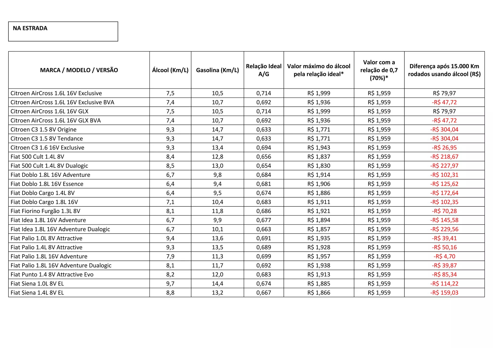
NA ESTRADA




                                                                                                                    Valor com a
                                                                            Relação Ideal Valor máximo do álcool                     Diferença após 15.000 Km
           MARCA / MODELO / VERSÃO        Álcool (Km/L)   Gasolina (Km/L)                                          relação de 0,7
                                                                                A/G         pela relação ideal*                     rodados usando álcool (R$)
                                                                                                                       (70%)*

Citroen AirCross 1.6L 16V Exclusive            7,5             10,5            0,714             R$ 1,999            R$ 1,959               R$ 79,97
Citroen AirCross 1.6L 16V Exclusive BVA        7,4             10,7            0,692             R$ 1,936            R$ 1,959               -R$ 47,72
Citroen AirCross 1.6L 16V GLX                  7,5             10,5            0,714             R$ 1,999            R$ 1,959               R$ 79,97
Citroen AirCross 1.6L 16V GLX BVA              7,4             10,7            0,692             R$ 1,936            R$ 1,959               -R$ 47,72
Citroen C3 1.5 8V Origine                      9,3             14,7            0,633             R$ 1,771            R$ 1,959              -R$ 304,04
Citroen C3 1.5 8V Tendance                     9,3             14,7            0,633             R$ 1,771            R$ 1,959              -R$ 304,04
Citroen C3 1.6 16V Exclusive                   9,3             13,4            0,694             R$ 1,943            R$ 1,959               -R$ 26,95
Fiat 500 Cult 1.4L 8V                          8,4             12,8            0,656             R$ 1,837            R$ 1,959              -R$ 218,67
Fiat 500 Cult 1.4L 8V Dualogic                 8,5             13,0            0,654             R$ 1,830            R$ 1,959              -R$ 227,97
Fiat Doblo 1.8L 16V Adventure                  6,7             9,8             0,684             R$ 1,914            R$ 1,959              -R$ 102,31
Fiat Doblo 1.8L 16V Essence                    6,4             9,4             0,681             R$ 1,906            R$ 1,959              -R$ 125,62
Fiat Doblo Cargo 1.4L 8V                       6,4             9,5             0,674             R$ 1,886            R$ 1,959              -R$ 172,64
Fiat Doblo Cargo 1.8L 16V                      7,1             10,4            0,683             R$ 1,911            R$ 1,959              -R$ 102,35
Fiat Fiorino Furgão 1.3L 8V                    8,1             11,8            0,686             R$ 1,921            R$ 1,959               -R$ 70,28
Fiat Idea 1.8L 16V Adventure                   6,7             9,9             0,677             R$ 1,894            R$ 1,959              -R$ 145,58
Fiat Idea 1.8L 16V Adventure Dualogic          6,7             10,1            0,663             R$ 1,857            R$ 1,959              -R$ 229,56
Fiat Palio 1.0L 8V Attractive                  9,4             13,6            0,691             R$ 1,935            R$ 1,959               -R$ 39,41
Fiat Palio 1.4L 8V Attractive                  9,3             13,5            0,689             R$ 1,928            R$ 1,959               -R$ 50,16
Fiat Palio 1.8L 16V Adventure                  7,9             11,3            0,699             R$ 1,957            R$ 1,959                -R$ 4,70
Fiat Palio 1.8L 16V Adventure Dualogic         8,1             11,7            0,692             R$ 1,938            R$ 1,959               -R$ 39,87
Fiat Punto 1.4 8V Attractive Evo               8,2             12,0            0,683             R$ 1,913            R$ 1,959               -R$ 85,34
Fiat Siena 1.0L 8V EL                          9,7             14,4            0,674             R$ 1,885            R$ 1,959              -R$ 114,22
Fiat Siena 1.4L 8V EL                          8,8             13,2            0,667             R$ 1,866            R$ 1,959              -R$ 159,03
Valor com a
                                                                                   Relação Ideal Valor máximo do álcool                     Diferença após 15.000 Km
           MARCA / MODELO / VERSÃO               Álcool (Km/L)   Gasolina (Km/L)                                          relação de 0,7
                                                                                       A/G         pela relação ideal*                     rodados usando álcool (R$)
                                                                                                                              (70%)*
Fiat Strada 1.4L 8V Working Cabine Curta              8,4             12,2            0,689             R$ 1,927             R$ 1,959              -R$ 57,36
Fiat Strada 1.4L 8V Working Cabine Dupla              8,2             12,0            0,683             R$ 1,913             R$ 1,959              -R$ 85,34
Fiat Strada 1.4L 8V Working Cabine Estendida          8,4             12,2            0,689             R$ 1,927             R$ 1,959              -R$ 57,36
Fiat Strada 1.6L 16V Trekking Cabine Curta            8,7             12,1            0,719             R$ 2,013             R$ 1,959              R$ 91,73
Fiat Strada 1.6L 16V Trekking Cabine Dupla            8,7             12,1            0,719             R$ 2,013             R$ 1,959              R$ 91,73
Fiat Strada 1.6L 16V Trekking Cabine Estendida        8,7             12,1            0,719             R$ 2,013             R$ 1,959              R$ 91,73
Fiat Strada 1.8L 16V Adventure                        7,5             11,1            0,676             R$ 1,891             R$ 1,959             -R$ 136,17
Fiat Strada 1.8L 16V Adventure Cabine Dupla           7,5             11,1            0,676             R$ 1,891             R$ 1,959             -R$ 136,17
Fiat Strada 1.8L 16V Adventure Cabine Dupla
                                                      7,5             10,8            0,694             R$ 1,944            R$ 1,959               -R$ 31,10
Dualogic
Fiat Uno 2 portas 1.0L 8V Evo Vivace                 9,4              14,5            0,648             R$ 1,815            R$ 1,959              -R$ 231,03
Fiat Uno 2 portas 1.4L 8V Evo Economy                10,4             15,2            0,684             R$ 1,915            R$ 1,959               -R$ 63,74
Fiat Uno 2 portas 1.4L 8V Sporting                   9,0              13,6            0,662             R$ 1,852            R$ 1,959              -R$ 178,37
Fiat Uno 4 portas 1.0L 8V Evo Vivace                 9,4              14,5            0,648             R$ 1,815            R$ 1,959              -R$ 231,03
Fiat Uno 4 portas 1.4L 8V Evo Economy                10,4             15,2            0,684             R$ 1,915            R$ 1,959               -R$ 63,74
Fiat Uno 4 portas 1.4L 8V Sporting                   9,0              13,6            0,662             R$ 1,852            R$ 1,959              -R$ 178,37
Fiat Uno Mille 2 Portas 1.0L 8V Fire Economy         10,7             15,6            0,686             R$ 1,920            R$ 1,959               -R$ 55,34
Fiat Uno Mille 2 Portas 1.0L 8V Way Economy          9,5              13,6            0,699             R$ 1,955            R$ 1,959                -R$ 6,50
Fiat Uno Mille 4 Portas 1.0L 8V Fire Economy         10,7             15,6            0,686             R$ 1,920            R$ 1,959               -R$ 55,34
Fiat Uno Mille 4 Portas 1.0L 8V Way Economy          9,5              13,6            0,699             R$ 1,955            R$ 1,959                -R$ 6,50
Ford Ecosport 1.6L 8V Freestyle                      8,4              12,2            0,689             R$ 1,927            R$ 1,959               -R$ 57,36
Ford Ecosport 1.6L 8V S                              8,4              12,2            0,689             R$ 1,927            R$ 1,959               -R$ 57,36
Ford Ecosport 1.6L 8V SE                             8,4              12,2            0,689             R$ 1,927            R$ 1,959               -R$ 57,36
Ford Ecosport 1.6L 8V Titanium                       8,4              12,2            0,689             R$ 1,927            R$ 1,959               -R$ 57,36
Ford Ecosport 2.0L 16V Freestyle                     8,1              12,0            0,675             R$ 1,889            R$ 1,959              -R$ 129,58
Valor com a
                                                                             Relação Ideal Valor máximo do álcool                     Diferença após 15.000 Km
          MARCA / MODELO / VERSÃO          Álcool (Km/L)   Gasolina (Km/L)                                          relação de 0,7
                                                                                 A/G         pela relação ideal*                     rodados usando álcool (R$)
                                                                                                                        (70%)*
Ford Ecosport 2.0L 16V Freestyle 4WD           7,4              10,9            0,679             R$ 1,900             R$ 1,959             -R$ 119,72
Ford Ecosport 2.0L 16V Auto                    8,0              11,8            0,678             R$ 1,898             R$ 1,959             -R$ 115,64
Ford Ecosport 2.0L 16V Titanium                8,1              12,0            0,675             R$ 1,889             R$ 1,959             -R$ 129,58
Ford Ecosport 2.0L 16V Titanium Auto           8,0              11,8            0,678             R$ 1,898             R$ 1,959             -R$ 115,64
Ford Fiesta Hatch 1.5L 16V S                   9,6              13,7            0,701             R$ 1,961             R$ 1,959               R$ 3,19
Ford Fiesta Hatch 1.5L 16V SE                  9,6              13,7            0,701             R$ 1,961             R$ 1,959               R$ 3,19
Ford Fiesta Hatch 1.6L 16V SE                  10,0             14,3            0,699             R$ 1,957             R$ 1,959               -R$ 2,94
Ford Fiesta Hatch 1.6L 16V SE Auto             9,9              13,9            0,712             R$ 1,994             R$ 1,959              R$ 51,87
Ford Fiesta Hatch 1.6L 16V Titanium            10,0             14,3            0,699             R$ 1,957             R$ 1,959               -R$ 2,94
Ford Fiesta Hatch 1.6L 16V Titanium Auto       9,9              13,9            0,712             R$ 1,994             R$ 1,959              R$ 51,87
Ford Fiesta Sedan 1.6L 16V SE                  9,7              14,1            0,688             R$ 1,926             R$ 1,959              -R$ 52,19
Ford Fiesta Sedan 1.6L 16V SE Auto             9,9              13,9            0,712             R$ 1,994             R$ 1,959              R$ 51,87
Ford Fiesta Sedan 1.6L 16V Titanium            9,7              14,1            0,688             R$ 1,926             R$ 1,959              -R$ 52,19
Ford Fiesta Sedan 1.6L 16V Titanium Auto       9,9              13,9            0,712             R$ 1,994             R$ 1,959              R$ 51,87
Ford Focus Hatch 1.6L 16V GL                   8,7              12,9            0,674             R$ 1,888             R$ 1,959             -R$ 123,45
Ford Focus Hatch 1.6L 16V GLX                  8,7              12,9            0,674             R$ 1,888             R$ 1,959             -R$ 123,45
Ford Focus Hatch 2.0L 16V GLX                  8,1              11,7            0,692             R$ 1,938             R$ 1,959              -R$ 39,87
Ford Focus Hatch 2.0L 16V GLX Auto             7,8              11,3            0,690             R$ 1,932             R$ 1,959              -R$ 52,40
Ford Focus Hatch 2.0L 16V Titanium             8,1              11,7            0,692             R$ 1,938             R$ 1,959              -R$ 39,87
Ford Focus Hatch 2.0L 16V Titanium Auto        7,8              11,3            0,690             R$ 1,932             R$ 1,959              -R$ 52,40
Ford Focus Sedan 1.6L 16V GL                   8,7              12,9            0,674             R$ 1,888             R$ 1,959             -R$ 123,45
Ford Focus Sedan 1.6L 16V GLX                  8,7              12,9            0,674             R$ 1,888             R$ 1,959             -R$ 123,45
Ford Focus Sedan 2.0L 16V GLX                  8,1              11,7            0,692             R$ 1,938             R$ 1,959              -R$ 39,87
Ford Focus Sedan 2.0L 16V GLX Auto             7,8              11,3            0,690             R$ 1,932             R$ 1,959              -R$ 52,40
Valor com a
                                                                                 Relação Ideal Valor máximo do álcool                     Diferença após 15.000 Km
          MARCA / MODELO / VERSÃO              Álcool (Km/L)   Gasolina (Km/L)                                          relação de 0,7
                                                                                     A/G         pela relação ideal*                     rodados usando álcool (R$)
                                                                                                                            (70%)*
Ford Focus Sedan 2.0L 16V Titanium Auto            7,8              11,3            0,690             R$ 1,932             R$ 1,959              -R$ 52,40
Ford Ka 1.0L 8V Class                              9,2              13,5            0,681             R$ 1,907             R$ 1,959              -R$ 84,51
Ford Ka 1.0L 8V Fly                                9,2              13,5            0,681             R$ 1,907             R$ 1,959              -R$ 84,51
Ford Ka 1.0L 8V Pulse                              9,2              13,5            0,681             R$ 1,907             R$ 1,959              -R$ 84,51
Honda City 1.5L 16V DX (câmbio automático)         8,3              14,0            0,593             R$ 1,659             R$ 1,959             -R$ 541,98
Honda City 1.5L 16V DX (câmbio manual)             8,7              12,5            0,696             R$ 1,948             R$ 1,959              -R$ 19,30
Honda City 1.5L 16V EX (câmbio automático)         8,3              14,0            0,593             R$ 1,659             R$ 1,959             -R$ 541,98
Honda City 1.5L 16V EX (câmbio manual)             8,7              12,5            0,696             R$ 1,948             R$ 1,959              -R$ 19,30
Honda City 1.5L 16V LX (câmbio automático)         8,3              14,0            0,593             R$ 1,659             R$ 1,959             -R$ 541,98
Honda City 1.5L 16V LX (câmbio manual)             8,7              12,5            0,696             R$ 1,948             R$ 1,959              -R$ 19,30
Honda Civic 1.8L 16V LXS                           9,5              13,4            0,709             R$ 1,984             R$ 1,959              R$ 39,58
Honda Civic 1.8L 16V LXS Auto                      10,0             13,4            0,746             R$ 2,089             R$ 1,959              R$ 194,26
Honda Civic 2.0L 16V EXR Auto                      9,2              12,8            0,719             R$ 2,012             R$ 1,959              R$ 85,57
Honda Civic 2.0L 16V LXR Auto                      9,2              12,8            0,719             R$ 2,012             R$ 1,959              R$ 85,57
Honda Fit 1.4L 16V DX (câmbio automático)          8,5              12,5            0,680             R$ 1,903             R$ 1,959              -R$ 98,79
Honda Fit 1.4L 16V DX (câmbio manual)              9,2              13,3            0,692             R$ 1,936             R$ 1,959              -R$ 37,74
Honda Fit 1.4L 16V LX (câmbio automático)          8,5              12,5            0,680             R$ 1,903             R$ 1,959              -R$ 98,79
Honda Fit 1.4L 16V LX (câmbio manual)              9,2              13,3            0,692             R$ 1,936             R$ 1,959              -R$ 37,74
Honda Fit 1.5L 16V EX (câmbio automático)          8,2              12,2            0,672             R$ 1,881             R$ 1,959             -R$ 142,69
Honda Fit 1.5L 16V EX (câmbio manual)              8,5              12,2            0,697             R$ 1,950             R$ 1,959              -R$ 16,19
Honda Fit 1.5L 16V EXL (câmbio automático)         8,2              12,2            0,672             R$ 1,881             R$ 1,959             -R$ 142,69
Honda Fit 1.5L 16V EXL (câmbio manual)             8,5              12,2            0,697             R$ 1,950             R$ 1,959              -R$ 16,19
Honda Fit 1.5L 16V Twist (câmbio automático)       8,2              12,2            0,672             R$ 1,881             R$ 1,959             -R$ 142,69
Honda Fit 1.5L 16V Twist (câmbio manual)           8,5              12,2            0,697             R$ 1,950             R$ 1,959              -R$ 16,19
Valor com a
                                                                                 Relação Ideal Valor máximo do álcool                     Diferença após 15.000 Km
          MARCA / MODELO / VERSÃO              Álcool (Km/L)   Gasolina (Km/L)                                          relação de 0,7
                                                                                     A/G         pela relação ideal*                     rodados usando álcool (R$)
                                                                                                                            (70%)*
Hyundai HB20 1.0L 12V Comfort                       9,8             14,5            0,676             R$ 1,892             R$ 1,959             -R$ 103,41
Hyundai HB20 1.0L 12V Comfort Plus                  9,8             14,5            0,676             R$ 1,892             R$ 1,959             -R$ 103,41
Hyundai HB20 1.0L 12V Comfort Style                 9,8             14,5            0,676             R$ 1,892             R$ 1,959             -R$ 103,41
Hyundai HB20 1.6L 16V Comfort                       8,7             12,7            0,685             R$ 1,917             R$ 1,959              -R$ 72,20
Hyundai HB20 1.6L 16V Comfort Plus                  8,7             12,7            0,685             R$ 1,917             R$ 1,959              -R$ 72,20
Hyundai HB20 1.6L 16V Comfort Style                 8,7             12,7            0,685             R$ 1,917             R$ 1,959              -R$ 72,20
Hyundai HB20 1.6L 16V Premium                       8,7             12,7            0,685             R$ 1,917             R$ 1,959              -R$ 72,20
Kia Cerato 1.6L 16V Flex EX3                        9,3             14,0            0,664             R$ 1,859             R$ 1,959             -R$ 161,23
Kia Cerato 1.6L 16V Flex EX3 Auto                   9,1             12,4            0,734             R$ 2,054             R$ 1,959              R$ 156,27
Kia Cerato 1.6L 16V Flex LX3                        9,3             14,0            0,664             R$ 1,859             R$ 1,959             -R$ 161,23
Kia Cerato 1.6L 16V Flex LX3 Auto                   9,1             12,4            0,734             R$ 2,054             R$ 1,959              R$ 156,27
Kia Cerato 1.6L 16V Flex SX3                        9,3             14,0            0,664             R$ 1,859             R$ 1,959             -R$ 161,23
Kia Cerato 1.6L 16V Flex SX3 Auto                   9,1             12,4            0,734             R$ 2,054             R$ 1,959              R$ 156,27
Kia Picanto 1.0L 12V EX4 (câmbio automático)        9,4             13,1            0,718             R$ 2,008             R$ 1,959              R$ 78,42
Kia Picanto 1.0L 12V EX4 (câmbio mecânico)          9,8             14,4            0,681             R$ 1,905             R$ 1,959              -R$ 83,30
Kia Picanto 1.0L 12V LX4 (câmbio automático)        9,4             13,1            0,718             R$ 2,008             R$ 1,959              R$ 78,42
Kia Picanto 1.0L 12V LX4 (câmbio mecânico)          9,8             14,4            0,681             R$ 1,905             R$ 1,959              -R$ 83,30
Kia Soul 1.6L 16V EX                                8,0             11,8            0,678             R$ 1,898             R$ 1,959             -R$ 115,64
Kia Soul 1.6L 16V EX Auto                           7,6             11,1            0,685             R$ 1,916             R$ 1,959              -R$ 84,61
Kia Soul 1.6L 16V LX                                8,0             11,8            0,678             R$ 1,898             R$ 1,959             -R$ 115,64
Kia Soul 1.6L 16V LX Auto                           7,6             11,1            0,685             R$ 1,916             R$ 1,959              -R$ 84,61
Kia Sportage 2.0L 16V EX G1                         6,9             10,3            0,670             R$ 1,875             R$ 1,959             -R$ 183,13
Kia Sportage 2.0L 16V EX G2                         6,9             10,3            0,670             R$ 1,875             R$ 1,959             -R$ 183,13
Kia Sportage 2.0L 16V EX G3 Auto                    7,4             11,2            0,661             R$ 1,849             R$ 1,959             -R$ 222,89
Valor com a
                                                                                 Relação Ideal Valor máximo do álcool                     Diferença após 15.000 Km
          MARCA / MODELO / VERSÃO              Álcool (Km/L)   Gasolina (Km/L)                                          relação de 0,7
                                                                                     A/G         pela relação ideal*                     rodados usando álcool (R$)
                                                                                                                            (70%)*
Kia Sportage 2.0L 16V EX G4 Auto                   7,4              11,2            0,661             R$ 1,849             R$ 1,959             -R$ 222,89
Kia Sportage 2.0L 16V LX G1                        6,9              10,3            0,670             R$ 1,875             R$ 1,959             -R$ 183,13
Kia Sportage 2.0L 16V LX G2                        6,9              10,3            0,670             R$ 1,875             R$ 1,959             -R$ 183,13
Kia Sportage 2.0L 16V LX G3 Auto                   7,4              11,2            0,661             R$ 1,849             R$ 1,959             -R$ 222,89
Kia Sportage 2.0L 16V LX G4 Auto                   7,4              11,2            0,661             R$ 1,849             R$ 1,959             -R$ 222,89
Mitsubishi Pajero TR4 2.0L 16V 4x2                 6,6              9,3             0,710             R$ 1,986             R$ 1,959              R$ 61,56
Nissan Livina 1.6L 16V                             8,1              11,9            0,681             R$ 1,905             R$ 1,959             -R$ 100,18
Nissan Livina 1.6L 16V S                           8,1              11,9            0,681             R$ 1,905             R$ 1,959             -R$ 100,18
Nissan Livina 1.6L 16V SL                          8,1              11,9            0,681             R$ 1,905             R$ 1,959             -R$ 100,18
Nissan March 1.0L 16V com ar-condicionado          9,7              14,5            0,669             R$ 1,872             R$ 1,959             -R$ 134,33
Nissan March 1.0L 16V sem ar-condicionado          10,4             15,0            0,693             R$ 1,941             R$ 1,959              -R$ 26,91
Nissan Sentra 2.0L 16V                             8,1              11,7            0,692             R$ 1,938             R$ 1,959              -R$ 39,87
Nissan Sentra 2.0L 16V S                           8,1              11,7            0,692             R$ 1,938             R$ 1,959              -R$ 39,87
Nissan Sentra 2.0L 16V SL                          8,1              11,7            0,692             R$ 1,938             R$ 1,959              -R$ 39,87
Nissan Versa 1.6 16V                               9,3              13,9            0,669             R$ 1,873             R$ 1,959             -R$ 139,66
Nissan Versa 1.6 16V S                             9,3              13,9            0,669             R$ 1,873             R$ 1,959             -R$ 139,66
Nissan Versa 1.6 16V SL                            9,3              13,9            0,669             R$ 1,873             R$ 1,959             -R$ 139,66
Nissan Versa 1.6 16V SR                            9,3              13,9            0,669             R$ 1,873             R$ 1,959             -R$ 139,66
Nissan Versa 1.6 16V SV                            9,3              13,9            0,669             R$ 1,873             R$ 1,959             -R$ 139,66
Peugeot 207 Hatch 3 Portas 1.4L 8V XR              8,7              13,7            0,635             R$ 1,777             R$ 1,959             -R$ 313,50
Peugeot 207 Hatch 5 Portas 1.4L 8V Blue Lion       10,0             15,0            0,667             R$ 1,866             R$ 1,959             -R$ 139,95
Peugeot 207 Hatch 5 Portas 1.4L 8V XR              8,7              13,7            0,635             R$ 1,777             R$ 1,959             -R$ 313,50
Peugeot 207 Hatch 5 Portas 1.4L 8V XRS             8,7              13,7            0,635             R$ 1,777             R$ 1,959             -R$ 313,50
Peugeot 207 Passion 1.4L 8V XR                     8,7              13,7            0,635             R$ 1,777             R$ 1,959             -R$ 313,50
Valor com a
                                                                                       Relação Ideal Valor máximo do álcool                     Diferença após 15.000 Km
           MARCA / MODELO / VERSÃO                   Álcool (Km/L)   Gasolina (Km/L)                                          relação de 0,7
                                                                                           A/G         pela relação ideal*                     rodados usando álcool (R$)
                                                                                                                                  (70%)*
Peugeot 207 Passion 1.4L 8V XRS                           8,7             13,7            0,635             R$ 1,777             R$ 1,959             -R$ 313,50
Renault Clio 3 Portas 1.0L 16V Authentique com ar-
                                                          9,6             14,3            0,671             R$ 1,879            R$ 1,959              -R$ 125,39
condicionado
Renault Clio 3 Portas 1.0L 16V Authentique sem ar-
                                                         10,7             15,8            0,677             R$ 1,896            R$ 1,959               -R$ 89,40
condicionado
Renault Clio 5 Portas 1.0L 16V Authentique com ar-
                                                          9,6             14,3            0,671             R$ 1,879            R$ 1,959              -R$ 125,39
condicionado
Renault Clio 5 Portas 1.0L 16V Authentique sem ar-
                                                         10,7             15,8            0,677             R$ 1,896            R$ 1,959               -R$ 89,40
condicionado
Renault Clio 5 Portas 1.0L 16V Expression com ar-
                                                          9,6             14,3            0,671             R$ 1,879            R$ 1,959              -R$ 125,39
condicionado
Renault Clio 5 Portas 1.0L 16V Expression sem ar-
                                                         10,7             15,8            0,677             R$ 1,896            R$ 1,959               -R$ 89,40
condicionado
Renault Duster 1.6L 16V                                   7,4             10,7            0,692             R$ 1,936            R$ 1,959               -R$ 47,72
Renault Duster 1.6L 16V Dynamique                         7,4             10,7            0,692             R$ 1,936            R$ 1,959               -R$ 47,72
Renault Duster 1.6L 16V Expression                        7,4             10,7            0,692             R$ 1,936            R$ 1,959               -R$ 47,72
Renault Duster 2.0L 16V Dynamique                         7,8             11,2            0,696             R$ 1,949            R$ 1,959               -R$ 19,22
Renault Duster 2.0L 16V Dynamique 4x4                     7,2             10,2            0,706             R$ 1,976            R$ 1,959               R$ 34,30
Renault Fluence 2.0L 16V Dynamique                        9,2             14,1            0,652             R$ 1,826            R$ 1,959              -R$ 216,85
Renault Kangoo Express 1.6L 16V                           7,4             10,9            0,679             R$ 1,900            R$ 1,959              -R$ 119,72
Renault Logan 1.0L 16V Authentique                        8,6             12,8            0,672             R$ 1,881            R$ 1,959              -R$ 137,31
Renault Logan 1.0L 16V Authentique sem ar-
                                                          9,2             13,8            0,667             R$ 1,866            R$ 1,959              -R$ 152,12
condicionado
Renault Logan 1.0L 16V Expression                         8,6             12,8            0,672             R$ 1,881            R$ 1,959              -R$ 137,31
Renault Sandero 1.0L 16V Authentique                      8,6             12,8            0,672             R$ 1,881            R$ 1,959              -R$ 137,31
Valor com a
                                                                                    Relação Ideal Valor máximo do álcool                     Diferença após 15.000 Km
          MARCA / MODELO / VERSÃO                 Álcool (Km/L)   Gasolina (Km/L)                                          relação de 0,7
                                                                                        A/G         pela relação ideal*                     rodados usando álcool (R$)
                                                                                                                               (70%)*
Renault Sandero 1.0L 16V Expression                   8,6              12,8            0,672             R$ 1,881             R$ 1,959             -R$ 137,31
Renault Sandero 1.0L 16V sem ar condicionado          9,2              13,8            0,667             R$ 1,866             R$ 1,959             -R$ 152,12
Toyota Corolla 1.8L 16V GLi (câmbio automático)       9,1              13,3            0,684             R$ 1,915             R$ 1,959              -R$ 72,85
Toyota Corolla 1.8L 16V GLi (câmbio manual)           9,6              13,5            0,711             R$ 1,990             R$ 1,959              R$ 48,59
Toyota Corolla 1.8L 16V XLi (câmbio automático)       9,1              13,3            0,684             R$ 1,915             R$ 1,959              -R$ 72,85
Toyota Corolla 1.8L 16V XLi (câmbio manual)           9,6              13,5            0,711             R$ 1,990             R$ 1,959              R$ 48,59
Toyota Etios 1.3 16V sem ar-condicionado              9,0              13,0            0,692             R$ 1,938             R$ 1,959              -R$ 35,88
Toyota Etios 1.3 16V X                                9,0              13,0            0,692             R$ 1,938             R$ 1,959              -R$ 35,88
Toyota Etios 1.3 16V XS                               9,0              13,0            0,692             R$ 1,938             R$ 1,959              -R$ 35,88
Toyota Etios 1.5 16V XLS                              8,9              13,4            0,664             R$ 1,859             R$ 1,959             -R$ 168,98
Toyota Etios Sedan 1.5L 16V X                         9,3              14,0            0,664             R$ 1,859             R$ 1,959             -R$ 161,23
Toyota Etios Sedan 1.5L 16V XLS                       9,3              14,0            0,664             R$ 1,859             R$ 1,959             -R$ 161,23
Toyota Etios Sedan 1.5L 16V XS                        9,3              14,0            0,664             R$ 1,859             R$ 1,959             -R$ 161,23
Volkswagen Gol 1.0L 8V 2 Portas                       9,6              13,9            0,691             R$ 1,933             R$ 1,959              -R$ 40,90
Volkswagen Gol 1.0L 8V 2 Portas BlueMotion            10,1             14,9            0,678             R$ 1,897             R$ 1,959              -R$ 92,07
Volkswagen Gol 1.0L 8V 2 Portas City                  9,6              13,9            0,691             R$ 1,933             R$ 1,959              -R$ 40,90
Volkswagen Gol 1.0L 8V 4 Portas                       9,6              13,9            0,691             R$ 1,933             R$ 1,959              -R$ 40,90
Volkswagen Gol 1.0L 8V 4 Portas BlueMotion            10,1             14,9            0,678             R$ 1,897             R$ 1,959              -R$ 92,07
Volkswagen Gol 1.0L 8V 4 Portas City                  9,6              13,9            0,691             R$ 1,933             R$ 1,959              -R$ 40,90
Volkswagen Gol 1.0L 8V Ecomotion 2 Portas             9,8              14,1            0,695             R$ 1,945             R$ 1,959              -R$ 21,27
Volkswagen Gol 1.0L 8V Ecomotion 4 Portas             9,8              14,1            0,695             R$ 1,945             R$ 1,959              -R$ 21,27
Volkswagen Gol 1.6L 8V 2 Portas                       9,4              13,7            0,686             R$ 1,920             R$ 1,959              -R$ 61,94
Volkswagen Gol 1.6L 8V 2 Portas City                  9,4              13,7            0,686             R$ 1,920             R$ 1,959              -R$ 61,94
Volkswagen Gol 1.6L 8V 2 Portas City I-Motion         9,5             13,6            0,699             R$ 1,955            R$ 1,959                -R$ 6,50

                                                                                                                           Valor com a
                                                                                   Relação Ideal Valor máximo do álcool                     Diferença após 15.000 Km
          MARCA / MODELO / VERSÃO                Álcool (Km/L)   Gasolina (Km/L)                                          relação de 0,7
                                                                                       A/G         pela relação ideal*                     rodados usando álcool (R$)
                                                                                                                              (70%)*
Volkswagen Gol 1.6L 8V 2 Portas I-Motion              9,5             13,6            0,699             R$ 1,955             R$ 1,959               -R$ 6,50
Volkswagen Gol 1.6L 8V 4 Portas                       9,4             13,7            0,686             R$ 1,920             R$ 1,959              -R$ 61,94
Volkswagen Gol 1.6L 8V 4 Portas Power                 9,4             13,7            0,686             R$ 1,920             R$ 1,959              -R$ 61,94
Volkswagen Gol 1.6L 8V 4 Portas City                  9,4             13,7            0,686             R$ 1,920             R$ 1,959              -R$ 61,94

Volkswagen Gol 1.6L 8V 4 Portas City I-Motion         9,5             13,6            0,699             R$ 1,955            R$ 1,959                -R$ 6,50

Volkswagen Gol 1.6L 8V 4 Portas I-Motion              9,5             13,6            0,699             R$ 1,955            R$ 1,959                -R$ 6,50

Volkswagen Gol 1.6L 8V 4 Portas Power I-Motion        9,5             13,6            0,699             R$ 1,955            R$ 1,959                -R$ 6,50

Volkswagen Gol G4 1.0L 8V 2 Portas                   9,0              13,2            0,682             R$ 1,908            R$ 1,959               -R$ 84,82
Volkswagen Gol G4 1.0L 8V 4 Portas                   9,0              13,2            0,682             R$ 1,908            R$ 1,959               -R$ 84,82
Volkswagen Kombi 1.4L 8V Ambulância                  6,1              9,0             0,678             R$ 1,897            R$ 1,959              -R$ 152,95
Volkswagen Kombi 1.4L 8V Escolar                     6,1              9,0             0,678             R$ 1,897            R$ 1,959              -R$ 152,95
Volkswagen Kombi 1.4L 8V Furgão                      6,1              9,0             0,678             R$ 1,897            R$ 1,959              -R$ 152,95
Volkswagen Kombi 1.4L 8V Lotação                     6,1              9,0             0,678             R$ 1,897            R$ 1,959              -R$ 152,95
Volkswagen Kombi 1.4L 8V Standard                    6,1              9,0             0,678             R$ 1,897            R$ 1,959              -R$ 152,95
Volkswagen Polo 1.6L 8V                              8,1              12,1            0,669             R$ 1,874            R$ 1,959              -R$ 158,50
Volkswagen Polo 1.6L 8V BlueMotion                   10,5             15,0            0,700             R$ 1,959            R$ 1,959                R$ 0,00
Volkswagen Polo 1.6L 8V Sportline                    8,1              12,1            0,669             R$ 1,874            R$ 1,959              -R$ 158,50
Volkswagen Polo Sedan 1.6L 8V                        8,1              12,1            0,669             R$ 1,874            R$ 1,959              -R$ 158,50
Volkswagen Polo Sedan 1.6L 8V Comfortline            8,1              12,1            0,669             R$ 1,874            R$ 1,959              -R$ 158,50
Volkswagen Saveiro 1.6L 8V Cabine Estendida              8,5               12,3            0,691             R$ 1,934            R$ 1,959               -R$ 44,17

                                                                                                                                Valor com a
                                                                                        Relação Ideal Valor máximo do álcool                     Diferença após 15.000 Km
          MARCA / MODELO / VERSÃO                   Álcool (Km/L)     Gasolina (Km/L)                                          relação de 0,7
                                                                                            A/G         pela relação ideal*                     rodados usando álcool (R$)
                                                                                                                                   (70%)*
Volkswagen Saveiro 1.6L 8V Cabine Estendida
                                                         8,5               12,3            0,691             R$ 1,934            R$ 1,959               -R$ 44,17
Trooper
Volkswagen Saveiro 1.6L 8V Cabine Simples                8,5               12,3            0,691             R$ 1,934            R$ 1,959               -R$ 44,17

Volkswagen Saveiro 1.6L 8V Cabine Simples Trooper        8,5               12,3            0,691             R$ 1,934            R$ 1,959               -R$ 44,17

Volkswagen Voyage 1.0L 8V                               9,6                13,9            0,691             R$ 1,933            R$ 1,959               -R$ 40,90
Volkswagen Voyage 1.0L 8V BlueMotion                   10,1                14,9            0,678             R$ 1,897            R$ 1,959               -R$ 92,07
Volkswagen Voyage 1.0L 8V City                          9,6                13,9            0,691             R$ 1,933            R$ 1,959               -R$ 40,90
Volkswagen Voyage 1.6L 8V                               9,4                13,7            0,686             R$ 1,920            R$ 1,959               -R$ 61,94
Volkswagen Voyage 1.6L 8V City                          9,4                13,7            0,686             R$ 1,920            R$ 1,959               -R$ 61,94
Volkswagen Voyage 1.6L 8V Comfortline                   9,4                13,7            0,686             R$ 1,920            R$ 1,959               -R$ 61,94
Volkswagen Voyage 1.6L 8V I-Motion                      9,5                13,6            0,699             R$ 1,955            R$ 1,959               -R$ 61,94
Volkswagen Voyage 1.6L 8V Comfortline I-Motion          9,5                13,6            0,699             R$ 1,955            R$ 1,959               -R$ 61,94
Volkswagen Voyage 1.6L 8V City I-Motion                 9,5                13,6            0,699             R$ 1,955            R$ 1,959               -R$ 61,94
          (*) Considerando um preço de 2,799 reais para a gasolina.
          Fonte: Inmetro e Jato Dynamics

Estrada ok

  • 1.
    NA ESTRADA Valor com a Relação Ideal Valor máximo do álcool Diferença após 15.000 Km MARCA / MODELO / VERSÃO Álcool (Km/L) Gasolina (Km/L) relação de 0,7 A/G pela relação ideal* rodados usando álcool (R$) (70%)* Citroen AirCross 1.6L 16V Exclusive 7,5 10,5 0,714 R$ 1,999 R$ 1,959 R$ 79,97 Citroen AirCross 1.6L 16V Exclusive BVA 7,4 10,7 0,692 R$ 1,936 R$ 1,959 -R$ 47,72 Citroen AirCross 1.6L 16V GLX 7,5 10,5 0,714 R$ 1,999 R$ 1,959 R$ 79,97 Citroen AirCross 1.6L 16V GLX BVA 7,4 10,7 0,692 R$ 1,936 R$ 1,959 -R$ 47,72 Citroen C3 1.5 8V Origine 9,3 14,7 0,633 R$ 1,771 R$ 1,959 -R$ 304,04 Citroen C3 1.5 8V Tendance 9,3 14,7 0,633 R$ 1,771 R$ 1,959 -R$ 304,04 Citroen C3 1.6 16V Exclusive 9,3 13,4 0,694 R$ 1,943 R$ 1,959 -R$ 26,95 Fiat 500 Cult 1.4L 8V 8,4 12,8 0,656 R$ 1,837 R$ 1,959 -R$ 218,67 Fiat 500 Cult 1.4L 8V Dualogic 8,5 13,0 0,654 R$ 1,830 R$ 1,959 -R$ 227,97 Fiat Doblo 1.8L 16V Adventure 6,7 9,8 0,684 R$ 1,914 R$ 1,959 -R$ 102,31 Fiat Doblo 1.8L 16V Essence 6,4 9,4 0,681 R$ 1,906 R$ 1,959 -R$ 125,62 Fiat Doblo Cargo 1.4L 8V 6,4 9,5 0,674 R$ 1,886 R$ 1,959 -R$ 172,64 Fiat Doblo Cargo 1.8L 16V 7,1 10,4 0,683 R$ 1,911 R$ 1,959 -R$ 102,35 Fiat Fiorino Furgão 1.3L 8V 8,1 11,8 0,686 R$ 1,921 R$ 1,959 -R$ 70,28 Fiat Idea 1.8L 16V Adventure 6,7 9,9 0,677 R$ 1,894 R$ 1,959 -R$ 145,58 Fiat Idea 1.8L 16V Adventure Dualogic 6,7 10,1 0,663 R$ 1,857 R$ 1,959 -R$ 229,56 Fiat Palio 1.0L 8V Attractive 9,4 13,6 0,691 R$ 1,935 R$ 1,959 -R$ 39,41 Fiat Palio 1.4L 8V Attractive 9,3 13,5 0,689 R$ 1,928 R$ 1,959 -R$ 50,16 Fiat Palio 1.8L 16V Adventure 7,9 11,3 0,699 R$ 1,957 R$ 1,959 -R$ 4,70 Fiat Palio 1.8L 16V Adventure Dualogic 8,1 11,7 0,692 R$ 1,938 R$ 1,959 -R$ 39,87 Fiat Punto 1.4 8V Attractive Evo 8,2 12,0 0,683 R$ 1,913 R$ 1,959 -R$ 85,34 Fiat Siena 1.0L 8V EL 9,7 14,4 0,674 R$ 1,885 R$ 1,959 -R$ 114,22 Fiat Siena 1.4L 8V EL 8,8 13,2 0,667 R$ 1,866 R$ 1,959 -R$ 159,03
  • 2.
    Valor com a Relação Ideal Valor máximo do álcool Diferença após 15.000 Km MARCA / MODELO / VERSÃO Álcool (Km/L) Gasolina (Km/L) relação de 0,7 A/G pela relação ideal* rodados usando álcool (R$) (70%)* Fiat Strada 1.4L 8V Working Cabine Curta 8,4 12,2 0,689 R$ 1,927 R$ 1,959 -R$ 57,36 Fiat Strada 1.4L 8V Working Cabine Dupla 8,2 12,0 0,683 R$ 1,913 R$ 1,959 -R$ 85,34 Fiat Strada 1.4L 8V Working Cabine Estendida 8,4 12,2 0,689 R$ 1,927 R$ 1,959 -R$ 57,36 Fiat Strada 1.6L 16V Trekking Cabine Curta 8,7 12,1 0,719 R$ 2,013 R$ 1,959 R$ 91,73 Fiat Strada 1.6L 16V Trekking Cabine Dupla 8,7 12,1 0,719 R$ 2,013 R$ 1,959 R$ 91,73 Fiat Strada 1.6L 16V Trekking Cabine Estendida 8,7 12,1 0,719 R$ 2,013 R$ 1,959 R$ 91,73 Fiat Strada 1.8L 16V Adventure 7,5 11,1 0,676 R$ 1,891 R$ 1,959 -R$ 136,17 Fiat Strada 1.8L 16V Adventure Cabine Dupla 7,5 11,1 0,676 R$ 1,891 R$ 1,959 -R$ 136,17 Fiat Strada 1.8L 16V Adventure Cabine Dupla 7,5 10,8 0,694 R$ 1,944 R$ 1,959 -R$ 31,10 Dualogic Fiat Uno 2 portas 1.0L 8V Evo Vivace 9,4 14,5 0,648 R$ 1,815 R$ 1,959 -R$ 231,03 Fiat Uno 2 portas 1.4L 8V Evo Economy 10,4 15,2 0,684 R$ 1,915 R$ 1,959 -R$ 63,74 Fiat Uno 2 portas 1.4L 8V Sporting 9,0 13,6 0,662 R$ 1,852 R$ 1,959 -R$ 178,37 Fiat Uno 4 portas 1.0L 8V Evo Vivace 9,4 14,5 0,648 R$ 1,815 R$ 1,959 -R$ 231,03 Fiat Uno 4 portas 1.4L 8V Evo Economy 10,4 15,2 0,684 R$ 1,915 R$ 1,959 -R$ 63,74 Fiat Uno 4 portas 1.4L 8V Sporting 9,0 13,6 0,662 R$ 1,852 R$ 1,959 -R$ 178,37 Fiat Uno Mille 2 Portas 1.0L 8V Fire Economy 10,7 15,6 0,686 R$ 1,920 R$ 1,959 -R$ 55,34 Fiat Uno Mille 2 Portas 1.0L 8V Way Economy 9,5 13,6 0,699 R$ 1,955 R$ 1,959 -R$ 6,50 Fiat Uno Mille 4 Portas 1.0L 8V Fire Economy 10,7 15,6 0,686 R$ 1,920 R$ 1,959 -R$ 55,34 Fiat Uno Mille 4 Portas 1.0L 8V Way Economy 9,5 13,6 0,699 R$ 1,955 R$ 1,959 -R$ 6,50 Ford Ecosport 1.6L 8V Freestyle 8,4 12,2 0,689 R$ 1,927 R$ 1,959 -R$ 57,36 Ford Ecosport 1.6L 8V S 8,4 12,2 0,689 R$ 1,927 R$ 1,959 -R$ 57,36 Ford Ecosport 1.6L 8V SE 8,4 12,2 0,689 R$ 1,927 R$ 1,959 -R$ 57,36 Ford Ecosport 1.6L 8V Titanium 8,4 12,2 0,689 R$ 1,927 R$ 1,959 -R$ 57,36 Ford Ecosport 2.0L 16V Freestyle 8,1 12,0 0,675 R$ 1,889 R$ 1,959 -R$ 129,58
  • 3.
    Valor com a Relação Ideal Valor máximo do álcool Diferença após 15.000 Km MARCA / MODELO / VERSÃO Álcool (Km/L) Gasolina (Km/L) relação de 0,7 A/G pela relação ideal* rodados usando álcool (R$) (70%)* Ford Ecosport 2.0L 16V Freestyle 4WD 7,4 10,9 0,679 R$ 1,900 R$ 1,959 -R$ 119,72 Ford Ecosport 2.0L 16V Auto 8,0 11,8 0,678 R$ 1,898 R$ 1,959 -R$ 115,64 Ford Ecosport 2.0L 16V Titanium 8,1 12,0 0,675 R$ 1,889 R$ 1,959 -R$ 129,58 Ford Ecosport 2.0L 16V Titanium Auto 8,0 11,8 0,678 R$ 1,898 R$ 1,959 -R$ 115,64 Ford Fiesta Hatch 1.5L 16V S 9,6 13,7 0,701 R$ 1,961 R$ 1,959 R$ 3,19 Ford Fiesta Hatch 1.5L 16V SE 9,6 13,7 0,701 R$ 1,961 R$ 1,959 R$ 3,19 Ford Fiesta Hatch 1.6L 16V SE 10,0 14,3 0,699 R$ 1,957 R$ 1,959 -R$ 2,94 Ford Fiesta Hatch 1.6L 16V SE Auto 9,9 13,9 0,712 R$ 1,994 R$ 1,959 R$ 51,87 Ford Fiesta Hatch 1.6L 16V Titanium 10,0 14,3 0,699 R$ 1,957 R$ 1,959 -R$ 2,94 Ford Fiesta Hatch 1.6L 16V Titanium Auto 9,9 13,9 0,712 R$ 1,994 R$ 1,959 R$ 51,87 Ford Fiesta Sedan 1.6L 16V SE 9,7 14,1 0,688 R$ 1,926 R$ 1,959 -R$ 52,19 Ford Fiesta Sedan 1.6L 16V SE Auto 9,9 13,9 0,712 R$ 1,994 R$ 1,959 R$ 51,87 Ford Fiesta Sedan 1.6L 16V Titanium 9,7 14,1 0,688 R$ 1,926 R$ 1,959 -R$ 52,19 Ford Fiesta Sedan 1.6L 16V Titanium Auto 9,9 13,9 0,712 R$ 1,994 R$ 1,959 R$ 51,87 Ford Focus Hatch 1.6L 16V GL 8,7 12,9 0,674 R$ 1,888 R$ 1,959 -R$ 123,45 Ford Focus Hatch 1.6L 16V GLX 8,7 12,9 0,674 R$ 1,888 R$ 1,959 -R$ 123,45 Ford Focus Hatch 2.0L 16V GLX 8,1 11,7 0,692 R$ 1,938 R$ 1,959 -R$ 39,87 Ford Focus Hatch 2.0L 16V GLX Auto 7,8 11,3 0,690 R$ 1,932 R$ 1,959 -R$ 52,40 Ford Focus Hatch 2.0L 16V Titanium 8,1 11,7 0,692 R$ 1,938 R$ 1,959 -R$ 39,87 Ford Focus Hatch 2.0L 16V Titanium Auto 7,8 11,3 0,690 R$ 1,932 R$ 1,959 -R$ 52,40 Ford Focus Sedan 1.6L 16V GL 8,7 12,9 0,674 R$ 1,888 R$ 1,959 -R$ 123,45 Ford Focus Sedan 1.6L 16V GLX 8,7 12,9 0,674 R$ 1,888 R$ 1,959 -R$ 123,45 Ford Focus Sedan 2.0L 16V GLX 8,1 11,7 0,692 R$ 1,938 R$ 1,959 -R$ 39,87 Ford Focus Sedan 2.0L 16V GLX Auto 7,8 11,3 0,690 R$ 1,932 R$ 1,959 -R$ 52,40
  • 4.
    Valor com a Relação Ideal Valor máximo do álcool Diferença após 15.000 Km MARCA / MODELO / VERSÃO Álcool (Km/L) Gasolina (Km/L) relação de 0,7 A/G pela relação ideal* rodados usando álcool (R$) (70%)* Ford Focus Sedan 2.0L 16V Titanium Auto 7,8 11,3 0,690 R$ 1,932 R$ 1,959 -R$ 52,40 Ford Ka 1.0L 8V Class 9,2 13,5 0,681 R$ 1,907 R$ 1,959 -R$ 84,51 Ford Ka 1.0L 8V Fly 9,2 13,5 0,681 R$ 1,907 R$ 1,959 -R$ 84,51 Ford Ka 1.0L 8V Pulse 9,2 13,5 0,681 R$ 1,907 R$ 1,959 -R$ 84,51 Honda City 1.5L 16V DX (câmbio automático) 8,3 14,0 0,593 R$ 1,659 R$ 1,959 -R$ 541,98 Honda City 1.5L 16V DX (câmbio manual) 8,7 12,5 0,696 R$ 1,948 R$ 1,959 -R$ 19,30 Honda City 1.5L 16V EX (câmbio automático) 8,3 14,0 0,593 R$ 1,659 R$ 1,959 -R$ 541,98 Honda City 1.5L 16V EX (câmbio manual) 8,7 12,5 0,696 R$ 1,948 R$ 1,959 -R$ 19,30 Honda City 1.5L 16V LX (câmbio automático) 8,3 14,0 0,593 R$ 1,659 R$ 1,959 -R$ 541,98 Honda City 1.5L 16V LX (câmbio manual) 8,7 12,5 0,696 R$ 1,948 R$ 1,959 -R$ 19,30 Honda Civic 1.8L 16V LXS 9,5 13,4 0,709 R$ 1,984 R$ 1,959 R$ 39,58 Honda Civic 1.8L 16V LXS Auto 10,0 13,4 0,746 R$ 2,089 R$ 1,959 R$ 194,26 Honda Civic 2.0L 16V EXR Auto 9,2 12,8 0,719 R$ 2,012 R$ 1,959 R$ 85,57 Honda Civic 2.0L 16V LXR Auto 9,2 12,8 0,719 R$ 2,012 R$ 1,959 R$ 85,57 Honda Fit 1.4L 16V DX (câmbio automático) 8,5 12,5 0,680 R$ 1,903 R$ 1,959 -R$ 98,79 Honda Fit 1.4L 16V DX (câmbio manual) 9,2 13,3 0,692 R$ 1,936 R$ 1,959 -R$ 37,74 Honda Fit 1.4L 16V LX (câmbio automático) 8,5 12,5 0,680 R$ 1,903 R$ 1,959 -R$ 98,79 Honda Fit 1.4L 16V LX (câmbio manual) 9,2 13,3 0,692 R$ 1,936 R$ 1,959 -R$ 37,74 Honda Fit 1.5L 16V EX (câmbio automático) 8,2 12,2 0,672 R$ 1,881 R$ 1,959 -R$ 142,69 Honda Fit 1.5L 16V EX (câmbio manual) 8,5 12,2 0,697 R$ 1,950 R$ 1,959 -R$ 16,19 Honda Fit 1.5L 16V EXL (câmbio automático) 8,2 12,2 0,672 R$ 1,881 R$ 1,959 -R$ 142,69 Honda Fit 1.5L 16V EXL (câmbio manual) 8,5 12,2 0,697 R$ 1,950 R$ 1,959 -R$ 16,19 Honda Fit 1.5L 16V Twist (câmbio automático) 8,2 12,2 0,672 R$ 1,881 R$ 1,959 -R$ 142,69 Honda Fit 1.5L 16V Twist (câmbio manual) 8,5 12,2 0,697 R$ 1,950 R$ 1,959 -R$ 16,19
  • 5.
    Valor com a Relação Ideal Valor máximo do álcool Diferença após 15.000 Km MARCA / MODELO / VERSÃO Álcool (Km/L) Gasolina (Km/L) relação de 0,7 A/G pela relação ideal* rodados usando álcool (R$) (70%)* Hyundai HB20 1.0L 12V Comfort 9,8 14,5 0,676 R$ 1,892 R$ 1,959 -R$ 103,41 Hyundai HB20 1.0L 12V Comfort Plus 9,8 14,5 0,676 R$ 1,892 R$ 1,959 -R$ 103,41 Hyundai HB20 1.0L 12V Comfort Style 9,8 14,5 0,676 R$ 1,892 R$ 1,959 -R$ 103,41 Hyundai HB20 1.6L 16V Comfort 8,7 12,7 0,685 R$ 1,917 R$ 1,959 -R$ 72,20 Hyundai HB20 1.6L 16V Comfort Plus 8,7 12,7 0,685 R$ 1,917 R$ 1,959 -R$ 72,20 Hyundai HB20 1.6L 16V Comfort Style 8,7 12,7 0,685 R$ 1,917 R$ 1,959 -R$ 72,20 Hyundai HB20 1.6L 16V Premium 8,7 12,7 0,685 R$ 1,917 R$ 1,959 -R$ 72,20 Kia Cerato 1.6L 16V Flex EX3 9,3 14,0 0,664 R$ 1,859 R$ 1,959 -R$ 161,23 Kia Cerato 1.6L 16V Flex EX3 Auto 9,1 12,4 0,734 R$ 2,054 R$ 1,959 R$ 156,27 Kia Cerato 1.6L 16V Flex LX3 9,3 14,0 0,664 R$ 1,859 R$ 1,959 -R$ 161,23 Kia Cerato 1.6L 16V Flex LX3 Auto 9,1 12,4 0,734 R$ 2,054 R$ 1,959 R$ 156,27 Kia Cerato 1.6L 16V Flex SX3 9,3 14,0 0,664 R$ 1,859 R$ 1,959 -R$ 161,23 Kia Cerato 1.6L 16V Flex SX3 Auto 9,1 12,4 0,734 R$ 2,054 R$ 1,959 R$ 156,27 Kia Picanto 1.0L 12V EX4 (câmbio automático) 9,4 13,1 0,718 R$ 2,008 R$ 1,959 R$ 78,42 Kia Picanto 1.0L 12V EX4 (câmbio mecânico) 9,8 14,4 0,681 R$ 1,905 R$ 1,959 -R$ 83,30 Kia Picanto 1.0L 12V LX4 (câmbio automático) 9,4 13,1 0,718 R$ 2,008 R$ 1,959 R$ 78,42 Kia Picanto 1.0L 12V LX4 (câmbio mecânico) 9,8 14,4 0,681 R$ 1,905 R$ 1,959 -R$ 83,30 Kia Soul 1.6L 16V EX 8,0 11,8 0,678 R$ 1,898 R$ 1,959 -R$ 115,64 Kia Soul 1.6L 16V EX Auto 7,6 11,1 0,685 R$ 1,916 R$ 1,959 -R$ 84,61 Kia Soul 1.6L 16V LX 8,0 11,8 0,678 R$ 1,898 R$ 1,959 -R$ 115,64 Kia Soul 1.6L 16V LX Auto 7,6 11,1 0,685 R$ 1,916 R$ 1,959 -R$ 84,61 Kia Sportage 2.0L 16V EX G1 6,9 10,3 0,670 R$ 1,875 R$ 1,959 -R$ 183,13 Kia Sportage 2.0L 16V EX G2 6,9 10,3 0,670 R$ 1,875 R$ 1,959 -R$ 183,13 Kia Sportage 2.0L 16V EX G3 Auto 7,4 11,2 0,661 R$ 1,849 R$ 1,959 -R$ 222,89
  • 6.
    Valor com a Relação Ideal Valor máximo do álcool Diferença após 15.000 Km MARCA / MODELO / VERSÃO Álcool (Km/L) Gasolina (Km/L) relação de 0,7 A/G pela relação ideal* rodados usando álcool (R$) (70%)* Kia Sportage 2.0L 16V EX G4 Auto 7,4 11,2 0,661 R$ 1,849 R$ 1,959 -R$ 222,89 Kia Sportage 2.0L 16V LX G1 6,9 10,3 0,670 R$ 1,875 R$ 1,959 -R$ 183,13 Kia Sportage 2.0L 16V LX G2 6,9 10,3 0,670 R$ 1,875 R$ 1,959 -R$ 183,13 Kia Sportage 2.0L 16V LX G3 Auto 7,4 11,2 0,661 R$ 1,849 R$ 1,959 -R$ 222,89 Kia Sportage 2.0L 16V LX G4 Auto 7,4 11,2 0,661 R$ 1,849 R$ 1,959 -R$ 222,89 Mitsubishi Pajero TR4 2.0L 16V 4x2 6,6 9,3 0,710 R$ 1,986 R$ 1,959 R$ 61,56 Nissan Livina 1.6L 16V 8,1 11,9 0,681 R$ 1,905 R$ 1,959 -R$ 100,18 Nissan Livina 1.6L 16V S 8,1 11,9 0,681 R$ 1,905 R$ 1,959 -R$ 100,18 Nissan Livina 1.6L 16V SL 8,1 11,9 0,681 R$ 1,905 R$ 1,959 -R$ 100,18 Nissan March 1.0L 16V com ar-condicionado 9,7 14,5 0,669 R$ 1,872 R$ 1,959 -R$ 134,33 Nissan March 1.0L 16V sem ar-condicionado 10,4 15,0 0,693 R$ 1,941 R$ 1,959 -R$ 26,91 Nissan Sentra 2.0L 16V 8,1 11,7 0,692 R$ 1,938 R$ 1,959 -R$ 39,87 Nissan Sentra 2.0L 16V S 8,1 11,7 0,692 R$ 1,938 R$ 1,959 -R$ 39,87 Nissan Sentra 2.0L 16V SL 8,1 11,7 0,692 R$ 1,938 R$ 1,959 -R$ 39,87 Nissan Versa 1.6 16V 9,3 13,9 0,669 R$ 1,873 R$ 1,959 -R$ 139,66 Nissan Versa 1.6 16V S 9,3 13,9 0,669 R$ 1,873 R$ 1,959 -R$ 139,66 Nissan Versa 1.6 16V SL 9,3 13,9 0,669 R$ 1,873 R$ 1,959 -R$ 139,66 Nissan Versa 1.6 16V SR 9,3 13,9 0,669 R$ 1,873 R$ 1,959 -R$ 139,66 Nissan Versa 1.6 16V SV 9,3 13,9 0,669 R$ 1,873 R$ 1,959 -R$ 139,66 Peugeot 207 Hatch 3 Portas 1.4L 8V XR 8,7 13,7 0,635 R$ 1,777 R$ 1,959 -R$ 313,50 Peugeot 207 Hatch 5 Portas 1.4L 8V Blue Lion 10,0 15,0 0,667 R$ 1,866 R$ 1,959 -R$ 139,95 Peugeot 207 Hatch 5 Portas 1.4L 8V XR 8,7 13,7 0,635 R$ 1,777 R$ 1,959 -R$ 313,50 Peugeot 207 Hatch 5 Portas 1.4L 8V XRS 8,7 13,7 0,635 R$ 1,777 R$ 1,959 -R$ 313,50 Peugeot 207 Passion 1.4L 8V XR 8,7 13,7 0,635 R$ 1,777 R$ 1,959 -R$ 313,50
  • 7.
    Valor com a Relação Ideal Valor máximo do álcool Diferença após 15.000 Km MARCA / MODELO / VERSÃO Álcool (Km/L) Gasolina (Km/L) relação de 0,7 A/G pela relação ideal* rodados usando álcool (R$) (70%)* Peugeot 207 Passion 1.4L 8V XRS 8,7 13,7 0,635 R$ 1,777 R$ 1,959 -R$ 313,50 Renault Clio 3 Portas 1.0L 16V Authentique com ar- 9,6 14,3 0,671 R$ 1,879 R$ 1,959 -R$ 125,39 condicionado Renault Clio 3 Portas 1.0L 16V Authentique sem ar- 10,7 15,8 0,677 R$ 1,896 R$ 1,959 -R$ 89,40 condicionado Renault Clio 5 Portas 1.0L 16V Authentique com ar- 9,6 14,3 0,671 R$ 1,879 R$ 1,959 -R$ 125,39 condicionado Renault Clio 5 Portas 1.0L 16V Authentique sem ar- 10,7 15,8 0,677 R$ 1,896 R$ 1,959 -R$ 89,40 condicionado Renault Clio 5 Portas 1.0L 16V Expression com ar- 9,6 14,3 0,671 R$ 1,879 R$ 1,959 -R$ 125,39 condicionado Renault Clio 5 Portas 1.0L 16V Expression sem ar- 10,7 15,8 0,677 R$ 1,896 R$ 1,959 -R$ 89,40 condicionado Renault Duster 1.6L 16V 7,4 10,7 0,692 R$ 1,936 R$ 1,959 -R$ 47,72 Renault Duster 1.6L 16V Dynamique 7,4 10,7 0,692 R$ 1,936 R$ 1,959 -R$ 47,72 Renault Duster 1.6L 16V Expression 7,4 10,7 0,692 R$ 1,936 R$ 1,959 -R$ 47,72 Renault Duster 2.0L 16V Dynamique 7,8 11,2 0,696 R$ 1,949 R$ 1,959 -R$ 19,22 Renault Duster 2.0L 16V Dynamique 4x4 7,2 10,2 0,706 R$ 1,976 R$ 1,959 R$ 34,30 Renault Fluence 2.0L 16V Dynamique 9,2 14,1 0,652 R$ 1,826 R$ 1,959 -R$ 216,85 Renault Kangoo Express 1.6L 16V 7,4 10,9 0,679 R$ 1,900 R$ 1,959 -R$ 119,72 Renault Logan 1.0L 16V Authentique 8,6 12,8 0,672 R$ 1,881 R$ 1,959 -R$ 137,31 Renault Logan 1.0L 16V Authentique sem ar- 9,2 13,8 0,667 R$ 1,866 R$ 1,959 -R$ 152,12 condicionado Renault Logan 1.0L 16V Expression 8,6 12,8 0,672 R$ 1,881 R$ 1,959 -R$ 137,31 Renault Sandero 1.0L 16V Authentique 8,6 12,8 0,672 R$ 1,881 R$ 1,959 -R$ 137,31
  • 8.
    Valor com a Relação Ideal Valor máximo do álcool Diferença após 15.000 Km MARCA / MODELO / VERSÃO Álcool (Km/L) Gasolina (Km/L) relação de 0,7 A/G pela relação ideal* rodados usando álcool (R$) (70%)* Renault Sandero 1.0L 16V Expression 8,6 12,8 0,672 R$ 1,881 R$ 1,959 -R$ 137,31 Renault Sandero 1.0L 16V sem ar condicionado 9,2 13,8 0,667 R$ 1,866 R$ 1,959 -R$ 152,12 Toyota Corolla 1.8L 16V GLi (câmbio automático) 9,1 13,3 0,684 R$ 1,915 R$ 1,959 -R$ 72,85 Toyota Corolla 1.8L 16V GLi (câmbio manual) 9,6 13,5 0,711 R$ 1,990 R$ 1,959 R$ 48,59 Toyota Corolla 1.8L 16V XLi (câmbio automático) 9,1 13,3 0,684 R$ 1,915 R$ 1,959 -R$ 72,85 Toyota Corolla 1.8L 16V XLi (câmbio manual) 9,6 13,5 0,711 R$ 1,990 R$ 1,959 R$ 48,59 Toyota Etios 1.3 16V sem ar-condicionado 9,0 13,0 0,692 R$ 1,938 R$ 1,959 -R$ 35,88 Toyota Etios 1.3 16V X 9,0 13,0 0,692 R$ 1,938 R$ 1,959 -R$ 35,88 Toyota Etios 1.3 16V XS 9,0 13,0 0,692 R$ 1,938 R$ 1,959 -R$ 35,88 Toyota Etios 1.5 16V XLS 8,9 13,4 0,664 R$ 1,859 R$ 1,959 -R$ 168,98 Toyota Etios Sedan 1.5L 16V X 9,3 14,0 0,664 R$ 1,859 R$ 1,959 -R$ 161,23 Toyota Etios Sedan 1.5L 16V XLS 9,3 14,0 0,664 R$ 1,859 R$ 1,959 -R$ 161,23 Toyota Etios Sedan 1.5L 16V XS 9,3 14,0 0,664 R$ 1,859 R$ 1,959 -R$ 161,23 Volkswagen Gol 1.0L 8V 2 Portas 9,6 13,9 0,691 R$ 1,933 R$ 1,959 -R$ 40,90 Volkswagen Gol 1.0L 8V 2 Portas BlueMotion 10,1 14,9 0,678 R$ 1,897 R$ 1,959 -R$ 92,07 Volkswagen Gol 1.0L 8V 2 Portas City 9,6 13,9 0,691 R$ 1,933 R$ 1,959 -R$ 40,90 Volkswagen Gol 1.0L 8V 4 Portas 9,6 13,9 0,691 R$ 1,933 R$ 1,959 -R$ 40,90 Volkswagen Gol 1.0L 8V 4 Portas BlueMotion 10,1 14,9 0,678 R$ 1,897 R$ 1,959 -R$ 92,07 Volkswagen Gol 1.0L 8V 4 Portas City 9,6 13,9 0,691 R$ 1,933 R$ 1,959 -R$ 40,90 Volkswagen Gol 1.0L 8V Ecomotion 2 Portas 9,8 14,1 0,695 R$ 1,945 R$ 1,959 -R$ 21,27 Volkswagen Gol 1.0L 8V Ecomotion 4 Portas 9,8 14,1 0,695 R$ 1,945 R$ 1,959 -R$ 21,27 Volkswagen Gol 1.6L 8V 2 Portas 9,4 13,7 0,686 R$ 1,920 R$ 1,959 -R$ 61,94 Volkswagen Gol 1.6L 8V 2 Portas City 9,4 13,7 0,686 R$ 1,920 R$ 1,959 -R$ 61,94
  • 9.
    Volkswagen Gol 1.6L8V 2 Portas City I-Motion 9,5 13,6 0,699 R$ 1,955 R$ 1,959 -R$ 6,50 Valor com a Relação Ideal Valor máximo do álcool Diferença após 15.000 Km MARCA / MODELO / VERSÃO Álcool (Km/L) Gasolina (Km/L) relação de 0,7 A/G pela relação ideal* rodados usando álcool (R$) (70%)* Volkswagen Gol 1.6L 8V 2 Portas I-Motion 9,5 13,6 0,699 R$ 1,955 R$ 1,959 -R$ 6,50 Volkswagen Gol 1.6L 8V 4 Portas 9,4 13,7 0,686 R$ 1,920 R$ 1,959 -R$ 61,94 Volkswagen Gol 1.6L 8V 4 Portas Power 9,4 13,7 0,686 R$ 1,920 R$ 1,959 -R$ 61,94 Volkswagen Gol 1.6L 8V 4 Portas City 9,4 13,7 0,686 R$ 1,920 R$ 1,959 -R$ 61,94 Volkswagen Gol 1.6L 8V 4 Portas City I-Motion 9,5 13,6 0,699 R$ 1,955 R$ 1,959 -R$ 6,50 Volkswagen Gol 1.6L 8V 4 Portas I-Motion 9,5 13,6 0,699 R$ 1,955 R$ 1,959 -R$ 6,50 Volkswagen Gol 1.6L 8V 4 Portas Power I-Motion 9,5 13,6 0,699 R$ 1,955 R$ 1,959 -R$ 6,50 Volkswagen Gol G4 1.0L 8V 2 Portas 9,0 13,2 0,682 R$ 1,908 R$ 1,959 -R$ 84,82 Volkswagen Gol G4 1.0L 8V 4 Portas 9,0 13,2 0,682 R$ 1,908 R$ 1,959 -R$ 84,82 Volkswagen Kombi 1.4L 8V Ambulância 6,1 9,0 0,678 R$ 1,897 R$ 1,959 -R$ 152,95 Volkswagen Kombi 1.4L 8V Escolar 6,1 9,0 0,678 R$ 1,897 R$ 1,959 -R$ 152,95 Volkswagen Kombi 1.4L 8V Furgão 6,1 9,0 0,678 R$ 1,897 R$ 1,959 -R$ 152,95 Volkswagen Kombi 1.4L 8V Lotação 6,1 9,0 0,678 R$ 1,897 R$ 1,959 -R$ 152,95 Volkswagen Kombi 1.4L 8V Standard 6,1 9,0 0,678 R$ 1,897 R$ 1,959 -R$ 152,95 Volkswagen Polo 1.6L 8V 8,1 12,1 0,669 R$ 1,874 R$ 1,959 -R$ 158,50 Volkswagen Polo 1.6L 8V BlueMotion 10,5 15,0 0,700 R$ 1,959 R$ 1,959 R$ 0,00 Volkswagen Polo 1.6L 8V Sportline 8,1 12,1 0,669 R$ 1,874 R$ 1,959 -R$ 158,50 Volkswagen Polo Sedan 1.6L 8V 8,1 12,1 0,669 R$ 1,874 R$ 1,959 -R$ 158,50 Volkswagen Polo Sedan 1.6L 8V Comfortline 8,1 12,1 0,669 R$ 1,874 R$ 1,959 -R$ 158,50
  • 10.
    Volkswagen Saveiro 1.6L8V Cabine Estendida 8,5 12,3 0,691 R$ 1,934 R$ 1,959 -R$ 44,17 Valor com a Relação Ideal Valor máximo do álcool Diferença após 15.000 Km MARCA / MODELO / VERSÃO Álcool (Km/L) Gasolina (Km/L) relação de 0,7 A/G pela relação ideal* rodados usando álcool (R$) (70%)* Volkswagen Saveiro 1.6L 8V Cabine Estendida 8,5 12,3 0,691 R$ 1,934 R$ 1,959 -R$ 44,17 Trooper Volkswagen Saveiro 1.6L 8V Cabine Simples 8,5 12,3 0,691 R$ 1,934 R$ 1,959 -R$ 44,17 Volkswagen Saveiro 1.6L 8V Cabine Simples Trooper 8,5 12,3 0,691 R$ 1,934 R$ 1,959 -R$ 44,17 Volkswagen Voyage 1.0L 8V 9,6 13,9 0,691 R$ 1,933 R$ 1,959 -R$ 40,90 Volkswagen Voyage 1.0L 8V BlueMotion 10,1 14,9 0,678 R$ 1,897 R$ 1,959 -R$ 92,07 Volkswagen Voyage 1.0L 8V City 9,6 13,9 0,691 R$ 1,933 R$ 1,959 -R$ 40,90 Volkswagen Voyage 1.6L 8V 9,4 13,7 0,686 R$ 1,920 R$ 1,959 -R$ 61,94 Volkswagen Voyage 1.6L 8V City 9,4 13,7 0,686 R$ 1,920 R$ 1,959 -R$ 61,94 Volkswagen Voyage 1.6L 8V Comfortline 9,4 13,7 0,686 R$ 1,920 R$ 1,959 -R$ 61,94 Volkswagen Voyage 1.6L 8V I-Motion 9,5 13,6 0,699 R$ 1,955 R$ 1,959 -R$ 61,94 Volkswagen Voyage 1.6L 8V Comfortline I-Motion 9,5 13,6 0,699 R$ 1,955 R$ 1,959 -R$ 61,94 Volkswagen Voyage 1.6L 8V City I-Motion 9,5 13,6 0,699 R$ 1,955 R$ 1,959 -R$ 61,94 (*) Considerando um preço de 2,799 reais para a gasolina. Fonte: Inmetro e Jato Dynamics