6.0 3.0 0.5 0.0 θσ 0 5 1015 20 25 -15 -10 -5 0 5 10 15 Figura 5.52 a - MSE do MODE em função do angular spread e do afastamento entre os sinais. Figura 5.52 b - Projeção do gráfico ao lado, MODE, no plano do afastamento. MUSIC Unidimensional θσ θ )(dBMSE 0 10 20 30 0 2 4 6 -10 0 10 20 )(dBMSE θ 6.0 3.0 0.5 0.0 θσ 0 5 10 15 20 25 -10 -5 0 5 10 15 Figura 5.53 a - MSE do MUSIC UNIDIMENSIONAL em função do angular spread e do afastamento entre os sinais. Figura 5.53 b - Projeção do gráfico ao lado, MUSIC UNIDIMENSIONAL, no plano afastamento. ROOT MUSIC θσ θ )(dBMSE 0 10 20 30 0 2 4 6 -20 -10 0 10 20 )(dBMSE θ 6.0 3.0 0.5 0.0 θσ 0 5 10 15 20 25 -15 -10 -5 0 5 10 15 Figura 5.54 a - MSE do ROOT MUSIC em função do angular spread e do afastamento entre os sinais. Figura 5.54 b - Projeção do gráfico ao lado, ROOT MUSIC, no plano do afastamento.
  • 126.
    113 θσ )(dBMSE MUSIC WSF ML MUSIC UNI ROOT MUSIC MODE θ=12º 01 2 3 4 5 6 -15 -10 -5 0 5 10 15 Figura 5.55 - Comparação entre os mecanismos de estimação da direção considerando o afastamento entre os sinais de 12º. Observa-se em todos os gráficos que, a partir da separação angular de 10º, o que determina o erro médio quadrático é basicamente o espalhamento angular θσ , confirmado no gráfico da figura 5.55. 5.3.2 Estimação da Direção de Chegada Com a Componente de Visada Direta com Energia Variável Este conjunto de simulações objetiva avaliar os métodos de estimação apresentados em função da energia da componente de visada direta, que se relaciona com o steering vector )(1 θv da seguinte forma: )()1()()(1 θγθγθ vav −+= (5.11) onde ),0()( vRNv =θ e )(θa é a resposta da ULA para a direção θ . São considerados os mesmos sinais da figura 5.48, um espalhamento angular de 4º, uma ULA de 8 elementos e o índice de correlação entre os sinais de 0.1.
  • 127.
    114 MD-MUSIC γ θ )(dBMSE 0 10 20 30 0 0.5 1 -10 -5 0 5 10 15 γ )(dBMSE 20º 12º 0 0.20.4 0.6 0.8 1 -10 -5 0 5 10 15 Figura 5.56 a - MSE do MD-MUSIC em função de γ e do afastamento entre os sinais. Figura 5.56 b - Projeção do gráfico ao lado, MD-MUSIC, no plano de γ. WSF γ θ )(dBMSE 0 10 20 30 0 0.5 1 -10 -5 0 5 10 15 γ )(dBMSE 20º 12º 0 0.2 0.4 0.6 0.8 1 -10 -5 0 5 10 15 Figura 5.57 a - MSE do WSF em função do γ e do afastamento entre os sinais Figura 5.57 b - Projeção do gráfico ao lado, WSF, no plano do γ . ML γ θ )(dBMSE 0 10 20 30 0 0.5 1 -10 -5 0 5 10 15 γ )(dBMSE 20º 12º 0 0.2 0.4 0.6 0.8 1 -10 -5 0 5 10 15 Figura 5.58 a - MSE do ML em função do γ e do afastamento entre os sinais. Figura 5.58 b - Projeção do gráfico ao lado, ML, no plano do γ.
  • 128.
    115 MODE γ θ )(dBMSE 0 10 20 30 0 0.5 1 -10 -5 0 5 10 15 γ )(dBMSE 20º 12º 0 0.20.4 0.6 0.8 1 -10 -5 0 5 10 15 Figura 5.59 a - MSE do MODE em função do γ e do afastamento entre os sinais. Figura 5.59 b - Projeção do gráfico ao lado, MODE, no plano do γ. MUSIC Unidimensional γ θ )(dBMSE 0 10 20 30 0 0.5 1 -10 -5 0 5 10 15 γ )(dBMSE 20º 12º 0 0.2 0.4 0.6 0.8 1 -5 0 5 10 15 Figura 5.60 a - MSE do MUSIC UNIDIMENSIONAL em função do γ e do afastamento entre os sinais. Figura 5.60 b - Projeção do gráfico ao lado, MUSIC UNIDIMENSIONAL, no plano γ. ROOT MUSIC γ θ )(dBMSE 0 10 20 30 0 0.5 1 -10 -5 0 5 10 15 γ )(dBMSE 20º 12º 0 0.2 0.4 0.6 0.8 1 -10 -5 0 5 10 15 Figura 5.61 a - MSE do ROOT MUSIC em função do angular spread e do γ entre os sinais. Figura 5.61 b - Projeção do gráfico ao lado, ROOT MUSIC, no plano do γ.
  • 129.
    116 γ )(dBMSE MUSIC WSF ML MUSIC UNI ROOT MUSIC MODE θ=12º 00.2 0.4 0.6 0.8 1 -5 0 5 10 15 Figura 5.62 - Comparação entre os mecanismos de estimação da direção considerando o afastamento entre os sinais de 12º. Nota-se que o desempenho dos métodos só melhora a partir de um valor expressivo da componente de visada direta (γ em torno de 0.5) que eqüivale a uma razão entre a componente direta e o espalhamento de 0 dB. 5.4 Espalhamento Local com Modelo Circular As próximas simulações têm por finalidade avaliar os algoritmos de estimação de direção de chegada no ambiente de propagação com Modelo Circular descrito na seção 4.24, considerando a figura 5.63 e com os mesmos parâmetros da seção 5.3. BW 1 2 5.0= λ d 5 6 7 8 BW Figura 5.63 - Diagrama explicativo dos testes com o ambiente segundo o Modelo Circular. 5.4.1 Estimação da Direção de Chegada Sem a Componente de visada direta Os resultados estão apresentados nas figuras 5.64 a 5.70. Neste caso, a simulação dos multipercursos foi feita considerando 100 sinais de forma que o steering vector dado por 4.8 é dado por:
  • 130.
    117 ∑= += 100 1 )( 1 )( l l j l aeH P v l θθθφ , (5.12) onde lθ é dado pela expressão 4.22, e N aeH P l l j l l ∑= + = 100 1 )( θθφ . MD-MUSIC BWθ θ )(dBMSE 0 10 20 0 10 20 -20 -10 0 10 20 )(dBMSE θ BWθ 6.0º 3.0º 0.0º 0 5 10 15 20 -20 -15 -10 -5 0 5 10 15 Figura 5.64 a - MSE do MD-MUSIC em função da abertura angular e do afastamento entre os sinais. Figura 5.64 b - Projeção do gráfico ao lado, MD-MUSIC, no plano da do afastamento angular, para abertura do espalhamento BWθ para 0º, 3º e 6º . WSF BWθ θ )(dBMSE 0 10 20 0 10 20 -20 -10 0 10 20 )(dBMSE BWθ 6.0º 3.0º 0.0º θ 0 5 10 15 20 -20 -15 -10 -5 0 5 10 15 Figura 5.65 a - MSE do WSF em função do abertura angular do afastamento entre os sinais. Figura 5.65 b - Projeção do gráfico ao lado, WSF, no plano da do afastamento angular, para abertura do espalhamento BWθ para 0º, 3º e 6º .
  • 131.
    118 ML BWθ θ )(dBMSE 0 10 20 0 10 20 -20 -10 0 10 20 )(dBMSE θ BWθ 6.0º 3.0º 0.0º 0 510 15 20 -20 -15 -10 -5 0 5 10 15 Figura 5.66 a - MSE do ML em função do abertura angular e do afastamento entre os sinais. Figura 5.66 b - Projeção do gráfico ao lado, ML, no plano da do afastamento angular, para abertura do espalhamento BWθ para 0º, 3º e 6º . MODE BWθ θ )(dBMSE 0 10 20 0 10 20 -20 -10 0 10 20 )(dBMSE θ BWθ 6.0º 3.0º 0.0º 0 5 10 15 20 -15 -10 -5 0 5 10 15 Figura 5.67 a - MSE do MODE em função da abertura angular e do afastamento entre os sinais. Figura 5.67 b - Projeção do gráfico ao lado, MODE, no plano da do afastamento angular, para abertura do espalhamento BWθ para 0º, 3º e 6º . MUSIC Unidimensional BWθ θ )(dBMSE 0 10 20 0 10 20 -10 0 10 20 )(dBMSE θ BWθ 6.0º 3.0º 0.0º 0 5 10 15 20 -10 -5 0 5 10 15 Figura 5.68 a - MSE do MUSIC UNIDIMENSIONAL em função da abertura angular e do afastamento entre os sinais. Figura 5.68 b - Projeção do gráfico ao lado, MUSIC UNIDIMENSIONAL, no plano da do afastamento angular, para abertura do espalhamento BWθ para 0º, 3º e 6º .
  • 132.
    119 ROOT MUSIC BWθ θ )(dBMSE 0 10 20 0 10 20 -20 -10 0 10 20 )(dBMSE θ BWθ 6.0º 3.0º 0.0º 05 10 15 20 -20 -15 -10 -5 0 5 10 15 Figura 5.69 a - MSE do ROOT MUSIC em função da abertura angular e do afastamento entre os sinais. Figura 5.69 b - Projeção do gráfico ao lado, ROOT MUSIC, no plano da do afastamento angular, para abertura do espalhamento BWθ para 0º, 3º e 6º . )(dBMSE BWθ MUSIC WSF ML MUSIC UNI ROOT MUSIC MODE θ=12º 0 5 10 15 20 -20 -15 -10 -5 0 5 10 15 Figura 5.70 - Comparação entre os mecanismos de estimação da direção considerando o afastamento entre os sinais de 12º. Da mesma forma que o modelo anterior, observa-se que o parâmetro que define a abertura do espalhamento, neste caso BWθ , define o desempenho. A partir de 10º o erro médio quadrático é um pouco maior que 2 BWθ . 5.5 Espalhamento Local com Modelo de Distribuição Uniforme As simulações a seguir têm por finalidade avaliar os algoritmos de estimação de direção de chegada no ambiente de propagação com Modelo de Distribuição Uniforme descrito na seção (4.2.5), tendo como base a figura 5.71. Por simplificação, os dois sinais são incidentes de maneira simétrica em relação a normal a linha das antenas, e possuem a mesma energia conforme aparece na figura 5.71.
  • 133.
    120 1 2 5.0= λ d 5 67 8 BW /2 BW /2 Figura 5.71 - Representação do contorno para as simulações do modelo de distribuição uniforme. 5.5.1 Estimação da Direção de Chegada Sem a Componente de Visada Direta A seguir os algoritmos de estimação da direção de chegada são avaliados em função do afastamento angular θ , que variou de 4º até 30º , e da abertura angular BWθ , que variou de 0º até 18º. Foi considerado que relação sinal ruído de 0 dB e 1000 amostras para estimar a matriz covariância espacial. Também, nos próximos gráficos, não foi considerada a componente de visada direta, e o steering vector para cada sinal incidente, neste ambiente, segue a seguinte formulação: ∑= += 100 1 )( 1 )( l l j l aeH P v l θθθ φ , (5.15) onde lθ é dado pela expressão (4.25) e N aeH P l l j l l ∑= + = 100 1 )( θθφ . MUSIC BWθ θ )(dBMSE 0 10 20 0 10 20 -40 -20 0 20 )(dBMSE θ BWθ 6.0º 3.0º 0.0º 0 5 10 15 20 -25 -20 -15 -10 -5 0 5 10 15 Figura 5.72 a - MSE do MD-MUSIC em função da abertura angular e do afastamento entre os sinais. Figura 5.72 b - Projeção do gráfico ao lado, MD-MUSIC, no plano do afastamento.
  • 134.
    121 WSF BWθ θ )(dBMSE 0 10 0 10 20 -40 -20 0 20 )(dBMSE θ BWθ 6.0º 3.0º 0.0º 0 5 1015 20 -25 -20 -15 -10 -5 0 5 10 15 Figura 5.73 a - MSE do WSF em função do abertura angular do afastamento entre os sinais. Figura 5.73 b - Projeção do gráfico ao lado, WSF, no plano do afastamento. ML BWθ θ )(dBMSE 0 10 20 0 10 20 -40 -20 0 20 )(dBMSE θ BWθ 6.0º 3.0º 0.0º 0 5 10 15 20 -25 -20 -15 -10 -5 0 5 10 15 Figura 5.74 a - MSE do ML em função do abertura angular e do afastamento entre os sinais. Figura 5.74 b - Projeção do gráfico ao lado, ML, no plano do afastamento MODE BWθ θ )(dBMSE 0 10 20 0 10 20 -20 -10 0 10 20 )(dBMSE θ BWθ 6.0º 3.0º 0.0º 0 5 10 15 20 -20 -15 -10 -5 0 5 10 15 Figura 5.75 a - MSE do MODE em função da abertura angular e do afastamento entre os sinais. Figura 5.75 b - Projeção do gráfico ao lado, MODE, no plano do afastamento.
  • 135.
    122 MUSIC Unidimensional BWθ θ )(dBMSE 0 10 20 0 10 20 -10 0 10 20 )(dBMSE θ BWθ 6.0º 3.0º 0.0º 0 510 15 20 -10 -5 0 5 10 15 Figura 5.76 a - MSE do MUSIC UNIDIMENSIONAL em função da abertura angular e do afastamento entre os sinais. Figura 5.76 b - Projeção do gráfico ao lado, MUSIC UNIDIMENSIONAL, no plano afastamento. ROOT MUSIC BWθ θ )(dBMSE 0 10 20 0 10 20 -40 -20 0 20 )(dBMSE θ BWθ 6.0º 3.0º 0.0º 0 5 10 15 20 -25 -20 -15 -10 -5 0 5 10 15 Figura 5.77 a - MSE do ROOT MUSIC em função da abertura angular e do afastamento entre os sinais. Figura 5.77 b - Projeção do gráfico ao lado, ROOT MUSIC, no plano do afastamento. )(dBMSE BWθ MUSIC WSF ML MUSIC UNI ROOT MUSIC MODE θ=12º 0 5 10 15 20 -25 -20 -15 -10 -5 0 5 10 15 Figura 5.78 - Comparação entre os mecanismos de estimação da direção considerando o afastamento entre os sinais de 12º. Da mesma forma que os outros modelos de espalhamento, aqui se observa o comportamento do erro médio quadrático monotonicamente crescente com a abertura angular do espalhamento BWθ a partir do afastamento angular de 10º para uma ULA com 8 antenas.
  • 136.
    123 6. Conclusão Com ogrande desenvolvimento da tecnologia de comunicação sem fio, o interesse nas antenas adaptativas aumentou muito nos últimos anos. Hoje há a certeza de que a próxima geração de sistemas de comunicações sem fio deverá empregar antena adaptativa com forma de implementar total ou parcialmente o conceito do SDMA (Spatial Division Multiple Access). Não existe, entretanto, uma visão suficientemente clara da melhor técnica de formação de feixe a ser adotada nas antenas adaptativas dos sistemas celulares. Duas grandes linhas ainda são objeto de investigação: adaptação e formação a partir de referência temporal ou a partir de referência espacial, ou seja, ângulo de chegada e número de sinais incidentes. Este trabalho aborda a segunda linha, e foi desenvolvido a partir de um conjunto de resultados básicos referentes a métodos de estimação de ângulo de chegada, em princípio, de aplicação geral. Diversos métodos foram revistos com bases em referências recentes na literatura, usando sua apresentação de forma organizada e uma comparação de desempenho. Uma atenção especial foi dada aos métodos de subspace fitting.
  • 137.
    124 Com relação àcomparação de desempenho, foram obtidos, através de simulação em computador, diversos resultados em ambiente perturbado apenas por ruído branco aditivo Gaussiano, e esses resultados confirmaram a boa eficiência dos métodos de subspace fitting. Observou-se que a identificação de dois sinais incidentes próximos usando uma ULA com 8 elementos e espaçamento entre os elementos da ordem de 0.5 comprimento de onda, em ambiente sem multipercursos, pode ser feita até com uma separação angular da ordem de 5º pelo melhor método (ROOT MUSIC) e tipicamente 10º para os outros métodos: MD-MUSIC, WSF e ML. O principal objetivo, porém, foi o de analisar e comparar o desempenho destes métodos em ambientes típicos de um sistema celular. Para isto foram revistos modelos de propagação propostos recentemente para esta finalidade. Três destes modelos, referidos como modelos de espalhamento local, foram selecionados e utilizados nas simulações. Nestes modelos, um grande número de sinais incidentes chega a matriz de antenas com fases diferentes resultando num sinal com desvanecimento plano de Rayleigh ou Rice. A conclusão geral sobre o desempenho dos métodos de estimação de ângulo de chegada em ambiente com espalhamento local é que o espalhamento degrada muito o desempenho destes métodos. Como medida aproximada, pode-se dizer que para o espalhamento Gaussiano o valor RMS do erro estimado é da ordem do desvio padrão dos ângulos de incidência dos diversos multipercursos, espalhamento angular θσ . Este comportamento é observado a partir de uma separação angular entre dois sinais que é praticamente a mesma separação mínima obtida nos casos sem multipercurso. Para outros modelos de espalhamento, observa-se um comportamento semelhante, ou seja, monotonicamente crescente com a abertura angular BWθ . Foi, ainda, investigado, no caso do espalhamento Gaussiano, o efeito da presença de uma componente de visada direta (desvanecimento Rice), concluindo-se que o efeito só se dá a partir de uma razão de 0dB entre a sua potência e a potência da componente espalhada. Este trabalho, embora envolvendo um extensivo número de simulações dos métodos de estimação baseados na covariância espacial, é apenas uma base para um estudo mais específico e profundo de esquemas de formação de feixe. A partir dos resultados obtidos é possível ter uma idéia do potencial dos métodos e de sua complexidade visando a proposição
  • 138.
    125 de um esquemaespecífico. Por outro lado, com ferramentas teóricas e práticas (software desenvolvido) é possível analisar diversos outros cenários (considerando outras estruturas) e o efeito de outros parâmetros (espaçamento entre as antenas).
  • 139.
    126 Referências AND01 ANDERSON, S- MILLNERT, M. VIBERG, M. “An Adaptive Array for Mobile Communication Systems”, IEEE Transaction on Vehicular Technology, vol. 40, no 1, feb-1991. ANT01 ANDERSON, T. “Asymptotic Theory for Principal Component Analysis”, Ann. Math. Statist., vol. 34, pp. 122-148, 1963. APP01 APPLEBAUM, S. “Adaptive Arrays”, technical Report SPL TR-66-001, Syracuse University, Res. Corp. Report, 1965. ASZ01 ASZTÉLY, D. - OTTERSTEN, B. E SWINDLEHURST, A “A Generalized Array Manifold Model for Local Scattering in Wireless Communications”, Proceedings ICASSP’97 - Jan 97.
  • 140.
    127 ASZ02 ASZTÉLY, D.“On Antenna Array in Mobile Communication Systems Fast Fading and GSM Base Station Receiver”, Department of Signals, Sensors & Systems of the Royal Institute of Technology - Stockholm, Mar-1996. ASZ03 ASZTÉLEY, D. & OTTERSTEN, B. “Modified Array Manifold for Signal Waveform Estimation in Wireless Communications”, Department of Signals, Sensors & Systems of the Royal Institute of Technology - Stockholm, Nov- 1996. BAR01 KAVEH, M. & BARABELL, A. “The Statistical Performance of The Music and the Minimum-Norm Algorithms in Resolving Plane Waves in Noise”, IEEE Transactions on Acoustics, Speech and Signal Processing, vol. ASSP-34, no. 2, apr-1986. BAR02 BARABELL, A . J. “Improving the Resolution Performance of Eigenstructure-Based Direction-Finding Algorithms”, Proc. ICASSP, Bostonm MA, 1983, 336-339. BEN01 BENGTSSON, M. & OTTERSTEN, B “Low Complexity Estimation of Angular Spread an Antenna Array”, Royal Institute of Technology - Department of Signals, Sensors & Systems Signal Processing - Stockholm, Mar 1997. BEN02 BENGTSSON, M. & OTTERSTEN, B “Signal Waveform Estimation from Array Data in Angular Spread Environment”, Royal Institute of Technology - Department of Signals, Sensors & Systems Signal Processing - Stockholm, Nov 1996. CAD01 CADZOW, J. “A High Resolution Direction of Arrival Algorithm for Narrow Band Coherent and Incoherent Sources”, IEEE Trans. Acoust., Speech Signal Processing, vol. 36, pp 965-979, Jul 1988. CAP01 CAPON, J. “High Resolution Frequency Wave Number Spectrum Analysis”, Proceedings IEEE, vol 57, 1969 CHU01 CHU, T. & GREENSTEIN, L. “A Semi-Empirical Representation of Antenna Diversity Gain at Cellular and PCS Base Stations”, IEEE Transaction on Communications, vol. 45, no 6, jun-1997.
  • 141.
    128 DAV01 DAVIES, W.“The Challenge of Advanced Base-Station Antennas for Future Cellular Radio Systems”, IEEE Int Workshop on Digital Mobile Radio, Melbourne, Australia, Mar-1987 DGX01 EUROPEAN COMMISSION DGXIII “Towards the Personal Communication Environment: Green Paper on mobile & personal communications”, 27th April 1994 DIN01 DINIZ, A & FREIRE, G. “Ondas Eletromagnéticas”, Livros Técnicos e Científicos Editora, 1973. DON01 JOHNSON, DON H. & DUDGEON, DAN E. “Array Signal Processing”, PRENTICE HALL PROCESSING SERIES. FOR01 FORSSÉN, U. - KARLSON, J. - JOHANNISSON, B. - ALMGREN, M. - LOTSE, F. & KRONESTEDT F. “Adaptive Antenna Arrays for GSM900/DCS1800”, Proc. IEEE Veh. Technol. Conf., p 605-609, 1994. GOD01 GODARA, L. “Applications of Antenna Arrays to Mobile Communications, Part I: Performance Improvement, Feasibility, and System Considerations”, Proceedings of IEEE, vol. 85, no. 7, jul-1997. GOD02 GODARA, L. “Applications of Antenna Arrays to Mobile Communications, Part II: Beam-Forming and Direction-of-Arrival “, Proceedings of IEEE, vol. 85, no. 8, agu-1997. GOL01 GOLUB, G. E LOAN C. “Matrix Computation”, Johns Hopkins University Press, 3ª edição, 1996 GUP01 GUPTA, R. “Asymptotic Theory for Principal Component Analysis in Complex Case”, J. Indian Statist. Assoc.., vol. 3, pp. 97-106, 1965. HOF01 HOFFMAN, K E KUNZE, R “Álgebra Linear”, Livros Técnicos e Científicos Editora, 1979. HOW01 HOWELLS, P. “Intermediate Frequency Sidelobe Canceller”, Technical Report, U. S. Patent 3202990, May 1959. HUA01 HUANG, Y. “Dynamic Programming Algorithm for the maximum Likelihood Localization of Multiple Sources”, IEEE Transactions on Antennas and Propagation, vol. 40, no 9, Set-1992.
  • 142.
    129 JER01 JERUSHIM, M.- BALABAN, P. & SHANMUGAM, K. “Simulation of Communication”, Plenum Press, New York, 1992. KEN01 KENNEDY, J. & SULLIVAN M. “Direction Finding and Smart Antennas Using Software Radio Archtectures”, IEEE Communication Magazine, May - 1995. KLO01 KLOUCHE-DJEDID, A E FUJITA, M. “Adaptive Array Sensor Processing Applications for Mobile Telephone Communications”, IEEE Transactions on Vehicular Technology, vol. 45, no. 3, Ago-1996. LIT01 LITVA, J. & KWOK-YEUNG LO, T. “Digital Beamforming in Wireless Communication”, Artech House Publishers, 1996. MAT01 MATHEUS, C. & ZOLTOWSKI “Closed-Form 2D Angle Estimation with Circular Array/Appertures via Phase Mode Excitation na ESPRIT”, Advances in Spectrum Analysis and Array Processing vol 3, Simon Haykin Editor, Prentice-Hall, 1995. NAG01 NAGUIB, AYMAN F. “Advanced Antennas CDMA Wireless Networks”, PhD dissertation thesis of Stanford University, aug- 1996. NAG02 NAGUIB, A. - PAULRAJ, A. & KAILATH, T. “Capacity Improvement with Base-Station Antenna Arrays in Cellular CDMA”, IEEE Trans Veh. Technology, vol 43, pp. 691-698, aug-1994. OTT01 OTTERSTENM, B. - ROY, R. & KAILATH, T. “Signal Waveform Estimation in Sensor Array Processing”, Proceedings 23rd Asilomar Conference, Nov. 1989. OTT02 OTTERSTEN, BJÖRN “Array Processing for Wireless Communication”, Royal Institute of Technology - Department of Signals, Sensors & Systems Signal Processing - Stockholm, Mar 1996. OTT03 OTTERSTEN, B. - VIBERG, M. - STOICA, P. & NEHORAI, A “Exact and Large sample ML techniques for Parameter Estimation and Detection in Array Processing”, Radar Array Processing (S. Haykin, ed.), ch. 4, Springer-Velag, 1991. PAP01 PAPOULIS A. “Signal Analysis”, McGraw-Hill, 1984. PET01 PETRUS, P. “Novel Adaptive Array Algorithms and Their Impact on Cellular System Capacity”, PhD Dissertation submitted to the Faculty of the Virginia Tech, 1997.
  • 143.
    130 PIS01 PISARENKO, V.“The Retrieval of Harmonics From a Covariance Function”, Geophys. J. R. Astr. Soc., vol 33, pag:347-366, 1973. QUI01 QUINAUD, E & BRANDÃO, J. “Fundamentos de Antenas Adaptativas e Aplicação em Comunicações Móveis”, CETUC PASR, ago- 1996. RAP01 RAPPAPORT, T. “Wireless Communications Principle & Practice”, IEEE Press - Prentice Hall, 1996. RIS01 RISSANEN, J. “Modeling by the Shortest Data Description”, Automatica, vol. 14 pp. 465-471, 1978. ROY01 ROY, R. - PAULRAJ, A. & KAILATH, T. “ESPRIT - A Subspace Rotation Approach of Estimation of Parameters of Cisoids in Noise”, IEEE Transaction Accoust., Speech, Signal Processing, vol 34, no 4, pp. 1340-1342, oct-1986. SCH00 SCHMIDT, R. “Signal Subspace Approach to Multiple Emitter Location and Spectral Estimation”, PhD dissertation thesis Standford University, 1981. SCH01 SCHMIDT, RALPH O “Multiple Emitter Location and Signal Parameter Estimation”, IEEE Transaction on Antennas and Propagation, vol . AP-34, Nº 3, Mar-1986. SCH02 SCHMIDT, RALPH O “Multiple Source DF Signal Processing: An Experimental System”, IEEE Transaction on Antennas and Propagation, vol . AP-34, Nº 3, Mar- 1986. SHA01 SHANNON, C. “The Mathematical Theory of Communication”, Bell System Technical Journal, vol. 46 pp. 497-511, 1948. SKL01 SKLAR, B. “Rayleigh Fading Channels in Mobile Digital Communication Part I and Part II”, IEEE Communications, vol 35, no. 9, set-1997. STO01 STOICA, P. & SHARMAN, K. “Maximum Likelihood Methods for Direction of Arrival Estimation”, IEEE Trans. Acoust. Speech Signal Processing, vol 38, pp.1132-1143, Jul 1990. SWA01 SWALES, S. - BEACH, M. - EDWARDS, J. E MCGEEHAN, J. “The Performance Enhancement to Multibeam Adaptive Base-Station Antennas for Cellular Land Mobile Radio Systems”, IEEE Transactions on Vehicular Technology, vol. 39, no. 1, fev-1990.
  • 144.
    131 TAL01 TALWAR, S.- VIBERG, M. & PAULRAJ, A. “Blind Separation of Synchronous Co-Channel Digital Signals Using na Antenna Array - part 1: Algorithms”, IEEE Proc, 27th Asilomar Conf. Signals, Syst. Comput., vol I, pp 349-353. TAL02 TALWAR & PAULRAJ, A. “Blind Separation of Synchronous Co-Channel Digital Signals Using na Antenna Array - part 2: Performance Analysis”, IEEE Transactions on Signal Processing, vol. 45, no. 3, mar-1997. THA01 THAYER, J. “Operadores Auto-adjuntos e Equações Diferenciais Parciais”, Projeto Euclides IMPA - CNPq, 1987. TRU01 TRUMP, T. & OTTERSTEN, B. “Estimation of Normal Direction of Arrival and Angular Spread using na Array of Sensors”, IEEE Signal Processing Magazine, no 50, pag 57-69, 1996. TSO01 TSOULOS, G. - BEACH, M. - MCGEEHAN, J. “Wireless Personal Communications for the 21st Century: European Technological Advances in Adaptive Antennas”, IEEE Communication Magazine, vol. 35 no 9, 1997. VEE01 DER VEEN “Subspace Based Signal Analysis using Singular Value Decomposition”, Proceeding IEEE, vol. 81, pp 1277-1308, set-1993. VIB01 VIBERG, M. - OTTERSTEN, B E KAILATH, T. “Detection and Estimation in Sensor Arrays Using Weighted Subspace Fitting”, IEEE Transaction on Signal Processing, vol. 39, no 5, Mai-1991. VIB02 VIBERG, M. E OTTERSTEN, B “Sensor Array Processing Based on Subspace Fitting”, IEEE Transaction on Signal Processing, vol. 39, no 5, Mai-1991. WAX01 WAX, MATI “Detection and Localization of Multiple Sources Via the Stochastic Signals Model”, IEEE Transaction on Signal Processing, vol. 39, Nº 11, Nov-1991”. WAX02 WAX, MATI E KAILATH, T. “Detection of Signals by Information Theoretic Criteria”, IEEE Transaction on Signal Processing, vol. 33, Abr-1985. WAX03 WAX, M. “Model-Based Processing in Sensor Array”, Advances in Spectrum Analysis and Array Processing vol 3, Simon Haykin Editor, Prentice-Hall, 1995.
  • 145.
    132 WID02 WIDROW, B- DUVALL, K & GOOCH, R “Signal Cancellation Phenomena in Adaptive Antenna”, IEEE Transaction on AP, vol 30, pp. 469- 78, 1982 XU01 XU, GUANGHAN E KAILATH, THOMAS “Detection of Number of Sources via Exploitation of Centro-Symmetry Property”, IEEE Transaction on Signal Processing, vol 42, no 1, Jan-1994. ZET00 ZETTERBERG, P. “Mobile Cellular Communications with Base Stations Antenna Arrays: Spectrum Efficiency, Algorithms and Propagation Models”, Phd Dissertation Thesis, Signal Processing, Department of Signals, Sensors and Systems, Royal Institute of Technology - Stockholm, Sweden, 1997. ZET01 ZETTERBERG, P. - OTTERSTEN, B. “The Spectrum Efficiency of a Base Station Antenna Array System for Spatially Selective Transmission”, IEEE Transaction on Vehicular Technology, vol. 44, no. 3, ago-1995. ZET02 ZETTERBERG, P. - MOGENSEN, P. - DAM, H. - ESPENSEN, P. - LARSEN, S. & OLESEN, K. “Algorithms and Antenna Array Recommendations”, Technical Report A020/AUC/A12/DR/P/1/xx- D2.1.2, TSUAMI (II), Set-1996. ZHA01 ZHANG, Q. “A Statistical Resolution Theory of the Beamformer- Based Spatial Spectrum for Determining the Directions of Signals in White Noise”, IEEE Transactions on Signal Processing, vol.43, no. 8, aug-1995. ZHO01 ZHOU, C & JAGGARD, D. “A Resolution Measure for the MUSIC Algorithm and Its Application to Plane Wave Arrivals Contaminated by Coherent Interference”, IEEE Transaction on Signal Processing, vol. 39, no. 2, feb- 1991. ZET03 ZETTERBERG, P. & OTTERSTEN, B. “The Spectrum Efficiency of a Base Station Antenna Array System for Spatially Selective Transmission”, IEEE Transaction on Vehicular Technology, vol 44, no. 3, aug-1995.
  • 146.
    133 Anexo I Este anexocontém as notações utilizadas e algumas demonstrações de resultados apresentados durante a exposição dos capítulos deste estudo. Notações Representação Geral x Letra minúscula com travessão em baixo da letra representa vetor coluna de uma dada grandeza. A Letra maiúscula com travessão em baixo da letra representa uma matriz com mais de uma coluna. * )(⋅ Conjugado.
  • 147.
    134 [ ] MNmnaA× = ou [ ]mnmn Aa = Representação de uma matriz genérica associada aos seus elementos e vice-versa. T )(⋅ Operador T representa a transposta de uma matriz, [ ] [ ]knnk T AA = . H )(⋅ Operador H representa a transposta conjugada de uma matriz, [ ] [ ] * knnk H AA = . aˆ ,aˆ e Aˆ Estimador do parâmetro a , do vetor a e da matriz A respectivamente. † A Matriz pseudo inversa de A . AP Projeção ortogonal no espaço das colunas de A . Operador de Schur-Hadamard, [ ] [ ] [ ]nknknk BABA = . {}⋅traço Retorna o traço de uma matriz. ⋅ , F ⋅ Norma de Frobenius dada por: [ ]∑∑= = = N n M m nmF AA 1 1 2 . ⋅ Módulo de um número complexo. {}⋅arg Argumento, ou fase, de um número complexo. ][⋅E Valor esperado. Capítulo 2 ),( rtf Função de Onda, t é o tempo e r é o vetor posição. ( )0krtj e ⋅−ω Onda plana, na direção 0k , e monocromática com freqüência angular ω em rad/s. )(ts Representação complexa do sinal modulado. )(ty Representação complexa sinal não modulado. cω Freqüência angular da portadora.
  • 148.
    135         ⋅ − c kr ts ω Função deOnda plana correspondente ao sinal modulado com direção k . )(tz Representação temporal da resposta de uma antena ou de um conjunto de antenas. )(rg , )(kG Aperture Smoothing Function, representação em função do espaço e da freqüência espacial respectivamente. N Geralmente o número de antenas. M Geralmente o número de sinais incidentes. )(tx Vetor das amostras espaciais de um conjunto de antenas. )(ka , )(θa Steering Vector, associado à direção de chegada k , ou ao ângulo de chegada θ . )(tw Vetor Gaussiano associado a amostra espacial do conjunto de antenas. A É a matriz contendo as respostas espaciais do sinal incidente, ou seja, suas colunas são os steering vectors associados às direções de chegada. )(ts Vetor com os sinais incidentes. A Array Manifold. xR Matriz Covariância Espacial do vetor )(tx sR Matriz Covariância Espacial do vetor )(ts . 2 wσ Variância das componentes de )(tw )|( βα Produto interno entre α e β . Nλλλ ,,, 21 Os N autovalores de xR . Neee ,,, 21 Os N autovetores de xR . D Posto de sR . WE Espaço gerado pelo ruído, { }WEW UE span= .
  • 149.
    136 WEB Base ordenadado espaço gerado pelo ruído. wEU Matriz cujas as colunas são os autovetores de xR associados ao ruído. ⊥ WE Espaço gerado pelo sinal, { }⊥= ⊥ WEW UE span . ⊥ WE B Base ordenada do espaço gerado pelo sinal. ⊥Λ wE Matriz diagonal contendo na diagonal principal os autovalores da matriz covariância xR associados ao sinal em ordem decrescente. ⊥ wE U Matriz cujas as colunas são os autovetores de xR associados ao sinal, correspondentes aos autovalores em ordem decrescente. ⊕ Soma direta de espaços vetoriais, se 1E∈α , 2E∈β , e 0)|( =βα , então E é soma direta com 2121 EEEEE ∪=⊕= . 1 2)sen(2 )( NX N nd j ea                   = − θ λ π θ Steering Vector de uma ULA associado à direção θ . n∆ Retardo de ordem n empregado num Phased Array. ( )ncnn jp ∆−= ωα exp Peso complexo de ordem n empregado numa matriz de antenas. [ ]T Npppp 21= Vetor peso cujas as componentes são os pesos complexos. Capítulo 3 )(∆γ Função resolução para o afastamento ∆ . { }),(min yxf , { }),(max yxf Retorna o valor mínimo, ou máximo respectivamente, da função ),( yxf .
  • 150.
    137 { }),(min 1 yxf x − , { }),(max 1 yxf x − Retornax que minimiza, ou maximiza respectivamente, a função ),( yxf . Na ausência de argumentos, então é tomado todo o par. X Matriz dos sinais percebidos pelas antenas do conjunto de antenas, cuja as colunas correspondem a amostragem espacial da combinação das funções de onda incidentes no conjunto de antenas, e as linhas correspondem a amostragem temporal dessas mesmas ondas. Capítulo 4 )(dLp Desvanecimento em grande escala em função da distância d. ),( tdh Resposta impulsiva do canal em função da distância relativa d e do tempo t. lH Variável aleatória que representa a atenuação da l ésimo multipercurso. lτ Variável aleatória que representa o retardo relativo ao l ésimo multipercurso. lφ Variável aleaória com distribuição uniforme em [0,2π] que traduz no retardo de fase do l ésimo multipercurso. ∑= − ≡ L l j l l eHh 1 φ Resposta do canal percebido por uma única antena. lθ Variável aleatória que representa o afastamento angular em relação ao ângulo nominal de inciência θ relativo ao l ésimo multipercurso. ∑= − +≡ L l l j l aeHv l 1 )()( θθθ φ Steering Vector associado a um canal com espalhamento local e um único cluster. Também é chamado de resposta do canal. vR Matriz covariância de )(θv . [ ]nkvRkn =− )(ρ Elemento nk da matriz covaiância. θσ Espalhamento angular do Modelo Gaussiano e traduz no desvio padrão do ângulo de incidência θ.
  • 151.
    138 BWθ Ângulo deabertura dos modelos Circular e Uniforme. TL Número de multipercursos dos modelos Circular e Uniforme. Capítulo 5 S, [ ] )( jmmj tsS = Matriz contendo os sinais (cada linha), e as amostras temporais dos sinais (cada coluna). W, [ ] )( jiij twW = Cada linha representa o ruído aditivo correspondente ao elemento do conjunto de antenas e cada coluna as amostras temporais. Dedução das Expressões Indicadas no Texto Expressões (2.1) e (2.2) A função onda conforme foi descrita, é decorrente da solução das equações de Maxwell aplicadas a contornos específicos, que pode ser o módulo dos campo elétrico e ou magnético, ou simplesmente o valor da potência no tempo e espaço. Utilizando estas equações se obtém a equação de onda para os campos elétrico e magnéticos num meio isotrópico, onde as permissividade elétrica e a permeabilidade magnética são escalares: 02 2 2 =      ∂ ∂ − ∂ ∂ −∇ e tt σµµε , 02 2 2 =      ∂ ∂ − ∂ ∂ −∇ h tt σµµε onde ε , µ e σ são a permissividade elétrica, a permeabilidade magnética e a condutividade respectivamente do meio para os campos elétrico e e magnético h . Admitindo soluções do tipo [ ]γω ⋅−= rtjEe exp0 e substituindo na expressão acima, tem-se:
  • 152.
    139 0122 =      ++ ωε σ µεωγ j ,       +−= ωε σ µεωγ j 12 , onde γγ =. Considerando o meio com pequena condutividade 0≈σ , a expressão simplifica para: µεωγ j= . O valor ( )1− µε é valor da velocidade da luz c no meio considerado, e γ é chamado de constante de propagação. Normalmente a quantidade µεω é designada por k , ficando a expressão para o campo elétrico da seguinte forma: [ ])(exp0 krtjEe ⋅−= ω . É importante ressaltar que a função [ ]γω ⋅−= rtjEe exp0 é autofunção do operador 2 2 22 t • ∂ ∂ −∇= µε , também chamado de D’ Alembertiano, e que no caso mais geral a solução é combinação linear dessas funções observando o problema de contorno e de valor inicial. Para o módulo do campo elétrico ou magnético, ou ainda a potência da onda, tem-se a seguinte expressão: [ ])(exp),( krtjFrtf ⋅−= ω , se F for igual a um o que se tem é a função de onda plana e monocromática. Outro fato importante a ressaltar é que o vetor 0E é ortogonal a k no caso de propagação em espaço livre. De fato, aplicado a Lei de Gauss 0div =e para o espaço livre, tem-se: [ ]( ) ( ) ( ) ( ) [ ]krtjkEeeEkrtjEe krtj ⋅−⋅−=⋅=⋅−= ⋅− ωω ω expgradexpdivdiv 000 ( ) [ ] 0exp0 =⋅−⋅− krtjkE ω 00 =⋅kE ,
  • 153.
    140 ou seja, ocampo elétrico é ortogonal k . Aplicando o mesmo raciocínio para o campo magnético, se concluí que campo magnético também é ortogonal a k . Como k indica a direção de propagação da onda, a onda plana propagando no espaço livre é transversal no que se refere os campos elétrico e magnético. Para o caso geral de uma onda plana qualquer do tipo:         ⋅ −= c kr tsrtf ω ),( , (2.5) tem-se: [ ] 0"),( 2 2 2 =        −        ⋅ −= cc kkr tsrtf• ω µε ω . Para expressão acima ser satisfeita para quaisquer )(ts , tem-se novamente: µεωck = . Assim quaisquer função de onda plana que segue a expressão (2.5) é solução da equação diferencial de onda no espaço livre, devendo ser restrita apenas em relação as condições de contorno e de valor incial. Propriedades dos Autovalores e Autovetores de uma Matriz Hermitiana A seguir serão apresentadas, de forma resumida e informal, algumas definições de estruturas e resultados da Análise Funcional, que podem ser encontrados em textos como [HOF01], [THA01] e [GOL01]. Toda matriz complexa [ ] MNnmaA × = com posto igual a D pode ser decomposta em valores singulares [GOL01]: H VUA Λ=
  • 154.
    141 onde [ ]DuuU1= , com os vetores Duuu ,,, 21 ortogonais entre si. De maneira idêntica [ ]DvvV 1= , com suas colunas constituírem um conjunto de vetores ortonormais, ou melhor: DD H IUU ×= , NN H IUU ×= , e DD H IVV ×= , MM H IVV ×= , onde KKI × é matriz identidade de ordem K. A matriz ( )Dλλλ ,,,diag 21=Λ , onde 021 ≥≥≥≥ Dλλλ são reais chamados de valores singulares. Quando a matriz A for quadrada, mais especificamente, se A for Hermitiana, as matrizes [ ]NuuU 1= e [ ]NvvV 1= são idênticas, e suas colunas são o conjunto completo dos seus autovetores associados aos autovalores Nλλλ ,,, 21 . Assim, de acordo com a decomposição em valores singulares, pode-se relacionar as seguintes propriedades relativas aos autovalores das matrizes Hemitianas: ♦ Os autovalores de uma matriz Hermitiana são reais e maiores que zero. ♦ Os autovetores de matriz Hermitiana são ortogonais e distintos, mesmo que seus autovalores possuam multiplicidade. Uma outra forma de demonstrar as propriedades acima destacadas, para autovalores distintos, é a seguinte: 1) “Os autovalores de uma matriz Hermitiana são reais e maiores que zero” Lembrando que autovetor v e o autovalor λ associado de um operador (matriz) são definidos como: vvT λ= . Lema. 1 Se T é Hermitiano então seus autovalores são reais. De fato: )|()|()|( ααλαλααα ==T , mas )|()|()|( αααααα TTT H == , e
  • 155.
    142 )|()|()|( ααλαααα ==TT , assim: λλ = . Lema 2: Os autovalores são positivos, pois seja },...,,{ 21 Neee=B a base do espaço V com o produto interno )|( ⋅⋅ . Considere agora a matriz M definida por: NXNijmM ][= , tal que )|( ijij eem ≡ , É fácil ver que M é Hermitiana, pois: jijiijij meeeem ==≡ )|()|( Se ∑= = N i ii exx 1 e ∑= = N i ii eyy 1 , assim : ∑∑∑∑ = === =        = N j ij N i ij N i ii N j jj eeyxeyexyx 1 111 )|(|)|( XMYyx H =)|( Para todo produto interno tem-se: 0)|( ≥= XMXxx H Se X é autovetor de M correspondente ao autovalor λ, então: 00 ≥⇒≥= λλ XXXMX HH . 2) “Os autovetores de matriz Hermitiana são ortogonais e distintos, mesmo que seus autovalores possuam multiplicidade.” Lema 1: Para autovalores distintos é de imediato. Considere ke e ne correspondentes aos autovalores kλ e nλ distintos, assim:
  • 156.
    143 )|()|()|()|()|()|( nknnnknknknkknkk eeeeeTeeeTeeeeλλλλ ===== , 0)|)(( =− nknk eeλλ , como nk λλ ≠ , tem-se 0)|( =nk ee provando o que são ortogonais. Resolução Espectral Chama-se de resolução espectral de um operador unitário A , ou matriz Hermitiana, a decomposição [HOF01] (Anexo I): ∑= = N i ei i PA 1 λ onde H iie eePi = é a projeção ortogonal associada ao autovetor ie de A , e { }N ii 1= λ é o conjunto de autovalores de A , também são chamados de espectro deste operador. O nome resolução espectral se deve a uma classe de operadores unitários bastante estudada sobre o espaço das funções: Os operadores invariantes no tempo, que possuem autovalores do tipo )(ωH correspondentes à autofunções tj e ω . Expressão (2.23) A expressão (2.23) é uma decorrência simples da decomposição em valores singulares de uma matriz Hermitiana. Como: H UUA Λ= [ ] [ ] [ ] [ ] [ ] [ ] [ ] [ ]∑∑∑ ∑ === = ==Λ= N l m H lnll N l lm H nll N l N k km H lknlnm eeUUUUA 111 1 λλ , logo: ∑= = N l H lll eeA 1 λ , como H lle eeP l = , tem-se:
  • 157.
    144 ∑= = N i ei i PA 1 λ (2.23) Expressão (2.22) Considerea matriz covariância xR do sinal x percebido pelo conjunto de N antenas: IAARR w H sx 2 σ+= . (2.21)’ Lema 1. Seja MD ≤ o posto de sR , que indica o número de sinais incoerentes presentes no sistema, então o posto de H s AAR é D. Considere [ ]Ms pppR 21 = , assim: ∑= = D k kkj vcp 1 , onde Dvvv ,...,, 21 são L.I.s. Seja: MXN kj M k ik H s apARB       == ∑=1 , Assim a j’ésima coluna de B é dada por: ∑ ∑∑ = == == M k l D l ljkjk M k kj vkcaapb 1 11 )( ∑∑ ∑ == = == D l ll D l M k ljklj vckcavb 1 ' 1 1 )( , assim o posto de B é D. Da mesma forma, H s AAR é dado por: [ ] ( )ji M k kjikij H s babaAAR | 1 == ∑=
  • 158.
    145 Assim seja omj o j’ésimo vetor coluna de H s AAR , dado por: ( )∑= = M k ijij ebam 1 | , onde { }N kki ee 1= ∈ base canônica do espaço gerado pelas colunas de M. Assim: ( )∑∑∑ ∑ === = =      = M k ili D l l M k i D l llij evacevcam 11 ' 1 1 ' || Chamando: ( )∑= ≡ M i ilil evau 1 | , tem-se: l D l lj ucm ∑= = 1 ' Verificando que { }D jju 1= são L.I.s., seja: ∑= = D l ll uyy 1 , para y=0: ( ) ( ) 0|| 1 11 1 === ∑ ∑∑ ∑ = == = M k D l lklk D l M k klkl vayeevayy ( ) N}{1,...,kpara,0| 1 ∈=∑= D l lkl vay Como N>D, tem-se: 0=ly , logo { }D jju 1= são L.I.s. Assim o posto de H s AAR é D.
  • 159.
    146 Lema 2. Chama-sepolinômio característico de uma matriz M ao polinômio: )det()( IMp λλ −≡ . Para matriz H s AAR tem-se: )det()( IAPAp H AAR H s λλ −≡ , e pode ser escrito como: ( )∏ − = −= DN k k D AAR ap H s 1 ' )( λλλλ , onde 0 é autovalor de H s AAR com multiplicidade D, e { } DN kk − =1 ' λ são os demais autovalores. Para matriz covariância xR , tem-se: ))(det()det()( 2 IAARIRp w H sxRx σλλλ −−=−≡ )()( 2 wAARR H sx pp σλλ −= , que pode ser escrito: ( ) ( )[ ]∏ − = +−−= DN k wk D wRx ap 1 2'2 )( σλλσλλ , onde a é o coeficiente dominante do polinômio característico de xR . Assim )(λRxp posui D autovalores iguais a 2 nσ , e os demais autovalores maiores que 2 nσ , lembrando que 0' ≥kλ , ou melhor: Se { }N kk 1= λ são autovalores de xR então: 2 121 wNDD σλλλλλ ===>≥≥≥ + . Expressão (2.23)
  • 160.
    147 Se },,{ 1NDW eespanE +=∈α tem-se: ∑ − = += DN k kDk e 1 αα , assim: ( ) 0 1 2 1 ∑∑ − = + − = + =−== DN k kDwxk DN k kD H sk H s eIReAARAAR σααα . Como não necessariamente 0=α , tem-se: ( ) 00 =⇒= αα HH s AAAR . Expressão (2.24) Sejam WE∈α e ⊥ ∈ WEβ assim: ∑ − = += DN k kDk e 1 αα , e ∑= = D k kk e 1 ββ . O produto interno entre α e β é dado por: 0|)|( 1 1 * 11 ==      = ∑∑∑∑ − = + == − = + DN k kD D m H mmk D k kk DN k kDk eeee βαβαβα , logo },,{ 1 NDW eespanE += e },,{ 1 DW eespanE = ⊥ são ortogonais. Como {}0=∩ ⊥ WW EE , e { }xWW REE span=∪ ⊥ logo: ⊥ ⊕= WWx EERspan }{ , (2.24) onde ⊕ é a soma direta de WE com ⊥ WE . Expressão (2.26)
  • 161.
    148 Analisando melhor aexpressão acima, tem-se que: [ ] [ ] [ ] [ ] [ ] [ ]∑∑∑∑ ==== ===      = N n l H nknn N n l H nknn N n kl H nnn kl N n H nnnklx eeeeeeeeR 1 11 1 11 11 λλλλ . Chamando [ ] NNnkuU × = tal que [ ]1knkn eu = e, [ ]l H nln eu 1= ∗ substituindo tem-se: [ ] [ ]∑∑∑∑ == == Λ=== N n lnkn N n ln N i iki N n lnknnklx uUuuuuR 1 * 1 * 11 * δλλ , mas [ ]nl H ln Uu = * : [ ] [ ] [ ] [ ] [ ]kl H N n nl H kn N n lnknklx UUUUuUR Λ=Λ=Λ= ∑∑ == 11 * , assim: H x UUR Λ= . Este resultado é válido para qualquer matriz Hermitiana, em particular: H EEE H s www UUAAR ⊥⊥⊥ Λ= , onde [ ]DE eeeU w 21=⊥ , onde Deee ,, 21 são os autovetores de sR . É fácil provar que são também os D autovetores de xR , pois: ( ) kwkkwxk H s eeIReAAR 22 )( σλσ −=−= , para Dk ,...,1= . Assim: ( ) IUIUIUUR w H EwEEw H EEEx wwwwww 222 σσσ +−Λ=+Λ= ⊥⊥⊥⊥⊥⊥ , (2.26) Expressão (2.45) Aplicando a transformada de Fourier à )(rg : ∑∫∫∫∑∫∫∫ = ⋅−∆−⋅− = ∆−⋅− =−== N n rkjj n rkj N n n j n rkj nncnc eedVerredVergkG 11 )()()( ωω αδα , )()( kapkG H = . (2.45)
  • 162.
    149 Ganho das AntenasAdaptativas O uso de antenas adaptativas se justifica sobre tudo na melhoria da relação sinal ruído. Esta vantagem no seu emprego está no ganho ao se utilizar este esquema em relação ao não se utilizar esquema algum, ou melhor, com um único elemento. O ganho traduz no aumento da relação sinal-ruído com o esquema de antenas adaptativas e a relação original, ou seja: SNR SNR G array array = Para um sinal transportado por uma onda plana e monocromática, cuja percepção no conjunto de antenas é dada por [ ] )()()()( 1 tsatseetu T rkjrkj N θ== ⋅−⋅− , a relação sinal ruído do conjunto é dada por: [ ] [ ] pRp pRp twpE tupE SNR w H u H H H array == 2 2 )( )( , onde uR e wR são as matrizes covariância de )(tu e )(tw respectivamente. E a relação sinal ruído sem considerar as antenas é dada por: [ ] [ ] [ ] [ ]w u Rtraço Rtraço twE tuE SNR == 2 2 )( )( , e o ganho fica: [ ] [ ]w w H u u H array Rtraço pRp Rtraço pRp G = . Escolhendo os retardos de tal forma que c kri i ⋅ −≡∆ , obtém-se:
  • 163.
    150 121 1 2 1 1 1 2 2 1 2 1 22 2 2 1 2 >+=       =       = ∑ ∑∑ ∑ ∑ ∑ ∑ = = ≠ = = = = = N n n N n N nk k kn N n n N n n w N n nw s N n ns array N N G α αα α α σ ασ σ ασ . Com autilização de antenas adaptativas, para um único sinal, fica claro que o resultado é o aumento da relação sinal-ruído quando comparado a um único elemento. No caso do phased array, este ganho do conjunto de antenas fica: NG N n N n array =       = ∑ ∑ = = 1 2 2 1 1 1 . Expressão (3.3) Da expressão (3.2): { } ( ) ( ){ })()()()()()(min))((axm]ˆ, ˆ [ 11 ˆ, ˆ)()(| 1 ˆ, ˆ tskatxKtskatxtxpsk w H sk tskax sk ML −−== −−− , (3.2) derivando a expressão (3.2) em relação a )(ts e igualando a zero tem-se: ( ) 0)()()()( 1 =− − tskatxKka w H . (II) Derivando, agora, em relação a ),,( zyx kkkk = e igualando a zero, tem-se: ( ) ( ) 0)( )()()( )()()( )()()( )()()( )( 1 1 =         ∂ ∂ ∂ ∂ ∂ ∂ − +−                 ∂ ∂ ∂ ∂ ∂ ∂ − − ts k ka k ka k ka Ktskatx tskatxK k ka k ka k ka ts zyx w H w H zyx Rearrumando, tem-se:
  • 164.
    151 0 )()()( )()( )()()( )()(Re 121 =                 ∂ ∂ ∂ ∂ ∂ ∂ +         ∂ ∂ ∂ ∂ ∂ ∂ −− zyx w zyx w H k ka k ka k ka Kkats k ka k ka k ka Ktxts , fazendo)( )()()( ka k ka k ka k ka zyx =         ∂ ∂ ∂ ∂ ∂ ∂ , tem-se: [ ][ ] 0)()()()()(Re 121 =− −− kaKkatskaKxts w H w H . (II) De (I) e (II), obtém-se a expressão (3.3): [ ] [ ] [ ][ ] 0)()()()()(Re: ˆ 0)()()(:ˆ 121 1 =− =− −− − kaKkatskaKxtsk tskaxKkas w H w H w H . (3.3) Expressão (3.4) Supondo IK ww 2 σ= , substituindo na expressão 3.4 tem-se: [ ] [ ] 0)()()( 2 =− − tskaxIka w H σ , de imediato: [ ] [ ] [ ] )()()( )()( )( )(ˆ † txkatx kaka ka ts H H == , (3.4) Expressão (3.8) Da expressão 3.7: { }pRpp x H p 1 minˆ − = , condicionado a 1)( =θap H , (3.7) usando multiplicador de Lagrange λ , e derivando em relação a p : ( ){ } 01)( =−+ ∂ ∂ θλ appRp p H x H , tem-se: 0)( =+ θλapRx ⇒ )( 1 θλ aRp x − −= .
  • 165.
    152 Mas 1)( =θap H ,assim: [ ] 1)()()( 1 =−= − θθλθ aRaap x HH , logo: )()( 1 1 θθ λ aRa x H − − = . Substituindo na expressão para obtenção p , de imediato: )()( )( ˆ 1 1 θθ θ aRa aR p x H x − − = , (3.8) Expressão (3.9) A variância em função do parâmetro p é dada por: pRpp x H z =)( 2 σ , substituindo na expressão da variância no ponto de otimização da expressão (3.5), tem-se: [ ]21 1 1 1 1 1 2 )()( )()( )()( )( )()( )( )ˆ( θθ θθ θθ θ θθ θ σ aRa aRa aRa aR R aRa aR p x H x H x H x x H x H x z − − − − − − =      = , logo: )()( 1 1 2 θθ σ aRa x Hz − = . (3.9) Expressão (3.16) { }pRpp x H p 1 minˆ − = , condicionado a 1=pBp H , (3.15) usando multiplicador de Lagrange λ , e derivando em relação a p :
  • 166.
    153 ( ){ }01 =−+ ∂ ∂ pBppRp p H x H λ , tem-se: pBpRx λ= , (3.16) Expressão (3.20) Considere dois sinais descorrelacionados incidentes numa ULA com N elementos, com os ângulos de chegada 1θ e 2θ , e por simplificação de mesma energia 2 sσ e valor médio nulo. Considere, também, apenas o ruído Gaussiano de variância 2 wσ , onde as amostras nos elementos do conjunto seja descorrelacionados e com os sinais incidentes . Em primeiro lugar, suponha que se esteja utilizando a variância da resposta do conjunto de antenas como método de estimação da direção de chegada (os métodos baseados em beamforming derivam de uma expressão similar). Assim tem-se: [ ] ( )     ++=    == 2 2211 22 )()()()()()()()()()( twtsatsaaEtxaEtzEf HH θθθθθ . Por simplificação, seja θ λ πβ sen2 d ≡ , assim a expressão acima fica: ( ) .)()()()()()()()()()()( 22 2 2 1 22 2211 w HH s H NaaaatwtsatsaaEf σββββσββββ +     +=     ++= Para uma ULA, tem-se: ( ) ( ) 2 sen 2 sen )()( 12 12 )( 2 1 1 ))(1( 21 12 12 ββ ββ ββ ββ ββ − − == −      − = −− ∑ N eeaa N jN n njH , substituindo vem:
  • 167.
    154 ( ) ( ) () ( ) 2 2 2 2 2 1 1 2 2 sen 2 sen 2 sen 2 sen )( ws N NN f σ ββ ββ ββ ββ σβ +                         − − +             − − = . Aplicando na definição da resolução adotada )()(var mpicobeam ff βγ −=∆ , tem-se:               +                         ∆ ∆ −+                         ∆ ∆ +=∆ 2 2 22 2 22 var 4 sen 4 sen 2 2 sen 2 sen )( wswsbeam N N N N N σσσσγ , onde             +       − =−=∆ 2 cos 2 sen4 2112 12 θθθθ λ πββ d . Normalizando vem: 22 var 4 sen 4 sen 2 2 sen 2 sen 1)(             ∆ ∆ −             ∆ ∆ +=∆ N N N N beamγ . (3.20) Expressão (3.23) Considere a expressão (2.17), sendo que agora o vetor )(tx é amostrado nos tempos T jjt 1}{ = , obtendo a expressão: WSAX += )(θ , onde [ ])()()( 21 TtxtxtxX = , [ ])()()( 1 DaaA θθθ = , [ ])()()( 21 TtststsS = e [ ])()()( 21 TtwtwtwW = . Supondo que o vetor )(ts seja Gaussiano de média nula, )(tx é Gaussiano de média nula e matriz covariância xR , ou seja: ),0(~)( xRNtx . Considere agora a função densidade de probabilidade de X ),}{,}{|( 11 w N nn N nnX eXp σλ == : ),}{,}{|)(,),(),((),}{,}{|( 1121)(,),(),(11 21 w N nn N nnTtxtxtxw N nn N nnX etxtxtxpeXp T σλσλ ==== = .
  • 168.
    155 Como os vetoresamostras { }T kktx 1 )( = são identicamente distribuidas e supondo que sejam estatisticamente independentes tem-se: ( ) ( )[ ] ( )∏= − ==             −= T k kx H k x N w N nn N nnX txRtx R eXp 1 1 11 )()( 2 1 exp det2 1 ),}{,}{|( π σλ , ( ) ( )[ ] ( )       −= ∑= − == T k kx H k T x NT w N nn N nnX txRtx R eXp 1 1 11 )()( 2 1 exp det2 1 ),}{,}{|( π σλ . Mas: ( ) ( ) [ ] [ ] [ ] [ ]∑∑∑∑∑∑∑ = = = − = = = − = − == T k N i N j ijxki H jk T k N i N j kjijxki T k kx H k RXXtxRtxtxRtx 1 1 1 1 1 1 1 1* 1 1 )()()()( ( ) [ ] [ ] [ ] [ ] [ ] { }xx N i N j jixijx N i N j T k ki H jkijx T k kx H k RRTRRTXXRtxRtx ˆtraçoˆ)()( 1 1 1 1 1 1 1 1 1 1 − = = − = = = − = − ==      = ∑∑∑∑ ∑∑ , substituindo vem: ( ) ( )[ ] { }    −= − == xx T x NT w N nn N nnX RRT R eXp ˆtraço 2 1 exp det2 1 ),}{,}{|( 1 11 π σλ Aplicando o logaritmo Neperiano na expressão acima, e excluindo os termos independentes, tem-se: ( )[ ] ]traço[detln),}{,}{|( 1 11 xxxw N nn N nn RRTRTeXL − == −−=σλ . (3.23) Expressões (3.31) De maneira semelhante a expressão (3.23), pode-se obter ]|[ ξXL , dado por: ( )[ ] ]traço[||loglog]|[ 1 | xxxx RRTRTXpXL − +=−= ξξ . Mas da expressão (2.26) tem-se: ( )[ ]1221 − ×× − +−Λ= ⊥⊥⊥ NNw H EddwEEx IUIUR www σσ usando o lema da inversão de matrizes 111111 )()( −−−−−− +−=+ DACBDABAABCDA :
  • 169.
    156 H EE w x ww UUIR ⊥⊥ Γ−= − 2 11 σ , onde 1 2 1 − ⊥Λ−=Γ wE w I σ . Mas: H x ULUR ˆˆˆ = , onde [ ]NeeeU ˆˆˆ 21= , { }NL λλλ ˆ,,ˆ,ˆdiag 21= , N nn 1}ˆ{ =λ e N nne 1}ˆ{ = são os autovalores e autovetores de xRˆ respectivamente. Ainda, o determinante de xR é dado por: ( ) ∏= == N k kxx RR 1 det λ . Substituindo os resultados obtidos acima na expressão para ]|[ ξXL , tem-se: ]traço[ 1 ]traço[ 1 log]|[ 22 1 LQQTRTTXL H w x w N k k Γ−+      = ∏= σσ λξ , onde ⊥= wE H UUQ ˆ . Mas: ∑=         −≤Γ d k w k k kH LQQ 1 2 ˆˆ ]traço[ σ λ λ λ , onde a igualdade se dá quando       = × × 0 dd dN I Q , tornado a expressão ]|[ ξXL mínima. Neste caso:                 −−+−+      = ∑∑∏ === d k w k k k w N k k w w d k k dNTXL 1 22 1 2 2 1 ˆˆ1ˆ1 log)(log]|[ σ λ λ λ σ λ σ σλξ assim:       ++−+      = ∑∑∏ +=== N dk k w d k k k w d k k dNTXL 1 2 1 2 1 ˆ1ˆ log)(log]|[ λ σλ λ σλξ ,
  • 170.
    157 ou:       +−+      = ∑∏ == N kk k w d k k dNTXL 1 2 1 ˆ log)(log]|[ λ λ σλξ . Derivando em relação a 2 wσ e igualando a expressão a zero, tem-se: ∑+=− = N dk kw DN 1 ˆ1 ˆ λσ . (3.24) Como [ ]w N nn N nn e σλξ 11 }{}{ === , definindo: [ ]w N nn N nn e σλξ ˆ}ˆ{}ˆ{ˆ 11 ==≡ , a expressão para ]ˆ|[ ξXL é dada por:       +      − −+      = ∑∏ +== N dN dNTXL N dk k d k k 11 ˆ1 log)(ˆlog]ˆ|[ λλξ . Analisando a expressão acima, verifica-se que N não altera o resultado de minimização de ]ˆ|[ ξXL , da mesma forma que adicionando ∏= − N k k 1 ˆlog λ . Assim, tem-se: ( ) ( )             − −−−= ∑∑ +=+= N dk k N dk k dN dNTXL 11 ˆ1 logˆlog]ˆ|[ λλξ . (3.31) Expressão (3.32) Retomando a expressão (3.29) : ][]|[][ ξξ LXLXL += , (3.29) tal que: ∑= −= ν δξ 1 log][ k kL ,
  • 171.
    158 onde ν éo número de parâmetros livres de ξ e kδ é o grau de precisão do k ésimo parâmetro de ξ . Seja [ ]T νδδδ 1≡ onde cada componente é a precisão do parâmetro ξξ ˆ= , definido anteriormente, desenvolvendo ]|[ δXL em série de Taylor tem-se: ∑= −++= ν δδδξδ 1 log 2 1 ]ˆ|[]|[ k k T HXLXL , onde H é a matriz de Hesse de ]ˆ|[ ξXL . Diferenciando a expressão acima de maneira a obter o mínimo de δ , tem-se: )1(− = δδH , onde T       = − νδδδ δ 111 21 )1( . Assim: νδδδδδδ ν === ∑= −− 1 1)1( k kk TT H . Substituindo os resultados acima tem-se: ∑= −++= ν δ ν ξδ 1 ˆlog 2 ]ˆ|[]|[ k kXLXL . Como ]ˆ|[ ξXL cresce com o número de amostras T, de tal sorte que os elementos de H T 1 são da ordem de um [WAX03]. Neste caso pode-se aproximar T k 1ˆ ≈δ , substituindo vem: )(log 2 ]ˆ|[]|[ 1− ++= ToTXLXL ν ξδ . Para T muito grande chega-se à:
  • 172.
    159 TXLXL log 2 ]ˆ|[][ ν ξ +=, (3.32) Expressão (3.33) Com os resultados acima tem-se: ( ) ( ) T dN dNTXL N dk k N dk k log 2 ˆ1 logˆlog][ 11 ν λλ +             − −−−= ∑∑ +=+= , rearrumando: ( ) ( ) T dN dNTT dN TXL N dk k N dk k N dk k dNN dk k log 2ˆlog ˆ1 log)(log 2ˆlog ˆ1 log][ 1 1 1 1 ν λ λ ν λ λ +             − −−=+                     − −= ∏ ∑ ∏ ∑ += += += − += . Em [WAX03] prova-se que 1)12( ++−= dNdν , substituindo vem: TdN d dN dMTXL M dk k dNN dk k log)12( 2ˆ1 ˆ log)()( 1 1 1 +−+                 −       −−= ∑ ∏ += − += λ λ , (3.33) Expressão (3.44) Usando a expressão logarítmica da máxima verossimilhança tem-se: { })(lnmaxˆ,ˆ ,| 1 XpS SAX − =θ . Considerando a expansão da matriz [ ])()()( 21 TtwtwtwW = num vetor coluna Ψ , de tal sorte que [ ] [ ] jiTji W ,1,)1( =Ψ −+ tem-se: ( ) [ ] [ ]ΨΨ−=Ψ= −1 ,| exp det2 1 )()( ψ ψ ψ π R R pXp H TNSAX .
  • 173.
    160 Calculando ψR : [] [ ][ ] [ ] [ ]** )()( lkjimnnm H nm tWtWEEER === ψψψψψ , onde Tjin )1( −+= e Tlkm )1( −+= . Mas [ ] 2* )()( wlkji tWtWE σ= quando ki = e lj = , caso contrário é nula a expressão. Assim: [ ] nmwnm R δσψ 2 = , substituindo vem: ( )       ΨΨ −= 2,| 2 exp 2 1 )( w H TNTN w SAX Xp σπσ . Como [ ] ∑∑∑ = == −===Ψ=ΨΨ N i FF T j ij TN k k H SAXWW 1 22 1 2 1 2 1 )(θ , tem-se: ( )         − −= 2 2 ,| 2 )( exp 2 1 )( w F TNTN w SAX SAX Xp σ θ πσ . Aplicando o logaritmo Neperiano na expressão acima, e excluindo os termos independentes: 21 )(minˆ,ˆ F SAXS θθ −= − . Expressão (3.48) Da expressão (3.44), verifica-se que é semelhante a expressão (3.39), que cuja a solução é dada por (3.40) e (3.41). Substituindo apropriadamente as componentes em (3.44) tem-se: ( ) ( )xA A H A A RPXXPA ˆtraçomaxtraçomax 11 −− == , (3.41)’ mas de (3.48): ( ) ( )[ ]IUUPRPA w H EEA A xA A ww 211 ˆˆ~ˆtraçomaxˆtraçomax σ+Λ== ⊥⊥ −− .
  • 174.
    161 Como IP wA 2 ˆσindepende para o problema de otimização tem-se: ( )H EEA UUP ⊥⊥ Λ= − ˆ~ˆtraçomaxˆ 1 θ θ . (3.48) Expressão (3.61) Este caso é semelhante obtenção da expressão (3.8), só que o multiplicador de Lagrange, agora, é de natureza vetorial. Da expressão (3.60): ( ){ } 0=−+ ∂ ∂ λ H x H cpCpRp p , tem-se: 02 =+ λH x CpR ⇒ 2 1 λH x CR p − −= . Mas cpC = , multiplicando pela direita por C a última expressão obtida, e substituindo tem- se: [ ] 2 1 λH x CCR c − −= , logo: [ ] cCCR H x 11 2 −− −=λ . Substituindo na expressão para obtenção p , de imediato: ( ) cCCRCRp H x H x 111 ˆ −−− = . (3.61) Expressão (3.64) Esta expressão é decorrente da expressão (3.63) do obtida acima, onde [ ] )ˆ()ˆ()ˆ( 1 θθθ AaaC H D == , ic é dado por: [ ]    ≠ = = ik0, ik,1 1kic ,
  • 175.
    162 e o pesoestimado é do i ésimo sinal i pˆ , substituindo na expressão (3.64): [ ] [ ] [ ] i H x H xi cARAARp 1 11 )ˆ()ˆ()ˆ(ˆ − −−     = θθθ , para Di ,...,1= . Construindo uma matriz DxD tal que a i ésima coluna seja dado por ic , e substituindo na expressão acima tem-se: [ ] [ ] [ ] [ ] [ ]D H x H xD cccARAARppp 21 1 11 21 )ˆ()ˆ()ˆ(ˆˆˆ − −−     = θθθ , mas [ ] DDD Iccc ×=21 , obtendo, então, a expressão (3.67): ( ) ( ) ( ) 1 11 ˆˆˆˆˆ − −−     = θθθ ARAARP x H x . (3.64) Expressão (3.65) Usando a expressão (3.1) para distribuição conjunta do vetor )(tx , considerando neste caso MD ≤ sinais incidentes incoerentes, ou seja, )(tx é vetor Gaussiano de média )()( tsA θ e matriz covariância wK , e a função densidade de probabilidade de )(tx é dada por: ( ) ( )[ ] ( ) ( )    −−−= − )()()()()()( 2 1 exp det2 1 )),(),(|)(( 12 )(),(| tsAtxKtsAtx K tsAtxp w H w NwtsAx θθ π σθθ , onde ( ) [ ])()( 1 DaaA θθθ = , IK ww 2 σ= , substituindo vem: ( )       −−= 2 2 2 )(),(| )()()( 2 1 exp 2 1 )),(),(|)(( tsAtxtsAtxp w NN w wtsAx θ σπσ σθθ . Considere agora a função densidade de probabilidade de X , )),(),(|( 2 wX tsAXp σθ : { } ),)(),(|)(,),(),(()),(),(|( 2 121)(,),(),( 2 21 w T kkTtxtxtxwX tsAtxtxtxptsAXp T σθσθ = = . Como os vetores amostras { }T kktx 1 )( = são identicamente distribuidas e supondo que sejam estatisticamente independentes tem-se:
  • 176.
    163 { } ( ) ∏= =               −−= T k kk w NN w w T kkXtsAtxtsAXp 1 2 2 2 1 )()()( 2 1 exp 2 1 ),)(),(|( θ σπσ σθ , { } ( )       −−      = ∑= = T k kk w T NN w w T kkX tsAtxtsAXp 1 2 2 2 1 )()()( 2 1 exp 2 1 ),)(),(|( θ σπσ σθ . Aplicando o logaritmo Neperiano a expressão acima e excluindo os termos independentes tem-se: { } ( )∑= = −−−= T k kk w ww T kk tsAtxTNtsAXL 1 2 2 2 1 )()( 2 1 ln),)(),(|( θ σ σσθ , multiplicando por 2 os termos acima não altera o problema de otimização, assim: { } ( )∑= = −−−= T k kk w ww T kk tsAtxTNtsAXL 1 2 2 22 1 )()( 1 ln),)(),(|( θ σ σσθ . (3.65) Expressão (3.66) De maneira semelhante a expressão (3.23): { } ( )∑= = −−−= T k kk w ww T kk tsAtxTKtsXL 1 2 2 22 1 )()( 1 ln),)(,|( θ σ σσθ . (3.65) onde ( ){ } ( )∑= −=− T k kkF tsAtxSAX 1 22 )()(traço θθ . É fácil verificar que a expressão acima é máxima quando: ( ) 0)()( =− kk tsAtx θ , assim: ( )[ ] ( ) ( ) )()( kk H txAtsAA θθθ = , multiplicado os dois lados por ( )[ ] ( ){ }1− θθ AA H , tem-se: ( ) )()ˆ()ˆ()ˆ()(ˆ 1 k HH k txAAAts θθθ − = . (3.66)
  • 177.
    164 Expressão (3.67) Para om ésimo sinal )(ˆ)(ˆ)( txptstz H mm == , assim: [ ] ( ){ }H HH D AAAppp )ˆ()ˆ()ˆ(ˆˆˆ 1 21 θθθ − = , logo: [ ] ( )1 21 )ˆ()ˆ()ˆ(ˆˆˆ − = θθθ AAAppp H D , encontrando a expressão (3.67). Expressão (3.68) De maneira análoga ao desenvolvimento para expressão (3.23), a função densidade de probabilidade de X condicionado ao conhecimento de )(θA , sR e 2 wσ é dada por: ),),({|)(,),(),((),),(|( 21)(,),(),(,),(| 21 wsTtxtxtxwsRAX RAtxtxtxpRAXp Tws σθσθσθ = Da mesma forma, tem-se: ( ) ( )[ ] { }    −= − xx T x NT wsRAX RRT R RAXp ws ˆtraço 2 1 exp det2 1 ),),(|( 1 ,),(| π σθσθ Aplicando o logaritmo Neperiano na expressão acima, e excluindo os termos independentes, tem-se: ( )[ ] ]traço[detln),),(|( 1 xxxws RRTRTRAXL − −−=σθ . (3.68) Expressão (4.16) Lembrando que: ( ) ( ) ( ) ( ) ( ) ( )             +−+      +−=      =− +− ll d knj d knj d knEeEkn l θθ λ πθθ λ πρ θθ λ π sen2sensen2cos)( sen2 .
  • 178.
    165 Substituindo as expressões(4.14) e (4.15) na expressão acima: ( )( )[ ] ( )( )[ ]l i i i li iExjiExxkn θθθθρ +−+++=− ∑∑ ∞ = − ∞ = )12(sen)(J22cos)(J2)(J)( 1 12 1 20 , onde )(2 kn d x −= λ π . [ ] [ ]{ } ( ) ( ) [ ] ( ) ( ) [ ]{ }ll ll ijijijij i i k ijijijij i eEeeEex eEeeEexxkn θθθθ θθθθ ρ 12121212 1 12 1 2222 20 )(J )(J)(J)( −−−−−− ∞ = − ∞ = −− − +++=− ∑ ∑ . Mas [ ]l l j eEM νθ θ ν ≡)( é a função característica de lθ , e neste caso é dada por: 2 22 )( θσν θ ν − = eM l , substituindo vem: ( ) ( ) j ee iMxj ee iMxxkn ijij i i k ijij i ll 2 )12()(J2 2 )2()(J2)(J)( 1212 1 12 1 22 20 θθ θ θθ θρ −−−∞ = − ∞ = − − −+ + +=− ∑∑ , pois )()( νν θθ −= ll MM . Finalmente, rearrumando a expressão acima: ( ) ( )( ) .)12sen()(2J2 )2cos()(2J2)(2J)( 1 2 12 12 1 2 2 20 2 2 ∑ ∑ ∞ = − − − ∞ = − −      −+       −+      −=− i i i i i i iekn d j iekn d kn d kn θ λ π θ λ π λ πρ θ θ σ σ (4.16) Espaçamento entre as Antenas Por simplificação de notação para análise da dimensão espacial, será definida a seguinte função: ),()( rtfrq ≡ .
  • 179.
    166 A função )(rqse relaciona com a sua transformada de Fourier )(kQ segundo as expressões: ( ) ∫ ⋅ = 3 R k rkj dVekQrq )( 2 1 )( 3 π , e ∫ ⋅− = 3 R r rkj dVerqkQ )()( , onde k dV e rdV são os elementos diferenciais de volume para os espaços formados por k e r respectivamente. Conforme foi antecipado, as antenas de um conjunto de antenas amostram a função de onda nas posições onde elas se encontram. Considerando a ULA para a disposição das antenas, pode-se definir a função )(nqd tal que: )()()( ∆== nqrqnq nd , onde θsend=∆ , d é o espaçamento entre as antenas e θ é o ângulo de incidência. Da mesma forma que o caso contínuo, a função )(nqd se relaciona com a sua transformada )(kdQ segundo as expressões: ∫− = π ππ kk k deQnq jn dd )( 2 1 )( , e k k jn n dd enqQ − ∞ −∞= ∑= )()( , onde k é equivalente à k para o caso contínuo. Observando as expressões acima, pode-se escrever )(nqd da seguinte forma: dkekQnqnq jnk d ∆ ∞ ∞−∫=∆= )( 2 1 )()( π , Fazendo ∆= kk , tem-se: k k k deQnq jn d ∫ ∞ ∞−       ∆∆ = π2 1 )( ,
  • 180.
    167 que pode serescrita como: ∑ ∫ ∞ −∞= + +−       ∆∆ = p jn p p d deQnq k k k ππ πππ 2 22 1 )( . Fazendo pπ2−= kk , tem-se: ∑ ∫ ∞ −∞= −       ∆∆ = p njjn d dee p Qnq k k pk π π π π π 22- 2 1 )( , como 12 =pnj e π , tem-se: ∑ ∫ ∞ −∞= −       ∆∆ = p jn d de p Qnq k k k π π π π 2- 2 1 )( . Aplicando a transformada discreta de Fourier, tem-se: ∑ ∞ −∞=       ∆∆ = p d p QQ π2-1 )( k k . As amostras )(nqd só serão representativas quando não houver perda de informação da função original )(rq . Isto só acontece quando 0=      ∆ k Q para π>k , ou seja, a largura de banda de )(rq , qB , for dada por: ∆ ≤ π qB . No caso de uma onda plana incidente na ULA considerada, tem-se:       −= rtsrq cλω θπ sen2 )( , e a largura de banda de )(rq é: s c q BB λω θπ sen2 = .
  • 181.
    168 Mas de (2.3),a largura de faixa de )(ts é cω , pois tj c etyts ω )()( = , onde )(ty é considerado de faixa estreita. Substituindo na expressão acima, tem-se: λ θπ sen2 =qB , Aplicando na expressão anterior, tem-se: ∆ ≤ π λ θπ sen2 , rearrumando e substituindo vem: 2 1 sen2 ≤θ λ d , como 1sen ≤θ , tem-se: 2 1 ≤ λ d . Assim, para que não haja perda de informação na amostragem espacial, para uma ULA é necessário que o afastamento entre antenas não seja superior à λ5.0 .