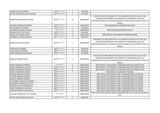
CANDIDATO CPF
CÓDIGO DO
CARGO
SITUAÇÃO OBSERVAÇÃO
CRISTIANE DOS SANTOS PATU 778***.***-** 7 DEFERIDA
SAMUEL SANTOS LIMA 059***.***-** - INDEFERIDO CANDIDATO NÃO APRESENTOU DOCUMENTAÇÃO EXIGIDA
DIONISIO JOSÉ FERREIRA 709***.***-** 3 DEFERIDA
DIULIANE MARQUES LOPES -***.***-** 7 INDEFERIDO CANDIDATO NÃO APRESENTOU DOCUMENTAÇÃO EXIGIDA
RAYNARA EDUARDA PEREIRA SILVA 090***.***-** - INDEFERIDO CANDIDATO NÃO APRESENTOU DOCUMENTAÇÃO EXIGIDA
CARLA FABIANE MARQUES DA SILVA FERNANDES 919***.***-** 7 INDEFERIDO CANDIDATO NÃO APRESENTOU DOCUMENTAÇÃO EXIGIDA
FLÁVIA BARBOSA DE SOUZA SILVA 177***.***-** 3 INDEFERIDO CANDIDATO NÃO APRESENTOU DOCUMENTAÇÃO EXIGIDA
KLEIDIA DA SILVA RODRIGUES 780***.***-** 8 INDEFERIDO CANDIDATO NÃO APRESENTOU DOCUMENTAÇÃO EXIGIDA
THAYNARA GABRIELLE MACIANO MARTINS 057***.***-** 2 INDEFERIDO CANDIDATO NÃO APRESENTOU DOCUMENTAÇÃO EXIGIDA
CILEIDE MOURA BEZERRA 798***.***-** - INDEFERIDO CANDIDATO NÃO APRESENTOU DOCUMENTAÇÃO EXIGIDA
LUCIANO RIBEIRO DE MACEDO ARAUJO 003***.***-** 7 INDEFERIDO CANDIDATO NÃO APRESENTOU DOCUMENTAÇÃO EM FORMATO EXIGIDO
PEDRO IVO MARTINS LIMA 023***.***-** 1 DEFERIDA
CRISTINA DA SILVA ARAUJO 696***.***-** - INDEFERIDO CANDIDATO NÃO APRESENTOU DOCUMENTAÇÃO EXIGIDA
JEANY APARECIDA GONÇALVES DE SOUZA 810***.***-** 3 INDEFERIDO CANDIDATO NÃO APRESENTOU DOCUMENTAÇÃO EXIGIDA
RAYANE PEREIRA DOS REIS 018***.***-** 5 INDEFERIDO CANDIDATO NÃO APRESENTOU DOCUMENTAÇÃO EXIGIDA
ALESSANDRA CARINA DE JESUS GOMES PÉREZ 065***.***-** 1 DEFERIDA
MARIA SANDRA DO NASCIMENTO -***.***-** - INDEFERIDO CANDIDATO NÃO APRESENTOU DOCUMENTAÇÃO EM FORMATO EXIGIDO
SAMILA LEÃO GUIMARÃES 907***.***-** 3 INDEFERIDO CANDIDATO NÃO APRESENTOU DOCUMENTAÇÃO EXIGIDA
BEATRIZ FERREIRA DE LIMA 046***.***-** - INDEFERIDO CANDIDATO NÃO APRESENTOU DOCUMENTAÇÃO EXIGIDA
FRANCISCO PAULO DE SOUSA CARVALHO 007***.***-** 5 INDEFERIDO CANDIDATO NÃO APRESENTOU DOCUMENTAÇÃO EXIGIDA
RESULTADO DEFINITIVO DAS SOLICITAÇÕES DE ISENÇÃO DE TAXA (AVAS/ACS) SES - DF
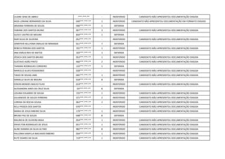
RONY CASTRO DE FREITAS 035***.***-** 1 DEFERIDA
EDILVANIA VITORINO -***.***-** - INDEFERIDO CANDIDATO NÃO APRESENTOU DOCUMENTAÇÃO EM FORMATO EXIGIDO
PAULO CESAR AZEVEDO AZEREDO E SILVA 620***.***-** 2 INDEFERIDO CANDIDATO NÃO APRESENTOU DOCUMENTAÇÃO EXIGIDA
LUCIENE PEREIRA DOS SANTOS 698***.***-** 8 INDEFERIDO CANDIDATO NÃO APRESENTOU DOCUMENTAÇÃO EXIGIDA
LEONICE RIBEIRO DOS SANTOS BORGES 024***.***-** 6 INDEFERIDO CANDIDATO NÃO APRESENTOU DOCUMENTAÇÃO EXIGIDA
MICHELLE DE CASTRO NUNES 056***.***-** 1 DEFERIDA
UILAS BENTO SOBRINHO -***.***-** - INDEFERIDO CANDIDATO NÃO APRESENTOU DOCUMENTAÇÃO EXIGIDA
EDIONE AZEVEDO DOS SANTOS 001***.***-** 8 INDEFERIDO CANDIDATO NÃO APRESENTOU DOCUMENTAÇÃO EXIGIDA
MATEUS FRANCO FARIAS 049***.***-** 1 DEFERIDA
DANIELLE ANDRADE FERREIRA 058***.***-** - INDEFERIDO CANDIDATO NÃO APRESENTOU DOCUMENTAÇÃO EXIGIDA
AQUELIANA FERREIRA DA SILVA SANTOS 032***.***-** - INDEFERIDO CANDIDATO NÃO APRESENTOU DOCUMENTAÇÃO EXIGIDA
DANYLO CARNEIRO GOMES 063***.***-** 1 INDEFERIDO CANDIDATO NÃO APRESENTOU DOCUMENTAÇÃO EXIGIDA
VILMA LOPES DOS SANTOS 244***.***-** 5 INDEFERIDO CANDIDATO NÃO APRESENTOU DOCUMENTAÇÃO EXIGIDA
LATANNE CRISTINA DOS SANTOS BATISTA 051***.***-** 1 INDEFERIDO CANDIDATO NÃO APRESENTOU DOCUMENTAÇÃO EXIGIDA
VIVIANA ALVES DE SOUSA 036***.***-** 6 DEFERIDA
GICLEIDE ALMEIDA DE CARVALHO -***.***-** - INDEFERIDO CANDIDATO NÃO APRESENTOU DOCUMENTAÇÃO EXIGIDA
ANA LUCIA ALVES DA CUNHA 705***.***-** 1 DEFERIDA
ANTHOINE DOS SANTOS BATISTA 073***.***-** 1 INDEFERIDO CANDIDATO NÃO APRESENTOU DOCUMENTAÇÃO EXIGIDA
PATRICIA MARIA SILVA DOS SANTOS 003***.***-** 8 INDEFERIDO CANDIDATO NÃO APRESENTOU DOCUMENTAÇÃO EXIGIDA
LUCIRLENE DA SILVA SOBRINHO 995***.***-** 2 DEFERIDA
ELAINE ALVES ROCHA 831***.***-** 7 INDEFERIDO CANDIDATO NÃO APRESENTOU DOCUMENTAÇÃO EXIGIDA
OCTAVIO AUGUSTO DA SILVA GOMES 042***.***-** 6 DEFERIDA
JOSE PAULO ARAUJO BARBOSA 934***.***-** 7 DEFERIDA
LÍGIA LETÍCIA CARVALHO DE AGUIAR 013***.***-** 3 INDEFERIDO CANDIDATO NÃO APRESENTOU DOCUMENTAÇÃO EXIGIDA
LARISSA VILAS BOA DA SILVA DOS SANTOS 008***.***-** 1 DEFERIDA
KARINA SENA DA SILVA 050***.***-** 7 INDEFERIDO CANDIDATO NÃO APRESENTOU DOCUMENTAÇÃO EXIGIDA
LUIS FELIPE BARRETO DA SILVA 044***.***-** 1 DEFERIDA
LUANA GALENO DOS SANTOS 044***.***-** 1 DEFERIDA
LILIANE SENA DE ABREU -***.***-** - INDEFERIDO CANDIDATO NÃO APRESENTOU DOCUMENTAÇÃO EXIGIDA
MIZA LORIANE BERNARDES DA SILVA 049***.***-** 1 INDEFERIDO CANDIDATO NÃO APRESENTOU DOCUMENTAÇÃO EM FORMATO EXIGIDO
ARIADNA FERREIRA DE SOUZA 046***.***-** 1 DEFERIDA
FABIANE DOS SANTOS MUNIZ 007***.***-** 3 INDEFERIDO CANDIDATO NÃO APRESENTOU DOCUMENTAÇÃO EXIGIDA
GLEICE CASTRO DE MOURA 834***.***-** 1 DEFERIDA
RAIR SILVA DE OLIVEIRA 052***.***-** - INDEFERIDO CANDIDATO NÃO APRESENTOU DOCUMENTAÇÃO EXIGIDA
JENNYFER HELLYENAI ARAUJO DE MIRANDA 011***.***-** 7 DEFERIDA
REBECA PEREIRA DOS SANTOS 701***.***-** 1 INDEFERIDO CANDIDATO NÃO APRESENTOU DOCUMENTAÇÃO EXIGIDA
ANA EMÍLIA REIS DE MATOS 103***.***-** 1 DEFERIDA
JÉSSICA DOS SANTOS BRUNO 053***.***-** 1 INDEFERIDO CANDIDATO NÃO APRESENTOU DOCUMENTAÇÃO EXIGIDA
GUSTAVO ADÃO PINTO 466***.***-** 2 INDEFERIDO CANDIDATO NÃO APRESENTOU DOCUMENTAÇÃO EXIGIDA
TAINARA RODRIGUES CORDEIRO 133***.***-** 1 DEFERIDA
MARCELO ALVES POSSIDONIO 028***.***-** - INDEFERIDO CANDIDATO NÃO APRESENTOU DOCUMENTAÇÃO EXIGIDA
TIAGO DE SOUSA LIMA 045***.***-** 1 INDEFERIDO CANDIDATO NÃO APRESENTOU DOCUMENTAÇÃO EXIGIDA
DANIELLE SILVA DE MOURA 018***.***-** 8 DEFERIDA
EDSON MENDES INACIO FILHO 014***.***-** - INDEFERIDO CANDIDATO NÃO APRESENTOU DOCUMENTAÇÃO EXIGIDA
ALESSANDRA AIRES DA CRUZ SILVA 03***.***-** 8 DEFERIDA
LIDUINA EDUARDO DE SOUSA 725***.***-** 1 INDEFERIDO CANDIDATO NÃO APRESENTOU DOCUMENTAÇÃO EXIGIDA
GILVANEIDE DE SOUZA FERREIRA 371***.***-** 2 INDEFERIDO CANDIDATO NÃO APRESENTOU DOCUMENTAÇÃO EXIGIDA
LORENA DA ROCHA SOUSA 063***.***-** 1 INDEFERIDO CANDIDATO NÃO APRESENTOU DOCUMENTAÇÃO EXIGIDA
KELLI PASSOS DOS SANTOS 070***.***-** - INDEFERIDO CANDIDATO NÃO APRESENTOU DOCUMENTAÇÃO EXIGIDA
MARIA DE JESUS RIBEIRO SILVA 179***.***-** 1 INDEFERIDO CANDIDATO NÃO APRESENTOU DOCUMENTAÇÃO EXIGIDA
BRUNO PAZ DE SOUZA 048***.***-** 8 DEFERIDA
MAURICIA DE OLIVEIRA MAIA 054***.***-** 1 INDEFERIDO CANDIDATO NÃO APRESENTOU DOCUMENTAÇÃO EXIGIDA
ERIVELTON RODRIGUES DE JESUS 051***.***-** 1 INDEFERIDO CANDIDATO NÃO APRESENTOU DOCUMENTAÇÃO EXIGIDA
ALINE DIANIRA DA SILVA ALTINO 982***.***-** 8 INDEFERIDO CANDIDATO NÃO APRESENTOU DOCUMENTAÇÃO EXIGIDA
PALLOMA KAMYLLA MACHADO RIBEIRO 034***.***-** 1 INDEFERIDO CANDIDATO NÃO APRESENTOU DOCUMENTAÇÃO EXIGIDA
RUTE SOARES DA SILVA 719***.***-** 1 INDEFERIDO CANDIDATO NÃO APRESENTOU DOCUMENTAÇÃO EXIGIDA
QUEREN HAPUQUE FERREIRA DA SILVA 073***.***-** 8 INDEFERIDO CANDIDATO NÃO APRESENTOU DOCUMENTAÇÃO EXIGIDA
INGRID NATHALYE SANTOS DE ALBUQUERQUE 028***.***-** 1 DEFERIDA
NEIF BASTOS VALVERDE 995***.***-** 1 DEFERIDA
SARA SAYURI AVILINO HOSAKA 035***.***-** 8 DEFERIDA
ANA VITORIA DIAS DE LIMA 072***.***-** 6 INDEFERIDO CANDIDATO NÃO APRESENTOU DOCUMENTAÇÃO EXIGIDA
VERONICA FERREIRA BASTOS LIMA 603***.***-** - INDEFERIDO CANDIDATO NÃO APRESENTOU DOCUMENTAÇÃO EXIGIDA
ANA MARIA DOS SANTOS SOUZA 603***.***-** 8 INDEFERIDO CANDIDATO NÃO APRESENTOU DOCUMENTAÇÃO EXIGIDA
RAQUEL FRANCISCA MACHADO 000***.***-** - INDEFERIDO CANDIDATO NÃO APRESENTOU DOCUMENTAÇÃO EXIGIDA
RUITHER ROCHA MOREIRA 998***.***-** 1 INDEFERIDO CANDIDATO NÃO APRESENTOU DOCUMENTAÇÃO EXIGIDA
RAILANE RODRIGUES DOS SANTOS 042***.***-** - INDEFERIDO CANDIDATO NÃO APRESENTOU DOCUMENTAÇÃO EM FORMATO EXIGIDO
ANA BEATRIZ SOUZA DA SILVA 716***.***-** 1 INDEFERIDO CANDIDATO NÃO APRESENTOU DOCUMENTAÇÃO EXIGIDA
RITA DE CASSIA DE PAULA MACHADO TAVARES BARBOSA 607***.***-** 2 INDEFERIDO CANDIDATO NÃO APRESENTOU DOCUMENTAÇÃO EXIGIDA
LUIZA DOS SANTOS MARTINS 138***.***-** - INDEFERIDO CANDIDATO NÃO APRESENTOU DOCUMENTAÇÃO EXIGIDA
ANA NAIARA BRASILINO DA SILVA 064***.***-** - INDEFERIDO CANDIDATO NÃO APRESENTOU DOCUMENTAÇÃO EXIGIDA
NEIF BASTOS VALVERDE 995***.***-** 8 DEFERIDA
ADRIANA RODRIGUES RIBEIRO 069***.***-** - INDEFERIDO CANDIDATO NÃO APRESENTOU DOCUMENTAÇÃO EXIGIDA
MARIO HERIQUE MORENO DOS SANTOS 019***.***-** 1 DEFERIDA
VINÍCIUS RIBEIRO DA SILVA 035***.***-** 1 DEFERIDA
THAYANE DE SOUZA SOARES 052***.***-** 1 DEFERIDA
THAÍS FÉLIX REIS 054***.***-** 2 INDEFERIDO CANDIDATO NÃO APRESENTOU DOCUMENTAÇÃO EXIGIDA
RITA DE CASSIA DE PAULA MACHADO TAVARES BARBOSA 607***.***-** 1 INDEFERIDO CANDIDATO NÃO APRESENTOU DOCUMENTAÇÃO EXIGIDA
NAIANNA NADYA SANTOS DE MENESES 042***.***-** 5 INDEFERIDO CANDIDATO NÃO APRESENTOU DOCUMENTAÇÃO EXIGIDA
JADE MANSUR DA SILVA 053***.***-** 8 DEFERIDA
NATHALIA MEDEIROS LEITE ALEIXO 042***.***-** 1 DEFERIDA
ADRIANA CORTES RIBEIRO 841***.***-** 3 DEFERIDA
JOSUE OLIVEIRA DAMASCENO 036***.***-** 1 DEFERIDA
VINÍCIUS RIBEIRO DA SILVA 035***.***-** 2 DEFERIDA
ERIKA SOARES DOS SANTOS 716***.***-** 1 DEFERIDA
ANA PAULA DA SILVA E SILVA 002***.***-** 1 DEFERIDA
ADRIANA RODRIGUES RIBEIRO 069***.***-** 1 INDEFERIDO CANDIDATO NÃO APRESENTOU DOCUMENTAÇÃO EXIGIDA
SARA JANE NERES SANTOS 066***.***-** 1 INDEFERIDO CANDIDATO NÃO APRESENTOU DOCUMENTAÇÃO EXIGIDA
DIEGO HENRIQUE MOURA PIRES GONÇALVES 060***.***-** 1 INDEFERIDO CANDIDATO NÃO APRESENTOU DOCUMENTAÇÃO EXIGIDA
VANDERLANE ALVES TEXEIRA 074***.***-** 8 INDEFERIDO CANDIDATO NÃO APRESENTOU DOCUMENTAÇÃO EXIGIDA
NATHALY AGUIAR TORRES 044***.***-** 5 DEFERIDA
NATHALIA MEDEIROS LEITE ALEIXO 042***.***-** 8 DEFERIDA
ELYDA PEREIRA PINTO 045***.***-** - INDEFERIDO CANDIDATO NÃO APRESENTOU DOCUMENTAÇÃO EXIGIDA
MATHEUS FELICIANO FIGUEIREDO 066***.***-** 3 DEFERIDO
RAIMUNDA MENDES DOS REIS 048***.***-** 1 INDEFERIDO CANDIDATO NÃO APRESENTOU DOCUMENTAÇÃO EXIGIDA
JADERSON GONÇALVES -***.***-** - INDEFERIDO CANDIDATO NÃO APRESENTOU DOCUMENTAÇÃO EXIGIDA
ANTONIO CARLOS DE SOUZA BRITO 900***.***-** 8 INDEFERIDO CANDIDATO NÃO APRESENTOU DOCUMENTAÇÃO EXIGIDA
YURI NASCIMENTO MEDEIROS 077***.***-** 1 INDEFERIDO CANDIDATO NÃO APRESENTOU DOCUMENTAÇÃO EXIGIDA
ANDREA FERNANDES FREIRES -***.***-** - INDEFERIDO CANDIDATO NÃO APRESENTOU DOCUMENTAÇÃO EXIGIDA
THAIS FELIX REIS 054***.***-** 1 INDEFERIDO CANDIDATO NÃO APRESENTOU DOCUMENTAÇÃO EXIGIDA
CLAUDIANY DE FREITAS FERREIRA 024***.***-** 1 INDEFERIDO CANDIDATO NÃO APRESENTOU DOCUMENTAÇÃO EXIGIDA
DEVID FERREIRA SANTOS 064***.***-** - INDEFERIDO CANDIDATO NÃO APRESENTOU DOCUMENTAÇÃO EXIGIDA
IASMIN JESUS DE SOUZA REIS 154***.***-** 1 INDEFERIDO CANDIDATO NÃO APRESENTOU DOCUMENTAÇÃO EXIGIDA
GABRIELA SOARES DA COSTA 023***.***-** 7 INDEFERIDO CANDIDATO NÃO APRESENTOU DOCUMENTAÇÃO EXIGIDA
JOSEANE ALVES DE SOUZA OLIVEIRA 070***.***-** 1 INDEFERIDO CANDIDATO NÃO APRESENTOU DOCUMENTAÇÃO EXIGIDA
MONICA DE SOUSA OLIVEIRA 037***.***-** 5 INDEFERIDO CANDIDATO NÃO APRESENTOU DOCUMENTAÇÃO EXIGIDA
RAMON BATISTA DE SOUSA 017***.***-** 1 DEFERIDA
NATHALY AGUIAR TORRES 04***.***-** 1 DEFERIDA
ELAINE DOS SANTOS DA ROCHA 005***.***-** 1 DEFERIDA
BRUNA SANTOS DE JESUS 097***.***-** 1 INDEFERIDO CANDIDATO NÃO APRESENTOU DOCUMENTAÇÃO EXIGIDA
MARCELO CLAUDINO DOS SANTOS 00***.***-** 1 DEFERIDA
SILVANIA MARQUES -***.***-** - INDEFERIDO CANDIDATO NÃO APRESENTOU DOCUMENTAÇÃO EXIGIDA
LEONARDO AMARAL DA SILVA 553***.***-** 5 INDEFERIDO CANDIDATO NÃO APRESENTOU DOCUMENTAÇÃO EXIGIDA
ARISTÓTOLES OLIVEIRA -***.***-** - INDEFERIDO CANDIDATO NÃO APRESENTOU DOCUMENTAÇÃO EM FORMATO EXIGIDO
THIAGO DANIEL FERNANDO DIAS DE SOUSA PIRES 016***.***-** - INDEFERIDO CANDIDATO NÃO APRESENTOU DOCUMENTAÇÃO EXIGIDA
TATIANE DE SOUZA PEREIRA 038***.***-** 1 DEFERIDA
TATIANE DE SOUZA PEREIRA 038***.***-** 6 DEFERIDA
ADRIANA FRANCO DE OLIVEIRA 024***.***-** 1 INDEFERIDO CANDIDATO NÃO APRESENTOU DOCUMENTAÇÃO EXIGIDA
JEAN CARLOS FEITOSA SILVA 049***.***-** 1 INDEFERIDO CANDIDATO NÃO APRESENTOU DOCUMENTAÇÃO EXIGIDA
PEDRO HENRIQUE OLIVEIRA DE ALCANTARA 058***.***-** 1 DEFERIDA
ANA PAULA DA ROCHA SANTOS 072***.***-** 5 INDEFERIDO CANDIDATO NÃO APRESENTOU DOCUMENTAÇÃO EXIGIDA
MANUEL AGNELO SILVA MOURAO 917***.***-** 1 INDEFERIDO CANDIDATO NÃO APRESENTOU DOCUMENTAÇÃO EXIGIDA
RAMON BATISTA DE SOUSA 017***.***-** 2 DEFERIDA
EDUARDO NASCIMENTO MEDEIROS -***.***-** - INDEFERIDO CANDIDATO NÃO APRESENTOU DOCUMENTAÇÃO EXIGIDA
ELIENE DE SOUSA PEREIRA 942***.***-** 1 INDEFERIDO
ADRIANA FRANCO DE OLIVEIRA 024***.***-** 2 INDEFERIDO
CAMILA ANDRESSA ALVES SILVA 015***.***-** 1 DEFERIDA
ALINE STEPHANY SALES DE BRITO DA SILVA 043***.***-** 1 INDEFERIDO CANDIDATO NÃO APRESENTOU DOCUMENTAÇÃO EXIGIDA
HELOISA MARIA QUEIROZ DE CASTRO 708***.***-** - INDEFERIDO CANDIDATO NÃO APRESENTOU DOCUMENTAÇÃO EXIGIDA
ROSANGELA ISRAEL DE SOUSA 647***.***-** 1 DEFERIDA
ADRIANA MOREIRA SOUZA DO NASCIMENTO 970***.***-** 1 INDEFERIDO CANDIDATO NÃO APRESENTOU DOCUMENTAÇÃO EXIGIDA
NUBIA CARDOSO DO AMARAL 030***.***-** 8 INDEFERIDO CANDIDATO NÃO APRESENTOU DOCUMENTAÇÃO EXIGIDA
LAIS SILVA SANTOS 070***.***-** - INDEFERIDO CANDIDATO NÃO APRESENTOU DOCUMENTAÇÃO EXIGIDA
RAQUEL BRITO DE SOUZA 004***.***-** 1 INDEFERIDO CANDIDATO NÃO APRESENTOU DOCUMENTAÇÃO EXIGIDA
MARCIA REGINA DE ARAUJO ELIAS 619***.***-** - INDEFERIDO CANDIDATO NÃO APRESENTOU DOCUMENTAÇÃO EXIGIDA
ELISSON NASCIMENTO DE OLIVEIRAS 960***.***-** - DEFERIDA
LARISSA ALVES COSTA 039***.***-** 2 DEFERIDA
YASMIN RODRIGUES MARIANO 076***.***-** 8 INDEFERIDO CANDIDATO NÃO APRESENTOU DOCUMENTAÇÃO EXIGIDA
TAYLINNE MACHADO DOS SANTOS MACEDO 032***.***-** - INDEFERIDO CANDIDATO NÃO APRESENTOU DOCUMENTAÇÃO EXIGIDA
QUEZIA DOS SANTOS SOUZA 075***.***-** 1 INDEFERIDO CANDIDATO NÃO APRESENTOU DOCUMENTAÇÃO EXIGIDA
ANTONIO SILVA PEREIRA 896***.***-** 6 INDEFERIDO CANDIDATO NÃO APRESENTOU DOCUMENTAÇÃO EXIGIDA
YASMIN RODRIGUES MARIANO 076***.***-** 1 INDEFERIDO CANDIDATO NÃO APRESENTOU DOCUMENTAÇÃO EXIGIDA
JOSEFA MARIA DA SILVA 879***.***-** 6 INDEFERIDO CANDIDATO NÃO APRESENTOU DOCUMENTAÇÃO EXIGIDA
CLAUDENIR BEZERRA DOS SANTOS 723***.***-** 1 INDEFERIDO CANDIDATO NÃO APRESENTOU DOCUMENTAÇÃO EXIGIDA
WILHIAM NUNES FERREIRA 028***.***-** 3 INDEFERIDO CANDIDATO NÃO APRESENTOU DOCUMENTAÇÃO EXIGIDA
ROSANGELA DE SOUZA GOMES 814***.***-** 7 INDEFERIDO CANDIDATO NÃO APRESENTOU DOCUMENTAÇÃO EXIGIDA
DANIEL FERNANDO DIAS DE SOUSA PIRES 016***.***-** 1 INDEFERIDO CANDIDATO NÃO APRESENTOU DOCUMENTAÇÃO EXIGIDA
ALESSANDRO DE JESUS PEDROSO 043***.***-** 1 INDEFERIDO CANDIDATO NÃO APRESENTOU DOCUMENTAÇÃO EXIGIDA
LUCIANA MARÇÃO NUNES 009***.***-** - INDEFERIDO CANDIDATO NÃO APRESENTOU DOCUMENTAÇÃO EXIGIDA
QUEZIA DOS SANTOS SOUZA 075***.***-** 6 INDEFERIDO CANDIDATO NÃO APRESENTOU DOCUMENTAÇÃO EXIGIDA
MARCELO LINHARES ARAUJO 063***.***-** 1 INDEFERIDO CANDIDATO NÃO APRESENTOU DOCUMENTAÇÃO EXIGIDA
ELISANGELA FERREIRA DE SOUSA 716***.***-** 4 INDEFERIDO CANDIDATO NÃO APRESENTOU DOCUMENTAÇÃO EXIGIDA
KAROLAYNE AGRA DE VASCONCELOS 056***.***-** 8 INDEFERIDO CANDIDATO NÃO APRESENTOU DOCUMENTAÇÃO EXIGIDA
WESLEY MARQUES MOREIRA 700***.***-** 1 INDEFERIDO
CANDIDATO (A) NÃO APRESENTOU DOCUMETAÇÃO EXIGIDA EM PDF(Imagens).
O candidato também não apresentou documento comprobatório da isenção de
acordo com a hipótese escolhida.
WESLEY MARQUES MOREIRA 700***.***-** INDEFERIDO
CANDIDATO (A) NÃO APRESENTOU DOCUMETAÇÃO EXIGIDA EM PDF(Imagens).
O candidato também não apresentou documento comprobatório da isenção de
acordo com a hipótese escolhida.
JAQUELINE DOS SANTOS BASILIO 062***.***-** 6 INDEFERIDO
CANDIDATO (A) NÃO APRESENTOU DOCUMETAÇÃO EXIGIDA. O candidato não
apresentou declaração expedida pelo GDH que comprove recebimento de
beneficio de Programa Social de complementação ou suplementação de renda
do GDH.(Prato Cheio e IDF social).
RENAN ALVES BRUZACA 010***.***-** 5 DEFERIDO
ROSANGELA MENDOÇA FERNANDES 012***.***-** 6 INDEFERIDO
CANDIDATO (A) NÃO APRESENTOU DOCUMETAÇÃO EXIGIDA. O candidato não
apresentou declaração expedida pelo GDH que comprove recebimento de
beneficio de Programa Social de complementação ou suplementação de renda
do GDH.(Prato Cheio e IDF social).
MILENE ALVES DA SILVA 929***.***-** 2 INDEFERIDO
CANDIDATO (A) NÃO APRESENTOU DOCUMETAÇÃO EXIGIDA(Formulario
desatualizado). O candidato não apresentou certidão expedida pelo GDH que
comprove recebimento de beneficio de Programa Social de complementação ou
suplementação de renda do GDH.
MILENE ALVES DA SILVA 929***.***-** 8 INDEFERIDO
CANDIDATO (A) NÃO APRESENTOU DOCUMETAÇÃO EXIGIDA(Formulario
desatualizado). O candidato não apresentou certidão expedida pelo GDH que
comprove recebimento de beneficio de Programa Social de complementação ou
suplementação de renda do GDH.
MERIAN FONSECA COSTA PEREIRA 040***.***-** 1 DEFERIDO
PAULO DE OLIVEIRA 409***.***-** 6 INDEFERIDO
CANDIDATO (A) NÃO APRESENTOU DOCUMETAÇÃO EXIGIDA. O candidato não
apresentou declaração expedida pelo GDH que comprove recebimento de
beneficio de Programa Social de complementação ou suplementação de renda
do GDH.(Prato Cheio e IDF social).
EMMILY JANE DA SILVA DE CAMPOS 043***.***-** 1 INDEFERIDO
CANDIDATO (A) NÃO APRESENTOU DOCUMETAÇÃO EXIGIDA. O candidato não
apresentou declaração expedida pelo GDH que comprove recebimento de
beneficio de Programa Social de complementação ou suplementação de renda
do GDH.(Prato Cheio e IDF social).
LETICIA GABRIELE CAVALCANTE MARTINS 012***.***-** 1 INDEFERIDO
CANDIDATO (A) NÃO APRESENTOU DOCUMENTAÇÃO EXIGIDA EM PDF. (
Declarações em imagem)
LUZAR MENDES NOUGUEIRA 711***.***-** 1 DEFERIDO
RAFAELA BARBOSA LEMOS 034***.***-** 1 INDEFERIDO
CANDIDATO (A) NÃO APRESENTOU DOCUMETAÇÃO EXIGIDA(Formulario
desatualizado). O candidato não apresentou certidão expedida pelo GDH que
comprove recebimento de beneficio de Programa Social de complementação ou
suplementação de renda do GDH.
CLAUDIA PIOLA DE OLIVEIRA 001***.***-** 8 INDEFERIDO
CANDIDATO (A) NÃO APRESENTOU DOCUMENTAÇÃO EXIGIDA EM PDF, E
PREENCHEU FORMULARIO DESATUALIZADO.
LORRANE DE ALBURQUERQUE DOS SANTOS 068***.***-** 3 INDEFERIDO
CANDIDATO (A) NÃO APRESENTOU DOCUMETAÇÃO EXIGIDA. O candidato não
apresentou declaração expedida pelo GDH que comprove recebimento de
beneficio de Programa Social de complementação ou suplementação de renda
do GDH.(Prato Cheio e IDF social).
LUZAR MENDES NOUGUEIRA 711***.***-** 8 DEFERIDO
VANDREANE ISMENIA BRAGA 936***.***-** 1 DEFERIDO
SYMONE ELOY BARRETO 911***.***-** 1 INDEFERIDO
CANDIDATO (A) NÃO APRESENTOU DOCUMENTAÇÃO EXIGIDA EM PDF. (
Declarações em imagem)
SUSANA SANTOS SOUSA 040***.***-** 1 INDEFERIDO
CANDIDATO (A) NÃO APRESENTOU DOCUMETAÇÃO EXIGIDA(Formulario
desatualizado). O candidato não apresentou certidão expedida pelo GDH que
comprove recebimento de beneficio de Programa Social de complementação ou
suplementação de renda do GDH.
ANA CAROLINA LANDIM TEIXEIRENSE DA COSTA FERREIRA 055***.***-** 1 DEFERIDO
MARCOS BRITO LISBOA 039***.***-** 2 INDEFERIDO
CANDIDATO (A) NÃO APRESENTOU DOCUMETAÇÃO EXIGIDA. O candidato não
apresentou declaração expedida pelo GDH que comprove recebimento de
beneficio de Programa Social de complementação ou suplementação de renda
do GDH.(Prato Cheio e IDF social).
MERIAN FONSECA COSTA PEREIRA 040***.***-** 8 DEFERIDO
CLAUDIA PIOLA DE OLIVEIRA 001***.***-** 1 INDEFERIDO
CANDIDATO (A) NÃO APRESENTOU DOCUMENTAÇÃO EXIGIDA EM PDF, E
PREENCHEU FORMULARIO DESATUALIZADO.
VANDREANE ISMENIA BRAGA 936***.***-** 7 DEFERIDO
VANESSARAFAELLA CAMPOS 015***.***-** 1 DEFERIDO
VANESSARAFAELLA CAMPOS 015***.***-** 7 DEFERIDO
THAÍS FERREIRA MARTINS 052***.***-** 7 INDEFERIDO
CANDIDATO (A) NÃO APRESENTOU DOCUMETAÇÃO EXIGIDA. O candidato não
apresentou declaração expedida pelo GDH que comprove recebimento de
beneficio de Programa Social de complementação ou suplementação de renda
do GDH.(Prato Cheio e IDF social).
HOTTOR LEITE MEDEIROS 070***.***-** 1 DEFERIDO
ANTÔNIO JOAQUIM DA SILVA 886***.***-** 1 INDEFERIDO
CANDIDATO (A) NÃO APRESENTOU DOCUMETAÇÃO EXIGIDA. O candidato não
apresentou declaração expedida pelo GDH que comprove recebimento de
beneficio de Programa Social de complementação ou suplementação de renda
do GDH.(Prato Cheio e IDF social).
LORRAINE PEREIRA NOBRE 004***.***-** 1 DEFERIDO
LORRAINE PEREIRA NOBRE 004***.***-** 5 DEFERIDO
SAMUEL SIQUEIRA DE LIMA 008***.***-** 8 INDEFERIDO
CANDIDATO (A) NÃO APRESENTOU DOCUMETAÇÃO EXIGIDA. O candidato não
apresentou declaração expedida pelo GDH que comprove recebimento de
beneficio de Programa Social de complementação ou suplementação de renda
do GDH.(Prato Cheio e IDF social).
JOSELIA DE SOUZA GOMES 952***.***-** 1 DEFERIDO
MAICON DOUGLAS SILVA DE ARAUJO 099***.***-** 6 INDEFERIDO
CANDIDATO (A) NÃO APRESENTOU DOCUMETAÇÃO EXIGIDA. O candidato não
apresentou declaração expedida pelo GDH que comprove recebimento de
beneficio de Programa Social de complementação ou suplementação de renda
do GDH.(Prato Cheio e IDF social).
MICHELLE CRISTINE PEREIRA MOURA 718***.***-** 1 DEFERIDO
JOSELIA DE SOUZA GOMES 952***.***-** 2 DEFERIDO
JULIANA GABRIELA DIAS DA SILVA COSTA 057***.***-** 1 DEFERIDO
JULIANA GABRIELA DIAS DA SILVA COSTA 057***.***-** 7 INDEFERIDO
CANDIDATO (A) NÃO APRESENTOU O FORMULARIO PARA CADA PEDIDO DE
ISENÇÃO DE TAXA UM E-MAIL PARA CADA CARGO.
SARA DA VITORIA MEIRELES 505***.***-** 2 INDEFERIDO
CANDIDATO (A) NÃO APRESENTOU DOCUMETAÇÃO EXIGIDA. O candidato não
apresentou declaração expedida pelo GDH que comprove recebimento de
beneficio de Programa Social de complementação ou suplementação de renda
do GDH.(Prato Cheio e IDF social).
POLYANE SILVA RIBEIRO FERREIRA 041***.***-** 1 DEFERIDO
SYMONE ELOY BARRETO 911***.***-** 8 INDEFERIDO
CANDIDATO (A) NÃO APRESENTOU DOCUMENTAÇÃO EXIGIDA EM PDF. (
Declarações em imagem)
LEILA DA GLORIA DOS SANTOS 056***.***-** 1 DEFERIDO
LEILA DA GLORIA DOS SANTOS 056***.***-** 5 DEFERIDO
MEIRE ENE PEREIRA FOLHA 797***.***-** 1 DEFERIDO
ISABELLA EDUARDA DA SILVA RIBEIRO 069***.***-** 1 INDEFERIDO
CANDIDATO (A) NÃO APRESENTOU DOCUMETAÇÃO EXIGIDA. O candidato não
apresentou declaração expedida pelo GDH que comprove recebimento de
beneficio de Programa Social de complementação ou suplementação de renda
do GDH.(Prato Cheio e IDF social).
RAYZA LEITÃO DA CUNHA 075***.***-** 1 DEFERIDO
KAIQUE LEITÃO DA CUNHA 075***.***-** 1 DEFERIDO
ESTHEFANY PEREIRA SOARES 067***.***-** 1 INDEFERIDO
CANDIDATO (A) NÃO APRESENTOU DOCUMETAÇÃO EXIGIDA. O candidato não
apresentou declaração expedida pelo GDH que comprove recebimento de
beneficio de Programa Social de complementação ou suplementação de renda
do GDH.(Prato Cheio e IDF social).
RAIANE AMERICA FERREIRA 070***.***-** 1 INDEFERIDO
CANDIDATO (A) NÃO APRESENTOU DOCUMETAÇÃO EXIGIDA. O candidato não
apresentou declaração expedida pelo GDH que comprove recebimento de
beneficio de Programa Social de complementação ou suplementação de renda
do GDH.(Prato Cheio e IDF social).
MEIRE ENE PEREIRA FOLHA 797***.***-** 5 DEFERIDO
VILENE BORGES DA SILVA 016***.***-** 1 INDEFERIDO
CANDIDATO (A) NÃO APRESENTOU DOCUMETAÇÃO EXIGIDA. O candidato não
apresentou documento comprobatório da isenção de acordo com a hipótese
escolhida (laudo Medico).
RAIANE AMERICA FERREIRA 070***.***-** 6 INDEFERIDO
CANDIDATO (A) NÃO APRESENTOU DOCUMETAÇÃO EXIGIDA. O candidato não
apresentou declaração expedida pelo GDH que comprove recebimento de
beneficio de Programa Social de complementação ou suplementação de renda
do GDH.(Prato Cheio e IDF social).
URICLEIA SILVA DE ALMEIDA 027***.***-** 1 INDEFERIDO
CANDIDATO (A) NÃO APRESENTOU DOCUMETAÇÃO EXIGIDA(Formulario
desatualizado). O candidato não apresentou certidão expedida pelo GDH que
comprove recebimento de beneficio de Programa Social de complementação ou
suplementação de renda do GDH.
MARIA DA CONCEIÇÃO FELIX DE AMORIM 051***.***-** 7 DEFERIDO
JESSICA SHAYANE DE OLIVEIRA MELO 047***.***-** - INDEFERIDO
CANDIDATO (A) NÃO APRESENTOU DOCUMETAÇÃO EXIGIDA. O candidato não
apresentou documento comprobatório da isenção de acordo com a hipótese
escolhida e não preencheu o codigo do cargo.
ANA LUISA PESSANHA PEREIRA 014***.***-** 1 INDEFERIDO
CANDIDATO (A) NÃO APRESENTOU DOCUMENTAÇÃO EXIGIDA EM PDF. (
Declarações em imagem)
ISLAYLE PATRICIA PEREIRA CAMPOS 029***.***-** 1 DEFERIDO
TAUANA DOS SANTOS LUCENA 033***.***-** 4 INDEFERIDO
CANDIDATO (A) NÃO APRESENTOU DOCUMETAÇÃO EXIGIDA. O candidato não
apresentou declaração expedida pelo GDH que comprove recebimento de
beneficio de Programa Social de complementação ou suplementação de renda
do GDH.(Prato Cheio e IDF social).
MAURICEIA FERREIRA DA SILVA 029***.***-** 2 INDEFERIDO
CANDIDATO (A) NÃO APRESENTOU DOCUMETAÇÃO EXIGIDA(Formulario
desatualizado). O candidato não apresentou certidão expedida pelo GDH que
comprove recebimento de beneficio de Programa Social de complementação ou
suplementação de renda do GDH.
FRANCILEUDA TRAJANO DA SILVA 017***.***-** 1 DEFERIDO
MARIANA MAGALHÃES 046***.***-** 6 INDEFERIDO
CANDIDATO (A) NÃO APRESENTOU DOCUMETAÇÃO EXIGIDA. O candidato não
apresentou declaração expedida pelo GDH que comprove recebimento de
beneficio de Programa Social de complementação ou suplementação de renda
do GDH.(Prato Cheio e IDF social).
HENRIQUE ROSARIO DE OLIVEIRA 068***.***-** - INDEFERIDO
CANDIDATO (A) NÃO APRESENTOU DOCUMENTAÇÃO EXIGIDA. ( Formulario
atualizado devidamente preenchido e ASSINADO)
MARCOS ROBERTO NASCIMENTO SOUSA 058***.***-** 1 INDEFERIDO
CANDIDATO (A) NÃO APRESENTOU DOCUMETAÇÃO EXIGIDA(Formulario
desatualizado). O candidato não apresentou certidão expedida pelo GDH que
comprove recebimento de beneficio de Programa Social de complementação ou
suplementação de renda do GDH.
ISLAYLE PATRICIA PEREIRA CAMPOS 029***.***-** 8 DEFERIDO
DANIELA DIAS DE SOUZA 012***.***-** 1 INDEFERIDO
CANDIDATO (A) NÃO APRESENTOU DOCUMETAÇÃO EXIGIDA(Formulario
desatualizado). O candidato não apresentou certidão expedida pelo GDH que
comprove recebimento de beneficio de Programa Social de complementação ou
suplementação de renda do GDH.
GLAUCIA MONTEIRO AMANCIO MARQUES 026***.***-** 1 DEFERIDO
TAYANE GRAZIELE GAMA COELHO 046***.***-** 7 DEFERIDO
TAUANA DOS SANTOS LUCENA 033***.***-** 1 INDEFERIDO
CANDIDATO (A) NÃO APRESENTOU DOCUMETAÇÃO EXIGIDA. O candidato não
apresentou declaração expedida pelo GDH que comprove recebimento de
beneficio de Programa Social de complementação ou suplementação de renda
do GDH.(Prato Cheio e IDF social).
IZA LUANA BORGES DE MATOS 053***.***-** 2 INDEFERIDO
CANDIDATO (A) NÃO APRESENTOU DOCUMETAÇÃO EXIGIDA(Formulario
desatualizado). O candidato não apresentou certidão expedida pelo GDH que
comprove recebimento de beneficio de Programa Social de complementação ou
suplementação de renda do GDH.
EDNA MARIA GRAÇA MAGALHÃES 744***.***-** 5 INDEFERIDO
CANDIDATO (A) NÃO APRESENTOU DOCUMETAÇÃO EXIGIDA. O candidato não
apresentou declaração expedida pelo GDH que comprove recebimento de
beneficio de Programa Social de complementação ou suplementação de renda
do GDH.(Prato Cheio e IDF social).
THAUAN DOS SANTOS BATISTA 023***.***-** 1 INDEFERIDO
CANDIDATO (A) NÃO APRESENTOU DOCUMENTAÇÃO EXIGIDA EM PDF. (
Declarações em imagem)
MAURICEIA FERREIRA DA SILVA 029***.***-** 2 INDEFERIDO
CANDIDATO (A) NÃO APRESENTOU DOCUMETAÇÃO EXIGIDA. O candidato não
apresentou declaração expedida pelo GDH que comprove recebimento de
beneficio de Programa Social de complementação ou suplementação de renda
do GDH.(Prato Cheio e IDF social).
MARIA DE FATIMA PEREIRA RAMOS 588***.***-** 1 DEFERIDO
ANA RITA MARQUES MIRANDA 049***.***-** 5 INDEFERIDO
CANDIDATO (A) NÃO APRESENTOU DOCUMETAÇÃO EXIGIDA. O candidato não
apresentou documento comprobatório da isenção de acordo com a hipótese
escolhida.
GISELE MOURA FRANÇA 005***.***-** 8 INDEFERIDO
CANDIDATO (A) NÃO APRESENTOU DOCUMETAÇÃO EXIGIDA. O candidato não
apresentou declaração expedida pelo GDH que comprove recebimento de
beneficio de Programa Social de complementação ou suplementação de renda
do GDH.(Prato Cheio e IDF social).
MARIA DE FATIMA PEREIRA RAMOS 588***.***-** 5 DEFERIDO
EDNA MARIA GRAÇA MAGALHÃES 744***.***-** 1 INDEFERIDO
CANDIDATO (A) NÃO APRESENTOU DOCUMETAÇÃO EXIGIDA. O candidato não
apresentou declaração expedida pelo GDH que comprove recebimento de
beneficio de Programa Social de complementação ou suplementação de renda
do GDH.(Prato Cheio e IDF social).
IVALDETE BARBOZA DA SILVA 398***.***-** 1 INDEFERIDO
CANDIDATO (A) NÃO APRESENTOU DOCUMETAÇÃO EXIGIDA EM PDF. O
candidato também não apresentou documento comprobatório da isenção de
acordo com a hipótese escolhida.
ANA CAROLINA LISBOA BORBA 666***.***-** 1 INDEFERIDO
CANDIDATO (A) NÃO APRESENTOU DOCUMETAÇÃO EXIGIDA. O candidato não
apresentou declaração expedida pelo GDH que comprove recebimento de
beneficio de Programa Social de complementação ou suplementação de renda
do GDH.(Prato Cheio e IDF social).
KARLA CRISTINA PESSOA DA SILVA 564***.***-** 1 INDEFERIDO
CANDIDATO (A) NÃO APRESENTOU DOCUMENTAÇÃO EXIGIDA EM PDF. (
Declarações em imagem)
ZILDA FERNANDES DE SOUZA 013***.***-** 8 INDEFERIDO
CANDIDATO (A) NÃO APRESENTOU DOCUMETAÇÃO EXIGIDA. O candidato não
apresentou declaração expedida pelo GDH que comprove recebimento de
beneficio de Programa Social de complementação ou suplementação de renda
do GDH.(Prato Cheio e IDF social).
IRAN ALVES MAGALHÃES DOS SANTOS 806***.***-** - INDEFERIDO
CANDIDATO (A) NÃO APRESENTOU DOCUMETAÇÃO EXIGIDA. O candidato não
preencheu o codigo do cargo.
JULIANA DE MELO MARTINS DE ALMEIDA 707***.***-** 1 INDEFERIDO CANDIDATO (A) NÃO APRESENTOU DOCUMENTAÇÃO EXIGIDA EM PDF. ( RG)
ELAINE VIEIRA DA SILVA 055***.***-** 1 INDEFERIDO
CANDIDATO (A) NÃO APRESENTOU DOCUMETAÇÃO EXIGIDA. O candidato não
apresentou declaração expedida pelo GDH que comprove recebimento de
beneficio de Programa Social de complementação ou suplementação de renda
do GDH.(Prato Cheio e IDF social).
KETI DE JESUS SOUSA 000***.***-** 1 INDEFERIDO
CANDIDATO (A) NÃO APRESENTOU DOCUMETAÇÃO EXIGIDA. O candidato não
apresentou declaração expedida pelo GDH que comprove recebimento de
beneficio de Programa Social de complementação ou suplementação de renda
do GDH.(Prato Cheio e IDF social).
JULIANE ARAUJO DE OLIVEIRA 059***.***-** 7 DEFERIDO
ELEÇANDRO RODRIGUES SANTOS 932***.***-** 1 INDEFERIDO
CANDIDATO (A) NÃO APRESENTOU DOCUMENTAÇÃO EXIGIDA EM PDF. (
Declarações em imagem)
VANESSA GONÇALVES MONTEIRO 702***.***-** 8 INDEFERIDO
CANDIDATO (A) NÃO APRESENTOU DOCUMENTAÇÃO EXIGIDA EM PDF. (
Declarações em imagem)
IZA LUANA BORGES DE MATOS 053***.***-** 1 INDEFERIDO
CANDIDATO (A) NÃO APRESENTOU DOCUMETAÇÃO EXIGIDA(Formulario
desatualizado). O candidato não apresentou certidão expedida pelo GDH que
comprove recebimento de beneficio de Programa Social de complementação ou
suplementação de renda do GDH.
ELAINE VIEIRA DA SILVA 055***.***-** 2 INDEFERIDO
CANDIDATO (A) NÃO APRESENTOU DOCUMETAÇÃO EXIGIDA. O candidato não
apresentou declaração expedida pelo GDH que comprove recebimento de
beneficio de Programa Social de complementação ou suplementação de renda
do GDH.(Prato Cheio e IDF social).
HENRIQUE ROSARIO DE OLIVEIRA 068***.***-** 1 INDEFERIDO
CANDIDATO (A) NÃO APRESENTOU DOCUMETAÇÃO EXIGIDA. O candidato não
apresentou declaração expedida pelo GDH que comprove recebimento de
beneficio de Programa Social de complementação ou suplementação de renda
do GDH.(Prato Cheio e IDF social).
HENRIQUE ROSARIO DE OLIVEIRA 068***.***-** 6 INDEFERIDO
CANDIDATO (A) NÃO APRESENTOU DOCUMETAÇÃO EXIGIDA. O candidato não
apresentou declaração expedida pelo GDH que comprove recebimento de
beneficio de Programa Social de complementação ou suplementação de renda
do GDH.(Prato Cheio e IDF social).
EDINEIA VIEIRA DA SILVA 708***.***-** 6 INDEFERIDO
CANDIDATO (A) NÃO APRESENTOU DOCUMETAÇÃO EXIGIDA. O candidato não
apresentou declaração expedida pelo GDH que comprove recebimento de
beneficio de Programa Social de complementação ou suplementação de renda
do GDH.(Prato Cheio e IDF social).
THAIS APARECIDA DE SOUSA 017***.***-** 1 DEFERIDO
MARILIA ALVES DE MORAIS 052***.***-** 6 INDEFERIDO
CANDIDATO (A) NÃO APRESENTOU DOCUMETAÇÃO EXIGIDA. O candidato não
apresentou documento comprobatório da isenção de acordo com a hipótese
escolhida (laudo Medico).
TIAGO BATISTA BEZERRA DE ALENCAR 725***.***-** 1 DEFERIDO
THAYSA OLIVEIRA DE CARVALHO 056***.***-** - INDEFERIDO
CANDIDATO (A) NÃO APRESENTOU DOCUMETAÇÃO EXIGIDA(Formulario
desatualizado). O candidato não apresentou certidão expedida pelo GDH que
comprove recebimento de beneficio de Programa Social de complementação ou
suplementação de renda do GDH.
MARIANA BRITO CAVALHIER 054***.***-** 1 INDEFERIDO
CANDIDATO (A) NÃO APRESENTOU DOCUMETAÇÃO EXIGIDA. O candidato não
apresentou declaração expedida pelo GDH que comprove recebimento de
beneficio de Programa Social de complementação ou suplementação de renda
do GDH.(Prato Cheio e IDF social).
URICLEIA SILVA DE ALMEIDA 027***.***-** 2 INDEFERIDO
CANDIDATO (A) NÃO APRESENTOU DOCUMENTAÇÃO EXIGIDA EM PDF. (
Declarações em imagem)
EDNA DIAS VIEIRA 976***.***-** 8 INDEFERIDO
CANDIDATO (A) NÃO APRESENTOU DOCUMETAÇÃO EXIGIDA. O candidato não
apresentou declaração expedida pelo GDH que comprove recebimento de
beneficio de Programa Social de complementação ou suplementação de renda
do GDH.(Prato Cheio e IDF social).
MARIA VERÔNICA DE OLIVEIRA 741***.***-** - INDEFERIDO
CANDIDATO (A) NÃO APRESENTOU DOCUMENTAÇÃO EXIGIDA EM PDF E NEM
FORMULARIO ATUALIZADOPREENCHIDO E DEVIDAMENTE ASSINADO.
JOSIMARIO SANTANA DE SILVA 019***.***-** 7 INDEFERIDO
CANDIDATO (A) NÃO APRESENTOU DOCUMETAÇÃO EXIGIDA. O candidato não
apresentou documento comprobatório da isenção de acordo com a hipótese
escolhida (CADUNICO).
HYARA LUIZ DAMASCENA BARROS 026***.***-** 1 INDEFERIDO CANDIDATO (A) NÃO APRESENTOU DOCUMENTAÇÃO EXIGIDA. (RG)
MARIZA SANTOS NUNES 024***.***-** 1 INDEFERIDO
CANDIDATO (A) NÃO APRESENTOU DOCUMETAÇÃO EXIGIDA. O candidato não
apresentou o formulário atualizado devidamente preenchido e ASSINADO.
JULIANA DE MELO MARTINS DE ALMEIDA 707***.***-** 1 DEFERIDO
VIVIANE DOS SANTOS MARQUES 037***.***-** 1 INDEFERIDO
CANDIDATO (A) NÃO APRESENTOU DOCUMENTAÇÃO EXIGIDA EM PDF. (
Declarações em imagem)
KARINA SENA DA SILVA 050***.***-** 7 INDEFERIDO
CANDIDATO (A) NÃO APRESENTOU DOCUMETAÇÃO EXIGIDA. O candidato não
apresentou declaração expedida pelo GDH que comprove recebimento de
beneficio de Programa Social de complementação ou suplementação de renda
do GDH.(Prato Cheio e IDF social).
HYARA LUIZ DAMASCENA BARROS 026***.***-** 8 INDEFERIDO CANDIDATO (A) NÃO APRESENTOU DOCUMENTAÇÃO EXIGIDA. (RG)
MICHELLE ALINE SOUZA DE MOURA 022***.***-** 2 DEFERIDO
MARIANA BRITO CAVALHIER 054***.***-** 8 INDEFERIDO
CANDIDATO (A) NÃO APRESENTOU DOCUMETAÇÃO EXIGIDA. O candidato não
apresentou declaração expedida pelo GDH que comprove recebimento de
beneficio de Programa Social de complementação ou suplementação de renda
do GDH.(Prato Cheio e IDF social).
MARILENE DE BRITO CORDEIRO 461***.***-** 2 DEFERIDO
JOSCIELLE SOARES DE AMORIM FERNANDIS RIBEIRO 034***.***-** 8 DEFERIDO
CINTHIA RAQUEL GOMES DA SILVA 034***.***-** 2 DEFERIDO
HYARA LUIZ DAMASCENA BARROS 026***.***-** 8 DEFERIDO
HYARA LUIZ DAMASCENA BARROS 026***.***-** 1 DEFERIDO
LEANDRO DE JESUS FERREIRA 086***.***-** 2 INDEFERIDO
CANDIDATO (A) NÃO APRESENTOU DOCUMETAÇÃO EXIGIDA. O candidato não
apresentou declaração expedida pelo GDH que comprove recebimento de
beneficio de Programa Social de complementação ou suplementação de renda
do GDH.(Prato Cheio e IDF social).
VICTOR VOGADO GOMES DE ALCANTARA 016***.***-** 1 DEFERIDO
JOSCIELLE DE AMORIM VIEIRA 034***.***-** 1 DEFERIDO
MARIA TELMA RODRIGUES 329***.***-** 5 INDEFERIDO
CANDIDATO (A) NÃO APRESENTOU DOCUMETAÇÃO EXIGIDA. O candidato não
apresentou declaração expedida pelo GDH que comprove recebimento de
beneficio de Programa Social de complementação ou suplementação de renda
do GDH.(Prato Cheio e IDF social).
FABRICIA SANTOS DE ALMEIDA 056***.***-** 5 DEFERIDO
LILIANE CORREIA AGNELO 111***.***-** 8 INDEFERIDO
CANDIDATO (A) NÃO APRESENTOU DOCUMETAÇÃO EXIGIDA(Formulario
desatualizado). O candidato não apresentou certidão expedida pelo GDH que
comprove recebimento de beneficio de Programa Social de complementação ou
suplementação de renda do GDH.
MARCO ANTÔNIO VIEIRA JUNIOR 036***.***-** 1 DEFERIDO
KARINA CASTRO DE ANDRADE 942***.***-** 1 DEFERIDO
ELSABETH CARDOSO DE MENEZES 619***.***-** 1 INDEFERIDO
CANDIDATO (A) NÃO APRESENTOU DOCUMETAÇÃO EXIGIDA. O candidato não
apresentou declaração expedida pelo GDH que comprove recebimento de
beneficio de Programa Social de complementação ou suplementação de renda
do GDH.(Prato Cheio e IDF social).
LANAYA RIBEIRO COELHO 047***.***-** 1 INDEFERIDO
CANDIDATO (A) NÃO APRESENTOU DOCUMETAÇÃO EXIGIDA. O candidato não
apresentou declaração expedida pelo GDH que comprove recebimento de
beneficio de Programa Social de complementação ou suplementação de renda
do GDH.(Prato Cheio e IDF social).
SILVANA RODRIGUES DE SOUSA 907***.***-** 7 INDEFERIDO
CANDIDATO (A) NÃO APRESENTOU DOCUMETAÇÃO EXIGIDA. O candidato não
apresentou declaração expedida pelo GDH que comprove recebimento de
beneficio de Programa Social de complementação ou suplementação de renda
do GDH.(Prato Cheio e IDF social).
GABRIEL DE OLIVEIRA PERREIRA 729***.***-** 8 INDEFERIDO
CANDIDATO (A) NÃO APRESENTOU DOCUMETAÇÃO EXIGIDA. O candidato não
apresentou documento comprobatório da isenção de acordo com a hipótese
escolhida (laudo Medico).
EMMANUELY NUNES COSTA 074***.***-** 1 DEFERIDO
LANAYA RIBEIRO COELHO 047***.***-** 3 INDEFERIDO
CANDIDATO (A) NÃO APRESENTOU DOCUMETAÇÃO EXIGIDA. O candidato não
apresentou declaração expedida pelo GDH que comprove recebimento de
beneficio de Programa Social de complementação ou suplementação de renda
do GDH.(Prato Cheio e IDF social).
MARIA DAS VIRGENS OLIVEIRA DOS SANTOS 618***.***-** - INDEFERIDO
CANDIDATO (A) NÃO APRESENTOU DOCUMETAÇÃO EXIGIDA. O candidato não
apresentou declaração expedida pelo GDH que comprove recebimento de
beneficio de Programa Social de complementação ou suplementação de renda
do GDH.(Prato Cheio e IDF social).
ALEXSSANDRO DA SILVA LOPES 033***.***-** 1 INDEFERIDO
CANDIDATO (A) NÃO APRESENTOU DOCUMETAÇÃO EXIGIDA. O candidato não
apresentou declaração expedida pelo GDH que comprove recebimento de
beneficio de Programa Social de complementação ou suplementação de renda
do GDH.(Prato Cheio e IDF social).
ALEXSSANDRO DA SILVA LOPES 033***.***-** 3 INDEFERIDO
CANDIDATO (A) NÃO APRESENTOU DOCUMETAÇÃO EXIGIDA. O candidato não
apresentou declaração expedida pelo GDH que comprove recebimento de
beneficio de Programa Social de complementação ou suplementação de renda
do GDH.(Prato Cheio e IDF social).
BEATRIZ MONTEIRO RODRIGUES DUARTE 011***.***-** INDEFERIDO
CANDIDATO (A) NÃO APRESENTOU DOCUMETAÇÃO EXIGIDA. O candidato não
apresentou documento comprobatório da isenção de acordo com a hipótese
escolhida.
JEANE DO NASCIMENTO SAMPAIO 060***.***-** 6 INDEFERIDO
CANDIDATO (A) NÃO APRESENTOU DOCUMETAÇÃO EXIGIDA. O candidato não
apresentou declaração expedida pelo GDH que comprove recebimento de
beneficio de Programa Social de complementação ou suplementação de renda
do GDH.(Prato Cheio e IDF social).
RYCHELLY LAYANE ALVES DE OLIVEIRA 047***.***-** 8 INDEFERIDO
CANDIDATO (A) NÃO APRESENTOU DOCUMETAÇÃO EXIGIDA. O candidato não
apresentou documento comprobatório da isenção de acordo com a hipótese
escolhida (Não apresentou comprovação em duas eleições).
FELIPE PEREIRA DE ALMEIDA 734***.***-** 1 DEFERIDO
GLEYDIANE MARIA MARTINS GOIS 732***.***-** 1 DEFERIDO
GLEYDIANE MARIA MARTINS GOIS 732***.***-** 8 DEFERIDO
TAIRES SENA SARAIVA 038***.***-** 1 DEFERIDO
THAYRENY MARTINS ALMEIDA 048***.***-** 5 INDEFERIDO
CANDIDATO (A) NÃO APRESENTOU DOCUMETAÇÃO EXIGIDA. O candidato não
apresentou declaração expedida pelo GDF que comprove recebimento de
beneficio de Programa Social de complementação ou suplementação de renda
do GDF.(Prato Cheio e IDF social).
FABRICIA SANTOS DE ALMEIDA 056***.***-** 1 DEFERIDO
GABRIEL DE OLIVEIRA PERREIRA 729***.***-** 1 INDEFERIDO
CANDIDATO (A) NÃO APRESENTOU DOCUMETAÇÃO EXIGIDA. O candidato não
apresentou declaração expedida pelo GDF que comprove recebimento de
beneficio de Programa Social de complementação ou suplementação de renda
do GDF.(Prato Cheio e IDF social).
IGOR DOS SANTOS 080***.***-** 1 INDEFERIDO
CANDIDATO (A) NÃO APRESENTOU DOCUMETAÇÃO EXIGIDA. O candidato não
apresentou declaração expedida pelo GDF que comprove recebimento de
beneficio de Programa Social de complementação ou suplementação de renda
do GDF.(Prato Cheio e IDF social).
NATHALY SILVA DE SOUSA 065***.***-** 1 INDEFERIDO
CANDIDATO (A) NÃO APRESENTOU DOCUMETAÇÃO EXIGIDA. O candidato não
apresentou declaração expedida pelo GDF que comprove recebimento de
beneficio de Programa Social de complementação ou suplementação de renda
do GDF.(Prato Cheio e IDF social).
NATHALY SILVA DE SOUSA 065***.***-** 7 INDEFERIDO
CANDIDATO (A) NÃO APRESENTOU DOCUMETAÇÃO EXIGIDA. O candidato não
apresentou declaração expedida pelo GDF que comprove recebimento de
beneficio de Programa Social de complementação ou suplementação de renda
do GDF.(Prato Cheio e IDF social).
WITALO DE ALMEIDA 033***.***-** 1 INDEFERIDO
CANDIDATO (A) NÃO APRESENTOU DOCUMETAÇÃO EXIGIDA. O candidato não
apresentou declaração expedida pelo GDF que comprove recebimento de
beneficio de Programa Social de complementação ou suplementação de renda
do GDF.(Prato Cheio e IDF social).
WITALO DE ALMEIDA 033***.***-** 7 INDEFERIDO
CANDIDATO (A) NÃO APRESENTOU DOCUMETAÇÃO EXIGIDA. O candidato não
apresentou declaração expedida pelo GDF que comprove recebimento de
beneficio de Programa Social de complementação ou suplementação de renda
do GDF.(Prato Cheio e IDF social).
LAIANE DELFINO FONSECA 041***.***-** 1 INDEFERIDO
CANDIDATO (A) NÃO APRESENTOU DOCUMETAÇÃO EXIGIDA(Formulario
desatualizado). O candidato não apresentou certidão expedida pelo GDF que
comprove recebimento de beneficio de Programa Social de complementação ou
suplementação de renda do GDF.
VANESSA GONÇALVES MONTEIRO 702***.***-** 8 INDEFERIDO
CANDIDATO (A) NÃO APRESENTOU DOCUMETAÇÃO EXIGIDA(Formulario
desatualizado). O candidato não apresentou certidão expedida pelo GDF que
comprove recebimento de beneficio de Programa Social de complementação ou
suplementação de renda do GDF.
ROMARIO SILVA DOS SANTOS 031***.***-** 1 INDEFERIDO
CANDIDATO (A) NÃO APRESENTOU DOCUMETAÇÃO EXIGIDA(Formulario
desatualizado). O candidato não apresentou certidão expedida pelo GDF que
comprove recebimento de beneficio de Programa Social de complementação ou
suplementação de renda do GDF.
ROMARIO SILVA DOS SANTOS 031***.***-** 8 INDEFERIDO
CANDIDATO (A) NÃO APRESENTOU DOCUMETAÇÃO EXIGIDA(Formulario
desatualizado). O candidato não apresentou certidão expedida pelo GDF que
comprove recebimento de beneficio de Programa Social de complementação ou
suplementação de renda do GDF.
MARIA EDUARDA GONÇALVES FONSECA 070***.***-** 1 DEFERIDO
MARIA EDUARDA GONÇALVES FONSECA 070***.***-** 8 DEFERIDO
JEANE DO NASCIMENTO SAMPAIO 060***.***-** 1 INDEFERIDO
CANDIDATO (A) NÃO APRESENTOU DOCUMETAÇÃO EXIGIDA. O candidato não
apresentou declaração expedida pelo GDF que comprove recebimento de
beneficio de Programa Social de complementação ou suplementação de renda
do GDF.(Prato Cheio e IDF social).
LILIANE CORREIA AGNELO 111***.***-** 1 INDEFERIDO
CANDIDATO (A) NÃO APRESENTOU DOCUMETAÇÃO EXIGIDA(Formulario
desatualizado). O candidato não apresentou certidão expedida pelo GDF que
comprove recebimento de beneficio de Programa Social de complementação ou
suplementação de renda do GDF.
RAFAELA FLORÊNCIO DO NASCIMENTO 022***.***-** - INDEFERIDO
CANDIDATO (A) NÃO APRESENTOU DOCUMENTAÇÃO EXIGIDA. (Formulario
atuaizado devidamente preenchido e assinado).
CIBERY ARAUJO VASCONCELOS DE AZEVEDO 021***.***-** 1 DEFERIDO
EDILENE PEREIRA FERNANDES 040***.***-** 1 INDEFERIDO
CANDIDATO (A) NÃO APRESENTOU DOCUMETAÇÃO EXIGIDA. O candidato não
apresentou declaração expedida pelo GDF que comprove recebimento de
beneficio de Programa Social de complementação ou suplementação de renda
do GDF.(Prato Cheio e IDF social).
ROBERTA MAYER RODRIGUES GARCIA 035***.***-** 1 INDEFERIDO
CANDIDATO (A) NÃO APRESENTOU DOCUMETAÇÃO EXIGIDA(Formulario
desatualizado). O candidato não apresentou certidão expedida pelo GDF que
comprove recebimento de beneficio de Programa Social de complementação ou
suplementação de renda do GDF.
CLEBER DA GUARDA MARQUES 659***.***-** 1 INDEFERIDO
CANDIDATO (A) NÃO APRESENTOU DOCUMETAÇÃO EXIGIDA(Formulario
desatualizado). O candidato não apresentou certidão expedida pelo GDF que
comprove recebimento de beneficio de Programa Social de complementação ou
suplementação de renda do GDF.
CLEBER DA GUARDA MARQUES 659***.***-** 7 INDEFERIDO
CANDIDATO (A) NÃO APRESENTOU DOCUMETAÇÃO EXIGIDA(Formulario
desatualizado). O candidato não apresentou certidão expedida pelo GDF que
comprove recebimento de beneficio de Programa Social de complementação ou
suplementação de renda do GDF.
SILAS TORRES DA SILVA 033***.***-** - INDEFERIDO
CANDIDATO (A) NÃO APRESENTOU DOCUMETAÇÃO EXIGIDA. O candidato não
preencheu o codigo do cargo.
RENAN VINICIUS SANTOS DE OLIVEIRA 368***.***-** 1 INDEFERIDO CANDIDATO (A) NÃO APRESENTOU DOCUMENTAÇÃO EXIGIDA. (RG)
IGOR DOS SANTOS 080***.***-** 2 INDEFERIDO
CANDIDATO (A) NÃO APRESENTOU DOCUMETAÇÃO EXIGIDA. O candidato não
apresentou documento comprobatório da isenção de acordo com a hipótese
escolhida.
JEFFERSON SOUZA DE ALMEIDA 036***.***-** 1 INDEFERIDO
CANDIDATO (A) NÃO APRESENTOU DOCUMETAÇÃO EXIGIDA(Formulario
desatualizado). O candidato não apresentou certidão expedida pelo GDF que
comprove recebimento de beneficio de Programa Social de complementação ou
suplementação de renda do GDF.
PEDRINA ALVES COELHO 054***.***-** 2 INDEFERIDO CANDIDATO (A) NÃO APRESENTOU DOCUMENTAÇÃO EXIGIDA EM PDF.
BIANCA SOUZA SILVA 063***.***-** 2 DEFERIDO
ANA PAULA OLIVEIRA CARDOSO BORGES 033***.***-** 1 INDEFERIDO
CANDIDATO (A) NÃO APRESENTOU DOCUMETAÇÃO EXIGIDA(Formulario
desatualizado). O candidato não apresentou certidão expedida pelo GDF que
comprove recebimento de beneficio de Programa Social de complementação ou
suplementação de renda do GDF.
ECILA TEIXEIRA DA SILVA 703***.***-** 2 DEFERIDO
GILMENDES LEITE SOUZA DA SILVA 837***.***-** 1 DEFERIDO
GILMENDES LEITE SOUZA DA SILVA 837***.***-** 2 DEFERIDO
LUANA SERAFIM DA SILVA 057***.***-** 6 INDEFERIDO
CANDIDATO (A) NÃO APRESENTOU DOCUMETAÇÃO EXIGIDA. O candidato não
apresentou declaração expedida pelo GDF que comprove recebimento de
beneficio de Programa Social de complementação ou suplementação de renda
do GDF.(Prato Cheio e IDF social).
LOURRAINE SEVERINO MARCIEL 038***.***-** 1 INDEFERIDO
CANDIDATO (A) NÃO APRESENTOU DOCUMETAÇÃO EXIGIDA. O candidato não
apresentou declaração expedida pelo GDF que comprove recebimento de
beneficio de Programa Social de complementação ou suplementação de renda
do GDF.(Prato Cheio e IDF social).
JANAINA DE SOUSA RODRIGUES 732***.***-** 1 DEFERIDO
VÂNIA MARIA MONTEIRO DE SOUZA 504***.***-** 6 DEFERIDO
MARCOS PAULO VAZ DE OLIVEIRA 063***.***-** 6 INDEFERIDO
CANDIDATO (A) NÃO APRESENTOU DOCUMETAÇÃO EXIGIDA. O candidato não
apresentou declaração expedida pelo GDF que comprove recebimento de
beneficio de Programa Social de complementação ou suplementação de renda
do GDF.(Prato Cheio e IDF social).
RENNÊ DE LISANDRA DE ALMEIDA 031***.***-** 7 INDEFERIDO
CANDIDATO (A) NÃO APRESENTOU DOCUMETAÇÃO EXIGIDA. O candidato não
apresentou declaração expedida pelo GDF que comprove recebimento de
beneficio de Programa Social de complementação ou suplementação de renda
do GDF.(Prato Cheio e IDF social).
LUANA OLIVEIRA DE ALMEIDA 064***.***-** 7 DEFERIDO
ANA CAROLINE ISRAEL DA SILVA 061***.***-** - INDEFERIDO
CANDIDATO (A) NÃO APRESENTOU DOCUMETAÇÃO EXIGIDA. O candidato não
apresentou documento comprobatório da isenção de acordo com a hipótese
escolhida.9Não preencheu o cargo e nem apresentou RG).
CRISTIANA DA SILVA EUGÊNIO 930***.***-** 1 INDEFERIDO
CANDIDATO (A) NÃO APRESENTOU DOCUMETAÇÃO EXIGIDA. O candidato não
apresentou declaração expedida pelo GDF que comprove recebimento de
beneficio de Programa Social de complementação ou suplementação de renda
do GDF.(Prato Cheio e IDF social).
HAITON DIAS DE ANDRADE 041***.***-** 1 DEFERIDO
MARIA GABRIELLA SOAARES RIOS 059***.***-** 5 INDEFERIDO
CANDIDATO (A) NÃO APRESENTOU DOCUMETAÇÃO EXIGIDA(Formulario
desatualizado). O candidato não apresentou certidão expedida pelo GDF que
comprove recebimento de beneficio de Programa Social de complementação ou
suplementação de renda do GDF.
DANIELLE DA SILVA SOUSA 076***.***-** 1 INDEFERIDO
CANDIDATO (A) NÃO APRESENTOU DOCUMETAÇÃO EXIGIDA. O candidato não
apresentou declaração expedida pelo GDF que comprove recebimento de
beneficio de Programa Social de complementação ou suplementação de renda
do GDF.(Prato Cheio e IDF social).
MESSIAS FREIRES NASCIMENTO 001***.***-** 7 DEFERIDO
MARIA AVELINO DA SILVA 428***.***-** 1 INDEFERIDO
CANDIDATO (A) NÃO APRESENTOU DOCUMETAÇÃO EXIGIDA. O candidato não
apresentou declaração expedida pelo GDF que comprove recebimento de
beneficio de Programa Social de complementação ou suplementação de renda
do GDF.(Prato Cheio e IDF social).
SAMANTHA SOUZA MORAIS LEMOS 722***.***-** 1 DEFERIDO
MARIA PAULA DE SOUZA LIMA 053***.***-** 5 INDEFERIDO
CANDIDATO (A) NÃO APRESENTOU DOCUMETAÇÃO EXIGIDA(Formulario
desatualizado). O candidato não apresentou certidão expedida pelo GDF que
comprove recebimento de beneficio de Programa Social de complementação ou
suplementação de renda do GDF.
DAVI HOLANDA VIEIRA 059***.***-** 1 INDEFERIDO
CANDIDATO (A) NÃO APRESENTOU DOCUMETAÇÃO EXIGIDA. O candidato não
apresentou declaração expedida pelo GDF que comprove recebimento de
beneficio de Programa Social de complementação ou suplementação de renda
do GDF.(Prato Cheio e IDF social).
EDNA DIAS VIEIRA 976***.***-** 8 INDEFERIDO
CANDIDATO (A) NÃO APRESENTOU DOCUMETAÇÃO EXIGIDA. O candidato não
apresentou declaração expedida pelo GDF que comprove recebimento de
beneficio de Programa Social de complementação ou suplementação de renda
do GDF.(Prato Cheio e IDF social).
JOSÉ OSMAR SOUZA DANTAS 084***.***-** 1 DEFERIDO
DENIS GONÇALVES DOS SANTOS 726***.***-** 1 INDEFERIDO
CANDIDATO (A) NÃO APRESENTOU DOCUMETAÇÃO EXIGIDA. O candidato não
apresentou documento comprobatório da isenção de acordo com a hipótese
escolhida.
DENIS GONÇALVES DOS SANTOS 726***.***-** 2 INDEFERIDO
CANDIDATO (A) NÃO APRESENTOU DOCUMETAÇÃO EXIGIDA. O candidato não
apresentou documento comprobatório da isenção de acordo com a hipótese
escolhida. (Um formulario para cada solicitação de isenção).
HAITON DIAS DE ANDRADE 041***.***-** 3 DEFERIDO
RICARDO BARBOSA DO NASCIMENTO MELE 815***.***-** 1 DEFERIDO
JOSÉ OSMAR SOUZA DANTAS 084***.***-** 8 DEFERIDO
MARIA VITORIA DE ALMEIDA MARTINS 082***.***-** 7 INDEFERIDO
CANDIDATO (A) NÃO APRESENTOU DOCUMETAÇÃO EXIGIDA. O candidato não
apresentou declaração expedida pelo GDF que comprove recebimento de
beneficio de Programa Social de complementação ou suplementação de renda
do GDF.(Prato Cheio e IDF social).
RAYSSA EVELIN OLIVEIRA FERREIRA 056***.***-** 8 INDEFERIDO
CANDIDATO (A) NÃO APRESENTOU DOCUMETAÇÃO EXIGIDA(Formulario
desatualizado). O candidato não apresentou certidão expedida pelo GDF que
comprove recebimento de beneficio de Programa Social de complementação ou
suplementação de renda do GDF.
LOURRAINE SEVERINO MARCIEL 038***.***-** 8 INDEFERIDO
CANDIDATO (A) NÃO APRESENTOU DOCUMETAÇÃO EXIGIDA. O candidato não
apresentou declaração expedida pelo GDF que comprove recebimento de
beneficio de Programa Social de complementação ou suplementação de renda
do GDF.(Prato Cheio e IDF social).
RICARDO BARBOSA DO NASCIMENTO MEL0 815***.***-** 8 DEFERIDO
SARAH MONTE DOS SANTOS 076***.***-** 2 DEFERIDO
THAIS DA SILVA SILVESTRE 048***.***-** 7 INDEFERIDO
CANDIDATO (A) NÃO APRESENTOU DOCUMETAÇÃO EXIGIDA. O candidato não
apresentou declaração expedida pelo GDF que comprove recebimento de
beneficio de Programa Social de complementação ou suplementação de renda
do GDF.(Prato Cheio e IDF social).
FLAVIA LIMA DE SOUZA 043***.***-** 3 INDEFERIDO
CANDIDATO (A) NÃO APRESENTOU DOCUMETAÇÃO EXIGIDA. O candidato não
apresentou documento comprobatório da isenção de acordo com a hipótese
escolhida (laudo Medico).
TATIANA BORGES FONSECA ALVARES 703***.***-** 8 DEFERIDO
ELAINE DOS SANTOS DA ROCHA 005***.***-** 1 DEFERIDO
JULIANA COSTA LIMA 084***.***-** 1 INDEFERIDO
CANDIDATO (A) NÃO APRESENTOU DOCUMETAÇÃO EXIGIDA. O candidato não
apresentou declaração expedida pelo GDF que comprove recebimento de
beneficio de Programa Social de complementação ou suplementação de renda
do GDF.(Prato Cheio e IDF social).
MARIA PAULA DE SOUZA LIMA 053***.***-** 5 INDEFERIDO
CANDIDATO (A) NÃO APRESENTOU DOCUMETAÇÃO EXIGIDA(Formulario
desatualizado). O candidato não apresentou certidão expedida pelo GDF que
comprove recebimento de beneficio de Programa Social de complementação ou
suplementação de renda do GDF.
TATIANA BORGES FONSECA ALVARES 703***.***-** 1 DEFERIDO
WELLIANY JASIR PEREIRA DA SILVA 720***.***-** 1 INDEFERIDO
CANDIDATO (A) NÃO APRESENTOU DOCUMETAÇÃO EXIGIDA. O candidato não
apresentou declaração expedida pelo GDF que comprove recebimento de
beneficio de Programa Social de complementação ou suplementação de renda
do GDF.(Prato Cheio e IDF social).
MONARA MUNIZ DA SILVA 016***.***-** 1 INDEFERIDO
CANDIDATO (A) NÃO APRESENTOU DOCUMETAÇÃO EXIGIDA. O candidato não
apresentou declaração expedida pelo GDF que comprove recebimento de
beneficio de Programa Social de complementação ou suplementação de renda
do GDF.(Prato Cheio e IDF social).
VÂNIA FERREIRA ROCHA 726***.***-** 1 DEFERIDO
LEONARDO BOAVENTURA RIBAS 001***.***-** 1 DEFERIDO
JHONATAN FELIPE FREITAS 085***.***-** 1 DEFERIDO
MARIA PAULA DE SOUZA LIMA 053***.***-** 1 INDEFERIDO
CANDIDATO (A) NÃO APRESENTOU DOCUMETAÇÃO EXIGIDA(Formulario
desatualizado). O candidato não apresentou certidão expedida pelo GDF que
comprove recebimento de beneficio de Programa Social de complementação ou
suplementação de renda do GDF.
JESSICA MARIA PEREIRA DE SOUZA 127***.***-** 1 INDEFERIDO
CANDIDATO (A) NÃO APRESENTOU DOCUMETAÇÃO EXIGIDA. O candidato não
apresentou declaração expedida pelo GDF que comprove recebimento de
beneficio de Programa Social de complementação ou suplementação de renda
do GDF.(Prato Cheio e IDF social).
WARLISON BISPO DA COSTA 069***.***-** 1 INDEFERIDO
CANDIDATO (A) NÃO APRESENTOU DOCUMETAÇÃO EXIGIDA. O candidato não
apresentou declaração expedida pelo GDF que comprove recebimento de
beneficio de Programa Social de complementação ou suplementação de renda
do GDF.(Prato Cheio e IDF social).
JHONATAN FELIPE FREITAS 085***.***-** 2 DEFERIDO
LUIS RICARDO LEITE MEDEIROS 070***.***-** 5 INDEFERIDO
CANDIDATO (A) NÃO APRESENTOU DOCUMETAÇÃO EXIGIDA. O candidato não
apresentou declaração expedida pelo GDF que comprove recebimento de
beneficio de Programa Social de complementação ou suplementação de renda
do GDF.(Prato Cheio e IDF social).
LUCAS ANTONIO CORDEIRO DE SOUZA MELCHIOR 057***.***-** 1 DEFERIDO
LUCAS ANTONIO CORDEIRO DE SOUZA MELCHIOR 057***.***-** 8 INDEFERIDO
CANDIDATO (A) NÃO APRESENTOU O FORMULARIO PARA CADA PEDIDO DE
ISENÇÃO DE TAXA UM E-MAIL PARA CADA CARGO.
THAIS DA SILVA SILVESTRE 048***.***-** 7 INDEFERIDO
CANDIDATO (A) NÃO APRESENTOU DOCUMETAÇÃO EXIGIDA. O candidato não
apresentou declaração expedida pelo GDF que comprove recebimento de
beneficio de Programa Social de complementação ou suplementação de renda
do GDF.(Prato Cheio e IDF social).
LUCAS VITOR ALVES SILVA 079***.***-** 6 INDEFERIDO CANDIDATO (A) NÃO APRESENTOU DOCUMENTAÇÃO EXIGIDA. (RG)
RYCHELLY LAYANE ALVES DE OLIVEIRA 047***.***-** 8 DEFERIDO
WARLEY ANICÁCIO DA SILVA 078***.***-** 2 INDEFERIDO
CANDIDATO (A) NÃO APRESENTOU DOCUMETAÇÃO EXIGIDA. O candidato não
apresentou declaração expedida pelo GDF que comprove recebimento de
beneficio de Programa Social de complementação ou suplementação de renda
do GDF.(Prato Cheio e IDF social).
FRANCIANE MARCELINA PEREIRA SANTOS 608***.***-** 7 INDEFERIDO
CANDIDATO (A) NÃO APRESENTOU DOCUMETAÇÃO EXIGIDA. O candidato não
apresentou declaração expedida pelo GDF que comprove recebimento de
beneficio de Programa Social de complementação ou suplementação de renda
do GDF.(Prato Cheio e IDF social).
LUIS RICARDO LEITE MEDEIROS 070***.***-** 1 INDEFERIDO
CANDIDATO (A) NÃO APRESENTOU DOCUMETAÇÃO EXIGIDA. O candidato não
apresentou declaração expedida pelo GDF que comprove recebimento de
beneficio de Programa Social de complementação ou suplementação de renda
do GDF.(Prato Cheio e IDF social).
ILMARA SANTOS 020***.***-** 1 DEFERIDO
LAILA PEREIRA DE CARVALHO 010***.***-** 1 DEFERIDO
GUSTAVO DOUGLAS LUZ 060***.***-** 8 DEFERIDO
BRUNO VENTURA LUDOVICO MARIANO 007***.***-** 1 DEFERIDO
MARIA IRAILDE XIMENES MARTINS ALENCAR 829***.***-** 2 DEFERIDO
ELIANE FERREIRA ALVES 002***.***-** 5 INDEFERIDO
CANDIDATO (A) NÃO APRESENTOU DOCUMETAÇÃO EXIGIDA. O candidato não
apresentou declaração expedida pelo GDF que comprove recebimento de
beneficio de Programa Social de complementação ou suplementação de renda
do GDF.(Prato Cheio e IDF social).
ANDRESSA FONTINELLE LEITE DA SILVA 069***.***-** 6 DEFERIDO
EXPEDITO FEITOSA DE MOURA 780***.***-** 1 INDEFERIDO
CANDIDATO (A) NÃO APRESENTOU DOCUMETAÇÃO EXIGIDA. O candidato não
apresentou declaração expedida pelo GDF que comprove recebimento de
beneficio de Programa Social de complementação ou suplementação de renda
do GDF.(Prato Cheio e IDF social).
LUCAS DE SOUSA DE OLIVEIRA 023***.***-** 8 INDEFERIDO
CANDIDATO (A) NÃO APRESENTOU DOCUMETAÇÃO EXIGIDA. O candidato não
apresentou declaração expedida pelo GDF que comprove recebimento de
beneficio de Programa Social de complementação ou suplementação de renda
do GDF.(Prato Cheio e IDF social).
RUTTE KELLY HENRIQUES DE OLIVEIRA 069***.***-** 8 DEFERIDO
EXPEDITO FEITOSA DE MOURA 780***.***-** 6 INDEFERIDO
CANDIDATO (A) NÃO APRESENTOU DOCUMETAÇÃO EXIGIDA. O candidato não
apresentou declaração expedida pelo GDF que comprove recebimento de
beneficio de Programa Social de complementação ou suplementação de renda
do GDF.(Prato Cheio e IDF social).
IDAIANO IURI MARQUES DOS SANTOS 012***.***-** 6 DEFERIDO
LETICIA ALVES PEREIRA 050***.***-** 8 INDEFERIDO
CANDIDATO (A) NÃO APRESENTOU DOCUMETAÇÃO EXIGIDA. O candidato não
apresentou declaração expedida pelo GDF que comprove recebimento de
beneficio de Programa Social de complementação ou suplementação de renda
do GDF.(Prato Cheio e IDF social).
LIGIA CAROLINA ALEXANDRE DE SOUSA 006***.***-** 1 INDEFERIDO
CANDIDATO (A) NÃO APRESENTOU DOCUMENTAÇÃO EXIGIDA EM PDF. (
Declarações em imagem)
IDAIANO IURI MARQUES DOS SANTOS 012***.***-** 1 DEFERIDO
DANIELA SANTOS NEVES 047***.***-** 2 INDEFERIDO
CANDIDATO (A) NÃO APRESENTOU DOCUMETAÇÃO EXIGIDA. O candidato não
apresentou declaração expedida pelo GDF que comprove recebimento de
beneficio de Programa Social de complementação ou suplementação de renda
do GDF.(Prato Cheio e IDF social).
THALITA BENICIO MOTA 143***.***-** 1 INDEFERIDO
CANDIDATO (A) NÃO APRESENTOU DOCUMETAÇÃO EXIGIDA. O candidato não
apresentou declaração expedida pelo GDF que comprove recebimento de
beneficio de Programa Social de complementação ou suplementação de renda
do GDF.(Prato Cheio e IDF social).
ROMULO MAGALHÃES ARAUJO 063***.***-** - INDEFERIDO O CANDIDATO NÃO INFORMOU NUMERO DO CARGO
KARINNE KETELLYN FEITOSA SILVA 057***.***-** 1 DEFERIDO
KARINNE KETELLYN FEITOSA SILVA 057***.***-** 2 DEFERIDO
NATALIA RIBEIRO DA SILVA 876***.***-** 6 INDEFERIDO
CANDIDATO (A) NÃO APRESENTOU DOCUMETAÇÃO EXIGIDA. O candidato não
apresentou declaração expedida pelo GDF que comprove recebimento de
beneficio de Programa Social de complementação ou suplementação de renda
do GDF.(Prato Cheio e IDF social).
GABRIELA PEREIRA GODINHO 040***.***-** 1 INDEFERIDO
CANDIDATO (A) NÃO APRESENTOU DOCUMETAÇÃO EXIGIDA. O candidato não
apresentou declaração expedida pelo GDF que comprove recebimento de
beneficio de Programa Social de complementação ou suplementação de renda
do GDF.(Prato Cheio e IDF social).
MIRENA NEVES TEODOSIO 056***.***-** 1 INDEFERIDO
CANDIDATO (A) NÃO APRESENTOU DOCUMETAÇÃO EXIGIDA. O candidato não
apresentou declaração expedida pelo GDF que comprove recebimento de
beneficio de Programa Social de complementação ou suplementação de renda
do GDF.(Prato Cheio e IDF social).
KRISLLEY KARISSY FEITOSA SILVA 064***.***-** 1 DEFERIDO
EULAINE DE JESUS DOURADO 027***.***-** 1 INDEFERIDO
CANDIDATO (A) NÃO APRESENTOU DOCUMETAÇÃO EXIGIDA. O candidato não
apresentou declaração expedida pelo GDF que comprove recebimento de
beneficio de Programa Social de complementação ou suplementação de renda
do GDF.(Prato Cheio e IDF social).
EULAINE DE JESUS DOURADO 027***.***-** 6 INDEFERIDO
CANDIDATO (A) NÃO APRESENTOU DOCUMETAÇÃO EXIGIDA. O candidato não
apresentou declaração expedida pelo GDF que comprove recebimento de
beneficio de Programa Social de complementação ou suplementação de renda
do GDF.(Prato Cheio e IDF social).
ALINE DIANIRA DA SILVA ALTINO 982***.***-** 1 INDEFERIDO
CANDIDATO (A) NÃO APRESENTOU DOCUMETAÇÃO EXIGIDA. O candidato não
apresentou declaração expedida pelo GDF que comprove recebimento de
beneficio de Programa Social de complementação ou suplementação de renda
do GDF.(Prato Cheio e IDF social).
KRISLLEY KARISSY FEITOSA SILVA 064***.***-** 2 DEFERIDO
FABIANA BATISTA DA SILVA 011***.***-** 1 INDEFERIDO
CANDIDATO (A) NÃO APRESENTOU DOCUMETAÇÃO EXIGIDA. O candidato não
apresentou declaração expedida pelo GDF que comprove recebimento de
beneficio de Programa Social de complementação ou suplementação de renda
do GDF.(Prato Cheio e IDF social).
CILEIDE MOURA BEZERRA 798***.***-** - INDEFERIDO
CANDIDATO (A) NÃO APRESENTOU DOCUMENTAÇÃO EXIGIDA EM
PDF.(Formulario devidamente prenchido e assinado).
MARCELO OLIVEIRA DE ALMEIDA 777***.***-** 1 DEFERIDO
BRUNO PAZ DE SOUZA 048***.***-** 1 DEFERIDO
ERIVELTON RODRIGUES DE JESUS 051***.***-** 1 INDEFERIDO
CANDIDATO (A) NÃO APRESENTOU DOCUMETAÇÃO EXIGIDA. O candidato não
apresentou documento comprobatório da isenção de acordo com a hipótese
escolhida.
KASSIA ALVES DE ALENCAR 042***.***-** 4 INDEFERIDO
CANDIDATO (A) NÃO APRESENTOU DOCUMENTAÇÃO EXIGIDA EM
PDF.(Imagens)).
PALOMA KAMILA MACHADO RIBEIRO 034***.***-** 1 INDEFERIDO
CANDIDATO (A) NÃO APRESENTOU DOCUMENTAÇÃO EXIGIDA EM
PDF.(Formulario devidamente prenchido e assinado).
RUTE SOARES DA SILVA 719***.***-** 1 INDEFERIDO CANDIDATO (A) NÃO APRESENTOU DOCUMENTAÇÃO EXIGIDA EM PDF.
QUÉREN HAPUQUE FERREIRA DA SILVA 073***.***-** 8 INDEFERIDO
CANDIDATO (A) NÃO APRESENTOU DOCUMETAÇÃO EXIGIDA. O candidato não
apresentou declaração expedida pelo GDF que comprove recebimento de
beneficio de Programa Social de complementação ou suplementação de renda
do GDF.(Prato Cheio e IDF social).
NEIF BASTOS VALVERDE 995***.***-** 1 DEFERIDO
SARA SAYURI AVILINO HOSAKA 035***.***-** 1 DEFERIDO
SARA SAYURI AVILINO HOSAKA 035***.***-** 8 DEFERIDO
ANA VITORIA DIAS DE LIMA 072***.***-** 6 INDEFERIDO
CANDIDATO (A) NÃO APRESENTOU DOCUMETAÇÃO EXIGIDA. O candidato não
apresentou declaração expedida pelo GDF que comprove recebimento de
beneficio de Programa Social de complementação ou suplementação de renda
do GDF.(Prato Cheio e IDF social).
VERONICA FERREIRA BASTOS LIMA 603***.***-** - INDEFERIDO
CANDIDATO (A) NÃO APRESENTOU DOCUMETAÇÃO EXIGIDA. O candidato não
apresentou declaração expedida pelo GDF que comprove recebimento de
beneficio de Programa Social de complementação ou suplementação de renda
do GDF.(Prato Cheio e IDF social).
ISABELA SILVA DE SOUSA 076***.***-** 1 INDEFERIDO
CANDIDATO (A) NÃO APRESENTOU DOCUMETAÇÃO EXIGIDA. O candidato não
apresentou declaração expedida pelo GDF que comprove recebimento de
beneficio de Programa Social de complementação ou suplementação de renda
do GDF.(Prato Cheio e IDF social).
PALOMA KAMILA MACHADO RIBEIRO 034***.***-** 2 INDEFERIDO
CANDIDATO (A) NÃO APRESENTOU DOCUMENTAÇÃO EXIGIDA EM
PDF.(Formulario devidamente prenchido e assinado).
ANA MARIA DOS SANTOS SOUZA 603***.***-** 8 INDEFERIDO
CANDIDATO (A) NÃO APRESENTOU DOCUMETAÇÃO EXIGIDA. O candidato não
apresentou declaração expedida pelo GDF que comprove recebimento de
beneficio de Programa Social de complementação ou suplementação de renda
do GDF.(Prato Cheio e IDF social).
RAQUEL FRANCISCA MACHADO 000***.***-** 2 INDEFERIDO
CANDIDATO (A) NÃO APRESENTOU DOCUMETAÇÃO EXIGIDA. O candidato não
apresentou declaração expedida pelo GDF que comprove recebimento de
beneficio de Programa Social de complementação ou suplementação de renda
do GDF.(Prato Cheio e IDF social).
RAQUEL FRANCISCA MACHADO 000***.***-** 1 INDEFERIDO
CANDIDATO (A) NÃO APRESENTOU DOCUMETAÇÃO EXIGIDA. O candidato não
apresentou declaração expedida pelo GDF que comprove recebimento de
beneficio de Programa Social de complementação ou suplementação de renda
do GDF.(Prato Cheio e IDF social).
JENNY RACHEL MARTINS 032***.***-** 1 INDEFERIDO
CANDIDATO (A) NÃO APRESENTOU DOCUMETAÇÃO EXIGIDA. O candidato não
apresentou declaração expedida pelo GDF que comprove recebimento de
beneficio de Programa Social de complementação ou suplementação de renda
do GDF.(Prato Cheio e IDF social).
JENNY RACHEL MARTINS 032***.***-** 2 INDEFERIDO
CANDIDATO (A) NÃO APRESENTOU DOCUMETAÇÃO EXIGIDA. O candidato não
apresentou declaração expedida pelo GDF que comprove recebimento de
beneficio de Programa Social de complementação ou suplementação de renda
do GDF.(Prato Cheio e IDF social).
THAYANE DE SOUSA SOARES 052***.***-** 7 DEFERIDO
VINICIUS DE ARAUJO VIEIRA 042***.***-** 1 DEFERIDO
VINICIUS DE ARAUJO VIEIRA 042***.***-** 7 INDEFERIDO
CANDIDATO (A) NÃO APRESENTOU O FORMULARIO PARA CADA PEDIDO DE
ISENÇÃO DE TAXA UM E-MAIL PARA CADA CARGO.
ANA NAIARA BRASILINO DA SILVA 064***.***-** 5 INDEFERIDO
CANDIDATO (A) NÃO APRESENTOU DOCUMETAÇÃO EXIGIDA. O candidato não
apresentou declaração expedida pelo GDF que comprove recebimento de
beneficio de Programa Social de complementação ou suplementação de renda
do GDF.(Prato Cheio e IDF social).
NEIF BASTOS VALVERDE 995***.***-** 8 DEFERIDO
MARIO HENRIQUE MORENO DOS SANTOS 019***.***-** 1 DEFERIDO
VINICIUS RIBEIRO DA SILVA 035***.***-** 1 DEFERIDO
THAYANE DE SOUSA SOARES 052***.***-** 1 DEFERIDO
MELISSA GRAÇA DE SOUSA LOPES 043***.***-** 3 INDEFERIDO
CANDIDATO (A) NÃO APRESENTOU DOCUMETAÇÃO EXIGIDA. O candidato não
apresentou declaração expedida pelo GDF que comprove recebimento de
beneficio de Programa Social de complementação ou suplementação de renda
do GDF.(Prato Cheio e IDF social).
MELISSA GRAÇA DE SOUSA LOPES 043***.***-** 1 INDEFERIDO
CANDIDATO (A) NÃO APRESENTOU DOCUMETAÇÃO EXIGIDA. O candidato não
apresentou declaração expedida pelo GDF que comprove recebimento de
beneficio de Programa Social de complementação ou suplementação de renda
do GDF.(Prato Cheio e IDF social).
THAIS FELIX REIS 054***.***-** 2 DEFERIDO
ZILA MARIA FONTENELLE BASILIO 778***.***-** 6 INDEFERIDO
CANDIDATO (A) NÃO APRESENTOU DOCUMETAÇÃO EXIGIDA. O candidato não
apresentou declaração expedida pelo GDF que comprove recebimento de
beneficio de Programa Social de complementação ou suplementação de renda
do GDF.(Prato Cheio e IDF social).
RITA DE CASSIA DE PAULA MACHADO TAVARES BARBOSA 607***.***-** 1 INDEFERIDO
CANDIDATO (A) NÃO APRESENTOU DOCUMETAÇÃO EXIGIDA. O candidato não
apresentou declaração expedida pelo GDF que comprove recebimento de
beneficio de Programa Social de complementação ou suplementação de renda
do GDF.(Prato Cheio e IDF social).
NAIANA NADIA SANTOS DE MENESES 042***.***-** 5 INDEFERIDO
CANDIDATO (A) NÃO APRESENTOU DOCUMETAÇÃO EXIGIDA. O candidato não
apresentou declaração expedida pelo GDF que comprove recebimento de
beneficio de Programa Social de complementação ou suplementação de renda
do GDF.(Prato Cheio e IDF social).
JOSUÉ OLIVEIRA DAMASCENO 036***.***-** 1 DEFERIDO
VINICIUS RIBEIRO DA SILVA 035***.***-** 2 DEFERIDO
ERIKA SOARES DOS SANTOS 716***.***-** 1 DEFERIDO
ANA PAULA DA SILVA ESILVA 002***.***-** 1 DEFERIDO
SARA JANE NERE SANTOS 066***.***-** 1 INDEFERIDO
CANDIDATO (A) NÃO APRESENTOU DOCUMETAÇÃO EXIGIDA. O candidato não
apresentou declaração expedida pelo GDF que comprove recebimento de
beneficio de Programa Social de complementação ou suplementação de renda
do GDF.(Prato Cheio e IDF social).
JACKSON COELHO BARBOSA DOS SANTOS 866***.***-** 1 INDEFERIDO
CANDIDATO (A) NÃO APRESENTOU DOCUMETAÇÃO EXIGIDA. O candidato não
apresentou declaração expedida pelo GDF que comprove recebimento de
beneficio de Programa Social de complementação ou suplementação de renda
do GDF.(Prato Cheio e IDF social).
SILVANA DAMASCENO CAVALCANTE CASTELO BRANCO 306***.***-** 1 DEFERIDO
NATHALY AGUIAR TORRES 044***.***-** 5 DEFERIDO
NATHALIA MEDEIROS LEITE ALEIXO 042***.***-** 8 DEFERIDO
VANDERLANE ALVES TEIXEIRA 074***.***-** 8 DEFERIDO
MATHEUS FELICIANO FIGUEREDO 066***.***-** 1 INDEFERIDO
CANDIDATO (A) NÃO APRESENTOU DOCUMETAÇÃO EXIGIDA. O candidato não
apresentou declaração expedida pelo GDF que comprove recebimento de
beneficio de Programa Social de complementação ou suplementação de renda
do GDF.(Prato Cheio e IDF social).
MATHEUS FELICIANO FIGUEREDO 066***.***-** 3 INDEFERIDO
CANDIDATO (A) NÃO APRESENTOU DOCUMETAÇÃO EXIGIDA. O candidato não
apresentou declaração expedida pelo GDF que comprove recebimento de
beneficio de Programa Social de complementação ou suplementação de renda
do GDF.(Prato Cheio e IDF social).
ANTONIO CARLOS DE SOUZA BRITO 900***.***-** 8 INDEFERIDO
CANDIDATO (A) NÃO APRESENTOU DOCUMETAÇÃO EXIGIDA. O candidato não
apresentou declaração expedida pelo GDF que comprove recebimento de
beneficio de Programa Social de complementação ou suplementação de renda
do GDF.(Prato Cheio e IDF social).
ANDREA FERNANDES FREIRES 707***.***-** 1 DEFERIDO
CLAUDIANY DE FREITAS FERREIRA 024***.***-** 1 INDEFERIDO
CANDIDATO (A) NÃO APRESENTOU DOCUMETAÇÃO EXIGIDA. O candidato não
apresentou declaração expedida pelo GDF que comprove recebimento de
beneficio de Programa Social de complementação ou suplementação de renda
do GDF.(Prato Cheio e IDF social).
GABRIELA SOARES COSTA 029***.***-** 7 INDEFERIDO
CANDIDATO (A) NÃO APRESENTOU DOCUMETAÇÃO EXIGIDA. O candidato não
apresentou documento comprobatório da isenção de acordo com a hipótese
escolhida (laudo Medico).
ANTÔNIO CARLOS DE SOUZA BRITO 900***.***-** 1 INDEFERIDO
BRUNA SANTOS DE JESUS 097***.***-** 1 INDEFERIDO
CANDIDATO (A) NÃO APRESENTOU DOCUMETAÇÃO EXIGIDA. O candidato não
apresentou documento comprobatório da isenção de acordo com a hipótese
escolhida (laudo Medico).
WILLIASMAR NUNES MEDEIROS 726***.***-** 1 INDEFERIDO CANDIDATO (A) NÃO APRESENTOU DOCUMENTAÇÃO EXIGIDA EM PDF.
ELISSON NASCIMENTO DE OLIVEIRA 560***.***-** 1 DEFERIDO
SILVANA MARIA BORBOSA MARQUES 368***.***-** 1 INDEFERIDO CANDIDATO (A) NÃO APRESENTOU DOCUMENTAÇÃO EXIGIDA EM PDF.
LEONARDO AMARAL DA SILVA 553***.***-** 5 INDEFERIDO
CANDIDATO (A) NÃO APRESENTOU DOCUMETAÇÃO EXIGIDA. O candidato não
apresentou declaração expedida pelo GDF que comprove recebimento de
beneficio de Programa Social de complementação ou suplementação de renda
do GDF.(Prato Cheio e IDF social).
WILHIAM NUNES FERREIRA 021***.***-** 1 INDEFERIDO
CANDIDATO (A) NÃO APRESENTOU DOCUMETAÇÃO EXIGIDA. O candidato não
apresentou declaração expedida pelo GDF que comprove recebimento de
beneficio de Programa Social de complementação ou suplementação de renda
do GDF.(Prato Cheio e IDF social).
ANA PAULA DA ROCHA SANTOS 072***.***-** 5 INDEFERIDO
CANDIDATO (A) NÃO APRESENTOU DOCUMETAÇÃO EXIGIDA. O candidato não
apresentou declaração expedida pelo GDF que comprove recebimento de
beneficio de Programa Social de complementação ou suplementação de renda
do GDF.(Prato Cheio e IDF social).
ADRIANA RODRIGUES RIBEIRO 069***.***-** 1 INDEFERIDO
CANDIDATO (A) NÃO APRESENTOU DOCUMETAÇÃO EXIGIDA. O candidato não
apresentou declaração expedida pelo GDF que comprove recebimento de
beneficio de Programa Social de complementação ou suplementação de renda
do GDF.(Prato Cheio e IDF social).
RAMON BATISTA DE SOUSA 017***.***-** 2 DEFERIDO
EDUARDO NASCIMENTO MEDEIROS 088***.***-** 1 INDEFERIDO
CANDIDATO (A) NÃO APRESENTOU DOCUMETAÇÃO EXIGIDA. O candidato não
apresentou documento comprobatório da isenção de acordo com a hipótese
escolhida (laudo Medico).
ELIDA PEREIRA PINTO 045***.***-** - INDEFERIDO
CANDIDATO (A) NÃO APRESENTOU DOCUMETAÇÃO EXIGIDA(Formulario
desatualizado). O candidato não apresentou certidão expedida pelo GDF que
comprove recebimento de beneficio de Programa Social de complementação ou
suplementação de renda do GDF.
ALINE STEPHANY SALES DE BRITO DA SILVA 043***.***-** 1 INDEFERIDO CANDIDATO (A) NÃO APRESENTOU DOCUMENTAÇÃO EXIGIDA.
FABRICIA LAGO PEREIRA 014***.***-** 1 INDEFERIDO
CANDIDATO (A) NÃO APRESENTOU DOCUMETAÇÃO EXIGIDA(Formulario
desatualizado). O candidato não apresentou certidão expedida pelo GDF que
comprove recebimento de beneficio de Programa Social de complementação ou
suplementação de renda do GDF.
FABRICIA LAGO PEREIRA 014***.***-** 8 INDEFERIDO
CANDIDATO (A) NÃO APRESENTOU DOCUMETAÇÃO EXIGIDA(Formulario
desatualizado). O candidato não apresentou certidão expedida pelo GDF que
comprove recebimento de beneficio de Programa Social de complementação ou
suplementação de renda do GDF.
ROSANGELA ISRAEL DE SOUSA MARTINS 647***.***-** 6 DEFERIDO
ADRIANA MOREIRA SOUSA DO NASCIMENTO 970***.***-** 1 INDEFERIDO
CANDIDATO (A) NÃO APRESENTOU DOCUMETAÇÃO EXIGIDA(Formulario
desatualizado). O candidato não apresentou certidão expedida pelo GDF que
comprove recebimento de beneficio de Programa Social de complementação ou
suplementação de renda do GDF.
NUBIA CARDOSO DO AMARAL 030***.***-** 8 INDEFERIDO
CANDIDATO (A) NÃO APRESENTOU DOCUMETAÇÃO EXIGIDA(Formulario
desatualizado). O candidato não apresentou certidão expedida pelo GDF que
comprove recebimento de beneficio de Programa Social de complementação ou
suplementação de renda do GDF.
LAIS SILVA SANTOS 070***.***-** - INDEFERIDO
CANDIDATO (A) NÃO APRESENTOU DOCUMETAÇÃO EXIGIDA(Formulario
desatualizado). O candidato não apresentou certidão expedida pelo GDF que
comprove recebimento de beneficio de Programa Social de complementação ou
suplementação de renda do GDF.
RAQUEL BRITO DE SOUSA 004***.***-** 1 INDEFERIDO
CANDIDATO (A) NÃO APRESENTOU DOCUMETAÇÃO EXIGIDA(Formulario
desatualizado). O candidato não apresentou certidão expedida pelo GDF que
comprove recebimento de beneficio de Programa Social de complementação ou
suplementação de renda do GDF.
ELISSON NASCIMENTO DE OLIVEIRA 960***.***-** 1 DEFERIDO
KELVIN WILLIAN SOARES FERREIRA 082***.***-** 7 INDEFERIDO
CANDIDATO (A) NÃO APRESENTOU DOCUMETAÇÃO EXIGIDA(Formulario
desatualizado). O candidato não apresentou certidão expedida pelo GDF que
comprove recebimento de beneficio de Programa Social de complementação ou
suplementação de renda do GDF.
PAULO DANIEL GOMES BATISTA DA SILVA 052***.***-** 7 INDEFERIDO
CANDIDATO (A) NÃO APRESENTOU DOCUMETAÇÃO EXIGIDA(Formulario
desatualizado). O candidato não apresentou certidão expedida pelo GDF que
comprove recebimento de beneficio de Programa Social de complementação ou
suplementação de renda do GDF.
MARIA HELOISA DOS PASSOS ANDRADE 068***.***-** 1 DEFERIDO
JULIANE DE SOUZA PEREIRA 042***.***-** 6 DEFERIDO
JULIANE DE SOUZA PEREIRA 042***.***-** 1 DEFERIDO
LUCIANA MARÇAL NUNES 009***.***-** 1 INDEFERIDO CANDIDATO (A) NÃO APRESENTOU DOCUMENTAÇÃO EXIGIDA.(Imagens)
JOSEFA MARIA DA SILVA 879***.***-** 1 INDEFERIDO
CANDIDATO (A) NÃO APRESENTOU DOCUMETAÇÃO EXIGIDA. O candidato não
apresentou declaração expedida pelo GDF que comprove recebimento de
beneficio de Programa Social de complementação ou suplementação de renda
do GDF.(Prato Cheio e IDF social).
JOSEFA MARIA DA SILVA 879***.***-** 6 INDEFERIDO
CANDIDATO (A) NÃO APRESENTOU DOCUMETAÇÃO EXIGIDA. O candidato não
apresentou declaração expedida pelo GDF que comprove recebimento de
beneficio de Programa Social de complementação ou suplementação de renda
do GDF.(Prato Cheio e IDF social).
ERIKA DE CARVALHO ARAUJO 033***.***-** 7 INDEFERIDO
CANDIDATO (A) NÃO APRESENTOU DOCUMETAÇÃO EXIGIDA. O candidato não
apresentou declaração expedida pelo GDF que comprove recebimento de
beneficio de Programa Social de complementação ou suplementação de renda
do GDF.(Prato Cheio e IDF social).
DANIEL LIMA SILVA 603***.***-** 1 INDEFERIDO
CANDIDATO (A) NÃO APRESENTOU DOCUMETAÇÃO EXIGIDA(Formulario
desatualizado). O candidato não apresentou certidão expedida pelo GDF que
comprove recebimento de beneficio de Programa Social de complementação ou
suplementação de renda do GDF.
KAROLAYNE AGRA DE VASCONCELOS 056***.***-** 8 INDEFERIDO
CANDIDATO (A) NÃO APRESENTOU DOCUMETAÇÃO EXIGIDA(Formulario
desatualizado). O candidato não apresentou certidão expedida pelo GDF que
comprove recebimento de beneficio de Programa Social de complementação ou
suplementação de renda do GDF.
DANIELE TRINDADE MARQUES 003***.***-** 1 DEFERIDA
ELYSA BEATRIZ DE OLIVEIRA DAMAS 067***.***-** 1 DEFERIDA
DORANI PEREIRA SOARES 539***.***-** 1 INDEFERIDA NÃO ENVIOU DOCUMENTO HÁBIL COMPROBATÓRIO DO PEDIDO
VANESSA GABRIELA MOTA FERRAZ 04***.***-** 1 DEFERIDA
JÚLIO CEZAR ALVES DE ASSIS 692***.***-** 7 INDEFERIDA NÃO ENVIOU DOCUMENTO HÁBIL COMPROBATÓRIO DO PEDIDO
MEYRE LUCE DE JESUS REIS 053***.***-** - INDEFERIDA NÃO ENVIOU DOCUMENTO HÁBIL COMPROBATÓRIO DO PEDIDO
LUCIANA MARIA RODRIGUES LISBOA 033***.***-** 1 DEFERIDA
DANIELE ASSIS CASTRO SILVA 034***.***-** 8 INDEFERIDA CANDIDATO (A) NÃO APRESENTOU DOCUMENTAÇÃO EXIGIDA EM PDF
ANA ALICE PEREIRA DA MOTA 056***.***-** 1 INDEFERIDA NÃO ENVIOU DOCUMENTO HÁBIL COMPROBATÓRIO DO PEDIDO
EDUARDO AUGUSTO MORAIS GOMES 030***.***-** 1 DEFERIDA
MARIA ROSIELE PEREIRA FONSECA 085***.***-** 8 DEFERIDA
RAYLLENE DO NASCIMENTO SILVA 008***.***-** 8 INDEFERIDA
CANDIDATO (A) NÃO APRESENTOU DECLARAÇÃO EXPEDIDA PELO GDF QUE
COMPROVE RECEBIMENTO DE BENEFÍCIO DE PROGRAMA SOCIAL DE
COMPLEMENTAÇÃO OU SUPLEMENTAÇÃO DE RENDA DO GDF (PRATO CHEIO, DF
SOCIAL)
DOUGLAS SANTANA DO NASCIMENTO 005***.***-** - INDEFERIDA NÃO APRESENTOU FORMULÁRIO COM NÚMERO DO CARGO
UILSON ALVES VIEIRA 784***.***-** 1 DEFERIDA
LUCIANA LIMA REIS 018***.***-** 8 INDEFERIDA
CANDIDATO (A) NÃO APRESENTOU DECLARAÇÃO EXPEDIDA PELO GDF QUE
COMPROVE RECEBIMENTO DE BENEFÍCIO DE PROGRAMA SOCIAL DE
COMPLEMENTAÇÃO OU SUPLEMENTAÇÃO DE RENDA DO GDF (PRATO CHEIO, DF
SOCIAL)
DALCIONE FREITAS LOUZEIRO SILVA 023***.***-** 1 INDEFERIDA
CANDIDATO (A) NÃO APRESENTOU DECLARAÇÃO EXPEDIDA PELO GDF QUE
COMPROVE RECEBIMENTO DE BENEFÍCIO DE PROGRAMA SOCIAL DE
COMPLEMENTAÇÃO OU SUPLEMENTAÇÃO DE RENDA DO GDF (PRATO CHEIO, DF
SOCIAL)
APARECIDA CRISTINA DE OLIVEIRA MELO 989***.***-** 8 DEFERIDA
PEDRO DE MELO PAIVA -***.***-** 1 INDEFERIDA NÃO ENVIOU DOCUMENTO EM PDF
JULIENE DANTAS TEIXEIRA 159***.***-** 1 DEFERIDA
LETICIA IDELFONSO ALVES SANTANA 047***.***-** 1 DEFERIDA
SANDRA HELENA BRITO DE ASSIS 878***.***-** 8 INDEFERIDA
CANDIDATO (A) NÃO APRESENTOU DECLARAÇÃO EXPEDIDA PELO GDF QUE
COMPROVE RECEBIMENTO DE BENEFÍCIO DE PROGRAMA SOCIAL DE
COMPLEMENTAÇÃO OU SUPLEMENTAÇÃO DE RENDA DO GDF (PRATO CHEIO, DF
SOCIAL)
LUCIANO RODRIGUES PEREIRA 704***.***-** - INDEFERIDO NÃO APRESENTOU O NÚMERO DO CARGO
RAEL NUNES DE OLIVEIRA 073***.***-** 1 DEFERIDO
LEONARDO AMARAL DA SILVA -***.***-** 2 INDEFERIDO NÃO ENVIOU DOCUMENTO EM PDF
GIVANE CAPUTO DA COSTA 159***.***-** 7 DEFERIDO
JAQUELINE TEIXEIRA NEVES 725***.***-** 6 INDEFERIDO NÃO ENVIOU O DOCUMENTO COMPROBATÓRIO
THAMIRES OLIVEIRA QUEIROZ 047***.***-** 1 DEFERIDO
MAYRLON ALVES ALENCAR 024***.***-** 1 INDEFERIDO
CANDIDATO (A) NÃO APRESENTOU DECLARAÇÃO EXPEDIDA PELO GDF QUE
COMPROVE RECEBIMENTO DE BENEFÍCIO DE PROGRAMA SOCIAL DE
COMPLEMENTAÇÃO OU SUPLEMENTAÇÃO DE RENDA DO GDF (PRATO CHEIO, DF
SOCIAL)
JEFERSON LUIS ABRÃO 036***.***-** 1 DEFERIDO
IVONE ROSA DO CARMO 689***.***-** 1 DEFERIDO
DAYSE MARQUES DOS SANTOS 079***.***-** 1 DEFERIDO
MIRELLA PEREIRA VIEIRA 018***.***-** 1 INDEFERIDO
CANDIDATO (A) NÃO APRESENTOU DECLARAÇÃO EXPEDIDA PELO GDF QUE
COMPROVE RECEBIMENTO DE BENEFÍCIO DE PROGRAMA SOCIAL DE
COMPLEMENTAÇÃO OU SUPLEMENTAÇÃO DE RENDA DO GDF (PRATO CHEIO, DF
SOCIAL)
MARIA APARECIDA PEREIRA ***.***-** 2 INDEFERIDO NÃO ENVIOU O DOCUMENTO COMPROBATÓRIO EM FORMATO PDF
KESSYA RODRIGUES DA SILVA 078***.***-** 6 INDEFERIDO NÃO ENVIOU O DOCUMENTO COMPROBATÓRIO EM FORMATO PDF
NEIDE NASCIMENTO RIBEIRO 816***.***-** 1 INDEFERIDO NÃO ENVIOU O DOCUMENTO COMPROBATÓRIO EM FORMATO PDF
GADIEL NUNES DOS SANTOS 059***.***-** 1 INDEFERIDO NÃO ENVIOU DOCUMENTOS PESSOAIS
SABRINA MIRANDA BORGES 086***.***-** - INDEFERIDO NÃO ENVIOU DOCUMENTO HÁBIL COMPROBATÓRIO DO PEDIDO
TATIANE MIRANDA BORGES 728***.***-** - INDEFERIDO NÃO ENVIOU DOCUMENTO HÁBIL COMPROBATÓRIO DO PEDIDO
MAIZETE MIRANDA BORGES 302***.***-** - INDEFERIDO NÃO ENVIOU DOCUMENTO HÁBIL COMPROBATÓRIO DO PEDIDO
GUILHERME GONCALVES BORGES 026***.***-** - INDEFERIDO NÃO ENVIOU DOCUMENTO HÁBIL COMPROBATÓRIO DO PEDIDO
ALEXANDRE MIRANDA DA SILVA 071***.***-** - INDEFERIDO NÃO ENVIOU DOCUMENTO HÁBIL COMPROBATÓRIO DO PEDIDO
SAMARA DE SOUZA RODRIGUES 044***.***-** 1 INDEFERIDO NÃO ENVIOU DOCUMENTO HÁBIL COMPROBATÓRIO DO PEDIDO
SHIRLEY BARROS DE OLIVEIRA 985***.***-** - INDEFERIDO NÃO ENVIOU DOCUMENTO HÁBIL COMPROBATÓRIO DO PEDIDO
LENEUDA PEREIRA CAVALCANTE 863***.***-** 1 INDEFERIDO NÃO ENVIOU DOCUMENTO HÁBIL COMPROBATÓRIO DO PEDIDO
CLAUDIA CHRISTIANE LEITE FONSECA -***.***-** - INDEFERIDO
NÃO ENVIOU DOCUMENTO HÁBIL COMPROBATÓRIO DO PEDIDO EM FORMATO
PDF
KATIA CALISTO RIBEIRO DA SILVA 736***.***-** 1 DEFERIDO
IRACI MARIA DE LIRA ALVES -***.***-** - INDEFERIDO
NÃO ENVIOU DOCUMENTO HÁBIL COMPROBATÓRIO DO PEDIDO EM FORMATO
PDF
WECIRLEY ALVES PEREIRA 052***.***-** 1 INDEFERIDO
NÃO ENVIOU DOCUMENTO HÁBIL COMPROBATÓRIO DO PEDIDO EM FORMATO
PDF
AMINADABI LIMA DE BARROS FILHO 834***.***-** 1 DEFERIDO
SHIRLEY BARROS DE OLIVEIRA -***.***-** - INDEFERIDO
NÃO ENVIOU DOCUMENTO HÁBIL COMPROBATÓRIO DO PEDIDO EM FORMATO
PDF
ANDRESSA PIONTKOWSKI DE SOUZA SILVA 023***.***-** 1 DEFERIDO
LOURENA BOTTENTUIT CARDOSO PENHA 034***.***-** 1 DEFERIDO
VINICIUS NOGUEIRA GUIMARÃES 036***.***-** 1 DEFERIDO
ALEXANDRE DOS SANTOS BATISTA OLIVEIRA 023***.***-** - INDEFERIDO
NÃO ENVIOU DOCUMENTO HÁBIL COMPROBATÓRIO DO PEDIDO EM FORMATO
PDF
ALEXIA KAMILLY SANTOS MARIDAKIS 090***.***-** - INDEFERIDO
NÃO ENVIOU DOCUMENTO HÁBIL COMPROBATÓRIO DO PEDIDO EM FORMATO
PDF
AURENICE CATARINO DOS SANTOS 012***.***-** 6 INDEFERIDO
NÃO ENVIOU DOCUMENTO HÁBIL COMPROBATÓRIO DO PEDIDO EM FORMATO
PDF
RODRIGO DA SILVA LOPES 047***.***-** 1 DEFERIDO
SABRINA SUANE ROCHA SANTOS 026***.***-** 1 DEFERIDO
CLAÚDIA SALVADOR DA SILVA 484***.***-** 8 INDEFERIDO
NÃO ENVIOU DOCUMENTO HÁBIL COMPROBATÓRIO DO PEDIDO EM FORMATO
PDF
MÁRCIA OLIVEIRA FERNANDES 696***.***-** 7 INDEFERIDO
NÃO ENVIOU DOCUMENTO HÁBIL COMPROBATÓRIO DO PEDIDO EM FORMATO
PDF
KAROLINA RODRIGUES DA SILVA 059***.***-** - INDEFERIDO
NÃO ENVIOU DOCUMENTO HÁBIL COMPROBATÓRIO DO PEDIDO EM FORMATO
PDF
YONNARA CARVALHO PONTES 051***.***-** 7 INDEFERIDO
NÃO ENVIOU DOCUMENTO HÁBIL COMPROBATÓRIO DO PEDIDO EM FORMATO
PDF
VALQUÍRIA LIMA SANTOS 013***.***-** - INDEFERIDO
NÃO ENVIOU DOCUMENTO HÁBIL COMPROBATÓRIO DO PEDIDO EM FORMATO
PDF
FABIANA ROCHA DOS SANTOS 004***.***-** 1 DEFERIDO
CLEDINA MARIA AMELIA DE SALE 645***.***-** 2 INDEFERIDO
NÃO ENVIOU DOCUMENTO HÁBIL COMPROBATÓRIO DO PEDIDO EM FORMATO
PDF
REJANNY MARTINS BARBOSA 610***.***-** 1 INDEFERIDO
NÃO ENVIOU DOCUMENTO HÁBIL COMPROBATÓRIO DO PEDIDO EM FORMATO
PDF
ARMANDO MARCADANTE NETO 610***.***-** 4 DEFERIDO
PEDRO VENPICIO SANTOS DE JESUS 070***.***-** 5 INDEFERIDO
NÃO ENVIOU DOCUMENTO HÁBIL COMPROBATÓRIO DO PEDIDO EM FORMATO
PDF
GLEISSON ALVES RORIGUES 670***.***-** - INDEFERIDO NÃO INDICOU O CARGO PARA O QUAL DESEJA CONCORRER
CAROLINA RODRIGUES GONZALEZ 024***.***-** 1 DEFERIDO
ANDERSON GOMES SOARES 723***.***-** 1 DEFERIDO
DANICE MATHEUS DE OLIVEIRA 342***.***-** - INDEFERIDO
NÃO ENVIOU DOCUMENTO HÁBIL COMPROBATÓRIO DO PEDIDO EM FORMATO
PDF
MARCOS ANTÔNIO GOMES 012***.***-** 1 DEFERIDO
DARCLEANE ARAÚJO SILVA -***.***-** - INDEFERIDO
NÃO ENVIOU DOCUMENTO HÁBIL COMPROBATÓRIO DO PEDIDO EM FORMATO
PDF
JÚLIO CÉSAR ALVES DE ASSIS 692***.***-** 1 INDEFERIDO
NÃO ENVIOU DOCUMENTO HÁBIL COMPROBATÓRIO DO PEDIDO EM FORMATO
PDF
GUILHERME MARQUES DE LIMA 057***.***-** 1 DEFERIDO
TALITA MAIARA RODRIGUES ARAUJO VIEIRA 019***.***-** - INDEFERIDO
NÃO ENVIOU DOCUMENTO HÁBIL COMPROBATÓRIO DO PEDIDO EM FORMATO
PDF
AMANDA LOPES MACEDO 018***.***-** 1 DEFERIDO
REBECA PEREIRA DOS SANTOS 701***.***-** - INDEFERIDO
NÃO ENVIOU DOCUMENTO HÁBIL COMPROBATÓRIO DO PEDIDO EM FORMATO
PDF
CLEICIANE FERNANDES 714***.***-** 7 INDEFERIDO
NÃO ENVIOU DOCUMENTO HÁBIL COMPROBATÓRIO DO PEDIDO EM FORMATO
PDF
DIRCILENE DE SOUSA CAMPOS -***.***-** - INDEFERIDO
NÃO ENVIOU DOCUMENTO HÁBIL COMPROBATÓRIO DO PEDIDO EM FORMATO
PDF
MARIA APARECIDA PEREIRA DA SILVA -***.***-** - INDEFERIDO DOCUMENTO ENVIADO ILEGÍVEL
CÍCERO EDUARDO DE OLIVEIRA 892***.***-** 1 DEFERIDO
ANA CAROLINA RDRIGUES DE OLIVEIRA 111***.***-** 1 INDEFERIDO
NÃO ENVIOU DOCUMENTO HÁBIL COMPROBATÓRIO DO PEDIDO EM FORMATO
PDF
OZAIR DIVINO LOPES JÚNIOR 022***.***-** - INDEFERIDO
NÃO ENVIOU DOCUMENTO HÁBIL COMPROBATÓRIO DO PEDIDO EM FORMATO
PDF
ANGELITA NASCIMENTO DE SOUZA 028***.***-** - INDEFERIDO
NÃO ENVIOU DOCUMENTO HÁBIL COMPROBATÓRIO DO PEDIDO EM FORMATO
PDF
MARISA FERREIRA DA COSTA 010***.***-** 2 INDEFERIDO
NÃO ENVIOU DOCUMENTO HÁBIL COMPROBATÓRIO DO PEDIDO EM FORMATO
PDF
MONICA DA SILVA OLIVEIRA 002***.***-** 7 DEFERIDO
FABRÍCIO GARCIA DO NASCIMENTO 023***.***-** 6 DEFERIDO
DENNER ARAUJO MONTEIRO 011***.***-** 1 DEFERIDO
LAIZA MARIA CARVALHO DA GAMA 743***.***-** 1 DEFERIDO
RICARDO ROMA SILVA 066***.***-** 8 DEFERIDO
FABRICIO GARCIA DO NASCIMENTO 023***.***-** 1 DEFERIDO
WERÔNICA DAS ILVA FEITOSA 024***.***-** 1 INDEFERIDO
NÃO ENVIOU DOCUMENTO HÁBIL COMPROBATÓRIO DO PEDIDO EM FORMATO
PDF
JANICLEIDE DA SILVA ARAUJO DE SOUSA 849***.***-** 6 INDEFERIDO
NÃO ENVIOU DOCUMENTO HÁBIL COMPROBATÓRIO DO PEDIDO EM FORMATO
PDF
CAMILA FONSECA BORGES DA SILVA 018***.***-** 1 DEFERIDO
VIVIANE VIEIRA GUIMARÃES 013***.***-** 5 INDEFERIDO
NÃO ENVIOU DOCUMENTO HÁBIL COMPROBATÓRIO DO PEDIDO EM FORMATO
PDF
POLIANE FERREIRA MARTINS 015***.***-** 1 DEFERIDO
BRUNA RAFAELLY SILVA DE SENA 046***.***-** 1 INDEFERIDO
NÃO ENVIOU DOCUMENTO HÁBIL COMPROBATÓRIO DO PEDIDO EM FORMATO
PDF
LÍDIA PATRÍCIA ESCORCIA PEREIRA 003***.***-** 1 DEFERIDO
HELENA CRISTINA DE JESUS 857***.***-** - INDEFERIDO
NÃO ENVIOU DOCUMENTO HÁBIL COMPROBATÓRIO DO PEDIDO EM FORMATO
PDF
MARTINS SANTOS GONÇALVES DA SILVA 721***.***-** 1 DEFERIDO
BÁRBARA MENDES COUTINHO 733***.***-** 1 DEFERIDO
JESSICA AQUINO ARAUJO SARAIVA 038***.***-** 1 DEFERIDO
FABIANA GOMES DOS SANTOS 068***.***-** 1 INDEFERIDO
NÃO ENVIOU DOCUMENTO HÁBIL COMPROBATÓRIO DO PEDIDO EM FORMATO
PDF
VIVIANE CRISTINA GOMES SILVA 087***.***-** 1 DEFERIDO
INGRID LUCAS FERREIRA SOUZA 060***.***-** - INDEFERIDO
NÃO ENVIOU DOCUMENTO HÁBIL COMPROBATÓRIO DO PEDIDO EM FORMATO
PDF
MARIA DO AMPARO DAS CHAGAS LESSA BRITO 669***.***-** 1 INDEFERIDO
NÃO ENVIOU DOCUMENTO HÁBIL COMPROBATÓRIO DO PEDIDO EM FORMATO
PDF
DIOGO FIALHO BANDEIRA DAVID 056***.***-** - INDEFERIDO NÃO JUNTOU O FORMULÁRIO
JOÃO ALVES LACERDA 029***.***-** 1 INDEFERIDO
NÃO ENVIOU DOCUMENTO HÁBIL COMPROBATÓRIO DO PEDIDO EM FORMATO
PDF
LUCIANO FLÁVIO LIMA DE FEREITAS 889***.***-** - INDEFERIDO
NÃO ENVIOU DOCUMENTO HÁBIL COMPROBATÓRIO DO PEDIDO EM FORMATO
PDF
ALYNE LUISA SOUTO PEREIRA 721***.***-** 1 DEFERIDO
JEFFERSON DOS SANTOS SILVA 035***.***-** 1 DEFERIDO
SUSANA RAQUEL DOS SANTOS FERREIRA 028***.***-** 1 DEFERIDO
MARIA BETÂNIA DE SOUZA ANDRADE 996***.***-** 1 INDEFERIDO NÃO ENVIOU DOCUMENTO DE IDENTIFICAÇÃO
LEILA CRISTINA DE SOUZA ALVES -***.***-** 1 INDEFERIDO
NÃO ENVIOU DOCUMENTO HÁBIL COMPROBATÓRIO DO PEDIDO EM FORMATO
PDF
VANIELA DA SILVA SOUSA 021***.***-** 1 INDEFERIDO
NÃO ENVIOU DOCUMENTO HÁBIL COMPROBATÓRIO DO PEDIDO EM FORMATO
PDF
VILMA LIMA DOS SANTOS 013***.***-** 5 DEFERIDO
ADRIELY SILVA XAVIER 032***.***-** 1 DEFERIDO
CARLOS ALEXANDRE CARDOSO FARIA 602***.***-** 1 DEFERIDO
RITHELISSON DE SOUSA DA SILVA 040***.***-** 8 DEFERIDO
DOUGLAS SANTANA DO NASCIMENTO 005***.***-** 6 DEFERIDO
WARLEY DANTAS SILVEIRA 017***.***-** 6 DEFERIDO
MARIA EDUARDA LISBOA TEXEIRA 081***.***-** 3 INDEFERIDO
NÃO ENVIOU DOCUMENTO HÁBIL COMPROBATÓRIO DO PEDIDO EM FORMATO
PDF
NARGILLA REGINNA DE SOUZA MOREIRA 968***.***-** 1 INDEFERIDO
NÃO ENVIOU DOCUMENTO HÁBIL COMPROBATÓRIO DO PEDIDO EM FORMATO
PDF
NOÉLIA TEXEIRA DE ALMEIDA 042***.***-** - INDEFERIDO
NÃO ENVIOU DOCUMENTO HÁBIL COMPROBATÓRIO DO PEDIDO EM FORMATO
PDF
CHIARA PEREIRA BARBOSA MEDEIROS 806***.***-** 1 DEFERIDO
CARLA HELEN DE SPOUZA TRINDADE 716***.***-** 1 INDEFERIDO
NÃO ENVIOU DOCUMENTO HÁBIL COMPROBATÓRIO DO PEDIDO EM FORMATO
PDF
EVERTON DO NASCIMENTO DAMACENO FARIAS 005***.***-** 8 DEFERIDO
MARIA EUSA VIEIRA DE MELO 709***.***-** 1 INDEFERIDO
NÃO ENVIOU DOCUMENTO HÁBIL COMPROBATÓRIO DO PEDIDO EM FORMATO
PDF
MARIA CLARA DE OLIVEIRA ROCHA 623***.***-** 1 DEFERIDO
EZEQUIEL BARBOSA DOS SANTOS 712***.***-** 1 INDEFERIDO
NÃO ENVIOU DOCUMENTO HÁBIL COMPROBATÓRIO DO PEDIDO EM FORMATO
PDF
DANIELA PEREIRA DE OLIVEIRA DA COSTA 978***.***-** 1 INDEFERIDO
NÃO ENVIOU DOCUMENTO HÁBIL COMPROBATÓRIO DO PEDIDO EM FORMATO
PDF
TIAGO CARNEIRO LIMA 641***.***-** 1 DEFERIDO
RONYWERISSON VERAS DANTAS 023***.***-** 1 DEFERIDO
MARCELO DA COSTA SOUZA 962***.***-** 1 INDEFERIDO
NÃO ENVIOU DOCUMENTO HÁBIL COMPROBATÓRIO DO PEDIDO EM FORMATO
PDF
ADRIANA LINS TRAJANO VIEIRA 025***.***-** 1
JEANE LIMA DE ALMEIDA 020***.***-** 1 INDEFERIDO
NÃO ENVIOU DOCUMENTO HÁBIL COMPROBATÓRIO DO PEDIDO EM FORMATO
PDF
JESSICA FURTADO PEREIRA 065***.***-** - INDEFERIDO
NÃO ENVIOU DOCUMENTO HÁBIL COMPROBATÓRIO DO PEDIDO EM FORMATO
PDF
JANAINA ALVES MARTINS ARAUJO 023***.***-** 1 DEFERIDO
YASMIN SANTANA DOS SANTOS 076***.***-** 1 INDEFERIDO
NÃO ENVIOU DOCUMENTO HÁBIL COMPROBATÓRIO DO PEDIDO EM FORMATO
PDF
JACKELINE MATHEUS COSTA SOUZA 99***.***-** - INDEFERIDO
NÃO ENVIOU DOCUMENTO HÁBIL COMPROBATÓRIO DO PEDIDO EM FORMATO
PDF
PATRÍCIA NERIS MARIANO DE AQUINO 696***.***-** 1 INDEFERIDO
NÃO ENVIOU DOCUMENTO HÁBIL COMPROBATÓRIO DO PEDIDO EM FORMATO
PDF
GUSTAVO HENRIQUE DOS SANTOS SALGUEIRO 00***.***-** 4 DEFERIDO
CLAUDIA SOUSA E SILVA 030***.***-** 1 DEFERIDO
LAYSSA KAREN ALVES PEREIRA DE LIMA 031***.***-** 1 INDEFERIDO
CICERO DIAS DE SÁ 668***.***-** 8 INDEFERIDO
NÃO ENVIOU DOCUMENTO HÁBIL COMPROBATÓRIO DO PEDIDO EM FORMATO
PDF
BIANCA E SILVA CAIRES 045***.***-** 1 INDEFERIDO
NÃO ENVIOU DOCUMENTO HÁBIL COMPROBATÓRIO DO PEDIDO EM FORMATO
PDF
ANTONIA DIONICE DO NASCIMENTO REIS 039***.***-** 8 INDEFERIDO
NÃO ENVIOU DOCUMENTO HÁBIL COMPROBATÓRIO DO PEDIDO EM FORMATO
PDF
RAYSSA ESTHER SILVA BARROS 053***.***-** 5 INDEFERIDO
NÃO ENVIOU DOCUMENTO HÁBIL COMPROBATÓRIO DO PEDIDO EM FORMATO
PDF
KEILE NUBIA SILVA BRITO 910***.***-** 1 DEFERIDO
VALERIA FREITAS DA CRUZ 019***.***-** 1 INDEFERIDO
NÃO ENVIOU DOCUMENTO HÁBIL COMPROBATÓRIO DO PEDIDO EM FORMATO
PDF
ALLISANIA DE SOUSA PEREIRA 710***.***-** 7 INDEFERIDO
NÃO ENVIOU DOCUMENTO HÁBIL COMPROBATÓRIO DO PEDIDO EM FORMATO
PDF
EDILEIDE GONÇALVES DA SILVA 646***.***-** - INDEFERIDO
NÃO ENVIOU DOCUMENTO HÁBIL COMPROBATÓRIO DO PEDIDO EM FORMATO
PDF
MONIQUE LIVIA OLIVEIRA CORDEIRO -***.***-** 1 INDEFERIDO
NÃO ENVIOU DOCUMENTO HÁBIL COMPROBATÓRIO DO PEDIDO EM FORMATO
PDF
JHONATAS SOUZA DA COSTA 035***.***-** 1 INDEFERIDO
NÃO ENVIOU DOCUMENTO HÁBIL COMPROBATÓRIO DO PEDIDO EM FORMATO
PDF
TATIANA TEXEIRA NEVES MOTA 910***.***-** 6 INDEFERIDO
NÃO ENVIOU DOCUMENTO HÁBIL COMPROBATÓRIO DO PEDIDO EM FORMATO
PDF
MARCELA DE SOUZA CARVALHO 026***.***-** - INDEFERIDO NÃO ENVIOU FORMULÁRIO
MARTA FRANCISCA DOS SANTOS 015***.***-** 1 INDEFERIDO
NÃO ENVIOU DOCUMENTO HÁBIL COMPROBATÓRIO DO PEDIDO EM FORMATO
PDF
AILTA FRANCISCA DOS SANTOS 693***.***-** 1 INDEFERIDO
NÃO ENVIOU DOCUMENTO HÁBIL COMPROBATÓRIO DO PEDIDO EM FORMATO
PDF
MÁRCIA PEREIRA MAGALHÃES 012***.***-** - INDEFERIDO
NÃO ENVIOU O NÚMERO DO CÓDIGO DO CARGO E OS DOCUMENTOS HÁBEIS
PARA O PEDIDO
MARIA DE FATIMA ESPINDOLA DIAS 023***.***-** 2 INDEFERIDO
NÃO ENVIOU DOCUMENTO HÁBIL COMPROBATÓRIO DO PEDIDO EM FORMATO
PDF
JOSILEA BARBOSA ALVES 563***.***-** 3 INDEFERIDO
NÃO ENVIOU DOCUMENTO HÁBIL COMPROBATÓRIO DO PEDIDO EM FORMATO
PDF
LUCIANA PEREIRA DA SILVA 734***.***-** 1 DEFERIDO
CLEIDE CASTRO DE MAGALHÃES DE SÁ -***.***-** - INDEFERIDO
NÃO ENVIOU DOCUMENTO HÁBIL COMPROBATÓRIO DO PEDIDO EM FORMATO
PDF
GLICES ALBUQUERQUE DE OLIVEIRA 920***.***-** 8 DEFERIDO
RITA REJANE ALVES DE SOUZA -***.***-** - INDEFERIDO
NÃO ENVIOU DOCUMENTO HÁBIL COMPROBATÓRIO DO PEDIDO EM FORMATO
PDF
VALDINÊZ RODRIGUES DIAS 690***.***-** - INDEFERIDO
NÃO ENVIOU DOCUMENTO HÁBIL COMPROBATÓRIO DO PEDIDO EM FORMATO
PDF
ISABELLA RIBEIRO TEXEIRA DE SOUZA 047***.***-** 1 DEFERIDO
DANIELA GOMES MACHADO 975***.***-** - INDEFERIDO
NÃO ENVIOU DOCUMENTO HÁBIL COMPROBATÓRIO DO PEDIDO EM FORMATO
PDF
JAQUELINE TEIXEIRA NEVES -***.***-** 1 INDEFERIDO
NÃO ENVIOU DOCUMENTO HÁBIL COMPROBATÓRIO DO PEDIDO EM FORMATO
PDF
MARIZA SANTOS NUNES 024***.***-** 1 DEFERIDO
JESSICA DE LIMA SOUSA 064***.***-** 3 DEFERIDO
ANTONIO MARCOS MOURAO -***.***-** - INDEFERIDO
NÃO ENVIOU DOCUMENTO HÁBIL COMPROBATÓRIO DO PEDIDO EM FORMATO
PDF
TALITA MOZANA FORTUNATTO 013***.***-** 8 DEFERIDO
LUACIANA PEREIRA DA SILVA 734***.***-** 1 DEFERIDO
JAQUELINE DA SILVA COUTINHO 052***.***-** 3 INDEFERIDO
NÃO ENVIOU DOCUMENTO HÁBIL COMPROBATÓRIO DO PEDIDO EM FORMATO
PDF
ÂNGELA CRISTINA CRUZ DA COSTA BARROS 047***.***-** - INDEFERIDO
NÃO ENVIOU DOCUMENTO HÁBIL COMPROBATÓRIO DO PEDIDO EM FORMATO
PDF
ARTHUR HENRIQUE DE LIMA ALVES 068***.***-** - INDEFERIDO NÃO ENVIOU FORMULÁRIO
JAQUELINE LOPES DE CARVALHO OLIVEIRA 025***.***-** 8 INDEFERIDO
NÃO ENVIOU DOCUMENTO HÁBIL COMPROBATÓRIO DO PEDIDO EM FORMATO
PDF
IGOR HENRIQUE MACIANO XAVIER 076***.***-** 2 DEFERIDO
EDILENE DA SILVA OLIVEIRA 933***.***-** - INDEFERIDO
NÃO ENVIOU DOCUMENTO HÁBIL COMPROBATÓRIO DO PEDIDO EM FORMATO
PDF
GLAUCIENE SIQUEIRA SILVA GONÇALVES SANTOS 998***.***-** - INDEFERIDO
NÃO ENVIOU DOCUMENTO HÁBIL COMPROBATÓRIO DO PEDIDO EM FORMATO
PDF
INGRID BARROS ALVES 091***.***-** 2 INDEFERIDO
NÃO ENVIOU DOCUMENTO HÁBIL COMPROBATÓRIO DO PEDIDO EM FORMATO
PDF
DANIELE FERREIRA GOMES 039***.***-** 1 INDEFERIDO
NÃO ENVIOU DOCUMENTO HÁBIL COMPROBATÓRIO DO PEDIDO EM FORMATO
PDF
GALDENIA ALVES DE SOUSA -***.***-** - INDEFERIDO
NÃO ENVIOU DOCUMENTO HÁBIL COMPROBATÓRIO DO PEDIDO EM FORMATO
PDF
MEIRIELLEN DE BRITO GOME -***.***-** - INDEFERIDO
NÃO ENVIOU DOCUMENTO HÁBIL COMPROBATÓRIO DO PEDIDO EM FORMATO
PDF
ELINE SOARES 016***.***-** 3 DEFERIDO
RONICLEA DOS SANTOS ALMEIDA 015***.***-** 7 INDEFERIDO
NÃO ENVIOU DOCUMENTO HÁBIL COMPROBATÓRIO DO PEDIDO EM FORMATO
PDF
KARINA PEREIRA DE SOUSA MOURAO 029***.***-** - INDEFERIDO
NÃO ENVIOU DOCUMENTO HÁBIL COMPROBATÓRIO DO PEDIDO EM FORMATO
PDF
THAIS BATISTA SANTAREM -***.***-** - INDEFERIDO
NÃO ENVIOU DOCUMENTO HÁBIL COMPROBATÓRIO DO PEDIDO EM FORMATO
PDF
AMANDA GABRIELA OLIVEIRA FERREIRA 028***.***-** 3 DEFERIDO
JOSÉ IVANIELSO SABINO 815***.***-** 1 DEFERIDO
MARLÚCIA FERNANDES TEXEIRA 894***.***-** 1 INDEFERIDO NÃO ENVIOU FORMULÁRIO
LAURO NUNES BRANDÃO -***.***-** - INDEFERIDO NÃO ENVIOU DOCUMENTO EM FORMATO PDF
NEIDE MARIA BORGES 372***.***-** - INDEFERIDO
NÃO ENVIOU DOCUMENTO HÁBIL COMPROBATÓRIO DO PEDIDO EM FORMATO
PDF
CAMILA COELHO DA FÉ 022***.***-** 2 INDEFERIDO
NÃO ENVIOU DOCUMENTO HÁBIL COMPROBATÓRIO DO PEDIDO EM FORMATO
PDF
NADYLLA SORRAYALA ALVES DA MACENA LEITE 051***.***-** 2 INDEFERIDO
NÃO ENVIOU DOCUMENTO HÁBIL COMPROBATÓRIO DO PEDIDO EM FORMATO
PDF
ELIANA MARIA LUZIA DE CARVALHO -***.***-** 8 INDEFERIDO
NÃO ENVIOU DOCUMENTO HÁBIL COMPROBATÓRIO DO PEDIDO EM FORMATO
PDF
DOMINGOS NOGUEIRA DE CASTRO NETO 552***.***-** 7 DEFERIDO
JÚLIA MESQUITA E RUBENS 053***.***-** INDEFERIDO
NÃO ENVIOU DOCUMENTO HÁBIL COMPROBATÓRIO DO PEDIDO EM FORMATO
PDF
ERIVALDO ALVESDA SILVA 804***.***-** 1 INDEFERIDO
NÃO ENVIOU DOCUMENTO HÁBIL COMPROBATÓRIO DO PEDIDO EM FORMATO
PDF
ADAIRA SANTOS DA COSTA 063***.***-** 1 E 2 INDEFERIDO
NÃO ENVIOU DOCUMENTO HÁBIL COMPROBATÓRIO DO PEDIDO EM FORMATO
PDF
SAMELA CAMILA ROCHA RODRIGUES -***.***-** - INDEFERIDO
NÃO ENVIOU DOCUMENTO HÁBIL COMPROBATÓRIO DO PEDIDO EM FORMATO
PDF
SILVANA ALVES COSTA PEREIRA 965***.***-** 1 DEFERIDO
MARIA DO AMPARO VIANA DE SOUZA 860***.***-** 2 INDEFERIDO
NÃO ENVIOU DOCUMENTO HÁBIL COMPROBATÓRIO DO PEDIDO EM FORMATO
PDF
CLARINEIVA WOLF LIMA 894***.***-** 6 DEFERIDO
JONY AUGUSTO RIBEIRO 016***.***-** - INDEFERIDO
NÃO ENVIOU DOCUMENTO HÁBIL COMPROBATÓRIO DO PEDIDO EM FORMATO
PDF
ANTONIA RAYANE DA SILVA 050***.***-** 7 INDEFERIDO
NÃO ENVIOU DOCUMENTO HÁBIL COMPROBATÓRIO DO PEDIDO EM FORMATO
PDF
PRISCILA DUQUE SANTOS 047***.***-** 1 INDEFERIDO
INDEFERIDO NO CARGO 2, POIS NÃO APRESENTOU FORMULÁRIO DESTACADO
APENAS DO CARGO.
ANNE MIKAELLY RODRIGUES ALVES 048***.***-** 8 INDEFERIDO
NÃO ENVIOU DOCUMENTO HÁBIL COMPROBATÓRIO DO PEDIDO EM FORMATO
PDF
ERIVALDO ALVESDA SILVA 804***.***-** 1 INDEFERIDO
NÃO ENVIOU DOCUMENTO HÁBIL COMPROBATÓRIO DO PEDIDO EM FORMATO
PDF
DAYANE DIAS DE BARROS 753***.***-** 1 INDEFERIDO
NÃO ENVIOU DOCUMENTO HÁBIL COMPROBATÓRIO DO PEDIDO EM FORMATO
PDF
ANTONIA RAYANE DA SILVA 050***.***-** 7 INDEFERIDO
NÃO ENVIOU DOCUMENTO HÁBIL COMPROBATÓRIO DO PEDIDO EM FORMATO
PDF
ROGÉRIO BARBOSA DA SILVA 876***.***-** 1 DEFERIDO
DENISE PEREIRA RAPOSO 756***.***-** - INDEFERIDO
NÃO ENVIOU DOCUMENTO HÁBIL COMPROBATÓRIO DO PEDIDO EM FORMATO
PDF
JÚLIO CEZAR RODRIGUES DE OLIVEIRA 096***.***-** 3 DEFERIDO
FRANCELINE DA SILVA RIBEIRO -***.***-** - INDEFERIDO
NÃO ENVIOU DOCUMENTO HÁBIL COMPROBATÓRIO DO PEDIDO EM FORMATO
PDF
THAYNARA LORRANE SILVA LEAL -***.***-** - INDEFERIDO
NÃO ENVIOU DOCUMENTO HÁBIL COMPROBATÓRIO DO PEDIDO EM FORMATO
PDF
LUIZA ELENA COSTA GOMES 038***.***-** 1 INDEFERIDO
INDEFERIDO NO CARGO 6, POIS NÃO APRESENTOU FORMULÁRIO DESTACADO
APENAS DO CARGO.
FERNADO FERREIRA MARTINS -***.***-** - INDEFERIDO
NÃO ENVIOU DOCUMENTO HÁBIL COMPROBATÓRIO DO PEDIDO EM FORMATO
PDF
LUCIANA PEREIRA NUNES RODRIGUES 950***.***-** 7 DEFERIDO
VERÔNICA RAMOS DA SILVA 984***.***-** 1 INDEFERIDO
NÃO ENVIOU DOCUMENTO HÁBIL COMPROBATÓRIO DO PEDIDO EM FORMATO
PDF
JORGE LUIZ QUINTILIANO MOURA SILVA 054***.***-** 1 DEFERIDO
ANA PAULA FERNANDES LINO -***.***-** 1 INDEFERIDO
NÃO ENVIOU DOCUMENTO HÁBIL COMPROBATÓRIO DO PEDIDO EM FORMATO
PDF
ROSELANE DOS SANTOS CAMPELO 012***.***-** 1 DEFERIDO
ANA PAULA FERNANDES LINO -***.***-** 1 INDEFERIDO
NÃO ENVIOU DOCUMENTO HÁBIL COMPROBATÓRIO DO PEDIDO EM FORMATO
PDF
TEREZA DOS SANTOS -***.***-** - INDEFERIDO
NÃO ENVIOU DOCUMENTO HÁBIL COMPROBATÓRIO DO PEDIDO EM FORMATO
PDF
JANNY SILVA DIAS -***.***-** 1 INDEFERIDO NÃO ENVIOU DOCUMENTOS PESSOAIS
EDUARDA DE LIMA PUGAS 029***.***-** - INDEFERIDO
NÃO ENVIOU DOCUMENTO HÁBIL COMPROBATÓRIO DO PEDIDO EM FORMATO
PDF
SHIRLEY PINTO DA SILVA 008***.***-** 1 DEFERIDO
BRUNO XAVIER DA SILVA 049***.***-** 6 DEFERIDO
THALISSON FERNANDES BARBOSA -***.***-** - INDEFERIDO
NÃO ENVIOU DOCUMENTO HÁBIL COMPROBATÓRIO DO PEDIDO EM FORMATO
PDF
MARCOS VINICIUS SANTANA DIAS 920***.***-** 1 DEFERIDO
MARIA HELENA SANTOS 002***.***-** - INDEFERIDO
NÃO ENVIOU DOCUMENTO HÁBIL COMPROBATÓRIO DO PEDIDO EM FORMATO
PDF
YNGRED DE PINTOS SOUSA 062***.***-** 1 INDEFERIDO
NÃO ENVIOU DOCUMENTO HÁBIL COMPROBATÓRIO DO PEDIDO EM FORMATO
PDF
ELIENE DE LIMA SANTOS 974***.***-** - INDEFERIDO
NÃO ENVIOU DOCUMENTO HÁBIL COMPROBATÓRIO DO PEDIDO EM FORMATO
PDF
NAIRA SANTOS 027***.***-** 1 DEFERIDO
PAULONY CUSTODIO ARCANJO DA SILVA -***.***-** - INDEFERIDO
NÃO ENVIOU DOCUMENTO HÁBIL COMPROBATÓRIO DO PEDIDO EM FORMATO
PDF
LYAN ARTHUR CAMPELO DE AQUINO 072***.***-** 1 DEFERIDO
JOSENI VARJÃO DO VALE 028***.***-** 1 DEFERIDO
KELLY BRAZ QUEIROZ RODRIGUES -***.***-** 6 INDEFERIDO
NÃO ENVIOU DOCUMENTO HÁBIL COMPROBATÓRIO DO PEDIDO EM FORMATO
PDF
VALQUÍRIA DINIZ FERREIRA 007***.***-** 1 INDEFERIDO
NÃO ENVIOU DOCUMENTO HÁBIL COMPROBATÓRIO DO PEDIDO EM FORMATO
PDF
MARLÍ DOS ANJOS PEREIRA 879***.***-** 1 INDEFERIDO
NÃO ENVIOU DOCUMENTO HÁBIL COMPROBATÓRIO DO PEDIDO EM FORMATO
PDF
ALICE ABREU DE CAMARGO 019***.***-** 7 INDEFERIDO
RAFAEL ALMEIDA DOS SANTOS 056***.***-** 5 DEFERIDO
JOSETE DE SOUSA DA CONCEIÇÃO 013***.***-** 1 INDEFERIDO
CANDIDATO (A) NÃO APRESENTOU DOCUMETAÇÃO EXIGIDA EM PDF E o
candidato também não apresentou documento comprobatório da isenção de
acordo com a hipótese escolhida.
EDINAURA PEREIRA GOMES 715***.***-** 1 INDEFERIDO
CANDIDATO (A) NÃO APRESENTOU DOCUMETAÇÃO EXIGIDA EM PDF E o
candidato não apresentou o formulário atualizado devidamente preenchido e
ASSINADO.
ALESSANDRO RODRIGUES BARBOSA 602***.***-** 1 INDEFERIDO
CANDIDATO (A) NÃO APRESENTOU DOCUMENTAÇÃO EXIGIDA EM PDF E
TAMBEM NÃO APRESENTOU O RG.
EIDE DE CALDAS LEMOS 715***.***-** 1 DEFERIDO
NATÁLIA LÍCIO DA SILVA 024***.***-** 1 INDEFERIDO
CANDIDATO (A) NÃO APRESENTOU DOCUMETAÇÃO EXIGIDA EM PDF E o
candidato não apresentou o formulário atualizado devidamente preenchido e
ASSINADO, nem o RG.
EDNA MORAIS 565***.***-** 1 INDEFERIDO
CANDIDATO (A) NÃO APRESENTOU DOCUMETAÇÃO EXIGIDA. O candidato não
apresentou o formulário atualizado devidamente preenchido e ASSINADO.
ANA RAQUEL PEREIRA 601***.***-** 7 DEFERIDO
ELIANE EVANGELISTA DA SILVA 723***.***-** - INDEFERIDO CANDIDATO (A) NÃO PREENCHEU NO FORMULARIO O CODIGO DO CARGO.
VLADEMIR VICENTE LOMBA 294***.***-** 1 DEFERIDO
CLAUDIA DA SILVA SANTOS 723***.***-** 1 INDEFERIDO
CANDIDATO (A) NÃO APRESENTOU DOCUMETAÇÃO EXIGIDA. O candidato não
apresentou o formulário atualizado devidamente preenchido e ASSINADO.
APARECIDA PEREIRA LIMA 791***.***-** 1 INDEFERIDO
CANDIDATO (A) NÃO APRESENTOU DOCUMENTAÇÃO EXIGIDA. (PRESTAÇÃO DE
SERVIÇOS À JUSTIÇA ELEITORAL POR, NO MÍNIMO, DUAS ELEIÇÕES)
CECILIA VIVIAN DE MATOS 035.***.***-** 5 DEFERIDO
CECILIA VIVIAN DE MATOS 035.***.***-** 1 DEFERIDO
ELISANIA VIEIRA DA SILVA 061***.***-** 1 DEFERIDO
GILMA CAVALCANTE FERREIRA 373***.***-** 1 DEFERIDO
DENISE MARIA DA COSTA FREIRE 002***.***-** 2 DEFERIDO
IARA DE SOUSA DAMASCENO 001***.***-** 2 DEFERIDO
TANIA FERNANDA VENANCIO 016***.***-** 1 E 8 INDEFERIDO
CANDIDATO (A) NÃO APRESENTOU DOCUMETAÇÃO EXIGIDA. O candidato não
apresentou o formulário atualizado devidamente preenchido e ASSINADO.
ELISANGELA LOPES BARBOSA FONSECA 694***.***-** 8 E 1 DEFERIDO
ANDREA REGINA CARDOSO ALEIXO DOS SANTOS 834***.***-** 2 DEFERIDO
GABRIELA RODRIGUES SCHIFTER 049***.***-** 1 DEFERIDO
BARBARA TAYNARA DA SILVA SANTOS RINCON 037***.***-** 7 DEFERIDO
HERNANE XAVIER DA SILVA 122***.***-** 1 E 4 INDEFERIDO
CANDIDATO (A) NÃO APRESENTOU DOCUMETAÇÃO EXIGIDA. O candidato não
apresentou documento comprobatório da isenção de acordo com a hipótese
escolhida (laudo Medico).
ROMULO LOBATO GONTIJO 726***.***-** 1 E 3 DEFERIDO
TALITA BORGES DE LIMA 072***.***-** 1 DEFERIDO
NATALINA ARAUJO DE OLIVEIRA 896***.***-** 1 E 8 INDEFERIDO CANDIDATO (A) NÃO APRESENTOU DOCUMENTAÇÃO EXIGIDA (EM PDF)
SABRINA MOREIRA DE ANDRADE 068***.***-** 1 INDEFERIDO
CANDIDATO (A) NÃO APRESENTOU DOCUMETAÇÃO EXIGIDA. O candidato não
apresentou o formulário atualizado devidamente preenchido e ASSINADO.
CLOVIS JOSÉ PINTO COELHO 242***.***-** 1 DEFERIDO
CLOVIS JOSÉ PINTO COELHO 242***.***-** 2 INDEFERIDO
CANDIDATO (A) NÃO APRESENTOU O FORMULARIO PARA CADA PEDIDO DE
ISENÇÃO DE TAXA UM E-MAIL PARA CADA CARGO.
JAYNARA ROSA DOS SANTOS 034***.***-** 1 INDEFERIDO
CANDIDATO (A) NÃO APRESENTOU DOCUMETAÇÃO EXIGIDA. O candidato não
apresentou documento comprobatório da isenção de acordo com a hipótese
escolhida.
EVANIA MOREIRA DE ANDRADE 442***.***-** 1 DEFERIDO
MARCIA BATISTA RODRIGUES 795***.***-** 2 E 6 DEFERIDO
LAURA COSTA BORGES 018***.***-** 1 DEFERIDO
LAURA COSTA BORGES 018***.***-** 4 DEFERIDO
SANDRA FRANCISCA DA CRUZ 669***.***-** 1 INDEFERIDO
CANDIDATO (A) NÃO APRESENTOU DOCUMETAÇÃO EXIGIDA. O candidato não
apresentou o formulário atualizado devidamente preenchido e ASSINADO.
ANDRESSA MAGALHÃES DOS SANTOS 706***.***-** - INDEFERIDO CANDIDATO (A) NÃO APRESENTOU DOCUMENTAÇÃO EXIGIDA EM PDF.
ELAINE COSTA RIBEIRO MARTINS 843***.***-** 1 DEFERIDO
ROBSON DA SILVA PACHECO 688***.***-** 1 E 2 DEFERIDO
ANA KARINA FAGUNDES DUTRA MARÇAL 721***.***-** 1 E 4 DEFERIDO
ELAINE VIRGINIA LOPES BARBOSA FONSECA 703***.***-** 8 INDEFERIDO CANDIDATO APRESENTOU COPIA DO CARTÃO DO BOLSA FAMILIA.
GILVAN MENDES DA SILVA 657***.***-** 1 DEFERIDO
ANA CLAUDIA DE CASTRO MOREIRA 018***.***-** 1 E 7 DEFERIDO
LUCIO BRITO DOS SANTOS 570***.***-** 1 DEFERIDO
FERNANDA ARAUJO COSTA 040***.***-** 1 INDEFERIDO
CANDIDATO (A) NÃO APRESENTOU DOCUMETAÇÃO EXIGIDA. O candidato não
apresentou documento comprobatório da isenção de acordo com a hipótese
escolhida.
DANIELA SANTOS E SILVA 988***.***-** 1 DEFERIDO
THAIZ RODRIGUES MAGALHÃES 045***.***-** 1 E 8 DEFERIDO
CLEIDIMAR SANTANA BISPO 847***.***-** 7 INDEFERIDO
CANDIDATO (A) NÃO APRESENTOU DOCUMETAÇÃO EXIGIDA. O candidato não
apresentou documento comprobatório da isenção de acordo com a hipótese
escolhida.
NAYARA MARINHO GOMES 019***.***-** 1 INDEFERIDO
CANDIDATO (A) NÃO APRESENTOU DOCUMETAÇÃO EXIGIDA. O candidato não
apresentou documento comprobatório da isenção de acordo com a
hipóteseescolhida.(Declaração 1 turno)
THAIS GABRIELE SANTANA BRANDÃO 040***.***-** 1 E 7 INDEFERIDO
CANDIDATO (A) NÃO APRESENTOU DOCUMETAÇÃO EXIGIDA. O candidato não
apresentou documento comprobatório da isenção de acordo com a hipótese
escolhida. O candidato deve apresentar certidão ou declaração equivalente
expedida pelo Governo do Distrito Federal no presente ano que comprove
recebimento de benefício de programa social de complementação ou
suplementação de renda instituído pelo GDF
RAQUEL SOUZA BATISTA 036***.***-** - INDEFERIDO
CANDIDATO (A) NÃO APRESENTOU DOCUMETAÇÃO EXIGIDA. O candidato não
apresentou o formulário atualizado devidamente preenchido e ASSINADO.
SAMARA DA SILVA DOS SANTOS 036***.***-** 1 INDEFERIDO
CANDIDATO (A) NÃO APRESENTOU DOCUMETAÇÃO EXIGIDA EM PDF. O
candidato não apresentou certidão expedida pelo GDH que comprove
recebimento de beneficio de Programa Social de complementação ou
suplementação de renda do GDH.
CLAUDIA MARIA LAURENTINO ALVES DA SILVA 000***.***-** 1 INDEFERIDO
CANDIDATO (A) NÃO APRESENTOU DOCUMETAÇÃO EXIGIDA EM PDF. O
candidato não apresentou certidão expedida pelo GDH que comprove
recebimento de beneficio de Programa Social de complementação ou
suplementação de renda do GDH.
AMANDA CRISTINA CIPRIANO DE QUEIROZ 701***.***-** 8 DEFERIDO
ADILENE OLIVEIRA BARBOSA 869***.***-** 1 DEFERIDO
CAMILA MOURA DA SILVA 048***.***-** 1 DEFERIDO
CAMILA MOURA DA SILVA 048***.***-** 3 INDEFERIDO
CANDIDATO (A) NÃO APRESENTOU O FORMULARIO PARA CADA PEDIDO DE
ISENÇÃO DE TAXA UM E-MAIL PARA CADA CARGO.
IGOR CESAR CRUZ DO NASCIMENTO 072***.***-** 1 DEFERIDO
JOSEANE CARMEM DA SILVA 023***.***-** 1 INDEFERIDO
CANDIDATO (A) NÃO APRESENTOU DOCUMENTAÇÃO EXIGIDA EM PDF. (
Declarações em imagem)
ACZA DE SANTANA CRUZ 045***.***-** 1 DEFERIDO
ADILENE OLIVEIRA BARBOSA8 869***.***-** 8 INDEFERIDO
CANDIDATO (A) NÃO APRESENTOU O FORMULARIO PARA CADA PEDIDO DE
ISENÇÃO DE TAXA UM E-MAIL PARA CADA CARGO. (Formulario atualizado
preenchido com o numero do cargo)
PATRICIA GADIA POÇAS FONSECA 700***.***-** 1 DEFERIDO
TAYNAN CARDOSO COSTA 031***.***-** - INDEFERIDO
CANDIDATO (A) NÃO APRESENTOU DOCUMETAÇÃO EXIGIDA. O candidato não
apresentou documento comprobatório da isenção de acordo com a hipótese
escolhida.
MARCELO SANTOS LIMA 734***.***-** 1 DEFERIDO
ROSIMARY CARDOSO DOS SANTOS -***.***-** - INDEFERIDO CANDIDATO (A) NÃO APRESENTOU DOCUMENTAÇÃO EXIGIDA EM PDF.
KARINE CAROLINE DE OLIVEIRA 028***.***-** 1 DEFERIDO
LAURA CUNHA DE MIRANDA 017***.***-** 1 DEFERIDO
LUCIANO SOUSA CHAVES 042***.***-** 1 INDEFERIDO
CANDIDATO (A) NÃO APRESENTOU DOCUMETAÇÃO EXIGIDA. O candidato não
apresentou documento comprobatório da isenção de acordo com a hipótese
escolhida.
SUEME ALEXANDRE DE JESUS TRINDADE 926***.***-** 1 DEFERIDO
SUEME ALEXANDRE DE JESUS TRINDADE 926***.***-** 6 DEFERIDO
ANTONIO ROBSON GONÇALVES 039***.***-** 1 INDEFERIDO
CANDIDATO (A) NÃO APRESENTOU DOCUMETAÇÃO EXIGIDA(Formulario
desatualizado). O candidato não apresentou certidão expedida pelo GDH que
comprove recebimento de beneficio de Programa Social de complementação ou
suplementação de renda do GDH.
ANTONIO ROBSON GONÇALVES 039***.***-** 2 INDEFERIDO
CANDIDATO (A) NÃO APRESENTOU DOCUMETAÇÃO EXIGIDA(Formulario
desatualizado). O candidato não apresentou certidão expedida pelo GDH que
comprove recebimento de beneficio de Programa Social de complementação ou
suplementação de renda do GDH.
ARLENE DE JESUS SOUZA PEREIRA 039***.***-** 1 INDEFERIDO
CANDIDATO (A) NÃO APRESENTOU DOCUMETAÇÃO EXIGIDA. O candidato não
apresentou documento comprobatório da isenção de acordo com a hipótese
escolhida.
ARLENE DE JESUS SOUZA PEREIRA 039***.***-** 6 INDEFERIDO
CANDIDATO (A) NÃO APRESENTOU DOCUMETAÇÃO EXIGIDA. O candidato não
apresentou documento comprobatório da isenção de acordo com a hipótese
escolhida.
POLIANA FERREIRA ROCHA 047***.***-** 1 DEFERIDO
POLIANA FERREIRA ROCHA 047***.***-** 2 DEFERIDO
CAROLINE VIEIRA ZAIDAN 049***.***-** 1 DEFERIDO
CAROLINE VIEIRA ZAIDAN 049***.***-** 8 DEFERIDO
EDNAMAR GOMES DE AGUIAR 578***.***-** 1 DEFERIDO
EDNAMAR GOMES DE AGUIAR 578***.***-** 8 DEFERIDO
TAMARA RODRIGUES JALCARENGHI 023***.***-** 1 INDEFERIDO CANDIDATO (A) NÃO APRESENTOU DOCUMETAÇÃO EXIGIDA.(RG)
LISANDRA SILVA AGUIAR 046***.***-** 1 DEFERIDO
ROSINEIDE LINHARES DE MACEDO 429***.***-** 1 DEFERIDO
BARBARA APARECIDA DE ARAUJO 950***.***-** 1 INDEFERIDO
CANDIDATO (A) NÃO APRESENTOU DOCUMETAÇÃO EXIGIDA. O candidato não
apresentou declaração expedida pelo GDH que comprove recebimento de
beneficio de Programa Social de complementação ou suplementação de renda
do GDH.(Prato Cheio e IDF social).
JOSICLEIDE GUEDES DA NOGREGA 013***.***-** 1 E 2 DEFERIDO
JAQUELINE MIROKO SHIMO 039***.***-** 4 DEFERIDO
GLAUCIELE CARDOSO VIEIRA 010***.***-** 1 DEFERIDO
MICHELE SOARES DE SOUSA 728***.***-** 1 DEFERIDO
OLINDA CUNHA DE OLIVEIRA 032***.***-** 1 DEFERIDO
OLINDA CUNHA DE OLIVEIRA 032***.***-** 7 DEFERIDO
DELIMAR DA SILVA CORREIA 008***.***-** 1 INDEFERIDO
CANDIDATO (A) NÃO APRESENTOU DOCUMETAÇÃO EXIGIDA. O candidato não
apresentou o formulário atualizado devidamente preenchido e ASSINADO.
DELIMAR DA SILVA CORREIA 008***.***-** 3 INDEFERIDO
CANDIDATO (A) NÃO APRESENTOU DOCUMETAÇÃO EXIGIDA. O candidato não
apresentou o formulário atualizado devidamente preenchido e ASSINADO.
FRANCIELE CARVALHO DOS SANTOS 051***.***-** 1 DEFERIDO
ROBERTO ALVES DA CRUZ 153***.***-** 8 DEFERIDO
ELAINE CARVALHO FORTUNATO 017***.***-** 1 DEFERIDO
ARIANA DA COSTA PINTO 932***.***-** 1 DEFERIDO
DAGILLA ALMEIDA DAMASCENO 029***.***-** 1 DEFERIDO
RACKEL PALHANO MARTIM 056***.***-** 1 INDEFERIDO
CANDIDATO (A) NÃO APRESENTOU DOCUMETAÇÃO EXIGIDA. O candidato não
apresentou o formulário atualizado devidamente preenchido e ASSINADO.
ALESSANDRA NUNES BENICIO DE OLIVEIRA ***.***-** 7 INDEFERIDO CANDIDATO (A) NÃO APRESENTOU DOCUMENTAÇÃO EXIGIDA EM PDF.
GILBERTO BORGES MACIEL 000***.***-** 1 E 8 DEFERIDO
GABRIELLE TELES BARBOSA 012***.***-** 1 DEFERIDO
CAMILA STEFANIE SILVA DE OLIVEIRA 012***.***-** 1 DEFERIDO
ANTONIO CARLOS ALEXANDRE SOARES 858***.***-** 1 DEFERIDO
FABIANA MERCES DA SILVA 665***.***-** 1 E 8 DEFERIDO
JULIANE ENEAS LIRA 031***.***-** 6 DEFERIDO
LUCIANO VIEIRA SOARES 637***.***-** 3 DEFERIDO
CRISTIANE DA CONCEIÇÃO FERREIRA DE CARVALHO 669***.***-** 1 DEFERIDO
ADRIANA VIRGULINO DOS SANTOS -***.***-** 7 INDEFERIDO CANDIDATO (A) NÃO APRESENTOU DOCUMENTAÇÃO EXIGIDA EM PDF.
FRANCISCO WELLINGTON MORAIS SILVA 025***.***-** 1 INDEFERIDO
CANDIDATO (A) NÃO APRESENTOU DOCUMETAÇÃO EXIGIDA. O candidato não
apresentou documento comprobatório da isenção de acordo com a hipótese
escolhida (laudo Medico).
GLÊNIA CASTRO DE MOURA 833***.***-** 1 DEFERIDO
KALYNE LUCENA DE ANDRADE COSTA 040***.***-** 1 E 7 INDEFERIDO
CANDIDATO (A) NÃO APRESENTOU DOCUMETAÇÃO EXIGIDA. O candidato não
apresentou declaração expedida pelo GDH que comprove recebimento de
beneficio de Programa Social de complementação ou suplementação de renda
do GDH.(Prato Cheio e IDF social).
VANESSA KALINE ARAUJO SANTANA 065***.***-** 2 E 6 INDEFERIDO
CANDIDATO (A) NÃO APRESENTOU DOCUMETAÇÃO EXIGIDA. O candidato não
apresentou declaração expedida pelo GDH que comprove recebimento de
beneficio de Programa Social de complementação ou suplementação de renda
do GDH.(Prato Cheio e IDF social).
LUCIANO VIEIRA SOARES 637***.***-** 1 DEFERIDO
ALEXANDRE MEDEIROS DA COSTA 002***.***-** 1 DEFERIDO
RODRIGO LINHARES BRANDÃO 010***.***-** 1 INDEFERIDO
CANDIDATO (A) NÃO APRESENTOU DOCUMETAÇÃO EXIGIDA. O candidato não
apresentou declaração expedida pelo GDH que comprove recebimento de
beneficio de Programa Social de complementação ou suplementação de renda
do GDH.(Prato Cheio e IDF social).
MARIA VANESSA PEREIRA DOS SANTOS 013***.***-** 8 INDEFERIDO
CANDIDATO (A) NÃO APRESENTOU DOCUMETAÇÃO EXIGIDA. O candidato não
apresentou declaração expedida pelo GDH que comprove recebimento de
beneficio de Programa Social de complementação ou suplementação de renda
do GDH.(Prato Cheio e IDF social).
GUSTAVO ANDRÉ ALVES SOUSA 867***.***-** 1 DEFERIDO
SANDRA VERÔNICA MORAIS 829***.***-** 1 INDEFERIDO CANDIDATO (A) NÃO APRESENTOU DOCUMENTAÇÃO EXIGIDA EM PDF.(RG)
SANDRA VERÔNICA MORAIS 829***.***-** 5 INDEFERIDO CANDIDATO (A) NÃO APRESENTOU DOCUMENTAÇÃO EXIGIDA EM PDF.(RG)
LORENA GOMES DA SILVA 026***.***-** 8 INDEFERIDO
CANDIDATO (A) NÃO APRESENTOU DOCUMETAÇÃO EXIGIDA. O candidato não
apresentou declaração expedida pelo GDH que comprove recebimento de
beneficio de Programa Social de complementação ou suplementação de renda
do GDH.(Prato Cheio e IDF social).
CLEVERSON FLAUBERT SOUSA 716***.***-** 1 DEFERIDO
CLEVERSON FLAUBERT SOUSA 716***.***-** 8 DEFERIDO
PAULA MACHADO LACERDA 027***.***-** 1 DEFERIDO
PAULA MACHADO LACERDA 027***.***-** 4 DEFERIDO
ROGERIO DOS SANTOS MARQUES 692***.***-** 1 DEFERIDO
DALIANE MELLO DE SOUZA 950***.***-** 1 DEFERIDO
ANA CLAUDIA LIMA SILVA 021***.***-** 1 DEFERIDO
ANA CLAUDIA LIMA SILVA 021***.***-** 4 INDEFERIDO
CANDIDATO (A) NÃO APRESENTOU O FORMULARIO PARA CADA PEDIDO DE
ISENÇÃO DE TAXA UM E-MAIL PARA CADA CARGO.
LETICIA DA SILVA FERNADES 078***.***-** 8 INDEFERIDO
CANDIDATO (A) NÃO APRESENTOU DOCUMETAÇÃO EXIGIDA(Formulario
desatualizado). O candidato não apresentou certidão expedida pelo GDH que
comprove recebimento de beneficio de Programa Social de complementação ou
suplementação de renda do GDH.
KETLEN DO CARMO RAMOS 055***.***-** 2 INDEFERIDO
CANDIDATO (A) NÃO APRESENTOU DOCUMENTAÇÃO EXIGIDA EM PDF.(
FORMULARIO, RG)
NARHONNE DE OLIVEIRA GONÇALVES 039***.***-** 1 DEFERIDO
FERNANDO BATISTA SANTOS 010***.***-** 1 DEFERIDO
FERNANDO BATISTA SANTOS 010***.***-** 2 DEFERIDO
ERYKA RAYANE VARELA SILVEIRA 029***.***-** 1 DEFERIDO
ERYKA RAYANE VARELA SILVEIRA 029***.***-** 2 DEFERIDO
ANDREA DE SOUIZA PEREIRA VIEIRA 782***.***-** 1 DEFERIDO
ANDREA DE SOUIZA PEREIRA VIEIRA 782***.***-** 7 DEFERIDO
JOSILENE ALBURQUEQUE DE BONFIMTRINDADE 022***.***-** 1 DEFERIDO
JOSEFA DELMA GOMES DE SOUSA 006***.***-** 1 DEFERIDO
DIOGO GREGORIO TRINDADE ALBERQUEQUE 909***.***-** 1 DEFERIDO
CELINA TEIXEIRA ALVES 051***.***-** 1 DEFERIDO
CELINA TEIXEIRA ALVES 051***.***-** 8 INDEFERIDO
CANDIDATO (A) NÃO APRESENTOU O FORMULARIO PARA CADA PEDIDO DE
ISENÇÃO DE TAXA UM E-MAIL PARA CADA CARGO.
LUCICLEIDE DA SIVA LIMA 870***.***-** - INDEFERIDO
CANDIDATO (A) NÃO APRESENTOU DOCUMETAÇÃO EXIGIDA. O candidato não
apresentou o formulário atualizado devidamente preenchido e ASSINADO.
REBECA CAROLINE DE SILVA SENA 013***.***-** 8 INDEFERIDO
CANDIDATO (A) NÃO APRESENTOU DOCUMETAÇÃO EXIGIDA. O candidato não
apresentou documento comprobatório da isenção de acordo com a hipótese
escolhida (laudo Medico).
NEIDE APARECIDA GONÇALVES DOS SANTOS 376***.***-** 1 INDEFERIDO
CANDIDATO (A) NÃO APRESENTOU DOCUMETAÇÃO EXIGID.O candidato não
apresentou certidão expedida pelo GDH que comprove recebimento de beneficio
de Programa Social de complementação ou suplementação de renda do GDH.
JACKELINE LIMA DE MIRANDA CARVALHO 005***.***-** 2 INDEFERIDO
CANDIDATO (A) NÃO APRESENTOU DOCUMETAÇÃO EXIGIDA(Formulario
desatualizado). O candidato não apresentou certidão expedida pelo GDH que
comprove recebimento de beneficio de Programa Social de complementação ou
suplementação de renda do GDH.
KENYA ANITA CERQUEIRA COSTA 029***.***-** 2 DEFERIDO
JOSÉ CARLOS ALVES RIBEIRO FILHO 004***.***-** 1 DEFERIDO
DANIELA RODRIGUES LOBO AMURIM 022***.***-** 1 DEFERIDO
CARLA NUBIA SANTOS DO NASCIMENTO 870***.***-** 1 INDEFERIDO
CANDIDATO (A) NÃO APRESENTOU DOCUMETAÇÃO EXIGIDA. O candidato não
apresentou declaração expedida pelo GDH que comprove recebimento de
beneficio de Programa Social de complementação ou suplementação de renda
do GDH.(Prato Cheio e IDF social).
ELAYNE CRISTINA DA SILVA 012***.***-** 1 DEFERIDO
CLARA JANINE CAMACAM ROCHA 049***.***-** 1 DEFERIDO
CLARA JANINE CAMACAM ROCHA 049***.***-** 6 DEFERIDO
THAUANA PEREIRA DO NASCIMENTO 036***.***-** 2 DEFERIDO
DOUGLAS PIRES DE OLIVEIRA 005***.***-** 1 DEFERIDO
AMANDA SATURNINO LEITE 065***.***-** - INDEFERIDO CANDIDATO (A) NÃO APRESENTOU DOCUMENTAÇÃO EXIGIDA EM PDF.
BEATRIZ MENDES DE CARVALHO SOUSA 066***.***-** 1 INDEFERIDO
CANDIDATO (A) NÃO APRESENTOU DOCUMETAÇÃO EXIGIDA(Formulario
desatualizado). O candidato não apresentou certidão expedida pelo GDH que
comprove recebimento de beneficio de Programa Social de complementação ou
suplementação de renda do GDH.
VINICIUS SALES CARDOSO 926***.***-** 1 DEFERIDO
ANTÔNIA DA CONCEIÇÃO SANTOS 392***.***-** 1 DEFERIDO
LOHANA DUARTE MONTEIRO 048***.***-** 1 INDEFERIDO
CANDIDATO (A) NÃO APRESENTOU DOCUMETAÇÃO EXIGID.O candidato não
apresentou certidão expedida pelo GDH que comprove recebimento de beneficio
de Programa Social de complementação ou suplementação de renda do GDH.
LOHANA DUARTE MONTEIRO 048***.***-** 3 INDEFERIDO
CANDIDATO (A) NÃO APRESENTOU DOCUMETAÇÃO EXIGID.O candidato não
apresentou certidão expedida pelo GDH que comprove recebimento de beneficio
de Programa Social de complementação ou suplementação de renda do GDH.
MARCELO AUGUSTO FERREIRA SANTOS 052***.***-** 1 INDEFERIDO
CANDIDATO (A) NÃO APRESENTOU DOCUMETAÇÃO EXIGIDA(Formulario
desatualizado). O candidato não apresentou certidão expedida pelo GDH que
comprove recebimento de beneficio de Programa Social de complementação ou
suplementação de renda do GDH.
MARCELO DE JESUS SOUZA 890***.***-** 1 DEFERIDO
ANDRÉ BRITO RIBEIRO 947***.***-** 1 INDEFERIDO
CANDIDATO (A) NÃO APRESENTOU DOCUMETAÇÃO EXIGID.O candidato não
apresentou certidão expedida pelo GDH que comprove recebimento de beneficio
de Programa Social de complementação ou suplementação de renda do GDH.
LARISSE NATHASHA DO NASCIMENTO 040***.***-** 1 INDEFERIDO CANDIDATO (A) NÃO APRESENTOU DOCUMENTAÇÃO EXIGIDA EM PDF.
FRANCISCO PEREIRA ALVES 705***.***-** 8 INDEFERIDO
CANDIDATO (A) NÃO APRESENTOU DOCUMETAÇÃO EXIGID.O candidato não
apresentou certidão expedida pelo GDH que comprove recebimento de beneficio
de Programa Social de complementação ou suplementação de renda do GDH.
LUCIANA PEREIRA DA SILVA 726***.***-** 1 DEFERIDO
CRISTIANE LIMA DE FARIAS ALENCAR 890***.***-** 1 DEFERIDO
CRISTIANE LIMA DE FARIAS ALENCAR 890***.***-** 2 DEFERIDO
LAIS LOPES DE MOURA 076***.***-** - INDEFERIDO
CANDIDATO (A) NÃO APRESENTOU DOCUMETAÇÃO EXIGIDA. O candidato não
apresentou o formulário atualizado devidamente preenchido e ASSINADO.
ANTÔNIO CARLOS GOMES PEREIRA 055***.***-** 8 INDEFERIDO
CANDIDATO (A) NÃO APRESENTOU DOCUMETAÇÃO EXIGID.O candidato não
apresentou certidão expedida pelo GDH que comprove recebimento de beneficio
de Programa Social de complementação ou suplementação de renda do GDH.
AMANDA SALES BRUNO RIBEIRO 039***.***-** 2 INDEFERIDO
CANDIDATO (A) NÃO APRESENTOU DOCUMETAÇÃO EXIGID.O candidato não
apresentou certidão expedida pelo GDH que comprove recebimento de beneficio
de Programa Social de complementação ou suplementação de renda do GDH.
HAMILTON DIAS DE ANDRADE 032***.***-** 1 DEFERIDO
DAVI DE ARAUJO DO NASCIMENTO 058***.***-** 1 DEFERIDO
ESTEFANY SANTANA DE OLIVEIRA 032***.***-** 1 INDEFERIDO
CANDIDATO (A) NÃO APRESENTOU DOCUMETAÇÃO EXIGID.O candidato não
apresentou certidão expedida pelo GDH que comprove recebimento de beneficio
de Programa Social de complementação ou suplementação de renda do GDH.
CAROLINEMIDORI YAMAGUTI DE MEDEIROS 085***.***-** 1 DEFERIDO
FABRICIO ROSSYLLAN DA PENHA 733***.***-** - INDEFERIDO
CANDIDATO (A) NÃO APRESENTOU DOCUMETAÇÃO EXIGIDA(Formulario
desatualizado). O candidato não apresentou certidão expedida pelo GDH que
comprove recebimento de beneficio de Programa Social de complementação ou
suplementação de renda do GDH.
SIRLEY DE SOUSA RODRIGUES 034***.***-** 1 INDEFERIDO
CANDIDATO (A) NÃO APRESENTOU DOCUMETAÇÃO EXIGID.O candidato não
apresentou certidão expedida pelo GDH que comprove recebimento de beneficio
de Programa Social de complementação ou suplementação de renda do GDH.
ESTELLA SANTANA DE OLIVEIRA 032***.***-** 1 INDEFERIDO
CANDIDATO (A) NÃO APRESENTOU DOCUMETAÇÃO EXIGID.O candidato não
apresentou certidão expedida pelo GDH que comprove recebimento de beneficio
de Programa Social de complementação ou suplementação de renda do GDH.
ALESSANDRA DE SOUSA VIANA 049***.***-** 2 INDEFERIDO
CANDIDATO (A) NÃO APRESENTOU DOCUMETAÇÃO EXIGID.O candidato não
apresentou certidão expedida pelo GDH que comprove recebimento de beneficio
de Programa Social de complementação ou suplementação de renda do GDH.
BIANCA REBECA GOMES DE ARAUJO 082***.***-** 6 INDEFERIDO
CANDIDATO (A) NÃO APRESENTOU DOCUMETAÇÃO EXIGID.O candidato não
apresentou certidão expedida pelo GDH que comprove recebimento de beneficio
de Programa Social de complementação ou suplementação de renda do GDH.
GEOVANIA SERAFIM DE SOUZA QUEIROZ 697***.***-** - INDEFERIDO
CANDIDATO (A) NÃO APRESENTOU DOCUMETAÇÃO EXIGIDA. O candidato não
apresentou o formulário atualizado devidamente preenchido e ASSINADO.
DYENE THULIPA DE MELO 018***.***-** 1 INDEFERIDO
CANDIDATO (A) NÃO APRESENTOU DOCUMETAÇÃO EXIGIDA. O candidato não
apresentou documento comprobatório da isenção de acordo com a hipótese
escolhida.
DYENE THULIPA DE MELO 018***.***-** 3 INDEFERIDO
CANDIDATO (A) NÃO APRESENTOU DOCUMETAÇÃO EXIGIDA. O candidato não
apresentou documento comprobatório da isenção de acordo com a hipótese
escolhida.
JESSICA MOREIRA DA SILVA 033***.***-** 1 INDEFERIDO CANDIDATO (A) NÃO APRESENTOU DOCUMENTAÇÃO EXIGIDA EM PDF.
CLEIDE CASTRO DE MAGALHÃES DE SÁ -***.***-** - INDEFERIDO CANDIDATO (A) NÃO APRESENTOU DOCUMENTAÇÃO EXIGIDA EM PDF.
TATIANE MIRANDA BORGES 728***.***-** 1 INDEFERIDO
CANDIDATO (A) NÃO APRESENTOU DOCUMETAÇÃO EXIGID.O candidato não
apresentou certidão expedida pelo GDH que comprove recebimento de beneficio
de Programa Social de complementação ou suplementação de renda do GDH.
TATIANE MIRANDA BORGES 728***.***-** 8 INDEFERIDO
CANDIDATO (A) NÃO APRESENTOU O FORMULARIO PARA CADA PEDIDO DE
ISENÇÃO DE TAXA UM E-MAIL PARA CADA CARGO.
ANNA RUTH BISPO RAMALHO 071***.***-** 1 INDEFERIDO
CANDIDATO (A) NÃO APRESENTOU DOCUMETAÇÃO EXIGID.O candidato não
apresentou certidão expedida pelo GDH que comprove recebimento de beneficio
de Programa Social de complementação ou suplementação de renda do GDH.
SIDNEY REGIS FERREIRA 034***.***-** 1 DEFERIDO
SIDNEY REGIS FERREIRA 034***.***-** 8 DEFERIDO
GILSON MATEUS SOARES 037***.***-** 1 INDEFERIDO CANDIDATO (A) NÃO APRESENTOU DOCUMENTAÇÃO EXIGIDA EM PDF.(RG)
IZABELA PIRES DA SILVA 023***.***-** 8 DEFERIDO
LUCINEI AGOSTINHO DA SILVA 844***.***-** 7 DEFERIDO
WALISON DOS SANTOS FERREIRA 034***.***-** 8 DEFERIDO
WILTON KEVIN SILVA ALENCAR -***.***-** - INDEFERIDO
CANDIDATO (A) NÃO APRESENTOU DOCUMETAÇÃO EXIGIDA. O candidato não
apresentou o formulário atualizado devidamente preenchido e ASSINADO; nem o
RG.
ANDRÉ SILVA ALMEIDA 080***.***-** 1 INDEFERIDO
CANDIDATO (A) NÃO APRESENTOU DOCUMETAÇÃO EXIGID.O candidato não
apresentou certidão expedida pelo GDH que comprove recebimento de beneficio
de Programa Social de complementação ou suplementação de renda do GDH.
ANDREZA OLIVEIRA DE SOUSA -***.***-** - INDEFERIDO
CANDIDATO (A) NÃO APRESENTOU DOCUMENTAÇÃO EXIGIDA EM PDF.(
FORMULARIO, RG)
PRISCILA SOUZA FERNANDES 034***.***-** 1 DEFERIDO
PRISCILA SOUZA FERNANDES 034***.***-** 8 DEFERIDO
WYCUCHABIL MONTEIRO COSTA 539***.***-** 1 DEFERIDO
ANA LUIZA PIMENTEL DE QUEIROZ 034***.***-** 1 DEFERIDO
GENILSON VALDIVINO DO NASCIMENTO 986***.***-** 6 INDEFERIDO
CANDIDATO (A) NÃO APRESENTOU DOCUMETAÇÃO EXIGIDA(Formulario
desatualizado). O candidato não apresentou certidão expedida pelo GDH que
comprove recebimento de beneficio de Programa Social de complementação ou
suplementação de renda do GDH.
LUCINEI AGOSTINHO DA SILVA 844***.***-** 1 INDEFERIDO
CANDIDATO (A) NÃO APRESENTOU DOCUMETAÇÃO EXIGIDA. O candidato não
apresentou o formulário atualizado devidamente preenchido e ASSINADO.
LARISSE SOUSA DA SILVA 987***.***-** 1 INDEFERIDO
CANDIDATO (A) NÃO APRESENTOU DOCUMETAÇÃO EXIGIDA(Formulario
desatualizado). O candidato não apresentou certidão expedida pelo GDH que
comprove recebimento de beneficio de Programa Social de complementação ou
suplementação de renda do GDH.
THAIS MERCADANTE NEVES 372***.***-** 4 DEFERIDO
LUCIANO GOMES DANTAS 815***.***-** 1 INDEFERIDO CANDIDATO (A) NÃO APRESENTOU DOCUMENTAÇÃO EXIGIDA EM PDF.(RG)
LUCIANO GOMES DANTAS 815***.***-** 7 INDEFERIDO CANDIDATO (A) NÃO APRESENTOU DOCUMENTAÇÃO EXIGIDA EM PDF.(RG)
ANDREA MARINHO SILVA 804***.***-** 5 INDEFERIDO
CANDIDATO (A) NÃO APRESENTOU DOCUMETAÇÃO EXIGIDA. O candidato não
apresentou documento comprobatório da isenção de acordo com a hipótese
escolhida (laudo Medico).
REINALDO DE SOUZA 065***.***-** 2 INDEFERIDO
CANDIDATO (A) NÃO APRESENTOU DOCUMETAÇÃO EXIGIDA. O candidato não
apresentou documento comprobatório da isenção de acordo com a hipótese
escolhida.
LUCIENE GONÇALVES FERNANDES 825***.***-** 2 DEFERIDO
EDILENE MOURA DE ARAUJO 017***.***-** 1 INDEFERIDO
CANDIDATO (A) NÃO APRESENTOU DOCUMETAÇÃO EXIGID.O candidato não
apresentou certidão expedida pelo GDH que comprove recebimento de beneficio
de Programa Social de complementação ou suplementação de renda do GDH.
VALERIA CRISTINA NUNES PIRES COSTA 992***.***-** 1 DEFERIDO
VALERIA CRISTINA NUNES PIRES COSTA 992***.***-** 7 DEFERIDO
SILVANA CORREIA DA SILVA 005***.***-** 1 INDEFERIDO
CANDIDATO (A) NÃO APRESENTOU DOCUMETAÇÃO EXIGID.O candidato não
apresentou certidão expedida pelo GDH que comprove recebimento de beneficio
de Programa Social de complementação ou suplementação de renda do GDH.
ELIANE MOREIRA DE TORRES 959***.***-** 1 DEFERIDO
FERNANDO HENRIQUE DA SILVA TEODORO 047***.***-** 1 DEFERIDO
FERNANDO HENRIQUE DA SILVA TEODORO 047***.***-** 7 DEFERIDO
ANTÔNIO REINALDO ALVES DE ARAUJO 795***.***-** 1 DEFERIDO
PATRICIA MATOS DOS SANTOS 830***.***-** 1 DEFERIDO
NELSON OLIVEIRA RODRIGUES 010***.***-** 1 DEFERIDO
LUIZ OTAVIO GEISTEIRA COSTA 109***.***-** 1 DEFERIDO
LUENE VARELA DE SOUZA 993***.***-** 2 INDEFERIDO
CANDIDATO (A) NÃO APRESENTOU DOCUMETAÇÃO EXIGIDA(Formulario
desatualizado). O candidato não apresentou certidão expedida pelo GDH que
comprove recebimento de beneficio de Programa Social de complementação ou
suplementação de renda do GDH.
GLEDEIDSON OLIVEIRA DA SILVA 037***.***-** 1 DEFERIDO
DANIELA SILVA COSTA 054***.***-** 1 INDEFERIDO
CANDIDATO (A) NÃO APRESENTOU DOCUMETAÇÃO EXIGID.O candidato não
apresentou certidão expedida pelo GDH que comprove recebimento de beneficio
de Programa Social de complementação ou suplementação de renda do GDH.
DANIELA SILVA COSTA 054***.***-** 5 INDEFERIDO
CANDIDATO (A) NÃO APRESENTOU O FORMULARIO PARA CADA PEDIDO DE
ISENÇÃO DE TAXA UM E-MAIL PARA CADA CARGO.
CLEYTON FRANÇA CAMPOS 586***.***-** 2 INDEFERIDO
CANDIDATO (A) NÃO APRESENTOU DOCUMETAÇÃO EXIGIDA(Formulario
desatualizado). O candidato não apresentou certidão expedida pelo GDH que
comprove recebimento de beneficio de Programa Social de complementação ou
suplementação de renda do GDH.
ISABEL CARNEIRO DE MELO 002***.***-** - INDEFERIDO
CANDIDATO (A) NÃO APRESENTOU DOCUMETAÇÃO EXIGIDA. O candidato não
apresentou documento comprobatório da isenção de acordo com a hipótese
escolhida.
ROSILENE SOARES XIMENDES 026***.***-** - INDEFERIDO
CANDIDATO (A) NÃO APRESENTOU DOCUMETAÇÃO EXIGIDA(Formulario
desatualizado). O candidato não apresentou certidão expedida pelo GDH que
comprove recebimento de beneficio de Programa Social de complementação ou
suplementação de renda do GDH.
ELMA ASSUNÇÃO 666***.***-** 1 DEFERIDO
ELMA ASSUNÇÃO 666***.***-** 4 DEFERIDO
FATIMA APARECIDA ANGELICA NOGUEIRA 023***.***-** 1 DEFERIDO
LEONARDO RODRIGUES CAPARROSA 041***.***-** 1 INDEFERIDO
CANDIDATO (A) NÃO APRESENTOU DOCUMETAÇÃO EXIGIDA. O candidato não
apresentou documento comprobatório da isenção de acordo com a hipótese
escolhida (laudo Medico).
AMANDA CECILIA GUEDES YAMAGUTI 026***.***-** 1 INDEFERIDO
CANDIDATO (A) NÃO APRESENTOU DOCUMETAÇÃO EXIGID.O candidato não
apresentou certidão expedida pelo GDH que comprove recebimento de beneficio
de Programa Social de complementação ou suplementação de renda do GDH.
AMANDA CECILIA GUEDES YAMAGUTI 026***.***-** 8 INDEFERIDO
CANDIDATO (A) NÃO APRESENTOU DOCUMETAÇÃO EXIGID.O candidato não
apresentou certidão expedida pelo GDH que comprove recebimento de beneficio
de Programa Social de complementação ou suplementação de renda do GDH.
VALDIVINO JOSÉ SANTANA NETO 002***.***-** 6 DEFERIDO
BRUNO YAMAGUTI DE CASTRO 727***.***-** 1 INDEFERIDO
CANDIDATO (A) NÃO APRESENTOU DOCUMETAÇÃO EXIGID.O candidato não
apresentou certidão expedida pelo GDH que comprove recebimento de beneficio
de Programa Social de complementação ou suplementação de renda do GDH.
BRUNO YAMAGUTI DE CASTRO 727***.***-** 8 INDEFERIDO
CANDIDATO (A) NÃO APRESENTOU DOCUMETAÇÃO EXIGID.O candidato não
apresentou certidão expedida pelo GDH que comprove recebimento de beneficio
de Programa Social de complementação ou suplementação de renda do GDH.
BRUNA LORRANE FERNANDES E SOUZA 057***.***-** 2 INDEFERIDO
CANDIDATO (A) NÃO APRESENTOU DOCUMETAÇÃO EXIGIDA(Formulario
desatualizado). O candidato não apresentou certidão expedida pelo GDH que
comprove recebimento de beneficio de Programa Social de complementação ou
suplementação de renda do GDH.
VALERIA FREITASDA CRUZ 019***.***-** 1 INDEFERIDO
CANDIDATO (A) NÃO APRESENTOU DOCUMETAÇÃO EXIGID.O candidato não
apresentou certidão expedida pelo GDH que comprove recebimento de beneficio
de Programa Social de complementação ou suplementação de renda do GDH.
GRAZIELA DE FREITAS BARBOSA MOURA 986***.***-** 5 INDEFERIDO
CANDIDATO (A) NÃO APRESENTOU DOCUMETAÇÃO EXIGID.O candidato não
apresentou certidão expedida pelo GDH que comprove recebimento de beneficio
de Programa Social de complementação ou suplementação de renda do GDH.
KEILA DE ARAUJO RAMOS 579***.***-** 2 INDEFERIDO
CANDIDATO (A) NÃO APRESENTOU DOCUMETAÇÃO EXIGID.O candidato não
apresentou certidão expedida pelo GDH que comprove recebimento de beneficio
de Programa Social de complementação ou suplementação de renda do GDH.
TATIANA DA SILVA CAMPOS 699***.***-** 1 INDEFERIDO
CANDIDATO (A) NÃO APRESENTOU DOCUMETAÇÃO EXIGID.O candidato não
apresentou certidão expedida pelo GDH que comprove recebimento de beneficio
de Programa Social de complementação ou suplementação de renda do GDH.
RONALDO ALVES NOGUEIRA 026***.***-** 1 DEFERIDO
RONALDO ALVES NOGUEIRA 026***.***-** 6 DEFERIDO
PATRICIA BARBOSA DE CASTRO MENDES 028***.***-** 1 INDEFERIDO
CANDIDATO (A) NÃO APRESENTOU DOCUMETAÇÃO EXIGIDA. O candidato não
apresentou documento comprobatório da isenção de acordo com a hipótese
escolhida (laudo Medico).
JEAN CLAUDIO DOS SANTOS SOUZA 521***.***-** 1 DEFERIDO
JEAN CLAUDIO DOS SANTOS SOUZA 521***.***-** 5 DEFERIDO
WLAILSON ALVES ARAUJO 623***.***-** 1 DEFERIDO
WLAILSON ALVES ARAUJO 623***.***-** 5 INDEFERIDO
CANDIDATO (A) NÃO APRESENTOU O FORMULARIO PARA CADA PEDIDO DE
ISENÇÃO DE TAXA UM E-MAIL PARA CADA CARGO.
YASMIL DE JESUS OLIVEIRA 041***.***-** 6 DEFERIDO
PATRICIA BARBOSA DE CASTRO MENDES 028***.***-** 2 INDEFERIDO
CANDIDATO (A) NÃO APRESENTOU DOCUMETAÇÃO EXIGIDA. O candidato não
apresentou documento comprobatório da isenção de acordo com a hipótese
escolhida (laudo Medico).
MARIA LIVANIR DE OLIVEIRA RODRIGUES 783***.***-** 1 INDEFERIDO
CANDIDATO (A) NÃO APRESENTOU DOCUMETAÇÃO EXIGIDA(Formulario
desatualizado). O candidato não apresentou certidão expedida pelo GDH que
comprove recebimento de beneficio de Programa Social de complementação ou
suplementação de renda do GDH.
DEBORA RIBEIRO DO NASCIMENTO 065***.***-** 2 INDEFERIDO
CANDIDATO (A) NÃO APRESENTOU DOCUMETAÇÃO EXIGIDA(Formulario
desatualizado). O candidato não apresentou certidão expedida pelo GDH que
comprove recebimento de beneficio de Programa Social de complementação ou
suplementação de renda do GDH.
FRANCISCO DE ASSIS MOURA DOS SANTOS 815***.***-** 1 DEFERIDO
FRANCISCO DE ASSIS MOURA DOS SANTOS 815***.***-** 2 DEFERIDO
REGINA CRISTINA GONÇALVES LACERDA 734***.***-** 1 INDEFERIDO
CANDIDATO (A) NÃO APRESENTOU DOCUMETAÇÃO EXIGID.O candidato não
apresentou certidão expedida pelo GDH que comprove recebimento de beneficio
de Programa Social de complementação ou suplementação de renda do GDH.
REGINA CRISTINA GONÇALVES LACERDA 734***.***-** 2 INDEFERIDO
CANDIDATO (A) NÃO APRESENTOU DOCUMETAÇÃO EXIGID.O candidato não
apresentou certidão expedida pelo GDH que comprove recebimento de beneficio
de Programa Social de complementação ou suplementação de renda do GDH.
RENATA MAYARA BARBOSA ALMEIDA 036***.***-** 1 DEFERIDO
MARYANA MELL DA SILVA ALVES 055***.***-** 1 INDEFERIDO
CANDIDATO (A) NÃO APRESENTOU DOCUMETAÇÃO EXIGIDA(Formulario
desatualizado). O candidato não apresentou certidão expedida pelo GDH que
comprove recebimento de beneficio de Programa Social de complementação ou
suplementação de renda do GDH.
MAIANE ARAUJO SOUZA 991***.***-** 2 DEFERIDO
MARIA EDUARDA BEZERRA SILVEIRA 031***.***-** 1 DEFERIDO
MYLENA BEATRIZ DA SILVA 055***.***-** 1 INDEFERIDO
CANDIDATO (A) NÃO APRESENTOU DOCUMETAÇÃO EXIGIDA(Formulario
desatualizado). O candidato não apresentou certidão expedida pelo GDH que
comprove recebimento de beneficio de Programa Social de complementação ou
suplementação de renda do GDH.
JORGE NICOLAS CARVALHO NUNES 088***.***-** - INDEFERIDO
CANDIDATO (A) NÃO APRESENTOU DOCUMETAÇÃO EXIGID.O candidato não
apresentou certidão expedida pelo GDH que comprove recebimento de beneficio
de Programa Social de complementação ou suplementação de renda do GDH.
ERISELDO DA SILVA NASCIMENTO 402***.***-** 3 DEFERIDO
FERNANDO GABRIEL GARCIA NASCIMENTO 073***.***-** 1 DEFERIDO
BRUNO BARRETO DA SILVA 029***.***-** 1 DEFERIDO
BRUNO BARRETO DA SILVA 029***.***-** 2 DEFERIDO
ELANE CRISTINA ALVES RODRIGUES 700***.***-** 7 INDEFERIDO
CANDIDATO (A) NÃO APRESENTOU DOCUMETAÇÃO EXIGID.O candidato não
apresentou certidão expedida pelo GDH que comprove recebimento de beneficio
de Programa Social de complementação ou suplementação de renda do GDH.
WARLISSON MARQUES DOS SANTOS 014***.***-** 1 DEFERIDO
WARLISSON MARQUES DOS SANTOS 014***.***-** 8 DEFERIDO
THALITA MORAIS ALVES DA SILVA 019***.***-** 1 INDEFERIDO CANDIDATO (A) NÃO APRESENTOU DOCUMENTAÇÃO EXIGIDA EM PDF.
THALITA MORAIS ALVES DA SILVA 019***.***-** 2 INDEFERIDO CANDIDATO (A) NÃO APRESENTOU DOCUMENTAÇÃO EXIGIDA EM PDF.
KALINE DE JESUS DA SILVA 039***.***-** 1 INDEFERIDO
CANDIDATO (A) NÃO APRESENTOU DOCUMETAÇÃO EXIGIDA(Formulario
desatualizado). O candidato não apresentou certidão expedida pelo GDH que
comprove recebimento de beneficio de Programa Social de complementação ou
suplementação de renda do GDH.
KARITA BEZERRA GOMES 866***.***-** 1 INDEFERIDO
CANDIDATO (A) NÃO APRESENTOU DOCUMETAÇÃO EXIGIDA(Formulario
desatualizado). O candidato não apresentou certidão expedida pelo GDH que
comprove recebimento de beneficio de Programa Social de complementação ou
suplementação de renda do GDH.
GUSTAVO ALVINO SANTOS DE LIMA 015***.***-** 1 INDEFERIDO
CANDIDATO (A) NÃO APRESENTOU DOCUMETAÇÃO EXIGIDA. O candidato não
apresentou documento comprobatório da isenção de acordo com a hipótese
escolhida (laudo Medico).
KELEN CRISTINA BEZERRA DE OLIVEIRA ARAUJO 583***.***-** 1 DEFERIDO
MARIA GABRIELE SOBRINHO RIBEIRO 067***.***-** 8 DEFERIDO
ARTHUR GABRIEL GOMES CESAR 066***.***-** 1 INDEFERIDO
CANDIDATO (A) NÃO APRESENTOU DOCUMENTAÇÃO EXIGIDA EM
PDF.(IMAGENS)
MAIRA MAERSCHNER PONTES 062***.***-** - INDEFERIDO
CANDIDATO (A) NÃO APRESENTOU DOCUMETAÇÃO EXIGIDA. O candidato não
apresentou no formulario o codigo do cargo.
TAINÁ ALVES DE JESUS MAGALHÃES 052***.***-** 6 INDEFERIDO
CANDIDATO (A) NÃO APRESENTOU DOCUMETAÇÃO EXIGID.O candidato não
apresentou certidão expedida pelo GDH que comprove recebimento de beneficio
de Programa Social de complementação ou suplementação de renda do GDH.
ADRIANA DE JESUS NERY 004***.***-** 2 INDEFERIDO
CANDIDATO (A) NÃO APRESENTOU DOCUMETAÇÃO EXIGIDA(Formulario
desatualizado). O candidato não apresentou certidão expedida pelo GDH que
comprove recebimento de beneficio de Programa Social de complementação ou
suplementação de renda do GDH.
FERNANDA PEREIRA DA SILVA -***.***-** - INDEFERIDO
CANDIDATO (A) NÃO APRESENTOU DOCUMETAÇÃO EXIGIDA. O candidato não
apresentou o formulário atualizado devidamente preenchido e ASSINADO.
CARINA COSMO MONTENEGRO 022***.***-** 1 INDEFERIDO
CANDIDATO (A) NÃO APRESENTOU DOCUMETAÇÃO EXIGIDA(Formulario
desatualizado). O candidato não apresentou certidão expedida pelo GDH que
comprove recebimento de beneficio de Programa Social de complementação ou
suplementação de renda do GDH.
CARINA COSMO MONTENEGRO 022***.***-** 5 INDEFERIDO
CANDIDATO (A) NÃO APRESENTOU DOCUMETAÇÃO EXIGIDA(Formulario
desatualizado). O candidato não apresentou certidão expedida pelo GDH que
comprove recebimento de beneficio de Programa Social de complementação ou
suplementação de renda do GDH.
CRISTIANA OLIVEIRA SOARES 007***.***-** 1 INDEFERIDO
CANDIDATO (A) NÃO APRESENTOU DOCUMETAÇÃO EXIGIDA(Formulario
desatualizado). O candidato não apresentou certidão expedida pelo GDH que
comprove recebimento de beneficio de Programa Social de complementação ou
suplementação de renda do GDH.
CRISTIANA OLIVEIRA SOARES 007***.***-** 6 INDEFERIDO
CANDIDATO (A) NÃO APRESENTOU DOCUMETAÇÃO EXIGIDA. O candidato não
apresentou documento comprobatório da isenção de acordo com a hipótese
escolhida (laudo Medico).
ANDREIA SEIKO SAKAMITI PAZINI 442***.***-** 5 DEFERIDO
DANIELA GOMES MACHADO 975***.***-** - INDEFERIDO
CANDIDATO (A) NÃO APRESENTOU DOCUMETAÇÃO EXIGIDA. O candidato não
apresentou documento comprobatório da isenção de acordo com a hipótese
escolhida.
VITORIA KOROLINY MOREIRA SANTINO 056***.***-** - INDEFERIDO
CANDIDATO (A) NÃO APRESENTOU DOCUMETAÇÃO EXIGIDA. O candidato não
apresentou documento comprobatório da isenção de acordo com a hipótese
escolhida.(Cadunico).
FERNANDA MENDES GALIZA DA SILVA 925***.***-** 1 DEFERIDO
CLAUDIO ALVES DA SILVA 563***.***-** - INDEFERIDO
O CANDIDATO (A) NÃO APRESENTOU DOCUMETAÇÃO EXIGIDA. O candidato não
apresentou o formulário atualizado devidamente preenchido e ASSINADO,
(LAUDO E CADUNICO).
FABIANA DA SILVA ARAUJO 955***.***-** 1 INDEFERIDO
O CANDIDATO (A) NÃO APRESENTOU DOCUMETAÇÃO EXIGIDA. O candidato não
apresentou o RG.
FABIANA DA SILVA ARAUJO 955***.***-** 7 INDEFERIDO
O CANDIDATO (A) NÃO APRESENTOU DOCUMETAÇÃO EXIGIDA. O candidato não
apresentou o RG.
FERNANDA FREIRE DAMASCENO 703***.***-** 8 INDEFERIDO
O CANDIDATO (A) NÃO APRESENTOU DOCUMETAÇÃO EXIGIDA EM PDF. O
candidato não apresentou o FORMULARIO E RG em imagem.
LAYLA BEASTRIZ LUIZ DA SILVA -***.***-** - INDEFERIDO
O CANDIDATO (A) NÃO APRESENTOU DOCUMETAÇÃO EXIGIDA. O candidato não
apresentou o formulário atualizado devidamente preenchido e ASSINADO.
QUENIA QUELLE MARTINS CARDOSO -***.***-** - INDEFERIDO
O CANDIDATO (A) NÃO APRESENTOU DOCUMETAÇÃO EXIGIDA EM PDF. O
candidato não apresentou o FORMULARIO E RG.
VITOR FERREIRA GOMES 028***.***-** 2 DEFERIDO
THAIS DOS SANTOS RUFINO 035***.***-** 1 DEFERIDO
THAIS DOS SANTOS RUFINO 035***.***-** 7 DEFERIDO
VANESSA SOUZA RAMOS 014***.***-** 1 DEFERIDO
FABBIO AUUGUSTO FLORENTINO FERREIRA 064***.***-** 1 DEFERIDO
FABBIO AUUGUSTO FLORENTINO FERREIRA 064***.***-** 7 DEFERIDO
ERISELDO DA SILVA NASCIMENTO 402***.***-** 1 DEFERIDO
MILENA OLIVEIRA FERRAZ 056***.***-** 1DE DEFERIDO
ALEXANDRA CRISTINA SILVA -***.***-** 1 INDEFERIDO
O CANDIDATO (A) NÃO APRESENTOU DOCUMETAÇÃO EXIGIDA EM PDF. O
candidato não apresentou o FORMULARIO E RG.
ALEXANDRA CRISTINA SILVA -***.***-** 3 INDEFERIDO
O CANDIDATO (A) NÃO APRESENTOU DOCUMETAÇÃO EXIGIDA EM PDF. O
candidato não apresentou o FORMULARIO E RG.
ISRAEL SOUZA DA SILVA 073***.***-** - INDEFERIDO
CANDIDATO (A) NÃO APRESENTOU DOCUMETAÇÃO EXIGIDA. O candidato não
apresentou o formulário atualizado devidamente preenchido e ASSINADO.
LAIÍSE ELIAS SANTOS 038***.***-** 1 INDEFERIDO CANDIDATO (A) NÃO APRESENTOU DOCUMENTAÇÃO EXIGIDA EM PDF.
LAIÍSE ELIAS SANTOS 038***.***-** 2 INDEFERIDO
CANDIDATO (A) NÃO APRESENTOU DOCUMENTAÇÃO EXIGIDA EM
PDF.(IMAGENS)
MARIANA GALVÃO RODRIGUES 022***.***-** 1 INDEFERIDO
CANDIDATO (A) NÃO APRESENTOU DOCUMETAÇÃO EXIGIDA(Formulario
desatualizado). O candidato não apresentou certidão expedida pelo GDH que
comprove recebimento de beneficio de Programa Social de complementação ou
suplementação de renda do GDH.
ANA CARLA NASCIMENTO DE MELO 043***.***-** 1 INDEFERIDO
CANDIDATO (A) NÃO APRESENTOU DOCUMETAÇÃO EXIGIDA. O candidato não
apresentou documento comprobatório da isenção de acordo com a hipótese
escolhida (laudo Medico).
RAFAELA RAYANE CARDOSO MOURA LEITE 047***.***-** 1 INDEFERIDO
CANDIDATO (A) NÃO APRESENTOU DOCUMETAÇÃO EXIGIDA. O candidato não
apresentou documento comprobatório da isenção de acordo com a hipótese
escolhida.
RAFAELA RAYANE CARDOSO MOURA LEITE 047***.***-** 8 INDEFERIDO
CANDIDATO (A) NÃO APRESENTOU DOCUMETAÇÃO EXIGIDA. O candidato não
apresentou documento comprobatório da isenção de acordo com a hipótese
escolhida.
TATIANE PEREIRA SAMPAIO 899***.***-** 8 INDEFERIDO
CANDIDATO (A) NÃO APRESENTOU DOCUMETAÇÃO EXIGIDA. O candidato não
apresentou documento comprobatório da isenção de acordo com a hipótese
escolhida.
JONATHAN DIAS LIMA 046***.***-** 1 DEFERIDO
MARCELO SANTOS LIMA 734***.***-** 1 DEFERIDO
SUENIA ELYSAMARA GOMES DE ALBURQUEQUE 051***.***-** 8 INDEFERIDO CANDIDATO (A) NÃO APRESENTOU DOCUMENTAÇÃO EXIGIDA.(RG)
ANA CARINE CARDOSO NERI 002***.***-** 1 INDEFERIDO
CANDIDATO (A) NÃO APRESENTOU DOCUMETAÇÃO EXIGID.O candidato não
apresentou certidão expedida pelo GDH que comprove recebimento de beneficio
de Programa Social de complementação ou suplementação de renda do GDH.
MATHEUS MARCOS CARVALHO DA CRUZ 052***.***-** 1 DEFERIDO
MATHEUS MARCOS CARVALHO DA CRUZ 052***.***-** 8 DEFERIDO
SARA GONÇALVES CORDEIRO 091***.***-** 1 INDEFERIDO
CANDIDATO (A) NÃO APRESENTOU DOCUMETAÇÃO EXIGIDA. O candidato não
apresentou declaração expedida pelo GDH que comprove recebimento de
beneficio de Programa Social de complementação ou suplementação de renda
do GDH.(Prato Cheio e IDF social).
SARA GONÇALVES CORDEIRO 091***.***-** 8 INDEFERIDO
CANDIDATO (A) NÃO APRESENTOU DOCUMETAÇÃO EXIGIDA. O candidato não
apresentou declaração expedida pelo GDH que comprove recebimento de
beneficio de Programa Social de complementação ou suplementação de renda
do GDH.(Prato Cheio e IDF social).
MISLANY RODRIGUES 838***.***-** 1 INDEFERIDO
CANDIDATO (A) NÃO APRESENTOU DOCUMETAÇÃO EXIGIDA. O candidato não
apresentou o formulário atualizado devidamente preenchido e ASSINADO.
MARIA APARECIDA RODRIGUES DA SILVA 029***.***-** 1 INDEFERIDO
CANDIDATO (A) NÃO APRESENTOU DOCUMETAÇÃO EXIGIDA. O candidato não
apresentou declaração expedida pelo GDH que comprove recebimento de
beneficio de Programa Social de complementação ou suplementação de renda
do GDH.(Prato Cheio e IDF social).
ANTÔNIO MARTINS DE SOUZA -***.***-** - INDEFERIDO
CANDIDATO (A) NÃO APRESENTOU DOCUMENTAÇÃO EXIGIDA EM
PDF.(IMAGENS)
ALINE MARIA SILVA DO NASCIMENTO 058***.***-** 1 INDEFERIDO
CANDIDATO (A) NÃO APRESENTOU DOCUMENTAÇÃO EXIGIDA EM
PDF.(IMAGENS)
ALINE MARIA SILVA DO NASCIMENTO 058***.***-** 8 INDEFERIDO CANDIDATO (A) NÃO APRESENTOU DOCUMENTAÇÃO EXIGIDA EM PDF.
THAIS DE OLIVEIRA SOUZA 052***.***-** 1 INDEFERIDO
CANDIDATO (A) NÃO APRESENTOU DOCUMETAÇÃO EXIGIDA. O candidato não
apresentou declaração expedida pelo GDH que comprove recebimento de
beneficio de Programa Social de complementação ou suplementação de renda
do GDH.(Prato Cheio e IDF social).
LETIICIA DA SILVA NEVES 066***.***-** 1 DEFERIDO
LETIICIA DA SILVA NEVES 066***.***-** 2 DEFERIDO
LETIICIA DA SILVA NEVES 066***.***-** 4 DEFERIDO
MARIA ELLEN GUEDES MONTALVÃO -***.***-** - INDEFERIDO
CANDIDATO (A) NÃO APRESENTOU DOCUMENTAÇÃO EXIGIDA EM
PDF.(FORMULARIO, RG)
MARIA DAS DORES MARINHO 883***.***-** 1 DEFERIDO
LORRANY NATACHA SIRQUEIRA GONALVES DA MOTA 042***.***-** 3 INDEFERIDO
CANDIDATO (A) NÃO APRESENTOU DOCUMETAÇÃO EXIGIDA. O candidato não
apresentou documento comprobatório da isenção de acordo com a hipótese
escolhida.
WILSON DUTRA SILVA 704***.***-** 1 DEFERIDO
RENAN CARLOS DA SILVA 012***.***-** 1 DEFERIDO
DANIELA GOMES MACHADO 975***.***-** - INDEFERIDO
CANDIDATO (A) NÃO APRESENTOU DOCUMETAÇÃO EXIGIDA. O candidato não
apresentou documento comprobatório da isenção de acordo com a hipótese
escolhida.
ADONIRAN DA SILVA COSTA 024***.***-** 1 INDEFERIDO
CANDIDATO (A) NÃO APRESENTOU DOCUMETAÇÃO EXIGIDA. O candidato não
apresentou documento comprobatório da isenção de acordo com a hipótese
escolhida.
ADONIRAN DA SILVA COSTA 024***.***-** 8 INDEFERIDO
CANDIDATO (A) NÃO APRESENTOU DOCUMETAÇÃO EXIGIDA. O candidato não
apresentou documento comprobatório da isenção de acordo com a hipótese
escolhida.
EDILEUSARODRIGUES FREIRES 477***.***-** 1 DEFERIDO
BEATRIZ DE CARVALHO BREVES 057***.***-** 1 DEFERIDO
DELMA LOPES DOS SANTOS -***.***-** - INDEFERIDO
CANDIDATO (A) NÃO APRESENTOU DOCUMETAÇÃO EXIGIDA. O candidato não
apresentou o formulário atualizado devidamente preenchido e ASSINADO.
RODRIGO DE AMARAL BARRETO 700***.***-** 1 DEFERIDO
CLEITON VIEIRA TORRES 713***.***-** 1 DEFERIDO
CLEITON VIEIRA TORRES 713***.***-** 2 DEFERIDO
GISELE DOS SANTOS FERREIRA 135***.***-** 1 INDEFERIDO
CANDIDATO (A) NÃO APRESENTOU DOCUMETAÇÃO EXIGIDA. O candidato não
apresentou documento comprobatório da isenção de acordo com a hipótese
escolhida.
ELISA MENDOÇADE CARVALHO 059***.***-** 1 DEFERIDO
ELISA MENDOÇADE CARVALHO 059***.***-** 2 DEFERIDO
LUIS FELIPE PEREIRA LEITE 037***.***-** 1 INDEFERIDO
CANDIDATO (A) NÃO APRESENTOU DOCUMETAÇÃO EXIGIDA. O candidato não
apresentou documento comprobatório da isenção de acordo com a hipótese
escolhida.
LUIS FELIPE PEREIRA LEITE 037***.***-** 5 INDEFERIDO
CANDIDATO (A) NÃO APRESENTOU DOCUMETAÇÃO EXIGIDA. O candidato não
apresentou documento comprobatório da isenção de acordo com a hipótese
escolhida.
DEIVISON GONÇALVES FREIRE 049***.***-** 1 INDEFERIDO
CANDIDATO (A) NÃO APRESENTOU DOCUMETAÇÃO EXIGIDA. O candidato não
apresentou documento comprobatório da isenção de acordo com a hipótese
escolhida.
CLAUDIO APARECIDO TAVARES DE OLIVEIRA 719***.***-** 1 DEFERIDO
CLAUDIO APARECIDO TAVARES DE OLIVEIRA 719***.***-** 6 DEFERIDO
ELIANE VIEIRA BRAGA DE PAIVA 975***.***-** 1 DEFERIDO
MARCELO DE FREITAS LIMA DE ALBURQUEQUE 028***.***-** 1 INDEFERIDO
CANDIDATO (A) NÃO APRESENTOU DOCUMENTAÇÃO EXIGIDA EM
PDF.(FORMULARIO, RG)
CINTIA KAROLINA NASCIMENTO ESPINDOLA 041***.***-** 1 DEFERIDO
CINTIA KAROLINA NASCIMENTO ESPINDOLA 041***.***-** 7 DEFERIDO
MARCOS VINICIUS NEVES DE SOUZA 002***.***-** 1 INDEFERIDO
CANDIDATO (A) NÃO APRESENTOU DOCUMENTAÇÃO EXIGIDA EM
PDF.(IMAGENS)
MARCOS VINICIUS NEVES DE SOUZA 002***.***-** 8 INDEFERIDO
CANDIDATO (A) NÃO APRESENTOU DOCUMENTAÇÃO EXIGIDA EM
PDF.(IMAGENS)
RIVANIA SEVERINO DA SILVA 808***.***-** 1 DEFERIDO
RIVANIA SEVERINO DA SILVA 808***.***-** 8 DEFERIDO
HELLEN CAROLINA DOS SANTOS 091***.***-** 1 INDEFERIDO
CANDIDATO (A) NÃO APRESENTOU DOCUMETAÇÃO EXIGIDA. O candidato não
apresentou declaração expedida pelo GDH que comprove recebimento de
beneficio de Programa Social de complementação ou suplementação de renda
do GDH.(Prato Cheio e IDF social).
HELLEN CAROLINA DOS SANTOS 091***.***-** 8 INDEFERIDO
CANDIDATO (A) NÃO APRESENTOU DOCUMETAÇÃO EXIGIDA. O candidato não
apresentou declaração expedida pelo GDH que comprove recebimento de
beneficio de Programa Social de complementação ou suplementação de renda
do GDH.(Prato Cheio e IDF social).
MIRELE TITO SILVA 067***.***-** 1 INDEFERIDO
CANDIDATO (A) NÃO APRESENTOU DOCUMETAÇÃO EXIGIDA. O candidato não
apresentou documento comprobatório da isenção de acordo com a hipótese
escolhida.
MIRELE TITO SILVA 067***.***-** 7 INDEFERIDO
CANDIDATO (A) NÃO APRESENTOU DOCUMETAÇÃO EXIGIDA. O candidato não
apresentou documento comprobatório da isenção de acordo com a hipótese
escolhida.
ERICK ALAN VIEGAS DE SOUSA 059***.***-** 2 INDEFERIDO
CANDIDATO (A) NÃO APRESENTOU DOCUMETAÇÃO EXIGIDA. O candidato não
apresentou documento comprobatório da isenção de acordo com a hipótese
escolhida.
LAYANE SOUSA RAMOS DE ARAUJO -***.***-** 1 INDEFERIDO
CANDIDATO (A) NÃO APRESENTOU DOCUMETAÇÃO EXIGIDA. O candidato não
apresentou documento comprobatório da isenção de acordo com a hipótese
escolhida.
LAYANE SOUSA RAMOS DE ARAUJO ***.***-** 8 INDEFERIDO
CANDIDATO (A) NÃO APRESENTOU DOCUMETAÇÃO EXIGIDA. O candidato não
apresentou documento comprobatório da isenção de acordo com a hipótese
escolhida.
ALDINEI FERREIRADA SILVA FERREIRA 955***.***-** 1 INDEFERIDO
CANDIDATO (A) NÃO APRESENTOU DOCUMETAÇÃO EXIGIDA. O candidato não
apresentou documento comprobatório da isenção de acordo com a hipótese
escolhida (laudo Medico).
SANDRA DOS SANTOS ALVES BATISTA 607***.***-** 1 DEFERIDO
SANDRA DOS SANTOS ALVES BATISTA 607***.***-** 7 DEFERIDO
VIVIAN EMANUELE NEPOMUCENO DA SILVA 050***.***-** 1 INDEFERIDO
CANDIDATO (A) NÃO APRESENTOU DOCUMENTAÇÃO EXIGIDA EM
PDF.(IMAGENS)
JOÃO PAULO VIEIRA DE FRANÇA 002***.***-** 5 DEFERIDO
IGOR FRANCISCO CAVALCANTI NOGUEIRA 033***.***-** 6 DEFERIDO
JANDESON RAMOS DA MOTA GONÇALVES 035***.***-** 3 DEFERIDO
WESLEY MARCOS DE JESUS SILVA 004***.***-** 1 DEFERIDO
IGOR FRANCISCO CAVALCANTI NOGUEIRA 033***.***-** 1 DEFERIDO
PRISCILA SOUZA FERNANDES 034***.***-** 8 INDEFERIDO CANDIDATO (A) NÃO APRESENTOU DOCUMENTAÇÃO EXIGIDA EM PDF.(RG)
JOÃO PAULO VIEIRA DE FRANÇA 002***.***-** 1 DEFERIDO
ANEZIA MERCÊS SOARES DE VASCONCELOS 553***.***-** 1 DEFERIDO
PRISCILA SOUZA FERNANDES 034***.***-** 1 INDEFERIDO CANDIDATO (A) NÃO APRESENTOU DOCUMENTAÇÃO EXIGIDA EM PDF.(RG)
MILENA TITO DA SILVA 052***.***-** 7 INDEFERIDO
CANDIDATO (A) NÃO APRESENTOU DOCUMETAÇÃO EXIGIDA. O candidato não
apresentou declaração expedida pelo GDH que comprove recebimento de
beneficio de Programa Social de complementação ou suplementação de renda
do GDH.(Prato Cheio e IDF social).
JOÃO VITOR GOMES DE ABREU NUNES SOARES 033***.***-** 1 INDEFERIDO
CANDIDATO (A) NÃO APRESENTOU DOCUMETAÇÃO EXIGIDA. O candidato não
apresentou declaração expedida pelo GDH que comprove recebimento de
beneficio de Programa Social de complementação ou suplementação de renda
do GDH.(Prato Cheio e IDF social).
JOÃO VITOR GOMES DE ABREU NUNES SOARES 033***.***-** 4 INDEFERIDO
CANDIDATO (A) NÃO APRESENTOU DOCUMETAÇÃO EXIGIDA. O candidato não
apresentou declaração expedida pelo GDH que comprove recebimento de
beneficio de Programa Social de complementação ou suplementação de renda
do GDH.(Prato Cheio e IDF social).
GRAZIELLY GEOVANNA CASTRO DE ANDRADE 619***.***-** 6 INDEFERIDO
CANDIDATO (A) NÃO APRESENTOU DOCUMETAÇÃO EXIGIDA. O candidato não
apresentou declaração expedida pelo GDH que comprove recebimento de
beneficio de Programa Social de complementação ou suplementação de renda
do GDH.(Prato Cheio e IDF social).
FABIANA ROCHA DOS SANTOS 004***.***-** 1 DEFERIDO
FABIANA ROCHA DOS SANTOS 004***.***-** 3 DEFERIDO
ALDINEI FERREIRADA SILVA FERREIRA 955***.***-** 2 INDEFERIDO
CANDIDATO (A) NÃO APRESENTOU DOCUMETAÇÃO EXIGIDA EM PDF. O
candidato não apresentou documento comprobatório da isenção de acordo com
a hipótese escolhida (laudo Medico).
LILIAN DA CONCEIÇÃO PEREIRA 729***.***-** 1 INDEFERIDO
CANDIDATO (A) NÃO APRESENTOU DOCUMENTAÇÃO EXIGIDA EM PDF.(
FORMULARIO,RG)
MARISA FERREIRA DA SILVA 705***.***-** 1 INDEFERIDO
CANDIDATO (A) NÃO APRESENTOU DOCUMETAÇÃO EXIGIDA EM PDF. O
candidato não apresentou documento comprobatório da isenção de acordo com
a hipótese escolhida.
THAINA ALVES BATISTA 049***.***-** 1 DEFERIDO
THAINA ALVES BATISTA 049***.***-** 7 DEFERIDO
HERLENI CAVALCANTE FARIAS 584***.***-** 8 INDEFERIDO
CANDIDATO (A) NÃO APRESENTOU DOCUMETAÇÃO EXIGIDA. O candidato não
apresentou declaração expedida pelo GDH que comprove recebimento de
beneficio de Programa Social de complementação ou suplementação de renda
do GDH.(Prato Cheio e IDF social).
ANEZIA MERCÊS SOARES DE VASCONCELOS 553***.***-** 6 DEFERIDO
BIANCA SOARES DE AGUIAR BARBOSA 707***.***-** 8 INDEFERIDO CANDIDATO (A) NÃO APRESENTOU DOCUMENTAÇÃO EXIGIDA EM PDF.(RG)
NATHALIA MARTINS DE ALMEIDA 124***.***-** 8 DEFERIDO
RAYANA LUSTOSA DA COSTA BARROS 034***.***-** 1 DEFERIDO
CLEIDE SANTOS DA CONCEIÇÃO 793***.***-** - INDEFERIDO
CANDIDATO (A) NÃO APRESENTOU DOCUMENTAÇÃO EXIGIDA EM PDF.(
CARGO,RG)
BIANCA SOARES DE AGUIAR BARBOSA 707***.***-** 1 INDEFERIDO CANDIDATO (A) NÃO APRESENTOU DOCUMENTAÇÃO EXIGIDA EM PDF.(RG)
RAYANA LUSTOSA DA COSTA BARROS 034***.***-** 5 DEFERIDO
TIAGO DE ARAUJO REIS 019***.***-** 2 INDEFERIDO
CANDIDATO (A) NÃO APRESENTOU DOCUMETAÇÃO EXIGIDA. O candidato não
apresentou declaração expedida pelo GDH que comprove recebimento de
beneficio de Programa Social de complementação ou suplementação de renda
do GDH.(Prato Cheio e IDF social).
TIAGO DE ARAUJO REIS 019***.***-** 1 INDEFERIDO
CANDIDATO (A) NÃO APRESENTOU DOCUMETAÇÃO EXIGIDA. O candidato não
apresentou declaração expedida pelo GDH que comprove recebimento de
beneficio de Programa Social de complementação ou suplementação de renda
do GDH.(Prato Cheio e IDF social).
LIA ALBURQUEQUE 037***.***-** 1 INDEFERIDO CANDIDATO (A) NÃO APRESENTOU DOCUMENTAÇÃO EXIGIDA EM PDF.(RG)
NATHALIA MARTINS DE ALMEIDA 124***.***-** 1 DEFERIDO
JAIR DA SILVA JUNIOR 836***.***-** 2 DEFERIDO
JAIR DA SILVA JUNIOR 836***.***-** 1 DEFERIDO
RAFAELA ALVES DA SILVA PINTO 690***.***-** 1 DEFERIDO
JOSÉ DINIZ SOBRINHO 620***.***-** 2 INDEFERIDO
CANDIDATO (A) NÃO APRESENTOU DOCUMETAÇÃO EXIGIDA EM PDF. O
candidato não apresentou documento comprobatório da isenção de acordo com
a hipótese escolhida.
ALEXANDRE RODRIGUES DE SOUZA 788***.***-** 4 DEFERIDO
ALEXANDRE RODRIGUES DE SOUZA 788***.***-** 1 DEFERIDO
ANA PAULA FERREIRA FRANCO 602***.***-** 1 INDEFERIDO
CANDIDATO (A) NÃO APRESENTOU DOCUMETAÇÃO EXIGIDA. O candidato não
apresentou declaração expedida pelo GDH que comprove recebimento de
beneficio de Programa Social de complementação ou suplementação de renda
do GDH.(Prato Cheio e IDF social).
MARISTELA FERREIRA FRANCO 805***.***-** 1 INDEFERIDO
CANDIDATO (A) NÃO APRESENTOU DOCUMETAÇÃO EXIGIDA. O candidato não
apresentou declaração expedida pelo GDH que comprove recebimento de
beneficio de Programa Social de complementação ou suplementação de renda
do GDH.(Prato Cheio e IDF social).
MARIA DO CARMO BARBOSA LIMA 020***.***-** 1 INDEFERIDO
CANDIDATO (A) NÃO APRESENTOU DOCUMETAÇÃO EXIGIDA EM PDF. O
candidato não apresentou documento comprobatório da isenção de acordo com
a hipótese escolhida (laudo Medico).
DEBORA MAIA RODOVALHO 026***.***-** 1 INDEFERIDO CANDIDATO (A) NÃO APRESENTOU DOCUMENTAÇÃO EXIGIDA EM PDF.(RG)
ANDREIA MOREIRA DE SOUSA 883***.***-** 1 DEFERIDO
SANDRA CASTRO DE OLIVEIRA 657***.***-** 1 INDEFERIDO
CANDIDATO (A) NÃO APRESENTOU DOCUMETAÇÃO EXIGIDA. O candidato não
apresentou declaração expedida pelo GDH que comprove recebimento de
beneficio de Programa Social de complementação ou suplementação de renda
do GDH.(Prato Cheio e IDF social).
CLEIDE MOURA DOS SANTOS 693***.***-** 1 DEFERIDO
CRISTIANE DA CONCEIÇÃO FERREIRA DE CARVALHO 669***.***-** 8 DEFERIDO
VINICIUS ESMERALDO ALVES 052***.***-** 1 DEFERIDO
VINICIUS ESMERALDO ALVES 052***.***-** 2 DEFERIDO
PAULO ENRIQUE DAMAS CRUZ 011***.***-** 2 DEFERIDO
MAURICIO JOSÉ CONCEIÇÃO DE SÁ 059***.***-** 1 INDEFERIDO
CANDIDATO (A) NÃO APRESENTOU DOCUMETAÇÃO EXIGIDA. O candidato não
apresentou declaração expedida pelo GDH que comprove recebimento de
beneficio de Programa Social de complementação ou suplementação de renda
do GDH.(Prato Cheio e IDF social).
GRAZIELA DA SILVA SANTOS 614***.***-** 2 INDEFERIDO
CANDIDATO (A) NÃO APRESENTOU DOCUMETAÇÃO EXIGIDA. O candidato não
apresentou declaração expedida pelo GDH que comprove recebimento de
beneficio de Programa Social de complementação ou suplementação de renda
do GDH.(Prato Cheio e IDF social).
MAYARA CARVALHO MOTA 026***.***-** 1 INDEFERIDO
CANDIDATO (A) NÃO APRESENTOU DOCUMETAÇÃO EXIGIDA. O candidato não
apresentou declaração expedida pelo GDH que comprove recebimento de
beneficio de Programa Social de complementação ou suplementação de renda
do GDH.(Prato Cheio e IDF social).
ANA CARINE CARDOSO NERI 002***.***-** 1 INDEFERIDO
CANDIDATO (A) NÃO APRESENTOU DOCUMETAÇÃO EXIGIDA. O candidato não
apresentou documento comprobatório da isenção de acordo com a hipótese
escolhida. O candidato deve apresentar certidão ou declaração equivalente
expedida pelo Governo do Distrito Federal no presente ano que comprove
recebimento de benefício de programa social de complementação ou
suplementação de renda instituído pelo GDF
ANA OLIVIA CASTANHEDE PETIT 690***.***-** 1 DEFERIDO
KARINE CAROLINE DE OLIVEIRA 028***.***-** 2 DEFERIDO
PATRICIA DA SILVA PEREIRA 956***.***-** 7 INDEFERIDO
CANDIDATO (A) NÃO APRESENTOU DOCUMETAÇÃO EXIGIDA. O candidato não
apresentou declaração expedida pelo GDH que comprove recebimento de
beneficio de Programa Social de complementação ou suplementação de renda
do GDH.(Prato Cheio e IDF social).
NATALIA DIAS SILVA 048***.***-** 1 DEFERIDO
ELZA MOREIRA DE SOUZA 875***.***-** 2 DEFERIDO
PATRICIA ALVES MOREIRA 033***.***-** 1 DEFERIDO
PATRICIA ALVES MOREIRA 033***.***-** 7 INDEFERIDO
CANDIDATO (A) NÃO APRESENTOU O FORMULARIO PARA CADA PEDIDO DE
ISENÇÃO DE TAXA UM E-MAIL PARA CADA CARGO.
ALDENICE VIEIRA DA SILVA 700***.***-** 3 INDEFERIDO
CANDIDATO (A) NÃO APRESENTOU DOCUMETAÇÃO EXIGIDA. O candidato não
apresentou declaração expedida pelo GDH que comprove recebimento de
beneficio de Programa Social de complementação ou suplementação de renda
do GDH.(Prato Cheio e IDF social).
PATRICIA SOARES DE LIMA 717***.***-** 3 INDEFERIDO
CANDIDATO (A) NÃO APRESENTOU DOCUMETAÇÃO EXIGIDA. O candidato não
apresentou declaração expedida pelo GDH que comprove recebimento de
beneficio de Programa Social de complementação ou suplementação de renda
do GDH.(Prato Cheio e IDF social).
FABIO TELES COSTA 710***.***-** 1 INDEFERIDO CANDIDATO (A) NÃO APRESENTOU DOCUMENTAÇÃO EXIGIDA EM PDF.(RG)
ADRIANA BATISTA PEREIRA 014***.***-** 1 INDEFERIDO
CANDIDATO (A) NÃO APRESENTOU DOCUMETAÇÃO EXIGIDA(Formulario
desatualizado). O candidato não apresentou certidão expedida pelo GDH que
comprove recebimento de beneficio de Programa Social de complementação ou
suplementação de renda do GDH.
EVELYN RODRIGUES COSTA 054***.***-** - INDEFERIDO
CANDIDATO (A) NÃO APRESENTOU DOCUMENTAÇÃO EXIGIDA EM
PDF.(FORMULARIO preenchido e assinado, RG)
PATRICIA SOARES DE LIMA 717***.***-** 1 INDEFERIDO
CANDIDATO (A) NÃO APRESENTOU DOCUMETAÇÃO EXIGIDA. O candidato não
apresentou declaração expedida pelo GDH que comprove recebimento de
beneficio de Programa Social de complementação ou suplementação de renda
do GDH.(Prato Cheio e IDF social).
MAGDA RIBEIRO DA COSTA 611***.***-** - INDEFERIDO
CANDIDATO (A) NÃO APRESENTOU DOCUMETAÇÃO EXIGIDA. O candidato não
apresentou o formulário atualizado devidamente preenchido e ASSINADO.
VINICIUS GONÇALVES XAVIER 053***.***-** - INDEFERIDO
O CANDIDATO (A) NÃO APRESENTOU DOCUMETAÇÃO EXIGIDA. O candidato não
apresentou o formulário atualizado devidamente preenchido COM O CARGO.
ERIKA SIMONY FERREIRA ELEOTERIO 727***.***-** - INDEFERIDO
CANDIDATO (A) NÃO APRESENTOU DOCUMETAÇÃO EXIGIDA(Formulario
desatualizado). O candidato não apresentou certidão expedida pelo GDH que
comprove recebimento de beneficio de Programa Social de complementação ou
suplementação de renda do GDH.
ELIDA BATISTA BERTOLAZI 726***.***-** 1 INDEFERIDO
CANDIDATO (A) NÃO APRESENTOU DOCUMETAÇÃO EXIGIDA. O candidato não
apresentou declaração expedida pelo GDH que comprove recebimento de
beneficio de Programa Social de complementação ou suplementação de renda
do GDH.(Prato Cheio e IDF social).
PRISCILA COIMBRA CINTRA 027***.***-** 7 DEFERIDO
PRISCILA COIMBRA CINTRA 027***.***-** 1 DEFERIDO
PATRICIA BARBOSA DE CASTRO MENDES 028***.***-** 2 INDEFERIDO
CANDIDATO (A) NÃO APRESENTOU DOCUMETAÇÃO EXIGIDA. O candidato não
apresentou documento comprobatório da isenção de acordo com a hipótese
escolhida (laudo Medico e Cadunico).
ANDRESSA FARIAS PINTO 017***.***-** 2 DEFERIDO
LUIZ ALBERTO VIEIRA SANTOS FILHO 124***.***-** 4 DEFERIDO
ENEILTON DE CARVALHO NUNES 896***.***-** 3 DEFERIDO
AMANDA CARDOSO 021***.***-** 1 INDEFERIDO
CANDIDATO (A) NÃO APRESENTOU DOCUMETAÇÃO EXIGIDA. O candidato não
apresentou documento comprobatório da isenção de acordo com a hipótese
escolhida (laudo Medico).
HELIO CESAR SOUZA LIMA 290***.***-** 2 INDEFERIDO
CANDIDATO (A) NÃO APRESENTOU DOCUMETAÇÃO EXIGIDA. O candidato não
apresentou declaração expedida pelo GDH que comprove recebimento de
beneficio de Programa Social de complementação ou suplementação de renda
do GDH.(Prato Cheio e IDF social).
ANDRESSA FARIAS PINTO 017***.***-** 1 DEFERIDO
PAULO BENVINDO DE MESQUITA 072***.***-** 8 DEFERIDO
ELIDA BATISTA BERTOLAZI 726***.***-** 8 INDEFERIDO
CANDIDATO (A) NÃO APRESENTOU DOCUMETAÇÃO EXIGIDA. O candidato não
apresentou declaração expedida pelo GDH que comprove recebimento de
beneficio de Programa Social de complementação ou suplementação de renda
do GDH.(Prato Cheio e IDF social).
LUIZ ALBERTO VIEIRA SANTOS FILHO 124***.***-** 1 DEFERIDO
SABRINA SUANE ROCHA SANTOS 026***.***-** 1 DEFERIDO
SABRINA SUANE ROCHA SANTOS 026***.***-** 2 DEFERIDO
ADELIA CÔRTE DOS SANTOS 032***.***-** 1 DEFERIDO
ADELIA CÔRTE DOS SANTOS 032***.***-** 6 DEFERIDO
CRISTIANE VIEIRA FERREIRA 002***.***-** 2 INDEFERIDO
CANDIDATO (A) NÃO APRESENTOU DOCUMETAÇÃO EXIGIDA(Formulario
desatualizado). O candidato não apresentou certidão expedida pelo GDH que
comprove recebimento de beneficio de Programa Social de complementação ou
suplementação de renda do GDH.
VERA LUCIA SOARES DE OLIVEIRA 001***.***-** 1 INDEFERIDO
CANDIDATO (A) NÃO APRESENTOU DOCUMENTAÇÃO EXIGIDA EM
PDF.(IMAGENS)
TAITA DE ANDRADE COTA 025***.***-** 1 INDEFERIDO
CANDIDATO (A) NÃO APRESENTOU DOCUMETAÇÃO EXIGIDA. O candidato não
apresentou declaração expedida pelo GDH que comprove recebimento de
beneficio de Programa Social de complementação ou suplementação de renda
do GDH.(Prato Cheio e IDF social).
TAITA DE ANDRADE COTA 025***.***-** 4 INDEFERIDO
CANDIDATO (A) NÃO APRESENTOU DOCUMETAÇÃO EXIGIDA. O candidato não
apresentou declaração expedida pelo GDH que comprove recebimento de
beneficio de Programa Social de complementação ou suplementação de renda
do GDH.(Prato Cheio e IDF social).
TAMIRIS BEMFICA DA COSTA LIMA 020***.***-** 1 DEFERIDO
TAMIRIS BEMFICA DA COSTA LIMA 020***.***-** 2 DEFERIDO
NELZÍ LEITE DA SILVA 381***.***-** 8 INDEFERIDO
CANDIDATO (A) NÃO APRESENTOU DOCUMETAÇÃO EXIGIDA. O candidato não
apresentou declaração expedida pelo GDH que comprove recebimento de
beneficio de Programa Social de complementação ou suplementação de renda
do GDH.(Prato Cheio e IDF social).
LETICIA DE SOUSA LOPES 042***.***-** 1 DEFERIDO
JANUBIA AZEVEDO SILVA 700***.***-** 6 DEFERIDO
LUAN DE OLIVEIRA FIGUEREDO MATIAS FRANCO 059***.***-** 2 INDEFERIDO
CANDIDATO (A) NÃO APRESENTOU DOCUMETAÇÃO EXIGIDA. O candidato não
apresentou declaração expedida pelo GDH que comprove recebimento de
beneficio de Programa Social de complementação ou suplementação de renda
do GDH.(Prato Cheio e IDF social).
THAYLLINE KELLEN DA SILVA ARAUJO 053***.***-** 1 DEFERIDO
THAYLLINE KELLEN DA SILVA ARAUJO 053***.***-** 2 DEFERIDO
LOYANE DO LIVRAMENTO ALVES 045***.***-** 1 INDEFERIDO
CANDIDATO (A) NÃO APRESENTOU DOCUMETAÇÃO EXIGIDA. O candidato não
apresentou documento comprobatório da isenção de acordo com a hipótese
escolhida (laudo Medico e Cadunico).
PATRICIA BARBOSA DE CASTRO MENDES 028***.***-** 1 INDEFERIDO
CANDIDATO (A) NÃO APRESENTOU DOCUMETAÇÃO EXIGIDA. O candidato não
apresentou documento comprobatório da isenção de acordo com a hipótese
escolhida (laudo Medico e Cadunico).
JULIANE SOARES FERNANDES 028***.***-** 6 INDEFERIDO
CANDIDATO (A) NÃO APRESENTOU DOCUMETAÇÃO EXIGIDA EM PDF. O
candidato não apresentou documento comprobatório da isenção de acordo com
a hipótese escolhida.
RAQUEL CRISTINA LEITE DA SILVA MORAIS 018***.***-** 8 INDEFERIDO
CANDIDATO (A) NÃO APRESENTOU DOCUMETAÇÃO EXIGIDA. O candidato não
apresentou declaração expedida pelo GDH que comprove recebimento de
beneficio de Programa Social de complementação ou suplementação de renda
do GDH.(Prato Cheio e IDF social).
DENISE OLIVEIRA DOS SANTOS 727***.***-** 1 INDEFERIDO
CANDIDATO (A) NÃO APRESENTOU DOCUMETAÇÃO EXIGIDA. O candidato não
apresentou declaração expedida pelo GDH que comprove recebimento de
beneficio de Programa Social de complementação ou suplementação de renda
do GDH.(Prato Cheio e IDF social).
DENISE OLIVEIRA DOS SANTOS 727***.***-** 7 INDEFERIDO
CANDIDATO (A) NÃO APRESENTOU DOCUMETAÇÃO EXIGIDA. O candidato não
apresentou declaração expedida pelo GDH que comprove recebimento de
beneficio de Programa Social de complementação ou suplementação de renda
do GDH.(Prato Cheio e IDF social).
MARICELO SOUZA DOS SANTOS 045***.***-** 3 DEFERIDO
BEATRIZ BARBOSA DE MELO 991***.***-** 1 DEFERIDO
BEATRIZ BARBOSA DE MELO 991***.***-** 2 DEFERIDO
KALYLY SIMEÂO MOURA CIPRIANO 011***.***-** 1 DEFERIDO
KALYLY SIMEÂO MOURA CIPRIANO 011***.***-** 6 DEFERIDO
MÔNICA PEREIRA LENZ 004***.***-** 1 DEFERIDO
MÔNICA PEREIRA LENZ 004***.***-** 4 DEFERIDO
ANA GABRIELA BATISTA REIS 037***.***-** 1 INDEFERIDO
CANDIDATO (A) NÃO APRESENTOU DOCUMETAÇÃO EXIGIDA. O candidato não
apresentou declaração expedida pelo GDH que comprove recebimento de
beneficio de Programa Social de complementação ou suplementação de renda
do GDH.(Prato Cheio e IDF social).
DALGIMAR MOREIRA DAVID 553***.***-** 1 DEFERIDO
WILLIAM TEIXEIRA PEREIRA 033***.***-** 1 DEFERIDO
WILLIAM TEIXEIRA PEREIRA 033***.***-** 2 INDEFERIDO
CANDIDATO (A) NÃO APRESENTOU O FORMULARIO PARA CADA PEDIDO DE
ISENÇÃO DE TAXA UM E-MAIL PARA CADA CARGO.
NATALLIA ORRÚ REIS SILVEIRA SUHETT 014***.***-** 1 DEFERIDO
JESSICA LUZIA DOS SANTOS MATOS 036***.***-** 5 INDEFERIDO
CANDIDATO (A) NÃO APRESENTOU DOCUMETAÇÃO EXIGIDA. O candidato não
apresentou o formulário atualizado devidamente preenchido e ASSINADO; nem o
RG.
REGINALDO DA SILVA LOBO 334***.***-** 3 INDEFERIDO
CANDIDATO (A) NÃO APRESENTOU DOCUMETAÇÃO EXIGIDA(Formulario
desatualizado). O candidato não apresentou certidão expedida pelo GDH que
comprove recebimento de beneficio de Programa Social de complementação ou
suplementação de renda do GDH.
JULIENE ENEAS LIRA 031***.***-** 1 DEFERIDO
AMANDA APARECIDA BARBOSA DA COSTA 021***.***-** 1 INDEFERIDO
CANDIDATO (A) NÃO APRESENTOU DOCUMETAÇÃO EXIGIDA. O candidato não
apresentou declaração expedida pelo GDH que comprove recebimento de
beneficio de Programa Social de complementação ou suplementação de renda
do GDH.(Prato Cheio e IDF social).
RAQUEL RODRIGUES GONÇALVES CURADO 830***.***-** 1 DEFERIDO
GALDENIA ALVES DE SOUSA 816***.***-** 1 INDEFERIDO
CANDIDATO (A) NÃO APRESENTOU DOCUMETAÇÃO EXIGIDA EM PDF. O
candidato não apresentou documento comprobatório da isenção de acordo com
a hipótese escolhida.
GALDENIA ALVES DE SOUSA 816***.***-** 2 INDEFERIDO
CANDIDATO (A) NÃO APRESENTOU DOCUMETAÇÃO EXIGIDA EM PDF. O
candidato não apresentou documento comprobatório da isenção de acordo com
a hipótese escolhida.
KATIA RODRIGUES DA SILVA 995***.***-** 1 DEFERIDO
KATIA RODRIGUES DA SILVA 995***.***-** 7 DEFERIDO
RODRIGO DE AMARAL BARRETO 700***.***-** 1 INDEFERIDO
CANDIDATO (A) NÃO APRESENTOU DOCUMENTAÇÃO EXIGIDA EM
PDF.(IMAGENS)
ANA CRISTINA LEAL CARDOSO 785***.***-** 1 INDEFERIDO
CANDIDATO (A) NÃO APRESENTOU DOCUMETAÇÃO EXIGIDA. O candidato não
apresentou declaração expedida pelo GDH que comprove recebimento de
beneficio de Programa Social de complementação ou suplementação de renda
do GDH.(Prato Cheio e IDF social).
ANA CRISTINA LEAL CARDOSO 785***.***-** 8 INDEFERIDO
CANDIDATO (A) NÃO APRESENTOU DOCUMETAÇÃO EXIGIDA. O candidato não
apresentou declaração expedida pelo GDH que comprove recebimento de
beneficio de Programa Social de complementação ou suplementação de renda
do GDH.(Prato Cheio e IDF social).
GABRIELA AZEVEDO OLIVEIRA 086***.***-** 6 DEFERIDO
RENATA DA ROCHA DE SOUZA 009***.***-** 1 INDEFERIDO
CANDIDATO (A) NÃO APRESENTOU DOCUMETAÇÃO EXIGIDA EM PDF. O
candidato não apresentou documento comprobatório da isenção de acordo com
a hipótese escolhida.
RENATA DA ROCHA DE SOUZA 009***.***-** 6 INDEFERIDO
CANDIDATO (A) NÃO APRESENTOU DOCUMETAÇÃO EXIGIDA EM PDF. O
candidato não apresentou documento comprobatório da isenção de acordo com
a hipótese escolhida.
LUCIANO DE SOUSA PONTES 701***.***-** 7 DEFERIDO
LUDMILA CARDOSO VELO CASTRO 016***.***-** 1 DEFERIDO
LUDMILA CARDOSO VELO CASTRO 016***.***-** 6 DEFERIDO
RAQUEL PEREIRA DE MESQUITA 040***.***-** 1 DEFERIDO
VIVIAN COUTO ALMEIDA 008***.***-** 1 DEFERIDO
VIVIAN COUTO ALMEIDA 008***.***-** 8 DEFERIDO
THAUANA PEREIRA DO NASCIMENTO 036***.***-** 1 DEFERIDO
ANNE KAREN SANTOS TRINDADE 033***.***-** 1 INDEFERIDO
CANDIDATO (A) NÃO APRESENTOU DOCUMETAÇÃO EXIGIDA EM PDF. O
candidato não apresentou documento comprobatório da isenção de acordo com
a hipótese escolhida.
JULIANA CARNEIRO GONÇALVES 227***.***-** 1 DEFERIDO
JULIANA CARNEIRO GONÇALVES 227***.***-** 4 INDEFERIDO
CANDIDATO (A) NÃO APRESENTOU O FORMULARIO PARA CADA PEDIDO DE
ISENÇÃO DE TAXA UM E-MAIL PARA CADA CARGO.
VIVIANE NUNES DA CUNHA 022***.***-** 1 DEFERIDO
VIVIANE NUNES DA CUNHA 022***.***-** 6 DEFERIDO
ANNA GARDENIA BASTOS MENDES 000***.***-** 1 DEFERIDO
JOÃO TARCIZIO MOURA DA SILVA 765***.***-** 1 INDEFERIDO
CANDIDATO (A) NÃO APRESENTOU DOCUMETAÇÃO EXIGIDA. O candidato não
apresentou documento comprobatório da isenção de acordo com a hipótese
escolhida (laudo Medico).
JOÃO TARCIZIO MOURA DA SILVA 765***.***-** 6 INDEFERIDO
CANDIDATO (A) NÃO APRESENTOU DOCUMETAÇÃO EXIGIDA. O candidato não
apresentou documento comprobatório da isenção de acordo com a hipótese
escolhida (laudo Medico).
PÂMELA BRAGA DIOLINDO 026***.***-** 1 INDEFERIDO
CANDIDATO (A) NÃO APRESENTOU DOCUMETAÇÃO EXIGIDA. O candidato não
apresentou declaração expedida pelo GDH que comprove recebimento de
beneficio de Programa Social de complementação ou suplementação de renda
do GDH.(Prato Cheio e IDF social).
PÂMELA BRAGA DIOLINDO 026***.***-** 8 INDEFERIDO
CANDIDATO (A) NÃO APRESENTOU DOCUMETAÇÃO EXIGIDA. O candidato não
apresentou declaração expedida pelo GDH que comprove recebimento de
beneficio de Programa Social de complementação ou suplementação de renda
do GDH.(Prato Cheio e IDF social).
AMANDA CRISTINA DOS REIS FONSECA 103***.***-** 1 DEFERIDO
FABIANA CARNEIRO DE FREITAS 804***.***-** 1 INDEFERIDO
CANDIDATO (A) NÃO APRESENTOU DOCUMETAÇÃO EXIGIDA(Formulario
desatualizado). O candidato não apresentou certidão expedida pelo GDH que
comprove recebimento de beneficio de Programa Social de complementação ou
suplementação de renda do GDH.
CLAUDIA MARIA PEREIRA 083***.***-** 1 INDEFERIDO
CANDIDATO (A) NÃO APRESENTOU DOCUMETAÇÃO EXIGIDA EM PDF. O
candidato não apresentou documento comprobatório da isenção de acordo com
a hipótese escolhida.
CLAUDIA MARIA PEREIRA 083***.***-** 4 INDEFERIDO
CANDIDATO (A) NÃO APRESENTOU DOCUMETAÇÃO EXIGIDA EM PDF. O
candidato não apresentou documento comprobatório da isenção de acordo com
a hipótese escolhida.
MARCIA MOREIRA CAMPOS 924***.***-** 1 INDEFERIDO
CANDIDATO (A) NÃO APRESENTOU DOCUMETAÇÃO EXIGIDA. O candidato não
apresentou declaração expedida pelo GDH que comprove recebimento de
beneficio de Programa Social de complementação ou suplementação de renda
do GDH.(Prato Cheio e IDF social).
MARCIA MOREIRA CAMPOS 924***.***-** 4 INDEFERIDO
CANDIDATO (A) NÃO APRESENTOU DOCUMETAÇÃO EXIGIDA. O candidato não
apresentou declaração expedida pelo GDH que comprove recebimento de
beneficio de Programa Social de complementação ou suplementação de renda
do GDH.(Prato Cheio e IDF social).
MARIA LUCIA DE ALARCÃO 553***.***-** 2 INDEFERIDO
CANDIDATO (A) NÃO APRESENTOU DOCUMETAÇÃO EXIGIDA. O candidato não
apresentou declaração expedida pelo GDH que comprove recebimento de
beneficio de Programa Social de complementação ou suplementação de renda
do GDH.(Prato Cheio e IDF social).
ANA LUCIA RODRIGUES MARTINS 001***.***-** 1 INDEFERIDO
CANDIDATO (A) NÃO APRESENTOU DOCUMETAÇÃO EXIGIDA EM PDF. O
candidato não apresentou documento comprobatório da isenção de acordo com
a hipótese escolhida.
ANA LUCIA RODRIGUES MARTINS 001***.***-** 5 INDEFERIDO
CANDIDATO (A) NÃO APRESENTOU DOCUMETAÇÃO EXIGIDA EM PDF. O
candidato não apresentou documento comprobatório da isenção de acordo com
a hipótese escolhida.
DANIELA BRAS DE SOUZA 659***.***-** - INDEFERIDO
CANDIDATO (A) NÃO APRESENTOU DOCUMENTAÇÃO EXIGIDA EM
PDF.(IMAGENS)
LEYZA LONALY TEIXEIRA 037***.***-** 8 INDEFERIDO CANDIDATO (A) NÃO APRESENTOU DOCUMENTAÇÃO EXIGIDA EM PDF.(RG)
ISAQUEU GONÇALVES DE SOUSA DOURADO 012***.***-** 1 INDEFERIDO
CANDIDATO (A) NÃO APRESENTOU DOCUMETAÇÃO EXIGIDA EM PDF. O
candidato não apresentou documento comprobatório da isenção de acordo com
a hipótese escolhida.
LILIAN DA CONCEIÇÃO PEREIRA 729***.***-** 1 INDEFERIDO
CANDIDATO (A) NÃO APRESENTOU DOCUMETAÇÃO EXIGIDA(Formulario
desatualizado). O candidato não apresentou certidão expedida pelo GDH que
comprove recebimento de beneficio de Programa Social de complementação ou
suplementação de renda do GDH.
ALBERTO FRANCISCO COSTINHAS ARAUJO 099***.***-** 7 DEFERIDO
RICARDO NUNES DOS SANTOS 042***.***-** 1 DEFERIDO
RICARDO NUNES DOS SANTOS 042***.***-** 4 DEFERIDO
PEDRO HENRIQUE PEREIRA DA SILVA 016***.***-** 1 INDEFERIDO
CANDIDATO (A) NÃO APRESENTOU DOCUMENTAÇÃO EXIGIDA EM PDF.(Só
apresentou uma eleição)
IGOR MONTENEGRO DE SOUZA 729***.***-** 1 DEFERIDO
IGOR MONTENEGRO DE SOUZA 729***.***-** 6 DEFERIDO
GLACILENE INÊS MARQUES 720***.***-** 1 INDEFERIDO
CANDIDATO (A) NÃO APRESENTOU DOCUMETAÇÃO EXIGIDA. O candidato não
apresentou declaração expedida pelo GDH que comprove recebimento de
beneficio de Programa Social de complementação ou suplementação de renda
do GDH.(Prato Cheio e IDF social).
GLACILENE INÊS MARQUES 720***.***-** 2 INDEFERIDO
CANDIDATO (A) NÃO APRESENTOU DOCUMETAÇÃO EXIGIDA. O candidato não
apresentou declaração expedida pelo GDH que comprove recebimento de
beneficio de Programa Social de complementação ou suplementação de renda
do GDH.(Prato Cheio e IDF social).
THAINÁ MIRANDA DOS SANTOS 064***.***-** 1 DEFERIDO
THAINÁ MIRANDA DOS SANTOS 064***.***-** 3 DEFERIDO
LUCIA HELENA DE SOUSA 717***.***-** 1 DEFERIDO
FERNANDA LOPES DE ARAUJO 051***.***-** 1 INDEFERIDO
CANDIDATO (A) NÃO APRESENTOU DOCUMETAÇÃO EXIGIDA. O candidato não
apresentou declaração expedida pelo GDH que comprove recebimento de
beneficio de Programa Social de complementação ou suplementação de renda
do GDH.(Prato Cheio e IDF social).
FERNANDA LOPES DE ARAUJO 051***.***-** 7 INDEFERIDO
CANDIDATO (A) NÃO APRESENTOU DOCUMETAÇÃO EXIGIDA. O candidato não
apresentou declaração expedida pelo GDH que comprove recebimento de
beneficio de Programa Social de complementação ou suplementação de renda
do GDH.(Prato Cheio e IDF social).
DANILO SOUZA DOS SANTOS 044***.***-** 2 INDEFERIDO
CANDIDATO (A) NÃO APRESENTOU DOCUMETAÇÃO EXIGIDA(Formulario
desatualizado). O candidato não apresentou certidão expedida pelo GDH que
comprove recebimento de beneficio de Programa Social de complementação ou
suplementação de renda do GDH.
GLEIDSON RODRIGUES DOS SANTOS 045***.***-** 1 DEFERIDO
GLEIDSON RODRIGUES DOS SANTOS 045***.***-** 8 DEFERIDO
SHEYLA LISBOA DOS SANTOS 704***.***-** 2 DEFERIDO
MARIA IZABEL MACHADO 027***.***-** 1 INDEFERIDO
CANDIDATO (A) NÃO APRESENTOU DOCUMENTAÇÃO EXIGIDA EM
PDF.(IMAGENS)
MARIA DO ROZARIO FONSECA 006***.***-** - INDEFERIDO
O CANDIDATO (A) NÃO APRESENTOU DOCUMETAÇÃO EXIGIDA. O candidato não
apresentou o formulário atualizado devidamente preenchido COM O CARGO.
MAYARA CARVALHO MOTA 026***.***-** 2 INDEFERIDO
CANDIDATO (A) NÃO APRESENTOU DOCUMETAÇÃO EXIGIDA. O candidato não
apresentou declaração expedida pelo GDH que comprove recebimento de
beneficio de Programa Social de complementação ou suplementação de renda
do GDH.(Prato Cheio e IDF social).
KELLYANE COSTA LIMA 025***.***-** 7 DEFERIDO
BEATRIZ FERREIRA DE LIMA 046***.***-** - INDEFERIDO
CANDIDATO (A) NÃO APRESENTOU DOCUMETAÇÃO EXIGIDA. O candidato não
apresentou o formulário atualizado devidamente preenchido e ASSINADO.
ALEF SOARES RIBEIRO 046***.***-** 1 INDEFERIDO
CANDIDATO (A) NÃO APRESENTOU DOCUMETAÇÃO EXIGIDA. O candidato não
apresentou declaração expedida pelo GDH que comprove recebimento de
beneficio de Programa Social de complementação ou suplementação de renda
do GDH.(Prato Cheio e IDF social).
LUCAS SABOIA TORRES 019***.***-** 1 INDEFERIDO
CANDIDATO (A) NÃO APRESENTOU DOCUMETAÇÃO EXIGIDA EM PDF. O
candidato não apresentou documento comprobatório da isenção de acordo com
a hipótese escolhida.
NATHALIA CAMPOS DE SOUSA 062***.***-** 1 INDEFERIDO
CANDIDATO (A) NÃO APRESENTOU DOCUMETAÇÃO EXIGIDA. O candidato não
apresentou declaração expedida pelo GDH que comprove recebimento de
beneficio de Programa Social de complementação ou suplementação de renda
do GDH.(Prato Cheio e IDF social).
MARIA CLARA DOS SANTOS SILVA 071***.***-** 1 INDEFERIDO
CANDIDATO (A) NÃO APRESENTOU DOCUMETAÇÃO EXIGIDA. O candidato não
apresentou documento comprobatório da isenção de acordo com a hipótese
escolhida (laudo Medico).
THAIANE SILVA MOURA 029***.***-** 1 DEFERIDO
THAIANE SILVA MOURA 029***.***-** 5 DEFERIDO
BRUNA FERREIRA DE PAULA 714***.***-** 1 DEFERIDO
BRUNA FERREIRA DE PAULA 714***.***-** 6 INDEFERIDO
CANDIDATO (A) NÃO APRESENTOU O FORMULARIO PARA CADA PEDIDO DE
ISENÇÃO DE TAXA UM E-MAIL PARA CADA CARGO.
JOSENI VARJÃO DO VALE 028***.***-** 1 DEFERIDO
JAKELINE SOAYNE FARIAS FREIRE 033***.***-** 4 DEFERIDO
ADRIANA SILVA ALVES 619***.***-** 1 INDEFERIDO CANDIDATO (A) NÃO APRESENTOU DOCUMENTAÇÃO EXIGIDA EM PDF.(RG)
ELISANDRA DE ALBURQUEQUE 956***.***-** 1 DEFERIDO
JAKELINE SOAYNE FARIAS FREIRE 033***.***-** 1 DEFERIDO
DEBORA CARLA DE JESUS RUIVO 021***.***-** 1 DEFERIDO
RHAYANNE FRANCISCO TEIXEIRA 006***.***-** 1 DEFERIDO
PEDRO HENRIQUE ELLER GONZAGA 060***.***-** 1 DEFERIDO
SANDRA PEREIRA MACHADO 926***.***-** 2 INDEFERIDO CANDIDATO (A) NÃO APRESENTOU DOCUMENTAÇÃO EXIGIDA EM PDF.(RG)
BIANCA DA SILVA ARAUJO 062***.***-** 1 INDEFERIDO
CANDIDATO (A) NÃO APRESENTOU DOCUMETAÇÃO EXIGIDA. O candidato não
apresentou declaração expedida pelo GDH que comprove recebimento de
beneficio de Programa Social de complementação ou suplementação de renda
do GDH.(Prato Cheio e IDF social).
CECILIA CALIANNY CARDOSO 714***.***-** 1 INDEFERIDO
CANDIDATO (A) NÃO APRESENTOU DOCUMETAÇÃO EXIGIDA. O candidato não
apresentou declaração expedida pelo GDH que comprove recebimento de
beneficio de Programa Social de complementação ou suplementação de renda
do GDH.(Prato Cheio e IDF social).
BRUNO FELIPE DOS SANTOS COSTA 730***.***-** 1 DEFERIDO
CAROLINA MARIA DA SILVA COSTA 026***.***-** 3 INDEFERIDO
CANDIDATO (A) NÃO APRESENTOU DOCUMETAÇÃO EXIGIDA. O candidato não
apresentou declaração expedida pelo GDH que comprove recebimento de
beneficio de Programa Social de complementação ou suplementação de renda
do GDH.(Prato Cheio e IDF social).
GABRIELA BARBOSA DA COSTA 036***.***-** 1 DEFERIDO
GABRIELA BARBOSA DA COSTA 036***.***-** 6 DEFERIDO
LIELSON NASCIMENTO DOS SANTOS 019***.***-** 1 INDEFERIDO
CANDIDATO (A) NÃO APRESENTOU DOCUMETAÇÃO EXIGIDA. O candidato não
apresentou declaração expedida pelo GDH que comprove recebimento de
beneficio de Programa Social de complementação ou suplementação de renda
do GDH.(Prato Cheio e IDF social).
REGINA CELIA CARNEIRO DOS SANTOS 771***.***-** 1 DEFERIDO
REGINA CELIA CARNEIRO DOS SANTOS 771***.***-** 8 DEFERIDO
ADRIANA VIRGULINO DOS SANTOS 822***.***-** 7 INDEFERIDO
CANDIDATO (A) NÃO APRESENTOU DOCUMETAÇÃO EXIGIDA(Formulario
desatualizado). O candidato não apresentou certidão expedida pelo GDH que
comprove recebimento de beneficio de Programa Social de complementação ou
suplementação de renda do GDH.
KATIA SILVA DA FONSECA 786***.***-** 1 DEFERIDO
KATIA SILVA DA FONSECA 786***.***-** 2 DEFERIDO
PALOMA OLIVEIRA DA SILVA LISBOA 029***.***-** 2 INDEFERIDO
CANDIDATO (A) NÃO APRESENTOU DOCUMETAÇÃO EXIGIDA. O candidato não
apresentou declaração expedida pelo GDH que comprove recebimento de
beneficio de Programa Social de complementação ou suplementação de renda
do GDH.(Prato Cheio e IDF social).
RUANE CARLA DOS SANTOS 044***.***-** 1 INDEFERIDO
CANDIDATO (A) NÃO APRESENTOU DOCUMETAÇÃO EXIGIDA. O candidato não
apresentou documento comprobatório da isenção de acordo com a hipótese
escolhida (laudo Medico).
TATIANE NASCIMENTO DE SOUSA VIGILATO 023***.***-** 1 DEFERIDO
TATIANE NASCIMENTO DE SOUSA VIGILATO 023***.***-** 6 DEFERIDO
SILVANA DO SOCORRO MACHADO RODRIGUES 509***.***-** 1 DEFERIDO
YOHANE PENHA COSTA 018***.***-** 1 DEFERIDO
YOHANE PENHA COSTA 018***.***-** 3 DEFERIDO
HIRLANE CAROLINE BARBOSA ROCHA 054***.***-** 8 INDEFERIDO
CANDIDATO (A) NÃO APRESENTOU DOCUMETAÇÃO EXIGIDA. O candidato não
apresentou declaração expedida pelo GDH que comprove recebimento de
beneficio de Programa Social de complementação ou suplementação de renda
do GDH.(Prato Cheio e IDF social).
TAMIRES XAVIER DA SILVA 016***.***-** 8 INDEFERIDO
CANDIDATO (A) NÃO APRESENTOU DOCUMETAÇÃO EXIGIDA. O candidato não
apresentou declaração expedida pelo GDH que comprove recebimento de
beneficio de Programa Social de complementação ou suplementação de renda
do GDH.(Prato Cheio e IDF social).
EVERTON FERNANDES DE ARAUJO 053***.***-** 1 DEFERIDO
ROSAMARIA OLIVEIRA DOS SANTOS 013***.***-** 1 DEFERIDO
ROSAMARIA OLIVEIRA DOS SANTOS 013***.***-** 3 DEFERIDO
WELLINGTON OLIVEIRA SILVA 428***.***-** 1 DEFERIDO
LIDIA FRANCISCA DA SILVA 003***.***-** 8 INDEFERIDO CANDIDATO (A) NÃO APRESENTOU DOCUMENTAÇÃO EXIGIDA EM PDF.(RG)
MARIA DE JESUS PEREIRA COSTA 806***.***-** 3 DEFERIDO
DOUGLAS PIRES DE OLIVEIRA 005***.***-** 1 DEFERIDO
DOUGLAS PIRES DE OLIVEIRA 005***.***-** 2 DEFERIDO
STHEFANI CARDOSO DE ANDRADE SÁ 051***.***-** 1 INDEFERIDO
CANDIDATO (A) NÃO APRESENTOU DOCUMETAÇÃO EXIGIDA. O candidato não
apresentou declaração expedida pelo GDH que comprove recebimento de
beneficio de Programa Social de complementação ou suplementação de renda
do GDH.(Prato Cheio e IDF social).
LILIANE MIRANDA ROCHA 709***.***-** 7 INDEFERIDO
CANDIDATO (A) NÃO APRESENTOU DECLARAÇÃO EXPEDIDA PELO GDF QUE
COMPROVE RECEBIMENTO DE BENEFÍCIO DE PROGRAMA SOCIAL DE
COMPLEMENTAÇÃO OU SUPLEMENTAÇÃO DE RENDA DO GDF (PRATO CHEIO E
DF SOCIAL)
LILIANE MIRANDA ROCHA 709***.***-** 1 INDEFERIDO
CANDIDATO (A) NÃO APRESENTOU DECLARAÇÃO EXPEDIDA PELO GDF QUE
COMPROVE RECEBIMENTO DE BENEFÍCIO DE PROGRAMA SOCIAL DE
COMPLEMENTAÇÃO OU SUPLEMENTAÇÃO DE RENDA DO GDF (PRATO CHEIO E
DF SOCIAL)
IRANEIDE DA SILVA PIRES 016***.***-** 5 INDEFERIDO
CANDIDATO (A) NÃO APRESENTOU DECLARAÇÃO EXPEDIDA PELO GDF QUE
COMPROVE RECEBIMENTO DE BENEFÍCIO DE PROGRAMA SOCIAL DE
COMPLEMENTAÇÃO OU SUPLEMENTAÇÃO DE RENDA DO GDF (PRATO CHEIO E
DF SOCIAL)
MARINA RAISA CORREIA E CASTRO 043***.***-** 1 DEFERIDO
MARINA RAISA CORREIA E CASTRO 043***.***-** 8 INDEFERIDO
CANDIDATO (A) NÃO APRESENTOU DOCUMENTO DE FORMULÁRIO PARA O
OUTRO CARGO
JEFERSON SILVA DOS SANTOS 061***.***-** 7 INDEFERIDO CANDIDATO (A) NÃO APRESENTOU DOCUMENTAÇÃO EXIGIDA EM PDF
JOYCE LINHARES DA SILVA 060***.***-** 1 DEFERIDO
JOYCE LINHARES DA SILVA 060***.***-** 7 DEFERIDO
PEDRO DOMINGOS BUENO NETO 342***.***-** 2 INDEFERIDO
CANDIDATO (A) NÃO APRESENTOU DECLARAÇÃO EXPEDIDA PELO GDF QUE
COMPROVE RECEBIMENTO DE BENEFÍCIO DE PROGRAMA SOCIAL DE
COMPLEMENTAÇÃO OU SUPLEMENTAÇÃO DE RENDA DO GDF (PRATO CHEIO E
DF SOCIAL)
ELAINE DA SILVA BARBOSA 037***.***-** 1 INDEFERIDO
CANDIDATO (A) NÃO APRESENTOU DECLARAÇÃO EXPEDIDA PELO GDF QUE
COMPROVE RECEBIMENTO DE BENEFÍCIO DE PROGRAMA SOCIAL DE
COMPLEMENTAÇÃO OU SUPLEMENTAÇÃO DE RENDA DO GDF (PRATO CHEIO E
DF SOCIAL)
MATHEUS FELICIANO FIGUEIREDO 066***.***-** 1 DEFERIDO
KELLY CHRISTIANE DE ARAUJO LIMA 020***.***-** 1 DEFERIDO
KELLY CHRISTIANE DE ARAUJO LIMA 020***.***-** 4 DEFERIDO
PAULO MAURÍCIO DA SILVA FILHO 117***.***-** 1 DEFERIDO
REINALDO JOSÉ DA SILVA 004***.***-** 1 INDEFERIDO
CANDIDATO (A) NÃO APRESENTOU DOCUMENTO DE IDENTIFICAÇÃO E
FORMULÁRIO PARA PEDIDO DE ISENÇÃO ATUALIZADO
JESSICA KAROLINA FERNANDES FRANÇA 041***.***-** 1 INDEFERIDO
CANDIDATO (A) NÃO APRESENTOU DOCUMENTO DE IDENTIFICAÇÃO E
FORMULÁRIO PARA PEDIDO DE ISENÇÃO ATUALIZADO E A OPÇÃO ESCOLHIDA
JESSICA KAROLINA FERNANDES FRANÇA 041***.***-** 6 INDEFERIDO
CANDIDATO (A) NÃO APRESENTOU DOCUMENTO DE IDENTIFICAÇÃO E
FORMULÁRIO PARA PEDIDO DE ISENÇÃO ATUALIZADO E A OPÇÃO ESCOLHIDA
ALICE BORGES RODRIGUES TELES MENEZES 807***.***-** 6 INDEFERIDO
CANDIDATO (A) NÃO APRESENTOU DOCUMENTO DE IDENTIFICAÇÃO E
FORMULÁRIO PARA PEDIDO DE ISENÇÃO ATUALIZADO E A OPÇÃO ESCOLHIDA
FRANCISCO HILDO MARINHO MEDINA 061***.***-** 1 DEFERIDO
FRANCISCO HILDO MARINHO MEDINA 061***.***-** 8 DEFERIDO
ANGELA MARIA DA SILVA DOS SANTOS 018***.***-** INDEFERIDO
CANDIDATO (A) NÃO APRESENTOU DECLARAÇÃO EXPEDIDA PELO GDF QUE
COMPROVE RECEBIMENTO DE BENEFÍCIO DE PROGRAMA SOCIAL DE
COMPLEMENTAÇÃO OU SUPLEMENTAÇÃO DE RENDA DO GDF (PRATO CHEIO E
DF SOCIAL)
JAQUELINE NUNES DOS SANTOS 052***.***-** 1 INDEFERIDO
CANDIDATO (A) NÃO APRESENTOU DECLARAÇÃO EXPEDIDA PELO GDF QUE
COMPROVE RECEBIMENTO DE BENEFÍCIO DE PROGRAMA SOCIAL DE
COMPLEMENTAÇÃO OU SUPLEMENTAÇÃO DE RENDA DO GDF (PRATO CHEIO E
DF SOCIAL)
JAQUELINE NUNES DOS SANTOS ***.***-** 3 INDEFERIDO
CANDIDATO (A) NÃO APRESENTOU DECLARAÇÃO EXPEDIDA PELO GDF QUE
COMPROVE RECEBIMENTO DE BENEFÍCIO DE PROGRAMA SOCIAL DE
COMPLEMENTAÇÃO OU SUPLEMENTAÇÃO DE RENDA DO GDF (PRATO CHEIO E
DF SOCIAL)
TANIA MARIA SALES ARAUJO DE SOUSA 026***.***-** 1 INDEFERIDO
CANDIDATO (A) NÃO APRESENTOU DECLARAÇÃO EXPEDIDA PELO GDF QUE
COMPROVE RECEBIMENTO DE BENEFÍCIO DE PROGRAMA SOCIAL DE
COMPLEMENTAÇÃO OU SUPLEMENTAÇÃO DE RENDA DO GDF (PRATO CHEIO E
DF SOCIAL)
ÉRCIA XAVIER DE FARIA 606***.***-** 1 INDEFERIDO CANDIDATO (A) NÃO APRESENTOU DOCUMENTAÇÃO EXIGIDA RG
ELIVANIA BESSA DE CARVALHO 015***.***-** 1 INDEFERIDO
CANDIDATO (A) NÃO APRESENTOU DECLARAÇÃO EXPEDIDA PELO GDF QUE
COMPROVE RECEBIMENTO DE BENEFÍCIO DE PROGRAMA SOCIAL DE
COMPLEMENTAÇÃO OU SUPLEMENTAÇÃO DE RENDA DO GDF (PRATO CHEIO E
DF SOCIAL)
KEILA RIBEIRO DOS SANTOS 091***.***-** 1 INDEFERIDO CANDIDATO (A) NÃO APRESENTOU DOCUMENTAÇÃO EXIGIDA RG
MARIA RAIMUNDA RIBEIRO SEPULVEDA 033***.***-** 1 INDEFERIDO
CANDIDATO (A) NÃO APRESENTOU DECLARAÇÃO EXPEDIDA PELO GDF QUE
COMPROVE RECEBIMENTO DE BENEFÍCIO DE PROGRAMA SOCIAL DE
COMPLEMENTAÇÃO OU SUPLEMENTAÇÃO DE RENDA DO GDF (PRATO CHEIO E
DF SOCIAL)
MARIA RAIMUNDA RIBEIRO SEPULVEDA 033***.***-** 1 INDEFERIDO
CANDIDATO (A) NÃO APRESENTOU DECLARAÇÃO EXPEDIDA PELO GDF QUE
COMPROVE RECEBIMENTO DE BENEFÍCIO DE PROGRAMA SOCIAL DE
COMPLEMENTAÇÃO OU SUPLEMENTAÇÃO DE RENDA DO GDF (PRATO CHEIO E
DF SOCIAL)
DANIELLA VERÍSSIMO SANTOS DO NASCIMENTO 067***.***-** 1 DEFERIDO
DANIELLA VERÍSSIMO SANTOS DO NASCIMENTO 067***.***-** 8 DEFERIDO
JAQUELINE ARAUJO DA ANUNCIAÇÃO 942***.***-** 8
CANDIDATO (A) NÃO APRESENTOU DECLARAÇÃO EXPEDIDA PELO GDF QUE
COMPROVE RECEBIMENTO DE BENEFÍCIO DE PROGRAMA SOCIAL DE
COMPLEMENTAÇÃO OU SUPLEMENTAÇÃO DE RENDA DO GDF (PRATO CHEIO E
DF SOCIAL)
VITÓRIA AGUIAR NUNES 076***.***-** 1 INDEFERIDO
CANDIDATO (A) NÃO APRESENTOU DECLARAÇÃO EXPEDIDA PELO GDF QUE
COMPROVE RECEBIMENTO DE BENEFÍCIO DE PROGRAMA SOCIAL DE
COMPLEMENTAÇÃO OU SUPLEMENTAÇÃO DE RENDA DO GDF (PRATO CHEIO E
DF SOCIAL)
FERNANDA FLAVIA BASTOS DE SILVA 077***.***-** 2 INDEFERIDO
CANDIDATO (A) NÃO APRESENTOU DECLARAÇÃO EXPEDIDA PELO GDF QUE
COMPROVE RECEBIMENTO DE BENEFÍCIO DE PROGRAMA SOCIAL DE
COMPLEMENTAÇÃO OU SUPLEMENTAÇÃO DE RENDA DO GDF (PRATO CHEIO E
DF SOCIAL)
RAFAEL DE QUEIROZ TEOFILO 042***.***-** 1 DEFERIDO
ANALIA RIBEIRO DA SILVA 005***.***-** 8 DEFERIDO
SUELY CARNEIRO MATOS DOS SANTOS 610***.***-** 1 DEFERIDO
MARLUCI RODRIGUES EVANGELISTA 824***.***-** 1 INDEFERIDO
CANDIDATO (A) NÃO APRESENTOU DECLARAÇÃO EXPEDIDA PELO GDF QUE
COMPROVE RECEBIMENTO DE BENEFÍCIO DE PROGRAMA SOCIAL DE
COMPLEMENTAÇÃO OU SUPLEMENTAÇÃO DE RENDA DO GDF (PRATO CHEIO E
DF SOCIAL)
MARLUCI RODRIGUES EVANGELISTA 824***.***-** 8 INDEFERIDO
CANDIDATO (A) NÃO APRESENTOU DECLARAÇÃO EXPEDIDA PELO GDF QUE
COMPROVE RECEBIMENTO DE BENEFÍCIO DE PROGRAMA SOCIAL DE
COMPLEMENTAÇÃO OU SUPLEMENTAÇÃO DE RENDA DO GDF (PRATO CHEIO E
DF SOCIAL)
ANA CAROLINA DE MIRANDA MACIEL 695***.***-** 1 INDEFERIDO
CANDIDATO (A) NÃO APRESENTOU LAUDO MÉDICO COMPROBATÓRIO DA
ISENÇÃO DE
ACORDO COM A POSSIBILIDADE ESCOLHIDA (CAD. ÚNICO FEDERAL)
ROGERIO AMARAL DE SOUZA 784***.***-** 1 INDEFERIDO
CANDIDATO (A) NÃO APRESENTOU DECLARAÇÃO EXPEDIDA PELO GDF QUE
COMPROVE RECEBIMENTO DE BENEFÍCIO DE PROGRAMA SOCIAL DE
COMPLEMENTAÇÃO OU SUPLEMENTAÇÃO DE RENDA DO GDF (PRATO CHEIO E
DF SOCIAL)
LEDA CRISTINA ARAUJO CAMPOS 010***.***-** 2 INDEFERIDO
CANDIDATO (A) NÃO APRESENTOU DECLARAÇÃO EXPEDIDA PELO GDF QUE
COMPROVE RECEBIMENTO DE BENEFÍCIO DE PROGRAMA SOCIAL DE
COMPLEMENTAÇÃO OU SUPLEMENTAÇÃO DE RENDA DO GDF (PRATO CHEIO E
DF SOCIAL)
MAYARA HANYLE BENTO GOMES DA SILVA 035***.***-** 8 DEFERIDO
MAYARA HANYLE BENTO GOMES DA SILVA 035***.***-** 1 DEFERIDO
KARINA MARTIAS RIOS 834***.***-** 5 INDEFERIDO CANDIDATO (A) NÃO APRESENTOU DOCUMENTAÇÃO EXIGIDA RG
GRAZIELA DE FREITAS BARBOSA MOURA 086***.***-** 5 INDEFERIDO
CANDIDATO (A) NÃO APRESENTOU DECLARAÇÃO EXPEDIDA PELO GDF QUE
COMPROVE RECEBIMENTO DE BENEFÍCIO DE PROGRAMA SOCIAL DE
COMPLEMENTAÇÃO OU SUPLEMENTAÇÃO DE RENDA DO GDF (PRATO CHEIO E
DF SOCIAL)
NAYARA VIEIRA MARTINS ALVES 042***.***-** 6 INDEFERIDO
CANDIDATO (A) NÃO APRESENTOU DECLARAÇÃO EXPEDIDA PELO GDF QUE
COMPROVE RECEBIMENTO DE BENEFÍCIO DE PROGRAMA SOCIAL DE
COMPLEMENTAÇÃO OU SUPLEMENTAÇÃO DE RENDA DO GDF (PRATO CHEIO E
DF SOCIAL)
ANA CAROLINA GOMES DA SILVA 062***.***-** 6 INDEFERIDO
CANDIDATO (A) NÃO APRESENTOU DECLARAÇÃO EXPEDIDA PELO GDF QUE
COMPROVE RECEBIMENTO DE BENEFÍCIO DE PROGRAMA SOCIAL DE
COMPLEMENTAÇÃO OU SUPLEMENTAÇÃO DE RENDA DO GDF (PRATO CHEIO E
DF SOCIAL)
PATRICIA FERREIRA DA SILVA 867***.***-** 1 INDEFERIDO
CANDIDATO (A) NÃO APRESENTOU DECLARAÇÃO EXPEDIDA PELO GDF QUE
COMPROVE RECEBIMENTO DE BENEFÍCIO DE PROGRAMA SOCIAL DE
COMPLEMENTAÇÃO OU SUPLEMENTAÇÃO DE RENDA DO GDF (PRATO CHEIO E
DF SOCIAL)
JUCILENE BATISTA DA ROCHA PACHECO 016***.***-** 2 INDEFERIDO
CANDIDATO (A) NÃO APRESENTOU DECLARAÇÃO EXPEDIDA PELO GDF QUE
COMPROVE RECEBIMENTO DE BENEFÍCIO DE PROGRAMA SOCIAL DE
COMPLEMENTAÇÃO OU SUPLEMENTAÇÃO DE RENDA DO GDF (PRATO CHEIO E
DF SOCIAL)
LIDIA PEREIRA DA SILVA 004***.***-** 1 DEFERIDO
LIDIA PEREIRA DA SILVA 004***.***-** 3 DEFERIDO
GIOVANA FREITAS DE MOURA PEIXOTO COSTA 054***.***-** 5 INDEFERIDO
CANDIDATO (A) NÃO APRESENTOU DECLARAÇÃO EXPEDIDA PELO GDF QUE
COMPROVE RECEBIMENTO DE BENEFÍCIO DE PROGRAMA SOCIAL DE
COMPLEMENTAÇÃO OU SUPLEMENTAÇÃO DE RENDA DO GDF (PRATO CHEIO E
DF SOCIAL)
CLARA CAROLINA BARBOZA NONATO 005***.***-** 6 INDEFERIDO
CANDIDATO (A) NÃO APRESENTOU DECLARAÇÃO EXPEDIDA PELO GDF QUE
COMPROVE RECEBIMENTO DE BENEFÍCIO DE PROGRAMA SOCIAL DE
COMPLEMENTAÇÃO OU SUPLEMENTAÇÃO DE RENDA DO GDF (PRATO CHEIO E
DF SOCIAL)
ERILENE CRUZ ARAUJO 010***.***-** 7 INDEFERIDO
CANDIDATO (A) NÃO APRESENTOU DECLARAÇÃO EXPEDIDA PELO GDF QUE
COMPROVE RECEBIMENTO DE BENEFÍCIO DE PROGRAMA SOCIAL DE
COMPLEMENTAÇÃO OU SUPLEMENTAÇÃO DE RENDA DO GDF (PRATO CHEIO E
DF SOCIAL)
ERILENE CRUZ ARAUJO 010***.***-** 1 INDEFERIDO
CANDIDATO (A) NÃO APRESENTOU DECLARAÇÃO EXPEDIDA PELO GDF QUE
COMPROVE RECEBIMENTO DE BENEFÍCIO DE PROGRAMA SOCIAL DE
COMPLEMENTAÇÃO OU SUPLEMENTAÇÃO DE RENDA DO GDF (PRATO CHEIO E
DF SOCIAL)
ADILA REIS GOES MACHADO DE ALBUQUERQUE 025***.***-** 1 DEFERIDO
ANA CAROLINA CERQUEIRA DOS SANTOS 027***.***-** 2 INDEFERIDO
CANDIDATO (A) NÃO APRESENTOU DECLARAÇÃO EXPEDIDA PELO GDF QUE
COMPROVE RECEBIMENTO DE BENEFÍCIO DE PROGRAMA SOCIAL DE
COMPLEMENTAÇÃO OU SUPLEMENTAÇÃO DE RENDA DO GDF (PRATO CHEIO E
DF SOCIAL)
ANNE CAROLINE DE OLIVEIRA SILVA 045***.***-** 8 DEFERIDO
ANNE CAROLINE DE OLIVEIRA SILVA 045***.***-** 1 DEFERIDO
MARCELA SANTANA DA SILVA 012***.***-** 6 DEFERIDO
MARCELA SANTANA DA SILVA 012***.***-** 1 DEFERIDO
ANA SERGIA SOUSA BRAZ 009***.***-** 1 INDEFERIDO
CANDIDATO (A) NÃO APRESENTOU LAUDO MÉDICO COMPROBATÓRIO DA
ISENÇÃO DE
ACORDO COM A POSSIBILIDADE ESCOLHIDA (CAD. ÚNICO FEDERAL)
ANA SERGIA SOUSA BRAZ 009***.***-** 2 INDEFERIDO
CANDIDATO (A) NÃO APRESENTOU LAUDO MÉDICO COMPROBATÓRIO DA
ISENÇÃO DE
ACORDO COM A POSSIBILIDADE ESCOLHIDA (CAD. ÚNICO FEDERAL)
VITORIA DA SILVA DE ARAUJO 035***.***-** 1 DEFERIDO
MIRIAN RODRIGUES DOS SANTOS 786***.***-** 3 DEFERIDO
PEDRO HENRIQUE RODRIGUES SANCHES 001***.***-** 6 DEFERIDO
JADERSON GONÇALVES DA SILVA 010***.***-** 1 INDEFERIDO CANDIDATO (A) NÃO APRESENTOU DOCUMETAÇÃO EXIGIDA EM PDF
CHRISTIANE BATISTA PAULINO 818***.***-** 1 INDEFERIDO
CANDIDATO (A) NÃO APRESENTOU O FORMULÁRIO PARA PEDIDO DE ISENÇÃO
ATUALIZADO DISPONIVEL NA FUNATEC
LUIZ FERNADO SOARES DE SOUSA 034***.***-** 7 DEFERIDO
WILLER GONZAGA DA SILVA ***.***-** 1 INDEFERIDO CANDIDATO (A) NÃO APRESENTOU A DOCUMENTAÇÃO EXIGIDA
FRANCISCA DOS SANTOS MACHADO 013***.***-** INDEFERIDO
CANDIDATO (A) NÃO APRESENTOU LAUDO MÉDICO COMPROBATÓRIO DA
ISENÇÃO DE
ACORDO COM A POSSIBILIDADE ESCOLHIDA (CAD. ÚNICO FEDERAL)
ALISSÂNIA DE SOUSA PEREIRA 710***.***-** 7 INDEFERIDO CANDIDATO (A) NÃO APRESENTOU DOCUMENTAÇÃO EXIGIDA EM PDF
ALISSÂNIA DE SOUSA PEREIRA 710***.***-** 1 INDEFERIDO CANDIDATO (A) NÃO APRESENTOU DOCUMENTAÇÃO EXIGIDA EM PDF
YURI PALACIO MELLO 059***.***-** 1 DEFERIDO
CAMILA PINTO DA SILVA 042***.***-** 1 DEFERIDO
SIMONE PEREIRA DOS SANTOS BRITO 066***.***-** 1 DEFERIDO
MÁRCIA REJANE RODRIGUES MARQUES 881***.***-** 5 INDEFERIDO CANDIDATO (A) NÃO APRESENTOU DOCUMENTAÇÃO EXIGIDA RG
BRUNA COSTA SILVA 604***.***-** 1 INDEFERIDO CANDIDATO (A) NÃO APRESENTOU DOCUMENTAÇÃO EXIGIDA EM PDF
MAGNOLIA DA CRUZ SOUSA 927***.***-** 6 DEFERIDO
NEYDIANE SILVA DE ANUNCIAÇÃO 979***.***-** 1 DEFERIDO
MARIA FRANCISCA DA SILVA AGUIAR 030***.***-** 1 INDEFERIDO
CANDIDATO (A) NÃO APRESENTOU LAUDO MÉDICO COMPROBATÓRIO DA
ISENÇÃO DE
ACORDO COM A POSSIBILIDADE ESCOLHIDA (CAD. ÚNICO FEDERAL)
SILVIA ALVES FERREIRA DE CARVALHO 823***.***-** 7 DEFERIDO
RAFAELLA SALIBA NASCIMENTO VALENTE 697***.***-** 1 DEFERIDO
JESSIANE OLIVEIRA VIANA 001***.***-** 8 INDEFERIDO
CANDIDATO (A) NÃO APRESENTOU LAUDO MÉDICO COMPROBATÓRIO DA
ISENÇÃO DE
ACORDO COM A POSSIBILIDADE ESCOLHIDA (CAD. ÚNICO FEDERAL)
DHIEGO DA SILVA SANTANA 022***.***-** 1 DEFERIDO
DHIEGO DA SILVA SANTANA 022***.***-** 2 DEFERIDO
SIMONE DE LIMA PEREIRA 012***.***-** 3 INDEFERIDO CANDIDATO (A) NÃO APRESENTOU DOCUMENTAÇÃO EXIGIDA EM PDF
LUCIANA MARLLEY PEREIRA DE SOUZA COSTA 037***.***-** 1 DEFERIDO
RENATA FERNANDES BARROS 002***.***-** 8 INDEFERIDO
CANDIDATO (A) NÃO APRESENTOU LAUDO MÉDICO COMPROBATÓRIO DA
ISENÇÃO DE
ACORDO COM A POSSIBILIDADE ESCOLHIDA (CAD. ÚNICO FEDERAL)
WILLIAM ALMEIDA DOS SANTOS 012***.***-** 3 INDEFERIDO
CANDIDATO (A) NÃO APRESENTOU DECLARAÇÃO EXPEDIDA PELO GDF QUE
COMPROVE RECEBIMENTO DE BENEFÍCIO DE PROGRAMA SOCIAL DE
COMPLEMENTAÇÃO OU SUPLEMENTAÇÃO DE RENDA DO GDF (PRATO CHEIO E
DF SOCIAL)
JAQUELINE COSTA ALVES 895***.***-** 1 DEFERIDO
MICAELEN CAROLINE GOMES DA SILVA 068***.***-** 3 INDEFERIDO
CANDIDATO (A) NÃO APRESENTOU DECLARAÇÃO EXPEDIDA PELO GDF QUE
COMPROVE RECEBIMENTO DE BENEFÍCIO DE PROGRAMA SOCIAL DE
COMPLEMENTAÇÃO OU SUPLEMENTAÇÃO DE RENDA DO GDF (PRATO CHEIO E
DF SOCIAL)
MARIA DE FÁTIMA ARAUJO CORDEIRO 803***.***-** INDEFERIDO CANDIDATO (A) NÃO APRESENTOU DOCUMENTAÇÃO EXIGIDA
MAURO FRANCISCO BARBOSA COSTA 702***.***-** 1 INDEFERIDO CANDIDATO (A) NÃO APRESENTOU DOCUMENTAÇÃO EXIGIDA EM PDF
ALINE HENRIQUE DA SILVA 085***.***-** 1 DEFERIDO
PEDRO FELIPE FELIX QUIRINO 026***.***-** 1 DEFERIDO
ROGERIO ROSAS SILVA 553***.***-** 1 INDEFERIDO
CANDIDATO (A) NÃO APRESENTOU DECLARAÇÃO EXPEDIDA PELO GDF QUE
COMPROVE RECEBIMENTO DE BENEFÍCIO DE PROGRAMA SOCIAL DE
COMPLEMENTAÇÃO OU SUPLEMENTAÇÃO DE RENDA DO GDF (PRATO CHEIO E
DF SOCIAL)
ROGERIO ROSAS SILVA 553***.***-** 8 INDEFERIDO
CANDIDATO (A) NÃO APRESENTOU DECLARAÇÃO EXPEDIDA PELO GDF QUE
COMPROVE RECEBIMENTO DE BENEFÍCIO DE PROGRAMA SOCIAL DE
COMPLEMENTAÇÃO OU SUPLEMENTAÇÃO DE RENDA DO GDF (PRATO CHEIO E
DF SOCIAL)
NEIDE PEREIRA DOS SANTOS 783***.***-** 1 DEFERIDO
GISELI KELLY DE MELO OLIVEIRA 035***.***-** 8 DEFERIDO
VINICIUS GERMANO SOARES DA SILVA 077***.***-** INDEFERIDO
CANDIDATO (A) NÃO APRESENTOU DECLARAÇÃO EXPEDIDA PELO GDF QUE
COMPROVE RECEBIMENTO DE BENEFÍCIO DE PROGRAMA SOCIAL DE
COMPLEMENTAÇÃO OU SUPLEMENTAÇÃO DE RENDA DO GDF (PRATO CHEIO E
DF SOCIAL)
FERNANDO HENRIQUE SANTOS NASCIMENTO 013***.***-** 1 DEFERIDO
NICOLAS GOMES DE MIRANDA 086***.***-** 1 INDEFERIDO
CANDIDATO (A) NÃO APRESENTOU DECLARAÇÃO EXPEDIDA PELO GDF QUE
COMPROVE RECEBIMENTO DE BENEFÍCIO DE PROGRAMA SOCIAL DE
COMPLEMENTAÇÃO OU SUPLEMENTAÇÃO DE RENDA DO GDF (PRATO CHEIO E
DF SOCIAL)
ANTONIO CLEGIO DA SILVA 021***.***-** 8 DEFERIDO
JANAINA ALVES MARTINS ARAUJO 023***.***-** 5 INDEFERIDO
CANDIDATO (A) NÃO APRESENTOU DECLARAÇÃO EXPEDIDA PELO GDF QUE
COMPROVE RECEBIMENTO DE BENEFÍCIO DE PROGRAMA SOCIAL DE
COMPLEMENTAÇÃO OU SUPLEMENTAÇÃO DE RENDA DO GDF (PRATO CHEIO E
DF SOCIAL)
VANDA CAROLINA DIAS DOS SANTOS 056***.***-** 7 INDEFERIDO
CANDIDATO (A) NÃO APRESENTOU DECLARAÇÃO EXPEDIDA PELO GDF QUE
COMPROVE RECEBIMENTO DE BENEFÍCIO DE PROGRAMA SOCIAL DE
COMPLEMENTAÇÃO OU SUPLEMENTAÇÃO DE RENDA DO GDF (PRATO CHEIO E
DF SOCIAL)
MONALISA MARGARETH MODESTO 692***.***-** 1 INDEFERIDO
CANDIDATO (A) NÃO APRESENTOU DECLARAÇÃO EXPEDIDA PELO GDF QUE
COMPROVE RECEBIMENTO DE BENEFÍCIO DE PROGRAMA SOCIAL DE
COMPLEMENTAÇÃO OU SUPLEMENTAÇÃO DE RENDA DO GDF (PRATO CHEIO E
DF SOCIAL)
TAINARA COUTO SILVA 076***.***-** 1 INDEFERIDO
CANDIDATO (A) NÃO APRESENTOU DECLARAÇÃO EXPEDIDA PELO GDF QUE
COMPROVE RECEBIMENTO DE BENEFÍCIO DE PROGRAMA SOCIAL DE
COMPLEMENTAÇÃO OU SUPLEMENTAÇÃO DE RENDA DO GDF (PRATO CHEIO E
DF SOCIAL)
ANTONIO WELTON DA SILVA BEZERRA 984***.***-** 3 INDEFERIDO
CANDIDATO (A) NÃO APRESENTOU DECLARAÇÃO EXPEDIDA PELO GDF QUE
COMPROVE RECEBIMENTO DE BENEFÍCIO DE PROGRAMA SOCIAL DE
COMPLEMENTAÇÃO OU SUPLEMENTAÇÃO DE RENDA DO GDF (PRATO CHEIO E
DF SOCIAL)
FERNANDA CURCINO DANTAS 027***.***-** INDEFERIDO
CANDIDATO (A) NÃO APRESENTOU DECLARAÇÃO EXPEDIDA PELO GDF QUE
COMPROVE RECEBIMENTO DE BENEFÍCIO DE PROGRAMA SOCIAL DE
COMPLEMENTAÇÃO OU SUPLEMENTAÇÃO DE RENDA DO GDF (PRATO CHEIO E
DF SOCIAL)
RAFAEL CARVALHO RAMOS 022***.***-** 8 DEFERIDO
ADRIANA CRISTINA FERREIRA LEMOS 837***.***-** 1 INDEFERIDO CANDIDATO (A) NÃO APRESENTOU DOCUMENTAÇÃO EXIGIDA RG
HISMALEY VICTOR GOMES DA SILVA 052***.***-** 1 INDEFERIDO
CANDIDATO (A) NÃO APRESENTOU DECLARAÇÃO EXPEDIDA PELO GDF QUE
COMPROVE RECEBIMENTO DE BENEFÍCIO DE PROGRAMA SOCIAL DE
COMPLEMENTAÇÃO OU SUPLEMENTAÇÃO DE RENDA DO GDF (PRATO CHEIO E
DF SOCIAL)
HÁBNER DE LIMA SARDEIRO 034***.***-** 1 DEFERIDO
CLAUDIONEIDE ALVES DE SOUSA 059***.***-** 1 INDEFERIDO CANDIDATO (A) NÃO APRESENTOU DOCUMENTAÇÃO EXIGIDA RG
AILTON SALES DOS SANTOS 524***.***-** 1 DEFERIDO
AILTON FRANCISCO DE SOUZA 803***.***-** 6 INDEFERIDO CANDIDATO (A) NÃO APRESENTOU DOCUMENTAÇÃO EXIGIDAEM PDF ( RG)
RUTE CATARINA PEREIRA SILVA 010***.***-** 7 INDEFERIDO
CANDIDATO (A) NÃO APRESENTOU LAUDO MÉDICO COMPROBATÓRIO DA
ISENÇÃO DE
ACORDO COM A POSSIBILIDADE ESCOLHIDA (CAD. ÚNICO FEDERAL)
MARIA EDUARDA FERREIRA 086***.***-** 6 DEFERIDO
DAISE MALAQUIAS OLIVEIRA 066***.***-** 1 DEFERIDO
VERONEIDE PEREIRA DE SIQUEIRA 799***.***-** INDEFERIDO
CANDIDATO (A) NÃO APRESENTOU DECLARAÇÃO EXPEDIDA PELO GDF QUE
COMPROVE RECEBIMENTO DE BENEFÍCIO DE PROGRAMA SOCIAL DE
COMPLEMENTAÇÃO OU SUPLEMENTAÇÃO DE RENDA DO GDF (PRATO CHEIO E
DF SOCIAL)
ALINE DE SOUSA FERNANDES 034***.***-** 6 INDEFERIDO
CANDIDATO (A) NÃO APRESENTOU LAUDO MÉDICO COMPROBATÓRIO DA
ISENÇÃO DE
ACORDO COM A POSSIBILIDADE ESCOLHIDA (CAD. ÚNICO FEDERAL)
HÁBNER DE LIMA SARDEIRO 034***.***-** 6 DEFERIDO
ICLÉLIA RODRIGUES MARANHÃO 276***.***-** 1 DEFERIDO
ICLÉLIA RODRIGUES MARANHÃO 276***.***-** 8 DEFERIDO
JULIANA RODRIGUES CRUZ 015***.***-** 7 DEFERIDO
JULIANA RODRIGUES CRUZ 015***.***-** 1 DEFERIDO
VIVIANE FEITOSA DE OLIVEIRA 108***.***-** 1 DEFERIDO
STENISLÁVIA BORGES DE FARIAS ARAÚJO 002***.***-** 1 INDEFERIDO
CANDIDATO (A) NÃO APRESENTOU DECLARAÇÃO EXPEDIDA PELO GDF QUE
COMPROVE RECEBIMENTO DE BENEFÍCIO DE PROGRAMA SOCIAL DE
COMPLEMENTAÇÃO OU SUPLEMENTAÇÃO DE RENDA DO GDF (PRATO CHEIO E
DF SOCIAL)
JÉSSICA THAYNNE BEDA TOMAZ 030***.***-** 1 DEFERIDO
JÉSSICA THAYNNE BEDA TOMAZ 030***.***-** 3 DEFERIDO
ARLETE BARBOSA DE BRITO 611***.***-** 1 DEFERIDO
NAYARA PAULINO RATSBONE VARGAS 038***.***-** 1 INDEFERIDO CANDIDATO (A) NÃO APRESENTOU DOCUMENTAÇÃO EXIGIDA EM PDF
LUCIANE DE BARROS 014***.***-** 6 INDEFERIDO
CANDIDATO (A) NÃO APRESENTOU DECLARAÇÃO EXPEDIDA PELO GDF QUE
COMPROVE RECEBIMENTO DE BENEFÍCIO DE PROGRAMA SOCIAL DE
COMPLEMENTAÇÃO OU SUPLEMENTAÇÃO DE RENDA DO GDF (PRATO CHEIO E
DF SOCIAL)
ANDREIA PIRES SALES 063***.***-** 1 INDEFERIDO
CANDIDATO (A) NÃO APRESENTOU DECLARAÇÃO EXPEDIDA PELO GDF QUE
COMPROVE RECEBIMENTO DE BENEFÍCIO DE PROGRAMA SOCIAL DE
COMPLEMENTAÇÃO OU SUPLEMENTAÇÃO DE RENDA DO GDF (PRATO CHEIO E
DF SOCIAL)
ANDREIA PIRES SALES 063***.***-** 3 INDEFERIDO
CANDIDATO (A) NÃO APRESENTOU DECLARAÇÃO EXPEDIDA PELO GDF QUE
COMPROVE RECEBIMENTO DE BENEFÍCIO DE PROGRAMA SOCIAL DE
COMPLEMENTAÇÃO OU SUPLEMENTAÇÃO DE RENDA DO GDF (PRATO CHEIO E
DF SOCIAL)
ALEX BASTOS E SILVA 710***.***-** 1 DEFERIDO
ALEX BASTOS E SILVA 710***.***-** 6 DEFERIDO
DANIELLA MARTINS DA SILVA 700***.***-** 1 DEFERIDO
GIOVANNY DE MOURA SIQUEIRA 036***.***-** 1 INDEFERIDO
CANDIDATO (A) NÃO APRESENTOU DECLARAÇÃO EXPEDIDA PELO GDF QUE
COMPROVE RECEBIMENTO DE BENEFÍCIO DE PROGRAMA SOCIAL DE
COMPLEMENTAÇÃO OU SUPLEMENTAÇÃO DE RENDA DO GDF (PRATO CHEIO E
DF SOCIAL)
NOEMIA BEZERRA DE AGUIAR 848***.***-** 1 INDEFERIDO CANDIDATO (A) NÃO APRESENTOU DOCUMENTAÇÃO EXIGIDA EM PDF
JOAB SANTOS DA CONCEICAO 040***.***-** 1 DEFERIDO
JOAB SANTOS DA CONCEICAO 040***.***-** 4 DEFERIDO
JOACI FERREIRA ALVES 610***.***-** 1 DEFERIDO
RAYANE BARBOSA DE FARIA 026***.***-** 1 DEFERIDO
MARIA ELISA BASTOS LIMA 408***.***-** 8 INDEFERIDO
CANDIDATO (A) NÃO APRESENTOU DECLARAÇÃO EXPEDIDA PELO GDF QUE
COMPROVE RECEBIMENTO DE BENEFÍCIO DE PROGRAMA SOCIAL DE
COMPLEMENTAÇÃO OU SUPLEMENTAÇÃO DE RENDA DO GDF (PRATO CHEIO E
DF SOCIAL)
LEONIDAS VICENTE CAVALCANTE 071***.***-** 1 DEFERIDO
RODOLFO NASCIMENTO CAVALCANTE 037***.***-** 1 DEFERIDO
MIRIELLY MARTINA MOURA SILVA 043***.***-** 1 INDEFERIDO
CANDIDATO (A) NÃO APRESENTOU DECLARAÇÃO EXPEDIDA PELO GDF QUE
COMPROVE RECEBIMENTO DE BENEFÍCIO DE PROGRAMA SOCIAL DE
COMPLEMENTAÇÃO OU SUPLEMENTAÇÃO DE RENDA DO GDF (PRATO CHEIO E
DF SOCIAL)
ELAINE ALVES PINHEIRO 710***.***-** 5 DEFERIDO
MICHELLE DE CASTRO NUNES 056***.***-** 1 DEFERIDO
JULIANA DANTAS PINTO 009***.***-** 1 DEFERIDO
JULIANA DANTAS PINTO 009***.***-** 7 DEFERIDO
ROGÉRIO SENA CORADO 724***.***-** 1 DEFERIDO
ROGÉRIO SENA CORADO 724***.***-** 2 DEFERIDO
RAFAEL ANTUNES PEREIRA 049***.***-** 1 DEFERIDO
RAFAEL ANTUNES PEREIRA 049***.***-** 5 DEFERIDO
JULIANA BORGES DE LIMA 068***.***-** 1 INDEFERIDO
CANDIDATO (A) NÃO APRESENTOU LAUDO MÉDICO COMPROBATÓRIO DA
ISENÇÃO DE
ACORDO COM A POSSIBILIDADE ESCOLHIDA (CAD. ÚNICO FEDERAL)
ROSILDA DA SILVA CAMPOS 619***.***-** 7 INDEFERIDO
CANDIDATO (A) NÃO APRESENTOU DECLARAÇÃO EXPEDIDA PELO GDF QUE
COMPROVE RECEBIMENTO DE BENEFÍCIO DE PROGRAMA SOCIAL DE
COMPLEMENTAÇÃO OU SUPLEMENTAÇÃO DE RENDA DO GDF (PRATO CHEIO E
DF SOCIAL)
GABRIEL QUARESMA DA CRUZ 043***.***-** 1 INDEFERIDO
CANDIDATO (A) NÃO APRESENTOU LAUDO MÉDICO COMPROBATÓRIO DA
ISENÇÃO DE
ACORDO COM A POSSIBILIDADE ESCOLHIDA (CAD. ÚNICO FEDERAL)
RUAN FELIPE CARVALHO DA SILVA 042***.***-** 1 INDEFERIDO
CANDIDATO (A) NÃO APRESENTOU LAUDO MÉDICO COMPROBATÓRIO DA
ISENÇÃO DE
ACORDO COM A POSSIBILIDADE ESCOLHIDA (CAD. ÚNICO FEDERAL)
RUAN FELIPE CARVALHO DA SILVA 042***.***-** 2 INDEFERIDO
CANDIDATO (A) NÃO APRESENTOU LAUDO MÉDICO COMPROBATÓRIO DA
ISENÇÃO DE
ACORDO COM A POSSIBILIDADE ESCOLHIDA (CAD. ÚNICO FEDERAL)
RAYLANE RUTH DE SOUSA BARRETO 055***.***-** 6 DEFERIDO
RAYLANE RUTH DE SOUSA BARRETO 055***.***-** 1 DEFERIDO
MARCELO NASCIMENTO ROCHA 140***.***-** 4 DEFERIDO
KELLY BARBOSA SOUZA 011***.***-** 5 INDEFERIDO
CANDIDATO (A) NÃO APRESENTOU DECLARAÇÃO EXPEDIDA PELO GDF QUE
COMPROVE RECEBIMENTO DE BENEFÍCIO DE PROGRAMA SOCIAL DE
COMPLEMENTAÇÃO OU SUPLEMENTAÇÃO DE RENDA DO GDF (PRATO CHEIO E
DF SOCIAL)
DAVID FRANCISCO DE CARVALHO NETO 033***.***-** 1 DEFERIDO
ALCIONEIDE OLIVEIRA LINO 022***.***-** 1 INDEFERIDO
CANDIDATO (A) NÃO APRESENTOU LAUDO MÉDICO COMPROBATÓRIO DA
ISENÇÃO DE
ACORDO COM A POSSIBILIDADE ESCOLHIDA (CAD. ÚNICO FEDERAL)
FRANCISCO DOUGLAS SARAIVA LEANDRO 027***.***-** 3 INDEFERIDO CANDIDATO (A) NÃO APRESENTOU DOCUMENTAÇÃO EXIGIDA EM PDF
ANA LUCIA FERREIRA ALVES 017***.***-** 1 INDEFERIDO
CANDIDATO (A) NÃO APRESENTOU LAUDO MÉDICO COMPROBATÓRIO DA
ISENÇÃO DE
ACORDO COM A POSSIBILIDADE ESCOLHIDA (CAD. ÚNICO FEDERAL)
EUSLÂNIA ADRIELE SOUSA DA SILVA 049***.***-** 2 INDEFERIDO
CANDIDATO (A) NÃO APRESENTOU DECLARAÇÃO EXPEDIDA PELO GDF QUE
COMPROVE RECEBIMENTO DE BENEFÍCIO DE PROGRAMA SOCIAL DE
COMPLEMENTAÇÃO OU SUPLEMENTAÇÃO DE RENDA DO GDF (PRATO CHEIO E
DF SOCIAL)
EDNA DA CONCEIçAO SILVA 095***.***-** 1 DEFERIDO
EDNA DA CONCEIçAO SILVA 095***.***-** 8 DEFERIDO
HERCULES DUAILIBE BARREIRA 516***.***-** 2 INDEFERIDO CANDIDATO (A) NÃO APRESENTOU DOCUMENTAÇÃO EXIGIDAEM PDF ( RG)
HELOIZA OLIEIRA MELO 931***.***-** INDEFERIDO CANDIDATO (A) NÃO APRESENTOU O FORMULÁRIO ATUALIZADO
FERNANDO DE OLIVEIRA SAMPAIO 006***.***-** 1 INDEFERIDO
CANDIDATO (A) NÃO APRESENTOU LAUDO MÉDICO COMPROBATÓRIO DA
ISENÇÃO DE
ACORDO COM A POSSIBILIDADE ESCOLHIDA (CAD. ÚNICO FEDERAL)
FERNANDO DE OLIVEIRA SAMPAIO 006***.***-** 8 INDEFERIDO
CANDIDATO (A) NÃO APRESENTOU LAUDO MÉDICO COMPROBATÓRIO DA
ISENÇÃO DE
ACORDO COM A POSSIBILIDADE ESCOLHIDA (CAD. ÚNICO FEDERAL)
KEREN HAPUK GUIMARAES CARVALHO 700***.***-** 1 DEFERIDO
LIGIANE OLIVEIRA DE SOUSA 029***.***-** 1 INDEFERIDO CANDIDATO (A) NÃO APRESENTOU DOCUMENTAÇÃO EXIGIDA EM PDF
RENATA CARVALHO DE ARAUJO 013***.***-** 1 INDEFERIDO
CANDIDATO (A) NÃO APRESENTOU DECLARAÇÃO EXPEDIDA PELO GDF QUE
COMPROVE RECEBIMENTO DE BENEFÍCIO DE PROGRAMA SOCIAL DE
COMPLEMENTAÇÃO OU SUPLEMENTAÇÃO DE RENDA DO GDF (PRATO CHEIO E
DF SOCIAL)
RENATA CARVALHO DE ARAUJO 013***.***-** 2 INDEFERIDO
CANDIDATO (A) NÃO APRESENTOU DECLARAÇÃO EXPEDIDA PELO GDF QUE
COMPROVE RECEBIMENTO DE BENEFÍCIO DE PROGRAMA SOCIAL DE
COMPLEMENTAÇÃO OU SUPLEMENTAÇÃO DE RENDA DO GDF (PRATO CHEIO E
DF SOCIAL)
SUZANA LIMA DE SOUSA 027***.***-** 2 INDEFERIDO CANDIDATO (A) NÃO APRESENTOU O FORMULÁRIO ATUALIZADO
GUSTAVO ADAO PINTO RODRIGUES 466***.***-** 2 INDEFERIDO
CANDIDATO (A) NÃO APRESENTOU DECLARAÇÃO EXPEDIDA PELO GDF QUE
COMPROVE RECEBIMENTO DE BENEFÍCIO DE PROGRAMA SOCIAL DE
COMPLEMENTAÇÃO OU SUPLEMENTAÇÃO DE RENDA DO GDF (PRATO CHEIO E
DF SOCIAL)
DANIEL GONÇALVES PEREIRA 041***.***-** 1 DEFERIDO
HERCULES DUAILIBE BARREIRA 516***.***-** 1 INDEFERIDO
CANDIDATO (A) NÃO APRESENTOU LAUDO MÉDICO COMPROBATÓRIO DA
ISENÇÃO DE
ACORDO COM A POSSIBILIDADE ESCOLHIDA (CAD. ÚNICO FEDERAL)
BHRENDA BENEVIDES DA SILVA 050***.***-** 1 INDEFERIDO
CANDIDATO (A) NÃO APRESENTOU LAUDO MÉDICO COMPROBATÓRIO DA
ISENÇÃO DE
ACORDO COM A POSSIBILIDADE ESCOLHIDA (CAD. ÚNICO FEDERAL)
BHRENDA BENEVIDES DA SILVA 050***.***-** 2 INDEFERIDO
CANDIDATO (A) NÃO APRESENTOU LAUDO MÉDICO COMPROBATÓRIO DA
ISENÇÃO DE
ACORDO COM A POSSIBILIDADE ESCOLHIDA (CAD. ÚNICO FEDERAL)
ÉRICSON DE SOUZA CUSTODIO QUEIRÓZ 072***.***-** 1 INDEFERIDO
CANDIDATO (A) NÃO APRESENTOU LAUDO MÉDICO COMPROBATÓRIO DA
ISENÇÃO DE
ACORDO COM A POSSIBILIDADE ESCOLHIDA (CAD. ÚNICO FEDERAL)
DANIEL OLIVEIRA DA SILVA 360***.***-** INDEFERIDO CANDIDATO (A) NÃO APRESENTOU O FORMULÁRIO ATUALIZADO
LUCÉLIA SOUSA DA SILVA 062***.***-** 7 DEFERIDO
LUCÉLIA SOUSA DA SILVA 062***.***-** 1 DEFERIDO
MARCIO SENA MAGALHAES 054***.***-** 4 DEFERIDO
ANNA PAULA OLIVEIRA SILVA 030***.***-** 1 INDEFERIDO CANDIDATO (A) NÃO APRESENTOU O FORMULÁRIO ATUALIZADO
VIVANE APARECIDA PEREIRA MACIEL NASCIMENTO 089***.***-** 7 INDEFERIDO CANDIDATO (A) NÃO APRESENTOU DOCUMENTAÇÃO EXIGIDA EM PDF
ARYANE KELLE SILVA FARIA 021***.***-** 1 DEFERIDO
CAMILA PEREIRA DA SILVA 056***.***-** 8 DEFERIDO
BRUNO ALMEIDA SANTANA 012***.***-** 1 DEFERIDO
FABIANNE OLIVEIRA MORAIS 027***.***-** INDEFERIDO CANDIDATO (A) NÃO APRESENTOU O FORMULÁRIO ATUALIZADO
BRUNO YAMAGUTI DE CASTRO 727***.***-** 1 INDEFERIDO
CANDIDATO (A) NÃO APRESENTOU DECLARAÇÃO EXPEDIDA PELO GDF QUE
COMPROVE RECEBIMENTO DE BENEFÍCIO DE PROGRAMA SOCIAL DE
COMPLEMENTAÇÃO OU SUPLEMENTAÇÃO DE RENDA DO GDF (PRATO CHEIO E
DF SOCIAL)
FABIO SANTOS NERY 041***.***-** 6 INDEFERIDO
CANDIDATO (A) NÃO APRESENTOU DECLARAÇÃO EXPEDIDA PELO GDF QUE
COMPROVE RECEBIMENTO DE BENEFÍCIO DE PROGRAMA SOCIAL DE
COMPLEMENTAÇÃO OU SUPLEMENTAÇÃO DE RENDA DO GDF (PRATO CHEIO E
DF SOCIAL)
JANCINETE DE JESUS MARINHO 821***.***-** INDEFERIDO CANDIDATO (A) NÃO APRESENTOU DOCUMENTAÇÃO EXIGIDA EM PDF
JÉSSICA LUIZA DOS SANTOS MATOS 036***.***-** 1 INDEFERIDO CANDIDATO (A) NÃO APRESENTOU O FORMULÁRIO ATUALIZADO
AMANDA CECILIA GUEDES YAMAGUTI 026***.***-** 1 INDEFERIDO
CANDIDATO (A) NÃO APRESENTOU DECLARAÇÃO EXPEDIDA PELO GDF QUE
COMPROVE RECEBIMENTO DE BENEFÍCIO DE PROGRAMA SOCIAL DE
COMPLEMENTAÇÃO OU SUPLEMENTAÇÃO DE RENDA DO GDF (PRATO CHEIO E
DF SOCIAL)
ANGEL LOBATO DA SILVA 077***.***-** 6 INDEFERIDO
CANDIDATO (A) NÃO APRESENTOU DECLARAÇÃO EXPEDIDA PELO GDF QUE
COMPROVE RECEBIMENTO DE BENEFÍCIO DE PROGRAMA SOCIAL DE
COMPLEMENTAÇÃO OU SUPLEMENTAÇÃO DE RENDA DO GDF (PRATO CHEIO E
DF SOCIAL)
CARLOS LEITE DE BARROS 049***.***-** 1 INDEFERIDO
CANDIDATO (A) NÃO APRESENTOU DECLARAÇÃO EXPEDIDA PELO GDF QUE
COMPROVE RECEBIMENTO DE BENEFÍCIO DE PROGRAMA SOCIAL DE
COMPLEMENTAÇÃO OU SUPLEMENTAÇÃO DE RENDA DO GDF (PRATO CHEIO E
DF SOCIAL)
THAIANE PEREIRA RIBEIRO 734***.***-** INDEFERIDO
CANDIDATO (A) NÃO APRESENTOU LAUDO MÉDICO COMPROBATÓRIO DA
ISENÇÃO DE
ACORDO COM A POSSIBILIDADE ESCOLHIDA (CAD. ÚNICO FEDERAL)
KAMILA ALVES DA SILVA 023***.***-** 1 INDEFERIDO
CANDIDATO (A) NÃO APRESENTOU DECLARAÇÃO EXPEDIDA PELO GDF QUE
COMPROVE RECEBIMENTO DE BENEFÍCIO DE PROGRAMA SOCIAL DE
COMPLEMENTAÇÃO OU SUPLEMENTAÇÃO DE RENDA DO GDF (PRATO CHEIO E
DF SOCIAL)
KAMILA ALVES DA SILVA 023***.***-** 7 INDEFERIDO
CANDIDATO (A) NÃO APRESENTOU DECLARAÇÃO EXPEDIDA PELO GDF QUE
COMPROVE RECEBIMENTO DE BENEFÍCIO DE PROGRAMA SOCIAL DE
COMPLEMENTAÇÃO OU SUPLEMENTAÇÃO DE RENDA DO GDF (PRATO CHEIO E
DF SOCIAL)
LAILTON DE ABREU COSTA ***.***-** INDEFERIDO
CANDIDATO (A) NÃO APRESENTOU DOCUMENTAÇÃO EXIGIDA ( NENHUMA
DOCUMENTAÇÃO )
VINICIUS PEREIRA FONSECA ***.***-** 1 INDEFERIDO
CANDIDATO (A) NÃO APRESENTOU DECLARAÇÃO EXPEDIDA PELO GDF QUE
COMPROVE RECEBIMENTO DE BENEFÍCIO DE PROGRAMA SOCIAL DE
COMPLEMENTAÇÃO OU SUPLEMENTAÇÃO DE RENDA DO GDF (PRATO CHEIO E
DF SOCIAL)
ISABELA DOS SANTOS SANTANA 004***.***-** 1 INDEFERIDO
CANDIDATO (A) NÃO APRESENTOU DECLARAÇÃO EXPEDIDA PELO GDF QUE
COMPROVE RECEBIMENTO DE BENEFÍCIO DE PROGRAMA SOCIAL DE
COMPLEMENTAÇÃO OU SUPLEMENTAÇÃO DE RENDA DO GDF (PRATO CHEIO E
DF SOCIAL)
SUZANA DOS SANTOS SILVA 069***.***-** 6 DEFERIDO
DALVINA CAMPOS BRAGA 076***.***-** 1 INDEFERIDO
CANDIDATO (A) NÃO APRESENTOU DECLARAÇÃO EXPEDIDA PELO GDF QUE
COMPROVE RECEBIMENTO DE BENEFÍCIO DE PROGRAMA SOCIAL DE
COMPLEMENTAÇÃO OU SUPLEMENTAÇÃO DE RENDA DO GDF (PRATO CHEIO E
DF SOCIAL)
DALVINA CAMPOS BRAGA 076***.***-** 6 INDEFERIDO
CANDIDATO (A) NÃO APRESENTOU DECLARAÇÃO EXPEDIDA PELO GDF QUE
COMPROVE RECEBIMENTO DE BENEFÍCIO DE PROGRAMA SOCIAL DE
COMPLEMENTAÇÃO OU SUPLEMENTAÇÃO DE RENDA DO GDF (PRATO CHEIO E
DF SOCIAL)
ANA PRISCILA DA SILVA 987***.***-** 5 DEFERIDO
PEDRO GABRIEL RODRIGUES DE ALMEIDA ALARCÃO 058***.***-** 2 INDEFERIDO
CANDIDATO (A) NÃO APRESENTOU DECLARAÇÃO EXPEDIDA PELO GDF QUE
COMPROVE RECEBIMENTO DE BENEFÍCIO DE PROGRAMA SOCIAL DE
COMPLEMENTAÇÃO OU SUPLEMENTAÇÃO DE RENDA DO GDF (PRATO CHEIO E
DF SOCIAL)
ADEMILSON CALDEIRA DE MOURA 641***.***-** 1 INDEFERIDO
CANDIDATO (A) NÃO APRESENTOU LAUDO MÉDICO COMPROBATÓRIO DA
ISENÇÃO DE
ACORDO COM A POSSIBILIDADE ESCOLHIDA (CAD. ÚNICO FEDERAL)
TAIS MARIA DE SOUSA 041***.***-** 6 INDEFERIDO
CANDIDATO (A) NÃO APRESENTOU LAUDO MÉDICO COMPROBATÓRIO DA
ISENÇÃO DE
ACORDO COM A POSSIBILIDADE ESCOLHIDA (CAD. ÚNICO FEDERAL)
TAIS MARIA DE SOUSA 041***.***-** 1 INDEFERIDO
CANDIDATO (A) NÃO APRESENTOU LAUDO MÉDICO COMPROBATÓRIO DA
ISENÇÃO DE
ACORDO COM A POSSIBILIDADE ESCOLHIDA (CAD. ÚNICO FEDERAL)
ANDRESSA AMORIM DE AQUINO 047***.***-** 1 DEFERIDO
ESTHEFANY PEREIRA SOARES 047***.***-** 2 DEFERIDO
YASMIN SANTANA DOS SANTOS ***.***-** INDEFERIDO
CANDIDATO (A) NÃO APRESENTOU DOCUMENTAÇÃO EXIGIDA ( NENHUMA
DOCUMENTAÇÃO )
CARLA ABADIA DA SILVA MELO LOPES 059***.***-** 1 INDEFERIDO CANDIDATO (A) NÃO APRESENTOU DOCUMENTAÇÃO EXIGIDA EM PDF
CRISTINEI CALDEIRA DE SOUZA 811***.***-** 1 DEFERIDO
BRAYNER MAXIMO DE SOUZA 822***.***-** 1 DEFERIDO
EBERSON AMARAL GONÇALVES 047***.***-** 1 DEFERIDO
EBERSON AMARAL GONÇALVES 047***.***-** 7 DEFERIDO
ALESSANDRA DE SÁ FARIAS 874***.***-** 8 INDEFERIDO
CANDIDATO (A) NÃO APRESENTOU LAUDO MÉDICO COMPROBATÓRIO DA
ISENÇÃO DE
ACORDO COM A POSSIBILIDADE ESCOLHIDA (CAD. ÚNICO FEDERAL)
JÉSSICA BARBOSA ROCHA 043***.***-** 8 DEFERIDO
JÉSSICA BARBOSA ROCHA 043***.***-** 1 DEFERIDO
RAYANE DA SILVA ALMEIDA 048***.***-** 2 INDEFERIDO
CANDIDATO (A) NÃO APRESENTOU DECLARAÇÃO EXPEDIDA PELO GDF QUE
COMPROVE RECEBIMENTO DE BENEFÍCIO DE PROGRAMA SOCIAL DE
COMPLEMENTAÇÃO OU SUPLEMENTAÇÃO DE RENDA DO GDF (PRATO CHEIO E
DF SOCIAL)
MATHEUS DE ARAUJO TAVEIRA 064***.***-** 1 DEFERIDO
VANESSA MOTA 005***.***-** 1 INDEFERIDO CANDIDATO (A) NÃO APRESENTOU DOCUMENTAÇÃO EXIGIDA EM PDF ( RG)
RAFAELA SOARES JAMBEIRO DE OLIVEIRA 044***.***-** 1 INDEFERIDO
CANDIDATO (A) NÃO APRESENTOU LAUDO MÉDICO COMPROBATÓRIO DA
ISENÇÃO DE
ACORDO COM A POSSIBILIDADE ESCOLHIDA (CAD. ÚNICO FEDERAL)
ARLENE DE JESUS SOUZA PEREIRA 039***.***-** 6 INDEFERIDO
CANDIDATO (A) NÃO APRESENTOU LAUDO MÉDICO COMPROBATÓRIO DA
ISENÇÃO DE
ACORDO COM A POSSIBILIDADE ESCOLHIDA (CAD. ÚNICO FEDERAL)
HELEN GRASIELY DIAS SANTOS 016***.***-** 1 INDEFERIDO
CANDIDATO (A) NÃO APRESENTOU DECLARAÇÃO EXPEDIDA PELO GDF QUE
COMPROVE RECEBIMENTO DE BENEFÍCIO DE PROGRAMA SOCIAL DE
COMPLEMENTAÇÃO OU SUPLEMENTAÇÃO DE RENDA DO GDF (PRATO CHEIO E
DF SOCIAL)
YONARA KARINE RODRIGUES DA SILVA 054***.***-** 1 INDEFERIDO
CANDIDATO (A) NÃO APRESENTOU DOCUMENTAÇÃO EXIGIDA EM PDF (
CARTERINHA DE DOADOR DE MEDULA ÓSSEA OU A DECLARAÇÃO )
YONARA KARINE RODRIGUES DA SILVA 054***.***-** 7 INDEFERIDO
CANDIDATO (A) NÃO APRESENTOU DOCUMENTAÇÃO EXIGIDA EM PDF (
CARTERINHA DE DOADOR DE MEDULA ÓSSEA OU A DECLARAÇÃO )
SILVIA JOSE PEREIRA SANTOS MESQUITA 818***.***-** 1 INDEFERIDO
CANDIDATO (A) NÃO APRESENTOU DECLARAÇÃO EXPEDIDA PELO GDF QUE
COMPROVE RECEBIMENTO DE BENEFÍCIO DE PROGRAMA SOCIAL DE
COMPLEMENTAÇÃO OU SUPLEMENTAÇÃO DE RENDA DO GDF (PRATO CHEIO E
DF SOCIAL)
FERNANDO DE OLIVEIRA SAMPAIO 006***.***-** 1 INDEFERIDO
CANDIDATO (A) NÃO APRESENTOU DECLARAÇÃO EXPEDIDA PELO GDF QUE
COMPROVE RECEBIMENTO DE BENEFÍCIO DE PROGRAMA SOCIAL DE
COMPLEMENTAÇÃO OU SUPLEMENTAÇÃO DE RENDA DO GDF (PRATO CHEIO E
DF SOCIAL)
ALEXIA SANDREANNY PEREIRA DA SILVA 063***.***-** 1 DEFERIDO
DANIEL LIMA 938***.***-** 1 INDEFERIDO CANDIDATO (A) NÃO APRESENTOU DOCUMENTAÇÃO EXIGIDA ( RG)
HERBERTH WARLEY ARAUJO CARDOSO 069***.***-** 1 INDEFERIDO
CANDIDATO (A) NÃO APRESENTOU LAUDO MÉDICO COMPROBATÓRIO DA
ISENÇÃO DE
ACORDO COM A POSSIBILIDADE ESCOLHIDA (CAD. ÚNICO FEDERAL)
HERBERTH WARLEY ARAUJO CARDOSO 069***.***-** 7 INDEFERIDO
CANDIDATO (A) NÃO APRESENTOU LAUDO MÉDICO COMPROBATÓRIO DA
ISENÇÃO DE
ACORDO COM A POSSIBILIDADE ESCOLHIDA (CAD. ÚNICO FEDERAL)
FRANCISCO DANIARLE GOMES 035***.***-** INDEFERIDO CANDIDATO (A) NÃO APRESENTOU DOCUMENTAÇÃO EXIGIDA EM PDF
KETLE PEREIRA DE SOUZA 023***.***-** 1 INDEFERIDO
CANDIDATO (A) NÃO APRESENTOU LAUDO MÉDICO COMPROBATÓRIO DA
ISENÇÃO DE
ACORDO COM A POSSIBILIDADE ESCOLHIDA (CAD. ÚNICO FEDERAL)
KATILEN BATISTA DE SOUSA 037***.***-** 5 DEFERIDO
ROSIANE FERREIRA DA COSTA 812***.***-** 1 DEFERIDO
ELZA GERALDA MENDES 851***.***-** 1 DEFERIDO
CAIO VINICIUS DE L. VIEIRA ***.***-** INDEFERIDO
CANDIDATO (A) NÃO APRESENTOU DOCUMENTAÇÃO EXIGIDA ( NENHUMA
DOCUMENTAÇÃO )
ANA FLÁVIA RODRIGUES BRITO 053***.***-** INDEFERIDO
CANDIDATO (A) NÃO APRESENTOU DECLARAÇÃO EXPEDIDA PELO GDF QUE
COMPROVE RECEBIMENTO DE BENEFÍCIO DE PROGRAMA SOCIAL DE
COMPLEMENTAÇÃO OU SUPLEMENTAÇÃO DE RENDA DO GDF (PRATO CHEIO E
DF SOCIAL)
LUCILEIDE NASCIMENTO DA SILVA 070***.***-** 1 INDEFERIDO
CANDIDATO (A) NÃO APRESENTOU DECLARAÇÃO EXPEDIDA PELO GDF QUE
COMPROVE RECEBIMENTO DE BENEFÍCIO DE PROGRAMA SOCIAL DE
COMPLEMENTAÇÃO OU SUPLEMENTAÇÃO DE RENDA DO GDF (PRATO CHEIO E
DF SOCIAL)
GILDESIO PEREIRA DOS SANTOS 701***.***-** 1 INDEFERIDO
CANDIDATO (A) NÃO APRESENTOU DECLARAÇÃO EXPEDIDA PELO GDF QUE
COMPROVE RECEBIMENTO DE BENEFÍCIO DE PROGRAMA SOCIAL DE
COMPLEMENTAÇÃO OU SUPLEMENTAÇÃO DE RENDA DO GDF (PRATO CHEIO E
DF SOCIAL)
VERONICA DE ALMEIDA SILVA 030***.***-** INDEFERIDO
CANDIDATO (A) NÃO APRESENTOU DECLARAÇÃO EXPEDIDA PELO GDF QUE
COMPROVE RECEBIMENTO DE BENEFÍCIO DE PROGRAMA SOCIAL DE
COMPLEMENTAÇÃO OU SUPLEMENTAÇÃO DE RENDA DO GDF (PRATO CHEIO E
DF SOCIAL)
FRANCISCO FERNANDES RODRIGUES DE MORAIS 014***.***-** 1 DEFERIDO
FÁBIO DE OLIVEIRA VIEIRA 801***.***-** 1 INDEFERIDO CANDIDATO (A) NÃO APRESENTOU DOCUMENTAÇÃO EXIGIDA EM PDF
ANNY KELLY DE SOUSA RODRIGUES 009***.***-** 1 INDEFERIDO
CANDIDATO (A) NÃO APRESENTOU DECLARAÇÃO EXPEDIDA PELO GDF QUE
COMPROVE RECEBIMENTO DE BENEFÍCIO DE PROGRAMA SOCIAL DE
COMPLEMENTAÇÃO OU SUPLEMENTAÇÃO DE RENDA DO GDF (PRATO CHEIO E
DF SOCIAL)
ANA CLEIDE DE SOUSA MACHADO 723***.***-** 1 INDEFERIDO CANDIDATO (A) NÃO APRESENTOU DOCUMENTAÇÃO EXIGIDA ( RG)
FRANCIDALVA DE SOUSA ANDRADE 034***.***-** 1 DEFERIDO
CARLIANA SILVA DE ARAÚJO FLÔR 010***.***-** 1 INDEFERIDO
CANDIDATO (A) NÃO APRESENTOU DOCUMENTAÇÃO EXIGIDA EM PDF
(FORMULÁRIO)
GIL HENRIQUE MACIEL MARQUES 005***.***-** 1 DEFERIDO
GIL HENRIQUE MACIEL MARQUES 005***.***-** 8 DEFERIDO
BRUNA DHULLYANA GONÇALVES SANTOS 044***.***-** 1 DEFERIDO
BRUNA DHULLYANA GONÇALVES SANTOS 044***.***-** 3 DEFERIDO
VANESSA DOMINGUES DE OLIVEIRA 049***.***-** 1 INDEFERIDO
CANDIDATO (A) NÃO APRESENTOU DECLARAÇÃO EXPEDIDA PELO GDF QUE
COMPROVE RECEBIMENTO DE BENEFÍCIO DE PROGRAMA SOCIAL DE
COMPLEMENTAÇÃO OU SUPLEMENTAÇÃO DE RENDA DO GDF (PRATO CHEIO E
DF SOCIAL)
ZELIA DE SOUZA DOMINGUES 812***.***-** 1 INDEFERIDO
CANDIDATO (A) NÃO APRESENTOU DECLARAÇÃO EXPEDIDA PELO GDF QUE
COMPROVE RECEBIMENTO DE BENEFÍCIO DE PROGRAMA SOCIAL DE
COMPLEMENTAÇÃO OU SUPLEMENTAÇÃO DE RENDA DO GDF (PRATO CHEIO E
DF SOCIAL)
ÂNGELA MARIA DE SOUZA CABRAL 827***.***-** INDEFERIDO CANDIDATO (A) NÃO APRESENTOU DOCUMENTAÇÃO EXIGIDA (FORMULÁRIO)
MARCELA RABELO DO CARMO 017***.***-** INDEFERIDO CANDIDATO (A) NÃO APRESENTOU DOCUMENTAÇÃO EXIGIDA EM PDF
PALOMA RODRIGUES PINHEIRO 041***.***-** 4 DEFERIDO
PALOMA RODRIGUES PINHEIRO 041***.***-** 1 DEFERIDO
CYNTHIA LOPES CALDERAN 855***.***-** 1 DEFERIDO
GUILHERME GENNARI SOBRINHO 05***.***-** 1 DEFERIDO
MONIKELLY CRUZ DE SOUZA ***.***-** INDEFERIDO
CANDIDATO (A) NÃO APRESENTOU DOCUMENTAÇÃO EXIGIDA (
FORMULÁRIO/RG )
VOLNEY GONÇALVES DE SOUSA 013***.***-** 1 DEFERIDO
ANA BEATRIZ SANTOS SILVA 076***.***-** 1 INDEFERIDO
CANDIDATO (A) NÃO APRESENTOU DECLARAÇÃO EXPEDIDA PELO GDF QUE
COMPROVE RECEBIMENTO DE BENEFÍCIO DE PROGRAMA SOCIAL DE
COMPLEMENTAÇÃO OU SUPLEMENTAÇÃO DE RENDA DO GDF (PRATO CHEIO E
DF SOCIAL)
FERNANDES GONCALVES DE OLIVEIRA 012***.***-** 1 DEFERIDO
FERNANDES GONCALVES DE OLIVEIRA 012***.***-** 8 DEFERIDO
JÉSSICA RODRIGUES DE OLIVEIRA 031***.***-** 1 DEFERIDO
JÉSSICA RODRIGUES DE OLIVEIRA 031***.***-** 7 DEFERIDO
JOSEMAR OLIVEIRA SANTOS 84***.***-** 1 DEFERIDO
JOSEMAR OLIVEIRA SANTOS 84***.***-** 3 DEFERIDO
TAMÍRES BARBOSA BRAGA 039***.***-** 7 INDEFERIDO
CANDIDATO (A) NÃO APRESENTOU DECLARAÇÃO EXPEDIDA PELO GDF QUE
COMPROVE RECEBIMENTO DE BENEFÍCIO DE PROGRAMA SOCIAL DE
COMPLEMENTAÇÃO OU SUPLEMENTAÇÃO DE RENDA DO GDF (PRATO CHEIO E
DF SOCIAL)
TAMÍRES BARBOSA BRAGA 039***.***-** 1 INDEFERIDO
CANDIDATO (A) NÃO APRESENTOU DECLARAÇÃO EXPEDIDA PELO GDF QUE
COMPROVE RECEBIMENTO DE BENEFÍCIO DE PROGRAMA SOCIAL DE
COMPLEMENTAÇÃO OU SUPLEMENTAÇÃO DE RENDA DO GDF (PRATO CHEIO E
DF SOCIAL)
MARA SUZELI DE SOUZA 088***.***-** 1 DEFERIDO
ANGERLANIA SAMPAIO FRANCO 050***.***-** 3 INDEFERIDO
CANDIDATO (A) NÃO APRESENTOU DOCUMENTAÇÃO EXIGIDA (NÃO
PREENCHEU O FORMULÁRIO )
MARA SUZELI DE SOUZA 088***.***-** 7 DEFERIDO
GABRIEL DE RESENDE SANTIAGO 070***.***-** 1 DEFERIDO
WESLEY OLIVEIRA RODRIGUES DELLORTO 959***.***-** 1 INDEFERIDO CANDIDATO (A) NÃO APRESENTOU DOCUMENTAÇÃO EXIGIDA EM PDF
RICARDO BENEVENUTO DE SOUZA 719***.***-** 2 INDEFERIDO
CANDIDATO (A) NÃO APRESENTOU DECLARAÇÃO EXPEDIDA PELO GDF QUE
COMPROVE RECEBIMENTO DE BENEFÍCIO DE PROGRAMA SOCIAL DE
COMPLEMENTAÇÃO OU SUPLEMENTAÇÃO DE RENDA DO GDF (PRATO CHEIO E
DF SOCIAL)
RICARDO BENEVENUTO DE SOUZA 719***.***-** 2 INDEFERIDO
CANDIDATO (A) NÃO APRESENTOU LAUDO MÉDICO COMPROBATÓRIO DA
ISENÇÃO DE
ACORDO COM A POSSIBILIDADE ESCOLHIDA (CAD. ÚNICO FEDERAL)
POLIANA COELHO PACHECO 786***.***-** 1 DEFERIDO
ELENICE RODRIGUES DE SOUZA 012***.***-** 1 DEFERIDO
ELENICE RODRIGUES DE SOUZA 012***.***-** 7 DEFERIDO
MARIA EDUARDA OLIVEIRA PEREIRA 031***.***-** 1 INDEFERIDO CANDIDATO (A) NÃO APRESENTOU DOCUMENTAÇÃO EXIGIDA ( RG)
MARIA EDUARDA OLIVEIRA PEREIRA 031***.***-** 8 INDEFERIDO CANDIDATO (A) NÃO APRESENTOU DOCUMENTAÇÃO EXIGIDA ( RG)
GIOVANNA ESPERIDIÃO DOS SANTOS PEREIRA 057***.***-** 1 INDEFERIDO
CANDIDATO (A) NÃO APRESENTOU LAUDO MÉDICO COMPROBATÓRIO DA
ISENÇÃO DE
ACORDO COM A POSSIBILIDADE ESCOLHIDA (CAD. ÚNICO FEDERAL)
GABRIEL LOPES PEREIRA DA SILVA 076***.***-** 1 INDEFERIDO
CANDIDATO (A) NÃO APRESENTOU DECLARAÇÃO EXPEDIDA PELO GDF QUE
COMPROVE RECEBIMENTO DE BENEFÍCIO DE PROGRAMA SOCIAL DE
COMPLEMENTAÇÃO OU SUPLEMENTAÇÃO DE RENDA DO GDF (PRATO CHEIO E
DF SOCIAL)
ELIZÂNGELA DA SILVA MOREIRA 008***.***-** 1 INDEFERIDO
CANDIDATO (A) NÃO APRESENTOU LAUDO MÉDICO COMPROBATÓRIO DA
ISENÇÃO DE
ACORDO COM A POSSIBILIDADE ESCOLHIDA (CAD. ÚNICO FEDERAL)
ELIZÂNGELA DA SILVA MOREIRA 008***.***-** 3 INDEFERIDO
CANDIDATO (A) NÃO APRESENTOU LAUDO MÉDICO COMPROBATÓRIO DA
ISENÇÃO DE
ACORDO COM A POSSIBILIDADE ESCOLHIDA (CAD. ÚNICO FEDERAL)
MARIA DE JESUS OLIVEIRA 376***.***-** 1 INDEFERIDO
CANDIDATO (A) NÃO APRESENTOU LAUDO MÉDICO COMPROBATÓRIO DA
ISENÇÃO DE
ACORDO COM A POSSIBILIDADE ESCOLHIDA (CAD. ÚNICO FEDERAL)
MARIA DE JESUS OLIVEIRA 376***.***-** 8 INDEFERIDO
CANDIDATO (A) NÃO APRESENTOU LAUDO MÉDICO COMPROBATÓRIO DA
ISENÇÃO DE
ACORDO COM A POSSIBILIDADE ESCOLHIDA (CAD. ÚNICO FEDERAL)
MANOELA YASMIN GOMES DOS ANJOS 714***.***-** 8 DEFERIDO
NICOLAS GOMES DE MIRANDA 086***.***-** 5 INDEFERIDO
CANDIDATO (A) NÃO APRESENTOU DECLARAÇÃO EXPEDIDA PELO GDF QUE
COMPROVE RECEBIMENTO DE BENEFÍCIO DE PROGRAMA SOCIAL DE
COMPLEMENTAÇÃO OU SUPLEMENTAÇÃO DE RENDA DO GDF (PRATO CHEIO E
DF SOCIAL)
ALDA SIRLENE SANTOS ARAÚJO 53.***.***-** 8 DEFERIDO
BRUNA LIMA PEREIRA 068***.***-** 5 INDEFERIDO
CANDIDATO (A) NÃO APRESENTOU DECLARAÇÃO EXPEDIDA PELO GDF QUE
COMPROVE RECEBIMENTO DE BENEFÍCIO DE PROGRAMA SOCIAL DE
COMPLEMENTAÇÃO OU SUPLEMENTAÇÃO DE RENDA DO GDF (PRATO CHEIO E
DF SOCIAL)
ANA CLAUDIA MOTA DE SOUSA MOREIRA 932***.***-** 1 INDEFERIDO CANDIDATO (A) NÃO APRESENTOU DOCUMENTAÇÃO EXIGIDA EM PDF
ANA CLAUDIA MOTA DE SOUSA MOREIRA 932***.***-** 2 INDEFERIDO CANDIDATO (A) NÃO APRESENTOU DOCUMENTAÇÃO EXIGIDA EM PDF
GUTTIERRES TORRES 961***.***-** 1 DEFERIDO
LUCIENE CLEMENCIA ALVES 725***.***-** 6 INDEFERIDO
CANDIDATO (A) NÃO APRESENTOU DOCUMENTAÇÃO EXIGIDA ( NENHUMA
DOCUMENTAÇÃO )
TAMARA VILELA BARRETO 855***.***-** 1 INDEFERIDO CANDIDATO (A) NÃO APRESENTOU DOCUMENTAÇÃO EXIGIDA ( RG)
MARINETE MENDES ROSA 060***.***-** 5 INDEFERIDO
CANDIDATO (A) NÃO APRESENTOU LAUDO MÉDICO COMPROBATÓRIO DA
ISENÇÃO DE
ACORDO COM A POSSIBILIDADE ESCOLHIDA (CAD. ÚNICO FEDERAL)
ANDRE LUIZ DE JESUS AIRES 035***.***-** 1 INDEFERIDO
CANDIDATO (A) NÃO APRESENTOU DOCUMENTAÇÃO EXIGIDA (
FORMULÁRIO/RG )
MICHELE TÂNDIDA LOPES GOUVEA 005***.***-** 8 INDEFERIDO CANDIDATO (A) NÃO APRESENTOU DOCUMENTAÇÃO EXIGIDA EM PDF
JAQUELINE FERREIRA DO NASCIMENTO CIRILO 936***.***-** 2 INDEFERIDO
CANDIDATO (A) NÃO APRESENTOU DECLARAÇÃO EXPEDIDA PELO GDF QUE
COMPROVE RECEBIMENTO DE BENEFÍCIO DE PROGRAMA SOCIAL DE
COMPLEMENTAÇÃO OU SUPLEMENTAÇÃO DE RENDA DO GDF (PRATO CHEIO E
DF SOCIAL)
JAQUELINE FERREIRA DO NASCIMENTO CIRILO 936***.***-** 6 INDEFERIDO
CANDIDATO (A) NÃO APRESENTOU DECLARAÇÃO EXPEDIDA PELO GDF QUE
COMPROVE RECEBIMENTO DE BENEFÍCIO DE PROGRAMA SOCIAL DE
COMPLEMENTAÇÃO OU SUPLEMENTAÇÃO DE RENDA DO GDF (PRATO CHEIO E
DF SOCIAL)
ELIANE MACHADO BENJAMIM 028***.***-** 3 DEFERIDO
IANNE LOPES ULHOA 014***.***-** 8 INDEFERIDO
CANDIDATO (A) NÃO APRESENTOU DECLARAÇÃO EXPEDIDA PELO GDF QUE
COMPROVE RECEBIMENTO DE BENEFÍCIO DE PROGRAMA SOCIAL DE
COMPLEMENTAÇÃO OU SUPLEMENTAÇÃO DE RENDA DO GDF (PRATO CHEIO E
DF SOCIAL)
IANNE LOPES ULHOA 014***.***-** 1 INDEFERIDO
CANDIDATO (A) NÃO APRESENTOU DECLARAÇÃO EXPEDIDA PELO GDF QUE
COMPROVE RECEBIMENTO DE BENEFÍCIO DE PROGRAMA SOCIAL DE
COMPLEMENTAÇÃO OU SUPLEMENTAÇÃO DE RENDA DO GDF (PRATO CHEIO E
DF SOCIAL)
MARIA GILDA GOMES PEREIRA 144***.***-** 1 INDEFERIDO
CANDIDATO (A) NÃO APRESENTOU LAUDO MÉDICO COMPROBATÓRIO DA
ISENÇÃO DE
ACORDO COM A POSSIBILIDADE ESCOLHIDA (CAD. ÚNICO FEDERAL)
MARCOS ANTONIO FRANCISCO 721***.***-** 1 INDEFERIDO
CANDIDATO (A) NÃO APRESENTOU DOCUMENTAÇÃO EXIGIDA ( 2
COMPROVANTES DE SERVIÇO ELEITORAL)
JEISYANE NASCIMENTO DA COSTA 050***.***-** 1 INDEFERIDO
CANDIDATO (A) NÃO APRESENTOU DECLARAÇÃO EXPEDIDA PELO GDF QUE
COMPROVE RECEBIMENTO DE BENEFÍCIO DE PROGRAMA SOCIAL DE
COMPLEMENTAÇÃO OU SUPLEMENTAÇÃO DE RENDA DO GDF (PRATO CHEIO E
DF SOCIAL)
DIRCILENE DE SOUSA CAMPOS 227***.***-** 8 DEFERIDO
KELLY CRISTINA GUEDES 953***.***-** 1 DEFERIDO
RENATA NERES DINIZ 055***.***-** 1 DEFERIDO
RENATA NERES DINIZ 055***.***-** 5 DEFERIDO
JOSE PEREIRA DA PENHA CARNEIRO 773***.***-** 1 DEFERIDO
GILMAR AMBRÓSIO DE ALCANTARA 606***.***-** 1 DEFERIDO
CRISTIANE DOS SANTOS COSTA 007***.***-** 1 INDEFERIDO
CANDIDATO (A) NÃO APRESENTOU DOCUMENTO DE IDENTIFICAÇÃO E
FORMULÁRIO PARA PEDIDO DE ISENÇÃO ATUALIZADO
ANA CAROLINA DO NASCIMENTO 002***.***-** 2 DEFERIDO
REJANE MORAIS NEIVA 008***.***-** 1 INDEFERIDO
CANDIDATO (A) NÃO APRESENTOU O FORMULÁRIO PARA PEDIDO DE ISENÇÃO
ATUALIZADO DISPONIVEL NA FUNATEC
TATIANE ANDRADE DA SILVA 050***.***-** 1 INDEFERIDO
CANDIDATO (A) NÃO APRESENTOU DECLARAÇÃO EXPEDIDA PELO GDF QUE
COMPROVE RECEBIMENTO DE BENEFÍCIO DE PROGRAMA SOCIAL DE
COMPLEMENTAÇÃO OU SUPLEMENTAÇÃO DE RENDA DO GDF (PRATO CHEIO E
DF SOCIAL)
DANIELE FERREIRA GOMES 039***.***-** 1 INDEFERIDO
CANDIDATO (A) NÃO APRESENTOU DECLARAÇÃO EXPEDIDA PELO GDF QUE
COMPROVE RECEBIMENTO DE BENEFÍCIO DE PROGRAMA SOCIAL DE
COMPLEMENTAÇÃO OU SUPLEMENTAÇÃO DE RENDA DO GDF (PRATO CHEIO E
DF SOCIAL)
ANA PAULA AMARAL 060***.***-** 8 INDEFERIDO
CANDIDATO (A) NÃO APRESENTOU DECLARAÇÃO EXPEDIDA PELO GDF QUE
COMPROVE RECEBIMENTO DE BENEFÍCIO DE PROGRAMA SOCIAL DE
COMPLEMENTAÇÃO OU SUPLEMENTAÇÃO DE RENDA DO GDF (PRATO CHEIO E
DF SOCIAL)
JOEL DE FARIAS LOPES 043***.***-** 1 INDEFERIDO CANDIDATO (A) NÃO APRESENTOU DOCUMENTAÇÃO EXIGIDA EM PDF
EDUARDO SILVA LEITE SOUZA 008***.***-** 1 INDEFERIDO
CANDIDATO (A) NÃO APRESENTOU DECLARAÇÃO EXPEDIDA PELO GDF QUE
COMPROVE RECEBIMENTO DE BENEFÍCIO DE PROGRAMA SOCIAL DE
COMPLEMENTAÇÃO OU SUPLEMENTAÇÃO DE RENDA DO GDF (PRATO CHEIO E
DF SOCIAL)
DALMAR GUIMARÃES DA SILVA BARBOSA 029***.***-** 8 DEFERIDO
DALMAR GUIMARÃES DA SILVA BARBOSA 029***.***-** 1 DEFERIDO
VITORIA MARIA DE SOUZA ALMEIDA GOMES 080***.***-** 6 DEFERIDO
JEANY APARECIDA GONÇALVES DE SOUZA 810***.***-** 2 INDEFERIDO
CANDIDATO (A) NÃO APRESENTOU LAUDO MÉDICO COMPROBATÓRIO DA
ISENÇÃO DE
ACORDO COM A POSSIBILIDADE ESCOLHIDA (CAD. ÚNICO FEDERAL)
VITÓRIA DRIELLY GARRIDO DE JESUS 057***.***-** 7 INDEFERIDO
CANDIDATO (A) NÃO APRESENTOU DECLARAÇÃO EXPEDIDA PELO GDF QUE
COMPROVE RECEBIMENTO DE BENEFÍCIO DE PROGRAMA SOCIAL DE
COMPLEMENTAÇÃO OU SUPLEMENTAÇÃO DE RENDA DO GDF (PRATO CHEIO E
DF SOCIAL)
FERNANDA SOUSA AQUINO 049***.***-** 1 DEFERIDO
FERNANDA SOUSA AQUINO 049***.***-** 5 DEFERIDO
DEYLA CRISTINA SALES DE SOUSA BARBOSA 021***.***-** 1 DEFERIDO
THAYS DE OLIVEIRA CRUZ 045***.***-** 1 DEFERIDO
MARIA NOMERIANA DA CONCEIÇÃO MARTINS MACHADO 863***.***-** 1 DEFERIDO
JANAINA ALVES MARTINS ARAUJO 023***.***-** 1 INDEFERIDO
CANDIDATO (A) NÃO APRESENTOU DECLARAÇÃO EXPEDIDA PELO GDF QUE
COMPROVE RECEBIMENTO DE BENEFÍCIO DE PROGRAMA SOCIAL DE
COMPLEMENTAÇÃO OU SUPLEMENTAÇÃO DE RENDA DO GDF (PRATO CHEIO E
DF SOCIAL)
GISLANE CRISTINA MACÊDO TEIXEIRA 016***.***-** 8 INDEFERIDO
CANDIDATO (A) NÃO APRESENTOU DOCUMENTAÇÃO EXIGIDA ( NENHUMA
DOCUMENTAÇÃO )
BRUNA CHAER BOTELHO PAIVA JORGE 012***.***-** 3 DEFERIDO
CLAUDIA APARECIDA DE JESUS 788***.***-** 1 INDEFERIDO CANDIDATO (A) NÃO APRESENTOU DOCUMENTAÇÃO EXIGIDA ( RG)
MARIA LUIZA SOUZA SIQUEIRA 058***.***-** 1 DEFERIDO
MAIKON JUNIO DOS SANTOS FELICIANO AVELINO 061***.***-** 7 INDEFERIDO
CANDIDATO (A) NÃO APRESENTOU DECLARAÇÃO EXPEDIDA PELO GDF QUE
COMPROVE RECEBIMENTO DE BENEFÍCIO DE PROGRAMA SOCIAL DE
COMPLEMENTAÇÃO OU SUPLEMENTAÇÃO DE RENDA DO GDF (PRATO CHEIO E
DF SOCIAL)
LETÍCIA ASSIS DE SOUSA 077***.***-** 7 INDEFERIDO
CANDIDATO (A) NÃO APRESENTOU DECLARAÇÃO EXPEDIDA PELO GDF QUE
COMPROVE RECEBIMENTO DE BENEFÍCIO DE PROGRAMA SOCIAL DE
COMPLEMENTAÇÃO OU SUPLEMENTAÇÃO DE RENDA DO GDF (PRATO CHEIO E
DF SOCIAL)
ERICA TATIANE DE FARIAS SANTOS 069***.***-** 8 INDEFERIDO
CANDIDATO (A) NÃO APRESENTOU DOCUMENTAÇÃO EXIGIDA ( NENHUMA
DOCUMENTAÇÃO )
JOICE MENDES DA SILVA 042***.***-** 1 INDEFERIDO
CANDIDATO (A) NÃO APRESENTOU DECLARAÇÃO EXPEDIDA PELO GDF QUE
COMPROVE RECEBIMENTO DE BENEFÍCIO DE PROGRAMA SOCIAL DE
COMPLEMENTAÇÃO OU SUPLEMENTAÇÃO DE RENDA DO GDF (PRATO CHEIO E
DF SOCIAL)
JOICE MENDES DA SILVA 042***.***-** 2 INDEFERIDO
CANDIDATO (A) NÃO APRESENTOU DECLARAÇÃO EXPEDIDA PELO GDF QUE
COMPROVE RECEBIMENTO DE BENEFÍCIO DE PROGRAMA SOCIAL DE
COMPLEMENTAÇÃO OU SUPLEMENTAÇÃO DE RENDA DO GDF (PRATO CHEIO E
DF SOCIAL)
JESSICA CAROLINA MARQUES DA SILVA 052***.***-** 1 DEFERIDO
SILVIO LUIZ TEXEIRA 044***.***-** 1 DEFERIDO
RAFAELA RODRIGUES DA COSTA FARIA 710***.***-** 1 DEFERIDO
JOANA D'ARC CARDOSO DOS SANTOS MONTEIRO 723***.***-** 1 INDEFERIDO
CANDIDATO (A) NÃO APRESENTOU DECLARAÇÃO EXPEDIDA PELO GDF QUE
COMPROVE RECEBIMENTO DE BENEFÍCIO DE PROGRAMA SOCIAL DE
COMPLEMENTAÇÃO OU SUPLEMENTAÇÃO DE RENDA DO GDF (PRATO CHEIO E
DF SOCIAL)
ANDREIA PONCIANO SILVA 271***.***-** 1 INDEFERIDO
CANDIDATO (A) NÃO APRESENTOU DOCUMENTAÇÃO EXIGIDA ( NENHUMA
DOCUMENTAÇÃO )
LARISSA TAVARES DA SILVA WERLY 041***.***-** 1 INDEFERIDO
CANDIDATO (A) NÃO APRESENTOU DOCUMENTO DE IDENTIFICAÇÃO E
FORMULÁRIO PARA PEDIDO DE ISENÇÃO ATUALIZADO
BRUNA MICKAELLY SILVA DED SOUZA 068***.***-** 1 INDEFERIDO
CANDIDATO (A) NÃO APRESENTOU DECLARAÇÃO EXPEDIDA PELO GDF QUE
COMPROVE RECEBIMENTO DE BENEFÍCIO DE PROGRAMA SOCIAL DE
COMPLEMENTAÇÃO OU SUPLEMENTAÇÃO DE RENDA DO GDF (PRATO CHEIO E
DF SOCIAL)
FERNANDA SANTOS LIMA 043***.***-** 1 INDEFERIDO
CANDIDATO (A) NÃO APRESENTOU DOCUMENTO DE IDENTIFICAÇÃO E
FORMULÁRIO PARA PEDIDO DE ISENÇÃO ATUALIZADO
NIENES PROSPERO DOS SANTOS 012***.***-** INDEFERIDO CANDIDATO (A) NÃO APRESENTOU O CODIGO DO CARGO
ARTHUR RODRIGUES BEZERRA 036***.***-** 1 DEFERIDO
GABRIELA SOUZA BRITO 078***.***-** 1 DEFERIDO
RODRIGO VIEIRA FIGUEREIDO ***.***-** INDEFERIDO
CANDIDATO (A) NÃO APRESENTOU DOCUMENTAÇÃO EXIGIDA ( FORMULÁRIO /
CPF )
LOURINALDA MARQUES DOS REIS 903***.***-** INDEFERIDO
CANDIDATO (A) NÃO APRESENTOU DOCUMENTAÇÃO EXIGIDA ( FORMULÁRIO
ATUALIZADO / RG )
FERNANDA SANTOS LIMA 043***.***-** 1 INDEFERIDO
CANDIDATO (A) NÃO APRESENTOU LAUDO MÉDICO COMPROBATÓRIO DA
ISENÇÃO DE
ACORDO COM A POSSIBILIDADE ESCOLHIDA (CAD. ÚNICO FEDERAL)
ANARITA IANNES DE SALES DIAS 889***.***-** 1 INDEFERIDO
CANDIDATO (A) NÃO APRESENTOU DECLARAÇÃO EXPEDIDA PELO GDF QUE
COMPROVE RECEBIMENTO DE BENEFÍCIO DE PROGRAMA SOCIAL DE
COMPLEMENTAÇÃO OU SUPLEMENTAÇÃO DE RENDA DO GDF (PRATO CHEIO E
DF SOCIAL)
ANARITA IANNES DE SALES DIAS 889***.***-** 3 INDEFERIDO
CANDIDATO (A) NÃO APRESENTOU DECLARAÇÃO EXPEDIDA PELO GDF QUE
COMPROVE RECEBIMENTO DE BENEFÍCIO DE PROGRAMA SOCIAL DE
COMPLEMENTAÇÃO OU SUPLEMENTAÇÃO DE RENDA DO GDF (PRATO CHEIO E
DF SOCIAL)
ROSANGELA MAGALHAES BARRETO 289***.***-** 4 INDEFERIDO
CANDIDATO (A) NÃO APRESENTOU DECLARAÇÃO EXPEDIDA PELO GDF QUE
COMPROVE RECEBIMENTO DE BENEFÍCIO DE PROGRAMA SOCIAL DE
COMPLEMENTAÇÃO OU SUPLEMENTAÇÃO DE RENDA DO GDF (PRATO CHEIO E
DF SOCIAL)
SILVIA MARIA DA SILVA FORTE 516***.***-** 2 INDEFERIDO
CANDIDATO (A) NÃO APRESENTOU DECLARAÇÃO EXPEDIDA PELO GDF QUE
COMPROVE RECEBIMENTO DE BENEFÍCIO DE PROGRAMA SOCIAL DE
COMPLEMENTAÇÃO OU SUPLEMENTAÇÃO DE RENDA DO GDF (PRATO CHEIO E
DF SOCIAL)
SILVIA MARIA DA SILVA FORTE 516***.***-** 1 INDEFERIDO
CANDIDATO (A) NÃO APRESENTOU DECLARAÇÃO EXPEDIDA PELO GDF QUE
COMPROVE RECEBIMENTO DE BENEFÍCIO DE PROGRAMA SOCIAL DE
COMPLEMENTAÇÃO OU SUPLEMENTAÇÃO DE RENDA DO GDF (PRATO CHEIO E
DF SOCIAL)
KATIA RIBEIRO DA SILVA LOPES 017***.***-** 6 INDEFERIDO
CANDIDATO (A) NÃO APRESENTOU DOCUMENTAÇÃO EXIGIDA ( NENHUMA
DOCUMENTAÇÃO )
ENIVALDO XAVIER DA SILVA JUNIOR 024***.***-** 1 INDEFERIDO CANDIDATO (A) NÃO APRESENTOU DOCUMENTAÇÃO EXIGIDA ( RG)
LUAN KESLEY PEREIRA FERREIRA 069***.***-** 2 DEFERIDO
ROMILTON DE SOUZA 694***.***-** 1 INDEFERIDO
CANDIDATO (A) NÃO APRESENTOU DECLARAÇÃO EXPEDIDA PELO GDF QUE
COMPROVE RECEBIMENTO DE BENEFÍCIO DE PROGRAMA SOCIAL DE
COMPLEMENTAÇÃO OU SUPLEMENTAÇÃO DE RENDA DO GDF (PRATO CHEIO E
DF SOCIAL)
ROMILTON DE SOUZA 694***.***-** 2 INDEFERIDO
CANDIDATO (A) NÃO APRESENTOU DECLARAÇÃO EXPEDIDA PELO GDF QUE
COMPROVE RECEBIMENTO DE BENEFÍCIO DE PROGRAMA SOCIAL DE
COMPLEMENTAÇÃO OU SUPLEMENTAÇÃO DE RENDA DO GDF (PRATO CHEIO E
DF SOCIAL)
SUZANE MORGANE DE OLIVEIRA 103***.***-** 7 INDEFERIDO
CANDIDATO (A) NÃO APRESENTOU DOCUMENTO DE IDENTIFICAÇÃO E
FORMULÁRIO PARA PEDIDO DE ISENÇÃO ATUALIZADO
MARCOS SUEL DA SILVA O26***.***-** 1 INDEFERIDO
CANDIDATO (A) NÃO APRESENTOU DOCUMENTAÇÃO EXIGIDA ( NENHUMA
DOCUMENTAÇÃO )
JULIANA CARVALHO DE ARAUJO 886***.***-** 1 INDEFERIDO
CANDIDATO (A) NÃO APRESENTOU DECLARAÇÃO EXPEDIDA PELO GDF QUE
COMPROVE RECEBIMENTO DE BENEFÍCIO DE PROGRAMA SOCIAL DE
COMPLEMENTAÇÃO OU SUPLEMENTAÇÃO DE RENDA DO GDF (PRATO CHEIO E
DF SOCIAL)
ÉRICA TATIANE DE FARIAS DE SANTOS 069***.***-** 8 INDEFERIDO
CANDIDATO (A) NÃO APRESENTOU DECLARAÇÃO EXPEDIDA PELO GDF QUE
COMPROVE RECEBIMENTO DE BENEFÍCIO DE PROGRAMA SOCIAL DE
COMPLEMENTAÇÃO OU SUPLEMENTAÇÃO DE RENDA DO GDF (PRATO CHEIO E
DF SOCIAL)
EDMARIO SILVA MOREIRA 919***.***-** 1 DEFERIDO
DAIANE DIAS DA SILVA 030***.***-** 1 DEFERIDO
MARIANGELA FERREIRA DE MENDONCA 716***.***-** 7 DEFERIDO
MARIANGELA FERREIRA DE MENDONCA 716***.***-** 1 DEFERIDO
TAYNARA PEREIRA DE JESUS 033***.***-** 1 INDEFERIDO
CANDIDATO (A) NÃO APRESENTOU DOCUMENTO DE IDENTIFICAÇÃO E
FORMULÁRIO PARA PEDIDO DE ISENÇÃO ATUALIZADO
TAYNARA PEREIRA DE JESUS 033***.***-** 5 INDEFERIDO
CANDIDATO (A) NÃO APRESENTOU DOCUMENTO DE IDENTIFICAÇÃO E
FORMULÁRIO PARA PEDIDO DE ISENÇÃO ATUALIZADO
CARLA CRISTINA MONTEIRO DE SOUZA 076***.***-** 1 INDEFERIDO
CANDIDATO (A) NÃO APRESENTOU LAUDO MÉDICO COMPROBATÓRIO DA
ISENÇÃO DE
ACORDO COM A POSSIBILIDADE ESCOLHIDA (CAD. ÚNICO FEDERAL)
RAIANE MENDES DE SOUSA 056***.***-** 1 INDEFERIDO
CANDIDATO (A) NÃO APRESENTOU DECLARAÇÃO EXPEDIDA PELO GDF QUE
COMPROVE RECEBIMENTO DE BENEFÍCIO DE PROGRAMA SOCIAL DE
COMPLEMENTAÇÃO OU SUPLEMENTAÇÃO DE RENDA DO GDF (PRATO CHEIO E
DF SOCIAL)
LUIS FILIPE MARZAGAO DE CARVALHO 010***.***-** 1 INDEFERIDO
CANDIDATO (A) NÃO APRESENTOU DOCUMENTAÇÃO EXIGIDA EM PDF (
FORMULÁRIO ATUALIZADO / RG )
THAIS CHRISTYANE CARVALHO DE SOUSA GONCALVES 043***.***-** 2 INDEFERIDO
CANDIDATO (A) NÃO APRESENTOU DOCUMENTO DE IDENTIFICAÇÃO E
FORMULÁRIO PARA PEDIDO DE ISENÇÃO ATUALIZADO
MILLY AGUIAR TORRES 034***.***-** 1 DEFERIDO
MILLY AGUIAR TORRES 034***.***-** 8 DEFERIDO
THALISSON MATIAS TAVARES 063***.***-** 1 DEFERIDO
GABRIELLE SOUSA DE ASSUNÇÃO 043***.***-** 1 INDEFERIDO
CANDIDATO (A) NÃO APRESENTOU DOCUMENTAÇÃO EXIGIDA (
CARTERINHA/DECLARAÇÃO DE DOADOR DE MEDULA ÓSSEA )
VANDERLENE DA SILVA RABELO 958***.***-** 3 INDEFERIDO
CANDIDATO (A) NÃO APRESENTOU DECLARAÇÃO EXPEDIDA PELO GDF QUE
COMPROVE RECEBIMENTO DE BENEFÍCIO DE PROGRAMA SOCIAL DE
COMPLEMENTAÇÃO OU SUPLEMENTAÇÃO DE RENDA DO GDF (PRATO CHEIO E
DF SOCIAL)
RUTHIANE DA SILVA ROCHA 552***.***-** 6 INDEFERIDO
CANDIDATO (A) NÃO APRESENTOU DECLARAÇÃO EXPEDIDA PELO GDF QUE
COMPROVE RECEBIMENTO DE BENEFÍCIO DE PROGRAMA SOCIAL DE
COMPLEMENTAÇÃO OU SUPLEMENTAÇÃO DE RENDA DO GDF (PRATO CHEIO E
DF SOCIAL)
JOSÉ JEAN SILVA OLIVEIRA 055***.***-** 1 INDEFERIDO
CANDIDATO (A) NÃO APRESENTOU DECLARAÇÃO EXPEDIDA PELO GDF QUE
COMPROVE RECEBIMENTO DE BENEFÍCIO DE PROGRAMA SOCIAL DE
COMPLEMENTAÇÃO OU SUPLEMENTAÇÃO DE RENDA DO GDF (PRATO CHEIO E
DF SOCIAL)
JANE AZEVEDO DA SILVA 576***.***-** INDEFERIDO
CANDIDATO (A) NÃO APRESENTOU DOCUMENTAÇÃO EXIGIDA ( NENHUMA
DOCUMENTAÇÃO )
MARIANA REIS MEDEIROS 057***.***-** 7 INDEFERIDO
CANDIDATO (A) NÃO APRESENTOU DOCUMENTAÇÃO EXIGIDA EM PDF (
FORMULÁRIO ATUALIZADO / RG )
TALITA KEYSE BARBOSA DA SILVA 006***.***-** 1 INDEFERIDO
CANDIDATO (A) NÃO APRESENTOU DECLARAÇÃO EXPEDIDA PELO GDF QUE
COMPROVE RECEBIMENTO DE BENEFÍCIO DE PROGRAMA SOCIAL DE
COMPLEMENTAÇÃO OU SUPLEMENTAÇÃO DE RENDA DO GDF (PRATO CHEIO E
DF SOCIAL)
TALITA KEYSE BARBOSA DA SILVA 006***.***-** 8 INDEFERIDO
CANDIDATO (A) NÃO APRESENTOU DECLARAÇÃO EXPEDIDA PELO GDF QUE
COMPROVE RECEBIMENTO DE BENEFÍCIO DE PROGRAMA SOCIAL DE
COMPLEMENTAÇÃO OU SUPLEMENTAÇÃO DE RENDA DO GDF (PRATO CHEIO E
DF SOCIAL)
LORRANY BARROS FERREIRA 074***.***-** 1 INDEFERIDO
CANDIDATO (A) NÃO APRESENTOU DECLARAÇÃO EXPEDIDA PELO GDF QUE
COMPROVE RECEBIMENTO DE BENEFÍCIO DE PROGRAMA SOCIAL DE
COMPLEMENTAÇÃO OU SUPLEMENTAÇÃO DE RENDA DO GDF (PRATO CHEIO E
DF SOCIAL)
MARIA FRANCISLEIDE DE OLIVEIRA LIMA 002***.***-** 1 INDEFERIDO
CANDIDATO (A) NÃO SELECIONOU NENHUMA DAS OPÇÕES DO FORMULÁRIO
DISPONÍVEL
JOSE ICARO COSTA LOURA DA SILVA 050***.***-** 1 INDEFERIDO
CANDIDATO (A) NÃO APRESENTOU DECLARAÇÃO EXPEDIDA PELO GDF QUE
COMPROVE RECEBIMENTO DE BENEFÍCIO DE PROGRAMA SOCIAL DE
COMPLEMENTAÇÃO OU SUPLEMENTAÇÃO DE RENDA DO GDF (PRATO CHEIO E
DF SOCIAL)
SILVANE OLIVEIRA DA SILVA 016***.***-** 7 INDEFERIDO CANDIDATO (A) NÃO APRESENTOU DOCUMENTAÇÃO EXIGIDA ( RG)
SILVANE OLIVEIRA DA SILVA 016***.***-** 1 INDEFERIDO CANDIDATO (A) NÃO APRESENTOU DOCUMENTAÇÃO EXIGIDA ( RG)
JOHNY FARIA DE OLIVEIRA 045***.***-** 1 INDEFERIDO
CANDIDATO (A) NÃO APRESENTOU LAUDO MÉDICO COMPROBATÓRIO DA
ISENÇÃO DE
ACORDO COM A POSSIBILIDADE ESCOLHIDA (CAD. ÚNICO FEDERAL)
CINTHIA RODRIGUES SEPULVEDA 692***.***-** 8 DEFERIDO
BEATRIZ DE ANDRADE GONCALVES 065***.***-** 1 INDEFERIDO
CANDIDATO (A) NÃO APRESENTOU LAUDO MÉDICO COMPROBATÓRIO DA
ISENÇÃO DE
ACORDO COM A POSSIBILIDADE ESCOLHIDA (CAD. ÚNICO FEDERAL)
MARIA ANGELICA TEOTONIO 700***.***-** 1 INDEFERIDO
CANDIDATO (A) NÃO APRESENTOU LAUDO MÉDICO COMPROBATÓRIO DA
ISENÇÃO DE
ACORDO COM A POSSIBILIDADE ESCOLHIDA (CAD. ÚNICO FEDERAL)
MARIA DE LOURDES ALVES DE OLIVEIRA 480***.***-** INDEFERIDO CANDIDATO (A) NÃO APRESENTOU DOCUMENTAÇÃO EXIGIDA ( FORMULÁRIO )
ROSELY ALTA DA SILVA 552***.***-** 6 INDEFERIDO
CANDIDATO (A) NÃO APRESENTOU DECLARAÇÃO EXPEDIDA PELO GDF QUE
COMPROVE RECEBIMENTO DE BENEFÍCIO DE PROGRAMA SOCIAL DE
COMPLEMENTAÇÃO OU SUPLEMENTAÇÃO DE RENDA DO GDF (PRATO CHEIO E
DF SOCIAL)
DAIANE GOMES VERAS ANJOS 425***.***-** 8 DEFERIDO
ELISANGELA DE JESUS PAULA 912***.***-** 2 DEFERIDO
RUTHIANE DA SILVA ROCHA 051***.***-** 6 INDEFERIDO
CANDIDATO (A) NÃO APRESENTOU DECLARAÇÃO EXPEDIDA PELO GDF QUE
COMPROVE RECEBIMENTO DE BENEFÍCIO DE PROGRAMA SOCIAL DE
COMPLEMENTAÇÃO OU SUPLEMENTAÇÃO DE RENDA DO GDF (PRATO CHEIO E
DF SOCIAL)
CINTHIA RODRIGUES SEPULVEDA 692***.***-** 1 DEFERIDO
ELIANE INAJOSA DA SILVA ASSUMPÇÃO 852***.***-** 1 DEFERIDO
ELIANE INAJOSA DA SILVA ASSUMPÇÃO 852***.***-** 6 DEFERIDO
MARIA SIMONE COLARES 624***.***-** 1 INDEFERIDO
CANDIDATO (A) NÃO APRESENTOU DOCUMENTAÇÃO EXIGIDA ( NENHUMA
DOCUMENTAÇÃO )
CARLA CRISTINA MONTEIRO DE SOUZA 076***.***-** 3 INDEFERIDO
CANDIDATO (A) NÃO SELECIONOU NENHUMA DAS OPÇÕES DO FORMULÁRIO
DISPONÍVEL
REGINALDO ALVES DE AZEVEDO 697***.***-** 1 DEFERIDO
REGINALDO ALVES DE AZEVEDO 697***.***-** 2 DEFERIDO
GRASIELLE BEZERRA SILVA TEIXEIRA 960***.***-** 3 INDEFERIDO CANDIDATO (A) NÃO APRESENTOU DOCUMENTAÇÃO EXIGIDA EM PDF
JESSICA ALVES BARROS 065***.***-** 7 INDEFERIDO
CANDIDATO (A) NÃO APRESENTOU DECLARAÇÃO EXPEDIDA PELO GDF QUE
COMPROVE RECEBIMENTO DE BENEFÍCIO DE PROGRAMA SOCIAL DE
COMPLEMENTAÇÃO OU SUPLEMENTAÇÃO DE RENDA DO GDF (PRATO CHEIO E
DF SOCIAL)
JULIANA CARVALHO DE ARAUJO 886***.***-** 2 INDEFERIDO
CANDIDATO (A) NÃO APRESENTOU DECLARAÇÃO EXPEDIDA PELO GDF QUE
COMPROVE RECEBIMENTO DE BENEFÍCIO DE PROGRAMA SOCIAL DE
COMPLEMENTAÇÃO OU SUPLEMENTAÇÃO DE RENDA DO GDF (PRATO CHEIO E
DF SOCIAL)
ÁBIA NAIANE GOMES TAVARES 013***.***-** 1 DEFERIDO
PEDRO HENRIQUE SOUZA TOLENTINO 059***.***-** 6 INDEFERIDO
CANDIDATO (A) NÃO APRESENTOU LAUDO MÉDICO COMPROBATÓRIO DA
ISENÇÃO DE
ACORDO COM A POSSIBILIDADE ESCOLHIDA (CAD. ÚNICO FEDERAL)
THAIS BRAZ DE SOUSA 701***.***-** 8 DEFERIDO
MARIANA REIS MEDEIROS 057***.***-** 7 INDEFERIDO
CANDIDATO (A) NÃO APRESENTOU DECLARAÇÃO EXPEDIDA PELO GDF QUE
COMPROVE RECEBIMENTO DE BENEFÍCIO DE PROGRAMA SOCIAL DE
COMPLEMENTAÇÃO OU SUPLEMENTAÇÃO DE RENDA DO GDF (PRATO CHEIO E
DF SOCIAL)
MAYRA LUDIMILLA VIANA SANTOS 067***.***-** 2 INDEFERIDO
CANDIDATO (A) NÃO APRESENTOU DECLARAÇÃO EXPEDIDA PELO GDF QUE
COMPROVE RECEBIMENTO DE BENEFÍCIO DE PROGRAMA SOCIAL DE
COMPLEMENTAÇÃO OU SUPLEMENTAÇÃO DE RENDA DO GDF (PRATO CHEIO E
DF SOCIAL)
LARISSA SOUSA COSTA 701***.***-** 7 INDEFERIDO
CANDIDATO (A) NÃO APRESENTOU LAUDO MÉDICO COMPROBATÓRIO DA
ISENÇÃO DE
ACORDO COM A POSSIBILIDADE ESCOLHIDA (CAD. ÚNICO FEDERAL)
MIRIAN DE OLIVEIRA SILVA 998***.***-** 1 INDEFERIDO
CANDIDATO (A) NÃO APRESENTOU DOCUMENTAÇÃO EXIGIDA ( 2
COMPROVANTES DE SERVIÇO ELEITORAL)
LUCIANO GALIZA ALVES DA SILVA 086***.***-** 1 DEFERIDO
FABIANA RAQUEL QUEIROZ CARVALHO 027***.***-** 5 DEFERIDO
JUSCILENE CHAGAS XAVIER 605***.***-** 1 INDEFERIDO
CANDIDATO (A) NÃO APRESENTOU LAUDO MÉDICO COMPROBATÓRIO DA
ISENÇÃO DE
ACORDO COM A POSSIBILIDADE ESCOLHIDA (CAD. ÚNICO FEDERAL)
ALINA FRANÇA PESSOA ALBUQUERQUE 042***.***-** 1 INDEFERIDO
CANDIDATO (A) NÃO APRESENTOU DECLARAÇÃO EXPEDIDA PELO GDF QUE
COMPROVE RECEBIMENTO DE BENEFÍCIO DE PROGRAMA SOCIAL DE
COMPLEMENTAÇÃO OU SUPLEMENTAÇÃO DE RENDA DO GDF (PRATO CHEIO E
DF SOCIAL)
WILLIANEIDE MARIA DE GRANGES 443***.***-** 2 INDEFERIDO
CANDIDATO (A) NÃO APRESENTOU LAUDO MÉDICO COMPROBATÓRIO DA
ISENÇÃO DE
ACORDO COM A POSSIBILIDADE ESCOLHIDA (CAD. ÚNICO FEDERAL)
MAINARA MARQUES DA SILVA 067***.***-** 2 INDEFERIDO
CANDIDATO (A) NÃO APRESENTOU DECLARAÇÃO EXPEDIDA PELO GDF QUE
COMPROVE RECEBIMENTO DE BENEFÍCIO DE PROGRAMA SOCIAL DE
COMPLEMENTAÇÃO OU SUPLEMENTAÇÃO DE RENDA DO GDF (PRATO CHEIO E
DF SOCIAL)
MARCIIEIDE DOS SANTOS NUNES 010***.***-** 1 DEFERIDO
ANGÉLICA GONÇALVES MENEZES DE MIRANDA 561***.***-** 8 INDEFERIDO
CANDIDATO (A) NÃO APRESENTOU DECLARAÇÃO EXPEDIDA PELO GDF QUE
COMPROVE RECEBIMENTO DE BENEFÍCIO DE PROGRAMA SOCIAL DE
COMPLEMENTAÇÃO OU SUPLEMENTAÇÃO DE RENDA DO GDF (PRATO CHEIO E
DF SOCIAL)
ALINE DOS SANTOS SOUSA 078***.***-** 7 INDEFERIDO
CANDIDATO (A) NÃO APRESENTOU DECLARAÇÃO EXPEDIDA PELO GDF QUE
COMPROVE RECEBIMENTO DE BENEFÍCIO DE PROGRAMA SOCIAL DE
COMPLEMENTAÇÃO OU SUPLEMENTAÇÃO DE RENDA DO GDF (PRATO CHEIO E
DF SOCIAL)
VALERIA DE MOURA RODRIGUES 059***.***-** 3 INDEFERIDO
CANDIDATO (A) NÃO APRESENTOU LAUDO MÉDICO COMPROBATÓRIO DA
ISENÇÃO DE
ACORDO COM A POSSIBILIDADE ESCOLHIDA (CAD. ÚNICO FEDERAL)
GABRIELLA TORRES SILVA ***.***-** INDEFERIDO
CANDIDATO (A) NÃO APRESENTOU DOCUMENTAÇÃO EXIGIDA ( NENHUMA
DOCUMENTAÇÃO )
RENAM NASCIMENTO DA SILVA 033***.***-** 1 INDEFERIDO CANDIDATO (A) NÃO APRESENTOU DOCUMENTAÇÃO EXIGIDA EM PDF
RENAM NASCIMENTO DA SILVA 033***.***-** 2 INDEFERIDO CANDIDATO (A) NÃO APRESENTOU DOCUMENTAÇÃO EXIGIDA EM PDF
ANA CLAUDIA DA SILVA 747***.***-** 1 DEFERIDO
ANGELICA SIRQUEIRA DOS SANTOS 058***.***-** 2 INDEFERIDO
CANDIDATO (A) NÃO APRESENTOU DECLARAÇÃO EXPEDIDA PELO GDF QUE
COMPROVE RECEBIMENTO DE BENEFÍCIO DE PROGRAMA SOCIAL DE
COMPLEMENTAÇÃO OU SUPLEMENTAÇÃO DE RENDA DO GDF (PRATO CHEIO E
DF SOCIAL)
ZAQUEU AFONSO DE MIRANDA 287***.***-** 8 INDEFERIDO
CANDIDATO (A) NÃO APRESENTOU DECLARAÇÃO EXPEDIDA PELO GDF QUE
COMPROVE RECEBIMENTO DE BENEFÍCIO DE PROGRAMA SOCIAL DE
COMPLEMENTAÇÃO OU SUPLEMENTAÇÃO DE RENDA DO GDF (PRATO CHEIO E
DF SOCIAL)
ANNE KELLY DE SOUSA MENDES 041***.***-** 1 INDEFERIDO
CANDIDATO (A) NÃO APRESENTOU DECLARAÇÃO EXPEDIDA PELO GDF QUE
COMPROVE RECEBIMENTO DE BENEFÍCIO DE PROGRAMA SOCIAL DE
COMPLEMENTAÇÃO OU SUPLEMENTAÇÃO DE RENDA DO GDF (PRATO CHEIO E
DF SOCIAL)
ANNE KELLY DE SOUSA MENDES 041***.***-** 2 INDEFERIDO
CANDIDATO (A) NÃO APRESENTOU DECLARAÇÃO EXPEDIDA PELO GDF QUE
COMPROVE RECEBIMENTO DE BENEFÍCIO DE PROGRAMA SOCIAL DE
COMPLEMENTAÇÃO OU SUPLEMENTAÇÃO DE RENDA DO GDF (PRATO CHEIO E
DF SOCIAL)
ROSANA VAZ DE OLIVEIRA 045***.***-** 1 INDEFERIDO
CANDIDATO (A) NÃO APRESENTOU DECLARAÇÃO EXPEDIDA PELO GDF QUE
COMPROVE RECEBIMENTO DE BENEFÍCIO DE PROGRAMA SOCIAL DE
COMPLEMENTAÇÃO OU SUPLEMENTAÇÃO DE RENDA DO GDF (PRATO CHEIO E
DF SOCIAL)
ROSANA VAZ DE OLIVEIRA 045***.***-** 2 INDEFERIDO
CANDIDATO (A) NÃO APRESENTOU DECLARAÇÃO EXPEDIDA PELO GDF QUE
COMPROVE RECEBIMENTO DE BENEFÍCIO DE PROGRAMA SOCIAL DE
COMPLEMENTAÇÃO OU SUPLEMENTAÇÃO DE RENDA DO GDF (PRATO CHEIO E
DF SOCIAL)/ ESCOLHEU DUAS OPÇÕES DE CODIGO
CINTIA SILVA HONORATO 901***.***-** 1 DEFERIDO
PATRICIA OLIVEIRA DE MOURA 721***.***-** 6 INDEFERIDO
CANDIDATO (A) NÃO APRESENTOU DOCUMENTAÇÃO EXIGIDA ( 2
COMPROVANTES DE SERVIÇO ELEITORAL/ ENVIOU 2X O MESMO
COMPROVANTE)
JULIANA DAS DORES BRANDAO 023***.***-** 6 INDEFERIDO
CANDIDATO (A) NÃO APRESENTOU DECLARAÇÃO EXPEDIDA PELO GDF QUE
COMPROVE RECEBIMENTO DE BENEFÍCIO DE PROGRAMA SOCIAL DE
COMPLEMENTAÇÃO OU SUPLEMENTAÇÃO DE RENDA DO GDF (PRATO CHEIO E
DF SOCIAL)
GUILHERME ALEXANDRE RODRIGUES LIBERAL 022***.***-** INDEFERIDO CANDIDATO (A) NÃO APRESENTOU DOCUMENTAÇÃO EXIGIDA ( FORMULÁRIO )
MARINALDA SOARES DE OLIVEIRA 996***.***-** 1 DEFERIDO
MARINALDA SOARES DE OLIVEIRA 996***.***-** 3 DEFERIDO
ANA CLAUDIA DA SILVA 747***.***-** 8 DEFERIDO
MARQUINHOS DE OLIVEIRA AFONSO 870***.***-** 6 INDEFERIDO CANDIDATO (A) NÃO APRESENTOU DOCUMENTAÇÃO EXIGIDA EM PDF ( RG)
MARQUINHOS DE OLIVEIRA AFONSO 870***.***-** 1 INDEFERIDO CANDIDATO (A) NÃO APRESENTOU DOCUMENTAÇÃO EXIGIDA EM PDF ( RG)
EDUARDO DE SOUSA RIBEIRO 071***.***-** 1 INDEFERIDO
CANDIDATO (A) NÃO APRESENTOU DECLARAÇÃO EXPEDIDA PELO GDF QUE
COMPROVE RECEBIMENTO DE BENEFÍCIO DE PROGRAMA SOCIAL DE
COMPLEMENTAÇÃO OU SUPLEMENTAÇÃO DE RENDA DO GDF (PRATO CHEIO E
DF SOCIAL)
LUCAS FELIPE DA SILVA ALVES 048***.***-** 1 INDEFERIDO
CANDIDATO (A) NÃO APRESENTOU LAUDO MÉDICO COMPROBATÓRIO DA
ISENÇÃO DE
ACORDO COM A POSSIBILIDADE ESCOLHIDA (CAD. ÚNICO FEDERAL)
LUCAS FELIPE DA SILVA ALVES 048***.***-** 5 INDEFERIDO
CANDIDATO (A) NÃO APRESENTOU LAUDO MÉDICO COMPROBATÓRIO DA
ISENÇÃO DE
ACORDO COM A POSSIBILIDADE ESCOLHIDA (CAD. ÚNICO FEDERAL)
EDUARDO DE SOUSA RIBEIRO 071***.***-** 3 INDEFERIDO
CANDIDATO (A) NÃO APRESENTOU DECLARAÇÃO EXPEDIDA PELO GDF QUE
COMPROVE RECEBIMENTO DE BENEFÍCIO DE PROGRAMA SOCIAL DE
COMPLEMENTAÇÃO OU SUPLEMENTAÇÃO DE RENDA DO GDF (PRATO CHEIO E
DF SOCIAL)
ANA PAULA NUNES MORAIS 037***.***-** 2 INDEFERIDO
CANDIDATO (A) NÃO APRESENTOU DECLARAÇÃO EXPEDIDA PELO GDF QUE
COMPROVE RECEBIMENTO DE BENEFÍCIO DE PROGRAMA SOCIAL DE
COMPLEMENTAÇÃO OU SUPLEMENTAÇÃO DE RENDA DO GDF (PRATO CHEIO E
DF SOCIAL)
MONICA COSTA MARQUES 019***.***-** 1 INDEFERIDO
CANDIDATO (A) NÃO APRESENTOU DECLARAÇÃO EXPEDIDA PELO GDF QUE
COMPROVE RECEBIMENTO DE BENEFÍCIO DE PROGRAMA SOCIAL DE
COMPLEMENTAÇÃO OU SUPLEMENTAÇÃO DE RENDA DO GDF (PRATO CHEIO E
DF SOCIAL)
STHEFANIE REIS DE ALMEIDA 066***.***-** 5 INDEFERIDO
CANDIDATO (A) NÃO APRESENTOU LAUDO MÉDICO COMPROBATÓRIO DA
ISENÇÃO DE
ACORDO COM A POSSIBILIDADE ESCOLHIDA (CAD. ÚNICO FEDERAL)
MARIA TEIXEIRA DO NASCIMENTO LOIOLA 359***.***-** 8 INDEFERIDO
CANDIDATO (A) NÃO APRESENTOU DECLARAÇÃO EXPEDIDA PELO GDF QUE
COMPROVE RECEBIMENTO DE BENEFÍCIO DE PROGRAMA SOCIAL DE
COMPLEMENTAÇÃO OU SUPLEMENTAÇÃO DE RENDA DO GDF (PRATO CHEIO E
DF SOCIAL)
JÚLIO GABRIEL LÓCIO DE ALENCAR DOS REIS 063***.***-** 7 INDEFERIDO
CANDIDATO (A) NÃO APRESENTOU DECLARAÇÃO EXPEDIDA PELO GDF QUE
COMPROVE RECEBIMENTO DE BENEFÍCIO DE PROGRAMA SOCIAL DE
COMPLEMENTAÇÃO OU SUPLEMENTAÇÃO DE RENDA DO GDF (PRATO CHEIO E
DF SOCIAL)
EDIVANIA CUNHA DE SOUSA 993***.***-** 7 INDEFERIDO
CANDIDATO (A) NÃO APRESENTOU DECLARAÇÃO EXPEDIDA PELO GDF QUE
COMPROVE RECEBIMENTO DE BENEFÍCIO DE PROGRAMA SOCIAL DE
COMPLEMENTAÇÃO OU SUPLEMENTAÇÃO DE RENDA DO GDF (PRATO CHEIO E
DF SOCIAL)
DAIANY FERREIRA DA SILVA 035***.***-** 2 INDEFERIDO
CANDIDATO (A) NÃO APRESENTOU LAUDO MÉDICO COMPROBATÓRIO DA
ISENÇÃO DE
ACORDO COM A POSSIBILIDADE ESCOLHIDA (CAD. ÚNICO FEDERAL)
NATALIA MENDONÇA SIMÕES ***.***-** 8 INDEFERIDO
CANDIDATO (A) NÃO APRESENTOU DOCUMENTAÇÃO EXIGIDA ( NENHUMA
DOCUMENTAÇÃO )
ANE CAROLINE SOUSA DO NASCIMENTO 034***.***-** 1 INDEFERIDO
CANDIDATO (A) NÃO APRESENTOU DECLARAÇÃO EXPEDIDA PELO GDF QUE
COMPROVE RECEBIMENTO DE BENEFÍCIO DE PROGRAMA SOCIAL DE
COMPLEMENTAÇÃO OU SUPLEMENTAÇÃO DE RENDA DO GDF (PRATO CHEIO E
DF SOCIAL)
ANE CAROLINE SOUSA DO NASCIMENTO 034***.***-** 8 INDEFERIDO
CANDIDATO (A) NÃO APRESENTOU DECLARAÇÃO EXPEDIDA PELO GDF QUE
COMPROVE RECEBIMENTO DE BENEFÍCIO DE PROGRAMA SOCIAL DE
COMPLEMENTAÇÃO OU SUPLEMENTAÇÃO DE RENDA DO GDF (PRATO CHEIO E
DF SOCIAL)
NATHILA LUANE ALVES DOS SANTOS 069***.***-** 1 INDEFERIDO
CANDIDATO (A) NÃO APRESENTOU DECLARAÇÃO EXPEDIDA PELO GDF QUE
COMPROVE RECEBIMENTO DE BENEFÍCIO DE PROGRAMA SOCIAL DE
COMPLEMENTAÇÃO OU SUPLEMENTAÇÃO DE RENDA DO GDF (PRATO CHEIO E
DF SOCIAL)
ADRIANA MENDES ALMEIDA DE GOES 023***.***-** 8 INDEFERIDO
CANDIDATO (A) NÃO APRESENTOU DECLARAÇÃO EXPEDIDA PELO GDF QUE
COMPROVE RECEBIMENTO DE BENEFÍCIO DE PROGRAMA SOCIAL DE
COMPLEMENTAÇÃO OU SUPLEMENTAÇÃO DE RENDA DO GDF (PRATO CHEIO E
DF SOCIAL)
LUANA DE SOUZA SANTOS 034***.***-** 1 DEFERIDO
LUANA DE SOUZA SANTOS 034***.***-** 6 DEFERIDO
MARIA LUIZA DE FREITAS MAIA 060***.***-** 1 DEFERIDO
MARIA LUIZA DE FREITAS MAIA 060***.***-** 7 DEFERIDO
GABRIELLE CARVALHO MACÊDO 034***.***-** 1 INDEFERIDO CANDIDATO (A) NÃO APRESENTOU DOCUMENTAÇÃO EXIGIDA ( FORMULÁRIO )
EMANUELLY JORDÂNIA DO NASCIMENTO OLIVEIRA 052***.***-** 1 INDEFERIDO
CANDIDATO (A) NÃO APRESENTOU LAUDO MÉDICO COMPROBATÓRIO DA
ISENÇÃO DE
ACORDO COM A POSSIBILIDADE ESCOLHIDA (CAD. ÚNICO FEDERAL)
ALAINE LIMA DE ARRUDA 044***.***-** 1 DEFERIDO
FLÁVIA SOARES DE OLIVEIRA 069***.***-** 1 DEFERIDO
FLÁVIA SOARES DE OLIVEIRA 069***.***-** 2 DEFERIDO
PATRÍCIA ALVES TEXEIRA 057***.***-** 6 INDEFERIDO CANDIDATO (A) NÃO APRESENTOU DOCUMENTAÇÃO EXIGIDA EM PDF (RG)
CIDA LOPES ***.***-** INDEFERIDO
CANDIDATO (A) NÃO APRESENTOU DOCUMENTAÇÃO EXIGIDA ( NENHUMA
DOCUMENTAÇÃO )
MARINA DE SOUSA NOGUEIRA DE MORAIS 048***.***-** 5 DEFERIDO
ALESSANDRA LIMA DE ARRUDA FERREIRA 021***.***-** 2 INDEFERIDO
CANDIDATO (A) NÃO APRESENTOU LAUDO MÉDICO COMPROBATÓRIO DA
ISENÇÃO DE
ACORDO COM A POSSIBILIDADE ESCOLHIDA (CAD. ÚNICO FEDERAL)
ALMISLENI VITORIA LOPES PIMENTEL 057***.***-** INDEFERIDO
CANDIDATO (A) NÃO APRESENTOU DECLARAÇÃO EXPEDIDA PELO GDF QUE
COMPROVE RECEBIMENTO DE BENEFÍCIO DE PROGRAMA SOCIAL DE
COMPLEMENTAÇÃO OU SUPLEMENTAÇÃO DE RENDA DO GDF (PRATO CHEIO E
DF SOCIAL)
PATRÍCIA DE SOUZA LÚCIO 015***.***-** 1 DEFERIDO
JAQUELINE RODRIGUES DA CRUZ 704***.***-** 8 INDEFERIDO
CANDIDATO (A) NÃO APRESENTOU DECLARAÇÃO EXPEDIDA PELO GDF QUE
COMPROVE RECEBIMENTO DE BENEFÍCIO DE PROGRAMA SOCIAL DE
COMPLEMENTAÇÃO OU SUPLEMENTAÇÃO DE RENDA DO GDF (PRATO CHEIO E
DF SOCIAL)
DIÊGO FERNANDES DE MELO 016***.***-** 3 DEFERIDO
CLEISE NUNES VIEIRA LOPES 000***.***-** 7 DEFERIDO
CLEISE NUNES VIEIRA LOPES 000***.***-** 1 DEFERIDO
THÁYNARA ÉRICA DO NASCIMENTO 004***.***-** 2 DEFERIDO
ALMISLENI VITORIA LOPES PIMENTEL 057***.***-** 1 INDEFERIDO
CANDIDATO (A) NÃO APRESENTOU DECLARAÇÃO EXPEDIDA PELO GDF QUE
COMPROVE RECEBIMENTO DE BENEFÍCIO DE PROGRAMA SOCIAL DE
COMPLEMENTAÇÃO OU SUPLEMENTAÇÃO DE RENDA DO GDF (PRATO CHEIO E
DF SOCIAL)
VALDOMIRO ALVES FERNANDES ***.***-** INDEFERIDO
CANDIDATO (A) NÃO APRESENTOU DOCUMENTAÇÃO EXIGIDA ( NENHUMA
DOCUMENTAÇÃO )
ITALA CERQUEIRA DE CARVALHO 712***.***-** 1 DEFERIDO
LORRANY ALVES OLIVEIRA 074***.***-** 1 INDEFERIDO
CANDIDATO (A) NÃO SELECIONOU NENHUMA DAS OPÇÕES DO FORMULÁRIO
DISPONÍVEL
ADMA THAMAR SOUZA CAMPOS 050***.***-** 1 DEFERIDO
LUIZA THAINÁ ARAUJO RODRIGUES 060***.***-** 1 INDEFERIDO
CANDIDATO (A) NÃO APRESENTOU DECLARAÇÃO EXPEDIDA PELO GDF QUE
COMPROVE RECEBIMENTO DE BENEFÍCIO DE PROGRAMA SOCIAL DE
COMPLEMENTAÇÃO OU SUPLEMENTAÇÃO DE RENDA DO GDF (PRATO CHEIO E
DF SOCIAL)
LUIZA THAINÁ ARAUJO RODRIGUES 060***.***-** 8 INDEFERIDO
CANDIDATO (A) NÃO APRESENTOU DECLARAÇÃO EXPEDIDA PELO GDF QUE
COMPROVE RECEBIMENTO DE BENEFÍCIO DE PROGRAMA SOCIAL DE
COMPLEMENTAÇÃO OU SUPLEMENTAÇÃO DE RENDA DO GDF (PRATO CHEIO E
DF SOCIAL)
VERONICA MENEZES PIMENTEL 572***.***-** 1 DEFERIDO
SIOMAR FRANCISCO DA SILVA 636***.***-** 3 DEFERIDO
FERNANDA CARDOSO DA SILVA 027***.***-** 1 DEFERIDO
FERNANDA CARDOSO DA SILVA 027***.***-** 2 DEFERIDO
DANIELA FERREIRA MARTINS 034***.***-** 1 DEFERIDO
ANDRE ALBERTO DE JESUS SILVA 619***.***-** 1 INDEFERIDO
CANDIDATO (A) NÃO APRESENTOU LAUDO MÉDICO COMPROBATÓRIO DA
ISENÇÃO DE
ACORDO COM A POSSIBILIDADE ESCOLHIDA (CAD. ÚNICO FEDERAL)
TCHEURY MICK CANABRAVA MENDES 026***.***-** 1 INDEFERIDO
CANDIDATO (A) NÃO APRESENTOU DECLARAÇÃO EXPEDIDA PELO GDF QUE
COMPROVE RECEBIMENTO DE BENEFÍCIO DE PROGRAMA SOCIAL DE
COMPLEMENTAÇÃO OU SUPLEMENTAÇÃO DE RENDA DO GDF (PRATO CHEIO E
DF SOCIAL)
MESSIAS RODRIGUES DE CARVALHO 856***.***-** 1 DEFERIDO
ISABEL DOS SANTOS CONCEIÇÃO PIMENTA 791***.***-** INDEFERIDO
CANDIDATO (A) NÃO APRESENTOU DOCUMENTAÇÃO EXIGIDA ( NENHUMA
DOCUMENTAÇÃO )
ERIVAN LOPES ALVES 801***.***-** 1 INDEFERIDO
CANDIDATO (A) NÃO APRESENTOU LAUDO MÉDICO COMPROBATÓRIO DA
ISENÇÃO DE
ACORDO COM A POSSIBILIDADE ESCOLHIDA (CAD. ÚNICO FEDERAL)
ADRIANA DA SILVA RESENDE 000***.***-** 1 DEFERIDO
ADRIANA DA SILVA RESENDE 000***.***-** 8 DEFERIDO
ALINE SOUZA SOARES 051***.***-** 1 DEFERIDO
PAMELLA LIMA BRENHA 044***.***-** 1 INDEFERIDO
CANDIDATO (A) NÃO APRESENTOU DECLARAÇÃO EXPEDIDA PELO GDF QUE
COMPROVE RECEBIMENTO DE BENEFÍCIO DE PROGRAMA SOCIAL DE
COMPLEMENTAÇÃO OU SUPLEMENTAÇÃO DE RENDA DO GDF (PRATO CHEIO E
DF SOCIAL)
RITA DE CÁSSIA SILVA DOS SANTOS 386***.***-** 7 INDEFERIDO
CANDIDATO (A) NÃO APRESENTOU LAUDO MÉDICO COMPROBATÓRIO DA
ISENÇÃO DE
ACORDO COM A POSSIBILIDADE ESCOLHIDA (CAD. ÚNICO FEDERAL)
GIOVANNA DOS SANTOS FLORES 072***.***-** INDEFERIDO
CANDIDATO (A) NÃO APRESENTOU DOCUMENTAÇÃO EXIGIDA ( NENHUMA
DOCUMENTAÇÃO )
RENNE DE LISANDRA DA SILVA ALMEIDA 031***.***-** 7 DEFERIDO
LUCIENE DELFINO FONSECA 031***.***-** 1 INDEFERIDO
CANDIDATO (A) NÃO APRESENTOU LAUDO MÉDICO COMPROBATÓRIO DA
ISENÇÃO DE
ACORDO COM A POSSIBILIDADE ESCOLHIDA (CAD. ÚNICO FEDERAL)
DAVI RIBEIRO DA COSTA 032***.***-** 1 INDEFERIDO
CANDIDATO (A) NÃO APRESENTOU LAUDO MÉDICO COMPROBATÓRIO DA
ISENÇÃO DE
ACORDO COM A POSSIBILIDADE ESCOLHIDA (CAD. ÚNICO FEDERAL)
KELLE DE ARAUJO LIMA 722***.***-** INDEFERIDO
CANDIDATO (A) NÃO APRESENTOU DOCUMENTAÇÃO EXIGIDA ( NENHUMA
DOCUMENTAÇÃO )
MARCIO RIBEIRO DE MACEDO 710***.***-** 5 DEFERIDO
FERNANDA BARBOSA VIEIRA 042***.***-** 6 INDEFERIDO
CANDIDATO (A) NÃO APRESENTOU DECLARAÇÃO EXPEDIDA PELO GDF QUE
COMPROVE RECEBIMENTO DE BENEFÍCIO DE PROGRAMA SOCIAL DE
COMPLEMENTAÇÃO OU SUPLEMENTAÇÃO DE RENDA DO GDF (PRATO CHEIO E
DF SOCIAL)
PATRICIA LEMOS GOMES 060***.***-** 2 INDEFERIDO
CANDIDATO (A) NÃO APRESENTOU LAUDO MÉDICO COMPROBATÓRIO DA
ISENÇÃO DE
ACORDO COM A POSSIBILIDADE ESCOLHIDA (CAD. ÚNICO FEDERAL)
FERNANDA FERREIRA DA SILVA 059***.***-** 1 INDEFERIDO
CANDIDATO (A) NÃO APRESENTOU DOCUMENTAÇÃO EXIGIDA EM PDF
(FORMULÁRIO)
FERNANDA FERREIRA DA SILVA 059***.***-** 4 INDEFERIDO
CANDIDATO (A) NÃO APRESENTOU DOCUMENTAÇÃO EXIGIDA EM PDF
(FORMULÁRIO)
LAYALA BEATRIZ LUIZ DA SILVA 079***.***-** INDEFERIDO
CANDIDATO (A) NÃO APRESENTOU DECLARAÇÃO EXPEDIDA PELO GDF QUE
COMPROVE RECEBIMENTO DE BENEFÍCIO DE PROGRAMA SOCIAL DE
COMPLEMENTAÇÃO OU SUPLEMENTAÇÃO DE RENDA DO GDF (PRATO CHEIO E
DF SOCIAL)
RAFAELA ANDREA RADAMES GUERRA 014***.***-** 1 DEFERIDO
NAYARA GOMES VIANA 018***.***-** 8 INDEFERIDO CANDIDATO (A) NÃO APRESENTOU DOCUMENTAÇÃO EXIGIDA EM PDF
GUSTAVO SOUSA DE OLIVEIRA 078***.***-** 1 INDEFERIDO
CANDIDATO (A) NÃO APRESENTOU DECLARAÇÃO EXPEDIDA PELO GDF QUE
COMPROVE RECEBIMENTO DE BENEFÍCIO DE PROGRAMA SOCIAL DE
COMPLEMENTAÇÃO OU SUPLEMENTAÇÃO DE RENDA DO GDF (PRATO CHEIO E
DF SOCIAL)
BEATRIZ E SILVA CAIRES 071***.***-** 1 INDEFERIDO
CANDIDATO (A) NÃO APRESENTOU DECLARAÇÃO EXPEDIDA PELO GDF QUE
COMPROVE RECEBIMENTO DE BENEFÍCIO DE PROGRAMA SOCIAL DE
COMPLEMENTAÇÃO OU SUPLEMENTAÇÃO DE RENDA DO GDF (PRATO CHEIO E
DF SOCIAL)
THAYNAN CRISTINE LOPES DE SOUSA 042***.***-** 1 DEFERIDO
WILTON DE LIMA MACHADO 829***.***-** 1 DEFERIDO
WILTON DE LIMA MACHADO 829***.***-** 8 DEFERIDO
LARA CAMILLY DE OLIVEIRA MARQUES 712***.***-** INDEFERIDO
CANDIDATO (A) NÃO APRESENTOU LAUDO MÉDICO COMPROBATÓRIO DA
ISENÇÃO DE
ACORDO COM A POSSIBILIDADE ESCOLHIDA (CAD. ÚNICO FEDERAL)
VALERIA FATIMA DE FREITAS 012***.***-** 1 INDEFERIDO
CANDIDATO (A) NÃO APRESENTOU DECLARAÇÃO EXPEDIDA PELO GDF QUE
COMPROVE RECEBIMENTO DE BENEFÍCIO DE PROGRAMA SOCIAL DE
COMPLEMENTAÇÃO OU SUPLEMENTAÇÃO DE RENDA DO GDF (PRATO CHEIO E
DF SOCIAL)
RAFAELA RODRIGUES DA SILVA 059***.***-** 2 INDEFERIDO
CANDIDATO (A) NÃO APRESENTOU DECLARAÇÃO EXPEDIDA PELO GDF QUE
COMPROVE RECEBIMENTO DE BENEFÍCIO DE PROGRAMA SOCIAL DE
COMPLEMENTAÇÃO OU SUPLEMENTAÇÃO DE RENDA DO GDF (PRATO CHEIO E
DF SOCIAL)
JACIRA SILVA DOS SANTOS 703***.***-** 1 DEFERIDO
IONE AZEVEDO DE SOUZA 15.***.***-** INDEFERIDO
CANDIDATO (A) NÃO APRESENTOU DECLARAÇÃO EXPEDIDA PELO GDF QUE
COMPROVE RECEBIMENTO DE BENEFÍCIO DE PROGRAMA SOCIAL DE
COMPLEMENTAÇÃO OU SUPLEMENTAÇÃO DE RENDA DO GDF (PRATO CHEIO E
DF SOCIAL)
AMANDA PERES BARBOSA DA COSTA 058***.***-** 1 INDEFERIDO CANDIDATO (A) NÃO APRESENTOU DOCUMENTAÇÃO EXIGIDA EM PDF
JOAO VICTOR ALVES SANTANA 074***.***-** 1 INDEFERIDO
CANDIDATO (A) NÃO APRESENTOU LAUDO MÉDICO COMPROBATÓRIO DA
ISENÇÃO DE
ACORDO COM A POSSIBILIDADE ESCOLHIDA (CAD. ÚNICO FEDERAL)
ELIANE SUELLEN DE SOUZA 703***.***-** 2 INDEFERIDO
CANDIDATO (A) NÃO APRESENTOU DECLARAÇÃO EXPEDIDA PELO GDF QUE
COMPROVE RECEBIMENTO DE BENEFÍCIO DE PROGRAMA SOCIAL DE
COMPLEMENTAÇÃO OU SUPLEMENTAÇÃO DE RENDA DO GDF (PRATO CHEIO E
DF SOCIAL)
ISABELLA FÁTIMA RODRIGUES SILVA 076***.***-** 1 DEFERIDO
ANDREIA DE FREITAS LOUZEIRO SILVA 022***.***-** 1 INDEFERIDO
CANDIDATO (A) NÃO APRESENTOU DECLARAÇÃO EXPEDIDA PELO GDF QUE
COMPROVE RECEBIMENTO DE BENEFÍCIO DE PROGRAMA SOCIAL DE
COMPLEMENTAÇÃO OU SUPLEMENTAÇÃO DE RENDA DO GDF (PRATO CHEIO E
DF SOCIAL)
REJANE SILVA COSTA 037***.***-** INDEFERIDO
CANDIDATO (A) NÃO APRESENTOU DECLARAÇÃO EXPEDIDA PELO GDF QUE
COMPROVE RECEBIMENTO DE BENEFÍCIO DE PROGRAMA SOCIAL DE
COMPLEMENTAÇÃO OU SUPLEMENTAÇÃO DE RENDA DO GDF (PRATO CHEIO E
DF SOCIAL)
ANA CRISTINA TUPINAMBÁ MARQUES DENGO 001***.***-** 1 INDEFERIDO CANDIDATO (A) NÃO APRESENTOU DOCUMENTAÇÃO EXIGIDA EM PDF
ANA CRISTINA TUPINAMBÁ MARQUES DENGO 001***.***-** 8 INDEFERIDO CANDIDATO (A) NÃO APRESENTOU DOCUMENTAÇÃO EXIGIDA EM PDF
LILIANE ANGELICA DE SOUZA SANTOS 814***.***-** 8 INDEFERIDO
CANDIDATO (A) NÃO APRESENTOU DOCUMENTAÇÃO EXIGIDA NO MESMO
EMAIL ( FORMULÁRIO VEIO EM OUTRO EMAIL SEPARADO DA DOCUMENTAÇÃO )
VANESSA CUNHA DA SILVA 057***.***-** 5 INDEFERIDO
CANDIDATO (A) NÃO APRESENTOU DECLARAÇÃO EXPEDIDA PELO GDF QUE
COMPROVE RECEBIMENTO DE BENEFÍCIO DE PROGRAMA SOCIAL DE
COMPLEMENTAÇÃO OU SUPLEMENTAÇÃO DE RENDA DO GDF (PRATO CHEIO E
DF SOCIAL)
MADSON MOTA DE PAULA 034***.***-** 1 DEFERIDO
MADSON MOTA DE PAULA 034***.***-** 3 DEFERIDO
ANDRÉIA MOREIRA DE SOUSA 883***.***-** 1 DEFERIDO
VALDEYDE AGOSTINHO MENDES 658***.***-** 7 DEFERIDO
VALDEYDE AGOSTINHO MENDES 658***.***-** 1 DEFERIDO
NOEMI FARIAS DA SILVA 000***.***-** 1 INDEFERIDO
CANDIDATO (A) NÃO APRESENTOU DECLARAÇÃO EXPEDIDA PELO GDF QUE
COMPROVE RECEBIMENTO DE BENEFÍCIO DE PROGRAMA SOCIAL DE
COMPLEMENTAÇÃO OU SUPLEMENTAÇÃO DE RENDA DO GDF (PRATO CHEIO E
DF SOCIAL)
NOEMI FARIAS DA SILVA 000***.***-** 6 INDEFERIDO
CANDIDATO (A) NÃO APRESENTOU DECLARAÇÃO EXPEDIDA PELO GDF QUE
COMPROVE RECEBIMENTO DE BENEFÍCIO DE PROGRAMA SOCIAL DE
COMPLEMENTAÇÃO OU SUPLEMENTAÇÃO DE RENDA DO GDF (PRATO CHEIO E
DF SOCIAL)
JAQUELINE DA SILVA COUTINHO 052***.***-** 1 INDEFERIDO
CANDIDATO (A) NÃO APRESENTOU DECLARAÇÃO EXPEDIDA PELO GDF QUE
COMPROVE RECEBIMENTO DE BENEFÍCIO DE PROGRAMA SOCIAL DE
COMPLEMENTAÇÃO OU SUPLEMENTAÇÃO DE RENDA DO GDF (PRATO CHEIO E
DF SOCIAL)
DULCINEIDE DE FREITAS NASCIMENTO 004***.***-** 2 DEFERIDO
SANDRA GOMES DA SILVA 889***.***-** 1 DEFERIDO
ARISTELIA ARAUJO FARIAS 052***.***-** 1 INDEFERIDO
CANDIDATO (A) NÃO APRESENTOU DECLARAÇÃO EXPEDIDA PELO GDF QUE
COMPROVE RECEBIMENTO DE BENEFÍCIO DE PROGRAMA SOCIAL DE
COMPLEMENTAÇÃO OU SUPLEMENTAÇÃO DE RENDA DO GDF (PRATO CHEIO E
DF SOCIAL)
ARISTELIA ARAUJO FARIAS 052***.***-** 6 INDEFERIDO
CANDIDATO (A) NÃO APRESENTOU DECLARAÇÃO EXPEDIDA PELO GDF QUE
COMPROVE RECEBIMENTO DE BENEFÍCIO DE PROGRAMA SOCIAL DE
COMPLEMENTAÇÃO OU SUPLEMENTAÇÃO DE RENDA DO GDF (PRATO CHEIO E
DF SOCIAL)
CAMILA DOS SANTOS VASCONCELOS 079***.***-** 1 INDEFERIDO
CANDIDATO (A) NÃO APRESENTOU DECLARAÇÃO EXPEDIDA PELO GDF QUE
COMPROVE RECEBIMENTO DE BENEFÍCIO DE PROGRAMA SOCIAL DE
COMPLEMENTAÇÃO OU SUPLEMENTAÇÃO DE RENDA DO GDF (PRATO CHEIO E
DF SOCIAL)
GUILHERME BUENO GOMES ***.***-** INDEFERIDO
CANDIDATO (A) NÃO APRESENTOU DOCUMENTAÇÃO EXIGIDA ( NENHUMA
DOCUMENTAÇÃO )
ALESSANDRA ARUAJO FARIAS 052***.***-** 1 INDEFERIDO
CANDIDATO (A) NÃO APRESENTOU DECLARAÇÃO EXPEDIDA PELO GDF QUE
COMPROVE RECEBIMENTO DE BENEFÍCIO DE PROGRAMA SOCIAL DE
COMPLEMENTAÇÃO OU SUPLEMENTAÇÃO DE RENDA DO GDF (PRATO CHEIO E
DF SOCIAL)
ALESSANDRA ARUAJO FARIAS 052***.***-** 6 INDEFERIDO
CANDIDATO (A) NÃO APRESENTOU DECLARAÇÃO EXPEDIDA PELO GDF QUE
COMPROVE RECEBIMENTO DE BENEFÍCIO DE PROGRAMA SOCIAL DE
COMPLEMENTAÇÃO OU SUPLEMENTAÇÃO DE RENDA DO GDF (PRATO CHEIO E
DF SOCIAL)
LUANA BORGES DE ARAUJO 039***.***-** 7 INDEFERIDO
CANDIDATO (A) NÃO APRESENTOU DECLARAÇÃO EXPEDIDA PELO GDF QUE
COMPROVE RECEBIMENTO DE BENEFÍCIO DE PROGRAMA SOCIAL DE
COMPLEMENTAÇÃO OU SUPLEMENTAÇÃO DE RENDA DO GDF (PRATO CHEIO E
DF SOCIAL)
GABRIELE VASCONCELOS PACHECO 088***.***-** 1 INDEFERIDO
CANDIDATO (A) NÃO APRESENTOU DECLARAÇÃO EXPEDIDA PELO GDF QUE
COMPROVE RECEBIMENTO DE BENEFÍCIO DE PROGRAMA SOCIAL DE
COMPLEMENTAÇÃO OU SUPLEMENTAÇÃO DE RENDA DO GDF (PRATO CHEIO E
DF SOCIAL)
YASMIN DE JESUS OLIVEIRA 041***.***-** 1 DEFERIDO
KELY DAIANE ALVES VAZ 036***.***-** INDEFERIDO
CANDIDATO (A) NÃO APRESENTOU LAUDO MÉDICO COMPROBATÓRIO DA
ISENÇÃO DE
ACORDO COM A POSSIBILIDADE ESCOLHIDA (CAD. ÚNICO FEDERAL)
CRISTIANA DO NASCIMENTO SILVA OLIVEIRA 727***.***-** 1 INDEFERIDO
CANDIDATO (A) NÃO APRESENTOU DECLARAÇÃO EXPEDIDA PELO GDF QUE
COMPROVE RECEBIMENTO DE BENEFÍCIO DE PROGRAMA SOCIAL DE
COMPLEMENTAÇÃO OU SUPLEMENTAÇÃO DE RENDA DO GDF (PRATO CHEIO E
DF SOCIAL)
FELIPE PEREIRA RAMOS 059***.***-** 1 INDEFERIDO
CANDIDATO (A) NÃO APRESENTOU DECLARAÇÃO EXPEDIDA PELO GDF QUE
COMPROVE RECEBIMENTO DE BENEFÍCIO DE PROGRAMA SOCIAL DE
COMPLEMENTAÇÃO OU SUPLEMENTAÇÃO DE RENDA DO GDF (PRATO CHEIO E
DF SOCIAL)
FELIPE PEREIRA RAMOS 059***.***-** 8 INDEFERIDO
CANDIDATO (A) NÃO APRESENTOU DECLARAÇÃO EXPEDIDA PELO GDF QUE
COMPROVE RECEBIMENTO DE BENEFÍCIO DE PROGRAMA SOCIAL DE
COMPLEMENTAÇÃO OU SUPLEMENTAÇÃO DE RENDA DO GDF (PRATO CHEIO E
DF SOCIAL)
DANIEL OLIVEIRA DA SILVA 038***.***-** 8 INDEFERIDO
CANDIDATO (A) NÃO APRESENTOU LAUDO MÉDICO COMPROBATÓRIO DA
ISENÇÃO DE
ACORDO COM A POSSIBILIDADE ESCOLHIDA (CAD. ÚNICO FEDERAL)
LUIZ GUILHERME DA SILVA RIBEIRO 033***.***-** 1 DEFERIDO
LUIZ GUILHERME DA SILVA RIBEIRO 033***.***-** 8 DEFERIDO
JEISSIANE FERREIRA DE SOUSA 049***.***-** 1 INDEFERIDO
CANDIDATO (A) NÃO APRESENTOU DECLARAÇÃO EXPEDIDA PELO GDF QUE
COMPROVE RECEBIMENTO DE BENEFÍCIO DE PROGRAMA SOCIAL DE
COMPLEMENTAÇÃO OU SUPLEMENTAÇÃO DE RENDA DO GDF (PRATO CHEIO E
DF SOCIAL)
ROSILENE DE OLIVEIRA CORRÊA 904***.***-** 1 DEFERIDO
DANIEL COSTA DA SILVA 004***.***-** 1 DEFERIDO
SAMARA FERREIRA DOS SANTOS 039***.***-** 1 INDEFERIDO
CANDIDATO (A) NÃO APRESENTOU LAUDO MÉDICO COMPROBATÓRIO DA
ISENÇÃO DE
ACORDO COM A POSSIBILIDADE ESCOLHIDA (CAD. ÚNICO FEDERAL)
ANNA LETÍCIA BATISTA LEMOS ROSAL 044***.***-** 1 INDEFERIDO CANDIDATO (A) NÃO APRESENTOU DOCUMENTAÇÃO EXIGIDA (RG)
ALESSANDRA DOS SANTOS ARAUJO 012***.***-** 1 INDEFERIDO
CANDIDATO (A) NÃO APRESENTOU DECLARAÇÃO EXPEDIDA PELO GDF QUE
COMPROVE RECEBIMENTO DE BENEFÍCIO DE PROGRAMA SOCIAL DE
COMPLEMENTAÇÃO OU SUPLEMENTAÇÃO DE RENDA DO GDF (PRATO CHEIO E
DF SOCIAL)
ALESSANDRA DOS SANTOS ARAUJO 012***.***-** 4 INDEFERIDO
CANDIDATO (A) NÃO APRESENTOU DECLARAÇÃO EXPEDIDA PELO GDF QUE
COMPROVE RECEBIMENTO DE BENEFÍCIO DE PROGRAMA SOCIAL DE
COMPLEMENTAÇÃO OU SUPLEMENTAÇÃO DE RENDA DO GDF (PRATO CHEIO E
DF SOCIAL)
ELIANE AUGUSTA ESTRELA DURÃES 030***.***-** 7 INDEFERIDO
CANDIDATO (A) NÃO APRESENTOU DOCUMENTAÇÃO EXIGIDA ( NENHUMA
DOCUMENTAÇÃO )
LUIS CARLOS DE SENA PLACIO FILHO 036***.***-** 6 INDEFERIDO
CANDIDATO (A) NÃO APRESENTOU DECLARAÇÃO EXPEDIDA PELO GDF QUE
COMPROVE RECEBIMENTO DE BENEFÍCIO DE PROGRAMA SOCIAL DE
COMPLEMENTAÇÃO OU SUPLEMENTAÇÃO DE RENDA DO GDF (PRATO CHEIO E
DF SOCIAL)
MICHELE DA SILVA LIMA 011***.***-** 3 INDEFERIDO
CANDIDATO (A) NÃO APRESENTOU DECLARAÇÃO EXPEDIDA PELO GDF QUE
COMPROVE RECEBIMENTO DE BENEFÍCIO DE PROGRAMA SOCIAL DE
COMPLEMENTAÇÃO OU SUPLEMENTAÇÃO DE RENDA DO GDF (PRATO CHEIO E
DF SOCIAL)
MICHELE DA SILVA LIMA 011***.***-** 1 INDEFERIDO
CANDIDATO (A) NÃO APRESENTOU DECLARAÇÃO EXPEDIDA PELO GDF QUE
COMPROVE RECEBIMENTO DE BENEFÍCIO DE PROGRAMA SOCIAL DE
COMPLEMENTAÇÃO OU SUPLEMENTAÇÃO DE RENDA DO GDF (PRATO CHEIO E
DF SOCIAL)
LUCAS CLEMENTINO DE CEIA 027***.***-** 1 DEFERIDO
LUCAS CLEMENTINO DE CEIA 027***.***-** 8 DEFERIDO
MITILENE PEREIRA AGUIAR DOS SANTOS 700***.***-** 8 INDEFERIDO
CANDIDATO (A) NÃO APRESENTOU DECLARAÇÃO EXPEDIDA PELO GDF QUE
COMPROVE RECEBIMENTO DE BENEFÍCIO DE PROGRAMA SOCIAL DE
COMPLEMENTAÇÃO OU SUPLEMENTAÇÃO DE RENDA DO GDF (PRATO CHEIO E
DF SOCIAL)
MITILENE PEREIRA AGUIAR DOS SANTOS 700***.***-** 1 INDEFERIDO
CANDIDATO (A) NÃO APRESENTOU DECLARAÇÃO EXPEDIDA PELO GDF QUE
COMPROVE RECEBIMENTO DE BENEFÍCIO DE PROGRAMA SOCIAL DE
COMPLEMENTAÇÃO OU SUPLEMENTAÇÃO DE RENDA DO GDF (PRATO CHEIO E
DF SOCIAL)
ROSIMAR PIRES MARTINS 696***.***-** 7 INDEFERIDO
CANDIDATO (A) NÃO APRESENTOU DECLARAÇÃO EXPEDIDA PELO GDF QUE
COMPROVE RECEBIMENTO DE BENEFÍCIO DE PROGRAMA SOCIAL DE
COMPLEMENTAÇÃO OU SUPLEMENTAÇÃO DE RENDA DO GDF (PRATO CHEIO E
DF SOCIAL)
EDUARDA VASCONCELOS DA SILVA 077***.***-** 1 DEFERIDO
EDUARDA VASCONCELOS DA SILVA 077***.***-** 5 DEFERIDO
ANA ALVES RAMOS 339***.***-** 1 DEFERIDO
ANA ALVES RAMOS 339***.***-** 8 DEFERIDO
ANDRÉ RAMOS DOS SANTOS 751***.***-** 8 INDEFERIDO
CANDIDATO (A) NÃO APRESENTOU DECLARAÇÃO EXPEDIDA PELO GDF QUE
COMPROVE RECEBIMENTO DE BENEFÍCIO DE PROGRAMA SOCIAL DE
COMPLEMENTAÇÃO OU SUPLEMENTAÇÃO DE RENDA DO GDF (PRATO CHEIO E
DF SOCIAL)
ANDRÉ RAMOS DOS SANTOS 751***.***-** 1 INDEFERIDO
CANDIDATO (A) NÃO APRESENTOU DECLARAÇÃO EXPEDIDA PELO GDF QUE
COMPROVE RECEBIMENTO DE BENEFÍCIO DE PROGRAMA SOCIAL DE
COMPLEMENTAÇÃO OU SUPLEMENTAÇÃO DE RENDA DO GDF (PRATO CHEIO E
DF SOCIAL)
THALITA WOYRON DA SILVA ARAUJO 031***.***-** 5 INDEFERIDO
CANDIDATO (A) NÃO APRESENTOU DECLARAÇÃO EXPEDIDA PELO GDF QUE
COMPROVE RECEBIMENTO DE BENEFÍCIO DE PROGRAMA SOCIAL DE
COMPLEMENTAÇÃO OU SUPLEMENTAÇÃO DE RENDA DO GDF (PRATO CHEIO E
DF SOCIAL)
MARIA DO ROSÁRIO DA SILVA 394***.***-** 1 DEFERIDO
MARIA DO ROSÁRIO DA SILVA 394***.***-** 5 DEFERIDO
LUDIMILLA TAMARA OLIVEIRA LEITE LEMOS 716***.***-** INDEFERIDO
CANDIDATO (A) NÃO APRESENTOU DECLARAÇÃO EXPEDIDA PELO GDF QUE
COMPROVE RECEBIMENTO DE BENEFÍCIO DE PROGRAMA SOCIAL DE
COMPLEMENTAÇÃO OU SUPLEMENTAÇÃO DE RENDA DO GDF (PRATO CHEIO E
DF SOCIAL)
BEATRIZ NUNES ALENCAR SEIXAS ***.***-** INDEFERIDO
CANDIDATO (A) NÃO APRESENTOU DOCUMENTAÇÃO EXIGIDA ( NENHUMA
DOCUMENTAÇÃO / LINK DO DRIVER ENVIADO NECESSITA PEDIR ACESSO PARA
LIBERAÇÃO )
LAÍS RAYANE FERREIRA DE JESUS 028***.***-** 6 INDEFERIDO
CANDIDATO (A) NÃO APRESENTOU DECLARAÇÃO EXPEDIDA PELO GDF QUE
COMPROVE RECEBIMENTO DE BENEFÍCIO DE PROGRAMA SOCIAL DE
COMPLEMENTAÇÃO OU SUPLEMENTAÇÃO DE RENDA DO GDF (PRATO CHEIO E
DF SOCIAL)
JULIANA SALES DA FONSECA 014***.***-** 1 DEFERIDO
JUSCIANA GONÇALVES DE LIMA 732***.***-** 1 DEFERIDO
EDNA MARIA GRAÇA MAGALHÃES 744***.***-** 5 INDEFERIDO
CANDIDATO (A) NÃO APRESENTOU DECLARAÇÃO EXPEDIDA PELO GDF QUE
COMPROVE RECEBIMENTO DE BENEFÍCIO DE PROGRAMA SOCIAL DE
COMPLEMENTAÇÃO OU SUPLEMENTAÇÃO DE RENDA DO GDF (PRATO CHEIO E
DF SOCIAL)
EDNA MARIA GRAÇA MAGALHÃES 744***.***-** 1 INDEFERIDO
CANDIDATO (A) NÃO APRESENTOU DECLARAÇÃO EXPEDIDA PELO GDF QUE
COMPROVE RECEBIMENTO DE BENEFÍCIO DE PROGRAMA SOCIAL DE
COMPLEMENTAÇÃO OU SUPLEMENTAÇÃO DE RENDA DO GDF (PRATO CHEIO E
DF SOCIAL)
EDNA MARIA GRAÇA MAGALHÃES 744***.***-** 5 INDEFERIDO
CANDIDATO (A) NÃO APRESENTOU DECLARAÇÃO EXPEDIDA PELO GDF QUE
COMPROVE RECEBIMENTO DE BENEFÍCIO DE PROGRAMA SOCIAL DE
COMPLEMENTAÇÃO OU SUPLEMENTAÇÃO DE RENDA DO GDF (PRATO CHEIO E
DF SOCIAL)
LARISSA APARECIDA RODRIGUES DOS SANTOS 122***.***-** 6 INDEFERIDO CANDIDATO (A) NÃO APRESENTOU DOCUMENTAÇÃO EXIGIDA EM PDF
DANIELE VASCONCELOS DA SILVA 077***.***-** 1 DEFERIDO
DANIELE VASCONCELOS DA SILVA 077***.***-** 5 DEFERIDO
MARLON BERNARDO MOREIRA DA SILVA 077***.***-** 1 DEFERIDO
MARIA ALICE RODRIGUES SILVA 686***.***-** 7 INDEFERIDO CANDIDATO (A) NÃO APRESENTOU DOCUMENTAÇÃO EXIGIDA (RG)
BRENDA CAROLINE PIRES MARQUES 052***.***-** 7 DEFERIDO
ADEMIR BENTO DA SILVA JUNIOR 938***.***-** 1 DEFERIDO
ADEMIR BENTO DA SILVA JUNIOR 938***.***-** 5 DEFERIDO
MARIA EDUARDA DE OLIVEIRA SANTOS 068***.***-** 6 INDEFERIDO
CANDIDATO (A) NÃO APRESENTOU LAUDO MÉDICO COMPROBATÓRIO DA
ISENÇÃO DE
ACORDO COM A POSSIBILIDADE ESCOLHIDA (CAD. ÚNICO FEDERAL) / NÃO
ENVIOU DOCUMENTAÇÃO EM PDF
INDYANARA PEREIRA DA SILVA 100***.***-** 8 INDEFERIDO
CANDIDATO (A) NÃO APRESENTOU DECLARAÇÃO EXPEDIDA PELO GDF QUE
COMPROVE RECEBIMENTO DE BENEFÍCIO DE PROGRAMA SOCIAL DE
COMPLEMENTAÇÃO OU SUPLEMENTAÇÃO DE RENDA DO GDF (PRATO CHEIO E
DF SOCIAL)
CLÁUDIA COUTINHO ROCHA 057***.***-** 1 INDEFERIDO
CANDIDATO (A) NÃO APRESENTOU DECLARAÇÃO EXPEDIDA PELO GDF QUE
COMPROVE RECEBIMENTO DE BENEFÍCIO DE PROGRAMA SOCIAL DE
COMPLEMENTAÇÃO OU SUPLEMENTAÇÃO DE RENDA DO GDF (PRATO CHEIO E
DF SOCIAL)
LUCIANA BRAZ DE LIMA 042***.***-** 7 DEFERIDO
MARIA EDUARDA SILVA SOUSA 058***.***-** 4 DEFERIDO
JÉSSICA SANTOS MACIEL 029***.***-** 1 DEFERIDO
CINDY LOBATO MAIA 052***.***-** 6 INDEFERIDO
CANDIDATO (A) NÃO APRESENTOU DECLARAÇÃO EXPEDIDA PELO GDF QUE
COMPROVE RECEBIMENTO DE BENEFÍCIO DE PROGRAMA SOCIAL DE
COMPLEMENTAÇÃO OU SUPLEMENTAÇÃO DE RENDA DO GDF (PRATO CHEIO E
DF SOCIAL)
CINDY LOBATO MAIA 052***.***-** 1 INDEFERIDO
CANDIDATO (A) NÃO APRESENTOU DECLARAÇÃO EXPEDIDA PELO GDF QUE
COMPROVE RECEBIMENTO DE BENEFÍCIO DE PROGRAMA SOCIAL DE
COMPLEMENTAÇÃO OU SUPLEMENTAÇÃO DE RENDA DO GDF (PRATO CHEIO E
DF SOCIAL)
ELISÂNGELA RODRIGUES DE SOUZA 005***.***-** 1 DEFERIDO
ATAIRIS FERREIRA LOPES 041***.***-** 1 DEFERIDO
GILDEANA DE JESUS LIMA 028***.***-** 3 INDEFERIDO CANDIDATO (A) NÃO APRESENTOU DOCUMENTAÇÃO EXIGIDA (RG)
ELISANGELA RODRIGUES DE SOUZA 005***.***-** 7 DEFERIDO
BRUNNA CRISTINA MOREIRA DE ALMEIDA 054***.***-** 1 DEFERIDO
BRUNNA CRISTINA MOREIRA DE ALMEIDA 054***.***-** 6 DEFERIDO
ROSIMAR PIRES MARTINS 696***.***-** 7 INDEFERIDO
CANDIDATO (A) NÃO APRESENTOU DECLARAÇÃO EXPEDIDA PELO GDF QUE
COMPROVE RECEBIMENTO DE BENEFÍCIO DE PROGRAMA SOCIAL DE
COMPLEMENTAÇÃO OU SUPLEMENTAÇÃO DE RENDA DO GDF (PRATO CHEIO E
DF SOCIAL)
ISABELA CRISTINA ALVES DOS SANTOS 065***.***-** 1 INDEFERIDO
CANDIDATO (A) NÃO APRESENTOU DECLARAÇÃO EXPEDIDA PELO GDF QUE
COMPROVE RECEBIMENTO DE BENEFÍCIO DE PROGRAMA SOCIAL DE
COMPLEMENTAÇÃO OU SUPLEMENTAÇÃO DE RENDA DO GDF (PRATO CHEIO E
DF SOCIAL)
ALAIS RODRIGUES ***.***-** INDEFERIDO
CANDIDATO (A) NÃO APRESENTOU DOCUMENTAÇÃO EXIGIDA ( NENHUMA
DOCUMENTAÇÃO )
VICTORIA ADRIANE LIMA FERREIRA 067***.***-** 1 DEFERIDO
VICTORIA ADRIANE LIMA FERREIRA 067***.***-** 3 DEFERIDO
THEREZA DE JESUS SIMOES DE SOUZA 794***.***-** INDEFERIDO
CANDIDATO (A) NÃO APRESENTOU DOCUMENTAÇÃO EXIGIDA ( NÃO
PREENCHEU O FORMULÁRIO )
ERINALDO DOS SANTOS SILVA 610***.***-** 1 INDEFERIDO
CANDIDATO (A) NÃO APRESENTOU LAUDO MÉDICO COMPROBATÓRIO DA
ISENÇÃO DE
ACORDO COM A POSSIBILIDADE ESCOLHIDA (CAD. ÚNICO FEDERAL)
MARCIA FEITOSA DOS SANTOS 982***.***-** 2 INDEFERIDO
CANDIDATO (A) NÃO APRESENTOU DECLARAÇÃO EXPEDIDA PELO GDF QUE
COMPROVE RECEBIMENTO DE BENEFÍCIO DE PROGRAMA SOCIAL DE
COMPLEMENTAÇÃO OU SUPLEMENTAÇÃO DE RENDA DO GDF (PRATO CHEIO E
DF SOCIAL)
DANIELLA APARECIDA MARTINS DE OLIVEIRA 063***.***-** 6 INDEFERIDO
CANDIDATO (A) NÃO APRESENTOU DECLARAÇÃO EXPEDIDA PELO GDF QUE
COMPROVE RECEBIMENTO DE BENEFÍCIO DE PROGRAMA SOCIAL DE
COMPLEMENTAÇÃO OU SUPLEMENTAÇÃO DE RENDA DO GDF (PRATO CHEIO E
DF SOCIAL)
ADRIANA PEREIRA DE REZENDE DE ALBERNAZ 009***.***-** 5 INDEFERIDO
CANDIDATO (A) NÃO APRESENTOU DOCUMENTAÇÃO EXIGIDA ( NÃO
PREENCHEU O FORMULÁRIO )
LUAN DE OLIVEIRA FIGUEIREDO MATIAS FRANCO 05***.***-** 3 INDEFERIDO
CANDIDATO (A) NÃO APRESENTOU DECLARAÇÃO EXPEDIDA PELO GDF QUE
COMPROVE RECEBIMENTO DE BENEFÍCIO DE PROGRAMA SOCIAL DE
COMPLEMENTAÇÃO OU SUPLEMENTAÇÃO DE RENDA DO GDF (PRATO CHEIO E
DF SOCIAL)
VALQUIRIA JOSÉ DA CONCEIÇÃO ***.***-** INDEFERIDO
CANDIDATO (A) NÃO APRESENTOU DOCUMENTAÇÃO EXIGIDA ( NENHUMA
DOCUMENTAÇÃO )
CLEITON DOS SANTOS ALVES 035***.***-** 1 DEFERIDO
CLEITON DOS SANTOS ALVES 035***.***-** 3 DEFERIDO
JÉSSICA DO BONFIM DE SOUZA 046***.***-** 7 INDEFERIDO
CANDIDATO (A) NÃO APRESENTOU DECLARAÇÃO EXPEDIDA PELO GDF QUE
COMPROVE RECEBIMENTO DE BENEFÍCIO DE PROGRAMA SOCIAL DE
COMPLEMENTAÇÃO OU SUPLEMENTAÇÃO DE RENDA DO GDF (PRATO CHEIO E
DF SOCIAL) / AGUARDANDO LIBERAÇÃO DO PROGRAMA PRATO CHEIO
SANDRA PERREIRA DE SOUSA 825***.***-** 5 INDEFERIDO
CANDIDATO (A) NÃO APRESENTOU DECLARAÇÃO EXPEDIDA PELO GDF QUE
COMPROVE RECEBIMENTO DE BENEFÍCIO DE PROGRAMA SOCIAL DE
COMPLEMENTAÇÃO OU SUPLEMENTAÇÃO DE RENDA DO GDF (PRATO CHEIO E
DF SOCIAL)
MARIZA RODRIGUES DA SILVA 003***.***-** 1 DEFERIDO
MARIZA RODRIGUES DA SILVA 003***.***-** 3 DEFERIDO
ANDRIELE SOUZA DE FREITAS 756***.***-** 1 DEFERIDO
ANDRIELE SOUZA DE FREITAS 756***.***-** 6 DEFERIDO
ANA PAULA RODRIGUES DOS SANTOS 017***.***-** 1 DEFERIDO
ANA PAULA RODRIGUES DOS SANTOS 017***.***-** 2 DEFERIDO
JOSCÉLIA MOREIRA DA SILVA 003***.***-** 8 DEFERIDO
ANA LUCIA LIMA DE JESUS 028***.***-** 5 INDEFERIDO
CANDIDATO (A) NÃO APRESENTOU DECLARAÇÃO EXPEDIDA PELO GDF QUE
COMPROVE RECEBIMENTO DE BENEFÍCIO DE PROGRAMA SOCIAL DE
COMPLEMENTAÇÃO OU SUPLEMENTAÇÃO DE RENDA DO GDF (PRATO CHEIO E
DF SOCIAL)
YASMIN FERREIRA DOS SANTOS 027***.***-** INDEFERIDO CANDIDATO (A) NÃO APRESENTOU DOCUMENTAÇÃO EXIGIDA ( RG )
RENATA MONIQUE QUEIROZ DA SILVA 063***.***-** 7 INDEFERIDO
CANDIDATO (A) NÃO APRESENTOU LAUDO MÉDICO COMPROBATÓRIO DA
ISENÇÃO DE
ACORDO COM A POSSIBILIDADE ESCOLHIDA (CAD. ÚNICO FEDERAL)
MARIA CLÁUDIA TIMO MOURA 041***.***-** 1 DEFERIDO
MARIA CLÁUDIA TIMO MOURA 041***.***-** 6 DEFERIDO
NILSON MIGUEL MORILHA 385***.***-** 5 INDEFERIDO
CANDIDATO (A) NÃO APRESENTOU LAUDO MÉDICO COMPROBATÓRIO DA
ISENÇÃO DE
ACORDO COM A POSSIBILIDADE ESCOLHIDA (CAD. ÚNICO FEDERAL)
DANIELLE MARCELINO DE SOUZA 056***.***-** 1 INDEFERIDO
CANDIDATO (A) NÃO APRESENTOU DECLARAÇÃO EXPEDIDA PELO GDF QUE
COMPROVE RECEBIMENTO DE BENEFÍCIO DE PROGRAMA SOCIAL DE
COMPLEMENTAÇÃO OU SUPLEMENTAÇÃO DE RENDA DO GDF (PRATO CHEIO E
DF SOCIAL)
DANIELLE MARCELINO DE SOUZA 056***.***-** 7 INDEFERIDO
CANDIDATO (A) NÃO APRESENTOU DECLARAÇÃO EXPEDIDA PELO GDF QUE
COMPROVE RECEBIMENTO DE BENEFÍCIO DE PROGRAMA SOCIAL DE
COMPLEMENTAÇÃO OU SUPLEMENTAÇÃO DE RENDA DO GDF (PRATO CHEIO E
DF SOCIAL)
SARAH MONTE DOS SANTOS 076***.***-** 1 DEFERIDO
LETÍCIA PEREIRA FERNANDES 096***.***-** 7 INDEFERIDO
CANDIDATO (A) NÃO APRESENTOU LAUDO MÉDICO COMPROBATÓRIO DA
ISENÇÃO DE
ACORDO COM A POSSIBILIDADE ESCOLHIDA (CAD. ÚNICO FEDERAL)
LETÍCIA PEREIRA FERNANDES 096***.***-** 7 INDEFERIDO
CANDIDATO (A) NÃO APRESENTOU DECLARAÇÃO EXPEDIDA PELO GDF QUE
COMPROVE RECEBIMENTO DE BENEFÍCIO DE PROGRAMA SOCIAL DE
COMPLEMENTAÇÃO OU SUPLEMENTAÇÃO DE RENDA DO GDF (PRATO CHEIO E
DF SOCIAL)
EUNICE ALVES DE SOUSA 035***.***-** INDEFERIDO
CANDIDATO (A) NÃO APRESENTOU DOCUMENTAÇÃO EXIGIDA ( NENHUMA
DOCUMENTAÇÃO )
JOAO VITOR GARCIA TORQUATO 027***.***-** 8 INDEFERIDO
CANDIDATO (A) NÃO APRESENTOU LAUDO MÉDICO COMPROBATÓRIO DA
ISENÇÃO DE
ACORDO COM A POSSIBILIDADE ESCOLHIDA (CAD. ÚNICO FEDERAL)
JOSCELENE ALVES GOMES 493***.***-** 2 DEFERIDO
JOAO VITOR MEIRA DE SOUZA 063***.***-** 1 INDEFERIDO
CANDIDATO (A) NÃO APRESENTOU DECLARAÇÃO EXPEDIDA PELO GDF QUE
COMPROVE RECEBIMENTO DE BENEFÍCIO DE PROGRAMA SOCIAL DE
COMPLEMENTAÇÃO OU SUPLEMENTAÇÃO DE RENDA DO GDF (PRATO CHEIO E
DF SOCIAL)
JOAO VITOR MEIRA DE SOUZA 063***.***-** 5 INDEFERIDO
CANDIDATO (A) NÃO APRESENTOU DECLARAÇÃO EXPEDIDA PELO GDF QUE
COMPROVE RECEBIMENTO DE BENEFÍCIO DE PROGRAMA SOCIAL DE
COMPLEMENTAÇÃO OU SUPLEMENTAÇÃO DE RENDA DO GDF (PRATO CHEIO E
DF SOCIAL)
MARIA ANTONIA FERREIRA 578***.***-** 1 INDEFERIDO
CANDIDATO (A) NÃO APRESENTOU DECLARAÇÃO EXPEDIDA PELO GDF QUE
COMPROVE RECEBIMENTO DE BENEFÍCIO DE PROGRAMA SOCIAL DE
COMPLEMENTAÇÃO OU SUPLEMENTAÇÃO DE RENDA DO GDF (PRATO CHEIO E
DF SOCIAL)
LUCILENE DA SILVA MOROMÓ 389***.***-** 2 INDEFERIDO
CANDIDATO (A) NÃO APRESENTOU DECLARAÇÃO EXPEDIDA PELO GDF QUE
COMPROVE RECEBIMENTO DE BENEFÍCIO DE PROGRAMA SOCIAL DE
COMPLEMENTAÇÃO OU SUPLEMENTAÇÃO DE RENDA DO GDF (PRATO CHEIO E
DF SOCIAL)
JESSICA LORRANE GUIMARÃES DE MORAIS 705***.***-** 1 INDEFERIDO
CANDIDATO (A) NÃO APRESENTOU DOCUMENTAÇÃO EXIGIDA ( NENHUMA
DOCUMENTAÇÃO )
ROBERTO LISTER GOMES MAIA 504***.***-** 1 DEFERIDO
VINICIUS MEIRA DE SOUZA 063***.***-** 1 INDEFERIDO
CANDIDATO (A) NÃO APRESENTOU DECLARAÇÃO EXPEDIDA PELO GDF QUE
COMPROVE RECEBIMENTO DE BENEFÍCIO DE PROGRAMA SOCIAL DE
COMPLEMENTAÇÃO OU SUPLEMENTAÇÃO DE RENDA DO GDF (PRATO CHEIO E
DF SOCIAL)
VINICIUS MEIRA DE SOUZA 063***.***-** 5 INDEFERIDO
CANDIDATO (A) NÃO APRESENTOU DECLARAÇÃO EXPEDIDA PELO GDF QUE
COMPROVE RECEBIMENTO DE BENEFÍCIO DE PROGRAMA SOCIAL DE
COMPLEMENTAÇÃO OU SUPLEMENTAÇÃO DE RENDA DO GDF (PRATO CHEIO E
DF SOCIAL)
JOANA DARC DE MELO PAIVA 053***.***-** 1 INDEFERIDO
CANDIDATO (A) NÃO APRESENTOU DECLARAÇÃO EXPEDIDA PELO GDF QUE
COMPROVE RECEBIMENTO DE BENEFÍCIO DE PROGRAMA SOCIAL DE
COMPLEMENTAÇÃO OU SUPLEMENTAÇÃO DE RENDA DO GDF (PRATO CHEIO E
DF SOCIAL) / NÃO APRESENTOU A DOCUMENTAÇÃO EM PDF
JOANA DARC DE MELO PAIVA 053***.***-** 5 INDEFERIDO
CANDIDATO (A) NÃO APRESENTOU DECLARAÇÃO EXPEDIDA PELO GDF QUE
COMPROVE RECEBIMENTO DE BENEFÍCIO DE PROGRAMA SOCIAL DE
COMPLEMENTAÇÃO OU SUPLEMENTAÇÃO DE RENDA DO GDF (PRATO CHEIO E
DF SOCIAL) / NÃO APRESENTOU A DOCUMENTAÇÃO EM PDF
FRANCISCO DE ASSIS CELESTINO DA COSTA JUNIOR 688***.***-** INDEFERIDO CANDIDATO (A) NÃO APRESENTOU DOCUMENTAÇÃO EXIGIDA ( FORMULÁRIO )
JESSICA DOS SANTOS SOUZA 028***.***-** 1 DEFERIDO
JESSICA DOS SANTOS SOUZA 028***.***-** 6 DEFERIDO
DAYANE OLIVEIRA FERREIRA 047***.***-** 1 INDEFERIDO
CANDIDATO (A) NÃO APRESENTOU DECLARAÇÃO EXPEDIDA PELO GDF QUE
COMPROVE RECEBIMENTO DE BENEFÍCIO DE PROGRAMA SOCIAL DE
COMPLEMENTAÇÃO OU SUPLEMENTAÇÃO DE RENDA DO GDF (PRATO CHEIO E
DF SOCIAL)
DAYANE OLIVEIRA FERREIRA 047***.***-** 5 INDEFERIDO
CANDIDATO (A) NÃO APRESENTOU DECLARAÇÃO EXPEDIDA PELO GDF QUE
COMPROVE RECEBIMENTO DE BENEFÍCIO DE PROGRAMA SOCIAL DE
COMPLEMENTAÇÃO OU SUPLEMENTAÇÃO DE RENDA DO GDF (PRATO CHEIO E
DF SOCIAL)
IRAÍMA MARIA RIBEIRO 077***.***-** 3 DEFERIDO
LEILA MICHELLE PEREIRA DOS SANTOS 049***.***-** 7 INDEFERIDO
CANDIDATO (A) NÃO APRESENTOU DOCUMENTAÇÃO EXIGIDA EM PDF (
DECLARAÇÃO DF SOCIAL )
RENATA DA SILVA ROCHA 024***.***-** 1 INDEFERIDO
CANDIDATO (A) NÃO APRESENTOU DOCUMENTAÇÃO EXIGIDA EM PDF (
FORMULÁRIO E RG )
RENATA DA SILVA ROCHA 024***.***-** 7 INDEFERIDO
CANDIDATO (A) NÃO APRESENTOU DOCUMENTAÇÃO EXIGIDA EM PDF (
FORMULÁRIO E RG )
LAURICÉA NOGUEIRA ALVES 552***.***-** 1 INDEFERIDO
CANDIDATO (A) NÃO APRESENTOU DECLARAÇÃO EXPEDIDA PELO GDF QUE
COMPROVE RECEBIMENTO DE BENEFÍCIO DE PROGRAMA SOCIAL DE
COMPLEMENTAÇÃO OU SUPLEMENTAÇÃO DE RENDA DO GDF (PRATO CHEIO E
DF SOCIAL)
LAURICÉA NOGUEIRA ALVES 552***.***-** 8 INDEFERIDO
CANDIDATO (A) NÃO APRESENTOU DECLARAÇÃO EXPEDIDA PELO GDF QUE
COMPROVE RECEBIMENTO DE BENEFÍCIO DE PROGRAMA SOCIAL DE
COMPLEMENTAÇÃO OU SUPLEMENTAÇÃO DE RENDA DO GDF (PRATO CHEIO E
DF SOCIAL)
EDMAR MARTINS DE OLIVEIRA 864***.***-** 7 DEFERIDO
MARIA EDUARDA MEIRA DE SOUZA 084***.***-** 1 INDEFERIDO
CANDIDATO (A) NÃO APRESENTOU DECLARAÇÃO EXPEDIDA PELO GDF QUE
COMPROVE RECEBIMENTO DE BENEFÍCIO DE PROGRAMA SOCIAL DE
COMPLEMENTAÇÃO OU SUPLEMENTAÇÃO DE RENDA DO GDF (PRATO CHEIO E
DF SOCIAL)
MARIA EDUARDA MEIRA DE SOUZA 084***.***-** 5 INDEFERIDO
CANDIDATO (A) NÃO APRESENTOU DECLARAÇÃO EXPEDIDA PELO GDF QUE
COMPROVE RECEBIMENTO DE BENEFÍCIO DE PROGRAMA SOCIAL DE
COMPLEMENTAÇÃO OU SUPLEMENTAÇÃO DE RENDA DO GDF (PRATO CHEIO E
DF SOCIAL)
PATRICIA CRESCÊNCIO PINHEIRO 989***.***-** 1 DEFERIDO
ALANA BARBOSA SANTOS 077***.***-** 1 INDEFERIDO
CANDIDATO (A) NÃO APRESENTOU DECLARAÇÃO EXPEDIDA PELO GDF QUE
COMPROVE RECEBIMENTO DE BENEFÍCIO DE PROGRAMA SOCIAL DE
COMPLEMENTAÇÃO OU SUPLEMENTAÇÃO DE RENDA DO GDF (PRATO CHEIO E
DF SOCIAL)
DANIELE CRUZ SILVA 023***.***-** 7 DEFERIDO
LUCIANA DE AMORIM DA CONCEICAO 074***.***-** 1 INDEFERIDO
CANDIDATO (A) NÃO APRESENTOU DECLARAÇÃO EXPEDIDA PELO GDF QUE
COMPROVE RECEBIMENTO DE BENEFÍCIO DE PROGRAMA SOCIAL DE
COMPLEMENTAÇÃO OU SUPLEMENTAÇÃO DE RENDA DO GDF (PRATO CHEIO E
DF SOCIAL)
SERGIANA DE SOUZA BATISTA 029***.***-** 5 INDEFERIDO
CANDIDATO (A) NÃO APRESENTOU DECLARAÇÃO EXPEDIDA PELO GDF QUE
COMPROVE RECEBIMENTO DE BENEFÍCIO DE PROGRAMA SOCIAL DE
COMPLEMENTAÇÃO OU SUPLEMENTAÇÃO DE RENDA DO GDF (PRATO CHEIO E
DF SOCIAL)
KATIELLE DE OLIVEIRA SANTOS SOUZA 013***.***-** 2 DEFERIDO
ACILEDE FERREIRA CARDOSO 886***.***-** 5 INDEFERIDO CANDIDATO (A) NÃO APRESENTOU DOCUMENTAÇÃO EXIGIDA EM PDF
VITORIA APARECIDA BRAGA DA SILVA 045***.***-** 7 INDEFERIDO
CANDIDATO (A) NÃO APRESENTOU DECLARAÇÃO EXPEDIDA PELO GDF QUE
COMPROVE RECEBIMENTO DE BENEFÍCIO DE PROGRAMA SOCIAL DE
COMPLEMENTAÇÃO OU SUPLEMENTAÇÃO DE RENDA DO GDF (PRATO CHEIO E
DF SOCIAL)
VITORIA APARECIDA BRAGA DA SILVA 045***.***-** 1 INDEFERIDO
CANDIDATO (A) NÃO APRESENTOU DECLARAÇÃO EXPEDIDA PELO GDF QUE
COMPROVE RECEBIMENTO DE BENEFÍCIO DE PROGRAMA SOCIAL DE
COMPLEMENTAÇÃO OU SUPLEMENTAÇÃO DE RENDA DO GDF (PRATO CHEIO E
DF SOCIAL)
BRUNA SUENE RABELO GODINHO 045***.***-** 7 INDEFERIDO
CANDIDATO (A) NÃO APRESENTOU DECLARAÇÃO EXPEDIDA PELO GDF QUE
COMPROVE RECEBIMENTO DE BENEFÍCIO DE PROGRAMA SOCIAL DE
COMPLEMENTAÇÃO OU SUPLEMENTAÇÃO DE RENDA DO GDF (PRATO CHEIO E
DF SOCIAL)
THAINARA DE PAULA SOUZA SILVA 060***.***-** 6 INDEFERIDO
CANDIDATO (A) NÃO APRESENTOU DECLARAÇÃO EXPEDIDA PELO GDF QUE
COMPROVE RECEBIMENTO DE BENEFÍCIO DE PROGRAMA SOCIAL DE
COMPLEMENTAÇÃO OU SUPLEMENTAÇÃO DE RENDA DO GDF (PRATO CHEIO E
DF SOCIAL)
KARINA DE AMORIM DA CONCEIÇÃO 052***.***-** 1 INDEFERIDO
CANDIDATO (A) NÃO APRESENTOU DECLARAÇÃO EXPEDIDA PELO GDF QUE
COMPROVE RECEBIMENTO DE BENEFÍCIO DE PROGRAMA SOCIAL DE
COMPLEMENTAÇÃO OU SUPLEMENTAÇÃO DE RENDA DO GDF (PRATO CHEIO E
DF SOCIAL)
PEDRO DE MELO PAIVA RIBEIRO 053***.***-** 1 INDEFERIDO
CANDIDATO (A) NÃO APRESENTOU DECLARAÇÃO EXPEDIDA PELO GDF QUE
COMPROVE RECEBIMENTO DE BENEFÍCIO DE PROGRAMA SOCIAL DE
COMPLEMENTAÇÃO OU SUPLEMENTAÇÃO DE RENDA DO GDF (PRATO CHEIO E
DF SOCIAL)
IAGO BATISTA DOS SANTOS 057***.***-** 1 DEFERIDO
AROLDO VIANA MARQUES 178***.***-** 1 INDEFERIDO CANDIDATO (A) NÃO APRESENTOU DOCUMENTAÇÃO EXIGIDA EM PDF
AROLDO VIANA MARQUES 178***.***-** 8 INDEFERIDO CANDIDATO (A) NÃO APRESENTOU DOCUMENTAÇÃO EXIGIDA EM PDF
CONCEIÇÃO DE MARIA PEREIRA LIMA 006***.***-** 1 DEFERIDO
CONCEIÇÃO DE MARIA PEREIRA LIMA 006***.***-** 8 DEFERIDO
ANA PAULA SILVA DE SOUZA 727***.***-** 1 INDEFERIDO
CANDIDATO (A) NÃO APRESENTOU DECLARAÇÃO EXPEDIDA PELO GDF QUE
COMPROVE RECEBIMENTO DE BENEFÍCIO DE PROGRAMA SOCIAL DE
COMPLEMENTAÇÃO OU SUPLEMENTAÇÃO DE RENDA DO GDF (PRATO CHEIO E
DF SOCIAL)
SARA FERREIRA TEIXEIRA 032***.***-** 1 DEFERIDO
RUTTE KELLY HENRIQUES DE OLIVEIRA 069***.***-** 8 INDEFERIDO CANDIDATO (A) NÃO APRESENTOU DOCUMENTAÇÃO EXIGIDA (RG)
***.***-** INDEFERIDO
CANDIDATO (A) NÃO APRESENTOU DOCUMENTAÇÃO EXIGIDA ( NENHUMA
DOCUMENTAÇÃO / EMAIL SEM NOME )
IARA MARIA DA CONCEIÇÃO SILVA 075***.***-** 7 DEFERIDO
MARCOS JOSE FERNANDES FRANCO 297***.***-** 1 INDEFERIDO CANDIDATO (A) NÃO APRESENTOU DOCUMENTAÇÃO EXIGIDA EM PDF
ELAINE ANTUNES DANTAS 865***.***-** 1 INDEFERIDO CANDIDATO (A) NÃO APRESENTOU DOCUMENTAÇÃO EXIGIDA EM PDF
ELAINE ANTUNES DANTAS 865***.***-** 7 INDEFERIDO CANDIDATO (A) NÃO APRESENTOU DOCUMENTAÇÃO EXIGIDA EM PDF
NOELIA MENDES DE SOUZA ALVES 695***.***-** 8 INDEFERIDO
CANDIDATO (A) NÃO APRESENTOU DECLARAÇÃO EXPEDIDA PELO GDF QUE
COMPROVE RECEBIMENTO DE BENEFÍCIO DE PROGRAMA SOCIAL DE
COMPLEMENTAÇÃO OU SUPLEMENTAÇÃO DE RENDA DO GDF (PRATO CHEIO E
DF SOCIAL)
MARIA ELIZABETH NERES DE SOUSA 494***.***-** 7 DEFERIDO
CLEIDE PEREIRA GOMES 386***.***-** 7 INDEFERIDO
CANDIDATO (A) NÃO APRESENTOU DECLARAÇÃO EXPEDIDA PELO GDF QUE
COMPROVE RECEBIMENTO DE BENEFÍCIO DE PROGRAMA SOCIAL DE
COMPLEMENTAÇÃO OU SUPLEMENTAÇÃO DE RENDA DO GDF (PRATO CHEIO E
DF SOCIAL)
CLEIDE PEREIRA GOMES 386***.***-** 1 INDEFERIDO
CANDIDATO (A) NÃO APRESENTOU DECLARAÇÃO EXPEDIDA PELO GDF QUE
COMPROVE RECEBIMENTO DE BENEFÍCIO DE PROGRAMA SOCIAL DE
COMPLEMENTAÇÃO OU SUPLEMENTAÇÃO DE RENDA DO GDF (PRATO CHEIO E
DF SOCIAL)
KAROLINE ARAUJO DE CASTRO FERREIRA 064***.***-** 1 INDEFERIDO
CANDIDATO (A) NÃO APRESENTOU LAUDO MÉDICO COMPROBATÓRIO DA
ISENÇÃO DE
ACORDO COM A POSSIBILIDADE ESCOLHIDA (CAD. ÚNICO FEDERAL)
KAROLINE ARAUJO DE CASTRO FERREIRA 064***.***-** 7 INDEFERIDO
CANDIDATO (A) NÃO APRESENTOU LAUDO MÉDICO COMPROBATÓRIO DA
ISENÇÃO DE
ACORDO COM A POSSIBILIDADE ESCOLHIDA (CAD. ÚNICO FEDERAL)
SHIRLEY ROCHA RESENDE 805***.***-** 1 DEFERIDO
MARIA DO CARMO MACHADO 845***.***-** 5 INDEFERIDO
CANDIDATO (A) NÃO APRESENTOU DECLARAÇÃO EXPEDIDA PELO GDF QUE
COMPROVE RECEBIMENTO DE BENEFÍCIO DE PROGRAMA SOCIAL DE
COMPLEMENTAÇÃO OU SUPLEMENTAÇÃO DE RENDA DO GDF (PRATO CHEIO E
DF SOCIAL)
PRISCILA COELHO FERREIRA 05***.***-** INDEFERIDO
CANDIDATO (A) NÃO APRESENTOU DOCUMENTAÇÃO EXIGIDA ( NENHUMA
DOCUMENTAÇÃO )
HUDSON MACHADO NASCIMENTO 016***.***-** 1 DEFERIDO
CLEBER HENRIQUE SILVA GOMES 018***.***-** 1 INDEFERIDO
CANDIDATO (A) NÃO APRESENTOU DECLARAÇÃO EXPEDIDA PELO GDF QUE
COMPROVE RECEBIMENTO DE BENEFÍCIO DE PROGRAMA SOCIAL DE
COMPLEMENTAÇÃO OU SUPLEMENTAÇÃO DE RENDA DO GDF (PRATO CHEIO E
DF SOCIAL)
CLEBER HENRIQUE SILVA GOMES 018***.***-** 2 INDEFERIDO
CANDIDATO (A) NÃO APRESENTOU DECLARAÇÃO EXPEDIDA PELO GDF QUE
COMPROVE RECEBIMENTO DE BENEFÍCIO DE PROGRAMA SOCIAL DE
COMPLEMENTAÇÃO OU SUPLEMENTAÇÃO DE RENDA DO GDF (PRATO CHEIO E
DF SOCIAL)
CRISLEI APARECIDA MENDES DO AMARAL GUIMARAES CAMARA
710***.***-** 7 DEFERIDO
CRISLEI APARECIDA MENDES DO AMARAL GUIMARAES CAMARA
710***.***-** 1 DEFERIDO
PEDRO HENRIQUE CARVALHO DA SILVA 080***.***-** 2 INDEFERIDO
CANDIDATO (A) NÃO APRESENTOU DECLARAÇÃO EXPEDIDA PELO GDF QUE
COMPROVE RECEBIMENTO DE BENEFÍCIO DE PROGRAMA SOCIAL DE
COMPLEMENTAÇÃO OU SUPLEMENTAÇÃO DE RENDA DO GDF (PRATO CHEIO E
DF SOCIAL)
GEZILDA PEREIRA DA ROCHA 982***.***-** 1 INDEFERIDO
CANDIDATO (A) NÃO APRESENTOU DECLARAÇÃO EXPEDIDA PELO GDF QUE
COMPROVE RECEBIMENTO DE BENEFÍCIO DE PROGRAMA SOCIAL DE
COMPLEMENTAÇÃO OU SUPLEMENTAÇÃO DE RENDA DO GDF (PRATO CHEIO E
DF SOCIAL)
GEZILDA PEREIRA DA ROCHA 982***.***-** 2 INDEFERIDO
CANDIDATO (A) NÃO APRESENTOU DECLARAÇÃO EXPEDIDA PELO GDF QUE
COMPROVE RECEBIMENTO DE BENEFÍCIO DE PROGRAMA SOCIAL DE
COMPLEMENTAÇÃO OU SUPLEMENTAÇÃO DE RENDA DO GDF (PRATO CHEIO E
DF SOCIAL)
MARIA DEUZA DE SOUSA AZEVEDO 688***.***-** 2 INDEFERIDO
CANDIDATO (A) NÃO APRESENTOU DECLARAÇÃO EXPEDIDA PELO GDF QUE
COMPROVE RECEBIMENTO DE BENEFÍCIO DE PROGRAMA SOCIAL DE
COMPLEMENTAÇÃO OU SUPLEMENTAÇÃO DE RENDA DO GDF (PRATO CHEIO E
DF SOCIAL)
KIRNA KARINE BARROS DA SILVA 023***.***-** 1 DEFERIDO
LIVIA CAVALCANTE DE ARAÚJO 523***.***-** 1 INDEFERIDO
CANDIDATO (A) NÃO APRESENTOU DOCUMENTAÇÃO EXIGIDA ( NENHUMA
DOCUMENTAÇÃO )
ROSENAIDE BERNARDINO PEREIRA 502***.***-** 1 INDEFERIDO
CANDIDATO (A) NÃO APRESENTOU DOCUMENTAÇÃO EXIGIDA ( 2
COMPROVANTES DE SERVIÇO ELEITORAL / RG )
ROSENAIDE BERNARDINO PEREIRA 502***.***-** 1 INDEFERIDO CANDIDATO (A) NÃO APRESENTOU DOCUMENTAÇÃO EXIGIDA ( RG )
AILTON FRANCISCO DOS SANTOS 005***.***-** 7 DEFERIDO
WESLLY KÊNNIA TALITA DE CASTRO CHAVES 037***.***-** DEFERIDO
JOSÉ LUCAS RODRIGUES MOREIRA 040***.***-** 8 INDEFERIDO
CANDIDATO (A) NÃO APRESENTOU DECLARAÇÃO EXPEDIDA PELO GDF QUE
COMPROVE RECEBIMENTO DE BENEFÍCIO DE PROGRAMA SOCIAL DE
COMPLEMENTAÇÃO OU SUPLEMENTAÇÃO DE RENDA DO GDF (PRATO CHEIO E
DF SOCIAL)
TALITA CRISTINA RODRIGUES LIMA 012***.***-** 2 INDEFERIDO
CANDIDATO (A) NÃO APRESENTOU LAUDO MÉDICO COMPROBATÓRIO DA
ISENÇÃO DE
ACORDO COM A POSSIBILIDADE ESCOLHIDA (CAD. ÚNICO FEDERAL)
FRANCISCO MARCOS DA SILVA SOUZA 010***.***-** 1 INDEFERIDO
CANDIDATO (A) NÃO APRESENTOU DECLARAÇÃO EXPEDIDA PELO GDF QUE
COMPROVE RECEBIMENTO DE BENEFÍCIO DE PROGRAMA SOCIAL DE
COMPLEMENTAÇÃO OU SUPLEMENTAÇÃO DE RENDA DO GDF (PRATO CHEIO E
DF SOCIAL)
EMANUELLE ALBINO SANTANA 709***.***-** 4 DEFERIDO
ANDERSON CLEBER DA SILVA SANTOS 011***.***-** 1 DEFERIDO
MARIA APARECIDA PEREIRA DA SILVA ***.***-** 5 INDEFERIDO
CANDIDATO (A) NÃO APRESENTOU DOCUMENTAÇÃO EXIGIDA (
DOCUMENTAÇÃO TODA EMBARÇADA )
LEONIDAS PATRIC ALEIXO DA SILVA 990***.***-** 1 INDEFERIDO
CANDIDATO (A) NÃO APRESENTOU LAUDO MÉDICO COMPROBATÓRIO DA
ISENÇÃO DE
ACORDO COM A POSSIBILIDADE ESCOLHIDA (CAD. ÚNICO FEDERAL)
JORDELINA DA FONSECA MACHADO BOMFIM 700***.***-** 5 INDEFERIDO
CANDIDATO (A) NÃO APRESENTOU DECLARAÇÃO EXPEDIDA PELO GDF QUE
COMPROVE RECEBIMENTO DE BENEFÍCIO DE PROGRAMA SOCIAL DE
COMPLEMENTAÇÃO OU SUPLEMENTAÇÃO DE RENDA DO GDF (PRATO CHEIO E
DF SOCIAL)
FRANCISCO MARCOS DA SILVA SOUZA 010***.***-** 5 INDEFERIDO
CANDIDATO (A) NÃO APRESENTOU DECLARAÇÃO EXPEDIDA PELO GDF QUE
COMPROVE RECEBIMENTO DE BENEFÍCIO DE PROGRAMA SOCIAL DE
COMPLEMENTAÇÃO OU SUPLEMENTAÇÃO DE RENDA DO GDF (PRATO CHEIO E
DF SOCIAL)
MARCOS ANTONIO GOMES 012***.***-** 1 INDEFERIDO CANDIDATO (A) NÃO APRESENTOU DOCUMENTAÇÃO EXIGIDA EM PDF
Maria Lúcia Nascimento ***.***-** INDEFERIDO
CANDIDATO (A) NÃO APRESENTOU DOCUMENTAÇÃO EXIGIDA ( NENHUMA
DOCUMENTAÇÃO )
GABRIEL LUCENA DE OLIVEIRA 043***.***-** 1 DEFERIDO
GABRIEL LUCENA DE OLIVEIRA 043***.***-** 7 DEFERIDO
NEIDE NASCIMENTO RIBEIRO 816***.***-** 1 INDEFERIDO
CANDIDATO (A) NÃO APRESENTOU DECLARAÇÃO EXPEDIDA PELO GDF QUE
COMPROVE RECEBIMENTO DE BENEFÍCIO DE PROGRAMA SOCIAL DE
COMPLEMENTAÇÃO OU SUPLEMENTAÇÃO DE RENDA DO GDF (PRATO CHEIO E
DF SOCIAL)
LUCINEIA VIANA DOS SANTOS 881***.***-** 1 DEFERIDO
LUCINEIA VIANA DOS SANTOS 881***.***-** 8 DEFERIDO
ISANGELA DA SILVA FARIAS 044***.***-** 1 DEFERIDO
ANDERSON CLEBER DA SILVA SANTOS 011***.***-** 6 DEFERIDO
GRACIJÔSE MENONÇA DOS ANJOS 029***.***-** 1 DEFERIDO
PEDRO JOSE DOS REIS FAUSTINO 735***.***-** 1 INDEFERIDO
CANDIDATO (A) NÃO APRESENTOU DECLARAÇÃO EXPEDIDA PELO GDF QUE
COMPROVE RECEBIMENTO DE BENEFÍCIO DE PROGRAMA SOCIAL DE
COMPLEMENTAÇÃO OU SUPLEMENTAÇÃO DE RENDA DO GDF (PRATO CHEIO E
DF SOCIAL)
PEDRO JOSE DOS REIS FAUSTINO 735***.***-** 3 INDEFERIDO
CANDIDATO (A) NÃO APRESENTOU DECLARAÇÃO EXPEDIDA PELO GDF QUE
COMPROVE RECEBIMENTO DE BENEFÍCIO DE PROGRAMA SOCIAL DE
COMPLEMENTAÇÃO OU SUPLEMENTAÇÃO DE RENDA DO GDF (PRATO CHEIO E
DF SOCIAL)
OLGA SUELY SIQUEIRA GUIMARÃES 688***.***-** 1 DEFERIDO
GEOVANA ALVES DA SILVA 085***.***-** 1 INDEFERIDO
CANDIDATO (A) NÃO APRESENTOU DECLARAÇÃO EXPEDIDA PELO GDF QUE
COMPROVE RECEBIMENTO DE BENEFÍCIO DE PROGRAMA SOCIAL DE
COMPLEMENTAÇÃO OU SUPLEMENTAÇÃO DE RENDA DO GDF (PRATO CHEIO E
DF SOCIAL)
MARIA CLARA DE OLIVEIRA ROCHA 623***.***-** 2 DEFERIDO
BEATRIZ MOREIRA DE ALMEIDA 058***.***-** 1 DEFERIDO
BEATRIZ MOREIRA DE ALMEIDA 058***.***-** 6 DEFERIDO
WENISON FERREIRA AGUIAR PONTE 007***.***-** INDEFERIDO CANDIDATO (A) NÃO APRESENTOU DOCUMENTAÇÃO EXIGIDA ( FORMULÁRIO )
LARISSE CARVALHO DA COSTA 044***.***-** 1 INDEFERIDO
CANDIDATO (A) NÃO APRESENTOU DECLARAÇÃO EXPEDIDA PELO GDF QUE
COMPROVE RECEBIMENTO DE BENEFÍCIO DE PROGRAMA SOCIAL DE
COMPLEMENTAÇÃO OU SUPLEMENTAÇÃO DE RENDA DO GDF (PRATO CHEIO E
DF SOCIAL)
EDNALDO BORGES ***.***-** INDEFERIDO
CANDIDATO (A) NÃO APRESENTOU DOCUMENTAÇÃO EXIGIDA ( MANDO LINK
QUE NECESSITA DE ACESSO NO GOOGLE DRIVER )
MARIA LUCIA NASCIMENTO FRÓS 799***.***-** 8 DEFERIDO
ARTHUR EVANGELISTA DE QUEIROZ 05***.***-** 1 DEFERIDO
LUCIENE RODRIGUES DE LIMA AGUIAR 057***.***-** 1 INDEFERIDO CANDIDATO (A) NÃO APRESENTOU DOCUMENTAÇÃO EXIGIDA ( FORMULÁRIO )
NARGILLA REGINNA DE SOUZA MOREIRA 968***.***-** 1 INDEFERIDO
CANDIDATO (A) NÃO APRESENTOU DOCUMENTAÇÃO EXIGIDA ( FORMULÁRIO
ATUALIZADO )
PEDRO VINÍCIUS SANTOS DE JESUS 070***.***-** INDEFERIDO CANDIDATO (A) NÃO APRESENTOU DOCUMENTAÇÃO EXIGIDA ( FORMULÁRIO )
ZENILDA FRANCISCA DE CASTELO 552***.***-** 7 INDEFERIDO
CANDIDATO (A) NÃO APRESENTOU DOCUMENTAÇÃO EXIGIDA ( NENHUMA
DOCUMENTAÇÃO )
TATIANE DA SILVA OLIVEIRA 013***.***-** 1 INDEFERIDO
CANDIDATO (A) NÃO APRESENTOU DECLARAÇÃO EXPEDIDA PELO GDF QUE
COMPROVE RECEBIMENTO DE BENEFÍCIO DE PROGRAMA SOCIAL DE
COMPLEMENTAÇÃO OU SUPLEMENTAÇÃO DE RENDA DO GDF (PRATO CHEIO E
DF SOCIAL)
TATIANE DA SILVA OLIVEIRA 013***.***-** 2 INDEFERIDO
CANDIDATO (A) NÃO APRESENTOU DECLARAÇÃO EXPEDIDA PELO GDF QUE
COMPROVE RECEBIMENTO DE BENEFÍCIO DE PROGRAMA SOCIAL DE
COMPLEMENTAÇÃO OU SUPLEMENTAÇÃO DE RENDA DO GDF (PRATO CHEIO E
DF SOCIAL)
BRENA DIAS ROCHA 053***.***-** 5 DEFERIDO
BRENA DIAS ROCHA 053***.***-** 1 DEFERIDO
LEANDRO DIAS CARVALHO 726***.***-** 1 INDEFERIDO
CANDIDATO (A) NÃO APRESENTOU DECLARAÇÃO EXPEDIDA PELO GDF QUE
COMPROVE RECEBIMENTO DE BENEFÍCIO DE PROGRAMA SOCIAL DE
COMPLEMENTAÇÃO OU SUPLEMENTAÇÃO DE RENDA DO GDF (PRATO CHEIO E
DF SOCIAL)
JOSENETH RIBEIRO DA SILVA 003***.***-** 1 INDEFERIDO CANDIDATO (A) NÃO APRESENTOU DOCUMENTAÇÃO EXIGIDA EM PDF
LEANDRO RODRIGUES DANIEL 091***.***-** 1 INDEFERIDO CANDIDATO (A) NÃO APRESENTOU DOCUMENTAÇÃO EXIGIDA EM PDF
EVERTON DO NASCIMENTO DAMACENO FARIAS. 005***.***-** 1 DEFERIDO
VANESSA LOPES MARTINS SOUZA 012***.***-** 8 INDEFERIDO
CANDIDATO (A) NÃO APRESENTOU DECLARAÇÃO EXPEDIDA PELO GDF QUE
COMPROVE RECEBIMENTO DE BENEFÍCIO DE PROGRAMA SOCIAL DE
COMPLEMENTAÇÃO OU SUPLEMENTAÇÃO DE RENDA DO GDF (PRATO CHEIO E
DF SOCIAL)
CATIUCIA MATOS DOS SANTOS 003***.***-** 5 INDEFERIDO
CANDIDATO (A) NÃO APRESENTOU DECLARAÇÃO EXPEDIDA PELO GDF QUE
COMPROVE RECEBIMENTO DE BENEFÍCIO DE PROGRAMA SOCIAL DE
COMPLEMENTAÇÃO OU SUPLEMENTAÇÃO DE RENDA DO GDF (PRATO CHEIO E
DF SOCIAL)
NOELIA TEIXEIRA DE ALMEIDA 042***.***-** 2 INDEFERIDO CANDIDATO (A) NÃO APRESENTOU DOCUMENTAÇÃO EXIGIDA EM PDF (RG)
NATANAEL LOPES DE LIMA 379***.***-** 1 INDEFERIDO
CANDIDATO (A) NÃO APRESENTOU LAUDO MÉDICO COMPROBATÓRIO DA
ISENÇÃO DE
ACORDO COM A POSSIBILIDADE ESCOLHIDA (CAD. ÚNICO FEDERAL)
MILENNE DA SILVA SPINOLA 051***.***-** 8 DEFERIDO
KENYA FIRMINO DE ALMEIDA 011***.***-** 1 DEFERIDO
RAYNARA EDUARDA PEREIRA SILVA 090***.***-** 6 INDEFERIDO
CANDIDATO (A) NÃO APRESENTOU DOCUMENTAÇÃO EXIGIDA ( NENHUMA
DOCUMENTAÇÃO )
EDEMIR FERREIRA JUNIOR 011***.***-** 1 INDEFERIDO
CANDIDATO (A) NÃO APRESENTOU DOCUMENTAÇÃO EXIGIDA EM PDF
(RG/FORMULÁRIO)
MARIA JOSE DA SILVA BRITO 030***.***-** 1 INDEFERIDO
CANDIDATO (A) NÃO APRESENTOU DOCUMENTAÇÃO EXIGIDA EM PDF
(RG/FORMULÁRIO)
VALDIR LIMA DOS SANTOS 936***.***-** 1 INDEFERIDO
CANDIDATO (A) NÃO APRESENTOU DOCUMENTAÇÃO EXIGIDA ( FORMULÁRIO
ATUALIZADO )
MARGARETE MENDES LISBOA 736***.***-** 6 DEFERIDO
JULIANA LIMA MAIA DA SILVA 054***.***-** 3 INDEFERIDO
CANDIDATO (A) NÃO APRESENTOU DECLARAÇÃO EXPEDIDA PELO GDF QUE
COMPROVE RECEBIMENTO DE BENEFÍCIO DE PROGRAMA SOCIAL DE
COMPLEMENTAÇÃO OU SUPLEMENTAÇÃO DE RENDA DO GDF (PRATO CHEIO E
DF SOCIAL)
JULIANA LIMA MAIA DA SILVA 054***.***-** 1 INDEFERIDO
CANDIDATO (A) NÃO APRESENTOU DECLARAÇÃO EXPEDIDA PELO GDF QUE
COMPROVE RECEBIMENTO DE BENEFÍCIO DE PROGRAMA SOCIAL DE
COMPLEMENTAÇÃO OU SUPLEMENTAÇÃO DE RENDA DO GDF (PRATO CHEIO E
DF SOCIAL)
KAREN CARINA BARROS SANTOS 023***.***-** 1 DEFERIDO
GUSTAVO DA SILVA ELIAS 039***.***-** 1 DEFERIDO
GUSTAVO DA SILVA ELIAS 039***.***-** 7 DEFERIDO
MONICA AMERICA DO NASCIMENTO 739***.***-** 8 INDEFERIDO
CANDIDATO (A) NÃO APRESENTOU LAUDO MÉDICO COMPROBATÓRIO DA
ISENÇÃO DE
ACORDO COM A POSSIBILIDADE ESCOLHIDA (CAD. ÚNICO FEDERAL)
KELLY ALVES DE ALCANTARA 993***.***-** 1 DEFERIDO
KELLY ALVES DE ALCANTARA 993***.***-** 7 DEFERIDO
ALESSANDRA CARINA DE JESUS GOMES PEREZ 065***.***-** 2 DEFERIDO
GRAZIELA PEREIRA ALVES 706***.***-** 1 DEFERIDO
HELENO RODRIGUES DA SILVA 725***.***-** 1 DEFERIDO
ELIANE DO NASCIMENTO BRITO 010***.***-** 3 INDEFERIDO
CANDIDATO (A) NÃO APRESENTOU DOCUMENTAÇÃO EXIGIDA EM PDF
(RG/FORMULÁRIO/LAUDO MÉDICO)
PATRICIA MACIANO 605***.***-** 2 INDEFERIDO
CANDIDATO (A) NÃO APRESENTOU DECLARAÇÃO EXPEDIDA PELO GDF QUE
COMPROVE RECEBIMENTO DE BENEFÍCIO DE PROGRAMA SOCIAL DE
COMPLEMENTAÇÃO OU SUPLEMENTAÇÃO DE RENDA DO GDF (PRATO CHEIO E
DF SOCIAL)
MARIA DO SOCORRO LIRA QUEIROZ COSTA 305***.***-** 1 DEFERIDO
MARIA DO SOCORRO LIRA QUEIROZ COSTA 305***.***-** 8 DEFERIDO
AMANDA RAFAELLA RIBEIRO DE ARAUJO 059***.***-** 1 DEFERIDO
AMANDA RAFAELLA RIBEIRO DE ARAUJO 059***.***-** 8 DEFERIDO
JULIANA FURTADO PEREIRA ***.***-** INDEFERIDO
CANDIDATO (A) NÃO APRESENTOU DOCUMENTAÇÃO EXIGIDA ( NENHUMA
DOCUMENTAÇÃO )
ELLEN SIMONE FRANCISCO DOS SANTOS 008***.***-** 3 INDEFERIDO
CANDIDATO (A) NÃO APRESENTOU DECLARAÇÃO EXPEDIDA PELO GDF QUE
COMPROVE RECEBIMENTO DE BENEFÍCIO DE PROGRAMA SOCIAL DE
COMPLEMENTAÇÃO OU SUPLEMENTAÇÃO DE RENDA DO GDF (PRATO CHEIO E
DF SOCIAL)
LUCIMAR NUNES DANIEL 815***.***-** 1 INDEFERIDO
CANDIDATO (A) NÃO APRESENTOU DECLARAÇÃO EXPEDIDA PELO GDF QUE
COMPROVE RECEBIMENTO DE BENEFÍCIO DE PROGRAMA SOCIAL DE
COMPLEMENTAÇÃO OU SUPLEMENTAÇÃO DE RENDA DO GDF (PRATO CHEIO E
DF SOCIAL)
JULIANE COSTA GOMES 960***.***-** 1 DEFERIDO
KÉSIA CRISTIANE ALVES VASCONCELOS 895***.***-** 7 INDEFERIDO
CANDIDATO (A) NÃO APRESENTOU DECLARAÇÃO EXPEDIDA PELO GDF QUE
COMPROVE RECEBIMENTO DE BENEFÍCIO DE PROGRAMA SOCIAL DE
COMPLEMENTAÇÃO OU SUPLEMENTAÇÃO DE RENDA DO GDF (PRATO CHEIO E
DF SOCIAL)
JOAO RICARDO FRANCISCO MOTA 119***.***-** 1 DEFERIDO
ANTONIA MARES ALVES FERREIRA 717***.***-** 2 INDEFERIDO
CANDIDATO (A) NÃO APRESENTOU DOCUMENTAÇÃO EXIGIDA ( COMPROVANTE
DE SERVIÇO ELEITORAL )
THAMARA LUIZA CAVALCANTE 027***.***-** 1 DEFERIDO
ATILA JOZSEF AMORIM DE SOUZA 036***.***-** 1 DEFERIDO
ATILA JOZSEF AMORIM DE SOUZA 036***.***-** 8 DEFERIDO
SARA LIMA DE MESQUITA 029***.***-** 1 INDEFERIDO
CANDIDATO (A) NÃO APRESENTOU DECLARAÇÃO EXPEDIDA PELO GDF QUE
COMPROVE RECEBIMENTO DE BENEFÍCIO DE PROGRAMA SOCIAL DE
COMPLEMENTAÇÃO OU SUPLEMENTAÇÃO DE RENDA DO GDF (PRATO CHEIO E
DF SOCIAL)
YARA MARESCA VITÓRIA LOURENÇO 023***.***-** 1 DEFERIDO
YARA MARESCA VITÓRIA LOURENÇO 023***.***-** 8 DEFERIDO
FRANCIELDA DA SILVA LUCENA 049***.***-** 7 INDEFERIDO CANDIDATO (A) NÃO APRESENTOU DOCUMENTAÇÃO EXIGIDA EM PDF (RG)
FRANCIELDA DA SILVA LUCENA 049***.***-** 1 INDEFERIDO CANDIDATO (A) NÃO APRESENTOU DOCUMENTAÇÃO EXIGIDA EM PDF (RG)
ISABELA CRISTINA ROCHA DE SOUZA 111***.***-** 8 DEFERIDO
AMABYLLI MIKAELE COSTA LUZ 029***.***-** 1 DEFERIDO
FLÁVIO SALVINI DE ANDRADE 690***.***-** 1 DEFERIDO
IZABELLA MARIA DE SOUSA 064***.***-** 5 INDEFERIDO
CANDIDATO (A) NÃO APRESENTOU DOCUMENTAÇÃO EXIGIDA EM PDF
(RG/CARTEIRINHA OU DECLARAÇÃO DO REDOME)
MARIA CLARA GOMES DE SOUZA 082***.***-** 8 INDEFERIDO
CANDIDATO (A) NÃO APRESENTOU LAUDO MÉDICO COMPROBATÓRIO DA
ISENÇÃO DE
ACORDO COM A POSSIBILIDADE ESCOLHIDA (CAD. ÚNICO FEDERAL)
SARA ARAÚJO SOUZA 958***.***-** 1 DEFERIDO
DENISE CARLA DE LIMA 959***.***-** 1 INDEFERIDO
CANDIDATO (A) NÃO APRESENTOU DECLARAÇÃO EXPEDIDA PELO GDF QUE
COMPROVE RECEBIMENTO DE BENEFÍCIO DE PROGRAMA SOCIAL DE
COMPLEMENTAÇÃO OU SUPLEMENTAÇÃO DE RENDA DO GDF (PRATO CHEIO E
DF SOCIAL)
DENISE CARLA DE LIMA 959***.***-** 8 INDEFERIDO
CANDIDATO (A) NÃO APRESENTOU DECLARAÇÃO EXPEDIDA PELO GDF QUE
COMPROVE RECEBIMENTO DE BENEFÍCIO DE PROGRAMA SOCIAL DE
COMPLEMENTAÇÃO OU SUPLEMENTAÇÃO DE RENDA DO GDF (PRATO CHEIO E
DF SOCIAL)
LUCIANE FÁTIMA TESTA 713***.***-** 1 INDEFERIDO
CANDIDATO (A) NÃO APRESENTOU DECLARAÇÃO EXPEDIDA PELO GDF QUE
COMPROVE RECEBIMENTO DE BENEFÍCIO DE PROGRAMA SOCIAL DE
COMPLEMENTAÇÃO OU SUPLEMENTAÇÃO DE RENDA DO GDF (PRATO CHEIO E
DF SOCIAL)
LUCIANE FÁTIMA TESTA 713***.***-** 5 INDEFERIDO
CANDIDATO (A) NÃO APRESENTOU DECLARAÇÃO EXPEDIDA PELO GDF QUE
COMPROVE RECEBIMENTO DE BENEFÍCIO DE PROGRAMA SOCIAL DE
COMPLEMENTAÇÃO OU SUPLEMENTAÇÃO DE RENDA DO GDF (PRATO CHEIO E
DF SOCIAL)
RAELLY VALERIA DE MELO SILVA 014***.***-** 1 DEFERIDO
RAELLY VALERIA DE MELO SILVA 014***.***-** 6 DEFERIDO
NANCIMAR NUNES DANIEL 014***.***-** 1 INDEFERIDO
CANDIDATO (A) NÃO APRESENTOU DECLARAÇÃO EXPEDIDA PELO GDF QUE
COMPROVE RECEBIMENTO DE BENEFÍCIO DE PROGRAMA SOCIAL DE
COMPLEMENTAÇÃO OU SUPLEMENTAÇÃO DE RENDA DO GDF (PRATO CHEIO E
DF SOCIAL)
RICARDO TOMÉ DE CARVALHO 029***.***-** 1 INDEFERIDO
CANDIDATO (A) NÃO APRESENTOU DECLARAÇÃO EXPEDIDA PELO GDF QUE
COMPROVE RECEBIMENTO DE BENEFÍCIO DE PROGRAMA SOCIAL DE
COMPLEMENTAÇÃO OU SUPLEMENTAÇÃO DE RENDA DO GDF (PRATO CHEIO E
DF SOCIAL)
RICARDO TOMÉ DE CARVALHO 029***.***-** 8 INDEFERIDO
CANDIDATO (A) NÃO APRESENTOU DECLARAÇÃO EXPEDIDA PELO GDF QUE
COMPROVE RECEBIMENTO DE BENEFÍCIO DE PROGRAMA SOCIAL DE
COMPLEMENTAÇÃO OU SUPLEMENTAÇÃO DE RENDA DO GDF (PRATO CHEIO E
DF SOCIAL)
FLÁVIA BARBOSA DE SOUZA SILVA 017***.***-** 3 INDEFERIDO
CANDIDATO (A) NÃO APRESENTOU DECLARAÇÃO EXPEDIDA PELO GDF QUE
COMPROVE RECEBIMENTO DE BENEFÍCIO DE PROGRAMA SOCIAL DE
COMPLEMENTAÇÃO OU SUPLEMENTAÇÃO DE RENDA DO GDF (PRATO CHEIO E
DF SOCIAL)
JHESSICA XAVIER DA SILVA 017***.***-** 6 INDEFERIDO
CANDIDATO (A) NÃO APRESENTOU LAUDO MÉDICO COMPROBATÓRIO DA
ISENÇÃO DE
ACORDO COM A POSSIBILIDADE ESCOLHIDA (CAD. ÚNICO FEDERAL)
FERNANDO FERREIRA MARTINS 046***.***-** 1 DEFERIDO
SABRINA MENDES CIRINO 002***.***-** 1 DEFERIDO
IVÂNIA RIBEIRO DOS SANTOS 339***.***-** 5 INDEFERIDO
CANDIDATO (A) NÃO APRESENTOU DECLARAÇÃO EXPEDIDA PELO GDF QUE
COMPROVE RECEBIMENTO DE BENEFÍCIO DE PROGRAMA SOCIAL DE
COMPLEMENTAÇÃO OU SUPLEMENTAÇÃO DE RENDA DO GDF (PRATO CHEIO E
DF SOCIAL)
FRANCISCA LILIAN TELES LIZARDO 999***.***-** 1 DEFERIDO
FRANCISCA LILIAN TELES LIZARDO 999***.***-** 8 DEFERIDO
INGRID MAIARA BISPO DE SOUSA 045***.***-** 1 DEFERIDO
THOMAS GABRIEL MACIANO DA CONCEIÇÃO 064***.***-** 2 INDEFERIDO
CANDIDATO (A) NÃO APRESENTOU DECLARAÇÃO EXPEDIDA PELO GDF QUE
COMPROVE RECEBIMENTO DE BENEFÍCIO DE PROGRAMA SOCIAL DE
COMPLEMENTAÇÃO OU SUPLEMENTAÇÃO DE RENDA DO GDF (PRATO CHEIO E
DF SOCIAL)
AIRES HENRIQUE MACIEL PESSOÂ 037***.***-** 1 INDEFERIDO
CANDIDATO (A) NÃO APRESENTOU DECLARAÇÃO EXPEDIDA PELO GDF QUE
COMPROVE RECEBIMENTO DE BENEFÍCIO DE PROGRAMA SOCIAL DE
COMPLEMENTAÇÃO OU SUPLEMENTAÇÃO DE RENDA DO GDF (PRATO CHEIO E
DF SOCIAL)
VANESSA ALVES DE SOUZA 053***.***-** 8 DEFERIDO
VANESSA ALVES DE SOUZA 053***.***-** 2 DEFERIDO
DAILANE AZEVEDO DOS SANTOS 065***.***-** 6 INDEFERIDO
CANDIDATO (A) NÃO APRESENTOU LAUDO MÉDICO COMPROBATÓRIO DA
ISENÇÃO DE
ACORDO COM A POSSIBILIDADE ESCOLHIDA (CAD. ÚNICO FEDERAL)
REINALDO WESLEI LIMA TEMISTOCLES 717***.***-** 1 INDEFERIDO
CANDIDATO (A) NÃO APRESENTOU DECLARAÇÃO EXPEDIDA PELO GDF QUE
COMPROVE RECEBIMENTO DE BENEFÍCIO DE PROGRAMA SOCIAL DE
COMPLEMENTAÇÃO OU SUPLEMENTAÇÃO DE RENDA DO GDF (PRATO CHEIO E
DF SOCIAL)
KELYANE DA ROCHA PEREIRA 035***.***-** 5 INDEFERIDO
CANDIDATO (A) NÃO APRESENTOU DECLARAÇÃO EXPEDIDA PELO GDF QUE
COMPROVE RECEBIMENTO DE BENEFÍCIO DE PROGRAMA SOCIAL DE
COMPLEMENTAÇÃO OU SUPLEMENTAÇÃO DE RENDA DO GDF (PRATO CHEIO E
DF SOCIAL)
ALESSANDRA TEIXEIRA DOS SANTOS 848***.***-** 3 DEFERIDO
REBECA CÁSSIA DE ANDRADE MARIANO 058***.***-** 1 DEFERIDO
VÂNIA VIEIRA DA SILVA 028***.***-** 7 INDEFERIDO
CANDIDATO (A) NÃO APRESENTOU DECLARAÇÃO EXPEDIDA PELO GDF QUE
COMPROVE RECEBIMENTO DE BENEFÍCIO DE PROGRAMA SOCIAL DE
COMPLEMENTAÇÃO OU SUPLEMENTAÇÃO DE RENDA DO GDF (PRATO CHEIO E
DF SOCIAL)
JACKELINE KEREN RODRIGUES DA COSTA 053***.***-** 1 INDEFERIDO
CANDIDATO (A) NÃO APRESENTOU DECLARAÇÃO EXPEDIDA PELO GDF QUE
COMPROVE RECEBIMENTO DE BENEFÍCIO DE PROGRAMA SOCIAL DE
COMPLEMENTAÇÃO OU SUPLEMENTAÇÃO DE RENDA DO GDF (PRATO CHEIO E
DF SOCIAL)
LILIANE DE OLIVEIRA FERNANDES 065***.***-** 1 INDEFERIDO
CANDIDATO (A) NÃO APRESENTOU DECLARAÇÃO EXPEDIDA PELO GDF QUE
COMPROVE RECEBIMENTO DE BENEFÍCIO DE PROGRAMA SOCIAL DE
COMPLEMENTAÇÃO OU SUPLEMENTAÇÃO DE RENDA DO GDF (PRATO CHEIO E
DF SOCIAL)
ISABELA DE OLIVEIRA SANTOS 703***.***-** 2 INDEFERIDO
CANDIDATO (A) NÃO APRESENTOU DECLARAÇÃO EXPEDIDA PELO GDF QUE
COMPROVE RECEBIMENTO DE BENEFÍCIO DE PROGRAMA SOCIAL DE
COMPLEMENTAÇÃO OU SUPLEMENTAÇÃO DE RENDA DO GDF (PRATO CHEIO E
DF SOCIAL)
ISABELA DE OLIVEIRA SANTOS 703***.***-** 1 INDEFERIDO
CANDIDATO (A) NÃO SELECIONOU NENHUMA DAS OPÇÕES DO FORMULÁRIO
DISPONÍVEL
VILMA MARIA QUIRINO DO Ó 564***.***-** 1 INDEFERIDO
CANDIDATO (A) NÃO APRESENTOU DECLARAÇÃO EXPEDIDA PELO GDF QUE
COMPROVE RECEBIMENTO DE BENEFÍCIO DE PROGRAMA SOCIAL DE
COMPLEMENTAÇÃO OU SUPLEMENTAÇÃO DE RENDA DO GDF (PRATO CHEIO E
DF SOCIAL)
EVELYN LARA DE OLIVEIRA FERREIRA 047***.***-** 1 DEFERIDO
WARLISON BISPO DA COSTA 069***.***-** 1 INDEFERIDO
CANDIDATO (A) NÃO APRESENTOU LAUDO MÉDICO COMPROBATÓRIO DA
ISENÇÃO DE
ACORDO COM A POSSIBILIDADE ESCOLHIDA (CAD. ÚNICO FEDERAL)
ADRIANO LIMA PEREIRA DA SILVA 731***.***-** 1 INDEFERIDO
CANDIDATO (A) NÃO APRESENTOU DOCUMENTAÇÃO EXIGIDA ( NENHUMA
DOCUMENTAÇÃO )
MARYELLE ALENCAR GARCIA ***.***-** 1 INDEFERIDO
CANDIDATO (A) NÃO APRESENTOU DOCUMENTAÇÃO EXIGIDA ( NENHUMA
DOCUMENTAÇÃO )
EDUARDA SIQUEIRA GONÇALVES ALVES 046***.***-** 1 INDEFERIDO
EDUARDA SIQUEIRA GONÇALVES ALVES 046***.***-** 2 INDEFERIDO CANDIDATO (A) NÃO APRESENTOU DOCUMENTAÇÃO EXIGIDA EM PDF
JULIO CÉSAR DO NASCIMENTO PEREIRA 705***.***-** 1 DEFERIDO
RAYANE ALVES PONCIANO CANDIDO 062***.***-** 6 INDEFERIDO
CANDIDATO (A) NÃO APRESENTOU LAUDO MÉDICO COMPROBATÓRIO DA
ISENÇÃO DE
ACORDO COM A POSSIBILIDADE ESCOLHIDA (CAD. ÚNICO FEDERAL)
RAYANE ALVES PONCIANO CANDIDO 062***.***-** 1 INDEFERIDO
CANDIDATO (A) NÃO APRESENTOU LAUDO MÉDICO COMPROBATÓRIO DA
ISENÇÃO DE
ACORDO COM A POSSIBILIDADE ESCOLHIDA (CAD. ÚNICO FEDERAL)
JOYCE DAMASCENDO DE MENEZES 063***.***-** 1 DEFERIDO
JOYCE DAMASCENDO DE MENEZES 063***.***-** 6 DEFERIDO
ARPACHADE GABRIEL JUNIO DE ANDRADE MARIANO 058***.***-** 1 DEFERIDO
KELIANE CONCEIÇÃO DOS SANTOS DIAS 018***.***-** 8 INDEFERIDO
CANDIDATO (A) NÃO APRESENTOU DOCUMENTAÇÃO EXIGIDA EM PDF (
NENHUMA DOCUMENTAÇÃO )
TAIS ALVES DE PAULA 030***.***-** 1 INDEFERIDO
CANDIDATO (A) NÃO APRESENTOU DECLARAÇÃO EXPEDIDA PELO GDF QUE
COMPROVE RECEBIMENTO DE BENEFÍCIO DE PROGRAMA SOCIAL DE
COMPLEMENTAÇÃO OU SUPLEMENTAÇÃO DE RENDA DO GDF (PRATO CHEIO E
DF SOCIAL)
BRUNA ERIKA SANTIAGO POECK 933***.***-** 1 INDEFERIDO
CANDIDATO (A) NÃO APRESENTOU DOCUMENTAÇÃO EXIGIDA EM PDF (
RG/FORMULÁRIO)
EGNA MESSIAS SILVA 806***.***-** 1 DEFERIDO
EGNA MESSIAS SILVA 806***.***-** 7 DEFERIDO
MARIA RAMOS DE SOUSA 734***.***-** 7 INDEFERIDO
CANDIDATO (A) NÃO APRESENTOU LAUDO MÉDICO COMPROBATÓRIO DA
ISENÇÃO DE
ACORDO COM A POSSIBILIDADE ESCOLHIDA (CAD. ÚNICO FEDERAL)
ZILMA DOS SANTOS TAVARES SUBRINHO 861***.***-** 7 INDEFERIDO CANDIDATO (A) NÃO PREENCHEU O FORMULÁRIO
PAULO SILVA DE OLIVEIRA XAVIER 032***.***-** 1 DEFERIDO
TALITA MOZANA FORTUNATTO 013***.***-** 1 DEFERIDO
ISABEL CRISTINA XAVIER DE OLIVEIRA 698***.***-** 8 DEFERIDO
MIRIAN DA SILVA GOMES 053***.***-** 1 INDEFERIDO
CANDIDATO (A) NÃO APRESENTOU DECLARAÇÃO EXPEDIDA PELO GDF QUE
COMPROVE RECEBIMENTO DE BENEFÍCIO DE PROGRAMA SOCIAL DE
COMPLEMENTAÇÃO OU SUPLEMENTAÇÃO DE RENDA DO GDF (PRATO CHEIO E
DF SOCIAL)
SANDRA CLARA SIMPLÍCIO DA SILVA 024***.***-** 3 DEFERIDO
DANIELE TRINDADE MARQUES 003***.***-** 8 DEFERIDO
DANIELE TRINDADE MARQUES 003***.***-** 1 DEFERIDO
ANDRELIA ALVES DE FRANCA DE ARAUJO 927***.***-** 1 DEFERIDO
CLAUDIA NOADIA CARMO NUNES SCALIA 584***.***-** 7 INDEFERIDO
CANDIDATO (A) NÃO APRESENTOU DECLARAÇÃO EXPEDIDA PELO GDF QUE
COMPROVE RECEBIMENTO DE BENEFÍCIO DE PROGRAMA SOCIAL DE
COMPLEMENTAÇÃO OU SUPLEMENTAÇÃO DE RENDA DO GDF (PRATO CHEIO E
DF SOCIAL)
ABIGAIL BARBOSA DE OLIVEIRA FERNANDES 399***.***-** 1 INDEFERIDO
CANDIDATO (A) NÃO APRESENTOU DECLARAÇÃO EXPEDIDA PELO GDF QUE
COMPROVE RECEBIMENTO DE BENEFÍCIO DE PROGRAMA SOCIAL DE
COMPLEMENTAÇÃO OU SUPLEMENTAÇÃO DE RENDA DO GDF (PRATO CHEIO E
DF SOCIAL)
ISAURA MARQUES MARTINS 875***.***-** 1 INDEFERIDO CANDIDATO (A) NÃO APRESENTOU DOCUMENTAÇÃO EXIGIDA EM PDF ( RG)
IRENILDE ROCHA DE SOUSA 721***.***-** 1 INDEFERIDO
CANDIDATO (A) NÃO APRESENTOU DECLARAÇÃO EXPEDIDA PELO GDF QUE
COMPROVE RECEBIMENTO DE BENEFÍCIO DE PROGRAMA SOCIAL DE
COMPLEMENTAÇÃO OU SUPLEMENTAÇÃO DE RENDA DO GDF (PRATO CHEIO E
DF SOCIAL)
DARLENE FERREIRA DE BARROS 602***.***-** 8 DEFERIDO
AFONSO HERNANI PEREIRA OPAZO 902***.***-** 1 INDEFERIDO
CANDIDATO (A) NÃO APRESENTOU DOCUMENTAÇÃO EXIGIDA EM PDF (
RG/DECLARAÇÃO DE DOAÇÃO DE SANGUE)
AFONSO HERNANI PEREIRA OPAZO 902***.***-** 6 INDEFERIDO
CANDIDATO (A) NÃO APRESENTOU DOCUMENTAÇÃO EXIGIDA EM PDF (
RG/DECLARAÇÃO DE DOAÇÃO DE SANGUE)
ADRIANO VASCONCELOS DE MELO 008***.***-** 1 INDEFERIDO
CANDIDATO (A) NÃO APRESENTOU DECLARAÇÃO EXPEDIDA PELO GDF QUE
COMPROVE RECEBIMENTO DE BENEFÍCIO DE PROGRAMA SOCIAL DE
COMPLEMENTAÇÃO OU SUPLEMENTAÇÃO DE RENDA DO GDF (PRATO CHEIO E
DF SOCIAL) / NÃO APRESENTOU A DOCUMENTAÇÃO EM PDF
GABRIEL RIBEIRO TORRES 072***.***-** 1 INDEFERIDO
CANDIDATO (A) NÃO APRESENTOU DECLARAÇÃO EXPEDIDA PELO GDF QUE
COMPROVE RECEBIMENTO DE BENEFÍCIO DE PROGRAMA SOCIAL DE
COMPLEMENTAÇÃO OU SUPLEMENTAÇÃO DE RENDA DO GDF (PRATO CHEIO E
DF SOCIAL)
GUILHERME ALMEIDA RIBAS 890***.***-** 1 INDEFERIDO
CANDIDATO (A) NÃO APRESENTOU DECLARAÇÃO EXPEDIDA PELO GDF QUE
COMPROVE RECEBIMENTO DE BENEFÍCIO DE PROGRAMA SOCIAL DE
COMPLEMENTAÇÃO OU SUPLEMENTAÇÃO DE RENDA DO GDF (PRATO CHEIO E
DF SOCIAL)
GRAZIELA FERREIRA DA SILVA RODRIGUES 696***.***-** 1 INDEFERIDO
CANDIDATO (A) NÃO APRESENTOU DOCUMENTAÇÃO EXIGIDA EM PDF (
CARTERINHA DE DOADOR DE MEDULA ÓSSEA)
LORRANE ALVES DE OLIVEIRA 076***.***-** INDEFERIDO
CANDIDATO (A) NÃO APRESENTOU LAUDO MÉDICO COMPROBATÓRIO DA
ISENÇÃO DE
ACORDO COM A POSSIBILIDADE ESCOLHIDA (CAD. ÚNICO FEDERAL)
LUIS FERNANDO DE ANDRADE DE OLIVEIRA 704***.***-** 1 INDEFERIDO
CANDIDATO (A) NÃO APRESENTOU LAUDO MÉDICO COMPROBATÓRIO DA
ISENÇÃO DE
ACORDO COM A POSSIBILIDADE ESCOLHIDA (CAD. ÚNICO FEDERAL)
LUIS FERNANDO DE ANDRADE DE OLIVEIRA 704***.***-** 8 INDEFERIDO
CANDIDATO (A) NÃO APRESENTOU LAUDO MÉDICO COMPROBATÓRIO DA
ISENÇÃO DE
ACORDO COM A POSSIBILIDADE ESCOLHIDA (CAD. ÚNICO FEDERAL)
FRANCISCA MARIA DA SILVA 803***.***-** 1 INDEFERIDO
CANDIDATO (A) NÃO APRESENTOU DECLARAÇÃO EXPEDIDA PELO GDF QUE
COMPROVE RECEBIMENTO DE BENEFÍCIO DE PROGRAMA SOCIAL DE
COMPLEMENTAÇÃO OU SUPLEMENTAÇÃO DE RENDA DO GDF (PRATO CHEIO E
DF SOCIAL)
THALES RODRIGUES DO SANTOS BORTONE DE ARAÚJO 016***.***-** 1 INDEFERIDO
CANDIDATO (A) NÃO APRESENTOU DECLARAÇÃO EXPEDIDA PELO GDF QUE
COMPROVE RECEBIMENTO DE BENEFÍCIO DE PROGRAMA SOCIAL DE
COMPLEMENTAÇÃO OU SUPLEMENTAÇÃO DE RENDA DO GDF (PRATO CHEIO E
DF SOCIAL)
SULAMITA TEIXEIRA BRAZ DE MORAIS 493***.***-** INDEFERIDO CANDIDATO (A) NÃO PREENCHEU O CÓDIGO DE CARGO NO FORMULÁRIO
MARIA JOSE DA SILVA 358***.***-** 1 DEFERIDO
MARCELO NUNES VIEIRA 813***.***-** 1 INDEFERIDO CANDIDATO (A) NÃO APRESENTOU DOCUMENTAÇÃO EXIGIDA EM PDF ( RG)
MARIA ISABEL ALVES SILVA GUAJAJARA 047***.***-** 8 INDEFERIDO
CANDIDATO (A) NÃO APRESENTOU DECLARAÇÃO EXPEDIDA PELO GDF QUE
COMPROVE RECEBIMENTO DE BENEFÍCIO DE PROGRAMA SOCIAL DE
COMPLEMENTAÇÃO OU SUPLEMENTAÇÃO DE RENDA DO GDF (PRATO CHEIO E
DF SOCIAL)
MARIA ISABEL ALVES SILVA GUAJAJARA 047***.***-** 1 INDEFERIDO
CANDIDATO (A) NÃO APRESENTOU DECLARAÇÃO EXPEDIDA PELO GDF QUE
COMPROVE RECEBIMENTO DE BENEFÍCIO DE PROGRAMA SOCIAL DE
COMPLEMENTAÇÃO OU SUPLEMENTAÇÃO DE RENDA DO GDF (PRATO CHEIO E
DF SOCIAL)
LIDIANE OLIVEIRA DE FREITAS 073***.***-** 7 DEFERIDO
LIDIANE OLIVEIRA DE FREITAS 073***.***-** 1 DEFERIDO
LUZINEIDE RODRIGUES DA COSTA 599***.***-** 5 INDEFERIDO
CANDIDATO (A) NÃO APRESENTOU DECLARAÇÃO EXPEDIDA PELO GDF QUE
COMPROVE RECEBIMENTO DE BENEFÍCIO DE PROGRAMA SOCIAL DE
COMPLEMENTAÇÃO OU SUPLEMENTAÇÃO DE RENDA DO GDF (PRATO CHEIO E
DF SOCIAL)
KARINA ANUNCIAÇÃO DE SOUZA 052***.***-** 8 INDEFERIDO
CANDIDATO (A) NÃO APRESENTOU DOCUMENTAÇÃO EXIGIDA EM PDF (
FORMLÁRIO)
SHEILA CARDOSO DE ARAUJO 013***.***-** 6 INDEFERIDO
CANDIDATO (A) NÃO APRESENTOU DECLARAÇÃO EXPEDIDA PELO GDF QUE
COMPROVE RECEBIMENTO DE BENEFÍCIO DE PROGRAMA SOCIAL DE
COMPLEMENTAÇÃO OU SUPLEMENTAÇÃO DE RENDA DO GDF (PRATO CHEIO E
DF SOCIAL)
ELIENE DE MORAIS CAMPELO 696***.***-** 8 DEFERIDO
ELIENE DE MORAIS CAMPELO 696***.***-** 1 DEFERIDO
AISHA NICOLE DA COSTA 050***.***-** 6 INDEFERIDO
CANDIDATO (A) NÃO APRESENTOU LAUDO MÉDICO COMPROBATÓRIO DA
ISENÇÃO DE
ACORDO COM A POSSIBILIDADE ESCOLHIDA (CAD. ÚNICO FEDERAL)
IVAN DE OLIVEIRA RAMOS 494***.***-** 8 DEFERIDO
GIOVANNA DIAS FERREIRA 077***.***-** 1 INDEFERIDO
CANDIDATO (A) NÃO APRESENTOU DECLARAÇÃO EXPEDIDA PELO GDF QUE
COMPROVE RECEBIMENTO DE BENEFÍCIO DE PROGRAMA SOCIAL DE
COMPLEMENTAÇÃO OU SUPLEMENTAÇÃO DE RENDA DO GDF (PRATO CHEIO E
DF SOCIAL)
GIOVANNA DIAS FERREIRA 077***.***-** 7 INDEFERIDO
CANDIDATO (A) NÃO APRESENTOU DECLARAÇÃO EXPEDIDA PELO GDF QUE
COMPROVE RECEBIMENTO DE BENEFÍCIO DE PROGRAMA SOCIAL DE
COMPLEMENTAÇÃO OU SUPLEMENTAÇÃO DE RENDA DO GDF (PRATO CHEIO E
DF SOCIAL)
WAGNER NUNES LEANDRO 011***.***-** 1 INDEFERIDO
CANDIDATO (A) NÃO APRESENTOU DECLARAÇÃO EXPEDIDA PELO GDF QUE
COMPROVE RECEBIMENTO DE BENEFÍCIO DE PROGRAMA SOCIAL DE
COMPLEMENTAÇÃO OU SUPLEMENTAÇÃO DE RENDA DO GDF (PRATO CHEIO E
DF SOCIAL)
WAGNER NUNES LEANDRO 011***.***-** 7 INDEFERIDO
CANDIDATO (A) NÃO APRESENTOU LAUDO MÉDICO COMPROBATÓRIO DA
ISENÇÃO DE
ACORDO COM A POSSIBILIDADE ESCOLHIDA (CAD. ÚNICO FEDERAL)
ANA CRISTINA DA SILVA 717***.***-** 1 INDEFERIDO CANDIDATO (A) NÃO APRESENTOU DOCUMENTAÇÃO EXIGIDA EM PDF
ANA CRISTINA DA SILVA 717***.***-** 7 INDEFERIDO CANDIDATO (A) NÃO APRESENTOU DOCUMENTAÇÃO EXIGIDA EM PDF
EVANEIDE FRANCISCA DOS SANTOS ALENCAR 998***.***-** 7 DEFERIDO
EVANEIDE FRANCISCA DOS SANTOS ALENCAR 998***.***-** 1 DEFERIDO
PEDRO HENRIQUE TOLENTINO 059***.***-** 1 INDEFERIDO
CANDIDATO (A) NÃO APRESENTOU DOCUMENTAÇÃO EXIGIDA EM PDF (
NENHUMA DOCUMENTAÇÃO )
PEDRO HENRIQUE TOLENTINO 059***.***-** 6 INDEFERIDO
CANDIDATO (A) NÃO APRESENTOU DOCUMENTAÇÃO EXIGIDA EM PDF (
NENHUMA DOCUMENTAÇÃO )
JULHA GRACIELA DOMINGOS DE SOUZA 009***.***-** 1 DEFERIDO
JULHA GRACIELA DOMINGOS DE SOUZA 009***.***-** 6 DEFERIDO
DANIELA RODRIGUES DA SILVA 006***.***-** 1 INDEFERIDO CANDIDATO (A) NÃO APRESENTOU DOCUMENTAÇÃO EXIGIDA EM PDF
DANIELA RODRIGUES DA SILVA 006***.***-** 2 INDEFERIDO CANDIDATO (A) NÃO APRESENTOU DOCUMENTAÇÃO EXIGIDA EM PDF
CHRISTIANE BATISTA PAULINO 818***.***-** 7 INDEFERIDO
CANDIDATO (A) NÃO APRESENTOU DOCUMENTO DE IDENTIFICAÇÃO E
FORMULÁRIO PARA PEDIDO DE ISENÇÃO ATUALIZADO
DANIELLE DE MELO RODRIGUES 039***.***-** 1 INDEFERIDO CANDIDATO (A) NÃO APRESENTOU DOCUMENTAÇÃO EXIGIDA ( RG)
THAIS LISBOA DA SILVA 052***.***-** 6 INDEFERIDO
CANDIDATO (A) NÃO APRESENTOU DECLARAÇÃO EXPEDIDA PELO GDF QUE
COMPROVE RECEBIMENTO DE BENEFÍCIO DE PROGRAMA SOCIAL DE
COMPLEMENTAÇÃO OU SUPLEMENTAÇÃO DE RENDA DO GDF (PRATO CHEIO E
DF SOCIAL)
MARIANA ZEFERINA DOS SANTOS 884***.***-** INDEFERIDO
CANDIDATO (A) NÃO APRESENTOU DECLARAÇÃO EXPEDIDA PELO GDF QUE
COMPROVE RECEBIMENTO DE BENEFÍCIO DE PROGRAMA SOCIAL DE
COMPLEMENTAÇÃO OU SUPLEMENTAÇÃO DE RENDA DO GDF (PRATO CHEIO E
DF SOCIAL)
JONATHAS MARCELO DA SILVA LIMA 068***.***-** 1 DEFERIDO
JONATHAS MARCELO DA SILVA LIMA 068***.***-** 7 DEFERIDO
ELAINE VIRGÍNIA LOPES BARBOSA FONSECA 703***.***-** 8 INDEFERIDO
CANDIDATO (A) NÃO APRESENTOU DECLARAÇÃO EXPEDIDA PELO GDF QUE
COMPROVE RECEBIMENTO DE BENEFÍCIO DE PROGRAMA SOCIAL DE
COMPLEMENTAÇÃO OU SUPLEMENTAÇÃO DE RENDA DO GDF (PRATO CHEIO E
DF SOCIAL)
ELIÉZER MESSIAS DA SILVA RIBEIRO 058***.***-** 8 DEFERIDO
RAFAEL ALMEIDA DOS SANTOS 056***.***-** 1 DEFERIDO
LINDOMAR DE JESUS DOS REIS 042***.***-** 7 INDEFERIDO CANDIDATO (A) NÃO APRESENTOU DOCUMENTAÇÃO EXIGIDA ( RG)
MAURICIA DE OLIVEIRA MAIA 054***.***-** 1 INDEFERIDO
CANDIDATO (A) NÃO APRESENTOU LAUDO MÉDICO COMPROBATÓRIO DA
ISENÇÃO DE
ACORDO COM A POSSIBILIDADE ESCOLHIDA (CAD. ÚNICO FEDERAL)
CLAUDIA CARLA DOS SANTOS MACHADO 038***.***-** 1 DEFERIDO
GIRLENE MENDES NASCIMENTO 039***.***-** 3 INDEFERIDO
CANDIDATO (A) NÃO APRESENTOU DECLARAÇÃO EXPEDIDA PELO GDF QUE
COMPROVE RECEBIMENTO DE BENEFÍCIO DE PROGRAMA SOCIAL DE
COMPLEMENTAÇÃO OU SUPLEMENTAÇÃO DE RENDA DO GDF (PRATO CHEIO E
DF SOCIAL )
JAQUELINE MENDES DO NASCIMENTO 044***.***-** 3 INDEFERIDO
CANDIDATO (A) NÃO APRESENTOU DECLARAÇÃO EXPEDIDA PELO GDF QUE
COMPROVE RECEBIMENTO DE BENEFÍCIO DE PROGRAMA SOCIAL DE
COMPLEMENTAÇÃO OU SUPLEMENTAÇÃO DE RENDA DO GDF (PRATO CHEIO E
DF SOCIAL )
ALINE ARAUJO DE FREITAS 003***.***-** - INDEFERIDO
CANDIDATO (A) NÃO APRESENTOU DOCUMENTAÇÃO DE LAUDO MÉDICO DE
ACORDO COM A MARCAÇÃO ESCOLHIDA
MARIA DE MEDEIROS MELO GONCALVES 374***.***-** 7 DEFERIDO
JOSE RIBAMAR DA SILVA AMORIM 725***.***-** 1 INDEFERIDO
CANDIDATO (A) NÃO APRESENTOU DECLARAÇÃO EXPEDIDA PELO GDF QUE
COMPROVE RECEBIMENTO DE BENEFÍCIO DE PROGRAMA SOCIAL DE
COMPLEMENTAÇÃO OU SUPLEMENTAÇÃO DE RENDA DO GDF (PRATO CHEIO E
DF SOCIAL )
DENIS GONCALVES DOS SANTOS 726***.***-** 1 DEFERIDO
DENIS GONCALVES DOS SANTOS 726***.***-** 6 DEFERIDO
ANDRE FERNANDO ALVES ARAUJO 721***.***-** 8 DEFERIDO
LÉA CRISTINA ALVES CRUZ DA SILVA 717***.***-** 5 INDEFERIDO
CANDIDATO (A) NÃO APRESENTOU DOCUMENTAÇÃO DE LAUDO MÉDICO DE
ACORDO COM A MARCAÇÃO ESCOLHIDA
JOALECILIA DE OLIVEIRA AFONSO 563***.***-** 1 DEFERIDO
FERNANDA FELIPA DAMACENA 056***.***-** 1 INDEFERIDO
CANDIDATO (A) NÃO APRESENTOU DECLARAÇÃO EXPEDIDA PELO GDF QUE
COMPROVE RECEBIMENTO DE BENEFÍCIO DE PROGRAMA SOCIAL DE
COMPLEMENTAÇÃO OU SUPLEMENTAÇÃO DE RENDA DO GDF (PRATO CHEIO E
DF SOCIAL )
ESTAQUIS LUCAS ALVES DA SILVA FURQUIM 042***.***-** - INDEFERIDO
CANDIDATO (A) NÃO APRESENTOU FORMULÁRIO PARA PEDIDO DE ISENÇÃO
COM O NÚMERO DO CARGO E DEVIDAMENTE ASSINADO
AÍRES PEREIRA MAURA 720***.***-** 1 DEFERIDO
PAULA MORAIS DE FIQUEREDO 001***.***-** 1 DEFERIDO
PAULA MORAIS DE FIQUEREDO 001***.***-** 4 DEFERIDO
DANNILA PEREIRA BORGES CATANA 087***.***-** 1 INDEFERIDO
CANDIDATO (A) NÃO APRESENTOU DECLARAÇÃO EXPEDIDA PELO GDF QUE
COMPROVE RECEBIMENTO DE BENEFÍCIO DE PROGRAMA SOCIAL DE
COMPLEMENTAÇÃO OU SUPLEMENTAÇÃO DE RENDA DO GDF (PRATO CHEIO E
DF SOCIAL )
ISABELA RODRIGUES SILVA 027***.***-** 1 DEFERIDO
ISABELA RODRIGUES SILVA 027***.***-** 6 DEFERIDO
MAICOM FERREIRA DANTAS 044***.***-** 1 INDEFERIDO
CANDIDATO (A) NÃO APRESENTOU DECLARAÇÃO EXPEDIDA PELO GDF QUE
COMPROVE RECEBIMENTO DE BENEFÍCIO DE PROGRAMA SOCIAL DE
COMPLEMENTAÇÃO OU SUPLEMENTAÇÃO DE RENDA DO GDF (PRATO CHEIO E
DF SOCIAL )
GEDSON OLIVEIRA ALMEIDA 041***.***-** 1 INDEFERIDO CANDIDATO (A) NÃO APRESENTOU DOCUMENTAÇÃO EXIGIDA
GEDSON OLIVEIRA ALMEIDA 041***.***-** 2 INDEFERIDO CANDIDATO (A) NÃO APRESENTOU DOCUMENTAÇÃO EXIGIDA
SUSAN SUELLY DA SILVA 051***.***-** 3 INDEFERIDO
CANDIDATO (A) NÃO APRESENTOU DOCUMENTAÇÃO DE LAUDO MÉDICO DE
ACORDO COM A MARCAÇÃO ESCOLHIDA
CLAUCIANA LUIZA DA SILVA SANTANA 004***.***-** 7 DEFERIDO
CLAUCIANA LUIZA DA SILVA SANTANA 004***.***-** 1 DEFERIDO
MARIÃ RODRIGUES OLIVEIRA DE CARVALHO 713***.***-** 5 INDEFERIDO
CANDIDATO (A) NÃO APRESENTOU DOCUMENTAÇÃO DE LAUDO MÉDICO DE
ACORDO COM A MARCAÇÃO ESCOLHIDA
JEFFERSON RODRIGO BARROS FERREIRA 049***.***-** 2 DEFERIDO
JEFFERSON RODRIGO BARROS FERREIRA 049***.***-** 1 DEFERIDO
SANLEANO COSTA LOPES 057***.***-** 8 DEFERIDO
SANLEANO COSTA LOPES 057***.***-** 1 DEFERIDO
ROSIANE ALVES DA SILVA 028***.***-** 1 INDEFERIDO CANDIDATO (A) NÃO APRESENTOU DOCUMENTAÇÃO EXIGIDA EM PDF
ROSIANE ALVES DA SILVA 028***.***-** 4 INDEFERIDO CANDIDATO (A) NÃO APRESENTOU DOCUMENTAÇÃO EXIGIDA EM PDF
LUCAS DE ANDRADE SOUZA 052***.***-** 1 DEFERIDO
SUELÍ DE JESUS SANTOS 059***.***-** 1 INDEFERIDO
CANDIDATO (A) NÃO APRESENTOU DOCUMENTAÇÃO DE LAUDO MÉDICO DE
ACORDO COM A MARCAÇÃO ESCOLHIDA
SUELÍ DE JESUS SANTOS 059***.***-** 7 INDEFERIDO
CANDIDATO (A) NÃO APRESENTOU DOCUMENTAÇÃO DE LAUDO MÉDICO DE
ACORDO COM A MARCAÇÃO ESCOLHIDA
MARIELE SILVA 813***.***-** 7 INDEFERIDO
CANDIDATO (A) NÃO APRESENTOU DOCUMENTAÇÃO EXIGIDA DE ACORDO COM
A OPÇÃO ESCOLHIDA NO FORMULARIO
ELANE APARECIDA ALVES SILVA 031***.***-** 1 DEFERIDO
MATHEUS ALVES DE MENEZES 051***.***-** 1 INDEFERIDO
CANDIDATO (A) NÃO APRESENTOU DECLARAÇÃO EXPEDIDA PELO GDF QUE
COMPROVE RECEBIMENTO DE BENEFÍCIO DE PROGRAMA SOCIAL DE
COMPLEMENTAÇÃO OU SUPLEMENTAÇÃO DE RENDA DO GDF (PRATO CHEIO E
DF SOCIAL )
MATEUS DOS SANTOS SILVA 049***.***-** 1 INDEFERIDO
CANDIDATO (A) NÃO APRESENTOU DOCUMENTAÇÃO DE LAUDO MÉDICO DE
ACORDO COM A MARCAÇÃO ESCOLHIDA
MATEUS DOS SANTOS SILVA 049***.***-** 2 INDEFERIDO
CANDIDATO (A) NÃO APRESENTOU DOCUMENTAÇÃO DE LAUDO MÉDICO DE
ACORDO COM A MARCAÇÃO ESCOLHIDA
NILZA FREITAS MACHADO 590***.***-** 1 INDEFERIDO
CANDIDATO (A) NÃO APRESENTOU FORMULÁRIO PARA PEDIDO DE ISENÇÃO
ATUALIZADO COM O NÚMERO DO CARGO E DEVIDAMENTE ASSINADO
NILZA FREITAS MACHADO 590***.***-** 2 INDEFERIDO
CANDIDATO (A) NÃO APRESENTOU FORMULÁRIO PARA PEDIDO DE ISENÇÃO
ATUALIZADO COM O NÚMERO DO CARGO E DEVIDAMENTE ASSINADO
EMERSON RODRIGUES GONCALVES DA SILVA 050***.***-** 2 INDEFERIDO
CANDIDATO (A) NÃO APRESENTOU DOCUMENTAÇÃO DE LAUDO MÉDICO DE
ACORDO COM A MARCAÇÃO ESCOLHIDA
ODALIA DE SOUSA SILVA 516***.***-** 1 INDEFERIDO CANDIDATO (A) NÃO APRESENTOU DOCUMENTAÇÃO EXIGIDA EM PDF
DULCEMIR DE FÁTIMA SILVA VIEIRA 944***.***-** - INDEFERIDO
CANDIDATO (A) NÃO APRESENTOU DECLARAÇÃO EXPEDIDA PELO GDF QUE
COMPROVE RECEBIMENTO DE BENEFÍCIO DE PROGRAMA SOCIAL DE
COMPLEMENTAÇÃO OU SUPLEMENTAÇÃO DE RENDA DO GDF (PRATO CHEIO E
DF SOCIAL )
LUANA CAROLINE DA SILVA LINS 032***.***-** 8 INDEFERIDO
CANDIDATO (A) NÃO APRESENTOU DECLARAÇÃO EXPEDIDA PELO GDF QUE
COMPROVE RECEBIMENTO DE BENEFÍCIO DE PROGRAMA SOCIAL DE
COMPLEMENTAÇÃO OU SUPLEMENTAÇÃO DE RENDA DO GDF (PRATO CHEIO E
DF SOCIAL )
TERMUTES NEYLA ROCHA DOS SANTOS 025***.***-** 1 INDEFERIDO CANDIDATO (A) NÃO APRESENTOU DOCUMENTAÇÃO EXIGIDA EM PDF
TERMUTES NEYLA ROCHA DOS SANTOS 025***.***-** 7 INDEFERIDO CANDIDATO (A) NÃO APRESENTOU DOCUMENTAÇÃO EXIGIDA EM PDF
GABRIELA NOGUEIRA SOARES 023***.***-** 1 INDEFERIDO
CANDIDATO (A) NÃO APRESENTOU DECLARAÇÃO EXPEDIDA PELO GDF QUE
COMPROVE RECEBIMENTO DE BENEFÍCIO DE PROGRAMA SOCIAL DE
COMPLEMENTAÇÃO OU SUPLEMENTAÇÃO DE RENDA DO GDF (PRATO CHEIO E
DF SOCIAL )
GABRIELA NOGUEIRA SOARES 023***.***-** 5 INDEFERIDO
CANDIDATO (A) NÃO APRESENTOU DECLARAÇÃO EXPEDIDA PELO GDF QUE
COMPROVE RECEBIMENTO DE BENEFÍCIO DE PROGRAMA SOCIAL DE
COMPLEMENTAÇÃO OU SUPLEMENTAÇÃO DE RENDA DO GDF (PRATO CHEIO E
DF SOCIAL )
AGACI SOARES SOUZA 893***.***-** 1 DEFERIDO
AGACI SOARES SOUZA 893***.***-** 5 DEFERIDO
LAYANE DE JESUS MENDES 730***.***-** 8 DEFERIDO
LAYANE DE JESUS MENDES 730***.***-** 1 DEFERIDO
FELIPE AUGUSTO DE SOUSA SILVA 074***.***-** 2 INDEFERIDO
CANDIDATO (A) NÃO APRESENTOU DECLARAÇÃO EXPEDIDA PELO GDF QUE
COMPROVE RECEBIMENTO DE BENEFÍCIO DE PROGRAMA SOCIAL DE
COMPLEMENTAÇÃO OU SUPLEMENTAÇÃO DE RENDA DO GDF (PRATO CHEIO E
DF SOCIAL ) OU LAÚDO MÉDICO NA 1 OPÇÃO
EIKE LENNIE ANDRADE DIAS 067***.***-** 1 DEFERIDO
MOACIR NICOLAU BEZERRA 052***.***-** 1 DEFERIDO
DAYANE RAYLA ALVES DE OLIVEIRA 029***.***-** 8 INDEFERIDO
CANDIDATO (A) NÃO APRESENTOU DECLARAÇÃO EXPEDIDA PELO GDF QUE
COMPROVE RECEBIMENTO DE BENEFÍCIO DE PROGRAMA SOCIAL DE
COMPLEMENTAÇÃO OU SUPLEMENTAÇÃO DE RENDA DO GDF (PRATO CHEIO E
DF SOCIAL ) OU LAÚDO MÉDICO NA 1 OPÇÃO
NAYALLE PAULA DO ESPIRITO SANTO 005***.***-** 1 DEFERIDO
NAYALLE PAULA DO ESPIRITO SANTO 005***.***-** 7 INDEFERIDO CANDIDATO (A) NÃO APRESENTOU FORMULARIO COM O SEGUNDO CARGO
TAULINNE MACHADO DOS SANTOS 032***.***-** 6 INDEFERIDO
CANDIDATO (A) NÃO APRESENTOU DECLARAÇÃO EXPEDIDA PELO GDF QUE
COMPROVE RECEBIMENTO DE BENEFÍCIO DE PROGRAMA SOCIAL DE
COMPLEMENTAÇÃO OU SUPLEMENTAÇÃO DE RENDA DO GDF (PRATO CHEIO E
DF SOCIAL )
NAYRA DE SOUZA WILHELMS 024***.***-** 4 DEFERIDO
NAYRA DE SOUZA WILHELMS 024***.***-** 1 DEFERIDO
IRACELLI ACACIO SEVERIANO 852***.***-** 1 INDEFERIDO
CANDIDATO (A) NÃO APRESENTOU DECLARAÇÃO EXPEDIDA PELO GDF QUE
COMPROVE RECEBIMENTO DE BENEFÍCIO DE PROGRAMA SOCIAL DE
COMPLEMENTAÇÃO OU SUPLEMENTAÇÃO DE RENDA DO GDF (PRATO CHEIO E
DF SOCIAL )
IRACELLI ACACIO SEVERIANO 852***.***-** - INDEFERIDO
CANDIDATO (A) NÃO APRESENTOU FORMULÁRIO PARA PEDIDO DE ISENÇÃO
COM O SEGUNDO NÚMERO DO CARGO E DEVIDAMENTE ASSINADO
MARIA DE MEDEIROS MELO GONCALVES 374***.***-** 1 DEFERIDO
JOCASTRA CARVALHO DE OLIVEIRA -***.***-** - INDEFERIDO CANDIDATO (A) NÃO APRESENTOU DOCUMENTAÇÃO EXIGIDA
ISABELLA FONSECA DE JESUS 089***.***-** 1 INDEFERIDO CANDIDATO (A) NÃO APRESENTOU DOCUMENTAÇÃO EXIGIDA EM PDF
ISABELLA FONSECA DE JESUS 089***.***-** 2 INDEFERIDO CANDIDATO (A) NÃO APRESENTOU DOCUMENTAÇÃO EXIGIDA EM PDF
CRISTIANE RESENDE DE SOUZA UEIRA 724***.***-** 1 DEFERIDO
HAYANE FERNANDES ALVES 014***.***-** 1 DEFERIDO
TAISA FELIX VARGAS 025***.***-** 7 DEFERIDO
ANDERSON SOUSA DUTRA 735***.***-** 8 INDEFERIDO CANDIDATO (A) NÃO APRESENTOU DOCUMENTAÇÃO EXIGIDA EM PDF
WILTON KEVIN SILVA ALENCAR 062***.***-** 1 INDEFERIDO CANDIDATO (A) NÃO APRESENTOU DOCUMENTAÇÃO EXIGIDA RG
WILTON KEVIN SILVA ALENCAR 062***.***-** 7 INDEFERIDO CANDIDATO (A) NÃO APRESENTOU DOCUMENTAÇÃO EXIGIDA RG
MATEUS ALBUQUERQUE DOS SANTOS 031***.***-** 3 INDEFERIDO
CANDIDATO (A) NÃO APRESENTOU DOCUMENTAÇÃO EXIGIDA RG E
COMPROVANTE DE CADASTRO ÚNICO
MATEUS ALBUQUERQUE DOS SANTOS 031***.***-** 1 INDEFERIDO
CANDIDATO (A) NÃO APRESENTOU DOCUMENTAÇÃO EXIGIDA RG E
COMPROVANTE DE CADASTRO ÚNICO
KÁTIA RIBEIRO DA SILVA LOPES 017***.***-** - INDEFERIDO
MATEUS ALVES DE MENEZES 051***.***-** 7 INDEFERIDO
CANDIDATO (A) NÃO APRESENTOU DECLARAÇÃO EXPEDIDA PELO GDF QUE
COMPROVE RECEBIMENTO DE BENEFÍCIO DE PROGRAMA SOCIAL DE
COMPLEMENTAÇÃO OU SUPLEMENTAÇÃO DE RENDA DO GDF (PRATO CHEIO E
DF SOCIAL )
REGINALDA PEREIRA 490***.***-** - INDEFERIDO CANDIDATO (A) NÃO APRESENTOU DOCUMENTAÇÃO EXIGIDA EM PDF
CARLOS ALBERTO ARAGAO FERREIRA 616***.***-** - INDEFERIDO CANDIDATO (A) NÃO APRESENTOU DOCUMENTAÇÃO EXIGIDA RG
CLARA LOPES LIMA MOURA 054***.***-** 1 DEFERIDO
NILZA DA SILVA LINS 714***.***-** 8 INDEFERIDO
CANDIDATO (A) NÃO APRESENTOU DECLARAÇÃO EXPEDIDA PELO GDF QUE
COMPROVE RECEBIMENTO DE BENEFÍCIO DE PROGRAMA SOCIAL DE
COMPLEMENTAÇÃO OU SUPLEMENTAÇÃO DE RENDA DO GDF (PRATO CHEIO E
DF SOCIAL )
JAQUELINE NONATO DE CARVALHO 294***.***-** 6 INDEFERIDO
CANDIDATO (A) NÃO APRESENTOU DECLARAÇÃO EXPEDIDA PELO GDF QUE
COMPROVE RECEBIMENTO DE BENEFÍCIO DE PROGRAMA SOCIAL DE
COMPLEMENTAÇÃO OU SUPLEMENTAÇÃO DE RENDA DO GDF (PRATO CHEIO E
DF SOCIAL )
JAQUELINE NONATO DE CARVALHO 294***.***-** - INDEFERIDO CANDIDATO (A) NÃO APRESENTOU FORMULARIO COM O SEGUNDO CARGO
ANA ALICE GRANJA DE SOUZA 059***.***-** 1 DEFERIDO
ANA ALICE GRANJA DE SOUZA 059***.***-** 2 DEFERIDO
MARIA LUIZA MOURA PIRES GONÇALVES 078***.***-** 7 INDEFERIDO
CANDIDATO (A) NÃO APRESENTOU DECLARAÇÃO EXPEDIDA PELO GDF QUE
COMPROVE RECEBIMENTO DE BENEFÍCIO DE PROGRAMA SOCIAL DE
COMPLEMENTAÇÃO OU SUPLEMENTAÇÃO DE RENDA DO GDF (PRATO CHEIO E
DF SOCIAL )
TAÍSA FELIX VARGAS 025***.***-** 1 DEFERIDO
LARISSA ALVES DOS SANTOS 068***.***-** 7 DEFERIDO
CRISTIANE RESENDE DE SOUZA UEIRA 724***.***-** 7 DEFERIDO
ANDRESSA VERAS GUIMARÃES PIRES 006***.***-** 1 DEFERIDO
THAYSA CARDOSO ARAÚJO 054***.***-** 1 INDEFERIDO
CANDIDATO (A) NÃO APRESENTOU DECLARAÇÃO EXPEDIDA PELO GDF QUE
COMPROVE RECEBIMENTO DE BENEFÍCIO DE PROGRAMA SOCIAL DE
COMPLEMENTAÇÃO OU SUPLEMENTAÇÃO DE RENDA DO GDF (PRATO CHEIO E
DF SOCIAL )
MARILDE MARTINS DOURADO 794***.***-** 1 DEFERIDO
MARIA POLIANE RAMOS DA SILVA 049***.***-** 7 INDEFERIDO
CANDIDATO (A) NÃO APRESENTOU DECLARAÇÃO EXPEDIDA PELO GDF QUE
COMPROVE RECEBIMENTO DE BENEFÍCIO DE PROGRAMA SOCIAL DE
COMPLEMENTAÇÃO OU SUPLEMENTAÇÃO DE RENDA DO GDF (PRATO CHEIO E
DF SOCIAL )
CAMILA FRAMBOLZ MOREIRA 034***.***-** 1 INDEFERIDO
CANDIDATO (A) NÃO APRESENTOU DECLARAÇÃO EXPEDIDA PELO GDF QUE
COMPROVE RECEBIMENTO DE BENEFÍCIO DE PROGRAMA SOCIAL DE
COMPLEMENTAÇÃO OU SUPLEMENTAÇÃO DE RENDA DO GDF (PRATO CHEIO E
DF SOCIAL )
KELLY BRAZ QUEIROZ RODRIGUES 031***.***-** 7 INDEFERIDO
CANDIDATO (A) NÃO APRESENTOU DOCUMENTAÇÃO DE ACORDO COM A
MARCAÇÃO ESCOLHIDA
SAMANTA FERREIRA LOPES DA SILVA 028***.***-** - INDEFERIDO
CANDIDATO (A) NÃO APRESENTOU DECLARAÇÃO EXPEDIDA PELO GDF QUE
COMPROVE RECEBIMENTO DE BENEFÍCIO DE PROGRAMA SOCIAL DE
COMPLEMENTAÇÃO OU SUPLEMENTAÇÃO DE RENDA DO GDF (PRATO CHEIO E
DF SOCIAL )
CLEONICE PEREIRA CORREIA 002***.***-** 7 INDEFERIDO
CANDIDATO (A) NÃO APRESENTOU DECLARAÇÃO EXPEDIDA PELO GDF QUE
COMPROVE RECEBIMENTO DE BENEFÍCIO DE PROGRAMA SOCIAL DE
COMPLEMENTAÇÃO OU SUPLEMENTAÇÃO DE RENDA DO GDF (PRATO CHEIO E
DF SOCIAL )
LAYANE PEREIRA DE MELO 042***.***-** 1 DEFERIDO
LAYANE PEREIRA DE MELO 042***.***-** - INDEFERIDO
CANDIDATO (A) NÃO APRESENTOU FORMULÁRIO PARA PEDIDO DE ISENÇÃO
COM O SEGUNDO NÚMERO
DEUSILENE PEREIRA DO AMARA 063***.***-** 1 DEFERIDO
KELINE DANTAS DE SANTANA 701***.***-** 1 INDEFERIDO CANDIDATO (A) NÃO APRESENTOU DOCUMENTAÇÃO EXIGIDA RG
EDILEIA DE SOUZA SOARES 895***.***-** 4 INDEFERIDO
CANDIDATO (A) NÃO APRESENTOU DECLARAÇÃO EXPEDIDA PELO GDF QUE
COMPROVE RECEBIMENTO DE BENEFÍCIO DE PROGRAMA SOCIAL DE
COMPLEMENTAÇÃO OU SUPLEMENTAÇÃO DE RENDA DO GDF (PRATO CHEIO E
DF SOCIAL )
MILENA SATO AVAGÃO 063***.***-** - INDEFERIDO CANDIDATO (A) NÃO APRESENTOU DOCUMENTAÇÃO EXIGIDA EM PDF
SUSSANA CIRILO DE SOUZA 034***.***-** 6 INDEFERIDO
CANDIDATO (A) NÃO APRESENTOU DECLARAÇÃO EXPEDIDA PELO GDF QUE
COMPROVE RECEBIMENTO DE BENEFÍCIO DE PROGRAMA SOCIAL DE
COMPLEMENTAÇÃO OU SUPLEMENTAÇÃO DE RENDA DO GDF (PRATO CHEIO E
DF SOCIAL )
ANGELA RAMOS DE OLIVEIRA 028***.***-** 2 DEFERIDO
ANGELA RAMOS DE OLIVEIRA 028***.***-** 1 DEFERIDO
LUDMILA GOMES 036***.***-** 6 INDEFERIDO
CANDIDATO (A) NÃO APRESENTOU FORMULÁRIO PARA PEDIDO DE ISENÇÃO
COM A OPÇÃO ESCOLHIDA
LUANA SERENO NUNES 705***.***-** 8 INDEFERIDO
CANDIDATO (A) NÃO APRESENTOU DECLARAÇÃO EXPEDIDA PELO GDF QUE
COMPROVE RECEBIMENTO DE BENEFÍCIO DE PROGRAMA SOCIAL DE
COMPLEMENTAÇÃO OU SUPLEMENTAÇÃO DE RENDA DO GDF (PRATO CHEIO E
DF SOCIAL )
WALDEMIR QUINTINO DE OLIVEIRA 001***.***-** 1 DEFERIDO
CAIO CARVALHO TENORIO SILVA 060***.***-** 1 DEFERIDO
CAIO CARVALHO TENORIO SILVA 060***.***-** 2 DEFERIDO
VANESSA MENDES LOPES 072***.***-** 2 INDEFERIDO CANDIDATO (A) NÃO APRESENTOU DOCUMENTAÇÃO EXIGIDA EM PDF
WALDEMIR QUINTINO DE OLIVEIRA 001***.***-** 2 DEFERIDO
ALLIFFI RAY SOARES DE MOURA 114***.***-** 1 INDEFERIDO
LUDMILA GOMES 036***.***-** 1 INDEFERIDO
CANDIDATO (A) NÃO APRESENTOU FORMULÁRIO PARA PEDIDO DE ISENÇÃO
COM A OPÇÃO ESCOLHIDA
SARHA DE SANTANA SILVA 035***.***-** 8 INDEFERIDO
CANDIDATO (A) NÃO APRESENTOU DOCUMENTAÇÃO DE LAUDO MÉDICO DE
ACORDO COM A MARCAÇÃO ESCOLHIDA
RICARDO HIGINO GOMES 008***.***-** 7 DEFERIDO
LIDIANE FERREIRA DA COSTA GUIMARÃES 005***.***-** 1 DEFERIDO
LAYS CRISTYNA GOMES DE OLIVEIRA 071***.***-** 1 DEFERIDO
LAYS CRISTYNA GOMES DE OLIVEIRA 071***.***-** 2 DEFERIDO
JORGE MIGUEL CARDOSO PONTES 084***.***-** 1 INDEFERIDO
CANDIDATO (A) NÃO APRESENTOU DECLARAÇÃO EXPEDIDA PELO GDF QUE
COMPROVE RECEBIMENTO DE BENEFÍCIO DE PROGRAMA SOCIAL DE
COMPLEMENTAÇÃO OU SUPLEMENTAÇÃO DE RENDA DO GDF (PRATO CHEIO E
DF SOCIAL )
ANGELA RAMOS DE OLIVEIRA 028***.***-** 1 INDEFERIDO
CANDIDATO (A) NÃO APRESENTOU DECLARAÇÃO EXPEDIDA PELO GDF QUE
COMPROVE RECEBIMENTO DE BENEFÍCIO DE PROGRAMA SOCIAL DE
COMPLEMENTAÇÃO OU SUPLEMENTAÇÃO DE RENDA DO GDF (PRATO CHEIO E
DF SOCIAL )
ANGELA RAMOS DE OLIVEIRA 028***.***-** 2 INDEFERIDO
CANDIDATO (A) NÃO APRESENTOU DECLARAÇÃO EXPEDIDA PELO GDF QUE
COMPROVE RECEBIMENTO DE BENEFÍCIO DE PROGRAMA SOCIAL DE
COMPLEMENTAÇÃO OU SUPLEMENTAÇÃO DE RENDA DO GDF (PRATO CHEIO E
DF SOCIAL )
MIRIAM FERNANDES SILVA 874***.***-** 2 INDEFERIDO
CANDIDATO (A) NÃO APRESENTOU DOCUMENTAÇÃO DE LAUDO MÉDICO DE
ACORDO COM A MARCAÇÃO ESCOLHIDA
KANANDA KETLYN RODRIGUES DA ROCHA 053***.***-** 6 DEFERIDO
ALLISON HENRIQUE DA SILVA 028***.***-** 1 DEFERIDO
FERNANDO ARAUJO DO MONTE 006***.***-** 1 DEFERIDO
FERNANDO ARAUJO DO MONTE 006***.***-** 8 DEFERIDO
POLIANA BRITO FIDELIS 072***.***-** 8 INDEFERIDO
CANDIDATO (A) NÃO APRESENTOU DECLARAÇÃO EXPEDIDA PELO GDF QUE
COMPROVE RECEBIMENTO DE BENEFÍCIO DE PROGRAMA SOCIAL DE
COMPLEMENTAÇÃO OU SUPLEMENTAÇÃO DE RENDA DO GDF (PRATO CHEIO E
DF SOCIAL )
SANDRA DA SILVA MATIAS 695***.***-** - INDEFERIDO
CANDIDATO (A) NÃO APRESENTOU COMPROVANTE DE PRESTAÇÃO DE SERVIÇOS
À JUSTIÇA ELEITORAL POR, NO MÍNIMO, AS DUAS ELEIÇÕES E NÃO INFORMOU
NO FORMULÁRIO O CARGO
JOICE RODRIGUES DE CARVALHO 060***.***-** 1 INDEFERIDO
CANDIDATO (A) NÃO APRESENTOU DECLARAÇÃO EXPEDIDA PELO GDF QUE
COMPROVE RECEBIMENTO DE BENEFÍCIO DE PROGRAMA SOCIAL DE
COMPLEMENTAÇÃO OU SUPLEMENTAÇÃO DE RENDA DO GDF (PRATO CHEIO E
DF SOCIAL )
RAQUEL DE SOUSA SILVA PEREIRA 720***.***-** 1 INDEFERIDO CANDIDATO (A) NÃO APRESENTOU DOCUMENTAÇÃO EXIGIDA EM PDF
RUBIANA MARA MARTINS 984***.***-** - INDEFERIDO
CANDIDATO (A) NÃO APRESENTOU DOCUMENTAÇÃO DE LAUDO MÉDICO DE
ACORDO COM A MARCAÇÃO ESCOLHIDA
ALYSSON HENRIQUE DA SILVA 028***.***-** 5 DEFERIDO
ALESSANDRA DA SILVA TEIXEIRA 053***.***-** 1 INDEFERIDO
CANDIDATO (A) NÃO APRESENTOU DECLARAÇÃO EXPEDIDA PELO GDF QUE
COMPROVE RECEBIMENTO DE BENEFÍCIO DE PROGRAMA SOCIAL DE
COMPLEMENTAÇÃO OU SUPLEMENTAÇÃO DE RENDA DO GDF (PRATO CHEIO E
DF SOCIAL )
ALESSANDRA DA SILVA TEIXEIRA 053***.***-** 8 INDEFERIDO
CANDIDATO (A) NÃO APRESENTOU DECLARAÇÃO EXPEDIDA PELO GDF QUE
COMPROVE RECEBIMENTO DE BENEFÍCIO DE PROGRAMA SOCIAL DE
COMPLEMENTAÇÃO OU SUPLEMENTAÇÃO DE RENDA DO GDF (PRATO CHEIO E
DF SOCIAL )
MARIA ALICE DE SOUSA BEZERRA 285***.***-** 2 INDEFERIDO
CANDIDATO (A) NÃO APRESENTOU DECLARAÇÃO EXPEDIDA PELO GDF QUE
COMPROVE RECEBIMENTO DE BENEFÍCIO DE PROGRAMA SOCIAL DE
COMPLEMENTAÇÃO OU SUPLEMENTAÇÃO DE RENDA DO GDF (PRATO CHEIO E
DF SOCIAL )
ALAN JEFERSON RIBEIRO MELO 077***.***-** 8 INDEFERIDO
CANDIDATO (A) NÃO APRESENTOU DOCUMENTAÇÃO DE LAUDO MÉDICO DE
ACORDO COM A MARCAÇÃO ESCOLHIDA E DOCUMENTAÇÃO COMPLETA EM PDF
ALAN JEFERSON RIBEIRO MELO 077***.***-** 1 INDEFERIDO
CANDIDATO (A) NÃO APRESENTOU DOCUMENTAÇÃO DE LAUDO MÉDICO DE
ACORDO COM A MARCAÇÃO ESCOLHIDA E DOCUMENTAÇÃO COMPLETA EM PDF
EMILLY PEREIRA RODRIGUES 023***.***-** 6 INDEFERIDO
CANDIDATO (A) NÃO APRESENTOU DECLARAÇÃO EXPEDIDA PELO GDF QUE
COMPROVE RECEBIMENTO DE BENEFÍCIO DE PROGRAMA SOCIAL DE
COMPLEMENTAÇÃO OU SUPLEMENTAÇÃO DE RENDA DO GDF (PRATO CHEIO E
DF SOCIAL )
CARLA IZABELA DA COSTA BRANTE 701***.***-** - INDEFERIDO
CANDIDATO (A) NÃO APRESENTOU FORMULÁRIO PARA PEDIDO DE ISENÇÃO
COM A OPÇÃO ESCOLHIDA
LAÍS MENDES FALCÃO 076***.***-** 1 INDEFERIDO
CANDIDATO (A) NÃO APRESENTOU DECLARAÇÃO EXPEDIDA PELO GDF QUE
COMPROVE RECEBIMENTO DE BENEFÍCIO DE PROGRAMA SOCIAL DE
COMPLEMENTAÇÃO OU SUPLEMENTAÇÃO DE RENDA DO GDF (PRATO CHEIO E
DF SOCIAL )
HAIDA KENIA DE JESUS LIMA 010***.***-** 6 DEFERIDO
HAIDA KENIA DE JESUS LIMA 010***.***-** 1 DEFERIDO
PAULA GEANE SILVA PEREIRA 959***.***-** 1 DEFERIDO
LARISSA RODRIGUES DA ROCHA 032***.***-** 1 DEFERIDO
LARISSA RODRIGUES DA ROCHA 032***.***-** 4 DEFERIDO
ISACC VIEIRA TELES 059***.***-** 1 INDEFERIDO
CANDIDATO (A) NÃO APRESENTOU DECLARAÇÃO EXPEDIDA PELO GDF QUE
COMPROVE RECEBIMENTO DE BENEFÍCIO DE PROGRAMA SOCIAL DE
COMPLEMENTAÇÃO OU SUPLEMENTAÇÃO DE RENDA DO GDF (PRATO CHEIO E
DF SOCIAL )
JEANE ALVES DE SOUSA 018***.***-** 1 INDEFERIDO
CANDIDATO (A) NÃO APRESENTOU DOCUMENTAÇÃO PARA PEDIDO DE ISENÇÃO
DE ACORDO COM A OPÇÃO ESCOLHIDA
IZAEL DAMAZIO DE SOUZA 044***.***-** 1 INDEFERIDO
CANDIDATO (A) NÃO APRESENTOU DECLARAÇÃO EXPEDIDA PELO GDF QUE
COMPROVE RECEBIMENTO DE BENEFÍCIO DE PROGRAMA SOCIAL DE
COMPLEMENTAÇÃO OU SUPLEMENTAÇÃO DE RENDA DO GDF (PRATO CHEIO E
DF SOCIAL )
IZAEL DAMAZIO DE SOUZA 044***.***-** - INDEFERIDO
CANDIDATO (A) NÃO APRESENTOU FORMULÁRIO PARA PEDIDO DE ISENÇÃO
COM O NÚMERO DO SEGUNDO CARGO
GALDENIA ALVES DE SOUSA 816***.***-** 8 INDEFERIDO
CANDIDATO (A) NÃO APRESENTOU DOCUMENTAÇÃO PARA PEDIDO DE ISENÇÃO
DE ACORDO COM A OPÇÃO ESCOLHIDA
LUCAS NUNES DA SILVA 057***.***-** 1 DEFERIDO
LUCAS NUNES DA SILVA 057***.***-** 8 DEFERIDO
DANIELA RAMOS DA SILVA 018***.***-** 1 DEFERIDO
JANE DA SILVA LOBO 026***.***-** 7 DEFERIDO
CRISTIANE BORGES ANDRADE 571***.***-** 1 DEFERIDO
CRISTIANE BORGES ANDRADE 571***.***-** 2 DEFERIDO
ANDRESSA FRANCO DE SOUSA BENTO 020***.***-** 1 DEFERIDO
ANDRESSA FRANCO DE SOUSA BENTO 020***.***-** 8 DEFERIDO
CLEIDE MARIA DE VASCONCELOS 494***.***-** 8 INDEFERIDO
CANDIDATO (A) NÃO APRESENTOU DOCUMENTAÇÃO DE LAUDO MÉDICO DE
ACORDO COM A MARCAÇÃO ESCOLHIDA
CÉLIA DOS SANTOS BORGES 802***.***-** 1 INDEFERIDO
CANDIDATO (A) NÃO APRESENTOU DECLARAÇÃO EXPEDIDA PELO GDF QUE
COMPROVE RECEBIMENTO DE BENEFÍCIO DE PROGRAMA SOCIAL DE
COMPLEMENTAÇÃO OU SUPLEMENTAÇÃO DE RENDA DO GDF (PRATO CHEIO E
DF SOCIAL )
ADRIANA SAMPAIO COSTA FREITAS 937***.***-** 6 INDEFERIDO
CANDIDATO (A) NÃO APRESENTOU DECLARAÇÃO EXPEDIDA PELO GDF QUE
COMPROVE RECEBIMENTO DE BENEFÍCIO DE PROGRAMA SOCIAL DE
COMPLEMENTAÇÃO OU SUPLEMENTAÇÃO DE RENDA DO GDF (PRATO CHEIO E
DF SOCIAL )
JANETE DA SILVA LOPES 010***.***-** 3 DEFERIDO
KATTELE ALVES DA SILVA 023***.***-** 7 INDEFERIDO
CANDIDATO (A) NÃO APRESENTOU DECLARAÇÃO EXPEDIDA PELO GDF QUE
COMPROVE RECEBIMENTO DE BENEFÍCIO DE PROGRAMA SOCIAL DE
COMPLEMENTAÇÃO OU SUPLEMENTAÇÃO DE RENDA DO GDF (PRATO CHEIO E
DF SOCIAL )
INGRID DE SOUSA BEZERRA 056***.***-** 1 DEFERIDO
JOAO MAROS DA SILVA VIEIRA 076***.***-** 6 INDEFERIDO
CANDIDATO (A) NÃO APRESENTOU DECLARAÇÃO EXPEDIDA PELO GDF QUE
COMPROVE RECEBIMENTO DE BENEFÍCIO DE PROGRAMA SOCIAL DE
COMPLEMENTAÇÃO OU SUPLEMENTAÇÃO DE RENDA DO GDF (PRATO CHEIO E
DF SOCIAL )
LUCIANA VIEIRA DA COSTA 891***.***-** 2 INDEFERIDO
CANDIDATO (A) NÃO APRESENTOU DECLARAÇÃO EXPEDIDA PELO GDF QUE
COMPROVE RECEBIMENTO DE BENEFÍCIO DE PROGRAMA SOCIAL DE
COMPLEMENTAÇÃO OU SUPLEMENTAÇÃO DE RENDA DO GDF (PRATO CHEIO E
DF SOCIAL )
EMILTON DE QUEVEDO 033***.***-** 7 DEFERIDO
ANA PAULA ALVES DA CRUZ 029***.***-** 7 INDEFERIDO
CANDIDATO (A) NÃO APRESENTOU DOCUMENTAÇÃO DE LAUDO MÉDICO DE
ACORDO COM A MARCAÇÃO ESCOLHIDA
MARCELA DIAS ANDRÉ DUDA 073***.***-** 8 INDEFERIDO
CANDIDATO (A) NÃO APRESENTOU DECLARAÇÃO EXPEDIDA PELO GDF QUE
COMPROVE RECEBIMENTO DE BENEFÍCIO DE PROGRAMA SOCIAL DE
COMPLEMENTAÇÃO OU SUPLEMENTAÇÃO DE RENDA DO GDF (PRATO CHEIO E
DF SOCIAL )
ELEOJANE DOS SANTOS SOUZA 041***.***-** - INDEFERIDO CANDIDATO (A) NÃO APRESENTOU DOCUMENTAÇÃO EXIGIDA
LIVIA LUCENA DE ALMEIDA 058***.***-** 2 INDEFERIDO CANDIDATO (A) NÃO APRESENTOU DOCUMENTAÇÃO EXIGIDA EM PDF
MARIA REIS SOARES DE ALMEIDA 473***.***-** 7 DEFERIDO
MARIA REIS SOARES DE ALMEIDA 473***.***-** 1 DEFERIDO
VERIDIANA SILVA RAMALHO MENEZES 038***.***-** 1 DEFERIDO
VERIDIANA SILVA RAMALHO MENEZES 038***.***-** 4 DEFERIDO
BRUNA LETÍCIA SANTANA DE MOURA 040***.***-** 8 INDEFERIDO
CANDIDATO (A) NÃO APRESENTOU DECLARAÇÃO EXPEDIDA PELO GDF QUE
COMPROVE RECEBIMENTO DE BENEFÍCIO DE PROGRAMA SOCIAL DE
COMPLEMENTAÇÃO OU SUPLEMENTAÇÃO DE RENDA DO GDF (PRATO CHEIO E
DF SOCIAL )
STEPHANIE COSTA SOUZA 053***.***-** 1 INDEFERIDO
CANDIDATO (A) NÃO APRESENTOU DECLARAÇÃO EXPEDIDA PELO GDF QUE
COMPROVE RECEBIMENTO DE BENEFÍCIO DE PROGRAMA SOCIAL DE
COMPLEMENTAÇÃO OU SUPLEMENTAÇÃO DE RENDA DO GDF (PRATO CHEIO E
DF SOCIAL )
VANESSA LUCAS LIMA 172***.***-** 1 DEFERIDO
RENATA CASSIANO DA SILVA 928***.***-** 7 DEFERIDO
CARLOS ROGERIO RICARDO SOUZA 000***.***-** 1 INDEFERIDO
CANDIDATO (A) NÃO APRESENTOU DECLARAÇÃO EXPEDIDA PELO GDF QUE
COMPROVE RECEBIMENTO DE BENEFÍCIO DE PROGRAMA SOCIAL DE
COMPLEMENTAÇÃO OU SUPLEMENTAÇÃO DE RENDA DO GDF (PRATO CHEIO E
DF SOCIAL )
ETELVINA SOARES DE OLIVEIRA 669***.***-** 3 INDEFERIDO
CANDIDATO (A) NÃO APRESENTOU DECLARAÇÃO EXPEDIDA PELO GDF QUE
COMPROVE RECEBIMENTO DE BENEFÍCIO DE PROGRAMA SOCIAL DE
COMPLEMENTAÇÃO OU SUPLEMENTAÇÃO DE RENDA DO GDF (PRATO CHEIO E
DF SOCIAL )
ANDRESSA VIRGÍNIA ZAGO EVANGELISTA 048***.***-** 5 DEFERIDO
BRENDA DE JESUS SILVA 038***.***-** 1 DEFERIDO
RAMON MENDES FALCAO -***.***-** - INDEFERIDO
CANDIDATO (A) NÃO APRESENTOU DOCUMENTAÇÃO EXIGIDA DOCUMENTAÇÃO
EM ENEXO EM BRANCO
MIECZYSLAW JUNIOR DA CUNHA DUDA 896***.***-** 8 INDEFERIDO
CANDIDATO (A) NÃO APRESENTOU DECLARAÇÃO EXPEDIDA PELO GDF QUE
COMPROVE RECEBIMENTO DE BENEFÍCIO DE PROGRAMA SOCIAL DE
COMPLEMENTAÇÃO OU SUPLEMENTAÇÃO DE RENDA DO GDF (PRATO CHEIO E
DF SOCIAL )
KAUANE RIBEIRO ROCHA DE FARIAS 076***.***-** 6 INDEFERIDO
CANDIDATO (A) NÃO APRESENTOU DECLARAÇÃO EXPEDIDA PELO GDF QUE
COMPROVE RECEBIMENTO DE BENEFÍCIO DE PROGRAMA SOCIAL DE
COMPLEMENTAÇÃO OU SUPLEMENTAÇÃO DE RENDA DO GDF (PRATO CHEIO E
DF SOCIAL )
LIDINALVA DA SILVA RIBEIRO 715***.***-** 1 INDEFERIDO
CANDIDATO (A) NÃO APRESENTOU DOCUMENTAÇÃO DE LAUDO MÉDICO DE
ACORDO COM A MARCAÇÃO ESCOLHIDA
MARIA AUCIONETE DA SILVA VIEIRA 725***.***-** 1 INDEFERIDO
CANDIDATO (A) NÃO APRESENTOU DECLARAÇÃO EXPEDIDA PELO GDF QUE
COMPROVE RECEBIMENTO DE BENEFÍCIO DE PROGRAMA SOCIAL DE
COMPLEMENTAÇÃO OU SUPLEMENTAÇÃO DE RENDA DO GDF (PRATO CHEIO E
DF SOCIAL )
DAMARIS GONSALVES DOS SANTOS COSTA 063***.***-** 5 INDEFERIDO
CANDIDATO (A) NÃO APRESENTOU DOCUMENTAÇÃO DE LAUDO MÉDICO DE
ACORDO COM A MARCAÇÃO ESCOLHIDA
LARA BEATRIZ SILVA DE LIMA 068***.***-** 5 INDEFERIDO CANDIDATO (A) NÃO APRESENTOU DOCUMENTAÇÃO EXIGIDA RG
ANANDA CAROLINA DE SOUZA LINDOSO 041***.***-** 5 INDEFERIDO
CANDIDATO (A) NÃO APRESENTOU DECLARAÇÃO EXPEDIDA PELO GDF QUE
COMPROVE RECEBIMENTO DE BENEFÍCIO DE PROGRAMA SOCIAL DE
COMPLEMENTAÇÃO OU SUPLEMENTAÇÃO DE RENDA DO GDF (PRATO CHEIO E
DF SOCIAL )
MARIA DIAS ANDRÉ DUDA 073***.***-** 1 INDEFERIDO
CANDIDATO (A) NÃO APRESENTOU DECLARAÇÃO EXPEDIDA PELO GDF QUE
COMPROVE RECEBIMENTO DE BENEFÍCIO DE PROGRAMA SOCIAL DE
COMPLEMENTAÇÃO OU SUPLEMENTAÇÃO DE RENDA DO GDF (PRATO CHEIO E
DF SOCIAL )
MARIA DIAS ANDRÉ DUDA 073***.***-** 8 INDEFERIDO
CANDIDATO (A) NÃO APRESENTOU DECLARAÇÃO EXPEDIDA PELO GDF QUE
COMPROVE RECEBIMENTO DE BENEFÍCIO DE PROGRAMA SOCIAL DE
COMPLEMENTAÇÃO OU SUPLEMENTAÇÃO DE RENDA DO GDF (PRATO CHEIO E
DF SOCIAL )
CAMILLA CAMARGO COUTINHO DE PAULO 019***.***-** 1 DEFERIDO
VANESSA LUCAS LIMA 172***.***-** 8 DEFERIDO
MATHEUS MODESTO DE MOURA 041***.***-** 1 DEFERIDO
JANIELE DOS SANTOS COSTA 612***.***-** 2 INDEFERIDO
CANDIDATO (A) NÃO APRESENTOU DOCUMENTAÇÃO DE LAUDO MÉDICO DE
ACORDO COM A MARCAÇÃO ESCOLHIDA
ROZANGELA LUCENA DE JESUS 703***.***-** 1 INDEFERIDO CANDIDATO (A) NÃO APRESENTOU DOCUMENTAÇÃO EXIGIDA EM PDF
ROZANGELA LUCENA DE JESUS 703***.***-** 2 INDEFERIDO CANDIDATO (A) NÃO APRESENTOU DOCUMENTAÇÃO EXIGIDA EM PDF
ANANDA CAROLINA DE SOUZA LINDOSO 041***.***-** 5 INDEFERIDO
CANDIDATO (A) NÃO APRESENTOU DECLARAÇÃO EXPEDIDA PELO GDF QUE
COMPROVE RECEBIMENTO DE BENEFÍCIO DE PROGRAMA SOCIAL DE
COMPLEMENTAÇÃO OU SUPLEMENTAÇÃO DE RENDA DO GDF (PRATO CHEIO E
DF SOCIAL )
THIAGO PEREIRA DIAS 025***.***-** 8 INDEFERIDO
CANDIDATO (A) NÃO APRESENTOU DECLARAÇÃO EXPEDIDA PELO GDF QUE
COMPROVE RECEBIMENTO DE BENEFÍCIO DE PROGRAMA SOCIAL DE
COMPLEMENTAÇÃO OU SUPLEMENTAÇÃO DE RENDA DO GDF (PRATO CHEIO E
DF SOCIAL )
RODRIGO DA SILVA VIEIRA 074***.***-** 1 INDEFERIDO
CANDIDATO (A) NÃO APRESENTOU DECLARAÇÃO EXPEDIDA PELO GDF QUE
COMPROVE RECEBIMENTO DE BENEFÍCIO DE PROGRAMA SOCIAL DE
COMPLEMENTAÇÃO OU SUPLEMENTAÇÃO DE RENDA DO GDF (PRATO CHEIO E
DF SOCIAL )
BRENER MARQUES GONCALVES BARBOSA 025***.***-** 6 DEFERIDO
BRENER MARQUES GONCALVES BARBOSA 025***.***-** 1 DEFERIDO
ROSIMARY CARDOSO DOS SANTOS 917***.***-** 7 INDEFERIDO
CANDIDATO (A) NÃO APRESENTOU DECLARAÇÃO EXPEDIDA PELO GDF QUE
COMPROVE RECEBIMENTO DE BENEFÍCIO DE PROGRAMA SOCIAL DE
COMPLEMENTAÇÃO OU SUPLEMENTAÇÃO DE RENDA DO GDF (PRATO CHEIO E
DF SOCIAL )
ADRIANA CHAVES DE PADUA ALVES 898***.***-** 6 INDEFERIDO
CANDIDATO (A) NÃO APRESENTOU DOCUMENTAÇÃO DE LAUDO MÉDICO DE
ACORDO COM A MARCAÇÃO ESCOLHIDA
ROSIMEIRE MARIA DA CONCEICAO 855***.***-** 1 INDEFERIDO
CANDIDATO (A) NÃO APRESENTOU DOCUMENTAÇÃO EXPEDIDO PELA UNIDADE
COLETORA (CARTEIRINHA DO DOADOR) DE ACORDO COM A OPÇÃO ESCOLHIDA
ROSIMEIRE MARIA DA CONCEICAO 855***.***-** 3 INDEFERIDO
CANDIDATO (A) NÃO APRESENTOU DOCUMENTAÇÃO EXPEDIDO PELA UNIDADE
COLETORA (CARTEIRINHA DO DOADOR) DE ACORDO COM A OPÇÃO ESCOLHIDA
ALESSANDRA ALVES DE REZENDE 036***.***-** 8 INDEFERIDO CANDIDATO (A) NÃO APRESENTOU DOCUMENTAÇÃO EXIGIDA RG
ALESSANDRA ALVES DE REZENDE 036***.***-** 1 INDEFERIDO CANDIDATO (A) NÃO APRESENTOU DOCUMENTAÇÃO EXIGIDA RG
THAYNÁ DE SOUZA DANTAS 035***.***-** 5 INDEFERIDO
CANDIDATO (A) NÃO APRESENTOU DECLARAÇÃO EXPEDIDA PELO GDF QUE
COMPROVE RECEBIMENTO DE BENEFÍCIO DE PROGRAMA SOCIAL DE
COMPLEMENTAÇÃO OU SUPLEMENTAÇÃO DE RENDA DO GDF (PRATO CHEIO E
DF SOCIAL )
THAYNÁ DE SOUZA DANTAS 035***.***-** 1 INDEFERIDO
CANDIDATO (A) NÃO APRESENTOU DECLARAÇÃO EXPEDIDA PELO GDF QUE
COMPROVE RECEBIMENTO DE BENEFÍCIO DE PROGRAMA SOCIAL DE
COMPLEMENTAÇÃO OU SUPLEMENTAÇÃO DE RENDA DO GDF (PRATO CHEIO E
DF SOCIAL )
LILIANE SOUZA OLIVEIRA 004***.***-** 1 INDEFERIDO
CANDIDATO (A) NÃO APRESENTOU DECLARAÇÃO EXPEDIDA PELO GDF QUE
COMPROVE RECEBIMENTO DE BENEFÍCIO DE PROGRAMA SOCIAL DE
COMPLEMENTAÇÃO OU SUPLEMENTAÇÃO DE RENDA DO GDF (PRATO CHEIO E
DF SOCIAL )
LILIANE SOUZA OLIVEIRA 004***.***-** 5 INDEFERIDO
CANDIDATO (A) NÃO APRESENTOU DECLARAÇÃO EXPEDIDA PELO GDF QUE
COMPROVE RECEBIMENTO DE BENEFÍCIO DE PROGRAMA SOCIAL DE
COMPLEMENTAÇÃO OU SUPLEMENTAÇÃO DE RENDA DO GDF (PRATO CHEIO E
DF SOCIAL )
GUTEMBERG RODRIGUES DE OLIVEIRA 000***.***-** - INDEFERIDO
CANDIDATO (A) NÃO APRESENTOU FORMULÁRIO PARA PEDIDO DE ISENÇÃO
COM O NÚMERO DO CARGO
MARISA GONÇALVES DA CUNHA 286***.***-** 5 INDEFERIDO
CANDIDATO (A) NÃO APRESENTOU DOCUMENTAÇÃO DE LAUDO MÉDICO DE
ACORDO COM A MARCAÇÃO ESCOLHIDA
ROSECLEY SANTANA DA SILVA 926***.***-** 1 DEFERIDO
ROSECLEY SANTANA DA SILVA 926***.***-** 7 DEFERIDO
LUANE DE OLIVEIRA CARDOSO 074***.***-** 5 INDEFERIDO
CANDIDATO (A) NÃO APRESENTOU DECLARAÇÃO EXPEDIDA PELO GDF QUE
COMPROVE RECEBIMENTO DE BENEFÍCIO DE PROGRAMA SOCIAL DE
COMPLEMENTAÇÃO OU SUPLEMENTAÇÃO DE RENDA DO GDF (PRATO CHEIO E
DF SOCIAL )
LUANE DE OLIVEIRA CARDOSO 074***.***-** 1 INDEFERIDO
CANDIDATO (A) NÃO APRESENTOU DECLARAÇÃO EXPEDIDA PELO GDF QUE
COMPROVE RECEBIMENTO DE BENEFÍCIO DE PROGRAMA SOCIAL DE
COMPLEMENTAÇÃO OU SUPLEMENTAÇÃO DE RENDA DO GDF (PRATO CHEIO E
DF SOCIAL )
LETICIA DE OLIVEIRA FRANCA TELES 030***.***-** 1 DEFERIDO
GEOVANE RODRIGUES DA SILVA 572***.***-** 1 INDEFERIDO CANDIDATO (A) NÃO APRESENTOU COMPROVANTE DO CADASTO ÚNICO
GEOVANE RODRIGUES DA SILVA 572***.***-** 2 INDEFERIDO CANDIDATO (A) NÃO APRESENTOU COMPROVANTE DO CADASTO ÚNICO
MÁRCIA ALVES DA SILVA DIAS 034***.***-** 1 INDEFERIDO
CANDIDATO (A) NÃO APRESENTOU DECLARAÇÃO EXPEDIDA PELO GDF QUE
COMPROVE RECEBIMENTO DE BENEFÍCIO DE PROGRAMA SOCIAL DE
COMPLEMENTAÇÃO OU SUPLEMENTAÇÃO DE RENDA DO GDF (PRATO CHEIO E
DF SOCIAL )
JEDIAEL LOPES LIMA 058***.***-** 5 INDEFERIDO
CANDIDATO (A) NÃO APRESENTOU DOCUMENTAÇÃO EXIGIDA DE ACORDO COM
A OPÇÃO ESCOLHIDA NO FORMULARIO
ORLEIDE MAGALHAES PINHEIRO 516***.***-** - INDEFERIDO
CANDIDATO (A) NÃO APRESENTOU FORMULÁRIO PARA PEDIDO DE ISENÇÃO
COM O NÚMERO DO CARGO E DEVIDAMENTE ASSINADO
DALISON MENDES DA COSTA 707***.***-** 1 INDEFERIDO
CANDIDATO (A) NÃO APRESENTOU DOCUMENTAÇÃO DE LAUDO MÉDICO DE
ACORDO COM A MARCAÇÃO ESCOLHIDA
KAMILLE DE VASCONCELOS SILVA 072***.***-** 8 INDEFERIDO
CANDIDATO (A) NÃO APRESENTOU DOCUMENTAÇÃO DE LAUDO MÉDICO DE
ACORDO COM A MARCAÇÃO ESCOLHIDA
MARCOS VINICIUS DA SILVA LINDOSO 605***.***-** 5 INDEFERIDO
CANDIDATO (A) NÃO APRESENTOU DECLARAÇÃO EXPEDIDA PELO GDF QUE
COMPROVE RECEBIMENTO DE BENEFÍCIO DE PROGRAMA SOCIAL DE
COMPLEMENTAÇÃO OU SUPLEMENTAÇÃO DE RENDA DO GDF (PRATO CHEIO E
DF SOCIAL )
ADRIA MOTA RODRIGUES 031***.***-** 5 INDEFERIDO
CANDIDATO (A) NÃO APRESENTOU DOCUMENTAÇÃO EXIGIDA DE ACORDO COM
A OPÇÃO ESCOLHIDA NO FORMULARIO
ADRIA MOTA RODRIGUES 031***.***-** 1 INDEFERIDO
CANDIDATO (A) NÃO APRESENTOU DOCUMENTAÇÃO EXIGIDA DE ACORDO COM
A OPÇÃO ESCOLHIDA NO FORMULARIO
CLEIDE MARIA DE VASCONCELOS 494***.***-** 8 INDEFERIDO
CANDIDATO (A) NÃO APRESENTOU DOCUMENTAÇÃO DE LAUDO MÉDICO DE
ACORDO COM A MARCAÇÃO ESCOLHIDA
FABIANA COSTA CHAVES 024***.***-** 1 INDEFERIDO
CANDIDATO (A) NÃO APRESENTOU DECLARAÇÃO EXPEDIDA PELO GDF QUE
COMPROVE RECEBIMENTO DE BENEFÍCIO DE PROGRAMA SOCIAL DE
COMPLEMENTAÇÃO OU SUPLEMENTAÇÃO DE RENDA DO GDF (PRATO CHEIO E
DF SOCIAL )
RONYWERISSON VERAS DANTAS 023***.***-** 1 DEFERIDO
ALDECY BEZERRA DA SILVA 037***.***-** 2 INDEFERIDO
CANDIDATO (A) NÃO APRESENTOU DOCUMENTAÇÃO DE LAUDO MÉDICO DE
ACORDO COM A MARCAÇÃO ESCOLHIDA
SILVA FERREIRA ROSA 564***.***-** 4 INDEFERIDO
CANDIDATO (A) NÃO APRESENTOU FORMULÁRIO ATUALIZADO PARA PEDIDO DE
ISENÇÃO
DIEGO CESAR SILVA DE ALMEIDA 023***.***-** 6 DEFERIDO
WIZELANI SANTANA COELHO 889***.***-** 2 INDEFERIDO
CANDIDATO (A) NÃO APRESENTOU DECLARAÇÃO EXPEDIDA PELO GDF QUE
COMPROVE RECEBIMENTO DE BENEFÍCIO DE PROGRAMA SOCIAL DE
COMPLEMENTAÇÃO OU SUPLEMENTAÇÃO DE RENDA DO GDF (PRATO CHEIO E
DF SOCIAL )
ROZANGELA DA SILVA MOREIRA 027***.***-** 1 INDEFERIDO
CANDIDATO (A) NÃO APRESENTOU DOCUMENTAÇÃO DE LAUDO MÉDICO DE
ACORDO COM A MARCAÇÃO ESCOLHIDA
DIANA MACEDO PEREIRA 023***.***-** 6 INDEFERIDO
CANDIDATO (A) NÃO APRESENTOU DECLARAÇÃO EXPEDIDA PELO GDF QUE
COMPROVE RECEBIMENTO DE BENEFÍCIO DE PROGRAMA SOCIAL DE
COMPLEMENTAÇÃO OU SUPLEMENTAÇÃO DE RENDA DO GDF (PRATO CHEIO E
DF SOCIAL )
JOALECILIA DE OLIVEIRA AFONSO 563***.***-** 1 DEFERIDO
VIVIANE DE FRANÇA LIMA 005***.***-** 2 DEFERIDO
VIVIANE DE FRANÇA LIMA 005***.***-** 1 DEFERIDO
MARIA ASSUNCAO DE ARAUJO 000***.***-** 5 INDEFERIDO
CANDIDATO (A) NÃO APRESENTOU DOCUMENTAÇÃO DE LAUDO MÉDICO DE
ACORDO COM A MARCAÇÃO ESCOLHIDA
KEYLA ALBERTINA GONÇALVES FERREIRA 715***.***-** 7 INDEFERIDO
CANDIDATO (A) NÃO APRESENTOU DOCUMENTAÇÃO DE LAUDO MÉDICO DE
ACORDO COM A MARCAÇÃO ESCOLHIDA
FRANCINETE PEREIRA DA CUNHA 007***.***-** 1 INDEFERIDO
CANDIDATO (A) NÃO APRESENTOU DOCUMENTAÇÃO EXIGIDA COMPROVANTE
DE CADASTRO ÚNICO
GISLENE MENDES DO NASCIMENTO 039***.***-** 3 INDEFERIDO
CANDIDATO (A) NÃO APRESENTOU DECLARAÇÃO EXPEDIDA PELO GDF QUE
COMPROVE RECEBIMENTO DE BENEFÍCIO DE PROGRAMA SOCIAL DE
COMPLEMENTAÇÃO OU SUPLEMENTAÇÃO DE RENDA DO GDF (PRATO CHEIO E
DF SOCIAL )
JULIA DA CONCEIÇÃO CARLOS 065***.***-** 6 INDEFERIDO
CANDIDATO (A) NÃO APRESENTOU DECLARAÇÃO EXPEDIDA PELO GDF QUE
COMPROVE RECEBIMENTO DE BENEFÍCIO DE PROGRAMA SOCIAL DE
COMPLEMENTAÇÃO OU SUPLEMENTAÇÃO DE RENDA DO GDF (PRATO CHEIO E
DF SOCIAL )
JULIA DA CONCEIÇÃO CARLOS 065***.***-** 1 INDEFERIDO
CANDIDATO (A) NÃO APRESENTOU DECLARAÇÃO EXPEDIDA PELO GDF QUE
COMPROVE RECEBIMENTO DE BENEFÍCIO DE PROGRAMA SOCIAL DE
COMPLEMENTAÇÃO OU SUPLEMENTAÇÃO DE RENDA DO GDF (PRATO CHEIO E
DF SOCIAL )
ANDRÉ LUIS BORGES SCAVARDONI 006***.***-** 8 DEFERIDO
ANDRÉ LUIS BORGES SCAVARDONI 006***.***-** 1 DEFERIDO
JEFFERSON BEZERRA CANDIDO 033***.***-** 6 INDEFERIDO
CANDIDATO (A) NÃO APRESENTOU DOCUMENTAÇÃO DE LAUDO MÉDICO DE
ACORDO COM A MARCAÇÃO ESCOLHIDA
ADRIELLY LORRANE AZEVEDO MELO 062***.***-** - INDEFERIDO
CANDIDATO (A) NÃO APRESENTOU DOCUMENTAÇÃO DE LAUDO MÉDICO DE
ACORDO COM A MARCAÇÃO ESCOLHIDA
RAFAELA DOS SANTOS ALMEIDA 049***.***-** 2 INDEFERIDO
CANDIDATO (A) NÃO APRESENTOU DECLARAÇÃO EXPEDIDA PELO GDF QUE
COMPROVE RECEBIMENTO DE BENEFÍCIO DE PROGRAMA SOCIAL DE
COMPLEMENTAÇÃO OU SUPLEMENTAÇÃO DE RENDA DO GDF (PRATO CHEIO E
DF SOCIAL )
MARIA LUIZA MOURA PIRES GONCALVES 078***.***-** 7 INDEFERIDO
CANDIDATO (A) NÃO APRESENTOU DECLARAÇÃO EXPEDIDA PELO GDF QUE
COMPROVE RECEBIMENTO DE BENEFÍCIO DE PROGRAMA SOCIAL DE
COMPLEMENTAÇÃO OU SUPLEMENTAÇÃO DE RENDA DO GDF (PRATO CHEIO E
DF SOCIAL )
BRUNO HENRIQUE BARBOZA PAZ 051***.***-** - INDEFERIDO
CANDIDATO (A) NÃO APRESENTOU DECLARAÇÃO EXPEDIDA PELO GDF QUE
COMPROVE RECEBIMENTO DE BENEFÍCIO DE PROGRAMA SOCIAL DE
COMPLEMENTAÇÃO OU SUPLEMENTAÇÃO DE RENDA DO GDF (PRATO CHEIO E
DF SOCIAL )
KARINY MARIANI SOUSA 048***.***-** 1 INDEFERIDO
CANDIDATO (A) NÃO APRESENTOU DECLARAÇÃO EXPEDIDA PELO GDF QUE
COMPROVE RECEBIMENTO DE BENEFÍCIO DE PROGRAMA SOCIAL DE
COMPLEMENTAÇÃO OU SUPLEMENTAÇÃO DE RENDA DO GDF (PRATO CHEIO E
DF SOCIAL )
KARINY MARIANI SOUSA 048***.***-** 2 INDEFERIDO
CANDIDATO (A) NÃO APRESENTOU DECLARAÇÃO EXPEDIDA PELO GDF QUE
COMPROVE RECEBIMENTO DE BENEFÍCIO DE PROGRAMA SOCIAL DE
COMPLEMENTAÇÃO OU SUPLEMENTAÇÃO DE RENDA DO GDF (PRATO CHEIO E
DF SOCIAL )
MARIA PAULA DE OLIVEIRA SANTANA 063***.***-** 1 INDEFERIDO
CANDIDATO (A) NÃO APRESENTOU DECLARAÇÃO EXPEDIDA PELO GDF QUE
COMPROVE RECEBIMENTO DE BENEFÍCIO DE PROGRAMA SOCIAL DE
COMPLEMENTAÇÃO OU SUPLEMENTAÇÃO DE RENDA DO GDF (PRATO CHEIO E
DF SOCIAL )
MARCIA GARDENIA SILVA DE MORAIS RIBEIRO 921***.***-** 7 INDEFERIDO
CANDIDATO (A) NÃO APRESENTOU DOCUMENTAÇÃO DE LAUDO MÉDICO DE
ACORDO COM A MARCAÇÃO ESCOLHIDA
ANNE HELLEN DE SOUZA SOARES 734***.***-** 7 INDEFERIDO
CANDIDATO (A) NÃO APRESENTOU DECLARAÇÃO EXPEDIDA PELO GDF QUE
COMPROVE RECEBIMENTO DE BENEFÍCIO DE PROGRAMA SOCIAL DE
COMPLEMENTAÇÃO OU SUPLEMENTAÇÃO DE RENDA DO GDF (PRATO CHEIO E
DF SOCIAL )
ANNE HELLEN DE SOUZA SOARES 734***.***-** 1 INDEFERIDO
CANDIDATO (A) NÃO APRESENTOU DECLARAÇÃO EXPEDIDA PELO GDF QUE
COMPROVE RECEBIMENTO DE BENEFÍCIO DE PROGRAMA SOCIAL DE
COMPLEMENTAÇÃO OU SUPLEMENTAÇÃO DE RENDA DO GDF (PRATO CHEIO E
DF SOCIAL )
ADRIEL RENATA AMORIM DA PAIXAO 052***.***-** 1 DEFERIDO
ADRIELLY DA COSTA BONIFACIO 056***.***-** 2 INDEFERIDO
CANDIDATO (A) NÃO APRESENTOU DECLARAÇÃO EXPEDIDA PELO GDF QUE
COMPROVE RECEBIMENTO DE BENEFÍCIO DE PROGRAMA SOCIAL DE
COMPLEMENTAÇÃO OU SUPLEMENTAÇÃO DE RENDA DO GDF (PRATO CHEIO E
DF SOCIAL )
ADRIELLY DA COSTA BONIFACIO 056***.***-** 1 INDEFERIDO
CANDIDATO (A) NÃO APRESENTOU DECLARAÇÃO EXPEDIDA PELO GDF QUE
COMPROVE RECEBIMENTO DE BENEFÍCIO DE PROGRAMA SOCIAL DE
COMPLEMENTAÇÃO OU SUPLEMENTAÇÃO DE RENDA DO GDF (PRATO CHEIO E
DF SOCIAL )
MELISSA GRAÇA DE SOUSA LOPES 043***.***-** 1 INDEFERIDO
CANDIDATO (A) NÃO APRESENTOU DECLARAÇÃO EXPEDIDA PELO GDF QUE
COMPROVE RECEBIMENTO DE BENEFÍCIO DE PROGRAMA SOCIAL DE
COMPLEMENTAÇÃO OU SUPLEMENTAÇÃO DE RENDA DO GDF (PRATO CHEIO E
DF SOCIAL )
MAXWEL RODRIGUES LIMA 031***.***-** 1 DEFERIDO
MAXWEL RODRIGUES LIMA 031***.***-** 4 DEFERIDO
MARCIONE FRANCISCO CERQUEIRA 635***.***-** 1 INDEFERIDO CANDIDATO (A) NÃO APRESENTOU DOCUMENTAÇÃO EXIGIDA
MARCIONE FRANCISCO CERQUEIRA 635***.***-** 2 INDEFERIDO CANDIDATO (A) NÃO APRESENTOU DOCUMENTAÇÃO EXIGIDA
EVINY MILLANY VIEIRA FALEIRO 059***.***-** 7 DEFERIDO
LORRAN ALVES FARIAS ORNELAS 061***.***-** 1 INDEFERIDO
CANDIDATO (A) NÃO APRESENTOU FORMULÁRIO ATUALIZADO PARA PEDIDO DE
ISENÇÃO
LILIAN DE SOUSA BUARQUES BELARMINO 018***.***-** 7 INDEFERIDO
CANDIDATO (A) NÃO APRESENTOU DECLARAÇÃO EXPEDIDA PELO GDF QUE
COMPROVE RECEBIMENTO DE BENEFÍCIO DE PROGRAMA SOCIAL DE
COMPLEMENTAÇÃO OU SUPLEMENTAÇÃO DE RENDA DO GDF (PRATO CHEIO E
DF SOCIAL )
LILIAN DE SOUSA BUARQUES BELARMINO 018***.***-** 1 INDEFERIDO
CANDIDATO (A) NÃO APRESENTOU DECLARAÇÃO EXPEDIDA PELO GDF QUE
COMPROVE RECEBIMENTO DE BENEFÍCIO DE PROGRAMA SOCIAL DE
COMPLEMENTAÇÃO OU SUPLEMENTAÇÃO DE RENDA DO GDF (PRATO CHEIO E
DF SOCIAL )
CARLOS DIOVANE CARDOSO DO VALE 005***.***-** 1 DEFERIDO
CARLOS DIOVANE CARDOSO DO VALE 005***.***-** 6 DEFERIDO
RICARDO PIRES DE BRITO 894***.***-** 2 INDEFERIDO
CANDIDATO (A) NÃO APRESENTOU DECLARAÇÃO EXPEDIDA PELO GDF QUE
COMPROVE RECEBIMENTO DE BENEFÍCIO DE PROGRAMA SOCIAL DE
COMPLEMENTAÇÃO OU SUPLEMENTAÇÃO DE RENDA DO GDF (PRATO CHEIO E
DF SOCIAL )
NECY RODRIGUES DA SILVA 041***.***-** 1 INDEFERIDO
CANDIDATO (A) NÃO APRESENTOU FORMULÁRIO ATUALIZADO PARA PEDIDO DE
ISENÇÃO
ALDA PEREIRA LIMA 703***.***-** - INDEFERIDO
CANDIDATO (A) NÃO APRESENTOU DECLARAÇÃO EXPEDIDA PELO GDF QUE
COMPROVE RECEBIMENTO DE BENEFÍCIO DE PROGRAMA SOCIAL DE
COMPLEMENTAÇÃO OU SUPLEMENTAÇÃO DE RENDA DO GDF (PRATO CHEIO E
DF SOCIAL )
LEANDRO SILVA MONTEIRO 032***.***-** 1 DEFERIDO
DAYANE PEREIRA RODRIGUES 039***.***-** 1 DEFERIDO
MARIA MADALENA GOLÇALVES DO REGO 827***.***-** 1 INDEFERIDO
CANDIDATO (A) NÃO APRESENTOU DECLARAÇÃO EXPEDIDA PELO GDF QUE
COMPROVE RECEBIMENTO DE BENEFÍCIO DE PROGRAMA SOCIAL DE
COMPLEMENTAÇÃO OU SUPLEMENTAÇÃO DE RENDA DO GDF (PRATO CHEIO E
DF SOCIAL )
ADRIANA PULU CAMPOS 694***.***-** 1 DEFERIDO
MARIA JOSÉ DA SILVA 734***.***-** 1 INDEFERIDO
CANDIDATO (A) NÃO APRESENTOU DECLARAÇÃO EXPEDIDA PELO GDF QUE
COMPROVE RECEBIMENTO DE BENEFÍCIO DE PROGRAMA SOCIAL DE
COMPLEMENTAÇÃO OU SUPLEMENTAÇÃO DE RENDA DO GDF (PRATO CHEIO E
DF SOCIAL )
MARIA JOSÉ DA SILVA 734***.***-** 6 INDEFERIDO
CANDIDATO (A) NÃO APRESENTOU DECLARAÇÃO EXPEDIDA PELO GDF QUE
COMPROVE RECEBIMENTO DE BENEFÍCIO DE PROGRAMA SOCIAL DE
COMPLEMENTAÇÃO OU SUPLEMENTAÇÃO DE RENDA DO GDF (PRATO CHEIO E
DF SOCIAL )
HENRIQUE MOURA MEDEIROS 088***.***-** 6 DEFERIDO
HENRIQUE MOURA MEDEIROS 088***.***-** 1 DEFERIDO
HELLEN PEREIRA DE PAIXÃO ARAUJO 034***.***-** 1 INDEFERIDO
CANDIDATO (A) NÃO APRESENTOU FORMULÁRIO ATUALIZADO PARA PEDIDO DE
ISENÇÃO
HELLEN PEREIRA DE PAIXÃO ARAUJO 034***.***-** 8 INDEFERIDO
CANDIDATO (A) NÃO APRESENTOU FORMULÁRIO ATUALIZADO PARA PEDIDO DE
ISENÇÃO
LUANA DE ALMEIDA 701***.***-** 1 INDEFERIDO CANDIDATO (A) NÃO APRESENTOU DOCUMENTAÇÃO EXIGIDA EM PDF
CARLOS ANTÔNIO TAVEIRA MOURA 027***.***-** 1 DEFERIDO
AKYLLA PRISCILA FIQUEREDO COSTA 044***.***-** 1 INDEFERIDO
CANDIDATO (A) NÃO APRESENTOU FORMULÁRIO ATUALIZADO PARA PEDIDO DE
ISENÇÃO
AKYLLA PRISCILA FIQUEREDO COSTA 044***.***-** 7 INDEFERIDO
CANDIDATO (A) NÃO APRESENTOU FORMULÁRIO ATUALIZADO PARA PEDIDO DE
ISENÇÃO
JOSUE FLAUSINO DE OLIVEIRA 013***.***-** 1 DEFERIDO
DANIEL NUNES COSTA 031***.***-** 2 INDEFERIDO CANDIDATO (A) NÃO APRESENTOU DOCUMENTAÇÃO EXIGIDA EM RG
MARIA ABADIA PEREIRA DOS SANTOS 962***.***-** 6 DEFERIDO
MARIA ABADIA PEREIRA DOS SANTOS 962***.***-** 1 DEFERIDO
VITORIA MACEDO DE CARVALHO 049***.***-** 1 INDEFERIDO CANDIDATO (A) NÃO APRESENTOU DOCUMENTAÇÃO EXIGIDA EM RG
VITORIA MACEDO DE CARVALHO 049***.***-** 5 INDEFERIDO CANDIDATO (A) NÃO APRESENTOU DOCUMENTAÇÃO EXIGIDA EM RG
PIETRO LEVI CARVALHO DOS SANTOS 050***.***-** 1 INDEFERIDO
CANDIDATO (A) NÃO APRESENTOU DECLARAÇÃO EXPEDIDA PELO GDF QUE
COMPROVE RECEBIMENTO DE BENEFÍCIO DE PROGRAMA SOCIAL DE
COMPLEMENTAÇÃO OU SUPLEMENTAÇÃO DE RENDA DO GDF (PRATO CHEIO E
DF SOCIAL )
PIETRO LEVI CARVALHO DOS SANTOS 050***.***-** 2 INDEFERIDO
CANDIDATO (A) NÃO APRESENTOU DECLARAÇÃO EXPEDIDA PELO GDF QUE
COMPROVE RECEBIMENTO DE BENEFÍCIO DE PROGRAMA SOCIAL DE
COMPLEMENTAÇÃO OU SUPLEMENTAÇÃO DE RENDA DO GDF (PRATO CHEIO E
DF SOCIAL )
RAQUEL MOURA NUNES MEDEIROS 018***.***-** 6 DEFERIDO
RAQUEL MOURA NUNES MEDEIROS 018***.***-** 1 DEFERIDO
MARIA ANTÔNIA PULU CAMPOS DA CRUZ 074***.***-** 1 DEFERIDO
IRAMAR DOS SANTOS FERREIRA 000***.***-** 1 INDEFERIDO
CANDIDATO (A) NÃO APRESENTOU DECLARAÇÃO EXPEDIDA PELO GDF QUE
COMPROVE RECEBIMENTO DE BENEFÍCIO DE PROGRAMA SOCIAL DE
COMPLEMENTAÇÃO OU SUPLEMENTAÇÃO DE RENDA DO GDF (PRATO CHEIO E
DF SOCIAL )
MERILINDISEI NATACHA DE CASSIA PATRICIA MACHADO 014***.***-** 1 INDEFERIDO
CANDIDATO (A) NÃO APRESENTOU FORMULÁRIO ATUALIZADO PARA PEDIDO DE
ISENÇÃO
VANESSA ELEN DE SOUZA SANTOS 077***.***-** 1 INDEFERIDO
CANDIDATO (A) NÃO APRESENTOU FORMULÁRIO ATUALIZADO PARA PEDIDO DE
ISENÇÃO
CARINA MIRANDA LOPES 726***.***-** 8 DEFERIDO
LINDA ALICE DA SILVA MESQUITA 067***.***-** 3 DEFERIDO
LINDA ALICE DA SILVA MESQUITA 067***.***-** 1 DEFERIDO
JANIA KLEI OLIVEIRA ALENCAR 801***.***-** - INDEFERIDO
CANDIDATO (A) NÃO APRESENTOU FORMULÁRIO PARA PEDIDO DE ISENÇÃO
COM O NÚMERO DO CARGO
DANIEL NUNES COSTA 031***.***-** 1 INDEFERIDO CANDIDATO (A) NÃO APRESENTOU DOCUMENTAÇÃO EXIGIDA EM RG
DANIELE CARVALHO RODRIGUES 688***.***-** 5 INDEFERIDO
CANDIDATO (A) NÃO APRESENTOU NO FORMULÁRIO PARA PEDIDO DE ISENÇÃO
A OPÇÃO ESCOLHIDA
DANIELE CARVALHO RODRIGUES 688***.***-** 1 INDEFERIDO
CANDIDATO (A) NÃO APRESENTOU NO FORMULÁRIO PARA PEDIDO DE ISENÇÃO
A OPÇÃO ESCOLHIDA
LUCIANO SIQUEIRA LIMA 972***.***-** 8 INDEFERIDO
CANDIDATO (A) NÃO APRESENTOU DECLARAÇÃO EXPEDIDA PELO GDF QUE
COMPROVE RECEBIMENTO DE BENEFÍCIO DE PROGRAMA SOCIAL DE
COMPLEMENTAÇÃO OU SUPLEMENTAÇÃO DE RENDA DO GDF (PRATO CHEIO E
DF SOCIAL )
SARA CINTHIA COSTA DOS SANTOS 619***.***-** 8 INDEFERIDO
CANDIDATO (A) NÃO APRESENTOU DECLARAÇÃO EXPEDIDA PELO GDF QUE
COMPROVE RECEBIMENTO DE BENEFÍCIO DE PROGRAMA SOCIAL DE
COMPLEMENTAÇÃO OU SUPLEMENTAÇÃO DE RENDA DO GDF (PRATO CHEIO E
DF SOCIAL )
MARLA RODRIGUES DA COSTA COLARES 473***.***-** - INDEFERIDO CANDIDATO (A) NÃO APRESENTOU DOCUMENTAÇÃO EXIGIDA
DANIEL DE SOUSA SILVA 079***.***-** 2 INDEFERIDO CANDIDATO (A) NÃO APRESENTOU DOCUMENTAÇÃO EXIGIDA PDF
INGRID LORRANY DA SILVA OLIVEIRA 066***.***-** 7 INDEFERIDO
CANDIDATO (A) NÃO APRESENTOU DECLARAÇÃO EXPEDIDA PELO GDF QUE
COMPROVE RECEBIMENTO DE BENEFÍCIO DE PROGRAMA SOCIAL DE
COMPLEMENTAÇÃO OU SUPLEMENTAÇÃO DE RENDA DO GDF (PRATO CHEIO E
DF SOCIAL )
MIRON JOSE DE ARAUJO JUNIOR 027***.***-** 1 DEFERIDO
MIRON JOSE DE ARAUJO JUNIOR 027***.***-** 2 DEFERIDO
PRISCILLA RODRIGUES REZENDE 054***.***-** 1 DEFERIDO
MANUEL APARECIDO TRINDADE 052***.***-** 1 DEFERIDO
MANUEL APARECIDO TRINDADE 052***.***-** 8 DEFERIDO
AGATHA MEIRELES ALCANTARA DOS SANTOS 051***.***-** 1 INDEFERIDO
CANDIDATO (A) NÃO APRESENTOU DECLARAÇÃO EXPEDIDA PELO GDF QUE
COMPROVE RECEBIMENTO DE BENEFÍCIO DE PROGRAMA SOCIAL DE
COMPLEMENTAÇÃO OU SUPLEMENTAÇÃO DE RENDA DO GDF (PRATO CHEIO E
DF SOCIAL )
SUELI LUIZ DE OLIVEIRA 839***.***-** - INDEFERIDO
CANDIDATO (A) NÃO APRESENTOU DECLARAÇÃO EXPEDIDA PELO GDF QUE
COMPROVE RECEBIMENTO DE BENEFÍCIO DE PROGRAMA SOCIAL DE
COMPLEMENTAÇÃO OU SUPLEMENTAÇÃO DE RENDA DO GDF (PRATO CHEIO E
DF SOCIAL )
ERICA GOMES DE MIRANDA 029***.***-** 1 INDEFERIDO
CANDIDATO (A) NÃO APRESENTOU DECLARAÇÃO EXPEDIDA PELO GDF QUE
COMPROVE RECEBIMENTO DE BENEFÍCIO DE PROGRAMA SOCIAL DE
COMPLEMENTAÇÃO OU SUPLEMENTAÇÃO DE RENDA DO GDF (PRATO CHEIO E
DF SOCIAL )
FERNANDO BIZERRA LIMA DA CUNHA 058***.***-** 1 DEFERIDO
PABLO GABRIEL DE MESQUITA SOUSA 081***.***-** 3 INDEFERIDO
CANDIDATO (A) NÃO APRESENTOU DECLARAÇÃO EXPEDIDA PELO GDF QUE
COMPROVE RECEBIMENTO DE BENEFÍCIO DE PROGRAMA SOCIAL DE
COMPLEMENTAÇÃO OU SUPLEMENTAÇÃO DE RENDA DO GDF (PRATO CHEIO E
DF SOCIAL )
HUGO DANTAS DA SILVA 028***.***-** 1 INDEFERIDO
CANDIDATO (A) NÃO APRESENTOU NO FORMULÁRIO ATUALIZADO PARA PEDIDO
DE ISENÇÃO A OPÇÃO ESCOLHIDA
HUGO DANTAS DA SILVA 028***.***-** 7 INDEFERIDO
CANDIDATO (A) NÃO APRESENTOU NO FORMULÁRIO ATUALIZADO PARA PEDIDO
DE ISENÇÃO A OPÇÃO ESCOLHIDA
FERNANDA DA SILVA LIMA 058***.***-** 1 INDEFERIDO
CANDIDATO (A) NÃO APRESENTOU DECLARAÇÃO EXPEDIDA PELO GDF QUE
COMPROVE RECEBIMENTO DE BENEFÍCIO DE PROGRAMA SOCIAL DE
COMPLEMENTAÇÃO OU SUPLEMENTAÇÃO DE RENDA DO GDF (PRATO CHEIO E
DF SOCIAL )
DAYANE PEREIRA RODRIGUES -***.***-** - INDEFERIDO CANDIDATO (A) NÃO APRESENTOU DOCUMENTAÇÃO QUE FOI POSSIVEL ACESSO
ELIANE ALVES DA SILVA ASSIS 067***.***-** 1 INDEFERIDO CANDIDATO (A) NÃO APRESENTOU DOCUMENTAÇÃO EXIGIDA RG
SHEILA SHEIRIDAN NASCIMENTO BAIMA 850***.***-** 6 INDEFERIDO
CANDIDATO (A) NÃO APRESENTOU DECLARAÇÃO EXPEDIDA PELO GDF QUE
COMPROVE RECEBIMENTO DE BENEFÍCIO DE PROGRAMA SOCIAL DE
COMPLEMENTAÇÃO OU SUPLEMENTAÇÃO DE RENDA DO GDF (PRATO CHEIO E
DF SOCIAL )
TATIANE VIEIRA DA SILVA 736***.***-** 1 DEFERIDO
KAMILA AZEVEDO PRADO 010***.***-** 4 INDEFERIDO
CANDIDATO (A) NÃO APRESENTOU DECLARAÇÃO EXPEDIDA PELO GDF QUE
COMPROVE RECEBIMENTO DE BENEFÍCIO DE PROGRAMA SOCIAL DE
COMPLEMENTAÇÃO OU SUPLEMENTAÇÃO DE RENDA DO GDF (PRATO CHEIO E
DF SOCIAL )
KAMILA AZEVEDO PRADO 010***.***-** 1 INDEFERIDO
CANDIDATO (A) NÃO APRESENTOU DECLARAÇÃO EXPEDIDA PELO GDF QUE
COMPROVE RECEBIMENTO DE BENEFÍCIO DE PROGRAMA SOCIAL DE
COMPLEMENTAÇÃO OU SUPLEMENTAÇÃO DE RENDA DO GDF (PRATO CHEIO E
DF SOCIAL )
ERIKA SOARES DOS SANTOS 71***.***-** 3 DEFERIDO
JULIANA BARBOSA RODRIGUES 711***.***-** 1 INDEFERIDO
CANDIDATO (A) NÃO APRESENTOU DECLARAÇÃO EXPEDIDA PELO GDF QUE
COMPROVE RECEBIMENTO DE BENEFÍCIO DE PROGRAMA SOCIAL DE
COMPLEMENTAÇÃO OU SUPLEMENTAÇÃO DE RENDA DO GDF (PRATO CHEIO E
DF SOCIAL )
ALAN MARQUES OLIVEIRA SOUSA 005***.***-** 8 DEFERIDO
ELIANA GERALDA DA SILVA 794***.***-** 2 INDEFERIDO
CANDIDATO (A) NÃO APRESENTOU DECLARAÇÃO EXPEDIDA PELO GDF QUE
COMPROVE RECEBIMENTO DE BENEFÍCIO DE PROGRAMA SOCIAL DE
COMPLEMENTAÇÃO OU SUPLEMENTAÇÃO DE RENDA DO GDF (PRATO CHEIO E
DF SOCIAL )
ELIANA GERALDA DA SILVA 794***.***-** 1 INDEFERIDO
CANDIDATO (A) NÃO APRESENTOU DECLARAÇÃO EXPEDIDA PELO GDF QUE
COMPROVE RECEBIMENTO DE BENEFÍCIO DE PROGRAMA SOCIAL DE
COMPLEMENTAÇÃO OU SUPLEMENTAÇÃO DE RENDA DO GDF (PRATO CHEIO E
DF SOCIAL )
ANNA CAROLINA RODRIGUES DE OLIVEIRA 009***.***-** 1 DEFERIDO
ANNA CAROLINA RODRIGUES DE OLIVEIRA 009***.***-** 2 DEFERIDO
VALDIZIA DA SILVA 017***.***-** - INDEFERIDO
CANDIDATO (A) NÃO APRESENTOU NO FORMULÁRIO PARA PEDIDO DE ISENÇÃO
A OPÇÃO ESCOLHIDA
LUCIANA HELENA DE LIMA 712***.***-** 8 DEFERIDO
ELLEN DOS SANTOS DINIZ 076***.***-** 1 INDEFERIDO
CANDIDATO (A) NÃO APRESENTOU DOCUMENTAÇÃO DE LAUDO MÉDICO DE
ACORDO COM A MARCAÇÃO ESCOLHIDA
WESLLANE LOURENCO DE SANTANA 058***.***-** 1 DEFERIDO
VANESSA DOS SANTOS NASCIMENTO 042***.***-** 7 DEFERIDO
VANESSA DOS SANTOS NASCIMENTO 042***.***-** 1 DEFERIDO
DIANE GONÇALVES DE OLIVEIRA 000***.***-** 3 INDEFERIDO CANDIDATO (A) NÃO APRESENTOU DOCUMENTAÇÃO EXIGIDA RG
LUCIANA HELENA DE LIMA 712***.***-** 1 DEFERIDO
MARIANA SOUZA DO NASCIMENTO 060***.***-** 6 INDEFERIDO CANDIDATO (A) NÃO APRESENTOU DOCUMENTAÇÃO NO FORMATO EXIGIDO
EDINALDO RODRIGUES LIMA 031***.***-** 1 DEFERIDO
DANILENE RODRIGUES DA SILVA 007***.***-** 2 DEFERIDO
DANIELA VIANA DE OLIVEIRA 043***.***-** 3 DEFERIDO
DARLANE FERREIRA MAGALHÃES 701***.***-** - INDEFERIDO
CANDIDATO (A) NÃO APRESENTOU DECLARAÇÃO EXPEDIDA PELO GDF QUE
COMPROVE RECEBIMENTO DE BENEFÍCIO DE PROGRAMA SOCIAL DE
COMPLEMENTAÇÃO OU SUPLEMENTAÇÃO DE RENDA DO GDF (PRATO CHEIO E
DF SOCIAL )
CRISTINA MAISA ALVES TAVARES 019***.***-** 8 INDEFERIDO CANDIDATO (A) NÃO APRESENTOU DOCUMENTAÇÃO NO FORMATO EXIGIDO
CARLOS RICELLY DA SILVA MEDEIROS 013***.***-** 6 DEFERIDO
CARLOS RICELLY DA SILVA MEDEIROS 013***.***-** 1 DEFERIDO
GIZELLY APARECIDA PIRES LIMA 060***.***-** - INDEFERIDO
CANDIDATO (A) NÃO APRESENTOU DECLARAÇÃO EXPEDIDA PELO GDF QUE
COMPROVE RECEBIMENTO DE BENEFÍCIO DE PROGRAMA SOCIAL DE
COMPLEMENTAÇÃO OU SUPLEMENTAÇÃO DE RENDA DO GDF (PRATO CHEIO E
DF SOCIAL )
LUANA APARECIDA MACHADO RIBEIRO 057***.***-** 7 INDEFERIDO
CANDIDATO (A) NÃO APRESENTOU DECLARAÇÃO EXPEDIDA PELO GDF QUE
COMPROVE RECEBIMENTO DE BENEFÍCIO DE PROGRAMA SOCIAL DE
COMPLEMENTAÇÃO OU SUPLEMENTAÇÃO DE RENDA DO GDF (PRATO CHEIO E
DF SOCIAL )
PRISCILA SIVEK PEREZ 027***.***-** 1 DEFERIDO
PRISCILA SIVEK PEREZ 027***.***-** 8 DEFERIDO
LUANA APARECIDA MACHADO RIBEIRO 057***.***-** 1 INDEFERIDO
CANDIDATO (A) NÃO APRESENTOU DECLARAÇÃO EXPEDIDA PELO GDF QUE
COMPROVE RECEBIMENTO DE BENEFÍCIO DE PROGRAMA SOCIAL DE
COMPLEMENTAÇÃO OU SUPLEMENTAÇÃO DE RENDA DO GDF (PRATO CHEIO E
DF SOCIAL )
MARIA JESSICA FRANCISCO ALVES 051***.***-** 1 INDEFERIDO CANDIDATO (A) NÃO APRESENTOU DOCUMENTAÇÃO EXIGIDA
HELLEN ALEXANDRE DA SILVA 042***.***-** 5 DEFERIDO
CLAUDENIR BEZERRA DOS SANTOS 723***.***-** 5 DEFERIDO
MARIA DO SOCORRO PEREIRA SOARES 010***.***-** - INDEFERIDO
CANDIDATO (A) NÃO APRESENTOU FORMULÁRIO PARA PEDIDO DE ISENÇÃO
COM O NÚMERO DO CARGO
LAIS SILVA SANTOS 070***.***-** - INDEFERIDO
CANDIDATO (A) NÃO APRESENTOU DOCUMENTAÇÃO DE LAUDO MÉDICO DE
ACORDO COM A MARCAÇÃO ESCOLHIDA
BRUNA ASSIS DO NASCIMENTO 015***.***-** 2 INDEFERIDO
CANDIDATO (A) NÃO APRESENTOU DECLARAÇÃO EXPEDIDA PELO GDF QUE
COMPROVE RECEBIMENTO DE BENEFÍCIO DE PROGRAMA SOCIAL DE
COMPLEMENTAÇÃO OU SUPLEMENTAÇÃO DE RENDA DO GDF (PRATO CHEIO E
DF SOCIAL )
THAISE HERMOGENES BATISTA SANTOS 058***.***-** 1 INDEFERIDO
CANDIDATO (A) NÃO APRESENTOU DECLARAÇÃO EXPEDIDA PELO GDF QUE
COMPROVE RECEBIMENTO DE BENEFÍCIO DE PROGRAMA SOCIAL DE
COMPLEMENTAÇÃO OU SUPLEMENTAÇÃO DE RENDA DO GDF (PRATO CHEIO E
DF SOCIAL )
ELIDA CRISTINA SILVA DE ABREU 829***.***-** 7 DEFERIDO
ELIANE GERALDO DA SILVA 794***.***-** 1 INDEFERIDO
CANDIDATO (A) NÃO APRESENTOU NO FORMULÁRIO PARA PEDIDO DE ISENÇÃO
A OPÇÃO ESCOLHIDA
IASMYM DE PAULA COELHO BARROS 083***.***-** 7 INDEFERIDO
CANDIDATO (A) NÃO APRESENTOU DECLARAÇÃO EXPEDIDA PELO GDF QUE
COMPROVE RECEBIMENTO DE BENEFÍCIO DE PROGRAMA SOCIAL DE
COMPLEMENTAÇÃO OU SUPLEMENTAÇÃO DE RENDA DO GDF (PRATO CHEIO E
DF SOCIAL )
IASMYM DE PAULA COELHO BARROS 083***.***-** 8 INDEFERIDO
CANDIDATO (A) NÃO APRESENTOU DECLARAÇÃO EXPEDIDA PELO GDF QUE
COMPROVE RECEBIMENTO DE BENEFÍCIO DE PROGRAMA SOCIAL DE
COMPLEMENTAÇÃO OU SUPLEMENTAÇÃO DE RENDA DO GDF (PRATO CHEIO E
DF SOCIAL )
KELVIN WILLIAM TAVARES FERREIRA 082***.***-** 7 INDEFERIDO
CANDIDATO (A) NÃO APRESENTOU DOCUMENTAÇÃO DE LAUDO MÉDICO DE
ACORDO COM A MARCAÇÃO ESCOLHIDA
PAULO DANIEL GOMES BATISTA DA SILVA 052***.***-** 7 INDEFERIDO
CANDIDATO (A) NÃO APRESENTOU DECLARAÇÃO EXPEDIDA PELO GDF QUE
COMPROVE RECEBIMENTO DE BENEFÍCIO DE PROGRAMA SOCIAL DE
COMPLEMENTAÇÃO OU SUPLEMENTAÇÃO DE RENDA DO GDF (PRATO CHEIO E
DF SOCIAL )
PAULO DANIEL GOMES BATISTA DA SILVA 052***.***-** 1 INDEFERIDO
CANDIDATO (A) NÃO APRESENTOU DECLARAÇÃO EXPEDIDA PELO GDF QUE
COMPROVE RECEBIMENTO DE BENEFÍCIO DE PROGRAMA SOCIAL DE
COMPLEMENTAÇÃO OU SUPLEMENTAÇÃO DE RENDA DO GDF (PRATO CHEIO E
DF SOCIAL )
MARCIA REGINA DE ARAUJO ELIAS 619***.***-** 7 INDEFERIDO
CANDIDATO (A) NÃO APRESENTOU DECLARAÇÃO EXPEDIDA PELO GDF QUE
COMPROVE RECEBIMENTO DE BENEFÍCIO DE PROGRAMA SOCIAL DE
COMPLEMENTAÇÃO OU SUPLEMENTAÇÃO DE RENDA DO GDF (PRATO CHEIO E
DF SOCIAL )
ERIKA DE CARVALHO ARAUJO 033***.***-** 7 INDEFERIDO
CANDIDATO (A) NÃO APRESENTOU DECLARAÇÃO EXPEDIDA PELO GDF QUE
COMPROVE RECEBIMENTO DE BENEFÍCIO DE PROGRAMA SOCIAL DE
COMPLEMENTAÇÃO OU SUPLEMENTAÇÃO DE RENDA DO GDF (PRATO CHEIO E
DF SOCIAL )
JULIANE DE SOUZA PEREIRA 097***.***-** 6 DEFERIDO
MARIA HELOÍSA DOS PASSOS ANDRADE 068***.***-** 1 DEFERIDO
ROSILENE SOARES XIMENES 026***.***-** - INDEFERIDO CANDIDATO (A) NÃO APRESENTOU DOCUMENTAÇÃO EXIGIDA
JOSEFA MARIA DA SILVA 879***.***-** 1 INDEFERIDO
CANDIDATO (A) NÃO APRESENTOU DECLARAÇÃO EXPEDIDA PELO GDF QUE
COMPROVE RECEBIMENTO DE BENEFÍCIO DE PROGRAMA SOCIAL DE
COMPLEMENTAÇÃO OU SUPLEMENTAÇÃO DE RENDA DO GDF (PRATO CHEIO E
DF SOCIAL )
DANIEL LIMA SILVA 603***.***-** 1 INDEFERIDO
CANDIDATO (A) NÃO APRESENTOU DECLARAÇÃO EXPEDIDA PELO GDF QUE
COMPROVE RECEBIMENTO DE BENEFÍCIO DE PROGRAMA SOCIAL DE
COMPLEMENTAÇÃO OU SUPLEMENTAÇÃO DE RENDA DO GDF (PRATO CHEIO E
DF SOCIAL )
KAROLAYNE AGRA DE VASCONCELOS 056***.***-** 8 INDEFERIDO
CANDIDATO (A) NÃO APRESENTOU DOCUMENTAÇÃO DE LAUDO MÉDICO DE
ACORDO COM A MARCAÇÃO ESCOLHIDA
MARIA APARECIDA GAMA DE SOUSA 599***.***-** 3 INDEFERIDO CANDIDATO (A) NÃO APRESENTOU DOCUMENTAÇÃO EXIGIDA
ELIANE ALVES SARDINHA -***.***-** - INDEFERIDO CANDIDATO (A) NÃO APRESENTOU DOCUMENTAÇÃO EXIGIDA
BEATRIZ MENDES DE CARVALHO SOUZA 066***.***-** 8 INDEFERIDO
CANDIDATO (A) NÃO APRESENTOU LAUDO MÉDICO COMPROBATÓRIO DA
ISENÇÃO DE
ACORDO COM A POSSIBILIDADE ESCOLHIDA (CAD. ÚNICO FEDERAL)
DANIEL DA COSTA OLIVEIRA 055***.***-** 1 DEFERIDO
DANIEL DA COSTA OLIVEIRA 055***.***-** 8 INDEFERIDO
CANDIDATO (A) NÃO APRESENTOU UM E-MAIL DE SOLICITAÇÃO DE ISENÇÃO
COM UM FORMULÁRIO PARA CADA CARGO
GLEISON DE OLIVEIRA CARVALHO 783***.***-** 1 INDEFERIDO
CANDIDATO (A) NÃO APRESENTOU FORMULÁRIO PARA PEDIDO DE ISENÇÃO
EMITIDO PELA FUNATEC
TEODOLO DA SILVA BRITO 855***.***-** 1 INDEFERIDO CANDIDATO (A) NÃO APRESENTOU DOCUMENTAÇÃO EXIGIDA EM PDF
JACKSON NASCIMENTO EVANGELISTA 032***.***-** 1 INDEFERIDO
CANDIDATO (A) NÃO APRESENTOU DOCUMENTO EXPEDIDO PELA ENTIDADE
RESPONSÁVEL POR CADASTRO DE DOADOR DE MEDULA ÓSSEA
EMILAYDE PAIVA DE SOUSA 049***.***-** 1 INDEFERIDO
CANDIDATO (A) NÃO APRESENTOU LAUDO MÉDICO COMPROBATÓRIO DA
ISENÇÃO DE
ACORDO COM A POSSIBILIDADE ESCOLHIDA (CAD. ÚNICO FEDERAL)
FLAVIA CRISTINA LIMA DE TORRES 033***.***-** 1 INDEFERIDO
CANDIDATO (A) NÃO APRESENTOU COMPROVANTE DE PRESTAÇÃO DE SERVIÇOS
À JUSTIÇA ELEITORAL POR, NO MÍNIMO, DUAS ELEIÇÕES E NÃO INFORMOU NO
FORMULÁRIO O CARGO
ANDRÉ SILVA ALMEIDA 080***.***-** 8 INDEFERIDO
CANDIDATO (A) NÃO APRESENTOU DECLARAÇÃO EXPEDIDA PELO GDF QUE
COMPROVE RECEBIMENTO DE BENEFÍCIO DE PROGRAMA SOCIAL DE
COMPLEMENTAÇÃO OU SUPLEMENTAÇÃO DE RENDA DO GDF (PRATO CHEIO, DF
SOCIAL)
ORNILVA AGUIAR SOUSA E SILVA -***.***-** - INDEFERIDO CANDIDATO (A) NÃO APRESENTOU DOCUMENTAÇÃO EXIGIDA
TEODOILTON GONÇALVES DE SOUZA 014***.***-** 1 DEFERIDO
CARLOS EDUARDO DA SILVA BORGES 865***.***-** 6 DEFERIDO
CHAYNE ARAÚJO ROCHA 043***.***-** 1 DEFERIDO
GUSTAVO CARDOSO FERREIRA 042***.***-** 2 DEFERIDO
HUGO DE AMORIM OLIVEIRA 023***.***-** 1 DEFERIDO
SIBELY ARAUJO POZZI FERREIRA 117***.***-** - INDEFERIDO CANDIDATO (A) NÃO APRESENTOU FORMULÁRIO PARA PEDIDO DE ISENÇÃO
SAYELLE SIMIAO SILVA 049***.***-** 1 DEFERIDO
CAMILA DA CONCEICAO SILVA 044***.***-** 1 INDEFERIDO
CANDIDATO (A) NÃO APRESENTOU LAUDO MÉDICO COMPROBATÓRIO DA
ISENÇÃO DE
ACORDO COM A POSSIBILIDADE ESCOLHIDA (CAD. ÚNICO FEDERAL)
CAMILA DA CONCEICAO SILVA 044***.***-** 3 INDEFERIDO
CANDIDATO (A) NÃO APRESENTOU UM E-MAIL DE SOLICITAÇÃO DE ISENÇÃO
COM UM FORMULÁRIO PARA CADA CARGO
THAÍS DE LIMA PEREIRA 057***.***-** 1 DEFERIDO
MATHEUS ALMEIDA BARBOSA 071***.***-** 8 INDEFERIDO
CANDIDATO (A) NÃO APRESENTOU DECLARAÇÃO EXPEDIDA PELO GDF QUE
COMPROVE RECEBIMENTO DE BENEFÍCIO DE PROGRAMA SOCIAL DE
COMPLEMENTAÇÃO OU SUPLEMENTAÇÃO DE RENDA DO GDF (PRATO CHEIO, DF
SOCIAL)
EDNAURA PEREIRA GOMES 715***.***-** 3 INDEFERIDO CANDIDATO (A) NÃO APRESENTOU DOCUMENTAÇÃO EXIGIDA EM PDF
VANESSA SOUSA XAVIER 084***.***-** 2 DEFERIDO
EDNAURA PEREIRA GOMES 715***.***-** 1 INDEFERIDO CANDIDATO (A) NÃO APRESENTOU DOCUMENTAÇÃO EXIGIDA EM PDF
CELIO JOSE SANTOS DIAS 712***.***-** 1 INDEFERIDO
CANDIDATO (A) NÃO APRESENTOU DOCUMENTO DE IDENTIFICAÇÃO E
FORMULÁRIO PARA PEDIDO DE ISENÇÃO
ANTONIO JOSIMAR DE LIMA 583***.***-** 1 DEFERIDO
SIDNEIA ARAUJO DE JESUS 991***.***-** - INDEFERIDO CANDIDATO (A) NÃO APRESENTOU FORMULÁRIO PARA PEDIDO DE ISENÇÃO
ERISVALDO LOPES CAMPOS 881***.***-** - INDEFERIDO CANDIDATO (A) NÃO APRESENTOU FORMULÁRIO PARA PEDIDO DE ISENÇÃO
DAVID DE JESUS CAMPOS 078***.***-** - INDEFERIDO CANDIDATO (A) NÃO APRESENTOU FORMULÁRIO PARA PEDIDO DE ISENÇÃO
JAQUELINE FREITAS DA SILVA 994***.***-** 1 DEFERIDO
MARIO DIAS PORTUGUEZ DE SOUSA FERREIRA 057***.***-** 1 DEFERIDO
JESSICA LUZIA DOS SANTOS MATOS 036***.***-** 1 INDEFERIDO CANDIDATO (A) NÃO APRESENTOU DOCUMENTAÇÃO EXIGIDA EM PDF
FELIPE CAMELO DOS SANTOS 052***.***-** 1 DEFERIDO
GUILHERME NOBRE DA SILVA 073***.***-** 1 DEFERIDO
FELIPE CAMELO DOS SANTOS 052***.***-** 8 DEFERIDO
MARIO DIAS PORTUGUEZ DE SOUSA FERREIRA 057***.***-** 7 DEFERIDO
LUCAS EDUARDO NOGUEIRA SILVA LIMA 049***.***-** 1 DEFERIDO
JORGE LUCAS RODRIGUES DOS SANTOS 050***.***-** 1 INDEFERIDO
CANDIDATO (A) NÃO APRESENTOU LAUDO MÉDICO COMPROBATÓRIO DA
ISENÇÃO DE
ACORDO COM A POSSIBILIDADE ESCOLHIDA (CAD. ÚNICO FEDERAL)
CARLOS EDUARDO MORAIS DE CASTRO 044***.***-** 1 DEFERIDO
RAIANE RODRIGUES MENDES 021***.***-** 1 DEFERIDO
GESSIANE SOUZA LIMA 032***.***-** 7 INDEFERIDO
CANDIDATO (A) NÃO APRESENTOU DOCUMENTO DE IDENTIFICAÇÃO E
DECLARAÇÃO EXPEDIDA PELO GDF QUE COMPROVE RECEBIMENTO DE
BENEFÍCIO DE PROGRAMA SOCIAL DE COMPLEMENTAÇÃO OU SUPLEMENTAÇÃO
DE RENDA DO GDF (PRATO CHEIO E DF SOCIAL)
CARLOS EDUARDO MORAIS DE CASTRO 044***.***-** 6 DEFERIDO
ÂNGELA SANTOS SOUZA DA CRUZ 898***.***-** 7 INDEFERIDO
CANDIDATO (A) NÃO APRESENTOU LAUDO MÉDICO COMPROBATÓRIO DA
ISENÇÃO DE
ACORDO COM A POSSIBILIDADE ESCOLHIDA (CAD. ÚNICO FEDERAL)
JENIFER LUZ SANTANA 068***.***-** - INDEFERIDO CANDIDATO (A) NÃO APRESENTOU DOCUMENTAÇÃO EXIGIDA
ESTHEFANY DA ROCHA SILVA 054***.***-** 1 INDEFERIDO
CANDIDATO (A) NÃO APRESENTOU COMPROVANTES DE PRESTAÇÃO DE
SERVIÇOS À JUSTIÇA ELEITORAL POR, NO MÍNIMO, DUAS ELEIÇÕES
REGINALDO ALVES DE AZEVEDO 697***.***-** 2 DEFERIDO
RENATA LOPES MESQUITA 630***.***-** 7 INDEFERIDO CANDIDATO (A) NÃO APRESENTOU DOCUMENTAÇÃO EXIGIDA EM PDF
ALEXSANDRO DOS SANTOS LOPES 647***.***-** 1 INDEFERIDO
CANDIDATO (A) NÃO APRESENTOU LAUDO MÉDICO COMPROBATÓRIO DA
ISENÇÃO DE
ACORDO COM A POSSIBILIDADE ESCOLHIDA (CAD. ÚNICO FEDERAL)
EUDSON MAGALHAES SOUSA 959***.***-** 1 INDEFERIDO
CANDIDATO (A) NÃO APRESENTOU LAUDO MÉDICO COMPROBATÓRIO DA
ISENÇÃO DE
ACORDO COM A POSSIBILIDADE ESCOLHIDA (CAD. ÚNICO FEDERAL)
EUDSON MAGALHAES SOUSA 959***.***-** 2 INDEFERIDO
CANDIDATO (A) NÃO APRESENTOU UM E-MAIL DE SOLICITAÇÃO DE ISENÇÃO
COM UM FORMULÁRIO PARA CADA CARGO
NÚBIA RAFAELA SILVA SOARES 070***.***-** 7 INDEFERIDO
CANDIDATO (A) NÃO APRESENTOU DECLARAÇÃO EXPEDIDA PELO GDF QUE
COMPROVE RECEBIMENTO DE BENEFÍCIO DE PROGRAMA SOCIAL DE
COMPLEMENTAÇÃO OU SUPLEMENTAÇÃO DE RENDA DO GDF (PRATO CHEIO, DF
SOCIAL)
LUIS ROBERTO DA SILVA ROCHA 011***.***-** 1 INDEFERIDO
CANDIDATO (A) NÃO APRESENTOU DECLARAÇÃO EXPEDIDA PELO GDF QUE
COMPROVE RECEBIMENTO DE BENEFÍCIO DE PROGRAMA SOCIAL DE
COMPLEMENTAÇÃO OU SUPLEMENTAÇÃO DE RENDA DO GDF (PRATO CHEIO, DF
SOCIAL)
LUIS ROBERTO DA SILVA ROCHA 011***.***-** 8 INDEFERIDO
CANDIDATO (A) NÃO APRESENTOU DECLARAÇÃO EXPEDIDA PELO GDF QUE
COMPROVE RECEBIMENTO DE BENEFÍCIO DE PROGRAMA SOCIAL DE
COMPLEMENTAÇÃO OU SUPLEMENTAÇÃO DE RENDA DO GDF (PRATO CHEIO, DF
SOCIAL)
FRANCISCO IZAIAS DOS SANTOS JÚNIOR 004***.***-** 3 DEFERIDO
FRANCISCO IZAIAS DOS SANTOS JÚNIOR 004***.***-** 1 DEFERIDO
DEBORAH SANTOS TRINDADE 034***.***-** 1 INDEFERIDO CANDIDATO (A) NÃO APRESENTOU DOCUMENTAÇÃO EXIGIDA
ROBEIRA TOMAS BARROS 722***.***-** 1 DEFERIDO
SARA LIMA DE MESQUITA 029***.***-** 1 INDEFERIDO
CANDIDATO (A) NÃO APRESENTOU DOCUMENTO DE IDENTIFICAÇÃO E
DECLARAÇÃO EXPEDIDA PELO GDF QUE COMPROVE RECEBIMENTO DE
BENEFÍCIO DE PROGRAMA SOCIAL DE COMPLEMENTAÇÃO OU SUPLEMENTAÇÃO
DE RENDA DO GDF (PRATO CHEIO E DF SOCIAL)
LUCIANA VARELLA RODRIGUES 721***.***-** 6 INDEFERIDO
CANDIDATO (A) NÃO APRESENTOU DOCUMENTO DE IDENTIFICAÇÃO E
DECLARAÇÃO EXPEDIDA PELO GDF QUE COMPROVE RECEBIMENTO DE
BENEFÍCIO DE PROGRAMA SOCIAL DE COMPLEMENTAÇÃO OU SUPLEMENTAÇÃO
DE RENDA DO GDF (PRATO CHEIO E DF SOCIAL)
LUCIANA VARELLA RODRIGUES 721***.***-** 1 INDEFERIDO
CANDIDATO (A) NÃO APRESENTOU DOCUMENTO DE IDENTIFICAÇÃO E
DECLARAÇÃO EXPEDIDA PELO GDF QUE COMPROVE RECEBIMENTO DE
BENEFÍCIO DE PROGRAMA SOCIAL DE COMPLEMENTAÇÃO OU SUPLEMENTAÇÃO
DE RENDA DO GDF (PRATO CHEIO E DF SOCIAL)
ANDERSON REZENDE PEREIRA 730***.***-** 1 DEFERIDO
ANDERSON REZENDE PEREIRA 730***.***-** 8 DEFERIDO
IVANA LOPES DA SILVA 023***.***-** 1 DEFERIDO
JOILMA LEITE CAMPOS DE ABRANTES 698***.***-** 7 INDEFERIDO
CANDIDATO (A) NÃO APRESENTOU DECLARAÇÃO EXPEDIDA PELO GDF QUE
COMPROVE RECEBIMENTO DE BENEFÍCIO DE PROGRAMA SOCIAL DE
COMPLEMENTAÇÃO OU SUPLEMENTAÇÃO DE RENDA DO GDF (PRATO CHEIO, DF
SOCIAL)
RENATA PAIVA DA SILVA 855***.***-** 1 DEFERIDO
IVANILDO DO NASCIMENTO LIMA 763***.***-** 1 DEFERIDO
KATIÉLLE TEMÓTEO LIMA 036***.***-** 6 DEFERIDO
LUCAS IRINEU DA SILVA 735***.***-** 1 INDEFERIDO CANDIDATO (A) NÃO APRESENTOU DOCUMENTAÇÃO EXIGIDA
RAYLLENE DE SOUZA PAIXÃO 022***.***-** 8 DEFERIDO
RAYLLENE DE SOUZA PAIXÃO 022***.***-** 1 DEFERIDO
DANDHARA GABRIELA JESUINO DOS SANTOS 073***.***-** 7 DEFERIDO
KATHLEEN FARIAS RIBEIRO VIANA 047***.***-** 1 INDEFERIDO
CANDIDATO (A) NÃO APRESENTOU DECLARAÇÃO EXPEDIDA PELO GDF QUE
COMPROVE RECEBIMENTO DE BENEFÍCIO DE PROGRAMA SOCIAL DE
COMPLEMENTAÇÃO OU SUPLEMENTAÇÃO DE RENDA DO GDF (PRATO CHEIO, DF
SOCIAL)
KATHLEEN FARIAS RIBEIRO VIANA 047***.***-** - INDEFERIDO
CANDIDATO (A) NÃO APRESENTOU DECLARAÇÃO EXPEDIDA PELO GDF QUE
COMPROVE RECEBIMENTO DE BENEFÍCIO DE PROGRAMA SOCIAL DE
COMPLEMENTAÇÃO OU SUPLEMENTAÇÃO DE RENDA DO GDF (PRATO CHEIO, DF
SOCIAL) E NÃO INFORMOU O CARGO
JULIANE SANTANA AMORIM 003***.***-** 1 DEFERIDO
ILZANILDE COSTA DOS SANTOS 610***.***-** 6 DEFERIDO
LOUELLA TRINDADE SILVA 042***.***-** 1 DEFERIDO
JACIENE PEREIRA BARBOSA 023***.***-** 1 INDEFERIDO CANDIDATO (A) NÃO APRESENTOU DOCUMENTAÇÃO EXIGIDA EM PDF
CARMITA MORAIS DE OLIVEIRA 014***.***-** 3 DEFERIDO
ADRYENE LAIS GOMES PAIGNEZ 006***.***-** 1 DEFERIDO
JULIANE SANTANA AMORIM 003***.***-** 8 DEFERIDO
THIAGO PEREIRA RIBEIRO DE SOUZA 021***.***-** - INDEFERIDO
CANDIDATO (A) NÃO APRESENTOU FORMULÁRIO PARA PEDIDO DE ISENÇÃO E
DOCUMENTO DE IDENTIFICAÇÃO
DALGIMAR MOREIRA DAVID 553***.***-** 6 DEFERIDO
LOYANE CRISTEN SOARES DE JESUS 019***.***-** 3 INDEFERIDO
CANDIDATO (A) NÃO APRESENTOU DECLARAÇÃO EXPEDIDA PELO GDF QUE
COMPROVE RECEBIMENTO DE BENEFÍCIO DE PROGRAMA SOCIAL DE
COMPLEMENTAÇÃO OU SUPLEMENTAÇÃO DE RENDA DO GDF (PRATO CHEIO, DF
SOCIAL)
ORLANDO NOLÊTO COSTA FILHO 047***.***-** 1 DEFERIDO
EMILY MARINA ALVES MOREIRA 047***.***-** 1 INDEFERIDO CANDIDATO (A) NÃO APRESENTOU DOCUMENTO DE IDENTIFICAÇÃO
LUCAS FERNANDO DOS SANTOS SILVA 035***.***-** 1 DEFERIDO
MAYARA HANYLE BENTO GOMES DA SILVA 035***.***-** 1 INDEFERIDO CANDIDATO (A) NÃO APRESENTOU DOCUMENTO DE IDENTIFICAÇÃO
MAYARA HANYLE BENTO GOMES DA SILVA 035***.***-** 8 INDEFERIDO CANDIDATO (A) NÃO APRESENTOU DOCUMENTO DE IDENTIFICAÇÃO
YURI PALACIO MELLO 059***.***-** 1 DEFERIDO
NATIELY OLIVEIRA FELIX 069***.***-** 8 INDEFERIDO
CANDIDATO (A) NÃO APRESENTOU DECLARAÇÃO EXPEDIDA PELO GDF QUE
COMPROVE RECEBIMENTO DE BENEFÍCIO DE PROGRAMA SOCIAL DE
COMPLEMENTAÇÃO OU SUPLEMENTAÇÃO DE RENDA DO GDF (PRATO CHEIO, DF
SOCIAL)
LUANA RABELO BASTOS 030***.***-** 1 INDEFERIDO
CANDIDATO (A) NÃO APRESENTOU DECLARAÇÃO EXPEDIDA PELO GDF QUE
COMPROVE RECEBIMENTO DE BENEFÍCIO DE PROGRAMA SOCIAL DE
COMPLEMENTAÇÃO OU SUPLEMENTAÇÃO DE RENDA DO GDF (PRATO CHEIO, DF
SOCIAL)
LUIZA OHANA HARADA 040***.***-** 1 DEFERIDO
FRANCINALDO MENDE DE SOUZA 844***.***-** 8 INDEFERIDO
CANDIDATO (A) NÃO APRESENTOU COMPROVANTES DE PRESTAÇÃO DE
SERVIÇOS À JUSTIÇA ELEITORAL POR, NO MÍNIMO, DUAS ELEIÇÕES
LILIANE JERONIMO DE MOURA -***.***-** - INDEFERIDO CANDIDATO (A) NÃO APRESENTOU DOCUMENTAÇÃO EXIGIDA
GIZELE MARIA ORNELAS 906***.***-** 2 INDEFERIDO
CANDIDATO (A) NÃO APRESENTOU DECLARAÇÃO EXPEDIDA PELO GDF QUE
COMPROVE RECEBIMENTO DE BENEFÍCIO DE PROGRAMA SOCIAL DE
COMPLEMENTAÇÃO OU SUPLEMENTAÇÃO DE RENDA DO GDF (PRATO CHEIO, DF
SOCIAL)
MARINA DE FÁTIMA ROCHA GUIMARÃES 044***.***-** 8 INDEFERIDO
CANDIDATO (A) NÃO APRESENTOU DECLARAÇÃO EXPEDIDA PELO GDF QUE
COMPROVE RECEBIMENTO DE BENEFÍCIO DE PROGRAMA SOCIAL DE
COMPLEMENTAÇÃO OU SUPLEMENTAÇÃO DE RENDA DO GDF (PRATO CHEIO, DF
SOCIAL)
MARINA DE FÁTIMA ROCHA GUIMARÃES 044***.***-** 1 INDEFERIDO
CANDIDATO (A) NÃO APRESENTOU DECLARAÇÃO EXPEDIDA PELO GDF QUE
COMPROVE RECEBIMENTO DE BENEFÍCIO DE PROGRAMA SOCIAL DE
COMPLEMENTAÇÃO OU SUPLEMENTAÇÃO DE RENDA DO GDF (PRATO CHEIO, DF
SOCIAL)
FABRICIO SALVADOR DE MELO 929***.***-** 1 DEFERIDO
VERONICA BRITO DE OLIVEIRA 851***.***-** 2 INDEFERIDO
CANDIDATO (A) NÃO APRESENTOU COMPROVANTE DE CADASTRAMENTO NO
CADASTRO ÚNICO
ELVIS BRUNO PEREIRA AGUIAR 021***.***-** 5 INDEFERIDO
CANDIDATO (A) NÃO APRESENTOU DECLARAÇÃO EXPEDIDA PELO GDF QUE
COMPROVE RECEBIMENTO DE BENEFÍCIO DE PROGRAMA SOCIAL DE
COMPLEMENTAÇÃO OU SUPLEMENTAÇÃO DE RENDA DO GDF (PRATO CHEIO, DF
SOCIAL)
WEBERTON FELIX GUERRA 053***.***-** 1 INDEFERIDO
CANDIDATO (A) NÃO APRESENTOU DECLARAÇÃO EXPEDIDA PELO GDF QUE
COMPROVE RECEBIMENTO DE BENEFÍCIO DE PROGRAMA SOCIAL DE
COMPLEMENTAÇÃO OU SUPLEMENTAÇÃO DE RENDA DO GDF (PRATO CHEIO, DF
SOCIAL)
WEBERTON FELIX GUERRA 053***.***-** 8 INDEFERIDO
CANDIDATO (A) NÃO APRESENTOU DECLARAÇÃO EXPEDIDA PELO GDF QUE
COMPROVE RECEBIMENTO DE BENEFÍCIO DE PROGRAMA SOCIAL DE
COMPLEMENTAÇÃO OU SUPLEMENTAÇÃO DE RENDA DO GDF (PRATO CHEIO, DF
SOCIAL)
RITA SILVANIA SOARES SPÍNDOLA 515***.***-** - INDEFERIDO
CANDIDATO (A) NÃO APRESENTOU DECLARAÇÃO EXPEDIDA PELO GDF QUE
COMPROVE RECEBIMENTO DE BENEFÍCIO DE PROGRAMA SOCIAL DE
COMPLEMENTAÇÃO OU SUPLEMENTAÇÃO DE RENDA DO GDF (PRATO CHEIO, DF
SOCIAL) E NÃO INFORMOU O CARGO
LUIZ ALBERTO VIERIA SANTOS FILHO 124***.***-** 8 DEFERIDO
LUIZ ALBERTO VIERIA SANTOS FILHO 124***.***-** 1 DEFERIDO
GABRIELA OLINDA CARDOSO 064***.***-** 1 DEFERIDO
CLAUDIANA LUCENA DA SILVA -***.***-** - INDEFERIDO CANDIDATO (A) NÃO APRESENTOU DOCUMENTAÇÃO EXIGIDA
KENNYA DEYSE BENTO DE SOUZA 035***.***-** 1 DEFERIDO
LAIS DOS SANTOS SILVA 024***.***-** 1 INDEFERIDO
CANDIDATO (A) NÃO APRESENTOU DECLARAÇÃO EXPEDIDA PELO GDF QUE
COMPROVE RECEBIMENTO DE BENEFÍCIO DE PROGRAMA SOCIAL DE
COMPLEMENTAÇÃO OU SUPLEMENTAÇÃO DE RENDA DO GDF (PRATO CHEIO, DF
SOCIAL)
LAIS DOS SANTOS SILVA 024***.***-** 3 INDEFERIDO
CANDIDATO (A) NÃO APRESENTOU DECLARAÇÃO EXPEDIDA PELO GDF QUE
COMPROVE RECEBIMENTO DE BENEFÍCIO DE PROGRAMA SOCIAL DE
COMPLEMENTAÇÃO OU SUPLEMENTAÇÃO DE RENDA DO GDF (PRATO CHEIO, DF
SOCIAL)
JAKSON DE SOUZA VIEIRA 816***.***-** - INDEFERIDO
CANDIDATO (A) NÃO APRESENTOU COMPROVANTE DE CADASTRAMENTO
NO CADASTRO ÚNICO E FORMULÁRIO PARA PEDIDO DE ISENÇÃO
MARILDA GOMES FARIAS 393***.***-** - INDEFERIDO
CANDIDATO (A) NÃO APRESENTOU DOCUMENTO DE IDENTIFICAÇÃO,
COMPROVANTE DE CADASTRAMENTO
NO CADASTRO ÚNICO E FORMULÁRIO PARA PEDIDO DE ISENÇÃO
MAYANE ALVES -***.***-** - INDEFERIDO
CANDIDATO (A) NÃO APRESENTOU DOCUMENTO DE IDENTIFICAÇÃO,
FORMULÁRIO PARA PEDIDO DE ISENÇÃO E LAUDO MÉDICO COMPROBATÓRIO
DA ISENÇÃO DE ACORDO COM A POSSIBILIDADE ESCOLHIDA (CAD. ÚNICO
FEDERAL)
JULIMARA FRANCISCA REINALDO DA SILVA 713***.***-** 1 DEFERIDO
JULIMARA FRANCISCA REINALDO DA SILVA 713***.***-** 8 DEFERIDO
WILSON DUTRA SILVA 704***.***-** 1 DEFERIDO
CLEBER ALVES DA SILVA 859***.***-** 3 DEFERIDO
MONICA ANASTACIO NERES 896***.***-** 1 DEFERIDO
VALMIR FRANCISCO MENDES 697***.***-** 1 DEFERIDO
MARINA BARBOSA MEDEIROS OLIVEIRA 064***.***-** 1 INDEFERIDO
CANDIDATO (A) NÃO APRESENTOU LAUDO MÉDICO COMPROBATÓRIO DA
ISENÇÃO DE
ACORDO COM A POSSIBILIDADE ESCOLHIDA (CAD. ÚNICO FEDERAL)
ANA PAULA REIS -***.***-** - INDEFERIDO CANDIDATO (A) NÃO APRESENTOU DOCUMENTAÇÃO EXIGIDA
ANNA PAULA DE JESUS NUNES 029***.***-** 2 DEFERIDO
ANNA PAULA DE JESUS NUNES 029***.***-** 1 DEFERIDO
THAYNARA OLIVEIRA DOS ANJOS DIOS 054***.***-** 1 INDEFERIDO
MARIANA DOS SANTOS NUNES 055***.***-** 3 INDEFERIDO
CANDIDATO (A) NÃO APRESENTOU DECLARAÇÃO EXPEDIDA PELO GDF QUE
COMPROVE RECEBIMENTO DE BENEFÍCIO DE PROGRAMA SOCIAL DE
COMPLEMENTAÇÃO OU SUPLEMENTAÇÃO DE RENDA DO GDF (PRATO CHEIO, DF
SOCIAL)
NOELIA TEIXEIRA DE ALMEIDA 042***.***-** 1 INDEFERIDO
CANDIDATO (A) NÃO APRESENTOU COMPROVANTES DE PRESTAÇÃO DE
SERVIÇOS À JUSTIÇA ELEITORAL POR, NO MÍNIMO, DUAS ELEIÇÕES
LUANA DE MOURA GOMES 067***.***-** 5 DEFERIDO
JAÍZA SANTIAGO DE CARVALHO 722***.***-** 6 INDEFERIDO
CANDIDATO (A) NÃO APRESENTOU DECLARAÇÃO EXPEDIDA PELO GDF QUE
COMPROVE RECEBIMENTO DE BENEFÍCIO DE PROGRAMA SOCIAL DE
COMPLEMENTAÇÃO OU SUPLEMENTAÇÃO DE RENDA DO GDF (PRATO CHEIO, DF
SOCIAL) E DOCUMENTO DE IDENTIFICAÇÃO
KARINA DE AMORIM DA CONCEICAO -***.***-** 1 INDEFERIDO
CANDIDATO (A) NÃO APRESENTOU DOCUMENTO DE IDENTIFICAÇÃO E LAUDO
MÉDICO COMPROBATÓRIO DA
ISENÇÃO DE ACORDO COM A POSSIBILIDADE ESCOLHIDA (CAD. ÚNICO FEDERAL)
TAMIRIS BEMFICA DA COSTA LIMA 020***.***-** 2 DEFERIDO
TAMIRIS BEMFICA DA COSTA LIMA 020***.***-** 1 DEFERIDO
FERNANDO DE OLIVEIRA REIS MARIANO 027***.***-** 1 INDEFERIDO CANDIDATO (A) NÃO APRESENTOU DOCUMENTAÇÃO EXIGIDA EM PDF
MARIA DIVINA LOPES GLÓRIA 805***.***-** 1 DEFERIDO
RAQUEL VIEIRA DE OLIVEIRA LEAL 008***.***-** 1 DEFERIDO
MARTA ANASTACIO NERES 986***.***-** 2 DEFERIDO
CLAUDIA DA SILVA SANTOS 723***.***-** 1 INDEFERIDO
CANDIDATO (A) NÃO APRESENTOU DOCUMENTO DE IDENTIFICAÇÃO E LAUDO
MÉDICO COMPROBATÓRIO DA
ISENÇÃO DE ACORDO COM A POSSIBILIDADE ESCOLHIDA (CAD. ÚNICO FEDERAL)
CLAUDIA DA SILVA SANTOS 723***.***-** 3 INDEFERIDO
CANDIDATO (A) NÃO APRESENTOU DOCUMENTO DE IDENTIFICAÇÃO E LAUDO
MÉDICO COMPROBATÓRIO DA
ISENÇÃO DE ACORDO COM A POSSIBILIDADE ESCOLHIDA (CAD. ÚNICO FEDERAL)
ADELAIDE FIGUEREDO DE SOUZA 610***.***-** 1 DEFERIDO
REMERSON DA SILVA SANTOS 065***.***-** 1 INDEFERIDO
CANDIDATO (A) NÃO APRESENTOU LAUDO MÉDICO COMPROBATÓRIO DA
ISENÇÃO DE
ACORDO COM A POSSIBILIDADE ESCOLHIDA (CAD. ÚNICO FEDERAL)
RENATHA EMANUELLE DE FREITAS SOUSA 013***.***-** 1 DEFERIDO
MÔNICA ANASTÁCIO NERES 896***.***-** 6 DEFERIDO
SAMARA DOS SANTOS BEZERRA 044***.***-** - INDEFERIDO
CANDIDATO (A) NÃO APRESENTOU FORMULÁRIO PARA PEDIDO DE ISENÇÃO
OFERECIDO PELA FUNATEC
PEDRO HENRIQUE RODRIGUES DE ASSIS 029***.***-** 1 INDEFERIDO CANDIDATO (A) NÃO APRESENTOU DOCUMENTAÇÃO EXIGIDA EM PDF
CLEA MARTINS LARA 912***.***-** 1 INDEFERIDO
CANDIDATO (A) NÃO APRESENTOU DECLARAÇÃO EXPEDIDA PELO GDF QUE
COMPROVE RECEBIMENTO DE BENEFÍCIO DE PROGRAMA SOCIAL DE
COMPLEMENTAÇÃO OU SUPLEMENTAÇÃO DE RENDA DO GDF (PRATO CHEIO, DF
SOCIAL)
JULIANA CLEMENTE DE SOUZA 076***.***-** - INDEFERIDO
CANDIDATO (A) NÃO APRESENTOU DOCUMENTO DE IDENTIFICAÇÃO E
FORMULÁRIO PARA PEDIDO DE ISENÇÃO
WILSON RAMOS 358***.***-** 1 DEFERIDO
ROSALINA BRITO DOS SANTOS DA SILVA 965***.***-** 1 DEFERIDO
CARLA ABADIA DA SILVA MELO 059***.***-** 1 DEFERIDO
SANDRA FRANCISCA DA CRUZ 669***.***-** 1 DEFERIDO
SANDRA FRANCISCA DA CRUZ 669***.***-** 5 INDEFERIDO
CANDIDATO (A) NÃO APRESENTOU UM E-MAIL DE SOLICITAÇÃO DE ISENÇÃO
COM UM FORMULÁRIO PARA CADA CARGO
WENDELL DA CRUZ COSTA 636***.***-** 1 INDEFERIDO
CANDIDATO (A) NÃO APRESENTOU DOCUMENTO DE IDENTIFICAÇÃO E LAUDO
MÉDICO COMPROBATÓRIO DA
ISENÇÃO DE ACORDO COM A POSSIBILIDADE ESCOLHIDA (CAD. ÚNICO FEDERAL)
ISEQUIEL PIRES MEDEIROS 040***.***-** 6 DEFERIDO
EUNICE OLIVEIRA NAZARENO 584***.***-** 1 INDEFERIDO
CANDIDATO (A) NÃO APRESENTOU DECLARAÇÃO EXPEDIDA PELO GDF QUE
COMPROVE RECEBIMENTO DE BENEFÍCIO DE PROGRAMA SOCIAL DE
COMPLEMENTAÇÃO OU SUPLEMENTAÇÃO DE RENDA DO GDF (PRATO CHEIO, DF
SOCIAL)
EUNICE OLIVEIRA NAZARENO 584***.***-** 5 INDEFERIDO
CANDIDATO (A) NÃO APRESENTOU DECLARAÇÃO EXPEDIDA PELO GDF QUE
COMPROVE RECEBIMENTO DE BENEFÍCIO DE PROGRAMA SOCIAL DE
COMPLEMENTAÇÃO OU SUPLEMENTAÇÃO DE RENDA DO GDF (PRATO CHEIO, DF
SOCIAL)
HELIO RICARDO LIMA DE SOUSA 636***.***-** 1 DEFERIDO
BRUNA LIMA VIANA 044***.***-** 1 DEFERIDO
BRUNA LIMA VIANA 044***.***-** 8 INDEFERIDO
CANDIDATO (A) NÃO APRESENTOU UM E-MAIL DE SOLICITAÇÃO DE ISENÇÃO
COM UM FORMULÁRIO PARA CADA CARGO
GLACIMARA TURIAL DE ALMEIDA INACIO 903***.***-** 1 DEFERIDO
FLÁVIA MYCHELLE MACHADO REGO 087***.***-** - INDEFERIDO CANDIDATO (A) NÃO APRESENTOU DOCUMENTAÇÃO EXIGIDA EM PDF
ALCIDES ALEXANDRE JÚNIO SANTANA DE SOUSA 006***.***-** 8 DEFERIDO
LUCAS DUARTE -***.***-** - INDEFERIDO CANDIDATO (A) NÃO APRESENTOU NENHUMA DOCUMENTAÇÃO
ISEQUIEL PIRES MEDEIROS 040***.***-** 1 DEFERIDO
ISABELLA FERREIRA DOS SANTOS 047***.***-** 1 INDEFERIDO
CANDIDATO (A) NÃO APRESENTOU DECLARAÇÃO EXPEDIDA PELO GDF QUE
COMPROVE RECEBIMENTO DE BENEFÍCIO DE PROGRAMA SOCIAL DE
COMPLEMENTAÇÃO OU SUPLEMENTAÇÃO DE RENDA DO GDF (PRATO CHEIO, DF
SOCIAL)
REGINA LOPES CATULIO 858***.***-** - INDEFERIDO
CANDIDATO (A) NÃO INFORMOU NO FORMULÁRIO O CARGO O QUAL DESEJA A
ISENÇÃO
SAYURI MOREIRA AOYAMA 051***.***-** 2 DEFERIDO
DANIELLE SOARES DAMASCENO 076***.***-** 8 INDEFERIDO
EMANNOELLE ALMEIDA LIMA 002***.***-** 1 INDEFERIDO
CANDIDATO (A) NÃO APRESENTOU DECLARAÇÃO EXPEDIDA PELO GDF QUE
COMPROVE RECEBIMENTO DE BENEFÍCIO DE PROGRAMA SOCIAL DE
COMPLEMENTAÇÃO OU SUPLEMENTAÇÃO DE RENDA DO GDF (PRATO CHEIO, DF
SOCIAL)
ANTONIA RIBEIRO DOS SANTOS 029***.***-** 1 DEFERIDO
JANAINA LEAL SALDANHA 798***.***-** 1 INDEFERIDO
CANDIDATO (A) NÃO APRESENTOU DOCUMENTO DE IDENTIFICAÇÃO E LAUDO
MÉDICO COMPROBATÓRIO DA
ISENÇÃO DE ACORDO COM A POSSIBILIDADE ESCOLHIDA (CAD. ÚNICO FEDERAL)
ANA CLARA DE LIMA PARREIRA MENDES 070***.***-** 1 INDEFERIDO
CANDIDATO (A) NÃO APRESENTOU DECLARAÇÃO EXPEDIDA PELO GDF QUE
COMPROVE RECEBIMENTO DE BENEFÍCIO DE PROGRAMA SOCIAL DE
COMPLEMENTAÇÃO OU SUPLEMENTAÇÃO DE RENDA DO GDF (PRATO CHEIO, DF
SOCIAL)
FLAVIO PEREIRA CUNHA 009***.***-** 1 DEFERIDO
VALERIA FREITAS DA CRUZ 019***.***-** 1 INDEFERIDO
CANDIDATO (A) NÃO APRESENTOU DOCUMENTO DE IDENTIFICAÇÃO,
DECLARAÇÃO EXPEDIDA PELO GDF QUE COMPROVE RECEBIMENTO DE
BENEFÍCIO DE PROGRAMA SOCIAL DE COMPLEMENTAÇÃO OU SUPLEMENTAÇÃO
DE RENDA DO GDF (PRATO CHEIO, DF SOCIAL) E FORMULÁRIO EM PDF
RAQUEL SARAIVA DOS SANTOS 779***.***-** 6 DEFERIDO
LIDIANE GONÇALVES DA COSTA 691***.***-** 1 DEFERIDO
LIDIANE GONÇALVES DA COSTA 691***.***-** 8 DEFERIDO
ANDRIÊ LUIZ FELIPE 097***.***-** 1 INDEFERIDO
CANDIDATO (A) NÃO APRESENTOU DECLARAÇÃO EXPEDIDA PELO GDF QUE
COMPROVE RECEBIMENTO DE BENEFÍCIO DE PROGRAMA SOCIAL DE
COMPLEMENTAÇÃO OU SUPLEMENTAÇÃO DE RENDA DO GDF (PRATO CHEIO, DF
SOCIAL)
FABIANA MARCELINA ROSA 889***.***-** 1 DEFERIDO
RODRIGO FERNANDES DA SILVA 016***.***-** 1 DEFERIDO
HANDSON MARQUES DA SILVA 024***.***-** 1 DEFERIDO
HANDSON MARQUES DA SILVA 024***.***-** 2 DEFERIDO
LILIANE LEITÃO CÂNDIDO 012***.***-** 1 INDEFERIDO CANDIDATO (A) NÃO APRESENTOU DOCUMENTAÇÃO EXIGIDA EM PDF
CARLOS RONNES DE OLIVEIRA FEITOSA 023***.***-** 1 INDEFERIDO
CANDIDATO (A) NÃO APRESENTOU DOCUMENTO DE IDENTIFICAÇÃO E
COMPROVANTES DE PRESTAÇÃO DE
SERVIÇOS À JUSTIÇA ELEITORAL POR, NO MÍNIMO, DUAS ELEIÇÕES
IZABELE FERREIRA SALES SOARES 077***.***-** 1 INDEFERIDO CANDIDATO (A) NÃO APRESENTOU DOCUMENTAÇÃO EXIGIDA
FLAVIA MENDES ROCHA 991***.***-** 1 DEFERIDO
FLAVIA MENDES ROCHA 991***.***-** 3 DEFERIDO
LAIS DE MAURO SILVA 023***.***-** 1 DEFERIDO
ANGELA MARIA LEITE DE QUEIROZ 042***.***-** 1 DEFERIDO
ILMA MARIA BISPO DOS SANTOS 009***.***-** 3 INDEFERIDO CANDIDATO (A) NÃO APRESENTOU DOCUMENTAÇÃO EXIGIDA EM PDF
HELLEN VIVIANE LIMA PENHA 046***.***-** 1 INDEFERIDO
CANDIDATO (A) NÃO APRESENTOU DECLARAÇÃO EXPEDIDA PELO GDF QUE
COMPROVE RECEBIMENTO DE BENEFÍCIO DE PROGRAMA SOCIAL DE
COMPLEMENTAÇÃO OU SUPLEMENTAÇÃO DE RENDA DO GDF (PRATO CHEIO, DF
SOCIAL)
ELIANE EVANGELISTA DA SILVA 723***.***-** 1 DEFERIDO
ELIZABETH CARVALHO SILVA 006***.***-** - INDEFERIDO
CANDIDATO (A) NÃO INFORMOU NO FORMULÁRIO O CARGO O QUAL DESEJA A
ISENÇÃO E NÃO APRESENTOU DECLARAÇÃO EXPEDIDA PELO GDF QUE
COMPROVE RECEBIMENTO DE BENEFÍCIO DE PROGRAMA SOCIAL DE
COMPLEMENTAÇÃO OU SUPLEMENTAÇÃO DE RENDA DO GDF (PRATO CHEIO, DF
SOCIAL)
INGRID LUCAS FERREIRA SOUZA 060***.***-** - INDEFERIDO
CANDIDATO (A) NÃO INFORMOU NO FORMULÁRIO O CARGO O QUAL DESEJA A
ISENÇÃO E NÃO APRESENTOU DECLARAÇÃO EXPEDIDA PELO GDF QUE
COMPROVE RECEBIMENTO DE BENEFÍCIO DE PROGRAMA SOCIAL DE
COMPLEMENTAÇÃO OU SUPLEMENTAÇÃO DE RENDA DO GDF (PRATO CHEIO, DF
SOCIAL)
MARCELA ALVES SANTOS 059***.***-** 1 DEFERIDO
MARCELA ALVES SANTOS 059***.***-** 8 DEFERIDO
LOURDES SOUSA DE ALMEIDA 073***.***-** 1 INDEFERIDO
CANDIDATO (A) NÃO APRESENTOU DECLARAÇÃO EXPEDIDA PELO GDF QUE
COMPROVE RECEBIMENTO DE BENEFÍCIO DE PROGRAMA SOCIAL DE
COMPLEMENTAÇÃO OU SUPLEMENTAÇÃO DE RENDA DO GDF (PRATO CHEIO, DF
SOCIAL)
LOURDES SOUSA DE ALMEIDA 073***.***-** 6 INDEFERIDO
CANDIDATO (A) NÃO APRESENTOU DECLARAÇÃO EXPEDIDA PELO GDF QUE
COMPROVE RECEBIMENTO DE BENEFÍCIO DE PROGRAMA SOCIAL DE
COMPLEMENTAÇÃO OU SUPLEMENTAÇÃO DE RENDA DO GDF (PRATO CHEIO, DF
SOCIAL)
SHIRLEY DE SOUSA MUNIZ 043***.***-** 1 INDEFERIDO
CANDIDATO (A) NÃO APRESENTOU DECLARAÇÃO EXPEDIDA PELO GDF QUE
COMPROVE RECEBIMENTO DE BENEFÍCIO DE PROGRAMA SOCIAL DE
COMPLEMENTAÇÃO OU SUPLEMENTAÇÃO DE RENDA DO GDF (PRATO CHEIO, DF
SOCIAL)
LÍVILLA FERNANDES DE MIRANDA ANDRADE 060***.***-** 1 DEFERIDO
LÍVILLA FERNANDES DE MIRANDA ANDRADE 060***.***-** 3 DEFERIDO
JOSE VICENTE DUQUE DOS SANTOS 658***.***-** 1 INDEFERIDO
CANDIDATO (A) NÃO APRESENTOU DECLARAÇÃO EXPEDIDA PELO GDF QUE
COMPROVE RECEBIMENTO DE BENEFÍCIO DE PROGRAMA SOCIAL DE
COMPLEMENTAÇÃO OU SUPLEMENTAÇÃO DE RENDA DO GDF (PRATO CHEIO, DF
SOCIAL)
VIVIANE PEREIRA ALVES DE OLIVEIRA 023***.***-** 1 INDEFERIDO
CANDIDATO (A) NÃO APRESENTOU DOCUMENTO DE IDENTIFICAÇÃO E
COMPROVANTES DE PRESTAÇÃO DE
SERVIÇOS À JUSTIÇA ELEITORAL POR, NO MÍNIMO, DUAS ELEIÇÕES
NEIA MARIA DOS SANTOS 720***.***-** 1 INDEFERIDO
CANDIDATO (A) NÃO APRESENTOU DOCUMENTO DE IDENTIFICAÇÃO E LAUDO
MÉDICO COMPROBATÓRIO DA
ISENÇÃO DE ACORDO COM A POSSIBILIDADE ESCOLHIDA (CAD. ÚNICO FEDERAL)
FIAMMA NURCE BURJACK DE SOUSA 036***.***-** 1 DEFERIDO
FRANCILENE DA SILVA MELO 039***.***-** 7 INDEFERIDO
CANDIDATO (A) NÃO APRESENTOU DECLARAÇÃO EXPEDIDA PELO GDF QUE
COMPROVE RECEBIMENTO DE BENEFÍCIO DE PROGRAMA SOCIAL DE
COMPLEMENTAÇÃO OU SUPLEMENTAÇÃO DE RENDA DO GDF (PRATO CHEIO, DF
SOCIAL)
VANESSA GOMES DOS SANTOS 076***.***-** 6 INDEFERIDO
CANDIDATO (A) NÃO APRESENTOU DECLARAÇÃO EXPEDIDA PELO GDF QUE
COMPROVE RECEBIMENTO DE BENEFÍCIO DE PROGRAMA SOCIAL DE
COMPLEMENTAÇÃO OU SUPLEMENTAÇÃO DE RENDA DO GDF (PRATO CHEIO, DF
SOCIAL)
FERNANDA BORJA LOUSADA SOARES 030***.***-** 4 DEFERIDO
ALYNE LORRAINE DOS SANTOS NASCIMENTO 049***.***-** 3 INDEFERIDO
CANDIDATO (A) NÃO APRESENTOU DECLARAÇÃO EXPEDIDA PELO GDF QUE
COMPROVE RECEBIMENTO DE BENEFÍCIO DE PROGRAMA SOCIAL DE
COMPLEMENTAÇÃO OU SUPLEMENTAÇÃO DE RENDA DO GDF (PRATO CHEIO, DF
SOCIAL)
ALEX ROSA CAMPANI 726***.***-** 1 DEFERIDO
MARLUCI RODRIGUES EVANGELISTA 824***.***-** 1 INDEFERIDO
CANDIDATO (A) NÃO APRESENTOU DOCUMENTO DE IDENTIFICAÇÃO,
DECLARAÇÃO EXPEDIDA PELO GDF QUE COMPROVE RECEBIMENTO DE
BENEFÍCIO DE PROGRAMA SOCIAL DE COMPLEMENTAÇÃO OU SUPLEMENTAÇÃO
DE RENDA DO GDF (PRATO CHEIO, DF SOCIAL) E FORMULÁRIO EM PDF
MARLUCI RODRIGUES EVANGELISTA 824***.***-** 8 INDEFERIDO
CANDIDATO (A) NÃO APRESENTOU DOCUMENTO DE IDENTIFICAÇÃO,
DECLARAÇÃO EXPEDIDA PELO GDF QUE COMPROVE RECEBIMENTO DE
BENEFÍCIO DE PROGRAMA SOCIAL DE COMPLEMENTAÇÃO OU SUPLEMENTAÇÃO
DE RENDA DO GDF (PRATO CHEIO, DF SOCIAL) E FORMULÁRIO EM PDF
GESSICA VIEIRA DA SILVA 009***.***-** 1 INDEFERIDO
CANDIDATO (A) NÃO APRESENTOU DECLARAÇÃO EXPEDIDA PELO GDF QUE
COMPROVE RECEBIMENTO DE BENEFÍCIO DE PROGRAMA SOCIAL DE
COMPLEMENTAÇÃO OU SUPLEMENTAÇÃO DE RENDA DO GDF (PRATO CHEIO, DF
SOCIAL)
ROBERTA NASARENA DE SOUSA LIMA 919***.***-** 3 INDEFERIDO
CANDIDATO (A) NÃO APRESENTOU DECLARAÇÃO EXPEDIDA PELO GDF QUE
COMPROVE RECEBIMENTO DE BENEFÍCIO DE PROGRAMA SOCIAL DE
COMPLEMENTAÇÃO OU SUPLEMENTAÇÃO DE RENDA DO GDF (PRATO CHEIO, DF
SOCIAL)
CATARINE MARIA DE SOUSA PINTO MARÇAL 913***.***-** 1 DEFERIDO
CATARINE MARIA DE SOUSA PINTO MARÇAL 913***.***-** 4 DEFERIDO
ANA LUCIA WIZIACK 279***.***-** 1 DEFERIDO
LETANIA DE LIMA PARREIRA 007***.***-** 8 INDEFERIDO
CANDIDATO (A) NÃO APRESENTOU COMPROVANTE DE TRÊS DOAÇÕES DE
SANGUE REALIZADAS PELO MENOS UM ANO ANTES DA DATA DA INSCRIÇÃO
EVERSON MARTINS DO NASCIMENTO 803***.***-** 3 INDEFERIDO
CANDIDATO (A) NÃO APRESENTOU DOCUMENTO DE IDENTIFICAÇÃO E LAUDO
MÉDICO COMPROBATÓRIO DA
ISENÇÃO DE ACORDO COM A POSSIBILIDADE ESCOLHIDA (CAD. ÚNICO FEDERAL)
LUCIANA MARIA DA SILVA 505***.***-** 1 DEFERIDO
CAROLINA ALVES DE OLIVEIRA 091***.***-** 1 INDEFERIDO
CANDIDATO (A) NÃO APRESENTOU DOCUMENTO DE IDENTIFICAÇÃO,
DECLARAÇÃO EXPEDIDA PELO GDF QUE COMPROVE RECEBIMENTO DE
BENEFÍCIO DE PROGRAMA SOCIAL DE COMPLEMENTAÇÃO OU SUPLEMENTAÇÃO
DE RENDA DO GDF (PRATO CHEIO, DF SOCIAL)
DEUSANY NASCIMENTO DA SILVA 080***.***-** 6 DEFERIDO
ANA CLAUDIA LOPES GONÇALVES 730***.***-** 3 INDEFERIDO CANDIDATO (A) NÃO APRESENTOU DOCUMENTO DE IDENTIFICAÇÃO
ELLANY RIKELLY SANTOS BARBOSA 023***.***-** 1 DEFERIDO
ELLANY RIKELLY SANTOS BARBOSA 023***.***-** 8 DEFERIDO
TARCIANA RAFAEL DA SILVA PERES 016***.***-** 2 DEFERIDO
SAMANTHA LALUZE BATISTA DE SOUZA 042***.***-** 1 DEFERIDO
EVA MARIA NEIVA BARROS 824***.***-** 3 INDEFERIDO
CANDIDATO (A) NÃO APRESENTOU DECLARAÇÃO EXPEDIDA PELO GDF QUE
COMPROVE RECEBIMENTO DE BENEFÍCIO DE PROGRAMA SOCIAL DE
COMPLEMENTAÇÃO OU SUPLEMENTAÇÃO DE RENDA DO GDF (PRATO CHEIO, DF
SOCIAL)
JOSÉ APARECIDO DA SILVA 603***.***-** 1 INDEFERIDO
CANDIDATO (A) NÃO APRESENTOU DECLARAÇÃO EXPEDIDA PELO GDF QUE
COMPROVE RECEBIMENTO DE BENEFÍCIO DE PROGRAMA SOCIAL DE
COMPLEMENTAÇÃO OU SUPLEMENTAÇÃO DE RENDA DO GDF (PRATO CHEIO, DF
SOCIAL)
JOSÉ APARECIDO DA SILVA 603***.***-** 8 INDEFERIDO
CANDIDATO (A) NÃO APRESENTOU DECLARAÇÃO EXPEDIDA PELO GDF QUE
COMPROVE RECEBIMENTO DE BENEFÍCIO DE PROGRAMA SOCIAL DE
COMPLEMENTAÇÃO OU SUPLEMENTAÇÃO DE RENDA DO GDF (PRATO CHEIO, DF
SOCIAL)
BRUNA TALITA -***.***-** - INDEFERIDO CANDIDATO (A) NÃO APRESENTOU NENHUMA DOCUMENTAÇÃO
ROMEU RODRIGUES ROMEU CONTA -***.***-** - INDEFERIDO CANDIDATO (A) NÃO APRESENTOU NENHUMA DOCUMENTAÇÃO
ALICIMARY VASCONCELOS BONIFÁCIO 032***.***-** - INDEFERIDO
CANDIDATO (A) NÃO APRESENTOU DOCUMENTO DE IDENTIFICAÇÃO E
FORMULÁRIO PARA PEDIDO DE ISENÇÃO
KELLI CRISTINA ALVES RIBEIRO 104***.***-** 1 DEFERIDO
THAIS DANTAS DA SILVA LOPES 699***.***-** 1 DEFERIDO
MARCUS JHORDAM DE FRANÇA DO NASCIMENTO AUGUSTO 038***.***-** 3 DEFERIDO
DAIANE OLIVEIRA DOS SANTOS 018***.***-** 1 DEFERIDO
DIANA EVANGELISTA DE JESUS 02***.***-** 1 DEFERIDO
DIANA EVANGELISTA DE JESUS 02***.***-** 6 DEFERIDO
TALITA MARTINS DE SÁ 045***.***-** 1 DEFERIDO
TALITA MARTINS DE SÁ 045***.***-** 1 DEFERIDO
GUILHERME RIPARDO LUSTOSA 056***.***-** 6 DEFERIDO
GUILHERME RIPARDO LUSTOSA 056***.***-** 2 INDEFERIDO
CANDIDATO (A) NÃO APRESENTOU UMA SOLICITAÇÃO DE ISENÇÃO COM UM
FORMULÁRIO PARA CADA CARGO
RICARDO ALVES SAMPAIO 982***.***-** 1 INDEFERIDO
CANDIDATO (A) NÃO APRESENTOU DECLARAÇÃO EXPEDIDA PELO GDF QUE
COMPROVE RECEBIMENTO DE BENEFÍCIO DE PROGRAMA SOCIAL DE
COMPLEMENTAÇÃO OU SUPLEMENTAÇÃO DE RENDA DO GDF (PRATO CHEIO, DF
SOCIAL)
RICARDO ALVES SAMPAIO 982***.***-** 6 INDEFERIDO
CANDIDATO (A) NÃO APRESENTOU DECLARAÇÃO EXPEDIDA PELO GDF QUE
COMPROVE RECEBIMENTO DE BENEFÍCIO DE PROGRAMA SOCIAL DE
COMPLEMENTAÇÃO OU SUPLEMENTAÇÃO DE RENDA DO GDF (PRATO CHEIO, DF
SOCIAL)
ANA PAULA ARAUJO DOURADO 042***.***-** - INDEFERIDO
CANDIDATO (A) NÃO APRESENTOU DOCUMENTO DE IDENTIFICAÇÃO, LAUDO
MÉDICO COMPROBATÓRIO DA
ISENÇÃO DE ACORDO COM A POSSIBILIDADE ESCOLHIDA (CAD. ÚNICO FEDERAL)
E NÃO INFORMOU O CARGO NO FORMULÁRIO
ROMEU RODRIGUES 049***.***-** - INDEFERIDO CANDIDATO (A) NÃO APRESENTOU DOCUMENTAÇÃO EXIGIDA
BÁRBARA DE CARVALHO COSTA 057***.***-** 1 DEFERIDO
BÁRBARA DE CARVALHO COSTA 057***.***-** 7 DEFERIDO
HUDSON LEONARDO DOS SANTOS SILVA BARBOSA 011***.***-** 1 INDEFERIDO
CANDIDATO (A) NÃO APRESENTOU DECLARAÇÃO EXPEDIDA PELO GDF QUE
COMPROVE RECEBIMENTO DE BENEFÍCIO DE PROGRAMA SOCIAL DE
COMPLEMENTAÇÃO OU SUPLEMENTAÇÃO DE RENDA DO GDF (PRATO CHEIO, DF
SOCIAL)
HUDSON LEONARDO DOS SANTOS SILVA BARBOSA 011***.***-** 7 INDEFERIDO
CANDIDATO (A) NÃO APRESENTOU DECLARAÇÃO EXPEDIDA PELO GDF QUE
COMPROVE RECEBIMENTO DE BENEFÍCIO DE PROGRAMA SOCIAL DE
COMPLEMENTAÇÃO OU SUPLEMENTAÇÃO DE RENDA DO GDF (PRATO CHEIO, DF
SOCIAL)
PEDRO HENRIQUE LIMA ASSUMPÇÃO 074***.***-** 1 INDEFERIDO
CANDIDATO (A) NÃO APRESENTOU DECLARAÇÃO EXPEDIDA PELO GDF QUE
COMPROVE RECEBIMENTO DE BENEFÍCIO DE PROGRAMA SOCIAL DE
COMPLEMENTAÇÃO OU SUPLEMENTAÇÃO DE RENDA DO GDF (PRATO CHEIO, DF
SOCIAL)
PEDRO HENRIQUE LIMA ASSUMPÇÃO 074***.***-** 8 INDEFERIDO
CANDIDATO (A) NÃO APRESENTOU DECLARAÇÃO EXPEDIDA PELO GDF QUE
COMPROVE RECEBIMENTO DE BENEFÍCIO DE PROGRAMA SOCIAL DE
COMPLEMENTAÇÃO OU SUPLEMENTAÇÃO DE RENDA DO GDF (PRATO CHEIO, DF
SOCIAL)
ELISANGELA DOS SANTOS SALES 784***.***-** 1 INDEFERIDO
CANDIDATO (A) NÃO APRESENTOU DECLARAÇÃO EXPEDIDA PELO GDF QUE
COMPROVE RECEBIMENTO DE BENEFÍCIO DE PROGRAMA SOCIAL DE
COMPLEMENTAÇÃO OU SUPLEMENTAÇÃO DE RENDA DO GDF (PRATO CHEIO, DF
SOCIAL)
CARLA CRISTINA DE OLIVEIRA 023***.***-** 5 INDEFERIDO
CANDIDATO (A) NÃO APRESENTOU DECLARAÇÃO EXPEDIDA PELO GDF QUE
COMPROVE RECEBIMENTO DE BENEFÍCIO DE PROGRAMA SOCIAL DE
COMPLEMENTAÇÃO OU SUPLEMENTAÇÃO DE RENDA DO GDF (PRATO CHEIO, DF
SOCIAL)
THIAGO SOARES NASCIMENTO 043***.***-** 7 DEFERIDO
CAMILA MARTINS DE OLIVEIRA 034***.***-** 1 DEFERIDO
CAMILA MARTINS DE OLIVEIRA 034***.***-** 8 INDEFERIDO
CANDIDATO (A) NÃO APRESENTOU UM FORMULÁRIO DE
SOLICITAÇÃO DE ISENÇÃO DE TAXA PARA CADA CARGO
GESSIANA DOS SANTOS SOUSA 795***.***-** 3 DEFERIDO
GESSIANA DOS SANTOS SOUSA 795***.***-** 1 DEFERIDO
FRANCISCO SAMUEL BATISTA TEOTÔNIO 034***.***-** 5 DEFERIDO
ANDREIA ALVES MAGALHAES 020***.***-** - INDEFERIDO CANDIDATO (A) NÃO APRESENTOU DOCUMENTAÇÃO EXIGIDA
LAMARIA DIAS DOS SANTOS 397***.***-** 1 INDEFERIDO
CANDIDATO (A) NÃO APRESENTOU DOCUMENTO DE IDENTIFICAÇÃO,
DECLARAÇÃO EXPEDIDA PELO GDF QUE COMPROVE RECEBIMENTO DE
BENEFÍCIO DE PROGRAMA SOCIAL DE COMPLEMENTAÇÃO OU SUPLEMENTAÇÃO
DE RENDA DO GDF (PRATO CHEIO, DF SOCIAL)
LAMARIA DIAS DOS SANTOS 397***.***-** 2 INDEFERIDO
CANDIDATO (A) NÃO APRESENTOU DOCUMENTO DE IDENTIFICAÇÃO,
DECLARAÇÃO EXPEDIDA PELO GDF QUE COMPROVE RECEBIMENTO DE
BENEFÍCIO DE PROGRAMA SOCIAL DE COMPLEMENTAÇÃO OU SUPLEMENTAÇÃO
DE RENDA DO GDF (PRATO CHEIO, DF SOCIAL)
MIKAEL ALMEIDA RODRIGUES 064***.***-** 1 INDEFERIDO
CANDIDATO (A) NÃO APRESENTOU DECLARAÇÃO EXPEDIDA PELO GDF QUE
COMPROVE RECEBIMENTO DE BENEFÍCIO DE PROGRAMA SOCIAL DE
COMPLEMENTAÇÃO OU SUPLEMENTAÇÃO DE RENDA DO GDF (PRATO CHEIO, DF
SOCIAL)
MÁRCIA ROSA DIAS 912***.***-** 1 INDEFERIDO
CANDIDATO (A) NÃO APRESENTOU DECLARAÇÃO EXPEDIDA PELO GDF QUE
COMPROVE RECEBIMENTO DE BENEFÍCIO DE PROGRAMA SOCIAL DE
COMPLEMENTAÇÃO OU SUPLEMENTAÇÃO DE RENDA DO GDF (PRATO CHEIO, DF
SOCIAL)
MEIRIELLEN DE BRITO GOMES -***.***-** - INDEFERIDO CANDIDATO (A) NÃO APRESENTOU DOCUMENTAÇÃO EXIGIDA
SIMONE ANGELICA ALVES DE SOUZA COSTA 774***.***-** 1 DEFERIDO
ALINE MATOS PEREIRA 022***.***-** 1 DEFERIDO
JÉSSICA ALVES BENEVINUTO 063***.***-** 1 INDEFERIDO
CANDIDATO (A) NÃO APRESENTOU DECLARAÇÃO EXPEDIDA PELO GDF QUE
COMPROVE RECEBIMENTO DE BENEFÍCIO DE PROGRAMA SOCIAL DE
COMPLEMENTAÇÃO OU SUPLEMENTAÇÃO DE RENDA DO GDF (PRATO CHEIO, DF
SOCIAL)
RENATA DE SOUSA FERREIRA 025***.***-** 1 INDEFERIDO CANDIDATO (A) NÃO APRESENTOU DOCUMENTO DE IDENTIFICAÇÃO
RENATA DE SOUSA FERREIRA 025***.***-** 6 INDEFERIDO CANDIDATO (A) NÃO APRESENTOU DOCUMENTO DE IDENTIFICAÇÃO
BRUNA TALITA GARCIA DE SOUZA 050***.***-** 1 INDEFERIDO
CANDIDATO (A) NÃO APRESENTOU DECLARAÇÃO EXPEDIDA PELO GDF QUE
COMPROVE RECEBIMENTO DE BENEFÍCIO DE PROGRAMA SOCIAL DE
COMPLEMENTAÇÃO OU SUPLEMENTAÇÃO DE RENDA DO GDF (PRATO CHEIO, DF
SOCIAL)
RAY CAMPOS DE SOUSA 044***.***-** 8 DEFERIDO
ELAINE CONCEICAO ROCHA 709***.***-** 1 INDEFERIDO CANDIDATO (A) NÃO APRESENTOU DOCUMENTO DE IDENTIFICAÇÃO
LARISSA GOMES DE OLIVEIRA 034***.***-** 1 DEFERIDO
LARISSA GOMES DE OLIVEIRA 034***.***-** 7 INDEFERIDO
CANDIDATO (A) NÃO APRESENTOU UMA SOLICITAÇÃO DE ISENÇÃO COM UM
FORMULÁRIO PARA CADA CARGO
LETICIA IARA COUTINHO CESARIO 731***.***-** 1 DEFERIDO
LETICIA IARA COUTINHO CESARIO 731***.***-** 6 DEFERIDO
ICARO DOS SANTOS SALES 066***.***-** 1 INDEFERIDO
CANDIDATO (A) NÃO APRESENTOU DECLARAÇÃO EXPEDIDA PELO GDF QUE
COMPROVE RECEBIMENTO DE BENEFÍCIO DE PROGRAMA SOCIAL DE
COMPLEMENTAÇÃO OU SUPLEMENTAÇÃO DE RENDA DO GDF (PRATO CHEIO, DF
SOCIAL)
LILIAM ROSE SANTOS 966***.***-** 8 INDEFERIDO
CANDIDATO (A) NÃO APRESENTOU LAUDO MÉDICO COMPROBATÓRIO DA
ISENÇÃO DE
ACORDO COM A POSSIBILIDADE ESCOLHIDA (CAD. ÚNICO FEDERAL)
FERNANDA MELO DA SILVA CEDRO 028***.***-** 1 DEFERIDO
FERNANDA MELO DA SILVA CEDRO 028***.***-** 2 INDEFERIDO
CANDIDATO (A) NÃO APRESENTOU UMA SOLICITAÇÃO DE ISENÇÃO COM UM
FORMULÁRIO PARA CADA CARGO
FABÍOLA ROCHA NOBREGA 725***.***-** 2 INDEFERIDO
CANDIDATO (A) NÃO APRESENTOU DECLARAÇÃO EXPEDIDA PELO GDF QUE
COMPROVE RECEBIMENTO DE BENEFÍCIO DE PROGRAMA SOCIAL DE
COMPLEMENTAÇÃO OU SUPLEMENTAÇÃO DE RENDA DO GDF (PRATO CHEIO, DF
SOCIAL)
JULIENE FONSECA MENDES 133***.***-** 1 DEFERIDO
FRANCISCO WELLINGTON MORAIS SILVA 025***.***-** 8 INDEFERIDO
CANDIDATO (A) NÃO APRESENTOU LAUDO MÉDICO COMPROBATÓRIO DA
ISENÇÃO DE
ACORDO COM A POSSIBILIDADE ESCOLHIDA (CAD. ÚNICO FEDERAL)
TAÍS MARIA DE SOUSA 041***.***-** 6 INDEFERIDO
CANDIDATO (A) NÃO APRESENTOU LAUDO MÉDICO COMPROBATÓRIO DA
ISENÇÃO DE
ACORDO COM A POSSIBILIDADE ESCOLHIDA (CAD. ÚNICO FEDERAL)
CLEITON FERREIRA DE LIMA 010***.***-** 1 DEFERIDO
ALCINA MARTINS DE SOUZA 690***.***-** - INDEFERIDO
CANDIDATO (A) NÃO APRESENTOU DECLARAÇÃO EXPEDIDA PELO GDF QUE
COMPROVE RECEBIMENTO DE BENEFÍCIO DE PROGRAMA SOCIAL DE
COMPLEMENTAÇÃO OU SUPLEMENTAÇÃO DE RENDA DO GDF (PRATO CHEIO, DF
SOCIAL) E NÃO INFORMOU O CARGO
GIOVANNA LAURA NUNES ABRANTES DANTAS 018***.***-** 1 INDEFERIDO
CANDIDATO (A) NÃO APRESENTOU DECLARAÇÃO EXPEDIDA PELO GDF QUE
COMPROVE RECEBIMENTO DE BENEFÍCIO DE PROGRAMA SOCIAL DE
COMPLEMENTAÇÃO OU SUPLEMENTAÇÃO DE RENDA DO GDF (PRATO CHEIO, DF
SOCIAL)
GIOVANNA LAURA NUNES ABRANTES DANTAS 018***.***-** 3 INDEFERIDO
CANDIDATO (A) NÃO APRESENTOU DECLARAÇÃO EXPEDIDA PELO GDF QUE
COMPROVE RECEBIMENTO DE BENEFÍCIO DE PROGRAMA SOCIAL DE
COMPLEMENTAÇÃO OU SUPLEMENTAÇÃO DE RENDA DO GDF (PRATO CHEIO, DF
SOCIAL)
DANIELLE DA SILVA SANTOS 042***.***-** 1 DEFERIDO
DANIELLE DA SILVA SANTOS 042***.***-** 6 INDEFERIDO
CANDIDATO (A) NÃO APRESENTOU UMA SOLICITAÇÃO DE ISENÇÃO COM UM
FORMULÁRIO PARA CADA CARGO
CHARLENE DE JESUS SILVA CAVALCANTE 006***.***-** 1 INDEFERIDO
CANDIDATO (A) NÃO APRESENTOU DECLARAÇÃO EXPEDIDA PELO GDF QUE
COMPROVE RECEBIMENTO DE BENEFÍCIO DE PROGRAMA SOCIAL DE
COMPLEMENTAÇÃO OU SUPLEMENTAÇÃO DE RENDA DO GDF (PRATO CHEIO, DF
SOCIAL)
KATHLEEN LORRANE ROSA DOS SANTOS 067***.***-** 8 INDEFERIDO
CANDIDATO (A) NÃO APRESENTOU DECLARAÇÃO EXPEDIDA PELO GDF QUE
COMPROVE RECEBIMENTO DE BENEFÍCIO DE PROGRAMA SOCIAL DE
COMPLEMENTAÇÃO OU SUPLEMENTAÇÃO DE RENDA DO GDF (PRATO CHEIO, DF
SOCIAL)
PRISCILA FERREIRA DOS SANTOS 077***.***-** 1 INDEFERIDO
CANDIDATO (A) NÃO APRESENTOU LAUDO MÉDICO COMPROBATÓRIO DA
ISENÇÃO DE
ACORDO COM A POSSIBILIDADE ESCOLHIDA (CAD. ÚNICO FEDERAL)
SAMARA DA SILVA DOS SANTOS 036***.***-** 1 INDEFERIDO
GABRIELA APARECIDA ANTUNES SIQUEIRA 054***.***-** 3 INDEFERIDO
CANDIDATO (A) NÃO APRESENTOU DECLARAÇÃO EXPEDIDA PELO GDF QUE
COMPROVE RECEBIMENTO DE BENEFÍCIO DE PROGRAMA SOCIAL DE
COMPLEMENTAÇÃO OU SUPLEMENTAÇÃO DE RENDA DO GDF (PRATO CHEIO, DF
SOCIAL)
STEFANY MOARA DA SILVA SANTOS 022***.***-** 7 INDEFERIDO
CANDIDATO (A) NÃO APRESENTOU LAUDO MÉDICO COMPROBATÓRIO DA
ISENÇÃO DE
ACORDO COM A POSSIBILIDADE ESCOLHIDA (CAD. ÚNICO FEDERAL)
KEMILLY SOARES FONSECA DA SILVA 032***.***-** 5 INDEFERIDO
CANDIDATO (A) NÃO APRESENTOU DECLARAÇÃO EXPEDIDA PELO GDF QUE
COMPROVE RECEBIMENTO DE BENEFÍCIO DE PROGRAMA SOCIAL DE
COMPLEMENTAÇÃO OU SUPLEMENTAÇÃO DE RENDA DO GDF (PRATO CHEIO, DF
SOCIAL)
MAURÍCIO DE ANDRADE GOMES 893***.***-** 8 INDEFERIDO
CANDIDATO (A) NÃO APRESENTOU DECLARAÇÃO EXPEDIDA PELO GDF QUE
COMPROVE RECEBIMENTO DE BENEFÍCIO DE PROGRAMA SOCIAL DE
COMPLEMENTAÇÃO OU SUPLEMENTAÇÃO DE RENDA DO GDF (PRATO CHEIO, DF
SOCIAL)
FRANCISCO DANIARLE GOMES 035***.***-** - INDEFERIDO CANDIDATO (A) NÃO APRESENTOU FORMULÁRIO PARA PEDIDO DE ISENÇÃO
PAULO HENRIQUE PIRES GONÇALVES 014***.***-** 1 DEFERIDO
MAYARA CARVALHO MOTA 026***.***-** 7 INDEFERIDO
CANDIDATO (A) NÃO APRESENTOU DOCUMENTO DE IDENTIFICAÇÃO E
DECLARAÇÃO EXPEDIDA PELO GDF QUE COMPROVE RECEBIMENTO DE
BENEFÍCIO DE PROGRAMA SOCIAL DE COMPLEMENTAÇÃO OU SUPLEMENTAÇÃO
DE RENDA DO GDF (PRATO CHEIO, DF SOCIAL)
ANA CRISTINA LEAL CARDOSO 785***.***-** 1 INDEFERIDO
CANDIDATO (A) NÃO APRESENTOU DECLARAÇÃO EXPEDIDA PELO GDF QUE
COMPROVE RECEBIMENTO DE BENEFÍCIO DE PROGRAMA SOCIAL DE
COMPLEMENTAÇÃO OU SUPLEMENTAÇÃO DE RENDA DO GDF (PRATO CHEIO, DF
SOCIAL)
ANA CRISTINA LEAL CARDOSO 785***.***-** 8 INDEFERIDO
CANDIDATO (A) NÃO APRESENTOU DECLARAÇÃO EXPEDIDA PELO GDF QUE
COMPROVE RECEBIMENTO DE BENEFÍCIO DE PROGRAMA SOCIAL DE
COMPLEMENTAÇÃO OU SUPLEMENTAÇÃO DE RENDA DO GDF (PRATO CHEIO, DF
SOCIAL)
HOSANA CICERA BEZERRA FERREIRA 538***.***-** 1 INDEFERIDO
CANDIDATO (A) NÃO APRESENTOU DECLARAÇÃO EXPEDIDA PELO GDF QUE
COMPROVE RECEBIMENTO DE BENEFÍCIO DE PROGRAMA SOCIAL DE
COMPLEMENTAÇÃO OU SUPLEMENTAÇÃO DE RENDA DO GDF (PRATO CHEIO, DF
SOCIAL)
LARYSSA ALAYNE RODRIGUES SOUZA 053***.***-** - INDEFERIDO CANDIDATO (A) NÃO APRESENTOU FORMULÁRIO PARA PEDIDO DE ISENÇÃO
ILMA RANGEL MORAIS PAIVA DE ARAUJO 566***.***-** 1 DEFERIDO
DANYEL FERREIRA DA SILVA 118***.***-** 1 DEFERIDO
BRENNA RODRIGUES FERREIRA 056***.***-** 6 DEFERIDO
RIZIA SOUSA MOTA 043***.***-** 1 INDEFERIDO
CANDIDATO (A) NÃO APRESENTOU DECLARAÇÃO EXPEDIDA PELO GDF QUE
COMPROVE RECEBIMENTO DE BENEFÍCIO DE PROGRAMA SOCIAL DE
COMPLEMENTAÇÃO OU SUPLEMENTAÇÃO DE RENDA DO GDF (PRATO CHEIO, DF
SOCIAL)
RIZIA SOUSA MOTA 043***.***-** 2 INDEFERIDO
CANDIDATO (A) NÃO APRESENTOU DECLARAÇÃO EXPEDIDA PELO GDF QUE
COMPROVE RECEBIMENTO DE BENEFÍCIO DE PROGRAMA SOCIAL DE
COMPLEMENTAÇÃO OU SUPLEMENTAÇÃO DE RENDA DO GDF (PRATO CHEIO, DF
SOCIAL)
CHARLENE GONÇALVES PINHO 926***.***-** 1 DEFERIDO
WILSON GOMES DE ARAUJO 944***.***-** 7 DEFERIDO
AMANDA RUTH CARVALHO DE SOUZA 053***.***-** 8 INDEFERIDO
CANDIDATO (A) NÃO APRESENTOU DECLARAÇÃO EXPEDIDA PELO GDF QUE
COMPROVE RECEBIMENTO DE BENEFÍCIO DE PROGRAMA SOCIAL DE
COMPLEMENTAÇÃO OU SUPLEMENTAÇÃO DE RENDA DO GDF (PRATO CHEIO, DF
SOCIAL)
DANIELLA VERÍSSIMO SANTOS DO NASCIMENTO 067***.***-** 1 DEFERIDO
DANIELLA VERÍSSIMO SANTOS DO NASCIMENTO 067***.***-** 8 DEFERIDO
DARLIANE DE ANDRADE RODRIGUES 008***.***-** 5 INDEFERIDO
CANDIDATO (A) NÃO APRESENTOU LAUDO MÉDICO COMPROBATÓRIO DA
ISENÇÃO DE
ACORDO COM A POSSIBILIDADE ESCOLHIDA (CAD. ÚNICO FEDERAL)
ARNALDO PONTE JUNIOR 732***.***-** 1 DEFERIDO
ANA LÚCIA BARBOSA SANTOS 711***.***-** 8 INDEFERIDO
CANDIDATO (A) NÃO APRESENTOU DECLARAÇÃO EXPEDIDA PELO GDF QUE
COMPROVE RECEBIMENTO DE BENEFÍCIO DE PROGRAMA SOCIAL DE
COMPLEMENTAÇÃO OU SUPLEMENTAÇÃO DE RENDA DO GDF (PRATO CHEIO, DF
SOCIAL)
CARLA RODRIGUES DA SILVA CAMPOS 019***.***-** 1 INDEFERIDO
CANDIDATO (A) NÃO APRESENTOU DECLARAÇÃO EXPEDIDA PELO GDF QUE
COMPROVE RECEBIMENTO DE BENEFÍCIO DE PROGRAMA SOCIAL DE
COMPLEMENTAÇÃO OU SUPLEMENTAÇÃO DE RENDA DO GDF (PRATO CHEIO, DF
SOCIAL)
ERICA COSTA ESTRELA 015***.***-** 1 INDEFERIDO
CANDIDATO (A) NÃO APRESENTOU DECLARAÇÃO EXPEDIDA PELO GDF QUE
COMPROVE RECEBIMENTO DE BENEFÍCIO DE PROGRAMA SOCIAL DE
COMPLEMENTAÇÃO OU SUPLEMENTAÇÃO DE RENDA DO GDF (PRATO CHEIO, DF
SOCIAL)
CLAUDIA HELENA LOPES FERNANDES 012***.***-** 7 INDEFERIDO CANDIDATO (A) NÃO APRESENTOU DOCUMENTAÇÃO EXIGIDA
IVONILDES LUSTOSA CARVALHO 551***.***-** 8 DEFERIDO
ADRIELE OLIVEIRA DE SOUZA 040***.***-** 1 DEFERIDO
ADRIELE OLIVEIRA DE SOUZA 040***.***-** 2 DEFERIDO
JAQUELINE SOUZA FERREIRA 004***.***-** 7 INDEFERIDO CANDIDATO (A) NÃO APRESENTOU DOCUMENTAÇÃO EXIGIDA
CARLOS EDUARDO MONTEIRO DE OLIVEIRA 036***.***-** - INDEFERIDO CANDIDATO (A) NÃO APRESENTOU FORMULÁRIO PARA PEDIDO DE ISENÇÃO
DEMICIO MACIEL PINTO 699***.***-** 1 DEFERIDO
NEURIVÂNIA SOUZA DA SILVA 454***.***-** - INDEFERIDO
CANDIDATO (A) NÃO APRESENTOU DECLARAÇÃO EXPEDIDA PELO GDF QUE
COMPROVE RECEBIMENTO DE BENEFÍCIO DE PROGRAMA SOCIAL DE
COMPLEMENTAÇÃO OU SUPLEMENTAÇÃO DE RENDA DO GDF (PRATO CHEIO, DF
SOCIAL) E NÃO INFORMOU O CARGO
DAYANE MARQUES PEREIRA DIAS GONÇALVES 007***.***-** 7 INDEFERIDO
CANDIDATO (A) NÃO APRESENTOU DECLARAÇÃO EXPEDIDA PELO GDF QUE
COMPROVE RECEBIMENTO DE BENEFÍCIO DE PROGRAMA SOCIAL DE
COMPLEMENTAÇÃO OU SUPLEMENTAÇÃO DE RENDA DO GDF (PRATO CHEIO, DF
SOCIAL)
DIANA DOS SANTOS SILVA 012***.***-** 8 DEFERIDO
DIANA DOS SANTOS SILVA 012***.***-** 1 DEFERIDO
SILMARIA MENDES DA SILVA 093***.***-** 5 DEFERIDO
FRANKLIN SILVA SOARES 044***.***-** 1 DEFERIDO
FRANKLIN SILVA SOARES 044***.***-** 8 DEFERIDO
DIANA EVANGELISTA DE JESUS 03***.***-** 5 INDEFERIDO CANDIDATO (A) NÃO APRESENTOU DOCUMENTAÇÃO EXIGIDA EM PDF
MARÍLIA DE CASTRO DUTRA 063***.***-** 1 DEFERIDO
MARÍLIA DE CASTRO DUTRA 063***.***-** 8 INDEFERIDO
CANDIDATO (A) NÃO APRESENTOU UMA SOLICITAÇÃO DE ISENÇÃO COM UM
FORMULÁRIO PARA CADA CARGO
JOSE ADELMO PEREIRA DE MORAES 259***.***-** - INDEFERIDO CANDIDATO (A) NÃO APRESENTOU DOCUMENTAÇÃO EXIGIDA
VINICIUS EMAUEL DA SILVA DE OLIVEIRA 056***.***-** 1 DEFERIDO
LEONARDO CONCEICAO DA SILVA 004***.***-** 1 DEFERIDO
LUCAS BARCELOS GORDO 056***.***-** 1 DEFERIDO
LUCAS BARCELOS GORDO 056***.***-** 8 DEFERIDO
MANUELA DE ANDRADE LEITE 069***.***-** 1 DEFERIDO
MANUELA DE ANDRADE LEITE 069***.***-** 4 DEFERIDO
ANA RITA RIBEIRO 516***.***-** 8 INDEFERIDO
CANDIDATO (A) NÃO APRESENTOU DECLARAÇÃO EXPEDIDA PELO GDF QUE
COMPROVE RECEBIMENTO DE BENEFÍCIO DE PROGRAMA SOCIAL DE
COMPLEMENTAÇÃO OU SUPLEMENTAÇÃO DE RENDA DO GDF (PRATO CHEIO, DF
SOCIAL)
LETICIA ISIS SOUSA FEITOSA 033***.***-** 6 DEFERIDO
ADRIELY SILVA XAVIER 032***.***-** - INDEFERIDO
CANDIDATO (A) NÃO INFORMOU NO FORMULÁRIO O CARGO O QUAL DESEJA A
ISENÇÃO
MARÍLIA ALVES DE MORAIS 052***.***-** 1 INDEFERIDO
CANDIDATO (A) NÃO APRESENTOU DECLARAÇÃO EXPEDIDA PELO GDF QUE
COMPROVE RECEBIMENTO DE BENEFÍCIO DE PROGRAMA SOCIAL DE
COMPLEMENTAÇÃO OU SUPLEMENTAÇÃO DE RENDA DO GDF (PRATO CHEIO, DF
SOCIAL)
DAYANE MARQUES PEREIRA DIAS GONCALVES 007***.***-** 7 INDEFERIDO
CANDIDATO (A) NÃO APRESENTOU DECLARAÇÃO EXPEDIDA PELO GDF QUE
COMPROVE RECEBIMENTO DE BENEFÍCIO DE PROGRAMA SOCIAL DE
COMPLEMENTAÇÃO OU SUPLEMENTAÇÃO DE RENDA DO GDF (PRATO CHEIO, DF
SOCIAL)
SINARIA SOARES SILVA 873***.***-** 1 INDEFERIDO
CANDIDATO (A) NÃO APRESENTOU LAUDO MÉDICO COMPROBATÓRIO DA
ISENÇÃO DE
ACORDO COM A POSSIBILIDADE ESCOLHIDA (CAD. ÚNICO FEDERAL)
JÉSSICA MENEZES VALIM 010***.***-** 1 INDEFERIDO
CANDIDATO (A) NÃO APRESENTOU DECLARAÇÃO EXPEDIDA PELO GDF QUE
COMPROVE RECEBIMENTO DE BENEFÍCIO DE PROGRAMA SOCIAL DE
COMPLEMENTAÇÃO OU SUPLEMENTAÇÃO DE RENDA DO GDF (PRATO CHEIO, DF
SOCIAL)
LUDIMILA TEIXEIRA DE SOUZA BARBOSA 082***.***-** - INDEFERIDO CANDIDATO (A) NÃO APRESENTOU FORMULÁRIO PARA PEDIDO DE ISENÇÃO
DEBORA VIEIRA REIS 001***.***-** 7 INDEFERIDO
CANDIDATO (A) NÃO APRESENTOU DECLARAÇÃO EXPEDIDA PELO GDF QUE
COMPROVE RECEBIMENTO DE BENEFÍCIO DE PROGRAMA SOCIAL DE
COMPLEMENTAÇÃO OU SUPLEMENTAÇÃO DE RENDA DO GDF (PRATO CHEIO, DF
SOCIAL)
ISRAEL JUNIOR DOS SANTOS CARDOSO 688***.***-** 2 DEFERIDO
ADRIANA PAULA FERREIRA 689***.***-** 2 INDEFERIDO
CANDIDATO (A) NÃO APRESENTOU DECLARAÇÃO EXPEDIDA PELO GDF QUE
COMPROVE RECEBIMENTO DE BENEFÍCIO DE PROGRAMA SOCIAL DE
COMPLEMENTAÇÃO OU SUPLEMENTAÇÃO DE RENDA DO GDF (PRATO CHEIO, DF
SOCIAL)
REGINA CELIA SAMPAIO PORTUGUEZ 416***.***-** 1 DEFERIDO
GABRIELLY FERNANDA SILVA 133***.***-** 1 DEFERIDO
MOIZÉS RIBEIRO DA SILVA 056***.***-** 7 DEFERIDO
EDILBERTO DE SOUSA SIQUEIRA 712***.***-** 7 DEFERIDO
EDILBERTO DE SOUSA SIQUEIRA 712***.***-** 1 DEFERIDO
GABRIELY RODRGUES DE ALMEIDA ALARCÃO 058***.***-** 2 INDEFERIDO
CANDIDATO (A) NÃO APRESENTOU DECLARAÇÃO EXPEDIDA PELO GDF QUE
COMPROVE RECEBIMENTO DE BENEFÍCIO DE PROGRAMA SOCIAL DE
COMPLEMENTAÇÃO OU SUPLEMENTAÇÃO DE RENDA DO GDF (PRATO CHEIO, DF
SOCIAL)
CLAUDIANA JOAQUIM RODRIGUES 791***.***-** 2 DEFERIDO
FRANCIMAR BATISTA DE SOUSA 995***.***-** 6 DEFERIDO
KARINA ALVES DA SILVA 071***.***-** 1 DEFERIDO
ANA PAULA ALVES AGUIAR 048***.***-** 1 INDEFERIDO
CANDIDATO (A) NÃO APRESENTOU DECLARAÇÃO EXPEDIDA PELO GDF QUE
COMPROVE RECEBIMENTO DE BENEFÍCIO DE PROGRAMA SOCIAL DE
COMPLEMENTAÇÃO OU SUPLEMENTAÇÃO DE RENDA DO GDF (PRATO CHEIO, DF
SOCIAL)
ANDRE SANTANA RAMOS DE SOUZA MARQUES 010***.***-** 1 DEFERIDO
JULIANA DE ARAUJO LEITE NOGUEIRA 040***.***-** 1 DEFERIDO
ROSIFRAN MESQUITA DA SILVA 774***.***-** 6 INDEFERIDO
CANDIDATO (A) NÃO APRESENTOU DOCUMENTO DE IDENTIFICAÇÃO E
COMPROVANTES DE PRESTAÇÃO DE
SERVIÇOS À JUSTIÇA ELEITORAL POR, NO MÍNIMO, DUAS ELEIÇÕES
RAILDA MARIA DE BRITO 022***.***-** 1 DEFERIDO
RAILDA MARIA DE BRITO 022***.***-** 8 DEFERIDO
GISELE CARREIRO DE FARIAS 976***.***-** 1 DEFERIDO
GISELE CARREIRO DE FARIAS 976***.***-** 2 DEFERIDO
LUIS CARLOS DA SILVA MACHADO 995***.***-** 1 DEFERIDO
LUIS CARLOS DA SILVA MACHADO 995***.***-** 5 DEFERIDO
ERIC FABRICIO RODRIGUES BARBOSA 034***.***-** 2 INDEFERIDO
CANDIDATO (A) NÃO APRESENTOU DECLARAÇÃO EXPEDIDA PELO GDF QUE
COMPROVE RECEBIMENTO DE BENEFÍCIO DE PROGRAMA SOCIAL DE
COMPLEMENTAÇÃO OU SUPLEMENTAÇÃO DE RENDA DO GDF (PRATO CHEIO, DF
SOCIAL)
ERIC FABRICIO RODRIGUES BARBOSA 034***.***-** 1 INDEFERIDO
CANDIDATO (A) NÃO APRESENTOU DECLARAÇÃO EXPEDIDA PELO GDF QUE
COMPROVE RECEBIMENTO DE BENEFÍCIO DE PROGRAMA SOCIAL DE
COMPLEMENTAÇÃO OU SUPLEMENTAÇÃO DE RENDA DO GDF (PRATO CHEIO, DF
SOCIAL)
ELIZETE SOARES SENNA 726***.***-** 1 INDEFERIDO
CANDIDATO (A) NÃO APRESENTOU LAUDO MÉDICO COMPROBATÓRIO DA
ISENÇÃO DE
ACORDO COM A POSSIBILIDADE ESCOLHIDA (CAD. ÚNICO FEDERAL)
NAYSE DO NASCIMENTO SANTOS 030***.***-** 1 INDEFERIDO
CANDIDATO (A) NÃO APRESENTOU DECLARAÇÃO EXPEDIDA PELO GDF QUE
COMPROVE RECEBIMENTO DE BENEFÍCIO DE PROGRAMA SOCIAL DE
COMPLEMENTAÇÃO OU SUPLEMENTAÇÃO DE RENDA DO GDF (PRATO CHEIO, DF
SOCIAL)
NAYSE DO NASCIMENTO SANTOS 030***.***-** 2 INDEFERIDO
CANDIDATO (A) NÃO APRESENTOU DECLARAÇÃO EXPEDIDA PELO GDF QUE
COMPROVE RECEBIMENTO DE BENEFÍCIO DE PROGRAMA SOCIAL DE
COMPLEMENTAÇÃO OU SUPLEMENTAÇÃO DE RENDA DO GDF (PRATO CHEIO, DF
SOCIAL)
RAYLLANE ALVES BARRETO BARROS 044***.***-** 1 DEFERIDO
HUGO DOS SANTOS MARTINS 075***.***-** 1 DEFERIDO
TAIANE MARIA MARCELINO 091***.***-** 7 INDEFERIDO
LILIANA DOS SANTOS DANTAS 035***.***-** 8 INDEFERIDO
CANDIDATO (A) NÃO APRESENTOU DECLARAÇÃO EXPEDIDA PELO GDF QUE
COMPROVE RECEBIMENTO DE BENEFÍCIO DE PROGRAMA SOCIAL DE
COMPLEMENTAÇÃO OU SUPLEMENTAÇÃO DE RENDA DO GDF (PRATO CHEIO, DF
SOCIAL)
LILIANA DOS SANTOS DANTAS 035***.***-** 1 INDEFERIDO
CANDIDATO (A) NÃO APRESENTOU DECLARAÇÃO EXPEDIDA PELO GDF QUE
COMPROVE RECEBIMENTO DE BENEFÍCIO DE PROGRAMA SOCIAL DE
COMPLEMENTAÇÃO OU SUPLEMENTAÇÃO DE RENDA DO GDF (PRATO CHEIO, DF
SOCIAL)
CAMILA PAES PESSOA 069***.***-** 1 DEFERIDO
CAMILA PAES PESSOA 069***.***-** 5 DEFERIDO
MARCOS VINIVIUS TRINDADE CUNHA 054***.***-** 1 DEFERIDO
MARCOS VINIVIUS TRINDADE CUNHA 054***.***-** 3 DEFERIDO
ELISE MARY COSTA SOUZA 068***.***-** - INDEFERIDO
CANDIDATO (A) NÃO INFORMOU NO FORMULÁRIO O CARGO O QUAL DESEJA A
ISENÇÃO
BRUNO DE SOUSA RIBEIRO 066***.***-** 1 INDEFERIDO
CANDIDATO (A) NÃO APRESENTOU DECLARAÇÃO EXPEDIDA PELO GDF QUE
COMPROVE RECEBIMENTO DE BENEFÍCIO DE PROGRAMA SOCIAL DE
COMPLEMENTAÇÃO OU SUPLEMENTAÇÃO DE RENDA DO GDF (PRATO CHEIO, DF
SOCIAL)
BRUNO DE SOUSA RIBEIRO 066***.***-** 3 INDEFERIDO
CANDIDATO (A) NÃO APRESENTOU DECLARAÇÃO EXPEDIDA PELO GDF QUE
COMPROVE RECEBIMENTO DE BENEFÍCIO DE PROGRAMA SOCIAL DE
COMPLEMENTAÇÃO OU SUPLEMENTAÇÃO DE RENDA DO GDF (PRATO CHEIO, DF
SOCIAL)
JAQUELINE RODRIGUES DA CRUZ 704***.***-** 8 INDEFERIDO
CANDIDATO (A) NÃO APRESENTOU DECLARAÇÃO EXPEDIDA PELO GDF QUE
COMPROVE RECEBIMENTO DE BENEFÍCIO DE PROGRAMA SOCIAL DE
COMPLEMENTAÇÃO OU SUPLEMENTAÇÃO DE RENDA DO GDF (PRATO CHEIO, DF
SOCIAL)
KELLY PEREIRA DOS SANTOS 981***.***-** 1 DEFERIDO
KELLY PEREIRA DOS SANTOS 981***.***-** 7 DEFERIDO
MARIANY GONCALVES MELO 042***.***-** 1 INDEFERIDO
CANDIDATO (A) NÃO APRESENTOU LAUDO MÉDICO COMPROBATÓRIO DA
ISENÇÃO DE
ACORDO COM A POSSIBILIDADE ESCOLHIDA (CAD. ÚNICO FEDERAL)
MARIANY GONCALVES MELO 042***.***-** 5 INDEFERIDO
CANDIDATO (A) NÃO APRESENTOU LAUDO MÉDICO COMPROBATÓRIO DA
ISENÇÃO DE
ACORDO COM A POSSIBILIDADE ESCOLHIDA (CAD. ÚNICO FEDERAL)
LAIS FERRAZ LIMA 023***.***-** 3 DEFERIDO
JOSÉ BENEDITO DE LIMA FILHO 636***.***-** 1 INDEFERIDO
CANDIDATO (A) NÃO APRESENTOU LAUDO MÉDICO COMPROBATÓRIO DA
ISENÇÃO DE
ACORDO COM A POSSIBILIDADE ESCOLHIDA (CAD. ÚNICO FEDERAL)
RAFAEL DE ASSIS RIBEIRO 028***.***-** 1 DEFERIDO
TAIS CEZAR DA CRUZ 055***.***-** 8 INDEFERIDO
CANDIDATO (A) NÃO APRESENTOU LAUDO MÉDICO COMPROBATÓRIO DA
ISENÇÃO DE
ACORDO COM A POSSIBILIDADE ESCOLHIDA (CAD. ÚNICO FEDERAL)
KAROLINA DE OLIVEIRA GONÇALVES 043***.***-** 8 INDEFERIDO
CANDIDATO (A) NÃO APRESENTOU LAUDO MÉDICO COMPROBATÓRIO DA
ISENÇÃO DE
ACORDO COM A POSSIBILIDADE ESCOLHIDA (CAD. ÚNICO FEDERAL)
KAROLINA DE OLIVEIRA GONÇALVES 043***.***-** 1 INDEFERIDO
CANDIDATO (A) NÃO APRESENTOU LAUDO MÉDICO COMPROBATÓRIO DA
ISENÇÃO DE
ACORDO COM A POSSIBILIDADE ESCOLHIDA (CAD. ÚNICO FEDERAL)
MATEUS DA CUNHA ROCHA 067***.***-** 8 DEFERIDO
DIEGO BARBOSA TAVARES 017***.***-** 1 INDEFERIDO
CANDIDATO (A) NÃO APRESENTOU DECLARAÇÃO EXPEDIDA PELO GDF QUE
COMPROVE RECEBIMENTO DE BENEFÍCIO DE PROGRAMA SOCIAL DE
COMPLEMENTAÇÃO OU SUPLEMENTAÇÃO DE RENDA DO GDF (PRATO CHEIO, DF
SOCIAL)
ANDREIA PEREIRA BRITO 725***.***-** 8 INDEFERIDO
CANDIDATO (A) NÃO APRESENTOU DECLARAÇÃO EXPEDIDA PELO GDF QUE
COMPROVE RECEBIMENTO DE BENEFÍCIO DE PROGRAMA SOCIAL DE
COMPLEMENTAÇÃO OU SUPLEMENTAÇÃO DE RENDA DO GDF (PRATO CHEIO, DF
SOCIAL)
VALDIANA LOPES DA SILVA 046***.***-** 7 DEFERIDO
IVERLENE PEREIRA COSTA 727***.***-** 1 DEFERIDO
IVERLENE PEREIRA COSTA 727***.***-** 2 DEFERIDO
MIRELLA DE OLIVEIRA LISBOA 094***.***-** 8 INDEFERIDO
CANDIDATO (A) NÃO APRESENTOU DOCUMENTAÇÃO EM PDF E LAUDO MÉDICO
COMPROBATÓRIO DA ISENÇÃO DE
ACORDO COM A POSSIBILIDADE ESCOLHIDA (CAD. ÚNICO FEDERAL)
ADRIANE PATRICIA MORAES 818***.***-** 5 INDEFERIDO
CANDIDATO (A) NÃO APRESENTOU DECLARAÇÃO EXPEDIDA PELO GDF QUE
COMPROVE RECEBIMENTO DE BENEFÍCIO DE PROGRAMA SOCIAL DE
COMPLEMENTAÇÃO OU SUPLEMENTAÇÃO DE RENDA DO GDF (PRATO CHEIO, DF
SOCIAL)
MIRLENE AGUIAR PONTES LIMA 709***.***-** 1 DEFERIDO
ANDREZA INGRID BARBOSA NASCIMENTO 050***.***-** 8 INDEFERIDO
CANDIDATO (A) NÃO APRESENTOU DECLARAÇÃO EXPEDIDA PELO GDF QUE
COMPROVE RECEBIMENTO DE BENEFÍCIO DE PROGRAMA SOCIAL DE
COMPLEMENTAÇÃO OU SUPLEMENTAÇÃO DE RENDA DO GDF (PRATO CHEIO, DF
SOCIAL)
ANDREZA INGRID BARBOSA NASCIMENTO 050***.***-** 1 INDEFERIDO
CANDIDATO (A) NÃO APRESENTOU DECLARAÇÃO EXPEDIDA PELO GDF QUE
COMPROVE RECEBIMENTO DE BENEFÍCIO DE PROGRAMA SOCIAL DE
COMPLEMENTAÇÃO OU SUPLEMENTAÇÃO DE RENDA DO GDF (PRATO CHEIO, DF
SOCIAL)
INGRID ELIZABETH MARQUES BARROS 061***.***-** 1 INDEFERIDO CANDIDATO (A) NÃO APRESENTOU DOCUMENTAÇÃO EXIGIDA EM PDF
ELIZABETH FERREIRA DE OLIVEIRA 620***.***-** 1 DEFERIDO
SARAH DA SILVA GADELHA 084***.***-** 1 INDEFERIDO
CANDIDATO (A) NÃO APRESENTOU DECLARAÇÃO EXPEDIDA PELO GDF QUE
COMPROVE RECEBIMENTO DE BENEFÍCIO DE PROGRAMA SOCIAL DE
COMPLEMENTAÇÃO OU SUPLEMENTAÇÃO DE RENDA DO GDF (PRATO CHEIO, DF
SOCIAL)
SARAH DA SILVA GADELHA 084***.***-** 5 INDEFERIDO
CANDIDATO (A) NÃO APRESENTOU UMA SOLICITAÇÃO DE ISENÇÃO COM UM
FORMULÁRIO PARA CADA CARGO E NÃO APRESENTOU DECLARAÇÃO EXPEDIDA
PELO GDF QUE COMPROVE RECEBIMENTO DE BENEFÍCIO DE PROGRAMA SOCIAL
DE COMPLEMENTAÇÃO OU SUPLEMENTAÇÃO DE RENDA DO GDF (PRATO CHEIO,
DF SOCIAL)
RUMANA PEREIRA BARRETO 483***.***-** 8 DEFERIDO
RÁVILA ESTER MENDES ALBUQUERQUE 087***.***-** 1 INDEFERIDO
CANDIDATO (A) NÃO APRESENTOU DECLARAÇÃO EXPEDIDA PELO GDF QUE
COMPROVE RECEBIMENTO DE BENEFÍCIO DE PROGRAMA SOCIAL DE
COMPLEMENTAÇÃO OU SUPLEMENTAÇÃO DE RENDA DO GDF (PRATO CHEIO, DF
SOCIAL)
MATHEUS DE SOUSA SILVA 076***.***-** 1 INDEFERIDO
CANDIDATO (A) NÃO APRESENTOU DECLARAÇÃO EXPEDIDA PELO GDF QUE
COMPROVE RECEBIMENTO DE BENEFÍCIO DE PROGRAMA SOCIAL DE
COMPLEMENTAÇÃO OU SUPLEMENTAÇÃO DE RENDA DO GDF (PRATO CHEIO, DF
SOCIAL)
PETTERSON DIEGO SILVA RODRIGUES 017***.***-** 1 INDEFERIDO CANDIDATO (A) NÃO APRESENTOU DOCUMENTAÇÃO EXIGIDA EM PDF
EVANGELISTA MANOEL DE SOUZA 878***.***-** 1 DEFERIDO
EDUARDO LUCENA DIAS 080***.***-** 1 INDEFERIDO
CANDIDATO (A) NÃO APRESENTOU DECLARAÇÃO EXPEDIDA PELO GDF QUE
COMPROVE RECEBIMENTO DE BENEFÍCIO DE PROGRAMA SOCIAL DE
COMPLEMENTAÇÃO OU SUPLEMENTAÇÃO DE RENDA DO GDF (PRATO CHEIO, DF
SOCIAL)
EURIVANE LIMA SOUZA 012***.***-** 1 DEFERIDO
ELIZABETH MEIRA DA SILVA RODRIGUES 794***.***-** 1 DEFERIDO
ELIZABETH MEIRA DA SILVA RODRIGUES 794***.***-** 5 DEFERIDO
DIANA ALANO REIS 001***.***-** 1 DEFERIDO
DIANA ALANO REIS 001***.***-** 3 DEFERIDO
JUCILEIA MARTINS LARA 718***.***-** 3 INDEFERIDO
CANDIDATO (A) NÃO APRESENTOU DECLARAÇÃO EXPEDIDA PELO GDF QUE
COMPROVE RECEBIMENTO DE BENEFÍCIO DE PROGRAMA SOCIAL DE
COMPLEMENTAÇÃO OU SUPLEMENTAÇÃO DE RENDA DO GDF (PRATO CHEIO, DF
SOCIAL)
TAINÁ ALVES DE JESUS MAGALHÃES 052***.***-** 6 INDEFERIDO
CANDIDATO (A) NÃO APRESENTOU DECLARAÇÃO EXPEDIDA PELO GDF QUE
COMPROVE RECEBIMENTO DE BENEFÍCIO DE PROGRAMA SOCIAL DE
COMPLEMENTAÇÃO OU SUPLEMENTAÇÃO DE RENDA DO GDF (PRATO CHEIO, DF
SOCIAL)
FABÍOLA ALVES DE MATOS 726***.***-** 1 INDEFERIDO
CANDIDATO (A) NÃO APRESENTOU DECLARAÇÃO EXPEDIDA PELO GDF QUE
COMPROVE RECEBIMENTO DE BENEFÍCIO DE PROGRAMA SOCIAL DE
COMPLEMENTAÇÃO OU SUPLEMENTAÇÃO DE RENDA DO GDF (PRATO CHEIO, DF
SOCIAL)
JÚLIA CLARA MAXIMINIANO 044***.***-** 1 DEFERIDO
MICKELLY SOUSA DOS SANTOS 065***.***-** 1 DEFERIDO
IVANY VIEIRA DE CASTRO 961***.***-** 1 INDEFERIDO
CANDIDATO (A) NÃO APRESENTOU LAUDO MÉDICO COMPROBATÓRIO DA
ISENÇÃO DE
ACORDO COM A POSSIBILIDADE ESCOLHIDA (CAD. ÚNICO FEDERAL)
IVANY VIEIRA DE CASTRO 961***.***-** 6 INDEFERIDO
CANDIDATO (A) NÃO APRESENTOU UMA SOLICITAÇÃO DE ISENÇÃO COM UM
FORMULÁRIO PARA CADA CARGO E NÃO APRESENTOU LAUDO MÉDICO
COMPROBATÓRIO DA ISENÇÃO DE ACORDO COM A POSSIBILIDADE ESCOLHIDA
(CAD. ÚNICO FEDERAL)
MARCOS ANDRADE DA SILVA 058***.***-** 1 DEFERIDO
MARCOS ANDRADE DA SILVA 058***.***-** 2 INDEFERIDO
CANDIDATO (A) NÃO APRESENTOU UMA SOLICITAÇÃO DE ISENÇÃO COM UM
FORMULÁRIO PARA CADA CARGO
JEANE ALMEIDA DA SILVA NASCIMENTO 831***.***-** 1 INDEFERIDO
CANDIDATO (A) NÃO APRESENTOU DECLARAÇÃO EXPEDIDA PELO GDF QUE
COMPROVE RECEBIMENTO DE BENEFÍCIO DE PROGRAMA SOCIAL DE
COMPLEMENTAÇÃO OU SUPLEMENTAÇÃO DE RENDA DO GDF (PRATO CHEIO, DF
SOCIAL)
POLLIANA FONSECA DE AGUIAR 724***.***-** 1 DEFERIDO
ALESSANDRA DE LIRA -***.***-** - INDEFERIDO
CANDIDATO (A) NÃO APRESENTOU DOCUMENTO DE IDENTIFICAÇÃO E NÃO
INFORMOU NO FORMULÁRIO O CARGO O QUAL DESEJA A ISENÇÃO
ANDRESSA LINS OLIVEIRA 108***.***-** 1 DEFERIDO
ANDRESSA LINS OLIVEIRA 108***.***-** 8 DEFERIDO
CARLOS MAGNO OLIVEIRA RIBEIRO 557***.***-** 1 DEFERIDO
MICHEL ANTONIO DA CUNHA 003***.***-** 1 INDEFERIDO CANDIDATO (A) NÃO APRESENTOU DOCUMENTAÇÃO EXIGIDA EM PDF
MATHEUS DE SOUSA SILVA 096***.***-** 7 INDEFERIDO
CANDIDATO (A) NÃO APRESENTOU DECLARAÇÃO EXPEDIDA PELO GDF QUE
COMPROVE RECEBIMENTO DE BENEFÍCIO DE PROGRAMA SOCIAL DE
COMPLEMENTAÇÃO OU SUPLEMENTAÇÃO DE RENDA DO GDF (PRATO CHEIO, DF
SOCIAL)
MATHEUS DE SOUSA SILVA 096***.***-** 1 INDEFERIDO
CANDIDATO (A) NÃO APRESENTOU DECLARAÇÃO EXPEDIDA PELO GDF QUE
COMPROVE RECEBIMENTO DE BENEFÍCIO DE PROGRAMA SOCIAL DE
COMPLEMENTAÇÃO OU SUPLEMENTAÇÃO DE RENDA DO GDF (PRATO CHEIO, DF
SOCIAL)
MÁRCIA MOREIRA CAMPOS 924***.***-** 1 INDEFERIDO
CANDIDATO (A) NÃO APRESENTOU DECLARAÇÃO EXPEDIDA PELO GDF QUE
COMPROVE RECEBIMENTO DE BENEFÍCIO DE PROGRAMA SOCIAL DE
COMPLEMENTAÇÃO OU SUPLEMENTAÇÃO DE RENDA DO GDF (PRATO CHEIO, DF
SOCIAL)
MÁRCIA MOREIRA CAMPOS 924***.***-** 7 INDEFERIDO
CANDIDATO (A) NÃO APRESENTOU UMA SOLICITAÇÃO DE ISENÇÃO COM UM
FORMULÁRIO PARA CADA CARGO E NÃO APRESENTOU DECLARAÇÃO EXPEDIDA
PELO GDF QUE COMPROVE RECEBIMENTO DE BENEFÍCIO DE PROGRAMA SOCIAL
DE COMPLEMENTAÇÃO OU SUPLEMENTAÇÃO DE RENDA DO GDF (PRATO CHEIO,
DF SOCIAL)
RAQUEL FERREIRA DA SILVA 057***.***-** 1 DEFERIDO
RAQUEL FERREIRA DA SILVA 057***.***-** 6 INDEFERIDO
CANDIDATO (A) NÃO APRESENTOU UMA SOLICITAÇÃO DE ISENÇÃO COM UM
FORMULÁRIO PARA CADA CARGO
NAYARA SILVA COELHO 024***.***-** 1 INDEFERIDO
CANDIDATO (A) NÃO APRESENTOU DECLARAÇÃO EXPEDIDA PELO GDF QUE
COMPROVE RECEBIMENTO DE BENEFÍCIO DE PROGRAMA SOCIAL DE
COMPLEMENTAÇÃO OU SUPLEMENTAÇÃO DE RENDA DO GDF (PRATO CHEIO, DF
SOCIAL)
NAYARA SILVA COELHO 024***.***-** 2 INDEFERIDO
CANDIDATO (A) NÃO APRESENTOU UMA SOLICITAÇÃO DE ISENÇÃO COM UM
FORMULÁRIO PARA CADA CARGO E NÃO APRESENTOU DECLARAÇÃO EXPEDIDA
PELO GDF QUE COMPROVE RECEBIMENTO DE BENEFÍCIO DE PROGRAMA SOCIAL
DE COMPLEMENTAÇÃO OU SUPLEMENTAÇÃO DE RENDA DO GDF (PRATO CHEIO,
DF SOCIAL)
WEYDER DA SILVA FELIX 078***.***-** 1 DEFERIDO
WEYDER DA SILVA FELIX 078***.***-** 7 DEFERIDO
ELIENE MARCELINA SOARES 019***.***-** 1 DEFERIDO
ANA RITA CAMILO DOS SANTOS 245***.***-** 1 INDEFERIDO
CANDIDATO (A) NÃO APRESENTOU DECLARAÇÃO EXPEDIDA PELO GDF QUE
COMPROVE RECEBIMENTO DE BENEFÍCIO DE PROGRAMA SOCIAL DE
COMPLEMENTAÇÃO OU SUPLEMENTAÇÃO DE RENDA DO GDF (PRATO CHEIO, DF
SOCIAL)
WANDERLEA MARIA DE BARROS LIMA 484***.***-** 6 INDEFERIDO
CANDIDATO (A) NÃO APRESENTOU DECLARAÇÃO EXPEDIDA PELO GDF QUE
COMPROVE RECEBIMENTO DE BENEFÍCIO DE PROGRAMA SOCIAL DE
COMPLEMENTAÇÃO OU SUPLEMENTAÇÃO DE RENDA DO GDF (PRATO CHEIO, DF
SOCIAL)
CHRISTIAN GRAY MOREIRA DOS SANTOS COSTA 111***.***-** 1 INDEFERIDO CANDIDATO (A) NÃO APRESENTOU DOCUMENTO DE IDENTIFICAÇÃO
CREUZA LOPES DA COSTA 334***.***-** 2 INDEFERIDO
CANDIDATO (A) NÃO APRESENTOU DECLARAÇÃO EXPEDIDA PELO GDF QUE
COMPROVE RECEBIMENTO DE BENEFÍCIO DE PROGRAMA SOCIAL DE
COMPLEMENTAÇÃO OU SUPLEMENTAÇÃO DE RENDA DO GDF (PRATO CHEIO, DF
SOCIAL)
ANA LÚCIA MACHADO 068***.***-** 5 INDEFERIDO
CANDIDATO (A) NÃO APRESENTOU LAUDO MÉDICO COMPROBATÓRIO DA
ISENÇÃO DE
ACORDO COM A POSSIBILIDADE ESCOLHIDA (CAD. ÚNICO FEDERAL)
ROBERTA LUANA DE MENDONÇA 064***.***-** 1 INDEFERIDO
CANDIDATO (A) NÃO APRESENTOU DECLARAÇÃO EXPEDIDA PELO GDF QUE
COMPROVE RECEBIMENTO DE BENEFÍCIO DE PROGRAMA SOCIAL DE
COMPLEMENTAÇÃO OU SUPLEMENTAÇÃO DE RENDA DO GDF (PRATO CHEIO, DF
SOCIAL)
ROBERTA LUANA DE MENDONÇA 064***.***-** 5 INDEFERIDO
CANDIDATO (A) NÃO APRESENTOU UMA SOLICITAÇÃO DE ISENÇÃO COM UM
FORMULÁRIO PARA CADA CARGO E NÃO APRESENTOU DECLARAÇÃO EXPEDIDA
PELO GDF QUE COMPROVE RECEBIMENTO DE BENEFÍCIO DE PROGRAMA SOCIAL
DE COMPLEMENTAÇÃO OU SUPLEMENTAÇÃO DE RENDA DO GDF (PRATO CHEIO,
DF SOCIAL)
ANANIAS ALVES SIQUEIRA 538***.***-** 1 DEFERIDO
PAULO SERGIO BASTOS DIAS 029***.***-** 3 INDEFERIDO
CANDIDATO (A) NÃO APRESENTOU LAUDO MÉDICO COMPROBATÓRIO DA
ISENÇÃO DE
ACORDO COM A POSSIBILIDADE ESCOLHIDA (CAD. ÚNICO FEDERAL)
LUCIMAR MARIA SANTANA DE OLIVEIRA 490***.***-** 1 INDEFERIDO
CANDIDATO (A) NÃO APRESENTOU DECLARAÇÃO EXPEDIDA PELO GDF QUE
COMPROVE RECEBIMENTO DE BENEFÍCIO DE PROGRAMA SOCIAL DE
COMPLEMENTAÇÃO OU SUPLEMENTAÇÃO DE RENDA DO GDF (PRATO CHEIO, DF
SOCIAL)
LUCIMAR MARIA SANTANA DE OLIVEIRA 490***.***-** 2 INDEFERIDO
CANDIDATO (A) NÃO APRESENTOU DECLARAÇÃO EXPEDIDA PELO GDF QUE
COMPROVE RECEBIMENTO DE BENEFÍCIO DE PROGRAMA SOCIAL DE
COMPLEMENTAÇÃO OU SUPLEMENTAÇÃO DE RENDA DO GDF (PRATO CHEIO, DF
SOCIAL)
MICHELLI PEREIRA COSTA 729***.***-** 1 DEFERIDO
ANDRÉIA DOS SANTOS 969***.***-** 1 INDEFERIDO
CANDIDATO (A) NÃO APRESENTOU DECLARAÇÃO EXPEDIDA PELO GDF QUE
COMPROVE RECEBIMENTO DE BENEFÍCIO DE PROGRAMA SOCIAL DE
COMPLEMENTAÇÃO OU SUPLEMENTAÇÃO DE RENDA DO GDF (PRATO CHEIO, DF
SOCIAL)
ANDRÉIA DOS SANTOS 969***.***-** 7 INDEFERIDO
CANDIDATO (A) NÃO APRESENTOU UMA SOLICITAÇÃO DE ISENÇÃO COM UM
FORMULÁRIO PARA CADA CARGO E NÃO APRESENTOU DECLARAÇÃO EXPEDIDA
PELO GDF QUE COMPROVE RECEBIMENTO DE BENEFÍCIO DE PROGRAMA SOCIAL
DE COMPLEMENTAÇÃO OU SUPLEMENTAÇÃO DE RENDA DO GDF (PRATO CHEIO,
DF SOCIAL)
PRISCILA CATARINE SOUZA BATISTA 029***.***-** 1 DEFERIDO
PRISCILA CATARINE SOUZA BATISTA 029***.***-** 8 DEFERIDO
PATRIK CARDOSO SILVA 068***.***-** 1 INDEFERIDO
CANDIDATO (A) NÃO APRESENTOU LAUDO MÉDICO COMPROBATÓRIO DA
ISENÇÃO DE
ACORDO COM A POSSIBILIDADE ESCOLHIDA (CAD. ÚNICO FEDERAL)
PATRIK CARDOSO SILVA 068***.***-** 7 INDEFERIDO
CANDIDATO (A) NÃO APRESENTOU LAUDO MÉDICO COMPROBATÓRIO DA
ISENÇÃO DE
ACORDO COM A POSSIBILIDADE ESCOLHIDA (CAD. ÚNICO FEDERAL)
JAQUELINE DO VALE BEZERRA 036***.***-** 1 DEFERIDO
ROBERTA LUANA DE MENDONCA 064***.***-** 1 INDEFERIDO
CANDIDATO (A) NÃO APRESENTOU DECLARAÇÃO EXPEDIDA PELO GDF QUE
COMPROVE RECEBIMENTO DE BENEFÍCIO DE PROGRAMA SOCIAL DE
COMPLEMENTAÇÃO OU SUPLEMENTAÇÃO DE RENDA DO GDF (PRATO CHEIO, DF
SOCIAL)
ROBERTA LUANA DE MENDONCA 064***.***-** 5 INDEFERIDO
CANDIDATO (A) NÃO APRESENTOU UMA SOLICITAÇÃO DE ISENÇÃO COM UM
FORMULÁRIO PARA CADA CARGO E NÃO APRESENTOU DECLARAÇÃO EXPEDIDA
PELO GDF QUE COMPROVE RECEBIMENTO DE BENEFÍCIO DE PROGRAMA SOCIAL
DE COMPLEMENTAÇÃO OU SUPLEMENTAÇÃO DE RENDA DO GDF (PRATO CHEIO,
DF SOCIAL)
GISELLEN CAMPOS DE SOUZA PEIXOTO 033***.***-** 1 DEFERIDO
THAÍS DE SOUZA REIS 011***.***-** 6 INDEFERIDO
CANDIDATO (A) NÃO APRESENTOU DECLARAÇÃO EXPEDIDA PELO GDF QUE
COMPROVE RECEBIMENTO DE BENEFÍCIO DE PROGRAMA SOCIAL DE
COMPLEMENTAÇÃO OU SUPLEMENTAÇÃO DE RENDA DO GDF (PRATO CHEIO, DF
SOCIAL)
THAÍS DE SOUZA REIS 011***.***-** 1 INDEFERIDO
CANDIDATO (A) NÃO APRESENTOU DECLARAÇÃO EXPEDIDA PELO GDF QUE
COMPROVE RECEBIMENTO DE BENEFÍCIO DE PROGRAMA SOCIAL DE
COMPLEMENTAÇÃO OU SUPLEMENTAÇÃO DE RENDA DO GDF (PRATO CHEIO, DF
SOCIAL)
YURI GUSTAVO DE SOUSA BARBALHO 049***.***-** 1 DEFERIDO
YURI GUSTAVO DE SOUSA BARBALHO 049***.***-** 7 INDEFERIDO
CANDIDATO (A) NÃO APRESENTOU UMA SOLICITAÇÃO DE ISENÇÃO COM UM
FORMULÁRIO PARA CADA CARGO
RENETA DE SOUZA PACHECO RESENDE 712***.***-** 1 DEFERIDO
FABRICIA DE CARVALHO MAIA 095***.***-** 6 INDEFERIDO
CANDIDATO (A) NÃO APRESENTOU LAUDO MÉDICO COMPROBATÓRIO DA
ISENÇÃO DE
ACORDO COM A POSSIBILIDADE ESCOLHIDA (CAD. ÚNICO FEDERAL)
ALESSANDRA DE SOUSA LIMA 930***.***-** 1 INDEFERIDO CANDIDATO (A) NÃO APRESENTOU DOCUMENTAÇÃO EXIGIDA
VÂNIA MARIA DA CONCEIÇÃO 908***.***-** 1 INDEFERIDO
CANDIDATO (A) NÃO APRESENTOU DECLARAÇÃO EXPEDIDA PELO GDF QUE
COMPROVE RECEBIMENTO DE BENEFÍCIO DE PROGRAMA SOCIAL DE
COMPLEMENTAÇÃO OU SUPLEMENTAÇÃO DE RENDA DO GDF (PRATO CHEIO, DF
SOCIAL)
VÂNIA MARIA DA CONCEIÇÃO 908***.***-** 2 INDEFERIDO
CANDIDATO (A) NÃO APRESENTOU DECLARAÇÃO EXPEDIDA PELO GDF QUE
COMPROVE RECEBIMENTO DE BENEFÍCIO DE PROGRAMA SOCIAL DE
COMPLEMENTAÇÃO OU SUPLEMENTAÇÃO DE RENDA DO GDF (PRATO CHEIO, DF
SOCIAL)
JEAM MARIO CAMELO MACHADO 775***.***-** 1 INDEFERIDO
CANDIDATO (A) NÃO APRESENTOU LAUDO MÉDICO COMPROBATÓRIO DA
ISENÇÃO DE
ACORDO COM A POSSIBILIDADE ESCOLHIDA (CAD. ÚNICO FEDERAL)
ROSEMBERG DE OLIVEIRA SILVA 012***.***-** 1 INDEFERIDO
CANDIDATO (A) NÃO APRESENTOU DECLARAÇÃO EXPEDIDA PELO GDF QUE
COMPROVE RECEBIMENTO DE BENEFÍCIO DE PROGRAMA SOCIAL DE
COMPLEMENTAÇÃO OU SUPLEMENTAÇÃO DE RENDA DO GDF (PRATO CHEIO, DF
SOCIAL)
IZENILDE PEREIRA DAS GRAÇAS 913***.***-** 6 INDEFERIDO
CANDIDATO (A) NÃO APRESENTOU DECLARAÇÃO EXPEDIDA PELO GDF QUE
COMPROVE RECEBIMENTO DE BENEFÍCIO DE PROGRAMA SOCIAL DE
COMPLEMENTAÇÃO OU SUPLEMENTAÇÃO DE RENDA DO GDF (PRATO CHEIO, DF
SOCIAL)
WILLIAM TEIXEIRA PEREIRA 033***.***-** 1 DEFERIDO
WILLIAM TEIXEIRA PEREIRA 033***.***-** 2 INDEFERIDO
CANDIDATO (A) NÃO APRESENTOU UMA SOLICITAÇÃO DE ISENÇÃO COM UM
FORMULÁRIO PARA CADA CARGO
EMERSON PEREIRA DA SILVA 823***.***-** 1 DEFERIDO
EMERSON PEREIRA DA SILVA 823***.***-** 5 DEFERIDO
ANDRÉ LUIS DE OLIVEIRA SANTOS 024***.***-** 6 DEFERIDO
ANGELO FONTENELE ROQUE ARAGÃO 026***.***-** 1 DEFERIDO
ANGELO FONTENELE ROQUE ARAGÃO 026***.***-** 7 DEFERIDO
CLAUDIA DOS REIS PEREIRA DE MEDEIROS 505***.***-** 1 INDEFERIDO
CANDIDATO (A) NÃO APRESENTOU DECLARAÇÃO EXPEDIDA PELO GDF QUE
COMPROVE RECEBIMENTO DE BENEFÍCIO DE PROGRAMA SOCIAL DE
COMPLEMENTAÇÃO OU SUPLEMENTAÇÃO DE RENDA DO GDF (PRATO CHEIO, DF
SOCIAL)
ELIENE MARCELINA SOARES 019***.***-** 1 DEFERIDO
LEIZIANE ARAUJO COELHO BARROS 030***.***-** 1 INDEFERIDO CANDIDATO (A) NÃO APRESENTOU DOCUMENTO DE IDENTIFICAÇÃO
LEIZIANE ARAUJO COELHO BARROS 030***.***-** 8 INDEFERIDO CANDIDATO (A) NÃO APRESENTOU DOCUMENTO DE IDENTIFICAÇÃO
KARLA ALVES DE SOUSA 011***.***-** 7 INDEFERIDO
CANDIDATO (A) NÃO APRESENTOU DECLARAÇÃO EXPEDIDA PELO GDF QUE
COMPROVE RECEBIMENTO DE BENEFÍCIO DE PROGRAMA SOCIAL DE
COMPLEMENTAÇÃO OU SUPLEMENTAÇÃO DE RENDA DO GDF (PRATO CHEIO, DF
SOCIAL)
JULIANA DOS SANTOS 731***.***-** 1 DEFERIDO
ROSANGELA DE LIMA XAVIER 634***.***-** 7 INDEFERIDO CANDIDATO (A) NÃO APRESENTOU DOCUMENTAÇÃO EXIGIDA
SIRLENE MEDEIROS DA SILVA 016***.***-** 1 INDEFERIDO
CANDIDATO (A) NÃO APRESENTOU DECLARAÇÃO EXPEDIDA PELO GDF QUE
COMPROVE RECEBIMENTO DE BENEFÍCIO DE PROGRAMA SOCIAL DE
COMPLEMENTAÇÃO OU SUPLEMENTAÇÃO DE RENDA DO GDF (PRATO CHEIO, DF
SOCIAL)
PEDRO HENRIQUE MENDES DE ALMEIDA 037***.***-** - INDEFERIDO
CANDIDATO (A) NÃO INFORMOU NO FORMULÁRIO O CARGO O QUAL DESEJA A
ISENÇÃO
REJANE MONTEIRO COSTA 029***.***-** 7 DEFERIDO
RAFAELLI MACIEL DA SILVA DE QUEIROZ 049***.***-** 8 DEFERIDO
FRANSUELLE BRAGA DE SOUSA 016***.***-** 1 INDEFERIDO
CANDIDATO (A) NÃO APRESENTOU DECLARAÇÃO EXPEDIDA PELO GDF QUE
COMPROVE RECEBIMENTO DE BENEFÍCIO DE PROGRAMA SOCIAL DE
COMPLEMENTAÇÃO OU SUPLEMENTAÇÃO DE RENDA DO GDF (PRATO CHEIO, DF
SOCIAL)
ANA CAROLINA DOURO DE AZEVEDO 051***.***-** 1 DEFERIDO
ANA CAROLINA DOURO DE AZEVEDO 051***.***-** 8 DEFERIDO
VICTORIA BEATRIZ REGO DE MACEDO 070***.***-** 1 INDEFERIDO
CANDIDATO (A) NÃO APRESENTOU DECLARAÇÃO EXPEDIDA PELO GDF QUE
COMPROVE RECEBIMENTO DE BENEFÍCIO DE PROGRAMA SOCIAL DE
COMPLEMENTAÇÃO OU SUPLEMENTAÇÃO DE RENDA DO GDF (PRATO CHEIO, DF
SOCIAL)
VICTORIA BEATRIZ REGO DE MACEDO 070***.***-** 6 INDEFERIDO
CANDIDATO (A) NÃO APRESENTOU DECLARAÇÃO EXPEDIDA PELO GDF QUE
COMPROVE RECEBIMENTO DE BENEFÍCIO DE PROGRAMA SOCIAL DE
COMPLEMENTAÇÃO OU SUPLEMENTAÇÃO DE RENDA DO GDF (PRATO CHEIO, DF
SOCIAL)
LAUANDA SILVA DE LIMA 070***.***-** 7 INDEFERIDO
CANDIDATO (A) NÃO APRESENTOU DECLARAÇÃO EXPEDIDA PELO GDF QUE
COMPROVE RECEBIMENTO DE BENEFÍCIO DE PROGRAMA SOCIAL DE
COMPLEMENTAÇÃO OU SUPLEMENTAÇÃO DE RENDA DO GDF (PRATO CHEIO, DF
SOCIAL)
LAUANDA SILVA DE LIMA 070***.***-** 1 INDEFERIDO
CANDIDATO (A) NÃO APRESENTOU DECLARAÇÃO EXPEDIDA PELO GDF QUE
COMPROVE RECEBIMENTO DE BENEFÍCIO DE PROGRAMA SOCIAL DE
COMPLEMENTAÇÃO OU SUPLEMENTAÇÃO DE RENDA DO GDF (PRATO CHEIO, DF
SOCIAL)
EMERSON MADSON MEGEREDO LEAL 028***.***-** 1 DEFERIDO
TATIANA LIMA RODRIGUES DA SILVA 006***.***-** 1 INDEFERIDO
CANDIDATO (A) NÃO APRESENTOU DECLARAÇÃO EXPEDIDA PELO GDF QUE
COMPROVE RECEBIMENTO DE BENEFÍCIO DE PROGRAMA SOCIAL DE
COMPLEMENTAÇÃO OU SUPLEMENTAÇÃO DE RENDA DO GDF (PRATO CHEIO, DF
SOCIAL)
RAWBATA DE OLIVEIRA LIMA -***.***-** - INDEFERIDO CANDIDATO (A) NÃO APRESENTOU DOCUMENTAÇÃO EXIGIDA
CHARLENE TELES PIGNATA 716***.***-** 1 DEFERIDO
FABÍOLA DIANE ALVES SANTOS 726***.***-** 1 DEFERIDO
EDNA DA SILVA RÊGO 705***.***-** 1 INDEFERIDO
CANDIDATO (A) NÃO APRESENTOU LAUDO MÉDICO COMPROBATÓRIO DA
ISENÇÃO DE
ACORDO COM A POSSIBILIDADE ESCOLHIDA (CAD. ÚNICO FEDERAL)
MARCOS HENRIQUE PONTES DE SOUZA -***.***-** - INDEFERIDO
CANDIDATO (A) NÃO APRESENTOU DOCUMENTO DE IDENTIFICAÇÃO E
FORMULÁRIO PARA PEDIDO DE ISENÇÃO
ANA ALANO REIS 930***.***-** 1 INDEFERIDO
CANDIDATO (A) NÃO APRESENTOU LAUDO MÉDICO COMPROBATÓRIO DA
ISENÇÃO DE
ACORDO COM A POSSIBILIDADE ESCOLHIDA (CAD. ÚNICO FEDERAL)
ANA ALANO REIS 930***.***-** 3 INDEFERIDO
CANDIDATO (A) NÃO APRESENTOU LAUDO MÉDICO COMPROBATÓRIO DA
ISENÇÃO DE
ACORDO COM A POSSIBILIDADE ESCOLHIDA (CAD. ÚNICO FEDERAL)
TERESINHA CAMILO SOARES 590***.***-** 1 DEFERIDO
LUIS PAULO ALVES COSTA 099***.***-** 1 INDEFERIDO CANDIDATO (A) NÃO APRESENTOU DOCUMENTAÇÃO EXIGIDA
JENIFFER PAULINA OLIVEIRA SANTOS 093***.***-** 1 DEFERIDO
ERICA SILVA DE OLIVEIRA 000***.***-** 1 INDEFERIDO CANDIDATO (A) NÃO APRESENTOU DOCUMENTAÇÃO EXIGIDA EM PDF
RAFAEL WESLEY DA SILVA DE OLIVEIRA 027***.***-** 3 INDEFERIDO
CANDIDATO (A) NÃO APRESENTOU LAUDO MÉDICO COMPROBATÓRIO DA
ISENÇÃO DE ACORDO COM A POSSIBILIDADE ESCOLHIDA (CAD. ÚNICO FEDERAL)
E COMPROVANTE DE CADASTRAMENTO NO CADASTRO ÚNICO
SILEDA MACHADO FERREIRA 881***.***-** 8 INDEFERIDO CANDIDATO (A) NÃO APRESENTOU FORMULÁRIO PARA PEDIDO DE ISENÇÃO
MARIA ANUNCIADA DO REGO 970***.***-** 6 INDEFERIDO
CANDIDATO (A) NÃO APRESENTOU DECLARAÇÃO EXPEDIDA PELO GDF QUE
COMPROVE RECEBIMENTO DE BENEFÍCIO DE PROGRAMA SOCIAL DE
COMPLEMENTAÇÃO OU SUPLEMENTAÇÃO DE RENDA DO GDF (PRATO CHEIO, DF
SOCIAL)
EVERTON DE ASSIS SILVA BARBOSA 722***.***-** 1 INDEFERIDO CANDIDATO (A) NÃO APRESENTOU DOCUMENTO DE IDENTIFICAÇÃO
KARINA RIBEIRO NEVES 034***.***-** 1 INDEFERIDO
CANDIDATO (A) NÃO APRESENTOU LAUDO MÉDICO COMPROBATÓRIO DA
ISENÇÃO DE ACORDO COM A POSSIBILIDADE ESCOLHIDA (CAD. ÚNICO FEDERAL)
E COMPROVANTE DE CADASTRAMENTO NO CADASTRO ÚNICO
JOSE CARLOS ALVES RIBEIRO FILHO 004***.***-** 1 DEFERIDO
MARIA JULIANA ALVES LOPES 056***.***-** 1 INDEFERIDO CANDIDATO (A) NÃO APRESENTOU DOCUMENTAÇÃO EXIGIDA
JOELMA CARDOSO DOS SANTOS 073***.***-** 2 INDEFERIDO
CANDIDATO (A) NÃO APRESENTOU DECLARAÇÃO EXPEDIDA PELO GDF QUE
COMPROVE RECEBIMENTO DE BENEFÍCIO DE PROGRAMA SOCIAL DE
COMPLEMENTAÇÃO OU SUPLEMENTAÇÃO DE RENDA DO GDF (PRATO CHEIO, DF
SOCIAL)
SABRINA MIRANDA BORGES 086***.***-** 4 INDEFERIDO
CANDIDATO (A) NÃO APRESENTOU DECLARAÇÃO EXPEDIDA PELO GDF QUE
COMPROVE RECEBIMENTO DE BENEFÍCIO DE PROGRAMA SOCIAL DE
COMPLEMENTAÇÃO OU SUPLEMENTAÇÃO DE RENDA DO GDF (PRATO CHEIO, DF
SOCIAL)
THIAGO ANTUNES DE OLIVEIRA CARDOSO 051***.***-** 1 INDEFERIDO CANDIDATO (A) NÃO APRESENTOU DOCUMENTO DE IDENTIFICAÇÃO
THIAGO ANTUNES DE OLIVEIRA CARDOSO 051***.***-** 2 INDEFERIDO CANDIDATO (A) NÃO APRESENTOU DOCUMENTO DE IDENTIFICAÇÃO
DAILANE RIOS DOURADO 041***.***-** - INDEFERIDO
CANDIDATO (A) NÃO APRESENTOU DECLARAÇÃO EXPEDIDA PELO GDF QUE
COMPROVE RECEBIMENTO DE BENEFÍCIO DE PROGRAMA SOCIAL DE
COMPLEMENTAÇÃO OU SUPLEMENTAÇÃO DE RENDA DO GDF (PRATO CHEIO, DF
SOCIAL) E NÃO INFORMOU O CARGO
GABRIELA PINTO ABREU 079***.***-** 6 INDEFERIDO
CANDIDATO (A) NÃO APRESENTOU DECLARAÇÃO EXPEDIDA PELO GDF QUE
COMPROVE RECEBIMENTO DE BENEFÍCIO DE PROGRAMA SOCIAL DE
COMPLEMENTAÇÃO OU SUPLEMENTAÇÃO DE RENDA DO GDF (PRATO CHEIO, DF
SOCIAL)
GLAUCO HENRIQUE BATISTA NUNES CARDOSO 100***.***-** 2 DEFERIDO
ALYANE BORGES SILVA 006***.***-** 1 DEFERIDO
AIMÊ DA SILVA NASCIMENTO NUNES 143***.***-** 5 DEFERIDO
KARINA ARAUJO BEZERRA 034***.***-** 1 DEFERIDO
JAQUELINE CAMPELO DO NASCIMENTO 068***.***-** 1 INDEFERIDO
CANDIDATO (A) NÃO APRESENTOU COMPROVANTE DE CADASTRAMENTO NO
CADASTRO ÚNICO
LUZIANE DOS SANTOS SILVA 002***.***-** 3 INDEFERIDO
CANDIDATO (A) NÃO APRESENTOU DECLARAÇÃO EXPEDIDA PELO GDF QUE
COMPROVE RECEBIMENTO DE BENEFÍCIO DE PROGRAMA SOCIAL DE
COMPLEMENTAÇÃO OU SUPLEMENTAÇÃO DE RENDA DO GDF (PRATO CHEIO, DF
SOCIAL)
AGATA CRISTIAN DOS SANTOS FERNANDES TELES 091***.***-** 7 INDEFERIDO
CANDIDATO (A) NÃO APRESENTOU DECLARAÇÃO EXPEDIDA PELO GDF QUE
COMPROVE RECEBIMENTO DE BENEFÍCIO DE PROGRAMA SOCIAL DE
COMPLEMENTAÇÃO OU SUPLEMENTAÇÃO DE RENDA DO GDF (PRATO CHEIO, DF
SOCIAL)
NELMA CRISTINA RIBEIRO GUERRA 016***.***-** 8 INDEFERIDO
CANDIDATO (A) NÃO APRESENTOU LAUDO MÉDICO COMPROBATÓRIO DA
ISENÇÃO DE
ACORDO COM A POSSIBILIDADE ESCOLHIDA (CAD. ÚNICO FEDERAL)
FABIO MIRANDA BEZERRA 937***.***-** 8 DEFERIDO
FERNANDO LUIZ FRAZÃO AGUIAR 697***.***-** 1 INDEFERIDO CANDIDATO (A) NÃO APRESENTOU DOCUMENTO DE IDENTIFICAÇÃO
FRANCIMILDE CARVALHO ARAÚJO DE MELO 012***.***-** 1 INDEFERIDO CANDIDATO (A) NÃO APRESENTOU DOCUMENTAÇÃO EXIGIDA
HUGO DE AMORIM OLIVEIRA 023***.***-** 2 DEFERIDO
KENIA CHAVES DOS SANTOS 704***.***-** 8 INDEFERIDO
CANDIDATO (A) NÃO APRESENTOU DECLARAÇÃO EXPEDIDA PELO GDF QUE
COMPROVE RECEBIMENTO DE BENEFÍCIO DE PROGRAMA SOCIAL DE
COMPLEMENTAÇÃO OU SUPLEMENTAÇÃO DE RENDA DO GDF (PRATO CHEIO, DF
SOCIAL)
KENIA CHAVES DOS SANTOS 704***.***-** 1 INDEFERIDO
CANDIDATO (A) NÃO APRESENTOU DECLARAÇÃO EXPEDIDA PELO GDF QUE
COMPROVE RECEBIMENTO DE BENEFÍCIO DE PROGRAMA SOCIAL DE
COMPLEMENTAÇÃO OU SUPLEMENTAÇÃO DE RENDA DO GDF (PRATO CHEIO, DF
SOCIAL)
RAYANE RODRIGUES DA SILVA 050***.***-** 2 INDEFERIDO
CANDIDATO (A) NÃO APRESENTOU DECLARAÇÃO EXPEDIDA PELO GDF QUE
COMPROVE RECEBIMENTO DE BENEFÍCIO DE PROGRAMA SOCIAL DE
COMPLEMENTAÇÃO OU SUPLEMENTAÇÃO DE RENDA DO GDF (PRATO CHEIO, DF
SOCIAL)
GLAUCO HENRIQUE BATISTA NUNES CARDOSO 100***.***-** 1 DEFERIDO
ZENILDE SOUZA DA SILVA 973***.***-** 1 DEFERIDO
ZENILDE SOUZA DA SILVA 973***.***-** 2 DEFERIDO
ALINE CRISTINA PEREIRA DE BRITO 012***.***-** 1 INDEFERIDO
CANDIDATO (A) NÃO APRESENTOU DOCUMENTO DE IDENTIFICAÇÃO E NÃO
ENVIOU DOCUMENTAÇÃO EM PDF
MICHELLE DE SOUSA 045***.***-** - INDEFERIDO CANDIDATO (A) NÃO APRESENTOU FORMULÁRIO PARA PEDIDO DE ISENÇÃO
PATRICIA SILVA DE SOUZA 910***.***-** 1 INDEFERIDO
CANDIDATO (A) NÃO APRESENTOU DECLARAÇÃO EXPEDIDA PELO GDF QUE
COMPROVE RECEBIMENTO DE BENEFÍCIO DE PROGRAMA SOCIAL DE
COMPLEMENTAÇÃO OU SUPLEMENTAÇÃO DE RENDA DO GDF (PRATO CHEIO, DF
SOCIAL)
PATRICIA SILVA DE SOUZA 910***.***-** 8 INDEFERIDO
CANDIDATO (A) NÃO APRESENTOU DECLARAÇÃO EXPEDIDA PELO GDF QUE
COMPROVE RECEBIMENTO DE BENEFÍCIO DE PROGRAMA SOCIAL DE
COMPLEMENTAÇÃO OU SUPLEMENTAÇÃO DE RENDA DO GDF (PRATO CHEIO, DF
SOCIAL)
ISADORA MOTA BEZERRA ARRAIS 053***.***-** 3 INDEFERIDO
CANDIDATO (A) NÃO APRESENTOU DECLARAÇÃO EXPEDIDA PELO GDF QUE
COMPROVE RECEBIMENTO DE BENEFÍCIO DE PROGRAMA SOCIAL DE
COMPLEMENTAÇÃO OU SUPLEMENTAÇÃO DE RENDA DO GDF (PRATO CHEIO, DF
SOCIAL)
DAIANE BATISTA DE OLIVEIRA 040***.***-** 1 INDEFERIDO
CANDIDATO (A) NÃO APRESENTOU DECLARAÇÃO EXPEDIDA PELO GDF QUE
COMPROVE RECEBIMENTO DE BENEFÍCIO DE PROGRAMA SOCIAL DE
COMPLEMENTAÇÃO OU SUPLEMENTAÇÃO DE RENDA DO GDF (PRATO CHEIO, DF
SOCIAL)
ROBERTO CASSIMIRO LIMA 859***.***-** 1 DEFERIDO
CINTIA MARIA DOS SANTOS 024***.***-** 3 INDEFERIDO CANDIDATO (A) NÃO APRESENTOU DOCUMENTAÇÃO EXIGIDA EM PDF
CINTIA MARIA DOS SANTOS 024***.***-** 1 INDEFERIDO CANDIDATO (A) NÃO APRESENTOU DOCUMENTAÇÃO EXIGIDA EM PDF
LAYCONE DA SILVA LEMES -***.***-** 8 INDEFERIDO CANDIDATO (A) NÃO APRESENTOU FORMULÁRIO PARA PEDIDO DE ISENÇÃO
ANTONIO FRANCISCO FURTADO DE SOUSA 659***.***-** 1 INDEFERIDO CANDIDATO (A) NÃO APRESENTOU DOCUMENTO DE IDENTIFICAÇÃO
ANTONIO FRANCISCO FURTADO DE SOUSA 659***.***-** 2 INDEFERIDO CANDIDATO (A) NÃO APRESENTOU DOCUMENTO DE IDENTIFICAÇÃO
CREARDO DIAS RIBEIRO 810***.***-** 1 DEFERIDO
CREARDO DIAS RIBEIRO 810***.***-** 8 INDEFERIDO
CANDIDATO (A) NÃO APRESENTOU UMA SOLICITAÇÃO DE ISENÇÃO COM UM
FORMULÁRIO PARA CADA CARGO
NAYARA EDUARDA SOARES DE MELO 041***.***-** 1 INDEFERIDO
CANDIDATO (A) NÃO APRESENTOU DECLARAÇÃO EXPEDIDA PELO GDF QUE
COMPROVE RECEBIMENTO DE BENEFÍCIO DE PROGRAMA SOCIAL DE
COMPLEMENTAÇÃO OU SUPLEMENTAÇÃO DE RENDA DO GDF (PRATO CHEIO, DF
SOCIAL)
JHONATA NUNES PATRICIO 705***.***-** 1 DEFERIDO
MICHELE RIBEIRO ARAUJO LIMA 838***.***-** 1 DEFERIDO
MIRIÃ FONSECA MELO 074***.***-** 1 INDEFERIDO
CANDIDATO (A) NÃO APRESENTOU DECLARAÇÃO EXPEDIDA PELO GDF QUE
COMPROVE RECEBIMENTO DE BENEFÍCIO DE PROGRAMA SOCIAL DE
COMPLEMENTAÇÃO OU SUPLEMENTAÇÃO DE RENDA DO GDF (PRATO CHEIO, DF
SOCIAL)
MAURA ROSA GRAÇA E SILVA 051***.***-** 1 INDEFERIDO
CANDIDATO (A) NÃO APRESENTOU DOCUMENTO DE IDENTIFICAÇÃO E
DECLARAÇÃO EXPEDIDA PELO GDF QUE COMPROVE RECEBIMENTO DE
BENEFÍCIO DE PROGRAMA SOCIAL DE COMPLEMENTAÇÃO OU SUPLEMENTAÇÃO
DE RENDA DO GDF (PRATO CHEIO, DF SOCIAL)
KARLA KÉSSIA SOUZA FURTADO 052***.***-** 1 INDEFERIDO
CANDIDATO (A) NÃO APRESENTOU DECLARAÇÃO EXPEDIDA PELO GDF QUE
COMPROVE RECEBIMENTO DE BENEFÍCIO DE PROGRAMA SOCIAL DE
COMPLEMENTAÇÃO OU SUPLEMENTAÇÃO DE RENDA DO GDF (PRATO CHEIO, DF
SOCIAL)
CINTIA GRAÇA DOS SANTOS 719***.***-** 5 INDEFERIDO
CANDIDATO (A) NÃO APRESENTOU DECLARAÇÃO EXPEDIDA PELO GDF QUE
COMPROVE RECEBIMENTO DE BENEFÍCIO DE PROGRAMA SOCIAL DE
COMPLEMENTAÇÃO OU SUPLEMENTAÇÃO DE RENDA DO GDF (PRATO CHEIO, DF
SOCIAL)
FILIPE TRIGUEIRO XAVIER CORREIA 057***.***-** 1 DEFERIDO
TAYNARA OLIVEIRA SOUSA 059***.***-** 8 INDEFERIDO CANDIDATO (A) NÃO APRESENTOU DOCUMENTO DE IDENTIFICAÇÃO
RENATA DE SOUSA FALCAO 032***.***-** 7 INDEFERIDO
CANDIDATO (A) NÃO APRESENTOU LAUDO MÉDICO COMPROBATÓRIO DA
ISENÇÃO DE
ACORDO COM A POSSIBILIDADE ESCOLHIDA (CAD. ÚNICO FEDERAL)
MARCELINO FLORENCIO DA SILVA 704***.***-** 1 INDEFERIDO
CANDIDATO (A) NÃO APRESENTOU DECLARAÇÃO EXPEDIDA PELO GDF QUE
COMPROVE RECEBIMENTO DE BENEFÍCIO DE PROGRAMA SOCIAL DE
COMPLEMENTAÇÃO OU SUPLEMENTAÇÃO DE RENDA DO GDF (PRATO CHEIO, DF
SOCIAL)
MARCELINO FLORENCIO DA SILVA 704***.***-** 4 INDEFERIDO
CANDIDATO (A) NÃO APRESENTOU DECLARAÇÃO EXPEDIDA PELO GDF QUE
COMPROVE RECEBIMENTO DE BENEFÍCIO DE PROGRAMA SOCIAL DE
COMPLEMENTAÇÃO OU SUPLEMENTAÇÃO DE RENDA DO GDF (PRATO CHEIO, DF
SOCIAL)
MARIA FRANCIMAR DOS SANTOS SILVA 811***.***-** 1 DEFERIDO
ALYNE MARIANA SANTOS DA MOTA 010***.***-** 1 DEFERIDO
GISELE VALADARES DE OLIVEIRA 707***.***-** 1 INDEFERIDO
CANDIDATO (A) NÃO APRESENTOU DECLARAÇÃO EXPEDIDA PELO GDF QUE
COMPROVE RECEBIMENTO DE BENEFÍCIO DE PROGRAMA SOCIAL DE
COMPLEMENTAÇÃO OU SUPLEMENTAÇÃO DE RENDA DO GDF (PRATO CHEIO, DF
SOCIAL)
GISELE VALADARES DE OLIVEIRA 707***.***-** 3 INDEFERIDO
CANDIDATO (A) NÃO APRESENTOU UMA SOLICITAÇÃO DE ISENÇÃO COM UM
FORMULÁRIO PARA CADA CARGO E NÃO APRESENTOU DECLARAÇÃO EXPEDIDA
PELO GDF QUE COMPROVE RECEBIMENTO DE BENEFÍCIO DE PROGRAMA SOCIAL
DE COMPLEMENTAÇÃO OU SUPLEMENTAÇÃO DE RENDA DO GDF (PRATO CHEIO,
DF SOCIAL)
ANA LUCIA MACHADO -***.***-** - INDEFERIDO
CANDIDATO (A) NÃO APRESENTOU DOCUMENTO DE IDENTIFICAÇÃO E
FORMULÁRIO PARA PEDIDO DE ISENÇÃO
WANDERSON GONÇALVES DA SILVA 006***.***-** 5 INDEFERIDO
CANDIDATO (A) NÃO APRESENTOU DECLARAÇÃO EXPEDIDA PELO GDF QUE
COMPROVE RECEBIMENTO DE BENEFÍCIO DE PROGRAMA SOCIAL DE
COMPLEMENTAÇÃO OU SUPLEMENTAÇÃO DE RENDA DO GDF (PRATO CHEIO, DF
SOCIAL)
WANDERSON GONÇALVES DA SILVA 006***.***-** 1 INDEFERIDO
CANDIDATO (A) NÃO APRESENTOU DECLARAÇÃO EXPEDIDA PELO GDF QUE
COMPROVE RECEBIMENTO DE BENEFÍCIO DE PROGRAMA SOCIAL DE
COMPLEMENTAÇÃO OU SUPLEMENTAÇÃO DE RENDA DO GDF (PRATO CHEIO, DF
SOCIAL)
ALICE CRISTINA PEREIRA DE BRITO 012***.***-** 1 INDEFERIDO CANDIDATO (A) NÃO APRESENTOU DOCUMENTAÇÃO EXIGIDA EM PDF
ÉLIDA BATISTA BERTOLAZI 726***.***-** 1 INDEFERIDO
CANDIDATO (A) NÃO APRESENTOU DECLARAÇÃO EXPEDIDA PELO GDF QUE
COMPROVE RECEBIMENTO DE BENEFÍCIO DE PROGRAMA SOCIAL DE
COMPLEMENTAÇÃO OU SUPLEMENTAÇÃO DE RENDA DO GDF (PRATO CHEIO, DF
SOCIAL)
ÉLIDA BATISTA BERTOLAZI 726***.***-** 8 INDEFERIDO
CANDIDATO (A) NÃO APRESENTOU DECLARAÇÃO EXPEDIDA PELO GDF QUE
COMPROVE RECEBIMENTO DE BENEFÍCIO DE PROGRAMA SOCIAL DE
COMPLEMENTAÇÃO OU SUPLEMENTAÇÃO DE RENDA DO GDF (PRATO CHEIO, DF
SOCIAL)
ANDRESSA MARIA DE OLIVEIRA ALVES 059***.***-** 1 DEFERIDO
MARCOS VINICIUS BRANDÃO DA SILVA 028***.***-** 1 DEFERIDO
MARCOS VINICIUS BRANDÃO DA SILVA 028***.***-** 2 DEFERIDO
FLAVIO JUNIO DA CONCEIÇÃO COSTA 028***.***-** 1 INDEFERIDO
CANDIDATO (A) NÃO APRESENTOU DECLARAÇÃO EXPEDIDA PELO GDF QUE
COMPROVE RECEBIMENTO DE BENEFÍCIO DE PROGRAMA SOCIAL DE
COMPLEMENTAÇÃO OU SUPLEMENTAÇÃO DE RENDA DO GDF (PRATO CHEIO, DF
SOCIAL)
GABRIEL ALVES GOMES 057***.***-** 1 DEFERIDO
AMANDA DAYSE E SILVA 076***.***-** 1 DEFERIDO
GUILHERME MENDES FREITAS 011***.***-** 4 DEFERIDO
LILIANE DE OLIVEIRA PENHA 058***.***-** - INDEFERIDO
CANDIDATO (A) NÃO APRESENTOU DECLARAÇÃO EXPEDIDA PELO GDF QUE
COMPROVE RECEBIMENTO DE BENEFÍCIO DE PROGRAMA SOCIAL DE
COMPLEMENTAÇÃO OU SUPLEMENTAÇÃO DE RENDA DO GDF (PRATO CHEIO, DF
SOCIAL) E NÃO INFORMOU O CARGO
RODRIGO MOUHAMAD BISPO DA SILVA 027***.***-** 1 DEFERIDO
RODRIGO MOUHAMAD BISPO DA SILVA 027***.***-** 2 DEFERIDO
BEATRIZ CRISTINA NAIMO 485***.***-** 5 INDEFERIDO
CANDIDATO (A) NÃO APRESENTOU LAUDO MÉDICO COMPROBATÓRIO DA
ISENÇÃO DE
ACORDO COM A POSSIBILIDADE ESCOLHIDA (CAD. ÚNICO FEDERAL)
BEATRIZ CRISTINA NAIMO 485***.***-** 1 INDEFERIDO
CANDIDATO (A) NÃO APRESENTOU LAUDO MÉDICO COMPROBATÓRIO DA
ISENÇÃO DE
ACORDO COM A POSSIBILIDADE ESCOLHIDA (CAD. ÚNICO FEDERAL)
KEMILLY SOARES FONSECA DA SILVA 032***.***-** 1 INDEFERIDO
CANDIDATO (A) NÃO APRESENTOU DECLARAÇÃO EXPEDIDA PELO GDF QUE
COMPROVE RECEBIMENTO DE BENEFÍCIO DE PROGRAMA SOCIAL DE
COMPLEMENTAÇÃO OU SUPLEMENTAÇÃO DE RENDA DO GDF (PRATO CHEIO, DF
SOCIAL)
EDUARDO DE FREITAS SOARES 734***.***-** 1 INDEFERIDO
CANDIDATO (A) NÃO APRESENTOU DECLARAÇÃO EXPEDIDA PELO GDF QUE
COMPROVE RECEBIMENTO DE BENEFÍCIO DE PROGRAMA SOCIAL DE
COMPLEMENTAÇÃO OU SUPLEMENTAÇÃO DE RENDA DO GDF (PRATO CHEIO, DF
SOCIAL)
EDUARDO DE FREITAS SOARES 734***.***-** 7 INDEFERIDO
CANDIDATO (A) NÃO APRESENTOU UMA SOLICITAÇÃO DE ISENÇÃO COM UM
FORMULÁRIO PARA CADA CARGO E NÃO APRESENTOU DECLARAÇÃO EXPEDIDA
PELO GDF QUE COMPROVE RECEBIMENTO DE BENEFÍCIO DE PROGRAMA SOCIAL
DE COMPLEMENTAÇÃO OU SUPLEMENTAÇÃO DE RENDA DO GDF (PRATO CHEIO,
DF SOCIAL)
MARINA RODRIGUES GOMES 064***.***-** 5 DEFERIDO
ANA PAULA DE AZEVEDO E SILVA 857***.***-** 1 DEFERIDO
LEILA DA SILVA MARTINS 703***.***-** 1 INDEFERIDO
CANDIDATO (A) NÃO APRESENTOU LAUDO MÉDICO COMPROBATÓRIO DA
ISENÇÃO DE
ACORDO COM A POSSIBILIDADE ESCOLHIDA (CAD. ÚNICO FEDERAL)
HUGO MOURAO FURTADO 828***.***-** 1 DEFERIDO
HUGO MOURAO FURTADO 828***.***-** 5 DEFERIDO
SORAYA ALVES SANTANA 026***.***-** 1 INDEFERIDO
CANDIDATO (A) NÃO APRESENTOU DOCUMENTO DE IDENTIFICAÇÃO E
FORMULÁRIO PARA PEDIDO DE ISENÇÃO
EMMILY JANE DA SILVA DE CAMPOS DE AQUINO 043***.***-** 1 INDEFERIDO
CANDIDATO (A) NÃO APRESENTOU DECLARAÇÃO EXPEDIDA PELO GDF QUE
COMPROVE RECEBIMENTO DE BENEFÍCIO DE PROGRAMA SOCIAL DE
COMPLEMENTAÇÃO OU SUPLEMENTAÇÃO DE RENDA DO GDF (PRATO CHEIO, DF
SOCIAL)
PATRYCIA GOMES DE FRANÇA 020***.***-** 2 DEFERIDO
SANDRA PEREIRA MACHADO 926***.***-** 6 INDEFERIDO CANDIDATO (A) NÃO APRESENTOU DOCUMENTO DE IDENTIFICAÇÃO
RANNA FERREIRA DOS SANTOS 022***.***-** 1 INDEFERIDO
CANDIDATO (A) NÃO APRESENTOU DECLARAÇÃO EXPEDIDA PELO GDF QUE
COMPROVE RECEBIMENTO DE BENEFÍCIO DE PROGRAMA SOCIAL DE
COMPLEMENTAÇÃO OU SUPLEMENTAÇÃO DE RENDA DO GDF (PRATO CHEIO, DF
SOCIAL)
JEFERSON SILVA DOS SANTOS 061***.***-** 1 DEFERIDO
PABLINE OLIVEIRA XAVIER 066***.***-** 1 INDEFERIDO
CANDIDATO (A) NÃO APRESENTOU DOCUMENTO DE IDENTIFICAÇÃO E
DECLARAÇÃO EXPEDIDA PELO GDF QUE COMPROVE RECEBIMENTO DE
BENEFÍCIO DE PROGRAMA SOCIAL DE COMPLEMENTAÇÃO OU SUPLEMENTAÇÃO
DE RENDA DO GDF (PRATO CHEIO, DF SOCIAL)
ELIZANJA ALVES DA SILVA 005***.***-** 8 INDEFERIDO
CANDIDATO (A) NÃO APRESENTOU LAUDO MÉDICO COMPROBATÓRIO DA
ISENÇÃO DE
ACORDO COM A POSSIBILIDADE ESCOLHIDA (CAD. ÚNICO FEDERAL)
LEONARDO DANTAS ORELLI 011***.***-** 1 DEFERIDO
JESSICA FERREIRA SILVA 038***.***-** 1 DEFERIDO
JESSICA FERREIRA SILVA 038***.***-** 4 DEFERIDO
JOSILENE KELLY PEREIRA 734***.***-** 1 INDEFERIDO
CANDIDATO (A) NÃO APRESENTOU DECLARAÇÃO EXPEDIDA PELO GDF QUE
COMPROVE RECEBIMENTO DE BENEFÍCIO DE PROGRAMA SOCIAL DE
COMPLEMENTAÇÃO OU SUPLEMENTAÇÃO DE RENDA DO GDF (PRATO CHEIO, DF
SOCIAL)
RICARDO PEREIRA DA SILVA 027***.***-** 7 INDEFERIDO
JESSICA MARIA PEREIRA DE SOUSA 127***.***-** 3 INDEFERIDO
CANDIDATO (A) NÃO APRESENTOU DECLARAÇÃO EXPEDIDA PELO GDF QUE
COMPROVE RECEBIMENTO DE BENEFÍCIO DE PROGRAMA SOCIAL DE
COMPLEMENTAÇÃO OU SUPLEMENTAÇÃO DE RENDA DO GDF (PRATO CHEIO, DF
SOCIAL)
SÔNIA MARIA DE JESUS DA SILVA OLIVEIRA 790***.***-** 1 INDEFERIDO CANDIDATO (A) NÃO APRESENTOU DOCUMENTO DE IDENTIFICAÇÃO
LUIZA LUCA ARAÚJO SANTOS 928***.***-** 7 DEFERIDO
CRISTINA BARBOSA DE AZEVEDO MIRANDA 828***.***-** 7 DEFERIDO
CRISTINA BARBOSA DE AZEVEDO MIRANDA 828***.***-** 1 DEFERIDO
SORAYA ALVES SANTANA 026***.***-** 8 INDEFERIDO
CANDIDATO (A) NÃO APRESENTOU DOCUMENTO DE IDENTIFICAÇÃO E
FORMULÁRIO PARA PEDIDO DE ISENÇÃO
AMANDA SATURNINO LEITE 065***.***-** 1 DEFERIDO
AMANDA SATURNINO LEITE 065***.***-** 2 DEFERIDO
ELDNA DIAS CARDOSO PINHEIRO 576***.***-** 8 DEFERIDO
MARIANA NASCIMENTO DA COSTA 063***.***-** - INDEFERIDO CANDIDATO (A) NÃO APRESENTOU DOCUMENTAÇÃO EXIGIDA
ANGELICA MARIA DE CARVALHO CUNHA 011***.***-** 1 DEFERIDO
LIRIA SANTOS DE SOUSA 706***.***-** 1 INDEFERIDO
LIRIA SANTOS DE SOUSA 706***.***-** 4 INDEFERIDO
CLARICE DE MOREIRA JESUS 014***.***-** 6 INDEFERIDO
CANDIDATO (A) NÃO APRESENTOU DOCUMENTAÇÃO EXIGIDA EM PDF E NÃO
APRESENTOU DECLARAÇÃO EXPEDIDA PELO GDF QUE COMPROVE
RECEBIMENTO DE BENEFÍCIO DE PROGRAMA SOCIAL DE COMPLEMENTAÇÃO OU
SUPLEMENTAÇÃO DE RENDA DO GDF (PRATO CHEIO, DF SOCIAL)
THANARA MORAIS SANTOS 045***.***-** 1 INDEFERIDO
CANDIDATO (A) NÃO APRESENTOU DECLARAÇÃO EXPEDIDA PELO GDF QUE
COMPROVE RECEBIMENTO DE BENEFÍCIO DE PROGRAMA SOCIAL DE
COMPLEMENTAÇÃO OU SUPLEMENTAÇÃO DE RENDA DO GDF (PRATO CHEIO, DF
SOCIAL)
THANARA MORAIS SANTOS 045***.***-** 6 INDEFERIDO
CANDIDATO (A) NÃO APRESENTOU UMA SOLICITAÇÃO DE ISENÇÃO COM UM
FORMULÁRIO PARA CADA CARGO E NÃO APRESENTOU DECLARAÇÃO EXPEDIDA
PELO GDF QUE COMPROVE RECEBIMENTO DE BENEFÍCIO DE PROGRAMA SOCIAL
DE COMPLEMENTAÇÃO OU SUPLEMENTAÇÃO DE RENDA DO GDF (PRATO CHEIO,
DF SOCIAL)
MARIA DE FÁTIMA BARBOSA DE SOUZA 994***.***-** 3 DEFERIDO
MARIA DE FÁTIMA BARBOSA DE SOUZA 994***.***-** 1 DEFERIDO
ITALO MAGELA DE PAULO SANTOS 025***.***-** - INDEFERIDO
CANDIDATO (A) NÃO APRESENTOU DOCUMENTO DE IDENTIFICAÇÃO E
FORMULÁRIO PARA PEDIDO DE ISENÇÃO
ADENILSO JOSE DOS SANTOS 930***.***-** 1 DEFERIDO
JÉSSIKA LORRAINE SALDANHA FONTINELE 060***.***-** 1 INDEFERIDO
CANDIDATO (A) NÃO APRESENTOU LAUDO MÉDICO COMPROBATÓRIO DA
ISENÇÃO DE
ACORDO COM A POSSIBILIDADE ESCOLHIDA (CAD. ÚNICO FEDERAL),
COMPROVANTE DE CADASTRAMENTO NO CADASTRO ÚNICO E NÃO INFORMOU
O CARGO
NOEMIA ROBERTA DA CUNHA 825***.***-** 8 INDEFERIDO
CANDIDATO (A) NÃO APRESENTOU DECLARAÇÃO EXPEDIDA PELO GDF QUE
COMPROVE RECEBIMENTO DE BENEFÍCIO DE PROGRAMA SOCIAL DE
COMPLEMENTAÇÃO OU SUPLEMENTAÇÃO DE RENDA DO GDF (PRATO CHEIO, DF
SOCIAL)
PAULO HENRIQUE OINTO ALVES 022***.***-** 1 DEFERIDO
ROSA MARIA TORRES E SILVA 003***.***-** 5 DEFERIDO
ROSA MARIA TORRES E SILVA 003***.***-** 1 DEFERIDO
NOELI OSTERKAMP 998***.***-** 1 DEFERIDO
HAMILTON DIAS DE ANDRADE 032***.***-** 5 DEFERIDO
EVANDRO JUNIO DOS SANTOS BEZERRA 067***.***-** - INDEFERIDO
CANDIDATO (A) NÃO APRESENTOU DOCUMENTO DE IDENTIFICAÇÃO E LAUDO
MÉDICO COMPROBATÓRIO DA ISENÇÃO DE ACORDO COM A POSSIBILIDADE
ESCOLHIDA (CAD. ÚNICO FEDERAL)
SANDRA LOPES DA ROCHA 037***.***-** 2 INDEFERIDO
CANDIDATO (A) NÃO APRESENTOU LAUDO MÉDICO COMPROBATÓRIO DA
ISENÇÃO DE
ACORDO COM A POSSIBILIDADE ESCOLHIDA (CAD. ÚNICO FEDERAL)
ANA LÚCIA RODIGUES DOS SANTOS 505***.***-** 1 INDEFERIDO
CANDIDATO (A) NÃO APRESENTOU DOCUMENTO DE IDENTIFICAÇÃO E LAUDO
MÉDICO COMPROBATÓRIO DA ISENÇÃO DE ACORDO COM A POSSIBILIDADE
ESCOLHIDA (CAD. ÚNICO FEDERAL)
KÊNIA FARIA VIANA DA SILVA 036***.***-** 1 DEFERIDO
KÊNIA FARIA VIANA DA SILVA 036***.***-** 5 DEFERIDO
VIVIANE GONÇALVES DA SILVA 619***.***-** 1 INDEFERIDO
CANDIDATO (A) NÃO APRESENTOU DECLARAÇÃO EXPEDIDA PELO GDF QUE
COMPROVE RECEBIMENTO DE BENEFÍCIO DE PROGRAMA SOCIAL DE
COMPLEMENTAÇÃO OU SUPLEMENTAÇÃO DE RENDA DO GDF (PRATO CHEIO, DF
SOCIAL)
VIVIANE GONÇALVES DA SILVA 619***.***-** 5 INDEFERIDO
CANDIDATO (A) NÃO APRESENTOU DECLARAÇÃO EXPEDIDA PELO GDF QUE
COMPROVE RECEBIMENTO DE BENEFÍCIO DE PROGRAMA SOCIAL DE
COMPLEMENTAÇÃO OU SUPLEMENTAÇÃO DE RENDA DO GDF (PRATO CHEIO, DF
SOCIAL)
ADRIANA ALICE MIRANDA BARBOZA 048***.***-** 2 INDEFERIDO
CANDIDATO (A) NÃO APRESENTOU DOCUMENTO DE IDENTIFICAÇÃO E
DECLARAÇÃO EXPEDIDA PELO GDF QUE COMPROVE RECEBIMENTO DE
BENEFÍCIO DE PROGRAMA SOCIAL DE COMPLEMENTAÇÃO OU SUPLEMENTAÇÃO
DE RENDA DO GDF (PRATO CHEIO, DF SOCIAL)
THALYTA KAREN CANDIDO FERNANDES 077***.***-** 2 INDEFERIDO
CANDIDATO (A) NÃO APRESENTOU DECLARAÇÃO EXPEDIDA PELO GDF QUE
COMPROVE RECEBIMENTO DE BENEFÍCIO DE PROGRAMA SOCIAL DE
COMPLEMENTAÇÃO OU SUPLEMENTAÇÃO DE RENDA DO GDF (PRATO CHEIO, DF
SOCIAL)
ANDERSON RICARDO DE ALMEIDA REIS 009***.***-** 1 DEFERIDO
JACÓ RIBEIRO MARCELLOS 994***.***-** 1 DEFERIDO
ELIAS ALMEIDA FERREIRA 039***.***-** 6 INDEFERIDO
CANDIDATO (A) NÃO APRESENTOU DECLARAÇÃO EXPEDIDA PELO GDF QUE
COMPROVE RECEBIMENTO DE BENEFÍCIO DE PROGRAMA SOCIAL DE
COMPLEMENTAÇÃO OU SUPLEMENTAÇÃO DE RENDA DO GDF (PRATO CHEIO, DF
SOCIAL)
JÚLIO CESAR SILVA SANTOS 459***.***-** 1 INDEFERIDO
CANDIDATO (A) NÃO APRESENTOU DOCUMENTO DE IDENTIFICAÇÃO E
COMPROVANTE DE CADASTRAMENTO NO CADASTRO ÚNICO
EDLAMARA VALE DE SOUSA LACERDA 027***.***-** 6 INDEFERIDO
CANDIDATO (A) NÃO APRESENTOU DECLARAÇÃO EXPEDIDA PELO GDF QUE
COMPROVE RECEBIMENTO DE BENEFÍCIO DE PROGRAMA SOCIAL DE
COMPLEMENTAÇÃO OU SUPLEMENTAÇÃO DE RENDA DO GDF (PRATO CHEIO, DF
SOCIAL)
ELIZA RIZZOLI 117***.***-** 1 DEFERIDO
RAQUEL LIMA RIBEIRO 076***.***-** 1 INDEFERIDO
CANDIDATO (A) NÃO APRESENTOU DECLARAÇÃO EXPEDIDA PELO GDF QUE
COMPROVE RECEBIMENTO DE BENEFÍCIO DE PROGRAMA SOCIAL DE
COMPLEMENTAÇÃO OU SUPLEMENTAÇÃO DE RENDA DO GDF (PRATO CHEIO, DF
SOCIAL)
LEILA KAILLANY DA SILVA MAGALHÃES 076***.***-** 1 INDEFERIDO
CANDIDATO (A) NÃO APRESENTOU LAUDO MÉDICO COMPROBATÓRIO DA
ISENÇÃO DE
ACORDO COM A POSSIBILIDADE ESCOLHIDA (CAD. ÚNICO FEDERAL)
ROSIMAR TURIAL DE MORAES 343***.***-** 1 DEFERIDO
DANIELLE DA SILVA DOS SANTOS 081***.***-** 7 INDEFERIDO
CANDIDATO (A) NÃO APRESENTOU DECLARAÇÃO EXPEDIDA PELO GDF QUE
COMPROVE RECEBIMENTO DE BENEFÍCIO DE PROGRAMA SOCIAL DE
COMPLEMENTAÇÃO OU SUPLEMENTAÇÃO DE RENDA DO GDF (PRATO CHEIO, DF
SOCIAL)
ALINE GUIMARAES 339***.***-** 1 INDEFERIDO CANDIDATO (A) NÃO APRESENTOU DOCUMENTAÇÃO EXIGIDA EM PDF
RENATO BRITO DA SILVA 926***.***-** 1 DEFERIDO
POLLYANA DA SILVA FERREIRA 056***.***-** 1 INDEFERIDO
CANDIDATO (A) NÃO APRESENTOU DECLARAÇÃO EXPEDIDA PELO GDF QUE
COMPROVE RECEBIMENTO DE BENEFÍCIO DE PROGRAMA SOCIAL DE
COMPLEMENTAÇÃO OU SUPLEMENTAÇÃO DE RENDA DO GDF (PRATO CHEIO, DF
SOCIAL)
LEONARDO ALVES DE SOUZA 040***.***-** 1 INDEFERIDO
CANDIDATO (A) NÃO APRESENTOU DECLARAÇÃO EXPEDIDA PELO GDF QUE
COMPROVE RECEBIMENTO DE BENEFÍCIO DE PROGRAMA SOCIAL DE
COMPLEMENTAÇÃO OU SUPLEMENTAÇÃO DE RENDA DO GDF (PRATO CHEIO, DF
SOCIAL)
GEOVANA DE CÁSSIA SILVA NASCIMENTO DOS SANTOS 849***.***-** 5 INDEFERIDO
CANDIDATO (A) NÃO APRESENTOU DECLARAÇÃO EXPEDIDA PELO GDF QUE
COMPROVE RECEBIMENTO DE BENEFÍCIO DE PROGRAMA SOCIAL DE
COMPLEMENTAÇÃO OU SUPLEMENTAÇÃO DE RENDA DO GDF (PRATO CHEIO, DF
SOCIAL)
BEATRIZ RODRIGUES GUERRA 731***.***-** 3 DEFERIDO
BEATRIZ RODRIGUES GUERRA 731***.***-** 1 DEFERIDO
MARCIANA DA COSTA 000***.***-** 5 INDEFERIDO
CANDIDATO (A) NÃO APRESENTOU LAUDO MÉDICO COMPROBATÓRIO DA
ISENÇÃO DE
ACORDO COM A POSSIBILIDADE ESCOLHIDA (CAD. ÚNICO FEDERAL)
LUCIANA GOMES DE ALMEIDA 688***.***-** 7 INDEFERIDO
CANDIDATO (A) NÃO APRESENTOU DECLARAÇÃO EXPEDIDA PELO GDF QUE
COMPROVE RECEBIMENTO DE BENEFÍCIO DE PROGRAMA SOCIAL DE
COMPLEMENTAÇÃO OU SUPLEMENTAÇÃO DE RENDA DO GDF (PRATO CHEIO, DF
SOCIAL)
FLÁVIA AUGUSTA DIAS CAMPOS 042***.***-** 1 DEFERIDO
MEYRIANNE REIS DIAS 706***.***-** - INDEFERIDO
CANDIDATO (A) NÃO APRESENTOU FORMULÁRIO PARA PEDIDO DE ISENÇÃO E
LAUDO MÉDICO COMPROBATÓRIO DA ISENÇÃO DE ACORDO COM A
POSSIBILIDADE ESCOLHIDA (CAD. ÚNICO FEDERAL)
FABIANA CARNEIRO DE FREITAS 804***.***-** 1 INDEFERIDO
CANDIDATO (A) NÃO APRESENTOU LAUDO MÉDICO COMPROBATÓRIO DA
ISENÇÃO DE
ACORDO COM A POSSIBILIDADE ESCOLHIDA (CAD. ÚNICO FEDERAL)
FABIANA CARNEIRO DE FREITAS 804***.***-** 2 INDEFERIDO
CANDIDATO (A) NÃO APRESENTOU LAUDO MÉDICO COMPROBATÓRIO DA
ISENÇÃO DE
ACORDO COM A POSSIBILIDADE ESCOLHIDA (CAD. ÚNICO FEDERAL)
MILLA TORRES ALVES 253***.***-** 1 INDEFERIDO
CANDIDATO (A) NÃO APRESENTOU DECLARAÇÃO EXPEDIDA PELO GDF QUE
COMPROVE RECEBIMENTO DE BENEFÍCIO DE PROGRAMA SOCIAL DE
COMPLEMENTAÇÃO OU SUPLEMENTAÇÃO DE RENDA DO GDF (PRATO CHEIO, DF
SOCIAL)
ANA PAULA OLIVEIRA CARDOSO BORGES 033***.***-** 4 INDEFERIDO
CANDIDATO (A) NÃO APRESENTOU LAUDO MÉDICO COMPROBATÓRIO DA
ISENÇÃO DE
ACORDO COM A POSSIBILIDADE ESCOLHIDA (CAD. ÚNICO FEDERAL)
THYANE SOLANGE SILVA LOBÃO 056***.***-** 8 INDEFERIDO
CLEIDE OLIVEIRA DA SILVA 827***.***-** 7 INDEFERIDO
CANDIDATO (A) NÃO APRESENTOU DECLARAÇÃO EXPEDIDA PELO GDF QUE
COMPROVE RECEBIMENTO DE BENEFÍCIO DE PROGRAMA SOCIAL DE
COMPLEMENTAÇÃO OU SUPLEMENTAÇÃO DE RENDA DO GDF (PRATO CHEIO, DF
SOCIAL)
LARA DINIZ BOBLAT 064***.***-** 1 DEFERIDO
LARA DINIZ BOBLAT 064***.***-** 4 INDEFERIDO
CANDIDATO (A) NÃO APRESENTOU UMA SOLICITAÇÃO DE ISENÇÃO COM UM
FORMULÁRIO PARA CADA CARGO
GLEICIANE LIMA FERREIRA 030***.***-** 1 INDEFERIDO
CANDIDATO (A) NÃO APRESENTOU DECLARAÇÃO EXPEDIDA PELO GDF QUE
COMPROVE RECEBIMENTO DE BENEFÍCIO DE PROGRAMA SOCIAL DE
COMPLEMENTAÇÃO OU SUPLEMENTAÇÃO DE RENDA DO GDF (PRATO CHEIO, DF
SOCIAL)
GLEICIANE LIMA FERREIRA 030***.***-** 7 INDEFERIDO
CANDIDATO (A) NÃO APRESENTOU DECLARAÇÃO EXPEDIDA PELO GDF QUE
COMPROVE RECEBIMENTO DE BENEFÍCIO DE PROGRAMA SOCIAL DE
COMPLEMENTAÇÃO OU SUPLEMENTAÇÃO DE RENDA DO GDF (PRATO CHEIO, DF
SOCIAL)
JEFFERSON DE SOUSA SANTOS 050***.***-** 8 INDEFERIDO
CANDIDATO (A) NÃO APRESENTOU DECLARAÇÃO EXPEDIDA PELO GDF QUE
COMPROVE RECEBIMENTO DE BENEFÍCIO DE PROGRAMA SOCIAL DE
COMPLEMENTAÇÃO OU SUPLEMENTAÇÃO DE RENDA DO GDF (PRATO CHEIO, DF
SOCIAL)
ELTON ANTONIO DE ALMEIDA 943***.***-** 2 DEFERIDO
ELTON ANTONIO DE ALMEIDA 943***.***-** 1 DEFERIDO
GLEYCIANE MARIA DA SILVA SALES 058***.***-** 1 INDEFERIDO
CANDIDATO (A) NÃO APRESENTOU LAUDO MÉDICO COMPROBATÓRIO DA
ISENÇÃO DE
ACORDO COM A POSSIBILIDADE ESCOLHIDA (CAD. ÚNICO FEDERAL)
MOISES FRANCISCO JOSE DOS SANTOS 698***.***-** 2 INDEFERIDO
CANDIDATO (A) NÃO APRESENTOU LAUDO MÉDICO COMPROBATÓRIO DA
ISENÇÃO DE
ACORDO COM A POSSIBILIDADE ESCOLHIDA (CAD. ÚNICO FEDERAL)
MILLA TORRES ALVES 253***.***-** 6 INDEFERIDO
CANDIDATO (A) NÃO APRESENTOU DECLARAÇÃO EXPEDIDA PELO GDF QUE
COMPROVE RECEBIMENTO DE BENEFÍCIO DE PROGRAMA SOCIAL DE
COMPLEMENTAÇÃO OU SUPLEMENTAÇÃO DE RENDA DO GDF (PRATO CHEIO, DF
SOCIAL)
JOSÉ MARIA VIANA DOS SANTOS 000***.***-** 1 INDEFERIDO
CANDIDATO (A) NÃO APRESENTOU DECLARAÇÃO EXPEDIDA PELO GDF QUE
COMPROVE RECEBIMENTO DE BENEFÍCIO DE PROGRAMA SOCIAL DE
COMPLEMENTAÇÃO OU SUPLEMENTAÇÃO DE RENDA DO GDF (PRATO CHEIO, DF
SOCIAL)
ALEX SANDRO ALVES 538***.***-** 1 INDEFERIDO
CANDIDATO (A) NÃO APRESENTOU DECLARAÇÃO EXPEDIDA PELO GDF QUE
COMPROVE RECEBIMENTO DE BENEFÍCIO DE PROGRAMA SOCIAL DE
COMPLEMENTAÇÃO OU SUPLEMENTAÇÃO DE RENDA DO GDF (PRATO CHEIO, DF
SOCIAL)
ALEX SANDRO ALVES 538***.***-** 8 INDEFERIDO
CANDIDATO (A) NÃO APRESENTOU DECLARAÇÃO EXPEDIDA PELO GDF QUE
COMPROVE RECEBIMENTO DE BENEFÍCIO DE PROGRAMA SOCIAL DE
COMPLEMENTAÇÃO OU SUPLEMENTAÇÃO DE RENDA DO GDF (PRATO CHEIO, DF
SOCIAL)
LUCELIA MARIA ALCANTARA ARAUJO 023***.***-** 2 INDEFERIDO CANDIDATO (A) NÃO APRESENTOU DOCUMENTO DE IDENTIFICAÇÃO
ANDRÉ SANTOS 048***.***-** 1 INDEFERIDO
CANDIDATO (A) NÃO APRESENTOU DECLARAÇÃO EXPEDIDA PELO GDF QUE
COMPROVE RECEBIMENTO DE BENEFÍCIO DE PROGRAMA SOCIAL DE
COMPLEMENTAÇÃO OU SUPLEMENTAÇÃO DE RENDA DO GDF (PRATO CHEIO, DF
SOCIAL)
JOSE LUIZ MACHADO 006***.***-** 1 INDEFERIDO
CANDIDATO (A) NÃO APRESENTOU LAUDO MÉDICO COMPROBATÓRIO DA
ISENÇÃO DE
ACORDO COM A POSSIBILIDADE ESCOLHIDA (CAD. ÚNICO FEDERAL)
LILIAN ÁDILA CRUZ SILVA 052***.***-** 7 DEFERIDO
GISLENE DA SILVA CAVALCANTE 029***.***-** 1 INDEFERIDO
CANDIDATO (A) NÃO APRESENTOU DECLARAÇÃO EXPEDIDA PELO GDF QUE
COMPROVE RECEBIMENTO DE BENEFÍCIO DE PROGRAMA SOCIAL DE
COMPLEMENTAÇÃO OU SUPLEMENTAÇÃO DE RENDA DO GDF (PRATO CHEIO, DF
SOCIAL)
BEATRIZ DOS REIS RIBEIRO 473***.***-** 1 DEFERIDO
BEATRIZ DOS REIS RIBEIRO 473***.***-** 8 DEFERIDO
THYAGO DA ROCHA MARTINS 063***.***-** 6 INDEFERIDO
CANDIDATO (A) NÃO APRESENTOU DECLARAÇÃO EXPEDIDA PELO GDF QUE
COMPROVE RECEBIMENTO DE BENEFÍCIO DE PROGRAMA SOCIAL DE
COMPLEMENTAÇÃO OU SUPLEMENTAÇÃO DE RENDA DO GDF (PRATO CHEIO, DF
SOCIAL)
NAILSON LOPES SILVA 061***.***-** 1 INDEFERIDO
CANDIDATO (A) NÃO APRESENTOU LAUDO MÉDICO COMPROBATÓRIO DA
ISENÇÃO DE ACORDO COM A POSSIBILIDADE ESCOLHIDA (CAD. ÚNICO FEDERAL)
E COMPROVANTE DE CADASTRAMENTO NO CADASTRO ÚNICO
ELAINE ALMEIDA DA SILVA 039***.***-** - INDEFERIDO
CANDIDATO (A) NÃO APRESENTOU DECLARAÇÃO EXPEDIDA PELO GDF QUE
COMPROVE RECEBIMENTO DE BENEFÍCIO DE PROGRAMA SOCIAL DE
COMPLEMENTAÇÃO OU SUPLEMENTAÇÃO DE RENDA DO GDF (PRATO CHEIO, DF
SOCIAL) E NÃO INFORMOU O CARGO
LÍVIA VIRGINA GONÇALVES TITOCO BARBOSA 868***.***-** 1 DEFERIDO
HELLEN FERREIRA RODRIGUES 707***.***-** 1 INDEFERIDO
CANDIDATO (A) NÃO APRESENTOU LAUDO MÉDICO COMPROBATÓRIO DA
ISENÇÃO DE ACORDO COM A POSSIBILIDADE ESCOLHIDA (CAD. ÚNICO FEDERAL)
E COMPROVANTE DE CADASTRAMENTO NO CADASTRO ÚNICO
MARIA DO ROZARIO FONSECA 006***.***-** 1 DEFERIDO
ANA LÍDIA CAVALCANTE ANDRADE 037***.***-** 1 DEFERIDO
ALAIR GUALBORTO DE BRITO 023***.***-** 1 DEFERIDO
LIVIA VIRGINIA GONCALVES TINOCO BARBOSA 868***.***-** 8 DEFERIDO
ROBERTO MARTINS DA ROCHA 033***.***-** 1 DEFERIDO
ROBERTO MARTINS DA ROCHA 033***.***-** 8 DEFERIDO
LUDIA DOS SANTOS LEMOS 875***.***-** 1 DEFERIDO
ROBSON ALMEIDA GOMES 037***.***-** 8 DEFERIDO
IGOR LIMA EDWARD 057***.***-** 3 DEFERIDO
IGOR LIMA EDWARD 057***.***-** 1 DEFERIDO
CRISTINA DIAS RODRIGUES 039***.***-** 8 INDEFERIDO
CANDIDATO (A) NÃO APRESENTOU LAUDO MÉDICO COMPROBATÓRIO DA
ISENÇÃO DE ACORDO COM A POSSIBILIDADE ESCOLHIDA (CAD. ÚNICO FEDERAL)
E COMPROVANTE DE CADASTRAMENTO NO CADASTRO ÚNICO
MARIA DENISE INACIO DOS SANTOS 545***.***-** 1 DEFERIDO
FRANCISCA DAS CHAGAS DE BRITO ARAUJO 603***.***-** 1 DEFERIDO
ROGERIO ROSAS SILVA 553***.***-** 8 INDEFERIDO CANDIDATO (A) NÃO APRESENTOU DOCUMENTAÇÃO EXIGIDA
GEOVANA DE OLIVEIRA LIMA 804***.***-** 7 INDEFERIDO
CANDIDATO (A) NÃO APRESENTOU DECLARAÇÃO EXPEDIDA PELO GDF QUE
COMPROVE RECEBIMENTO DE BENEFÍCIO DE PROGRAMA SOCIAL DE
COMPLEMENTAÇÃO OU SUPLEMENTAÇÃO DE RENDA DO GDF (PRATO CHEIO, DF
SOCIAL)
KAIO HENRIQUE DOS SANTOS SOUZA 052***.***-** 1 INDEFERIDO
CANDIDATO (A) NÃO APRESENTOU LAUDO MÉDICO COMPROBATÓRIO DA
ISENÇÃO DE
ACORDO COM A POSSIBILIDADE ESCOLHIDA (CAD. ÚNICO FEDERAL)
MESAQUE PEREIRA DA SILVA 718***.***-** 1 DEFERIDO
MARCUS VINICIUS NEVES DE SOUZA 002***.***-** 1 INDEFERIDO
MARCUS VINICIUS NEVES DE SOUZA 002***.***-** 8 INDEFERIDO CANDIDATO (A) NÃO APRESENTOU DOCUMENTAÇÃO EXIGIDA EM PDF
ERICA TATIANE DE FARIAS SANTOS 069***.***-** 2 INDEFERIDO CANDIDATO (A) NÃO APRESENTOU DOCUMENTAÇÃO EXIGIDA EM PDF
LORENNA OLIVEIRA GONÇALVES 043***.***-** 1 INDEFERIDO
CANDIDATO (A) NÃO APRESENTOU DECLARAÇÃO EXPEDIDA PELO GDF QUE
COMPROVE RECEBIMENTO DE BENEFÍCIO DE PROGRAMA SOCIAL DE
COMPLEMENTAÇÃO OU SUPLEMENTAÇÃO DE RENDA DO GDF (PRATO CHEIO, DF
SOCIAL)
DIOGO ALEXANDRE FERREIRA DA SILVA 863***.***-** 1 DEFERIDO
CAROLINA PAULA DOS SANTOS 723***.***-** 4 DEFERIDO
INGRED FRANÇA DA CUNHA 029***.***-** 7 INDEFERIDO
CANDIDATO (A) NÃO APRESENTOU LAUDO MÉDICO COMPROBATÓRIO DA
ISENÇÃO DE
ACORDO COM A POSSIBILIDADE ESCOLHIDA (CAD. ÚNICO FEDERAL)
FLAVIA ARAÚJO ALVES SANT ANNA 702***.***-** - INDEFERIDO
CANDIDATO (A) NÃO APRESENTOU DOCUMENTO DE IDENTIFICAÇÃO E
FORMULÁRIO PARA PEDIDO DE ISENÇÃO
ROGERIO ROSAS SILVA -***.***-** - INDEFERIDO CANDIDATO (A) NÃO APRESENTOU DOCUMENTAÇÃO EXIGIDA EM PDF
THALITA WOYRON DA SILVA ARAUJO 031***.***-** 5 INDEFERIDO
CANDIDATO (A) NÃO APRESENTOU LAUDO MÉDICO COMPROBATÓRIO DA
ISENÇÃO DE
ACORDO COM A POSSIBILIDADE ESCOLHIDA (CAD. ÚNICO FEDERAL)
IUGO LOPES DA COSTA 014***.***-** 1 INDEFERIDO CANDIDATO (A) NÃO APRESENTOU DOCUMENTAÇÃO EXIGIDA
JORGE LUIS OLIVEIRA GONÇALVES 062***.***-** 1 INDEFERIDO CANDIDATO (A) NÃO APRESENTOU DOCUMENTAÇÃO EXIGIDA
MARIA DE FATIMA DOS SANTOS REIS BRUSKI -***.***-** - INDEFERIDO CANDIDATO (A) NÃO APRESENTOU DOCUMENTAÇÃO EXIGIDA
LUIS MIGUEL BATISTA SALES 006***.***-** 1 INDEFERIDO
CANDIDATO (A) NÃO APRESENTOU DECLARAÇÃO EXPEDIDA PELO GDF QUE
COMPROVE RECEBIMENTO DE BENEFÍCIO DE PROGRAMA SOCIAL DE
COMPLEMENTAÇÃO OU SUPLEMENTAÇÃO DE RENDA DO GDF (PRATO CHEIO, DF
SOCIAL)
THAMARA GIORIETTI DE FREITAS TABOSA 727***.***-** 1 DEFERIDO
FLAVIANA RIBEIRO MARTINS 076***.***-** - INDEFERIDO CANDIDATO (A) NÃO APRESENTOU DOCUMENTAÇÃO EXIGIDA
LUIS MIGUEL BATISTA SALES 006***.***-** 8 INDEFERIDO
CANDIDATO (A) NÃO APRESENTOU DECLARAÇÃO EXPEDIDA PELO GDF QUE
COMPROVE RECEBIMENTO DE BENEFÍCIO DE PROGRAMA SOCIAL DE
COMPLEMENTAÇÃO OU SUPLEMENTAÇÃO DE RENDA DO GDF (PRATO CHEIO, DF
SOCIAL)
ELISAMA MENDONÇA DE SILVEIRA VIEIRA -***.***-** - INDEFERIDO CANDIDATO (A) NÃO APRESENTOU DOCUMENTAÇÃO EXIGIDA
LEILIANE DA SILVA MARTINS 731***.***-** 7 INDEFERIDO
CANDIDATO (A) NÃO APRESENTOU LAUDO MÉDICO COMPROBATÓRIO DA
ISENÇÃO DE
ACORDO COM A POSSIBILIDADE ESCOLHIDA (CAD. ÚNICO FEDERAL)
RAFAEL DOS SANTOS JESUS 721***.***-** 8 DEFERIDO
RAFAEL DOS SANTOS JESUS 721***.***-** 1 DEFERIDO
ISABELLE ANDRESSA DE SOUSA 025***.***-** 1 DEFERIDO
ISABELLE ANDRESSA DE SOUSA 025***.***-** 7 DEFERIDO
RODRIGO DANTAS ORELLI 043***.***-** 1 DEFERIDO
DENISE DE SOUZA BUARQUES LICURI 719***.***-** 7 INDEFERIDO
CANDIDATO (A) NÃO APRESENTOU DECLARAÇÃO EXPEDIDA PELO GDF QUE
COMPROVE RECEBIMENTO DE BENEFÍCIO DE PROGRAMA SOCIAL DE
COMPLEMENTAÇÃO OU SUPLEMENTAÇÃO DE RENDA DO GDF (PRATO CHEIO, DF
SOCIAL)
MAYRA LAYRE LOPES DE LIMA AMORIM 020***.***-** 8 DEFERIDO
VALDINÉIA CRISTINA DAS NEVES MACIANO 716***.***-** 2 INDEFERIDO
CANDIDATO (A) NÃO APRESENTOU DECLARAÇÃO EXPEDIDA PELO GDF QUE
COMPROVE RECEBIMENTO DE BENEFÍCIO DE PROGRAMA SOCIAL DE
COMPLEMENTAÇÃO OU SUPLEMENTAÇÃO DE RENDA DO GDF (PRATO CHEIO, DF
SOCIAL)
TAINAN DE ABREU DANTAS 017***.***-** 1 DEFERIDO
TAINAN DE ABREU DANTAS 017***.***-** 5 DEFERIDO
ADRIANA LINS TRAJANO VIEIRA 025***.***-** 3 DEFERIDO
ADRIANA LINS TRAJANO VIEIRA 025***.***-** 1 DEFERIDO
ANGÉLICA SOARES BORGES ALVES 039***.***-** 1 INDEFERIDO
CANDIDATO (A) NÃO APRESENTOU LAUDO MÉDICO COMPROBATÓRIO DA
ISENÇÃO DE
ACORDO COM A POSSIBILIDADE ESCOLHIDA (CAD. ÚNICO FEDERAL)
GESI DOS SANTOS CORREIA 081***.***-** 1 INDEFERIDO
CANDIDATO (A) NÃO APRESENTOU DECLARAÇÃO EXPEDIDA PELO GDF QUE
COMPROVE RECEBIMENTO DE BENEFÍCIO DE PROGRAMA SOCIAL DE
COMPLEMENTAÇÃO OU SUPLEMENTAÇÃO DE RENDA DO GDF (PRATO CHEIO, DF
SOCIAL)
FERNANDA COSTA DE DEUS 049***.***-** 1 INDEFERIDO
CANDIDATO (A) NÃO APRESENTOU LAUDO MÉDICO COMPROBATÓRIO DA
ISENÇÃO DE
ACORDO COM A POSSIBILIDADE ESCOLHIDA (CAD. ÚNICO FEDERAL)
FERNANDA COSTA DE DEUS 049***.***-** 2 INDEFERIDO
CANDIDATO (A) NÃO APRESENTOU LAUDO MÉDICO COMPROBATÓRIO DA
ISENÇÃO DE
ACORDO COM A POSSIBILIDADE ESCOLHIDA (CAD. ÚNICO FEDERAL)
MARIA NÚBIA SANTANA DE OLIVEIRA 679***.***-** 7 INDEFERIDO
CANDIDATO (A) NÃO APRESENTOU DECLARAÇÃO EXPEDIDA PELO GDF QUE
COMPROVE RECEBIMENTO DE BENEFÍCIO DE PROGRAMA SOCIAL DE
COMPLEMENTAÇÃO OU SUPLEMENTAÇÃO DE RENDA DO GDF (PRATO CHEIO, DF
SOCIAL)
KARINA ANUNCIAÇÃO DE SOUZA 052***.***-** 8 DEFERIDO
LEILA FÁTIMA DA SILVA OLIVEIRA 008***.***-** 1 INDEFERIDO
CANDIDATO (A) NÃO APRESENTOU LAUDO MÉDICO COMPROBATÓRIO DA
ISENÇÃO DE
ACORDO COM A POSSIBILIDADE ESCOLHIDA (CAD. ÚNICO FEDERAL)
LEILA FÁTIMA DA SILVA OLIVEIRA 008***.***-** 8 INDEFERIDO
CANDIDATO (A) NÃO APRESENTOU LAUDO MÉDICO COMPROBATÓRIO DA
ISENÇÃO DE
ACORDO COM A POSSIBILIDADE ESCOLHIDA (CAD. ÚNICO FEDERAL)
LUCAS GABRIEL ANUNCIAÇÃO DA SILVA 063***.***-** 8 INDEFERIDO
CANDIDATO (A) NÃO APRESENTOU DECLARAÇÃO EXPEDIDA PELO GDF QUE
COMPROVE RECEBIMENTO DE BENEFÍCIO DE PROGRAMA SOCIAL DE
COMPLEMENTAÇÃO OU SUPLEMENTAÇÃO DE RENDA DO GDF (PRATO CHEIO, DF
SOCIAL)
MARCIA CRESCENCIO PINHEIRO 713***.***-** 1 DEFERIDO
PAULONY CUSTÓDIO ARCANJO DA SILVA 037***.***-** 1 INDEFERIDO CANDIDATO (A) NÃO APRESENTOU DOCUMENTO DE IDENTIFICAÇÃO
PAULONY CUSTÓDIO ARCANJO DA SILVA 037***.***-** 6 INDEFERIDO CANDIDATO (A) NÃO APRESENTOU DOCUMENTO DE IDENTIFICAÇÃO
CICERO DIAS DE SÁ 668***.***-** 1 INDEFERIDO
CANDIDATO (A) NÃO APRESENTOU DECLARAÇÃO EXPEDIDA PELO GDF QUE
COMPROVE RECEBIMENTO DE BENEFÍCIO DE PROGRAMA SOCIAL DE
COMPLEMENTAÇÃO OU SUPLEMENTAÇÃO DE RENDA DO GDF (PRATO CHEIO, DF
SOCIAL)
CICERO DIAS DE SÁ 668***.***-** 8 INDEFERIDO
CANDIDATO (A) NÃO APRESENTOU DECLARAÇÃO EXPEDIDA PELO GDF QUE
COMPROVE RECEBIMENTO DE BENEFÍCIO DE PROGRAMA SOCIAL DE
COMPLEMENTAÇÃO OU SUPLEMENTAÇÃO DE RENDA DO GDF (PRATO CHEIO, DF
SOCIAL)
LARISSA XAVIER DA SILVA 017***.***-** 6 INDEFERIDO
CANDIDATO (A) NÃO APRESENTOU LAUDO MÉDICO COMPROBATÓRIO DA
ISENÇÃO DE
ACORDO COM A POSSIBILIDADE ESCOLHIDA (CAD. ÚNICO FEDERAL)
ISA SILVA OLIVEIRA 280***.***-** - INDEFERIDO
CANDIDATO (A) NÃO APRESENTOU DECLARAÇÃO EXPEDIDA PELO GDF QUE
COMPROVE RECEBIMENTO DE BENEFÍCIO DE PROGRAMA SOCIAL DE
COMPLEMENTAÇÃO OU SUPLEMENTAÇÃO DE RENDA DO GDF (PRATO CHEIO, DF
SOCIAL) E NÃO INFORMOU O CARGO
CONSUELO OLIVEIRA MOREIRA 491***.***-** 1 INDEFERIDO
CANDIDATO (A) NÃO APRESENTOU DECLARAÇÃO EXPEDIDA PELO GDF QUE
COMPROVE RECEBIMENTO DE BENEFÍCIO DE PROGRAMA SOCIAL DE
COMPLEMENTAÇÃO OU SUPLEMENTAÇÃO DE RENDA DO GDF (PRATO CHEIO, DF
SOCIAL)
MARIA EDUARDA CANABRAVA MENDES 078***.***-** 8 INDEFERIDO
CANDIDATO (A) NÃO APRESENTOU DECLARAÇÃO EXPEDIDA PELO GDF QUE
COMPROVE RECEBIMENTO DE BENEFÍCIO DE PROGRAMA SOCIAL DE
COMPLEMENTAÇÃO OU SUPLEMENTAÇÃO DE RENDA DO GDF (PRATO CHEIO, DF
SOCIAL)
ANTONIA DE MARIA DOS SANTOS 698***.***-** 1 DEFERIDO
DANIELLE TAVARES DE OLIVEIRA REIS 702***.***-** 1 INDEFERIDO
CANDIDATO (A) NÃO APRESENTOU DECLARAÇÃO EXPEDIDA PELO GDF QUE
COMPROVE RECEBIMENTO DE BENEFÍCIO DE PROGRAMA SOCIAL DE
COMPLEMENTAÇÃO OU SUPLEMENTAÇÃO DE RENDA DO GDF (PRATO CHEIO, DF
SOCIAL)
VANESSA GABRIELA MOTA FERRAZ 047***.***-** 1 DEFERIDO
ANA LUIZA SILVA CAMPOS 081***.***-** 6 INDEFERIDO
CANDIDATO (A) NÃO APRESENTOU DECLARAÇÃO EXPEDIDA PELO GDF QUE
COMPROVE RECEBIMENTO DE BENEFÍCIO DE PROGRAMA SOCIAL DE
COMPLEMENTAÇÃO OU SUPLEMENTAÇÃO DE RENDA DO GDF (PRATO CHEIO, DF
SOCIAL)
NÚBIA RAFAELA SILVA SOARES 070***.***-** 7 INDEFERIDO
CANDIDATO (A) NÃO APRESENTOU DECLARAÇÃO EXPEDIDA PELO GDF QUE
COMPROVE RECEBIMENTO DE BENEFÍCIO DE PROGRAMA SOCIAL DE
COMPLEMENTAÇÃO OU SUPLEMENTAÇÃO DE RENDA DO GDF (PRATO CHEIO, DF
SOCIAL)
GABRYELA SOUSA DOS SANTOS 049***.***-** 1 DEFERIDO
RAYANE MARANHAO DE SOUSA 042***.***-** 8 INDEFERIDO
CANDIDATO (A) NÃO APRESENTOU DECLARAÇÃO EXPEDIDA PELO GDF QUE
COMPROVE RECEBIMENTO DE BENEFÍCIO DE PROGRAMA SOCIAL DE
COMPLEMENTAÇÃO OU SUPLEMENTAÇÃO DE RENDA DO GDF (PRATO CHEIO, DF
SOCIAL)
RAYANE MARANHAO DE SOUSA 042***.***-** 1 INDEFERIDO
CANDIDATO (A) NÃO APRESENTOU DECLARAÇÃO EXPEDIDA PELO GDF QUE
COMPROVE RECEBIMENTO DE BENEFÍCIO DE PROGRAMA SOCIAL DE
COMPLEMENTAÇÃO OU SUPLEMENTAÇÃO DE RENDA DO GDF (PRATO CHEIO, DF
SOCIAL)
WILLIAN ANDRÉ DA SILVA 065***.***-** 4 DEFERIDO
APARECIDA SOCORRO DO NASCIMENTO 010***.***-** 1 DEFERIDO
APARECIDA SOCORRO DO NASCIMENTO 010***.***-** 2 DEFERIDO
NÚBI RAFAELA SILVA SOARES 070***.***-** 7 INDEFERIDO
CANDIDATO (A) NÃO APRESENTOU DECLARAÇÃO EXPEDIDA PELO GDF QUE
COMPROVE RECEBIMENTO DE BENEFÍCIO DE PROGRAMA SOCIAL DE
COMPLEMENTAÇÃO OU SUPLEMENTAÇÃO DE RENDA DO GDF (PRATO CHEIO, DF
SOCIAL)
ANA CAROLINA DOS ANJOS BARBOSA 076***.***-** 1 INDEFERIDO
CANDIDATO (A) NÃO APRESENTOU LAUDO MÉDICO COMPROBATÓRIO DA
ISENÇÃO DE
ACORDO COM A POSSIBILIDADE ESCOLHIDA (CAD. ÚNICO FEDERAL)
FRANCIVALDO DOS SANTOS GOMES 605***.***-** 1 DEFERIDO
HILTON ALVES DA SILVA 736***.***-** 1 DEFERIDO
HILTON ALVES DA SILVA 736***.***-** 8 DEFERIDO
ILSA SILVA OLIVEIRA 280***.***-** 3 INDEFERIDO
CANDIDATO (A) NÃO APRESENTOU DECLARAÇÃO EXPEDIDA PELO GDF QUE
COMPROVE RECEBIMENTO DE BENEFÍCIO DE PROGRAMA SOCIAL DE
COMPLEMENTAÇÃO OU SUPLEMENTAÇÃO DE RENDA DO GDF (PRATO CHEIO, DF
SOCIAL)
LAÍS DA SILVA SANTOS 090***.***-** 1 INDEFERIDO
MYLENE MEDEIROS DOS SANTOS 060***.***-** 7 INDEFERIDO
CANDIDATO (A) NÃO APRESENTOU DECLARAÇÃO EXPEDIDA PELO GDF QUE
COMPROVE RECEBIMENTO DE BENEFÍCIO DE PROGRAMA SOCIAL DE
COMPLEMENTAÇÃO OU SUPLEMENTAÇÃO DE RENDA DO GDF (PRATO CHEIO, DF
SOCIAL)
ANDREIA RIBEIRO CLAUDINO ROSA 000***.***-** 1 INDEFERIDO
CANDIDATO (A) NÃO APRESENTOU DECLARAÇÃO EXPEDIDA PELO GDF QUE
COMPROVE RECEBIMENTO DE BENEFÍCIO DE PROGRAMA SOCIAL DE
COMPLEMENTAÇÃO OU SUPLEMENTAÇÃO DE RENDA DO GDF (PRATO CHEIO, DF
SOCIAL)
SHIRLEY BARCELOS TAVARES 039***.***-** 8 DEFERIDO
KATARYNA ALVES DO NASCIMENTO 027***.***-** 7 INDEFERIDO
CANDIDATO (A) NÃO APRESENTOU LAUDO MÉDICO COMPROBATÓRIO DA
ISENÇÃO DE
ACORDO COM A POSSIBILIDADE ESCOLHIDA (CAD. ÚNICO FEDERAL)
ROSANGELA PEREIRA DIAS 861***.***-** 1 INDEFERIDO
CANDIDATO (A) NÃO APRESENTOU DECLARAÇÃO EXPEDIDA PELO GDF QUE
COMPROVE RECEBIMENTO DE BENEFÍCIO DE PROGRAMA SOCIAL DE
COMPLEMENTAÇÃO OU SUPLEMENTAÇÃO DE RENDA DO GDF (PRATO CHEIO, DF
SOCIAL)
RAEL NUNES DE OLIVEIRA 073***.***-** 8 DEFERIDO
ÉRICSON DE SOUZA CUSTODIO QUEIRÓZ 072***.***-** 1 INDEFERIDO
CANDIDATO (A) NÃO APRESENTOU DECLARAÇÃO EXPEDIDA PELO GDF QUE
COMPROVE RECEBIMENTO DE BENEFÍCIO DE PROGRAMA SOCIAL DE
COMPLEMENTAÇÃO OU SUPLEMENTAÇÃO DE RENDA DO GDF (PRATO CHEIO, DF
SOCIAL)
IVONETE PEREIRA NUNES 964***.***-** 1 INDEFERIDO
CANDIDATO (A) NÃO APRESENTOU DECLARAÇÃO EXPEDIDA PELO GDF QUE
COMPROVE RECEBIMENTO DE BENEFÍCIO DE PROGRAMA SOCIAL DE
COMPLEMENTAÇÃO OU SUPLEMENTAÇÃO DE RENDA DO GDF (PRATO CHEIO, DF
SOCIAL)
IVONETE PEREIRA NUNES 964***.***-** 3 INDEFERIDO
CANDIDATO (A) NÃO APRESENTOU DECLARAÇÃO EXPEDIDA PELO GDF QUE
COMPROVE RECEBIMENTO DE BENEFÍCIO DE PROGRAMA SOCIAL DE
COMPLEMENTAÇÃO OU SUPLEMENTAÇÃO DE RENDA DO GDF (PRATO CHEIO, DF
SOCIAL)
PABLO MIRANDA DOS SANTOS 067***.***-** 1 DEFERIDO
IRISLANE PIRES DA COSTA 603***.***-** 5 INDEFERIDO
CANDIDATO (A) NÃO APRESENTOU LAUDO MÉDICO COMPROBATÓRIO DA
ISENÇÃO DE
ACORDO COM A POSSIBILIDADE ESCOLHIDA (CAD. ÚNICO FEDERAL)
ROBSON SACRAMENTO FEREIRA 060***.***-** 1 DEFERIDO
ROBSON SACRAMENTO FEREIRA 060***.***-** 6 DEFERIDO
FLAVIO DOS SANTOS PORTO 920***.***-** 2 DEFERIDO
ARTHUR HENRIQUE DE LIMA ALVES 068***.***-** 1 DEFERIDO
ARTHUR HENRIQUE DE LIMA ALVES 068***.***-** 7 DEFERIDO
JOANA CRISTINA COSTA MARQUES 009***.***-** 1 DEFERIDO
LETÍCIA GABRIELY SOUZA E ROCHA 068***.***-** 1 INDEFERIDO
CANDIDATO (A) NÃO ENVIOU A DOCUMENTAÇÃO EM PDF E NÃO APRESENTOU
DECLARAÇÃO EXPEDIDA PELO GDF QUE COMPROVE RECEBIMENTO DE
BENEFÍCIO DE PROGRAMA SOCIAL DE COMPLEMENTAÇÃO OU SUPLEMENTAÇÃO
DE RENDA DO GDF (PRATO CHEIO, DF SOCIAL)
MARIZA SANTOS NUNES 024***.***-** - INDEFERIDO CANDIDATO (A) NÃO APRESENTOU FORMULÁRIO PARA PEDIDO DE ISENÇÃO
RAIMUNDA NONATA VASCONCELOS SILVA NETA 046***.***-** 1 INDEFERIDO
RAIMUNDA NONATA VASCONCELOS SILVA NETA 046***.***-** 2 INDEFERIDO
ISABELA DE PINHO RODRIGUES 055***.***-** 1 DEFERIDO
ISABELA DE PINHO RODRIGUES 055***.***-** 6 DEFERIDO
ÂNGELA MARIA REZENDE DOS SANTOS 888***.***-** 8 DEFERIDO
LUANA MEDEIROS DE MOURA 950***.***-** 1 INDEFERIDO
CANDIDATO (A) NÃO APRESENTOU DOCUMENTO DE IDENTIFICAÇÃO E
COMPROVANTES
DE PRESTAÇÃO DE SERVIÇOS À JUSTIÇA ELEITORAL POR, NO MÍNIMO, DUAS
ELEIÇÕES
JULIO CESAR MORAIS NASCIMENTO -***.***-** - INDEFERIDO CANDIDATO (A) NÃO APRESENTOU DOCUMENTAÇÃO EXIGIDA
THAMARA DE OLIVEIRA 039***.***-** 7 DEFERIDO
FRANCISCA MARIA CARVALHO NASCIMENTO 053***.***-** 8 DEFERIDO
JOILSON SILVA DOS SANTOS 984***.***-** 1 DEFERIDO
VIRGINIA PEREIRA NEPOMUCENO 943***.***-** 3 INDEFERIDO
CANDIDATO (A) NÃO ENVIOU A DOCUMENTAÇÃO EM PDF E NÃO APRESENTOU
DECLARAÇÃO EXPEDIDA PELO GDF QUE COMPROVE RECEBIMENTO DE
BENEFÍCIO DE PROGRAMA SOCIAL DE COMPLEMENTAÇÃO OU SUPLEMENTAÇÃO
DE RENDA DO GDF (PRATO CHEIO, DF SOCIAL)
CHERLYS STEFANIA MACHADO DA SILVA 036***.***-** - INDEFERIDO CANDIDATO (A) NÃO APRESENTOU DOCUMENTAÇÃO EXIGIDA
PAULA CRISTIANE C DO NASCIMENTO 012***.***-** 8 INDEFERIDO CANDIDATO (A) NÃO APRESENTOU DOCUMENTAÇÃO EXIGIDA
ANA ELIZABETH OLIVEIRA LIMA 034***.***-** 1 INDEFERIDO
CANDIDATO (A) NÃO APRESENTOU DECLARAÇÃO EXPEDIDA PELO GDF QUE
COMPROVE RECEBIMENTO DE BENEFÍCIO DE PROGRAMA SOCIAL DE
COMPLEMENTAÇÃO OU SUPLEMENTAÇÃO DE RENDA DO GDF (PRATO CHEIO, DF
SOCIAL)
ANTONIA MARIA PORTELA MUNIZ 054***.***-** 7 DEFERIDO
ANTONIA MARIA PORTELA MUNIZ 054***.***-** 1 DEFERIDO
KELLY SARAIVA DE SOUSA 011***.***-** 1 DEFERIDO
JOSILENE PEREIRA VARGAS 989***.***-** 3 INDEFERIDO
CANDIDATO (A) NÃO ENVIOU A DOCUMENTAÇÃO EM PDF E NÃO APRESENTOU
DECLARAÇÃO EXPEDIDA PELO GDF QUE COMPROVE RECEBIMENTO DE
BENEFÍCIO DE PROGRAMA SOCIAL DE COMPLEMENTAÇÃO OU SUPLEMENTAÇÃO
DE RENDA DO GDF (PRATO CHEIO, DF SOCIAL)
JOSILENE PEREIRA VARGAS 989***.***-** 1 INDEFERIDO
CANDIDATO (A) NÃO ENVIOU A DOCUMENTAÇÃO EM PDF E NÃO APRESENTOU
DECLARAÇÃO EXPEDIDA PELO GDF QUE COMPROVE RECEBIMENTO DE
BENEFÍCIO DE PROGRAMA SOCIAL DE COMPLEMENTAÇÃO OU SUPLEMENTAÇÃO
DE RENDA DO GDF (PRATO CHEIO, DF SOCIAL)
IOLANDA LOPES DA ROCHA 002***.***-** 2 INDEFERIDO
CANDIDATO (A) NÃO ENVIOU A DOCUMENTAÇÃO EM PDF E NÃO APRESENTOU
DECLARAÇÃO EXPEDIDA PELO GDF QUE COMPROVE RECEBIMENTO DE
BENEFÍCIO DE PROGRAMA SOCIAL DE COMPLEMENTAÇÃO OU SUPLEMENTAÇÃO
DE RENDA DO GDF (PRATO CHEIO, DF SOCIAL)
JOSEANDY ALVES DE OLIVEIRA 033***.***-** 1 INDEFERIDO
CANDIDATO (A) NÃO ENVIOU A DOCUMENTAÇÃO EM PDF E NÃO APRESENTOU
DECLARAÇÃO EXPEDIDA PELO GDF QUE COMPROVE RECEBIMENTO DE
BENEFÍCIO DE PROGRAMA SOCIAL DE COMPLEMENTAÇÃO OU SUPLEMENTAÇÃO
DE RENDA DO GDF (PRATO CHEIO, DF SOCIAL)
JOSEANDY ALVES DE OLIVEIRA 033***.***-** 2 INDEFERIDO
CANDIDATO (A) NÃO ENVIOU A DOCUMENTAÇÃO EM PDF E NÃO APRESENTOU
DECLARAÇÃO EXPEDIDA PELO GDF QUE COMPROVE RECEBIMENTO DE
BENEFÍCIO DE PROGRAMA SOCIAL DE COMPLEMENTAÇÃO OU SUPLEMENTAÇÃO
DE RENDA DO GDF (PRATO CHEIO, DF SOCIAL)
FRANCISCA MARIA CARVALHO NASCIMENTO 053***.***-** 1 DEFERIDO
LETÍCIA ALVES DOS SANTOS 013***.***-** 1 INDEFERIDO
CANDIDATO (A) NÃO APRESENTOU LAUDO MÉDICO COMPROBATÓRIO DA
ISENÇÃO DE
ACORDO COM A POSSIBILIDADE ESCOLHIDA (CAD. ÚNICO FEDERAL)
LETÍCIA ALVES DOS SANTOS 013***.***-** 2 INDEFERIDO
CANDIDATO (A) NÃO APRESENTOU LAUDO MÉDICO COMPROBATÓRIO DA
ISENÇÃO DE
ACORDO COM A POSSIBILIDADE ESCOLHIDA (CAD. ÚNICO FEDERAL)
DANIELLY DE CARVALHO RAMOS 731***.***-** 1 DEFERIDO
ROSANGELA PEREIRA DIAS 861***.***-** 7 INDEFERIDO
CANDIDATO (A) NÃO APRESENTOU DECLARAÇÃO EXPEDIDA PELO GDF QUE
COMPROVE RECEBIMENTO DE BENEFÍCIO DE PROGRAMA SOCIAL DE
COMPLEMENTAÇÃO OU SUPLEMENTAÇÃO DE RENDA DO GDF (PRATO CHEIO, DF
SOCIAL)
FRANCISCA MARIA CARVALHO NASCIMENTO 053***.***-** 8 DEFERIDO
DANIELLY DE CARVALHO RAMOS -***.***-** 3 INDEFERIDO CANDIDATO (A) NÃO APRESENTOU NENHUMA DOCUMENTAÇÃO
LETICIA FIGUEIREDO DA SILVA 055***.***-** 1 INDEFERIDO CANDIDATO (A) NÃO APRESENTOU DOCUMENTAÇÃO EXIGIDA
LUCAS HENRIQUE GOMES MARQUES 077***.***-** 1 INDEFERIDO
CANDIDATO (A) NÃO APRESENTOU DECLARAÇÃO EXPEDIDA PELO GDF QUE
COMPROVE RECEBIMENTO DE BENEFÍCIO DE PROGRAMA SOCIAL DE
COMPLEMENTAÇÃO OU SUPLEMENTAÇÃO DE RENDA DO GDF (PRATO CHEIO, DF
SOCIAL)
STEPHANY LORRANE LAGO SANTANA 056***.***-** 1 INDEFERIDO
CANDIDATO (A) NÃO APRESENTOU LAUDO MÉDICO COMPROBATÓRIO DA
ISENÇÃO DE
ACORDO COM A POSSIBILIDADE ESCOLHIDA (CAD. ÚNICO FEDERAL) E
COMPROVANTE DE CADASTRAMENTO NO CADASTRO ÚNICO
IOLANDA ELISIA DE OLIVEIRA 610***.***-** 2 INDEFERIDO
CANDIDATO (A) NÃO APRESENTOU DECLARAÇÃO EXPEDIDA PELO GDF QUE
COMPROVE RECEBIMENTO DE BENEFÍCIO DE PROGRAMA SOCIAL DE
COMPLEMENTAÇÃO OU SUPLEMENTAÇÃO DE RENDA DO GDF (PRATO CHEIO, DF
SOCIAL)
ANA JÚLIA DA SILVA POLTRONIERI 077***.***-** 1 INDEFERIDO
CANDIDATO (A) NÃO APRESENTOU DECLARAÇÃO EXPEDIDA PELO GDF QUE
COMPROVE RECEBIMENTO DE BENEFÍCIO DE PROGRAMA SOCIAL DE
COMPLEMENTAÇÃO OU SUPLEMENTAÇÃO DE RENDA DO GDF (PRATO CHEIO, DF
SOCIAL)
ANA JÚLIA DA SILVA POLTRONIERI 077***.***-** 6 INDEFERIDO
CANDIDATO (A) NÃO APRESENTOU DECLARAÇÃO EXPEDIDA PELO GDF QUE
COMPROVE RECEBIMENTO DE BENEFÍCIO DE PROGRAMA SOCIAL DE
COMPLEMENTAÇÃO OU SUPLEMENTAÇÃO DE RENDA DO GDF (PRATO CHEIO, DF
SOCIAL)
CRISTIANE ELIAS GUIMARAES 898***.***-** - INDEFERIDO
CANDIDATO (A) NÃO APRESENTOU DECLARAÇÃO EXPEDIDA PELO GDF QUE
COMPROVE RECEBIMENTO DE BENEFÍCIO DE PROGRAMA SOCIAL DE
COMPLEMENTAÇÃO OU SUPLEMENTAÇÃO DE RENDA DO GDF (PRATO CHEIO, DF
SOCIAL)
SAMUEL FELIPE SILVA BARROS 054***.***-** 5 INDEFERIDO
CANDIDATO (A) NÃO APRESENTOU DECLARAÇÃO EXPEDIDA PELO GDF QUE
COMPROVE RECEBIMENTO DE BENEFÍCIO DE PROGRAMA SOCIAL DE
COMPLEMENTAÇÃO OU SUPLEMENTAÇÃO DE RENDA DO GDF (PRATO CHEIO, DF
SOCIAL)
SERGIANA DE SOUSA BATISTA 029***.***-** 5 INDEFERIDO
CANDIDATO (A) NÃO APRESENTOU DECLARAÇÃO EXPEDIDA PELO GDF QUE
COMPROVE RECEBIMENTO DE BENEFÍCIO DE PROGRAMA SOCIAL DE
COMPLEMENTAÇÃO OU SUPLEMENTAÇÃO DE RENDA DO GDF (PRATO CHEIO, DF
SOCIAL)
ISABEL CAROLINE DE SOUSA GOME TCHUDA 030***.***-** 6 INDEFERIDO CANDIDATO (A) NÃO APRESENTOU DOCUMENTO DE IDENTIFICAÇÃO
ANA CAROLINA ROCHA MAGNAN 065***.***-** 1 DEFERIDO
ANA CAROLINA ROCHA MAGNAN 065***.***-** 2 DEFERIDO
JOAO VITOR DOS SANTOS PEREIRA LIMA 071***.***-** 8 DEFERIDO
ROSANGELA PEREIRA DIAS 861***.***-** 7 INDEFERIDO
CANDIDATO (A) NÃO APRESENTOU DECLARAÇÃO EXPEDIDA PELO GDF QUE
COMPROVE RECEBIMENTO DE BENEFÍCIO DE PROGRAMA SOCIAL DE
COMPLEMENTAÇÃO OU SUPLEMENTAÇÃO DE RENDA DO GDF (PRATO CHEIO, DF
SOCIAL)
GLEYDSON JORGE OLIVEIRA SOUZA 076***.***-** 7 INDEFERIDO CANDIDATO (A) NÃO APRESENTOU DOCUMENTAÇÃO EXIGIDA
TAYNNÁ OLIVEIRA SILVA 010***.***-** 1 INDEFERIDO
CANDIDATO (A) NÃO APRESENTOU LAUDO MÉDICO COMPROBATÓRIO DA
ISENÇÃO DE
ACORDO COM A POSSIBILIDADE ESCOLHIDA (CAD. ÚNICO FEDERAL)
ARYANE COELHO DE SENA 015***.***-** 1 DEFERIDO
LAURINETE DO NASCIMENTO SANTOS 014***.***-** 1 DEFERIDO
CARMEM DE SOUZA MORAES DUARTE 827***.***-** 1 DEFERIDO
GABRIEL LOPES VIEIRA 016***.***-** 4 INDEFERIDO
CANDIDATO (A) NÃO APRESENTOU LAUDO MÉDICO COMPROBATÓRIO DA
ISENÇÃO DE
ACORDO COM A POSSIBILIDADE ESCOLHIDA (CAD. ÚNICO FEDERAL)
DIEGO CÉSAR SILVA DE ALMEIDA 023***.***-** 1 DEFERIDO
GISLENE APARECIDA OLIVEIRA DA SILVA 843***.***-** 1 INDEFERIDO
CANDIDATO (A) NÃO APRESENTOU LAUDO MÉDICO COMPROBATÓRIO DA
ISENÇÃO DE
ACORDO COM A POSSIBILIDADE ESCOLHIDA (CAD. ÚNICO FEDERAL)
MARIELLY RESENDE DE SOUSA 083***.***-** 1 DEFERIDO
VITOR CARVALHO SANTANA 862***.***-** 1 INDEFERIDO
CANDIDATO (A) NÃO APRESENTOU DECLARAÇÃO EXPEDIDA PELO GDF QUE
COMPROVE RECEBIMENTO DE BENEFÍCIO DE PROGRAMA SOCIAL DE
COMPLEMENTAÇÃO OU SUPLEMENTAÇÃO DE RENDA DO GDF (PRATO CHEIO, DF
SOCIAL)
IGOR BISPO DOS SANTOS 717***.***-** 1 INDEFERIDO
CANDIDATO (A) NÃO APRESENTOU DECLARAÇÃO EXPEDIDA PELO GDF QUE
COMPROVE RECEBIMENTO DE BENEFÍCIO DE PROGRAMA SOCIAL DE
COMPLEMENTAÇÃO OU SUPLEMENTAÇÃO DE RENDA DO GDF (PRATO CHEIO, DF
SOCIAL)
IGOR BISPO DOS SANTOS 717***.***-** 8 INDEFERIDO
CANDIDATO (A) NÃO APRESENTOU DECLARAÇÃO EXPEDIDA PELO GDF QUE
COMPROVE RECEBIMENTO DE BENEFÍCIO DE PROGRAMA SOCIAL DE
COMPLEMENTAÇÃO OU SUPLEMENTAÇÃO DE RENDA DO GDF (PRATO CHEIO, DF
SOCIAL)
ISMÊNIA SILVA SOUZA 010***.***-** - INDEFERIDO CANDIDATO (A) NÃO APRESENTOU DOCUMENTAÇÃO EXIGIDA
IDAIANE MARLEIDE SOUZA DE JESUS 033***.***-** 6 DEFERIDO
PAULO HENRIQUE LIMA DE MIRANDA 008***.***-** 2 INDEFERIDO
CANDIDATO (A) NÃO APRESENTOU LAUDO MÉDICO COMPROBATÓRIO DA
ISENÇÃO DE
ACORDO COM A POSSIBILIDADE ESCOLHIDA (CAD. ÚNICO FEDERAL)
ALESSANDRA LUIZA DE OLIVEIRA 051***.***-** 8 DEFERIDO
ANDRÉ PRATA SOUZA 792***.***-** 1 INDEFERIDO
CANDIDATO (A) NÃO APRESENTOU DECLARAÇÃO EXPEDIDA PELO GDF QUE
COMPROVE RECEBIMENTO DE BENEFÍCIO DE PROGRAMA SOCIAL DE
COMPLEMENTAÇÃO OU SUPLEMENTAÇÃO DE RENDA DO GDF (PRATO CHEIO, DF
SOCIAL)
MARIA ENILDE DA SILVA CAMPOS 482***.***-** 6 INDEFERIDO
CANDIDATO (A) NÃO APRESENTOU DECLARAÇÃO EXPEDIDA PELO GDF QUE
COMPROVE RECEBIMENTO DE BENEFÍCIO DE PROGRAMA SOCIAL DE
COMPLEMENTAÇÃO OU SUPLEMENTAÇÃO DE RENDA DO GDF (PRATO CHEIO, DF
SOCIAL)
MILENA OLIVEIRA FERRAZ 056***.***-** 3 DEFERIDO
MARIA PATRICIA VAZ NASCIMENTO 561***.***-** 1 INDEFERIDO
CANDIDATO (A) NÃO APRESENTOU LAUDO MÉDICO COMPROBATÓRIO DA
ISENÇÃO DE
ACORDO COM A POSSIBILIDADE ESCOLHIDA (CAD. ÚNICO FEDERAL)
SIMONE DA SILVA XAVIER 716***.***-** 1 INDEFERIDO
CANDIDATO (A) NÃO APRESENTOU DECLARAÇÃO EXPEDIDA PELO GDF QUE
COMPROVE RECEBIMENTO DE BENEFÍCIO DE PROGRAMA SOCIAL DE
COMPLEMENTAÇÃO OU SUPLEMENTAÇÃO DE RENDA DO GDF (PRATO CHEIO, DF
SOCIAL) E NÃO ENVIOU DOCUMENTAÇÃO EM PDF
DEYLA CRISTINA SALES DE SOUSA BARBOSA 021***.***-** 1 INDEFERIDO
CANDIDATO (A) NÃO APRESENTOU FORMULÁRIO PARA PEDIDO DE ISENÇÃO
OFERECIDO PELA FUNATEC
NATHYANE DA SILVA ALMEIDA 056***.***-** 8 INDEFERIDO
CANDIDATO (A) NÃO APRESENTOU DECLARAÇÃO EXPEDIDA PELO GDF QUE
COMPROVE RECEBIMENTO DE BENEFÍCIO DE PROGRAMA SOCIAL DE
COMPLEMENTAÇÃO OU SUPLEMENTAÇÃO DE RENDA DO GDF (PRATO CHEIO, DF
SOCIAL)
BEATRIZ GONÇALVES DA SILVA 811***.***-** 1 DEFERIDO
JHENYFER BENICIO DOS SANTOS 708***.***-** 1 DEFERIDO
LETÍCIA AMORIM ALMEIDA 006***.***-** 1 INDEFERIDO
CANDIDATO (A) NÃO APRESENTOU DECLARAÇÃO EXPEDIDA PELO GDF QUE
COMPROVE RECEBIMENTO DE BENEFÍCIO DE PROGRAMA SOCIAL DE
COMPLEMENTAÇÃO OU SUPLEMENTAÇÃO DE RENDA DO GDF (PRATO CHEIO, DF
SOCIAL)
LETÍCIA AMORIM ALMEIDA 006***.***-** 7 INDEFERIDO
CANDIDATO (A) NÃO APRESENTOU DECLARAÇÃO EXPEDIDA PELO GDF QUE
COMPROVE RECEBIMENTO DE BENEFÍCIO DE PROGRAMA SOCIAL DE
COMPLEMENTAÇÃO OU SUPLEMENTAÇÃO DE RENDA DO GDF (PRATO CHEIO, DF
SOCIAL)
LETÍCIA AMORIM ALMEIDA 006***.***-** 8 INDEFERIDO
CANDIDATO (A) NÃO APRESENTOU UMA SOLICITAÇÃO DE ISENÇÃO COM UM
FORMULÁRIO PARA CADA CARGO E NÃO APRESENTOU DECLARAÇÃO EXPEDIDA
PELO GDF QUE COMPROVE RECEBIMENTO DE BENEFÍCIO DE PROGRAMA SOCIAL
DE COMPLEMENTAÇÃO OU SUPLEMENTAÇÃO DE RENDA DO GDF (PRATO CHEIO,
DF SOCIAL)
GABRIELA SILVA DE ANDRADE 055***.***-** 1 DEFERIDO
KAMILA GOMES DA SILVA 029***.***-** 1 DEFERIDO
LUCILENE DOS REIS DOS SANTOS 001***.***-** 1 INDEFERIDO
CANDIDATO (A) NÃO APRESENTOU DECLARAÇÃO EXPEDIDA PELO GDF QUE
COMPROVE RECEBIMENTO DE BENEFÍCIO DE PROGRAMA SOCIAL DE
COMPLEMENTAÇÃO OU SUPLEMENTAÇÃO DE RENDA DO GDF (PRATO CHEIO, DF
SOCIAL)
GILDEMAR CAMPOS 371***.***-** 6 INDEFERIDO
CANDIDATO (A) NÃO APRESENTOU DECLARAÇÃO EXPEDIDA PELO GDF QUE
COMPROVE RECEBIMENTO DE BENEFÍCIO DE PROGRAMA SOCIAL DE
COMPLEMENTAÇÃO OU SUPLEMENTAÇÃO DE RENDA DO GDF (PRATO CHEIO, DF
SOCIAL)
SANDRA KATTI DE SOUSA MAIA 393***.***-** 8 INDEFERIDO
CANDIDATO (A) NÃO APRESENTOU DECLARAÇÃO EXPEDIDA PELO GDF QUE
COMPROVE RECEBIMENTO DE BENEFÍCIO DE PROGRAMA SOCIAL DE
COMPLEMENTAÇÃO OU SUPLEMENTAÇÃO DE RENDA DO GDF (PRATO CHEIO, DF
SOCIAL)
ELISANGELA MOURA FRANCISCO 718***.***-** 8 DEFERIDO
SANDY SOUSA COSTA 035***.***-** 1 INDEFERIDO
CANDIDATO (A) NÃO APRESENTOU DECLARAÇÃO EXPEDIDA PELO GDF QUE
COMPROVE RECEBIMENTO DE BENEFÍCIO DE PROGRAMA SOCIAL DE
COMPLEMENTAÇÃO OU SUPLEMENTAÇÃO DE RENDA DO GDF (PRATO CHEIO, DF
SOCIAL)
VANEI SILVA DE OLIVEIRA DE OLIVEIRA 014***.***-** 1 INDEFERIDO
CANDIDATO (A) NÃO APRESENTOU DECLARAÇÃO EXPEDIDA PELO GDF QUE
COMPROVE RECEBIMENTO DE BENEFÍCIO DE PROGRAMA SOCIAL DE
COMPLEMENTAÇÃO OU SUPLEMENTAÇÃO DE RENDA DO GDF (PRATO CHEIO, DF
SOCIAL)
VANEI SILVA DE OLIVEIRA DE OLIVEIRA 014***.***-** 6 INDEFERIDO
CANDIDATO (A) NÃO APRESENTOU DECLARAÇÃO EXPEDIDA PELO GDF QUE
COMPROVE RECEBIMENTO DE BENEFÍCIO DE PROGRAMA SOCIAL DE
COMPLEMENTAÇÃO OU SUPLEMENTAÇÃO DE RENDA DO GDF (PRATO CHEIO, DF
SOCIAL)
DAVI TELES DE MENEZES 080***.***-** 1 INDEFERIDO
CANDIDATO (A) NÃO APRESENTOU LAUDO MÉDICO COMPROBATÓRIO DA
ISENÇÃO DE
ACORDO COM A POSSIBILIDADE ESCOLHIDA (CAD. ÚNICO FEDERAL)
DAVI TELES DE MENEZES 080***.***-** 2 INDEFERIDO
CANDIDATO (A) NÃO APRESENTOU LAUDO MÉDICO COMPROBATÓRIO DA
ISENÇÃO DE
ACORDO COM A POSSIBILIDADE ESCOLHIDA (CAD. ÚNICO FEDERAL)
FERNANDA COSTA DE AQUINO 015***.***-** 1 DEFERIDO
MARCILON XIER DA AILVA 959***.***-** 1 INDEFERIDO
CANDIDATO (A) NÃO APRESENTOU DOCUMENTO DE IDENTIFICAÇÃO E
DECLARAÇÃO EXPEDIDA PELO GDF QUE COMPROVE RECEBIMENTO DE
BENEFÍCIO DE PROGRAMA SOCIAL DE COMPLEMENTAÇÃO OU SUPLEMENTAÇÃO
DE RENDA DO GDF (PRATO CHEIO, DF SOCIAL)
SANDY SOUSA COSTA 035***.***-** 6 INDEFERIDO
CANDIDATO (A) NÃO APRESENTOU DECLARAÇÃO EXPEDIDA PELO GDF QUE
COMPROVE RECEBIMENTO DE BENEFÍCIO DE PROGRAMA SOCIAL DE
COMPLEMENTAÇÃO OU SUPLEMENTAÇÃO DE RENDA DO GDF (PRATO CHEIO, DF
SOCIAL)
FABIANA SOARES RIBEIRO 725***.***-** 1 DEFERIDO
OLEMARDEN NEVES ARAÚJO JÚNIOR 703***.***-** 1 DEFERIDO
JULIA NUNES DOS SANTOS NETA -***.***-** - INDEFERIDO CANDIDATO (A) NÃO APRESENTOU DOCUMENTAÇÃO EXIGIDA
SUMAIA RIBEIRO DE OLIVEIRA 925***.***-** 3 DEFERIDO
ANA LUCIA DE MEDEIROS SANTOS 360***.***-** 5 DEFERIDO
JULIA GOMES DOS SANTOS 068***.***-** 1 INDEFERIDO
CANDIDATO (A) NÃO APRESENTOU DECLARAÇÃO EXPEDIDA PELO GDF QUE
COMPROVE RECEBIMENTO DE BENEFÍCIO DE PROGRAMA SOCIAL DE
COMPLEMENTAÇÃO OU SUPLEMENTAÇÃO DE RENDA DO GDF (PRATO CHEIO, DF
SOCIAL)
THIAGO ALVES PEREIRA 010***.***-** 1 INDEFERIDO
CANDIDATO (A) NÃO APRESENTOU LAUDO MÉDICO COMPROBATÓRIO DA
ISENÇÃO DE
ACORDO COM A POSSIBILIDADE ESCOLHIDA (CAD. ÚNICO FEDERAL)
LUCILENE DOS REIS DOS SANTOS 001***.***-** 7 INDEFERIDO
CANDIDATO (A) NÃO APRESENTOU DECLARAÇÃO EXPEDIDA PELO GDF QUE
COMPROVE RECEBIMENTO DE BENEFÍCIO DE PROGRAMA SOCIAL DE
COMPLEMENTAÇÃO OU SUPLEMENTAÇÃO DE RENDA DO GDF (PRATO CHEIO, DF
SOCIAL)
MARCUS GOMES THOMAZ 78.***.***-** 1 DEFERIDO
RAFAEL CARDOSO DE MORAIS 040***.***-** 1 DEFERIDO
RAFAEL CARDOSO DE MORAIS 040***.***-** 7 DEFERIDO
RAFAEL BENICIO DE SOUZA 080***.***-** 1 DEFERIDO
ISABELA FERNANDA SANTOS 026***.***-** 1 INDEFERIDO
CANDIDATO (A) NÃO APRESENTOU DECLARAÇÃO EXPEDIDA PELO GDF QUE
COMPROVE RECEBIMENTO DE BENEFÍCIO DE PROGRAMA SOCIAL DE
COMPLEMENTAÇÃO OU SUPLEMENTAÇÃO DE RENDA DO GDF (PRATO CHEIO, DF
SOCIAL)
CAROLINA CASTRO MACHADO 035***.***-** 8 INDEFERIDO
CANDIDATO (A) NÃO APRESENTOU LAUDO MÉDICO COMPROBATÓRIO DA
ISENÇÃO DE
ACORDO COM A POSSIBILIDADE ESCOLHIDA (CAD. ÚNICO FEDERAL)
FERNENDA COSTA DE AQUINO 015***.***-** 6 DEFERIDO
LUCIANA DA SILVA PEREIRA 809***.***-** 1 INDEFERIDO
CANDIDATO (A) NÃO APRESENTOU DECLARAÇÃO EXPEDIDA PELO GDF QUE
COMPROVE RECEBIMENTO DE BENEFÍCIO DE PROGRAMA SOCIAL DE
COMPLEMENTAÇÃO OU SUPLEMENTAÇÃO DE RENDA DO GDF (PRATO CHEIO, DF
SOCIAL)
FERNENDA FERNANDA SANTOS 026***.***-** 7 INDEFERIDO
CANDIDATO (A) NÃO APRESENTOU DECLARAÇÃO EXPEDIDA PELO GDF QUE
COMPROVE RECEBIMENTO DE BENEFÍCIO DE PROGRAMA SOCIAL DE
COMPLEMENTAÇÃO OU SUPLEMENTAÇÃO DE RENDA DO GDF (PRATO CHEIO, DF
SOCIAL)
FABIANA NUNES LARA DE SOUSA 894***.***-** 1 DEFERIDO
EMERSON PEREIRA DA SILVA 823***.***-** 1 DEFERIDO
SIRLEY PIMENTA DA SILVA RODRIGUES 700***.***-** 5 DEFERIDO
BRUNA MAIARA MIRANDA DE LIMA 070***.***-** 1 INDEFERIDO
CANDIDATO (A) NÃO APRESENTOU DECLARAÇÃO EXPEDIDA PELO GDF QUE
COMPROVE RECEBIMENTO DE BENEFÍCIO DE PROGRAMA SOCIAL DE
COMPLEMENTAÇÃO OU SUPLEMENTAÇÃO DE RENDA DO GDF (PRATO CHEIO, DF
SOCIAL)
BRUNA MAIARA MIRANDA DE LIMA 070***.***-** 2 INDEFERIDO
CANDIDATO (A) NÃO APRESENTOU DECLARAÇÃO EXPEDIDA PELO GDF QUE
COMPROVE RECEBIMENTO DE BENEFÍCIO DE PROGRAMA SOCIAL DE
COMPLEMENTAÇÃO OU SUPLEMENTAÇÃO DE RENDA DO GDF (PRATO CHEIO, DF
SOCIAL)
IAGO MOREIRA DA SILVA 006***.***-** 1 DEFERIDO
FRANCISCO FACUNDO FILHO 697***.***-** 8 INDEFERIDO
CANDIDATO (A) NÃO APRESENTOU DECLARAÇÃO EXPEDIDA PELO GDF QUE
COMPROVE RECEBIMENTO DE BENEFÍCIO DE PROGRAMA SOCIAL DE
COMPLEMENTAÇÃO OU SUPLEMENTAÇÃO DE RENDA DO GDF (PRATO CHEIO, DF
SOCIAL)
FRANCISCO FACUNDO FILHO 697***.***-** 1 INDEFERIDO
CANDIDATO (A) NÃO APRESENTOU DECLARAÇÃO EXPEDIDA PELO GDF QUE
COMPROVE RECEBIMENTO DE BENEFÍCIO DE PROGRAMA SOCIAL DE
COMPLEMENTAÇÃO OU SUPLEMENTAÇÃO DE RENDA DO GDF (PRATO CHEIO, DF
SOCIAL)
LIZIANE DE SOUZA SILVA 606***.***-** 3 DEFERIDO
PRISCILA CAVALCANTE DUTRA BISPO 016***.***-** 1 INDEFERIDO
PRISCILA CAVALCANTE DUTRA BISPO 016***.***-** 8 INDEFERIDO
ANAMIM BARBOSA MARINHO AMORIM 052***.***-** 1 INDEFERIDO
CANDIDATO (A) NÃO APRESENTOU DECLARAÇÃO EXPEDIDA PELO GDF QUE
COMPROVE RECEBIMENTO DE BENEFÍCIO DE PROGRAMA SOCIAL DE
COMPLEMENTAÇÃO OU SUPLEMENTAÇÃO DE RENDA DO GDF (PRATO CHEIO, DF
SOCIAL)
ANAMIM BARBOSA MARINHO AMORIM 052***.***-** 8 INDEFERIDO
PALOMA GRAZIELE ESCOBAR HONESTO 052***.***-** 6 DEFERIDO
AILTON JOSÉ TELES DOS SANTOS 022***.***-** 6 DEFERIDO
AILTON JOSÉ TELES DOS SANTOS 022***.***-** 1 DEFERIDO
GUILHERME RODRIGUES REIS 069***.***-** 8 INDEFERIDO CANDIDATO (A) NÃO APRESENTOU DOCUMENTO DE IDENTIFICAÇÃO
AMANDA DOS SANTOS LOUZEIRO 055***.***-** 1 DEFERIDO
DIANA NUNES GOMES 007***.***-** - INDEFERIDO
CANDIDATO (A) NÃO APRESENTOU LAUDO MÉDICO COMPROBATÓRIO DA
ISENÇÃO DE
ACORDO COM A POSSIBILIDADE ESCOLHIDA (CAD. ÚNICO FEDERAL) E NÃO
INFORMOU O CARGO NO FORMULÁRIO
ANA LUCIA LIMA DE JESUS 028***.***-** 1 INDEFERIDO
CANDIDATO (A) NÃO APRESENTOU DECLARAÇÃO EXPEDIDA PELO GDF QUE
COMPROVE RECEBIMENTO DE BENEFÍCIO DE PROGRAMA SOCIAL DE
COMPLEMENTAÇÃO OU SUPLEMENTAÇÃO DE RENDA DO GDF (PRATO CHEIO, DF
SOCIAL)
MIRTA CARLA LIMA DOS SANTOS 010***.***-** 1 INDEFERIDO
CANDIDATO (A) NÃO APRESENTOU LAUDO MÉDICO COMPROBATÓRIO DA
ISENÇÃO DE
ACORDO COM A POSSIBILIDADE ESCOLHIDA (CAD. ÚNICO FEDERAL)
ANDREIA OLIVEIRA NUNES 098***.***-** 1 INDEFERIDO
CANDIDATO (A) NÃO APRESENTOU DECLARAÇÃO EXPEDIDA PELO GDF QUE
COMPROVE RECEBIMENTO DE BENEFÍCIO DE PROGRAMA SOCIAL DE
COMPLEMENTAÇÃO OU SUPLEMENTAÇÃO DE RENDA DO GDF (PRATO CHEIO, DF
SOCIAL)
GILVANIR NERIS DE SOUZA FERNANDES 025***.***-** 7 INDEFERIDO
CANDIDATO (A) NÃO APRESENTOU DECLARAÇÃO EXPEDIDA PELO GDF QUE
COMPROVE RECEBIMENTO DE BENEFÍCIO DE PROGRAMA SOCIAL DE
COMPLEMENTAÇÃO OU SUPLEMENTAÇÃO DE RENDA DO GDF (PRATO CHEIO, DF
SOCIAL)
BRUNA DA SOLEDADE TAVARES 050***.***-** 1 DEFERIDO
BRUNA DA SOLEDADE TAVARES 050***.***-** 2 DEFERIDO
IVANETE LUIZA DE SOUZA 455***.***-** 3 DEFERIDO
ROBERTA CLARA REIS MARTINS 006***.***-** 1 DEFERIDO
BEATRIZ LAUANA DOS SANTOS 071***.***-** 2 INDEFERIDO
CANDIDATO (A) NÃO APRESENTOU LAUDO MÉDICO COMPROBATÓRIO DA
ISENÇÃO DE
ACORDO COM A POSSIBILIDADE ESCOLHIDA (CAD. ÚNICO FEDERAL)
JOAO PAULO RODRIGUES 993***.***-** 1 DEFERIDO
OZIAS DA SILVA BARBOSA JÚNIOR 010***.***-** 1 INDEFERIDO
CANDIDATO (A) NÃO APRESENTOU DECLARAÇÃO EXPEDIDA PELO GDF QUE
COMPROVE RECEBIMENTO DE BENEFÍCIO DE PROGRAMA SOCIAL DE
COMPLEMENTAÇÃO OU SUPLEMENTAÇÃO DE RENDA DO GDF (PRATO CHEIO, DF
SOCIAL)
OZIAS DA SILVA BARBOSA JÚNIOR 010***.***-** 8 INDEFERIDO
CANDIDATO (A) NÃO APRESENTOU DECLARAÇÃO EXPEDIDA PELO GDF QUE
COMPROVE RECEBIMENTO DE BENEFÍCIO DE PROGRAMA SOCIAL DE
COMPLEMENTAÇÃO OU SUPLEMENTAÇÃO DE RENDA DO GDF (PRATO CHEIO, DF
SOCIAL)
VÂNIA SANTOS COUTINHO 695***.***-** 2 INDEFERIDO CANDIDATO (A) NÃO APRESENTOU DOCUMENTO DE IDENTIFICAÇÃO
VALERIA SANTOS COUTINHO 605***.***-** 2 INDEFERIDO CANDIDATO (A) NÃO APRESENTOU DOCUMENTO DE IDENTIFICAÇÃO
ANA LÚCIA LIMA DE JESUS 028***.***-** 5 INDEFERIDO
CANDIDATO (A) NÃO APRESENTOU DECLARAÇÃO EXPEDIDA PELO GDF QUE
COMPROVE RECEBIMENTO DE BENEFÍCIO DE PROGRAMA SOCIAL DE
COMPLEMENTAÇÃO OU SUPLEMENTAÇÃO DE RENDA DO GDF (PRATO CHEIO, DF
SOCIAL)
LUCIANA PEREIRA DE ARAUJO 911***.***-** 1 INDEFERIDO
CANDIDATO (A) NÃO APRESENTOU DECLARAÇÃO EXPEDIDA PELO GDF QUE
COMPROVE RECEBIMENTO DE BENEFÍCIO DE PROGRAMA SOCIAL DE
COMPLEMENTAÇÃO OU SUPLEMENTAÇÃO DE RENDA DO GDF (PRATO CHEIO, DF
SOCIAL)
KARINA DE OLIVEIRA ALVES ROCHA 010***.***-** 1 DEFERIDO
KARINA DE OLIVEIRA ALVES ROCHA 010***.***-** 2 DEFERIDO
DANIELA FERREIRA LIMA 953***.***-** 2 INDEFERIDO
CANDIDATO (A) NÃO APRESENTOU DECLARAÇÃO EXPEDIDA PELO GDF QUE
COMPROVE RECEBIMENTO DE BENEFÍCIO DE PROGRAMA SOCIAL DE
COMPLEMENTAÇÃO OU SUPLEMENTAÇÃO DE RENDA DO GDF (PRATO CHEIO, DF
SOCIAL)
LEANDRO DE ARAUJO LOPES 994***.***-** 1 DEFERIDO
MILENA MARIANO DE AQUINO 075***.***-** 1 INDEFERIDO
CANDIDATO (A) NÃO APRESENTOU DECLARAÇÃO EXPEDIDA PELO GDF QUE
COMPROVE RECEBIMENTO DE BENEFÍCIO DE PROGRAMA SOCIAL DE
COMPLEMENTAÇÃO OU SUPLEMENTAÇÃO DE RENDA DO GDF (PRATO CHEIO, DF
SOCIAL)
TÂNIA MARA BASTOS DA SILVA 066***.***-** 1 INDEFERIDO
CANDIDATO (A) NÃO APRESENTOU DECLARAÇÃO EXPEDIDA PELO GDF QUE
COMPROVE RECEBIMENTO DE BENEFÍCIO DE PROGRAMA SOCIAL DE
COMPLEMENTAÇÃO OU SUPLEMENTAÇÃO DE RENDA DO GDF (PRATO CHEIO, DF
SOCIAL)
MICHELLE BRUNO ROCHA 001***.***-** 5 INDEFERIDO
CANDIDATO (A) NÃO APRESENTOU DECLARAÇÃO EXPEDIDA PELO GDF QUE
COMPROVE RECEBIMENTO DE BENEFÍCIO DE PROGRAMA SOCIAL DE
COMPLEMENTAÇÃO OU SUPLEMENTAÇÃO DE RENDA DO GDF (PRATO CHEIO, DF
SOCIAL)
MICHELLE BRUNO ROCHA 001***.***-** 1 INDEFERIDO
CANDIDATO (A) NÃO APRESENTOU DECLARAÇÃO EXPEDIDA PELO GDF QUE
COMPROVE RECEBIMENTO DE BENEFÍCIO DE PROGRAMA SOCIAL DE
COMPLEMENTAÇÃO OU SUPLEMENTAÇÃO DE RENDA DO GDF (PRATO CHEIO, DF
SOCIAL)
DALILA DA SILVA LEAL FERREIRA 017***.***-** 8 DEFERIDO
RENATA PEREIRA GUEDES DOS SANTOS 982***.***-** 1 INDEFERIDO
CANDIDATO (A) NÃO APRESENTOU DECLARAÇÃO EXPEDIDA PELO GDF QUE
COMPROVE RECEBIMENTO DE BENEFÍCIO DE PROGRAMA SOCIAL DE
COMPLEMENTAÇÃO OU SUPLEMENTAÇÃO DE RENDA DO GDF (PRATO CHEIO, DF
SOCIAL)
RENATA PEREIRA GUEDES DOS SANTOS 982***.***-** 8 INDEFERIDO
CANDIDATO (A) NÃO APRESENTOU DECLARAÇÃO EXPEDIDA PELO GDF QUE
COMPROVE RECEBIMENTO DE BENEFÍCIO DE PROGRAMA SOCIAL DE
COMPLEMENTAÇÃO OU SUPLEMENTAÇÃO DE RENDA DO GDF (PRATO CHEIO, DF
SOCIAL)
JOÃO GUILHERME DE LIMA ALVES 068***.***-** 1 DEFERIDO
JOÃO GUILHERME DE LIMA ALVES 068***.***-** 7 DEFERIDO
MARIA ANÁLIA DOS SANTOS 716***.***-** 2 INDEFERIDO
CANDIDATO (A) NÃO APRESENTOU LAUDO MÉDICO COMPROBATÓRIO DA
ISENÇÃO DE
ACORDO COM A POSSIBILIDADE ESCOLHIDA (CAD. ÚNICO FEDERAL)
YASMIN ALVES GOMES 008***.***-** 7 INDEFERIDO CANDIDATO (A) NÃO APRESENTOU DOCUMENTAÇÃO EXIGIDA EM PDF
ELIANE CRISTINA DAGOBERTO 002***.***-** 1 INDEFERIDO
CANDIDATO (A) NÃO APRESENTOU DECLARAÇÃO EXPEDIDA PELO GDF QUE
COMPROVE RECEBIMENTO DE BENEFÍCIO DE PROGRAMA SOCIAL DE
COMPLEMENTAÇÃO OU SUPLEMENTAÇÃO DE RENDA DO GDF (PRATO CHEIO, DF
SOCIAL)
JANETE LIMA GARCIA 924***.***-** 7 INDEFERIDO
CANDIDATO (A) NÃO APRESENTOU DECLARAÇÃO EXPEDIDA PELO GDF QUE
COMPROVE RECEBIMENTO DE BENEFÍCIO DE PROGRAMA SOCIAL DE
COMPLEMENTAÇÃO OU SUPLEMENTAÇÃO DE RENDA DO GDF (PRATO CHEIO, DF
SOCIAL)
MARCOS ALVES PEREIRA 005***.***-** 2 INDEFERIDO
CANDIDATO (A) NÃO APRESENTOU LAUDO MÉDICO COMPROBATÓRIO DA
ISENÇÃO DE
ACORDO COM A POSSIBILIDADE ESCOLHIDA (CAD. ÚNICO FEDERAL)
LORENA CLAUDIA DE SOUZA 065***.***-** 1 DEFERIDO
LAYANNE DE ALMEIDA ALVES 022***.***-** 2 DEFERIDO
LAYANNE DE ALMEIDA ALVES 022***.***-** 1 DEFERIDO
ARTHUR RODRIGUES BEZERRA 036***.***-** 8 DEFERIDO
PATRICIA NERIS MARIANO DE AQUINO 696***.***-** 1 INDEFERIDO
CANDIDATO (A) NÃO APRESENTOU DECLARAÇÃO EXPEDIDA PELO GDF QUE
COMPROVE RECEBIMENTO DE BENEFÍCIO DE PROGRAMA SOCIAL DE
COMPLEMENTAÇÃO OU SUPLEMENTAÇÃO DE RENDA DO GDF (PRATO CHEIO, DF
SOCIAL)
RENATO ALVES DE OLIVEIRA 725***.***-** 8 INDEFERIDO
CANDIDATO (A) NÃO APRESENTOU DECLARAÇÃO EXPEDIDA PELO GDF QUE
COMPROVE RECEBIMENTO DE BENEFÍCIO DE PROGRAMA SOCIAL DE
COMPLEMENTAÇÃO OU SUPLEMENTAÇÃO DE RENDA DO GDF (PRATO CHEIO, DF
SOCIAL)
THAUAN THAIRONY SILVA ALVES 048***.***-** 1 INDEFERIDO
CANDIDATO (A) NÃO APRESENTOU LAUDO MÉDICO COMPROBATÓRIO DA
ISENÇÃO DE
ACORDO COM A POSSIBILIDADE ESCOLHIDA (CAD. ÚNICO FEDERAL)
NILZA GUIMARÃES DE CALDAS 024***.***-** 2 INDEFERIDO
CANDIDATO (A) NÃO APRESENTOU LAUDO MÉDICO COMPROBATÓRIO DA
ISENÇÃO DE
ACORDO COM A POSSIBILIDADE ESCOLHIDA (CAD. ÚNICO FEDERAL)
VITÓRIA GABRIELLY OLIVEIRA RODRIGUES 052***.***-** 1 INDEFERIDO
CANDIDATO (A) NÃO APRESENTOU DECLARAÇÃO EXPEDIDA PELO GDF QUE
COMPROVE RECEBIMENTO DE BENEFÍCIO DE PROGRAMA SOCIAL DE
COMPLEMENTAÇÃO OU SUPLEMENTAÇÃO DE RENDA DO GDF (PRATO CHEIO, DF
SOCIAL)
BEATRIZ ALVES GOMES 008***.***-** 7 INDEFERIDO
CANDIDATO (A) NÃO APRESENTOU DECLARAÇÃO EXPEDIDA PELO GDF QUE
COMPROVE RECEBIMENTO DE BENEFÍCIO DE PROGRAMA SOCIAL DE
COMPLEMENTAÇÃO OU SUPLEMENTAÇÃO DE RENDA DO GDF (PRATO CHEIO, DF
SOCIAL)
SAMUEL ALVES DE MENEZES 072***.***-** 7 INDEFERIDO
CANDIDATO (A) NÃO APRESENTOU DECLARAÇÃO EXPEDIDA PELO GDF QUE
COMPROVE RECEBIMENTO DE BENEFÍCIO DE PROGRAMA SOCIAL DE
COMPLEMENTAÇÃO OU SUPLEMENTAÇÃO DE RENDA DO GDF (PRATO CHEIO, DF
SOCIAL)
JOSILENE DE ALMEIDA ROCHA LIMA 789***.***-** 1 DEFERIDO
CARLOS HENRIQUE SILVA PEREIRA DE SOUSA 730***.***-** 1 DEFERIDO
RICARDO TOMÉ DE CARVALHO 029***.***-** 1 INDEFERIDO
CANDIDATO (A) NÃO APRESENTOU DECLARAÇÃO EXPEDIDA PELO GDF QUE
COMPROVE RECEBIMENTO DE BENEFÍCIO DE PROGRAMA SOCIAL DE
COMPLEMENTAÇÃO OU SUPLEMENTAÇÃO DE RENDA DO GDF (PRATO CHEIO, DF
SOCIAL)
RICARDO TOMÉ DE CARVALHO 029***.***-** 8 INDEFERIDO
CANDIDATO (A) NÃO APRESENTOU DECLARAÇÃO EXPEDIDA PELO GDF QUE
COMPROVE RECEBIMENTO DE BENEFÍCIO DE PROGRAMA SOCIAL DE
COMPLEMENTAÇÃO OU SUPLEMENTAÇÃO DE RENDA DO GDF (PRATO CHEIO, DF
SOCIAL)
DANIEL CASTRO REZENDE SANTOS 067***.***-** 2 INDEFERIDO
CANDIDATO (A) NÃO APRESENTOU DECLARAÇÃO EXPEDIDA PELO GDF QUE
COMPROVE RECEBIMENTO DE BENEFÍCIO DE PROGRAMA SOCIAL DE
COMPLEMENTAÇÃO OU SUPLEMENTAÇÃO DE RENDA DO GDF (PRATO CHEIO, DF
SOCIAL)
RONYPETERSON MORAIS MIRANDA -***.***-** - INDEFERIDO CANDIDATO (A) NÃO APRESENTOU NENHUMA DOCUMENTAÇÃO
GABRIEL LOPES VIEIRA 016***.***-** 1 INDEFERIDO
CANDIDATO (A) NÃO APRESENTOU LAUDO MÉDICO COMPROBATÓRIO DA
ISENÇÃO DE
ACORDO COM A POSSIBILIDADE ESCOLHIDA (CAD. ÚNICO FEDERAL)
GARDÊNIA OLIVEIRA CARVALHO 007***.***-** 8 INDEFERIDO
CANDIDATO (A) NÃO APRESENTOU DECLARAÇÃO EXPEDIDA PELO GDF QUE
COMPROVE RECEBIMENTO DE BENEFÍCIO DE PROGRAMA SOCIAL DE
COMPLEMENTAÇÃO OU SUPLEMENTAÇÃO DE RENDA DO GDF (PRATO CHEIO, DF
SOCIAL)
DENÍCIO DE CARVALHO FREITAS 512***.***-** 1 INDEFERIDO
CANDIDATO (A) NÃO APRESENTOU LAUDO MÉDICO COMPROBATÓRIO DA
ISENÇÃO DE
ACORDO COM A POSSIBILIDADE ESCOLHIDA (CAD. ÚNICO FEDERAL)
SOLANGE ALMEIDA BATISTA 008***.***-** 1 INDEFERIDO
CANDIDATO (A) NÃO APRESENTOU DECLARAÇÃO EXPEDIDA PELO GDF QUE
COMPROVE RECEBIMENTO DE BENEFÍCIO DE PROGRAMA SOCIAL DE
COMPLEMENTAÇÃO OU SUPLEMENTAÇÃO DE RENDA DO GDF (PRATO CHEIO, DF
SOCIAL)
SOLANGE ALMEIDA BATISTA 008***.***-** 5 INDEFERIDO
CANDIDATO (A) NÃO APRESENTOU DECLARAÇÃO EXPEDIDA PELO GDF QUE
COMPROVE RECEBIMENTO DE BENEFÍCIO DE PROGRAMA SOCIAL DE
COMPLEMENTAÇÃO OU SUPLEMENTAÇÃO DE RENDA DO GDF (PRATO CHEIO, DF
SOCIAL)
LETICIA CAMPOS PINHEIRO 084***.***-** 1 INDEFERIDO
CANDIDATO (A) NÃO APRESENTOU DECLARAÇÃO EXPEDIDA PELO GDF QUE
COMPROVE RECEBIMENTO DE BENEFÍCIO DE PROGRAMA SOCIAL DE
COMPLEMENTAÇÃO OU SUPLEMENTAÇÃO DE RENDA DO GDF (PRATO CHEIO, DF
SOCIAL)
RUTH FERNANDES TEIXEIRA 060***.***-** 1 INDEFERIDO
CANDIDATO (A) NÃO APRESENTOU DECLARAÇÃO EXPEDIDA PELO GDF QUE
COMPROVE RECEBIMENTO DE BENEFÍCIO DE PROGRAMA SOCIAL DE
COMPLEMENTAÇÃO OU SUPLEMENTAÇÃO DE RENDA DO GDF (PRATO CHEIO, DF
SOCIAL)
LEONARDO DE ABREU CORDEIRO 059***.***-** 1 INDEFERIDO
CANDIDATO (A) NÃO APRESENTOU DECLARAÇÃO EXPEDIDA PELO GDF QUE
COMPROVE RECEBIMENTO DE BENEFÍCIO DE PROGRAMA SOCIAL DE
COMPLEMENTAÇÃO OU SUPLEMENTAÇÃO DE RENDA DO GDF (PRATO CHEIO, DF
SOCIAL)
MARIA LEDA BARBOSA SANTANA 455***.***-** 1 DEFERIDO
MARIA LEDA BARBOSA SANTANA 455***.***-** 5 DEFERIDO
DANIEL LIMA PEREIRA 881***.***-** 8 DEFERIDO
LUCIANE ALVES CASTRO SOUZA 010***.***-** 1 DEFERIDO
LUCIANE ALVES CASTRO SOUZA 010***.***-** 2 INDEFERIDO
CANDIDATO (A) NÃO APRESENTOU UMA SOLICITAÇÃO DE ISENÇÃO COM UM
FORMULÁRIO PARA CADA CARGO
AMANDA REGINA DA COSTA PEREIRA 074***.***-** 8 DEFERIDO
CRISTINA LARISSA MAURICIO DE MOURA 02.***.***-** 1 INDEFERIDO
EVELYN ANDRESSA PIMENTA RODRIGUES BORGES 037***.***-** 1 INDEFERIDO
CANDIDATO (A) NÃO APRESENTOU DOCUMENTAÇÃO COMPROBATÓRIO DA
ISENÇÃO DE
ACORDO COM A POSSIBILIDADE ESCOLHIDA (BENEFICIARIA DE PROGRAMA
SOCIAL)
WELTON CARVALHO ALVES 634***.***-** 1 DEFERIDO
VALÉRIA MOTA DE MOURA 042***.***-** 2 INDEFERIDO CANDIDATO (A) NÃO APRESENTOU DOCUMENTAÇÃO EXIGIDA EM PDF
DANIEL LIMA PEREIRA 881***.***-** 1 DEFERIDO
GIOVANNA LAUANA DOS SANTOS 071***.***-** 2 INDEFERIDO
CANDIDATO (A) NÃO APRESENTOU DECLARAÇÃO EXPEDIDA PELO GDF QUE
COMPROVE RECEBIMENTO DE BENEFÍCIO DE PROGRAMA SOCIAL DE
COMPLEMENTAÇÃO OU SUPLEMENTAÇÃO DE RENDA DO GDF (PRATO CHEIO, DF
SOCIAL)
WESLEY LOPES MACHADO 641***.***-** 3 DEFERIDO
JOYCE JUSLEY SOUZA LEITE 045***.***-** 1 DEFERIDO
YVETTE TYNUS FREITAS 031***.***-** - INDEFERIDO CANDIDATO (A) NÃO APRESENTOU FORMULÁRIO PARA PEDIDO DE ISENÇÃO
DERLI ALVES DA FONSECA 827***.***-** 1 INDEFERIDO
CANDIDATO (A) NÃO APRESENTOU LAUDO MÉDICO COMPROBATÓRIO DA
ISENÇÃO DE
ACORDO COM A POSSIBILIDADE ESCOLHIDA (CAD. ÚNICO FEDERAL)
BRUNO DA SILVA GONZAGA 043***.***-** 1 DEFERIDO
BRUNO DA SILVA GONZAGA 043***.***-** 2 DEFERIDO
VALERIA MOTA DE MOURA 042***.***-** 1 DEFERIDO
DEISE FRANCISCO DOS SANTOS 026***.***-** 2 DEFERIDO
DEISE FRANCISCO DOS SANTOS 026***.***-** 1 DEFERIDO
DERLI ALVES DA FONSECA 827***.***-** 1 INDEFERIDO
CANDIDATO (A) NÃO APRESENTOU DECLARAÇÃO EXPEDIDA PELO GDF QUE
COMPROVE RECEBIMENTO DE BENEFÍCIO DE PROGRAMA SOCIAL DE
COMPLEMENTAÇÃO OU SUPLEMENTAÇÃO DE RENDA DO GDF (PRATO CHEIO, DF
SOCIAL)
MARIA ALBINO DE PAIVA BORGES CORA 160***.***-** 4 INDEFERIDO
CANDIDATO (A) NÃO APRESENTOU DECLARAÇÃO EXPEDIDA PELO GDF QUE
COMPROVE RECEBIMENTO DE BENEFÍCIO DE PROGRAMA SOCIAL DE
COMPLEMENTAÇÃO OU SUPLEMENTAÇÃO DE RENDA DO GDF (PRATO CHEIO, DF
SOCIAL)
MARIA ZEFERINA DOS SANTOS 884***.***-** 8 INDEFERIDO
CANDIDATO (A) NÃO APRESENTOU DECLARAÇÃO EXPEDIDA PELO GDF QUE
COMPROVE RECEBIMENTO DE BENEFÍCIO DE PROGRAMA SOCIAL DE
COMPLEMENTAÇÃO OU SUPLEMENTAÇÃO DE RENDA DO GDF (PRATO CHEIO, DF
SOCIAL)
CAROLINE DE ASSIS SILVA 036***.***-** 1 INDEFERIDO
CANDIDATO (A) NÃO APRESENTOU DECLARAÇÃO DO DOADOR DE MEDULA DE
ACORDO COM A POSSIBILIDADE ESCOLHIDA
KEMELLY NOGUEIRA MENDES 080***.***-** 5 INDEFERIDO
CANDIDATO (A) NÃO APRESENTOU DECLARAÇÃO EXPEDIDA PELO GDF QUE
COMPROVE RECEBIMENTO DE BENEFÍCIO DE PROGRAMA SOCIAL DE
COMPLEMENTAÇÃO OU SUPLEMENTAÇÃO DE RENDA DO GDF (PRATO CHEIO, DF
SOCIAL)
JOSE QUILHERME NASCIMENTO 036***.***-** 5 DEFERIDO
KASSIO RNAGEL SANTANA SILVA 04***.***-** 1 INDEFERIDO
CANDIDATO (A) NÃO APRESENTOU DECLARAÇÃO EXPEDIDA PELO GDF QUE
COMPROVE RECEBIMENTO DE BENEFÍCIO DE PROGRAMA SOCIAL DE
COMPLEMENTAÇÃO OU SUPLEMENTAÇÃO DE RENDA DO GDF (PRATO CHEIO, DF
SOCIAL)
KASSIO RNAGEL SANTANA SILVA 04***.***-** 7 INDEFERIDO
CANDIDATO (A) NÃO APRESENTOU DECLARAÇÃO EXPEDIDA PELO GDF QUE
COMPROVE RECEBIMENTO DE BENEFÍCIO DE PROGRAMA SOCIAL DE
COMPLEMENTAÇÃO OU SUPLEMENTAÇÃO DE RENDA DO GDF (PRATO CHEIO, DF
SOCIAL)
RAQUEL DE SOUZA NASCIMENTO 017***.***-** 1 DEFERIDO
MARIA JULIA FRANCISCA CARNEIRO 645***.***-** 1 INDEFERIDO
CANDIDATO (A) NÃO APRESENTOU DECLARAÇÃO EXPEDIDA PELO GDF QUE
COMPROVE RECEBIMENTO DE BENEFÍCIO DE PROGRAMA SOCIAL DE
COMPLEMENTAÇÃO OU SUPLEMENTAÇÃO DE RENDA DO GDF (PRATO CHEIO, DF
SOCIAL)
PAULO MATEUS SILVA RODRIGUES 060***.***-** 1 DEFERIDO
THAMIRES VITORIO BRITO DOS SANTOS 088***.***-** 2 INDEFERIDO
CANDIDATO (A) NÃO APRESENTOU DECLARAÇÃO EXPEDIDA PELO GDF QUE
COMPROVE RECEBIMENTO DE BENEFÍCIO DE PROGRAMA SOCIAL DE
COMPLEMENTAÇÃO OU SUPLEMENTAÇÃO DE RENDA DO GDF (PRATO CHEIO, DF
SOCIAL)
CICELIA HENRIQUE DE SOUZA ARAUJO 615***.***-** 3 INDEFERIDO
CANDIDATO (A) NÃO APRESENTOU DECLARAÇÃO EXPEDIDA PELO GDF QUE
COMPROVE RECEBIMENTO DE BENEFÍCIO DE PROGRAMA SOCIAL DE
COMPLEMENTAÇÃO OU SUPLEMENTAÇÃO DE RENDA DO GDF (PRATO CHEIO, DF
SOCIAL)
JAQUELINE BARBOSA DE MELO 014***.***-** 1 INDEFERIDO
CANDIDATO (A) NÃO APRESENTOU DECLARAÇÃO EXPEDIDA PELO GDF QUE
COMPROVE RECEBIMENTO DE BENEFÍCIO DE PROGRAMA SOCIAL DE
COMPLEMENTAÇÃO OU SUPLEMENTAÇÃO DE RENDA DO GDF (PRATO CHEIO, DF
SOCIAL)
LARISSE NATASHA DO NASCIMENTO LINHARES 040***.***-** 2 DEFERIDO
NAYRA CARDOSO DE ALMEIDA 006***.***-** 7 INDEFERIDO
CANDIDATO (A) NÃO APRESENTOU DECLARAÇÃO EXPEDIDA PELO GDF QUE
COMPROVE RECEBIMENTO DE BENEFÍCIO DE PROGRAMA SOCIAL DE
COMPLEMENTAÇÃO OU SUPLEMENTAÇÃO DE RENDA DO GDF (PRATO CHEIO, DF
SOCIAL)
NAYRA CARDOSO DE ALMEIDA 006***.***-** 1 INDEFERIDO
CANDIDATO (A) NÃO APRESENTOU DECLARAÇÃO EXPEDIDA PELO GDF QUE
COMPROVE RECEBIMENTO DE BENEFÍCIO DE PROGRAMA SOCIAL DE
COMPLEMENTAÇÃO OU SUPLEMENTAÇÃO DE RENDA DO GDF (PRATO CHEIO, DF
SOCIAL)
JESSICA MOURA ALVES 033***.***-** 1 INDEFERIDO
CANDIDATO (A) NÃO APRESENTOU DECLARAÇÃO EXPEDIDA PELO GDF QUE
COMPROVE RECEBIMENTO DE BENEFÍCIO DE PROGRAMA SOCIAL DE
COMPLEMENTAÇÃO OU SUPLEMENTAÇÃO DE RENDA DO GDF (PRATO CHEIO, DF
SOCIAL)
JESSICA MOURA ALVES 033***.***-** 8 INDEFERIDO
CANDIDATO (A) NÃO APRESENTOU DECLARAÇÃO EXPEDIDA PELO GDF QUE
COMPROVE RECEBIMENTO DE BENEFÍCIO DE PROGRAMA SOCIAL DE
COMPLEMENTAÇÃO OU SUPLEMENTAÇÃO DE RENDA DO GDF (PRATO CHEIO, DF
SOCIAL)
JULIANA ALMEIDA DO PRADO 017***.***-** 6 INDEFERIDO CANDIDATO (A) NÃO APRESENTOU DOCUMENTAÇÃO EXIGIDA RG
MARIA BARBOSA DA SILVA 603***.***-** 1 INDEFERIDO
CANDIDATO (A) NÃO APRESENTOU FORMULÁRIO PARA PEDIDO DE ISENÇÃO
COM A OPÇÃO ESCOLHIDA
ALDIELE DA ROCHA MATA 077***.***-** - INDEFERIDO CANDIDATO (A) NÃO APRESENTOU DOCUMENTAÇÃO EXIGIDA EM PDF
NUBIA ALAFAETE MOREIRA LIMA 056***.***-** 7 INDEFERIDO
CANDIDATO (A) NÃO APRESENTOU DECLARAÇÃO EXPEDIDA PELO GDF QUE
COMPROVE RECEBIMENTO DE BENEFÍCIO DE PROGRAMA SOCIAL DE
COMPLEMENTAÇÃO OU SUPLEMENTAÇÃO DE RENDA DO GDF (PRATO CHEIO, DF
SOCIAL)
WALISSON RANE FARIAS ARAUJO 029***.***-** 8 INDEFERIDO CANDIDATO (A) NÃO APRESENTOU DOCUMENTAÇÃO EXIGIDA RG
JUNIO FRANCA COSTA 019***.***-** 1 INDEFERIDO
CANDIDATO (A) NÃO APRESENTOU DECLARAÇÃO EXPEDIDA PELO GDF QUE
COMPROVE RECEBIMENTO DE BENEFÍCIO DE PROGRAMA SOCIAL DE
COMPLEMENTAÇÃO OU SUPLEMENTAÇÃO DE RENDA DO GDF (PRATO CHEIO, DF
SOCIAL)
GABRIELA REGINA DA CRUZ SILVA 023***.***-** 1 DEFERIDO
JAQUELINE BARBOSA FERREIRA 706***.***-** 1 INDEFERIDO
CANDIDATO (A) NÃO APRESENTOU DECLARAÇÃO EXPEDIDA PELO GDF QUE
COMPROVE RECEBIMENTO DE BENEFÍCIO DE PROGRAMA SOCIAL DE
COMPLEMENTAÇÃO OU SUPLEMENTAÇÃO DE RENDA DO GDF (PRATO CHEIO, DF
SOCIAL)
ANDRÉLIANA ALMEIDA REBELO CASSIANO 944***.***-** 6 INDEFERIDO
CANDIDATO (A) NÃO APRESENTOU DECLARAÇÃO EXPEDIDA PELO GDF QUE
COMPROVE RECEBIMENTO DE BENEFÍCIO DE PROGRAMA SOCIAL DE
COMPLEMENTAÇÃO OU SUPLEMENTAÇÃO DE RENDA DO GDF (PRATO CHEIO, DF
SOCIAL)
GABRIELLA SANTOS SILVA 070***.***-** 1 INDEFERIDO
CANDIDATO (A) NÃO APRESENTOU DECLARAÇÃO EXPEDIDA PELO GDF QUE
COMPROVE RECEBIMENTO DE BENEFÍCIO DE PROGRAMA SOCIAL DE
COMPLEMENTAÇÃO OU SUPLEMENTAÇÃO DE RENDA DO GDF (PRATO CHEIO, DF
SOCIAL)
JOSELENE LIMA GARCIA 892***.***-** 1 INDEFERIDO
CANDIDATO (A) NÃO APRESENTOU DECLARAÇÃO EXPEDIDA PELO GDF QUE
COMPROVE RECEBIMENTO DE BENEFÍCIO DE PROGRAMA SOCIAL DE
COMPLEMENTAÇÃO OU SUPLEMENTAÇÃO DE RENDA DO GDF (PRATO CHEIO, DF
SOCIAL)
LEISE AMORIN LEITE 997***.***-** 1 INDEFERIDO CANDIDATO (A) NÃO APRESENTOU DOCUMENTAÇÃO EXIGIDA
ITALO HENRIQUE MOURA ALVES 071***.***-** 8 DEFERIDO
SIMARIO BARROSO DE CASTRO 055***.***-** 5 DEFERIDO
ILZA APARECIDA NERES LOPES 012***.***-** - INDEFERIDO CANDIDATO (A) NÃO APRESENTOU DOCUMENTAÇÃO EXIGIDA EM PDF
PATRÍCIA OLIVEIRA DE MOURA 721***.***-** 6 DEFERIDO
JAQUELINE BARBOSA DE MELO 014***.***-** 8 INDEFERIDO
CANDIDATO (A) NÃO APRESENTOU DECLARAÇÃO EXPEDIDA PELO GDF QUE
COMPROVE RECEBIMENTO DE BENEFÍCIO DE PROGRAMA SOCIAL DE
COMPLEMENTAÇÃO OU SUPLEMENTAÇÃO DE RENDA DO GDF (PRATO CHEIO, DF
SOCIAL)
ANA PAULA DIAS PEREIRA DOS SANTOS 018***.***-** 1 INDEFERIDO
CANDIDATO (A) NÃO APRESENTOU LAUDO MÉDICO COMPROBATÓRIO DA
ISENÇÃO DE
ACORDO COM A POSSIBILIDADE ESCOLHIDA (CAD. ÚNICO FEDERAL)
ANA PAULA DIAS PEREIRA DOS SANTOS 018***.***-** 8 INDEFERIDO
CANDIDATO (A) NÃO APRESENTOU LAUDO MÉDICO COMPROBATÓRIO DA
ISENÇÃO DE
ACORDO COM A POSSIBILIDADE ESCOLHIDA (CAD. ÚNICO FEDERAL)
RICARDO CARVALHO DAMASCENO 657***.***-** 8 INDEFERIDO CANDIDATO (A) NÃO APRESENTOU DOCUMENTAÇÃO EXIGIDA EM PDF
RICARDO CARVALHO DAMASCENO 657***.***-** 1 INDEFERIDO CANDIDATO (A) NÃO APRESENTOU DOCUMENTAÇÃO EXIGIDA EM PDF
NAYARA DE BRITO BARRADAS 041***.***-** 3 DEFERIDO
GLEICIANE NOVAIS DE FRANÇA 014***.***-** 1 DEFERIDO
GLEICIANE NOVAIS DE FRANÇA 014***.***-** 2 DEFERIDO
NOEMI ROSA DE MELO 774***.***-** 7 INDEFERIDO
CANDIDATO (A) NÃO APRESENTOU DOCUMENTO DE IDENTIFICAÇÃO E NÃO
APRESENTOU DECLARAÇÃO EXPEDIDA PELO GDF QUE COMPROVE
RECEBIMENTO DE BENEFÍCIO DE PROGRAMA SOCIAL DE COMPLEMENTAÇÃO OU
SUPLEMENTAÇÃO DE RENDA DO GDF (PRATO CHEIO, DF SOCIAL)
ÍTALO HENRIQUE MOURA ALVES 071***.***-** 1 DEFERIDO
HUEILLA NAJARA DA SILVA 727***.***-** 1 INDEFERIDO
CANDIDATO (A) NÃO APRESENTOU COMPROVANTE DE CADASTRAMENTO NO
CADASTRO ÚNICO
KAMILLI ISABELA DE SOUSA SANTOS 076***.***-** - INDEFERIDO CANDIDATO (A) NÃO APRESENTOU DOCUMENTAÇÃO EXIGIDA
THAÍS FERREIRA MARTINS 052***.***-** 7 INDEFERIDO
CANDIDATO (A) NÃO APRESENTOU DECLARAÇÃO EXPEDIDA PELO GDF QUE
COMPROVE RECEBIMENTO DE BENEFÍCIO DE PROGRAMA SOCIAL DE
COMPLEMENTAÇÃO OU SUPLEMENTAÇÃO DE RENDA DO GDF (PRATO CHEIO, DF
SOCIAL)
CLEBER CARLOS DA SILVA 844***.***-** 1 DEFERIDO
CLEBER CARLOS DA SILVA 844***.***-** 2 DEFERIDO
ERIKA DE CARVALHO ARAÚJO 033***.***-** 7 INDEFERIDO
CANDIDATO (A) NÃO APRESENTOU DECLARAÇÃO EXPEDIDA PELO GDF QUE
COMPROVE RECEBIMENTO DE BENEFÍCIO DE PROGRAMA SOCIAL DE
COMPLEMENTAÇÃO OU SUPLEMENTAÇÃO DE RENDA DO GDF (PRATO CHEIO, DF
SOCIAL)
MARIA DE JESUS OLIVEIRA SANTOS -***.***-** - INDEFERIDO CANDIDATO (A) NÃO APRESENTOU DOCUMENTAÇÃO EXIGIDA EM PDF
GUILHERME MARRA BUENO 037***.***-** 1 DEFERIDO
MILENE ALVES DA SILVA 929***.***-** 2 INDEFERIDO
CANDIDATO (A) NÃO APRESENTOU LAUDO MÉDICO COMPROBATÓRIO DA
ISENÇÃO DE
ACORDO COM A POSSIBILIDADE ESCOLHIDA (CAD. ÚNICO FEDERAL)
KARINA PEREIRA GUALBERTO 053***.***-** 8 INDEFERIDO CANDIDATO (A) NÃO APRESENTOU DOCUMENTAÇÃO EXIGIDA
THIAGO HENRIQUE MEDEIROS LIMA 042***.***-** 5 DEFERIDO
MÔNICA CRISTINA MUNHOZ MORAES 840***.***-** 1 DEFERIDO
MÔNICA CRISTINA MUNHOZ MORAES 840***.***-** 7 DEFERIDO
SUZANE SANTOS SOUSA 040***.***-** 2 INDEFERIDO CANDIDATO (A) NÃO APRESENTOU DOCUMENTAÇÃO EXIGIDA
LAILA PEREIRA DE CARVALHO 010***.***-** 5 DEFERIDO
LARA CAMILLY DE OLIVEIRA MARQUES 712***.***-** 1 INDEFERIDO
CANDIDATO (A) NÃO APRESENTOU LAUDO MÉDICO COMPROBATÓRIO DA
ISENÇÃO DE
ACORDO COM A POSSIBILIDADE ESCOLHIDA (CAD. ÚNICO FEDERAL)
JAQUELINE DOS SANTOS BASÍLIO 062***.***-** 1 INDEFERIDO
CANDIDATO (A) NÃO APRESENTOU DECLARAÇÃO EXPEDIDA PELO GDF QUE
COMPROVE RECEBIMENTO DE BENEFÍCIO DE PROGRAMA SOCIAL DE
COMPLEMENTAÇÃO OU SUPLEMENTAÇÃO DE RENDA DO GDF (PRATO CHEIO, DF
SOCIAL)
TIAGO BRAGA PEREIRA 037***.***-** 1 DEFERIDO
ANA GABRIELA DE SOUSA COSTA 029***.***-** - INDEFERIDO
CANDIDATO (A) NÃO APRESENTOU DECLARAÇÃO EXPEDIDA PELO GDF QUE
COMPROVE RECEBIMENTO DE BENEFÍCIO DE PROGRAMA SOCIAL DE
COMPLEMENTAÇÃO OU SUPLEMENTAÇÃO DE RENDA DO GDF (PRATO CHEIO, DF
SOCIAL) E NÃO INFORMOU O CARGO
GLORIETE FRANCISCA ROSA E SILVA LEITE 710***.***-** 1 DEFERIDO
RENAN ALVES BRAGA 010***.***-** 1 DEFERIDO
HOTTOT LEITE MEDEIROS 070***.***-** 5 DEFERIDO
DENISE DE SOUZA BUARQUES LICURI 719***.***-** 1 INDEFERIDO
CANDIDATO (A) NÃO APRESENTOU CERTIDÃO EXPEDIDA PELO GDF QUE
COMPROVE RECEBIMENTO DE BENEFÍCIO DE PROGRAMA SOCIAL DE
COMPLEMENTAÇÃO OU SUPLEMENTAÇÃO DE RENDA DO GDF
MAYRA LAYRE LOPES DE LIMA AMORIM 020***.***-** 1 DEFERIDO
MANUEL WILLIAN SILVA RODRIGUES 003***.***-** 1 DEFERIDO
MANUEL WILLIAN SILVA RODRIGUES 003***.***-** 2 DEFERIDO
ANTÔNIA ELEINE LEITE CAVALCANTE BIAS 981***.***-** 1 DEFERIDO
GREICYANE ROCHA DE JESUS 039***.***-** 1 INDEFERIDO
CANDIDATO (A) NÃO APRESENTOU LAUDO COMPROBATÓRIO DA ISENÇÃO DE
ACORDO COM A POSSIBILIDADE ESCOLHIDA E RG (CAD. ÚNICO FEDERAL)
DANIEL DARLEY BIAS 709***.***-** 7 DEFERIDO
ELIENE AFONSO DE OLIVEIRA 578***.***-** 1 INDEFERIDO
CANDIDATO (A) NÃO APRESENTOU CERTIDÃO EXPEDIDA PELO GDF QUE
COMPROVE RECEBIMENTO DE BENEFÍCIO DE PROGRAMA SOCIAL DE
COMPLEMENTAÇÃO OU SUPLEMENTAÇÃO DE RENDA DO GDF E
DOCUMENTAÇÃO EM PDF
NAILSA VIEIRA SILVA 505***.***-** 2 INDEFERIDO
CANDIDATO (A) NÃO APRESENTOU COMPROVANTE DE PRESTAÇÃO DE SERVIÇOS
À JUSTIÇA ELEITORAL POR, NO MÍNIMO, AS DUAS ELEIÇÕES E NÃO INFORMOU
NO FORMULÁRIO O CARGO
EDSON DA CONCEIÇÃO SANTOS 004***.***-** 2 DEFERIDO
MARIA DE NAZARE OLIVEIRA GALISA DE MEDEIROS 816***.***-** 7 INDEFERIDO CANDIDATO (A) NÃO APRESENTOU DOCUMENTAÇÃO EXIGIDA EM PDF
VALERIA FERNANDES TEIXEIRA 080***.***-** 1 DEFERIDO
MARIA VERONICA DE OLIVEIRA 741***.***-** - INDEFERIDO
CANDIDATO (A) NÃO APRESENTOU CERTIDÃO EXPEDIDA PELO GDF QUE
COMPROVE RECEBIMENTO DE BENEFÍCIO DE PROGRAMA SOCIAL DE
COMPLEMENTAÇÃO OU SUPLEMENTAÇÃO DE RENDA DO GDF E
DOCUMENTAÇÃO EM PDF
EVERTON HENRIQUE BEZERRA FREIRE 017***.***-** 1 INDEFERIDO
CANDIDATO (A) NÃO APRESENTOU FORMULÁRIO PARA PEDIDO DE ISENÇÃO E
NÃO APRESENTOU LAUDO MÉDICO COMPROBATÓRIO
LILIAN MAZZOCCANTE MARTINS 042***.***-** 6 DEFERIDO
MARIA FERREIRA BARRETO 610***.***-** 5 INDEFERIDO
CANDIDATO (A) NÃO APRESENTOU CERTIDÃO EXPEDIDA PELO GDF QUE
COMPROVE RECEBIMENTO DE BENEFÍCIO DE PROGRAMA SOCIAL DE
COMPLEMENTAÇÃO OU SUPLEMENTAÇÃO DE RENDA DO GDF
NARAINE DE SOUZA OLIVEIRA 053***.***-** 7 INDEFERIDO
CANDIDATO (A) NÃO APRESENTOU LAUDO MÉDICO COMPROBATÓRIO DA
ISENÇÃO DE
ACORDO COM A POSSIBILIDADE ESCOLHIDA (CAD. ÚNICO FEDERAL)
ANGELICA MARIA DE CARVALHO CUNHA 011***.***-** 5 DEFERIDO
VALERIA FERNANDES DE OLIVEIRA 601***.***-** 7 DEFERIDO
RENATO DE SOUZA VALENÇA PRADO 009***.***-** 1 DEFERIDO
RENAN CARLOS DA SILVA 012***.***-** 8 DEFERIDO
JOSUE LUCIO DA SILVA 049***.***-** 1 DEFERIDO
IVONE ROSA DO CARMO 68***.***-** 1 DEFERIDO
JESSICA CECILIA SILVA DE OLIVEIRA 046***.***-** 1 DEFERIDO
ROSENILDE BRAGA DE OLIVEIRA 928***.***-** 1 INDEFERIDO
CANDIDATO (A) NÃO APRESENTOU CERTIDÃO EXPEDIDA PELO GDF QUE
COMPROVE RECEBIMENTO DE BENEFÍCIO DE PROGRAMA SOCIAL DE
COMPLEMENTAÇÃO OU SUPLEMENTAÇÃO DE RENDA DO GDF E RG
ANGELICA DE SOUSA MORAIS 013***.***-** 8 DEFERIDO
MARCIO DA CUNHA TRAPIA 601***.***-** 1 DEFERIDO
VERA LUCIA SOARES DE OLIVEIRA 001***.***-** 6 DEFERIDO
ESTENIO TRAJANO SILVA DE OLIVEIRA 041***.***-** 1 DEFERIDO
VITÓRIA RÉGINA CRISTIANO DOS SANTOS 067***.***-** 7 INDEFERIDO
CANDIDATO (A) NÃO APRESENTOU DECLARAÇÃO EXPEDIDA PELO GDF QUE
COMPROVE RECEBIMENTO DE BENEFÍCIO DE PROGRAMA SOCIAL DE
COMPLEMENTAÇÃO OU SUPLEMENTAÇÃO DE RENDA DO GDF (PRATO CHEIO E
DF SOCIAL)
KAMILLA LUIZA DA SILVA SOARES 030***.***-** 1 DEFERIDO
WEBSTER MACIEL FOLGADO 007***.***-** 8 DEFERIDO
WEBSTER MACIEL FOLGADO 007***.***-** 1 DEFERIDO
DANIELLA AVELINO DE SOUZA 669***.***-** 1 DEFERIDO
RAIANA BITTENCOURT COELHO SCORZA GONCALVES 024***.***-** 3 DEFERIDO
KARLA REGINA SANTOS DIAS 833***.***-** 5 DEFERIDO
EDIANE PAULINA GOMES SILVA 056***.***-** 1 INDEFERIDO
CANDIDATO (A) NÃO APRESENTOU DECLARAÇÃO EXPEDIDA PELO GDF QUE
COMPROVE RECEBIMENTO DE BENEFÍCIO DE PROGRAMA SOCIAL DE
COMPLEMENTAÇÃO OU SUPLEMENTAÇÃO DE RENDA DO GDF E RG
EDUARDO GONCALVES MOTA 053***.***-** 3 DEFERIDO
ANNA BEATRIZ DE SOUSA COSTA 075***.***-** 1 DEFERIDO
PHELLIPE OLIVEIRA DE ALMEIDA 036***.***-** 1 DEFERIDO
CLEODOBERTO SHAKESPEARE SANCAO SILVA MENDONCA 015***.***-** 1 INDEFERIDO CANDIDATO (A) NÃO APRESENTOU DOCUMENTAÇÃO EXIGIDA RG
SARAH SOARES NUNES 083***.***-** 1 INDEFERIDO
CANDIDATO (A) NÃO APRESENTOU DECLARAÇÃO EXPEDIDA PELO GDF QUE
COMPROVE RECEBIMENTO DE BENEFÍCIO DE PROGRAMA SOCIAL DE
COMPLEMENTAÇÃO OU SUPLEMENTAÇÃO DE RENDA DO GDF (PRATO CHEIO E
DF SOCIAL)
SARAH SOARES NUNES 083***.***-** 8 INDEFERIDO
CANDIDATO (A) NÃO APRESENTOU DECLARAÇÃO EXPEDIDA PELO GDF QUE
COMPROVE RECEBIMENTO DE BENEFÍCIO DE PROGRAMA SOCIAL DE
COMPLEMENTAÇÃO OU SUPLEMENTAÇÃO DE RENDA DO GDF (PRATO CHEIO E
DF SOCIAL)
SÁLVIA TRAJANO JERONIMO DE OLIVEIRA 072***.***-** 1 DEFERIDO
WELLINGTON RUBENS GABRIEL MACIEL 620***.***-** 1 DEFERIDO
MATHEUS SANTOS OLIVEIRA 056***.***-** 1 INDEFERIDO
CANDIDATO (A) NÃO APRESENTOU FORMULÁRIO PARA PEDIDO DE ISENÇÃO
ATUALIZADO E LAUDO MÉDICO DE ACORDO COM A MARCAÇÃO ESCOLHIDA
MARTA MARIELLY DA SILVA 062***.***-** 1 DEFERIDO
KARINA DE AMORIM DA CONCEICAO 052***.***-** - INDEFERIDO
CANDIDATO (A) NÃO APRESENTOU DOCUMENTO DE IDENTIFICAÇÃO E
FORMULÁRIO PARA PEDIDO DE ISENÇÃO ATUALIZADO, LAUDO MÉDICO
JACQUELINE CRUZ DE SOUZA 044***.***-** 1 INDEFERIDO
CANDIDATO (A) NÃO APRESENTOU DECLARAÇÃO EXPEDIDA PELO GDF QUE
COMPROVE RECEBIMENTO DE BENEFÍCIO DE PROGRAMA SOCIAL DE
COMPLEMENTAÇÃO OU SUPLEMENTAÇÃO DE RENDA DO GDF (PRATO CHEIO E
DF SOCIAL)
RAFAELLA BARCELLOS MARINHO 009***.***-** 1 DEFERIDO
RENATO BRITO DA SILVA 926***.***-** 1 DEFERIDO
JHULLYANA APARECIDA FERREIRA 030***.***-** 1 DEFERIDO
ANDERSON CESAR GONÇALVES DO NASCIMENTO 923***.***-** 7 DEFERIDO
ANDERSON CESAR GONÇALVES DO NASCIMENTO 923***.***-** 1 DEFERIDO
CAMILA SOARES FORTINE 021***.***-** 2 DEFERIDO
CAMILA SOARES FORTINE 021***.***-** 1 DEFERIDO
ELIANE RIBEIRO DA SILVA 011***.***-** 1 INDEFERIDO CANDIDATO (A) NÃO APRESENTOU DOCUMENTAÇÃO EXIGIDA EM PDF
ROGERIO ROCHA DE SOUZA 821***.***-** 1 DEFERIDO
THAIS RIBEIRO MUNIZ 022***.***-** 1 DEFERIDO
THIAGO GOMES DE OLIVEIRA 014***.***-** 2 DEFERIDO
JANAÍNA GOMES DA COSTA NOVAIS 008***.***-** 1 DEFERIDO
JANAÍNA GOMES DA COSTA NOVAIS 008***.***-** 7 DEFERIDO
JUSCILENE MARIA DA SILVA BASTOS 483***.***-** 2 INDEFERIDO
CANDIDATO (A) NÃO APRESENTOU DECLARAÇÃO EXPEDIDA PELO GDF QUE
COMPROVE RECEBIMENTO DE BENEFÍCIO DE PROGRAMA SOCIAL DE
COMPLEMENTAÇÃO OU SUPLEMENTAÇÃO DE RENDA DO GDF (PRATO CHEIO E
DF SOCIAL)
LAURILENE FONSECA FERRAZ 024***.***-** 1 INDEFERIDO
CANDIDATO (A) NÃO APRESENTOU DECLARAÇÃO EXPEDIDA PELO GDF QUE
COMPROVE RECEBIMENTO DE BENEFÍCIO DE PROGRAMA SOCIAL DE
COMPLEMENTAÇÃO OU SUPLEMENTAÇÃO DE RENDA DO GDF (PRATO CHEIO E
DF SOCIAL)
LAURILENE FONSECA FERRAZ 024***.***-** 7 INDEFERIDO
CANDIDATO (A) NÃO APRESENTOU DECLARAÇÃO EXPEDIDA PELO GDF QUE
COMPROVE RECEBIMENTO DE BENEFÍCIO DE PROGRAMA SOCIAL DE
COMPLEMENTAÇÃO OU SUPLEMENTAÇÃO DE RENDA DO GDF (PRATO CHEIO E
DF SOCIAL)
ANDERSON GOMES SOARES 723***.***-** 2 DEFERIDO
CESAR AUGUSTO SIQUEIRA LIMA 814***.***-** 1 INDEFERIDO
CANDIDATO (A) NÃO APRESENTOU DECLARAÇÃO EXPEDIDA PELO GDF QUE
COMPROVE RECEBIMENTO DE BENEFÍCIO DE PROGRAMA SOCIAL DE
COMPLEMENTAÇÃO OU SUPLEMENTAÇÃO DE RENDA DO GDF (PRATO CHEIO E
DF SOCIAL)
FERNANDA GISELE LEITE FERREIRA ALVES 019***.***-** 1 INDEFERIDO
CANDIDATO (A) NÃO APRESENTOU DOCUMETAÇÃO EXIGIDA LAUDO MÉDICO
ASSINADO COM CARINBO DO MÉDICO COMPROVANDO DEFICIÊNCIA
MARCOS JADIR DE SOUZA PRADO 703***.***-** 1 DEFERIDO
FABÍOLA DIANE ALVES SANTOS 726***.***-** 1 DEFERIDO
SAMANTHA DOS SANTOS FERNANDES 056***.***-** 1 DEFERIDO
RODRIGO DE ARAUJO LEITE -***.***-** - INDEFERIDO
CANDIDATO (A) NÃO APRESENTOU DOCUMENTO DE IDENTIFICAÇÃO E
FORMULÁRIO PARA PEDIDO DE ISENÇÃO ATUALIZADO
LUIS FELIPE PEREIRA LEITE 037***.***-** 1 INDEFERIDO
CANDIDATO (A) NÃO APRESENTOU DECLARAÇÃO EXPEDIDA PELO GDF QUE
COMPROVE RECEBIMENTO DE BENEFÍCIO DE PROGRAMA SOCIAL DE
COMPLEMENTAÇÃO OU SUPLEMENTAÇÃO DE RENDA DO GDF (PRATO CHEIO E
DF SOCIAL)
LUIS FELIPE PEREIRA LEITE 037***.***-** 5 INDEFERIDO
CANDIDATO (A) NÃO APRESENTOU DECLARAÇÃO EXPEDIDA PELO GDF QUE
COMPROVE RECEBIMENTO DE BENEFÍCIO DE PROGRAMA SOCIAL DE
COMPLEMENTAÇÃO OU SUPLEMENTAÇÃO DE RENDA DO GDF (PRATO CHEIO E
DF SOCIAL)
GUSTAVO HENRIQUE CAMARGO EUFRÁSIO 068***.***-** 1 DEFERIDO
GUSTAVO HENRIQUE CAMARGO EUFRÁSIO 068***.***-** 5 DEFERIDO
BEATRIZ COSTA PEREIRA 035***.***-** 1 DEFERIDO
BEATRIZ COSTA PEREIRA 035***.***-** 6 DEFERIDO
FABIANA DA SILVA SANTOS 029***.***-** 1 INDEFERIDO CANDIDATO (A) NÃO APRESENTOU DOCUMENTAÇÃO EXIGIDA EM PDF
FABIANA DA SILVA SANTOS 029***.***-** 6 INDEFERIDO CANDIDATO (A) NÃO APRESENTOU DOCUMENTAÇÃO EXIGIDA EM PDF
LUIS FERNANDO ALVES DA SILVA -***.***-** - INDEFERIDO
CANDIDATO (A) NÃO APRESENTOU DOCUMENTO DE IDENTIFICAÇÃO E
FORMULÁRIO PARA PEDIDO DE ISENÇÃO ATUALIZADO E RG
MARIA DE JESUS RIBEIRO SILVA 179***.***-** 1 INDEFERIDO
CANDIDATO (A) NÃO APRESENTOU DOCUMENTO ATUAIZADO COMPROBATÓRIO
DA ISENÇÃO DE
ACORDO COM A POSSIBILIDADE ESCOLHIDA (CADASTRO ÚNICO FEDERAL)
LUCIANO FERNANDES TEIXEIRA 065***.***-** 1 INDEFERIDO CANDIDATO (A) NÃO APRESENTOU DOCUMENTAÇÃO EXIGIDA EM PDF
LUCIANO FERNANDES TEIXEIRA 065***.***-** 7 INDEFERIDO CANDIDATO (A) NÃO APRESENTOU DOCUMENTAÇÃO EXIGIDA EM PDF
AUDÂNIA ROSA LIMA MENDES 930***.***-** 7 DEFERIDO
ISABELLA GUERREIRO CAPARIGA BORGES 126***.***-** 1 DEFERIDO
ISABELLA GUERREIRO CAPARIGA BORGES 126***.***-** 3 DEFERIDO
DAIANE SILVA DE CARVALHO -***.***-** - INDEFERIDO
CANDIDATO (A) NÃO APRESENTOU DOCUMETAÇÃO EXIGIDA PARA A
SOLICITAÇÃO DE ISENÇÃO
REBECA DA COSTA DE MATOS 017***.***-** 1 INDEFERIDO
CANDIDATO (A) NÃO APRESENTOU DECLARAÇÃO EXPEDIDA PELO GDF QUE
COMPROVE RECEBIMENTO DE BENEFÍCIO DE PROGRAMA SOCIAL DE
COMPLEMENTAÇÃO OU SUPLEMENTAÇÃO DE RENDA DO GDF (PRATO CHEIO E
DF SOCIAL)
REBECA DA COSTA DE MATOS 017***.***-** 2 INDEFERIDO
CANDIDATO (A) NÃO APRESENTOU DECLARAÇÃO EXPEDIDA PELO GDF QUE
COMPROVE RECEBIMENTO DE BENEFÍCIO DE PROGRAMA SOCIAL DE
COMPLEMENTAÇÃO OU SUPLEMENTAÇÃO DE RENDA DO GDF (PRATO CHEIO E
DF SOCIAL)
ANA CAROLINA RIBEIRO CAETANO 039***.***-** 1 INDEFERIDO
CANDIDATO (A) NÃO APRESENTOU DOCUMENTO ATUAIZADO COMPROBATÓRIO
DA ISENÇÃO DE
ACORDO COM A POSSIBILIDADE ESCOLHIDA (CADASTRO ÚNICO FEDERAL)
JOSÉ RICARDO GOMES LOBATO 359***.***-** 1 DEFERIDO
JOSÉ RICARDO GOMES LOBATO 359***.***-** 6 DEFERIDO
PATRICIA GADIA POCAS FONSECA 700***.***-** 1 DEFERIDO
LOURDES VANA PINHEIRO DE SOUZA PATROCINIO 381***.***-** 1 INDEFERIDO
CANDIDATO (A) NÃO APRESENTOU DECLARAÇÃO EXPEDIDA PELO GDF QUE
COMPROVE RECEBIMENTO DE BENEFÍCIO DE PROGRAMA SOCIAL DE
COMPLEMENTAÇÃO OU SUPLEMENTAÇÃO DE RENDA DO GDF (PRATO CHEIO E
DF SOCIAL)
LOURDES VANA PINHEIRO DE SOUZA PATROCINIO 381***.***-** 2 INDEFERIDO
CANDIDATO (A) NÃO APRESENTOU DECLARAÇÃO EXPEDIDA PELO GDF QUE
COMPROVE RECEBIMENTO DE BENEFÍCIO DE PROGRAMA SOCIAL DE
COMPLEMENTAÇÃO OU SUPLEMENTAÇÃO DE RENDA DO GDF (PRATO CHEIO E
DF SOCIAL)
GILMA CAVALCANTI FERREIRA 37***.***-** 1 DEFERIDO
WANNE MIRELLE BARBOSA DOS SANTOS 040***.***-** 1 DEFERIDO
WANNE MIRELLE BARBOSA DOS SANTOS 040***.***-** 8 DEFERIDO
ERICA SOARES DE OLIVEIRA 050***.***-** 6 INDEFERIDO
CANDIDATO (A) NÃO APRESENTOU DECLARAÇÃO EXPEDIDA PELO GDF QUE
COMPROVE RECEBIMENTO DE BENEFÍCIO DE PROGRAMA SOCIAL DE
COMPLEMENTAÇÃO OU SUPLEMENTAÇÃO DE RENDA DO GDF (PRATO CHEIO E
DF SOCIAL E RG )
MARCIANA DA COSTA 000***.***-** 5 INDEFERIDO
CANDIDATO (A) NÃO APRESENTOU DECLARAÇÃO EXPEDIDA PELO GDF QUE
COMPROVE RECEBIMENTO DE BENEFÍCIO DE PROGRAMA SOCIAL DE
COMPLEMENTAÇÃO OU SUPLEMENTAÇÃO DE RENDA DO GDF (PRATO CHEIO E
DF SOCIAL E RG)
LUCAS ASSUNÇÃO 077***.***-** 2 INDEFERIDO
CANDIDATO (A) NÃO APRESENTOU DECLARAÇÃO EXPEDIDA PELO GDF QUE
COMPROVE RECEBIMENTO DE BENEFÍCIO DE PROGRAMA SOCIAL DE
COMPLEMENTAÇÃO OU SUPLEMENTAÇÃO DE RENDA DO GDF (PRATO CHEIO E
DF SOCIAL )
ELAINE GONCALVES DA SILVA 012***.***-** 1 INDEFERIDO
CANDIDATO (A) NÃO APRESENTOU DECLARAÇÃO EXPEDIDA PELO GDF QUE
COMPROVE RECEBIMENTO DE BENEFÍCIO DE PROGRAMA SOCIAL DE
COMPLEMENTAÇÃO OU SUPLEMENTAÇÃO DE RENDA DO GDF (PRATO CHEIO E
DF SOCIAL )
ELAINE GONCALVES DA SILVA 012***.***-** 8 INDEFERIDO
CANDIDATO (A) NÃO APRESENTOU DECLARAÇÃO EXPEDIDA PELO GDF QUE
COMPROVE RECEBIMENTO DE BENEFÍCIO DE PROGRAMA SOCIAL DE
COMPLEMENTAÇÃO OU SUPLEMENTAÇÃO DE RENDA DO GDF (PRATO CHEIO E
DF SOCIAL )
EMANUELLE MACÊDO RAMOS 070***.***-** 1 INDEFERIDO
CANDIDATO (A) NÃO APRESENTOU DECLARAÇÃO EXPEDIDA PELO GDF QUE
COMPROVE RECEBIMENTO DE BENEFÍCIO DE PROGRAMA SOCIAL DE
COMPLEMENTAÇÃO OU SUPLEMENTAÇÃO DE RENDA DO GDF (PRATO CHEIO E
DF SOCIAL )
DANILLO DA SILVA OLIVEIRA 009***.***-** 2 DEFERIDO
DANILLO DA SILVA OLIVEIRA 009***.***-** 1 DEFERIDO
FRANCISCA DAS CHAGAS RODRIGUES DE ARAÚJO 693***.***-** 8 INDEFERIDO
CANDIDATO (A) NÃO APRESENTOU DECLARAÇÃO EXPEDIDA PELO GDF QUE
COMPROVE RECEBIMENTO DE BENEFÍCIO DE PROGRAMA SOCIAL DE
COMPLEMENTAÇÃO OU SUPLEMENTAÇÃO DE RENDA DO GDF (PRATO CHEIO E
DF SOCIAL )
AMANDA PAIVA DE MAGALHÃES 048***.***-** 1 DEFERIDO
LETHICIA ARAÚJO HONESKO 130***.***-** 6 DEFERIDO
JEFERSON BISPO DOS SANTOS 043***.***-** 1 INDEFERIDO
CANDIDATO (A) NÃO APRESENTOU FORMULÁRIO PARA PEDIDO DE ISENÇÃO
ATUALIZADO COM A MARCAÇÃO ESCOLHIDA
ISAÍAS RAMOS VIANA DE BRITO 058***.***-** 1 INDEFERIDO
CANDIDATO (A) NÃO APRESENTOU DECLARAÇÃO EXPEDIDA PELO GDF QUE
COMPROVE RECEBIMENTO DE BENEFÍCIO DE PROGRAMA SOCIAL DE
COMPLEMENTAÇÃO OU SUPLEMENTAÇÃO DE RENDA DO GDF (PRATO CHEIO E
DF SOCIAL )
THIARA CAROLINE REIS DE AZEVEDO 012***.***-** 1 DEFERIDO
THIARA CAROLINE REIS DE AZEVEDO 012***.***-** 8 INDEFERIDO
CANDIDATO (A) NÃO APRESENTOU FORMULÁRIO PARA PEDIDO DE ISENÇÃO
ATUALIZADO COM O SEGUNDO CARGO ESCOLHIDO E DEVIDAMENTE ASSINADO
ALZENAIDE BARBOSA ROCHA 834***.***-** 4 INDEFERIDO
CANDIDATO (A) NÃO APRESENTOU DOCUMENTAÇÃO EXIGIDA COMPLETA EM
PDF
ALZENAIDE BARBOSA ROCHA 834***.***-** 1 INDEFERIDO
CANDIDATO (A) NÃO APRESENTOU DOCUMENTAÇÃO EXIGIDA COMPLETA EM
PDF
ALDINEIS FERREIRA DA SILVA 955***.***-** 2 INDEFERIDO
CANDIDATO (A) NÃO APRESENTOU DOCUMENTAÇÃO EXIGIDA COMPLETA EM
PDF
NIVALDO SALUSTIANO DA SILVA 60***.***-** 1 DEFERIDO
TAMIRIS ALVES DA SILVA 042***.***-** 1 INDEFERIDO
CANDIDATO (A) NÃO APRESENTOU DECLARAÇÃO EXPEDIDA PELO GDF QUE
COMPROVE RECEBIMENTO DE BENEFÍCIO DE PROGRAMA SOCIAL DE
COMPLEMENTAÇÃO OU SUPLEMENTAÇÃO DE RENDA DO GDF (PRATO CHEIO E
DF SOCIAL )
JOSIELLE MARIA DE QUEIROZ 011***.***-** 1 INDEFERIDO
CANDIDATO (A) NÃO APRESENTOU DECLARAÇÃO EXPEDIDA PELO GDF QUE
COMPROVE RECEBIMENTO DE BENEFÍCIO DE PROGRAMA SOCIAL DE
COMPLEMENTAÇÃO OU SUPLEMENTAÇÃO DE RENDA DO GDF (PRATO CHEIO E
DF SOCIAL )
GABRIEL SILVEIRA MARQUES 037***.***-** 1 DEFERIDO
GABRIEL SILVEIRA MARQUES 037***.***-** 5 DEFERIDO
TATILORANY BARBOSA DIAS GOMES 036***.***-** 1 INDEFERIDO
CANDIDATO (A) NÃO APRESENTOU DECLARAÇÃO EXPEDIDA PELO GDF QUE
COMPROVE RECEBIMENTO DE BENEFÍCIO DE PROGRAMA SOCIAL DE
COMPLEMENTAÇÃO OU SUPLEMENTAÇÃO DE RENDA DO GDF (PRATO CHEIO E
DF SOCIAL )
TATILORANY BARBOSA DIAS GOMES 036***.***-** 5 INDEFERIDO
CANDIDATO (A) NÃO APRESENTOU DECLARAÇÃO EXPEDIDA PELO GDF QUE
COMPROVE RECEBIMENTO DE BENEFÍCIO DE PROGRAMA SOCIAL DE
COMPLEMENTAÇÃO OU SUPLEMENTAÇÃO DE RENDA DO GDF (PRATO CHEIO E
DF SOCIAL )
JANAÍNA GOLÇALVES SANTOS 693***.***-** 1 DEFERIDO
ALCIONE CARVALHO GRANJA 706***.***-** 1 INDEFERIDO
CANDIDATO (A) NÃO APRESENTOU DECLARAÇÃO EXPEDIDA PELO GDF QUE
COMPROVE RECEBIMENTO DE BENEFÍCIO DE PROGRAMA SOCIAL DE
COMPLEMENTAÇÃO OU SUPLEMENTAÇÃO DE RENDA DO GDF (PRATO CHEIO E
DF SOCIAL )
MARIA EDUARDA DANTAS MUNIZ 080***.***-** 7 INDEFERIDO
CANDIDATO (A) NÃO APRESENTOU DECLARAÇÃO EXPEDIDA PELO GDF QUE
COMPROVE RECEBIMENTO DE BENEFÍCIO DE PROGRAMA SOCIAL DE
COMPLEMENTAÇÃO OU SUPLEMENTAÇÃO DE RENDA DO GDF (PRATO CHEIO E
DF SOCIAL )
JEFFERSON DA SILVA CARDOSO 013***.***-** 1 INDEFERIDO
CANDIDATO (A) NÃO APRESENTOU DOCUMENTAÇÃO PARA PEDIDO DE ISENÇÃO
DE ACORDO COM A OPÇÃO ESCOLHIDA
IRISMAR FERREIRA DOS SANTOS ARAUJO 858***.***-** 2 INDEFERIDO
CANDIDATO (A) NÃO APRESENTOU DECLARAÇÃO EXPEDIDA PELO GDF QUE
COMPROVE RECEBIMENTO DE BENEFÍCIO DE PROGRAMA SOCIAL DE
COMPLEMENTAÇÃO OU SUPLEMENTAÇÃO DE RENDA DO GDF (PRATO CHEIO E
DF SOCIAL )
PAULA DE MEIRA RODRIGUES 042***.***-** 3 INDEFERIDO
CANDIDATO (A) NÃO APRESENTOU DECLARAÇÃO EXPEDIDA PELO GDF QUE
COMPROVE RECEBIMENTO DE BENEFÍCIO DE PROGRAMA SOCIAL DE
COMPLEMENTAÇÃO OU SUPLEMENTAÇÃO DE RENDA DO GDF (PRATO CHEIO E
DF SOCIAL )
NAATY HELENE DINIZ CARVALHO 051***.***-** 1 INDEFERIDO
CANDIDATO (A) NÃO APRESENTOU LAUDO MÉDICO DE ACORDO COM A
MARCAÇÃO ESCOLHIDA
WALTERSON LEITE BATISTA SOARES 724***.***-** 1 DEFERIDO
LARYSSA ALAYNE RODRIGUES SOUZA 053***.***-** 6 INDEFERIDO
CANDIDATO (A) NÃO APRESENTOU DECLARAÇÃO EXPEDIDA PELO GDF QUE
COMPROVE RECEBIMENTO DE BENEFÍCIO DE PROGRAMA SOCIAL DE
COMPLEMENTAÇÃO OU SUPLEMENTAÇÃO DE RENDA DO GDF (PRATO CHEIO E
DF SOCIAL )
FERNANDO SOARES ARAUJO 032***.***-** 8 DEFERIDO
DAVID RAMOS FEITOSA 044***.***-** 1 DEFERIDO
SIMONE DA SILVA CEDRO 697***.***-** 8 DEFERIDO
MARIA CLEONICE MOREIRA DE SOUZA 553***.***-** 1 DEFERIDO
ADRIANO NERES ALVES 042***.***-** 1 INDEFERIDO CANDIDATO (A) NÃO APRESENTOU DOCUMENTAÇÃO EXIGIDA
SARAH DE MELO VIANA TEIXEIRA 032***.***-** 6 INDEFERIDO
CANDIDATO (A) NÃO APRESENTOU DECLARAÇÃO EXPEDIDA PELO GDF QUE
COMPROVE RECEBIMENTO DE BENEFÍCIO DE PROGRAMA SOCIAL DE
COMPLEMENTAÇÃO OU SUPLEMENTAÇÃO DE RENDA DO GDF (PRATO CHEIO E
DF SOCIAL )
LEDA CRITINA ARAUJO CAMPOS 010***.***-** 2 INDEFERIDO
CANDIDATO (A) NÃO APRESENTOU DOCUMENTAÇÃO DE LAUDO MÉDICO E
CAD.ÚNICO DE ACORDO COM A MARCAÇÃO ESCOLHIDA
LEDA CRITINA ARAUJO CAMPOS 010***.***-** 1 INDEFERIDO
CANDIDATO (A) NÃO APRESENTOU COMPROVANTE DE PRESTAÇÃO DE SERVIÇOS
À JUSTIÇA ELEITORAL POR, NO MÍNIMO, AS DUAS ELEIÇÕES E NÃO INFORMOU
NO FORMULÁRIO O CARGO
ZELMAR ALVES SIQUEIRA 563***.***-** 8 DEFERIDO
ZELMAR ALVES SIQUEIRA 563***.***-** 1 DEFERIDO
ANTONIO CARLOS DA CRUZ 505***.***-** 1 INDEFERIDO
CANDIDATO (A) NÃO APRESENTOU DECLARAÇÃO EXPEDIDA PELO GDF QUE
COMPROVE RECEBIMENTO DE BENEFÍCIO DE PROGRAMA SOCIAL DE
COMPLEMENTAÇÃO OU SUPLEMENTAÇÃO DE RENDA DO GDF (PRATO CHEIO E
DF SOCIAL )
FELIPE SILVA DE ARAUJO 03***.***-** 1 DEFERIDO
MARIA DA GLORIA DA SILVA LOPES 042***.***-** 1 INDEFERIDO
CANDIDATO (A) NÃO APRESENTOU DOCUMENTAÇÃO DE LAUDO MÉDICO DE
ACORDO COM A MARCAÇÃO ESCOLHIDA
MARIA DA GLORIA DA SILVA LOPES 042***.***-** 8 INDEFERIDO
CANDIDATO (A) NÃO APRESENTOU DOCUMENTAÇÃO DE LAUDO MÉDICO DE
ACORDO COM A MARCAÇÃO ESCOLHIDA
FERNANDA SOUZA DA SILVA 006***.***-** 4 DEFERIDO
FERNANDA SOUZA DA SILVA 006***.***-** 1 DEFERIDO
PAULO RICARDO DA SILVA LOBATO SANTANA 037***.***-** 1 DEFERIDO
PAULO RICARDO DA SILVA LOBATO SANTANA 037***.***-** 5 DEFERIDO
GIRLAINE DOS SANTOS SILVA 039***.***-** 1 INDEFERIDO CANDIDATO (A) NÃO APRESENTOU DOCUMENTAÇÃO EXIGIDA RG
DOUGLAS SALES DOS SANTOS LEITE 03***.***-** 5 DEFERIDO
LOMARQUES CARNEIRO DOS SANTOS 396***.***-** 1 DEFERIDO
CARLA NUBIA SANTOS DO NASCIMENTO 870***.***-** 2 INDEFERIDO
CANDIDATO (A) NÃO APRESENTOU DECLARAÇÃO EXPEDIDA PELO GDF QUE
COMPROVE RECEBIMENTO DE BENEFÍCIO DE PROGRAMA SOCIAL DE
COMPLEMENTAÇÃO OU SUPLEMENTAÇÃO DE RENDA DO GDF (PRATO CHEIO E
DF SOCIAL )
HIGO GERSON CARDOSO DE AMORIM 025***.***-** 1 INDEFERIDO
CANDIDATO (A) NÃO APRESENTOU DECLARAÇÃO EXPEDIDA PELO GDF QUE
COMPROVE RECEBIMENTO DE BENEFÍCIO DE PROGRAMA SOCIAL DE
COMPLEMENTAÇÃO OU SUPLEMENTAÇÃO DE RENDA DO GDF (PRATO CHEIO E
DF SOCIAL E RG )
EDUARDA NUNES MONTEIRO ALVARES 051***.***-** 1 INDEFERIDO CANDIDATO (A) NÃO APRESENTOU DOCUMENTAÇÃO EXIGIDA PDF
FABIO DA SILVA LIMA 740***.***-** 1 DEFERIDO
KELLY SOUSA CALVAGNI 087***.***-** 7 INDEFERIDO
CANDIDATO (A) NÃO APRESENTOU DECLARAÇÃO EXPEDIDA PELO GDF QUE
COMPROVE RECEBIMENTO DE BENEFÍCIO DE PROGRAMA SOCIAL DE
COMPLEMENTAÇÃO OU SUPLEMENTAÇÃO DE RENDA DO GDF (PRATO CHEIO E
DF SOCIAL )
LUENE RODRIGUES DO NASCIMENTO 036***.***-** 1 DEFERIDO
ADRIANA PAULA FERREIRA 689***.***-** 2 INDEFERIDO CANDIDATO (A) NÃO APRESENTOU DOCUMENTAÇÃO EXIGIDA PDF
LUISABETE DE MELO VIANA 584***.***-** 6 INDEFERIDO
CANDIDATO (A) NÃO APRESENTOU DECLARAÇÃO EXPEDIDA PELO GDF QUE
COMPROVE RECEBIMENTO DE BENEFÍCIO DE PROGRAMA SOCIAL DE
COMPLEMENTAÇÃO OU SUPLEMENTAÇÃO DE RENDA DO GDF (PRATO CHEIO E
DF SOCIAL )
SHIRLEY DAMACENO DE MENEZES 040***.***-** 6 INDEFERIDO
CANDIDATO (A) NÃO APRESENTOU DECLARAÇÃO EXPEDIDA PELO GDF QUE
COMPROVE RECEBIMENTO DE BENEFÍCIO DE PROGRAMA SOCIAL DE
COMPLEMENTAÇÃO OU SUPLEMENTAÇÃO DE RENDA DO GDF (PRATO CHEIO E
DF SOCIAL )
FRANCIELY DA SILVA BORGES 149***.***-** 1 INDEFERIDO
CANDIDATO (A) NÃO APRESENTOU DOCUMENTAÇÃO DE LAUDO MÉDICO DE
ACORDO COM A MARCAÇÃO ESCOLHIDA
PRISCILLA BEATRIZ CANEDO DE SIQUEIRA 020***.***-** 8 DEFERIDO
PRISCILLA BEATRIZ CANEDO DE SIQUEIRA 020***.***-** 1 DEFERIDO
PATRICIA OLIVEIRA DE MOURA 721***.***-** 1 INDEFERIDO
CANDIDATO (A) NÃO APRESENTOU COMPROVANTE DE PRESTAÇÃO DE SERVIÇOS
À JUSTIÇA ELEITORAL POR, NO MÍNIMO, AS DUAS ELEIÇÕES DE TURNOS
DISTINTOS
AMANDA SHOPIA SANTOS ALVES 053***.***-** 7 INDEFERIDO
CANDIDATO (A) NÃO APRESENTOU DOCUMENTAÇÃO DE LAUDO MÉDICO DE
ACORDO COM A MARCAÇÃO ESCOLHIDA
VÂNIA SANTOS DA GLÓRIA 787***.***-** 1 DEFERIDO
VÂNIA SANTOS DA GLÓRIA 787***.***-** 7 DEFERIDO
JOÃO PAULO BARBOSA RODRIGUES 722***.***-** 1 INDEFERIDO CANDIDATO (A) NÃO APRESENTOU DOCUMENTAÇÃO EXIGIDA (CAD.ÚNICO)
RENATA DE PAULA SOUSA DA SILVA 026***.***-** 1 DEFERIDO
GEOVANNA DE JESUS SOUZA 020***.***-** 1 DEFERIDO
ISABELA DOMINGOS DA GLÓRIA 012***.***-** 1 DEFERIDO
WESLIANE LACERDA DE ARAUJO 036***.***-** 7 INDEFERIDO
CANDIDATO (A) NÃO APRESENTOU DECLARAÇÃO EXPEDIDA PELO GDF QUE
COMPROVE RECEBIMENTO DE BENEFÍCIO DE PROGRAMA SOCIAL DE
COMPLEMENTAÇÃO OU SUPLEMENTAÇÃO DE RENDA DO GDF (PRATO CHEIO E
DF SOCIAL )
WELLINGTON MONTEIRO FERREIRA 023***.***-** 1 INDEFERIDO
CANDIDATO (A) NÃO APRESENTOU FORMULÁRIO PARA PEDIDO DE ISENÇÃO
ATUALIZADO COM A MARCAÇÃO ESCOLHIDA
ISABELA DOMINGOS DA GLORIA 012***.***-** 7 DEFERIDO
AMANDA TELES NUNES 056***.***-** - INDEFERIDO
CANDIDATO (A) NÃO APRESENTOU DECLARAÇÃO EXPEDIDA PELO GDF QUE
COMPROVE RECEBIMENTO DE BENEFÍCIO DE PROGRAMA SOCIAL DE
COMPLEMENTAÇÃO OU SUPLEMENTAÇÃO DE RENDA DO GDF (PRATO CHEIO E
DF SOCIAL )
ANTONIO AIRTON MAGALHAES 552***.***-** 1 DEFERIDO
ANTONIO AIRTON MAGALHAES 552***.***-** 7 DEFERIDO
EDILSON FONTENELE ANGELO 042***.***-** 1 INDEFERIDO
CANDIDATO (A) NÃO APRESENTOU COMPROVANTE DE PRESTAÇÃO DE SERVIÇOS
À JUSTIÇA ELEITORAL POR, NO MÍNIMO, AS DUAS ELEIÇÕES E NÃO INFORMOU
NO FORMULÁRIO O CARGO
EDILSON FONTENELE ANGELO 042***.***-** 8 INDEFERIDO
CANDIDATO (A) NÃO APRESENTOU COMPROVANTE DE PRESTAÇÃO DE SERVIÇOS
À JUSTIÇA ELEITORAL POR, NO MÍNIMO, AS DUAS ELEIÇÕES E NÃO MANDOU
OUTRO FORMULÁRIO DO SEGUNDO CARGO
RAUL DE OLIVEIRA SILVA 048***.***-** 5 DEFERIDO
RAUL DE OLIVEIRA SILVA 048***.***-** 1 DEFERIDO
ISABELY SILVA LEMOS 085***.***-** 1 INDEFERIDO
CANDIDATO (A) NÃO APRESENTOU DECLARAÇÃO EXPEDIDA PELO GDF QUE
COMPROVE RECEBIMENTO DE BENEFÍCIO DE PROGRAMA SOCIAL DE
COMPLEMENTAÇÃO OU SUPLEMENTAÇÃO DE RENDA DO GDF (PRATO CHEIO E
DF SOCIAL )
EDILSON FONTENELE ANGELO 042***.***-** 1 INDEFERIDO
ANTONIO AUGUSTO LIMA DE SOUSA 004***.***-** 1 DEFERIDO
RAFAELA RODRIGUES DA SILVA 059***.***-** 2 INDEFERIDO
CANDIDATO (A) NÃO APRESENTOU DECLARAÇÃO EXPEDIDA PELO GDF QUE
COMPROVE RECEBIMENTO DE BENEFÍCIO DE PROGRAMA SOCIAL DE
COMPLEMENTAÇÃO OU SUPLEMENTAÇÃO DE RENDA DO GDF (PRATO CHEIO E
DF SOCIAL )
JOÃO RODRIGUES DE MORAIS JÚNIOR 515***.***-** 1 INDEFERIDO
CANDIDATO (A) NÃO APRESENTOU DECLARAÇÃO EXPEDIDA PELO GDF QUE
COMPROVE RECEBIMENTO DE BENEFÍCIO DE PROGRAMA SOCIAL DE
COMPLEMENTAÇÃO OU SUPLEMENTAÇÃO DE RENDA DO GDF (PRATO CHEIO E
DF SOCIAL )
LORENA ANDRADE NERES 056***.***-** 5 DEFERIDO
DIENE INGRID DA SILVA -***.***-** - INDEFERIDO CANDIDATO (A) NÃO APRESENTOU DOCUMENTAÇÃO EXIGIDA
KRISTIANE DE JESUS RIBEIRO 017***.***-** 8 DEFERIDO
JUSCILENE MAIARA CARNEIRO DA CUNHA -***.***-** - INDEFERIDO CANDIDATO (A) NÃO APRESENTOU DOCUMENTAÇÃO EXIGIDA
FERNANDA MATIAS DA CUNHA 816***.***-** 1 DEFERIDO
FERNANDA MATIAS DA CUNHA 816***.***-** 1 DEFERIDO
REMERSON DA SILVA SANTOS 065***.***-** 2 INDEFERIDO
CANDIDATO (A) NÃO APRESENTOU DOCUMENTAÇÃO DE LAUDO MÉDICO DE
ACORDO COM A MARCAÇÃO ESCOLHIDA
EMERSON LEMOS DA SILVA -***.***-** - INDEFERIDO CANDIDATO (A) NÃO APRESENTOU DOCUMENTAÇÃO EXIGIDA
PEDRO HENRIQUE RIBEIRO DOS SANTOS -***.***-** - INDEFERIDO
CANDIDATO (A) NÃO APRESENTOU FORMULARIO ATUAIZADO COMPROBATÓRIO
DA ISENÇÃO DE
ACORDO COM A POSSIBILIDADE ESCOLHIDA E RG
JANETE DA SILVA LOPES 010***.***-** 1 DEFERIDO
JANETE DA SILVA LOPES 010***.***-** 3 DEFERIDO
ADELAINE SOUZA E SILVA 716***.***-** 1 DEFERIDO
ADELAINE SOUZA E SILVA 716***.***-** 8 DEFERIDO
FLAVIA BIANCA ANCHIETA PAZ 004***.***-** 1 INDEFERIDO CANDIDATO (A) NÃO APRESENTOU DOCUMENTAÇÃO EXIGIDA EM PDF
FLAVIA BIANCA ANCHIETA PAZ 004***.***-** 5 INDEFERIDO CANDIDATO (A) NÃO APRESENTOU DOCUMENTAÇÃO EXIGIDA EM PDF
GERSON ALXANDRE PAIVA 018***.***-** 8 DEFERIDO
BRUNO GOMES FERREIRA 007***.***-** 1 DEFERIDO
HÉLEM CAMILLY DA SILVA TEIXEIRA 087***.***-** 1 INDEFERIDO CANDIDATO (A) NÃO APRESENTOU DOCUMENTAÇÃO EXIGIDA EM PDF
ELEN DE CARVALHO NASCIMENTO 046***.***-** 8 INDEFERIDO
CANDIDATO (A) NÃO APRESENTOU DECLARAÇÃO EXPEDIDA PELO GDF QUE
COMPROVE RECEBIMENTO DE BENEFÍCIO DE PROGRAMA SOCIAL DE
COMPLEMENTAÇÃO OU SUPLEMENTAÇÃO DE RENDA DO GDF (PRATO CHEIO E
DF SOCIAL )
RAQUEL SOUZA BATISTA 036***.***-** 8 DEFERIDO
RAQUEL SOUZA BATISTA 036***.***-** 1 DEFERIDO
ISLIANE FÉLIX FRANÇA 690***.***-** 1 INDEFERIDO
CANDIDATO (A) NÃO APRESENTOU DECLARAÇÃO EXPEDIDA PELO GDF QUE
COMPROVE RECEBIMENTO DE BENEFÍCIO DE PROGRAMA SOCIAL DE
COMPLEMENTAÇÃO OU SUPLEMENTAÇÃO DE RENDA DO GDF (PRATO CHEIO E
DF SOCIAL )
ISLIANE FÉLIX FRANÇA 690***.***-** 7 INDEFERIDO
CANDIDATO (A) NÃO APRESENTOU DECLARAÇÃO EXPEDIDA PELO GDF QUE
COMPROVE RECEBIMENTO DE BENEFÍCIO DE PROGRAMA SOCIAL DE
COMPLEMENTAÇÃO OU SUPLEMENTAÇÃO DE RENDA DO GDF (PRATO CHEIO E
DF SOCIAL )
ISRAEL JUNIOR DOS SANTOS CARDOSO 588***.***-** 1 DEFERIDO
JESSICA OLIVEIRA DOS SANTOS CORREA 145***.***-** 2 INDEFERIDO
CANDIDATO (A) NÃO APRESENTOU FORMULARIO ATUAIZADO COMPROBATÓRIO
DA ISENÇÃO COM O NÚMERO DO CARGO E DOCUMENTAÇÃO COMPLETA EM
PDF
RUAN CARVALHO VIEIRA 074***.***-** 2 INDEFERIDO
CANDIDATO (A) NÃO APRESENTOU FORMULARIO ATUAIZADO COMPROBATÓRIO
DA ISENÇÃO COM O NÚMERO DO CARGO E DOCUMENTAÇÃO DE IDENTIFICAÇÃO
WESLLEN ARAUJO SILVA 043***.***-** - INDEFERIDO
CANDIDATO (A) NÃO APRESENTOU FORMULARIO ATUAIZADO COMPROBATÓRIO
DA ISENÇÃO COM O NÚMERO DO CARGO
ALEXANDRE SOARES DE BARROS 040***.***-** 1 DEFERIDO
ALEXANDRE SOARES DE BARROS 040***.***-** 8 DEFERIDO
JOICE INACIA DA SILVA 022***.***-** 1 DEFERIDO
CLEUBIANE DE SOUSA LIMA 050***.***-** 1 INDEFERIDO
CANDIDATO (A) NÃO APRESENTOU DECLARAÇÃO EXPEDIDA PELO GDF QUE
COMPROVE RECEBIMENTO DE BENEFÍCIO DE PROGRAMA SOCIAL DE
COMPLEMENTAÇÃO OU SUPLEMENTAÇÃO DE RENDA DO GDF (PRATO CHEIO E
DF SOCIAL )
JULIA CARVALHO LIMA 087***.***-** 1 INDEFERIDO
CANDIDATO (A) NÃO APRESENTOU DOCUMENTAÇÃO DE LAUDO MÉDICO DE
ACORDO COM A MARCAÇÃO ESCOLHIDA E RG
JONATAS FERREIRA DOS SANTOS 013***.***-** 1 INDEFERIDO
CANDIDATO (A) NÃO APRESENTOU DECLARAÇÃO EXPEDIDA PELO GDF QUE
COMPROVE RECEBIMENTO DE BENEFÍCIO DE PROGRAMA SOCIAL DE
COMPLEMENTAÇÃO OU SUPLEMENTAÇÃO DE RENDA DO GDF (PRATO CHEIO E
DF SOCIAL )
JONATAS FERREIRA DOS SANTOS 013***.***-** 6 INDEFERIDO
CANDIDATO (A) NÃO APRESENTOU DECLARAÇÃO EXPEDIDA PELO GDF QUE
COMPROVE RECEBIMENTO DE BENEFÍCIO DE PROGRAMA SOCIAL DE
COMPLEMENTAÇÃO OU SUPLEMENTAÇÃO DE RENDA DO GDF (PRATO CHEIO E
DF SOCIAL )
LUCAS GALVAO MOURAO 057***.***-** 1 INDEFERIDO
CANDIDATO (A) NÃO APRESENTOU DECLARAÇÃO EXPEDIDA PELO GDF QUE
COMPROVE RECEBIMENTO DE BENEFÍCIO DE PROGRAMA SOCIAL DE
COMPLEMENTAÇÃO OU SUPLEMENTAÇÃO DE RENDA DO GDF (PRATO CHEIO E
DF SOCIAL )
RUAN CARVALHO VIEIRA 074***.***-** 1 INDEFERIDO
CANDIDATO (A) NÃO APRESENTOU FORMULARIO ATUAIZADO COMPROBATÓRIO
DA ISENÇÃO COM O NÚMERO DO CARGO E DOCUMENTO DE IDENTIFICAÇÃO
NATHAN JULIO URANI DO NASCIMENTO 076***.***-** - INDEFERIDO
CANDIDATO (A) NÃO APRESENTOU FORMULARIO ATUAIZADO COMPROBATÓRIO
DA ISENÇÃO COM O NÚMERO DO CARGO E DOCUMENTO DE IDENTIFICAÇÃO
DESCIO GAMA DE QUEIROZ JUNIOR 045***.***-** 1 INDEFERIDO CANDIDATO (A) NÃO APRESENTOU DOCUMENTAÇÃO EXIGIDA EM PDF
DESCIO GAMA DE QUEIROZ JUNIOR 045***.***-** 2 INDEFERIDO CANDIDATO (A) NÃO APRESENTOU DOCUMENTAÇÃO EXIGIDA EM PDF
JAQUELINE NUNES DOS SANTOS 052***.***-** 1 INDEFERIDO
CANDIDATO (A) NÃO APRESENTOU DECLARAÇÃO EXPEDIDA PELO GDF QUE
COMPROVE RECEBIMENTO DE BENEFÍCIO DE PROGRAMA SOCIAL DE
COMPLEMENTAÇÃO OU SUPLEMENTAÇÃO DE RENDA DO GDF (PRATO CHEIO E
DF SOCIAL )
JAQUELINE NUNES DOS SANTOS 052***.***-** 3 INDEFERIDO
CANDIDATO (A) NÃO APRESENTOU DECLARAÇÃO EXPEDIDA PELO GDF QUE
COMPROVE RECEBIMENTO DE BENEFÍCIO DE PROGRAMA SOCIAL DE
COMPLEMENTAÇÃO OU SUPLEMENTAÇÃO DE RENDA DO GDF (PRATO CHEIO E
DF SOCIAL )
THÁLYSON GEOVÂNNY CHRISOSTOMO 049***.***-** 1 INDEFERIDO
CANDIDATO (A) NÃO APRESENTOU DOCUMENTAÇÃO EXIGIDA E FORMULARIO
COM MARCAÇÃO ESCOLHIDA
JEFFERSON DE SOUSA SANTOS 050***.***-** 1 INDEFERIDO
CANDIDATO (A) NÃO APRESENTOU DECLARAÇÃO EXPEDIDA PELO GDF QUE
COMPROVE RECEBIMENTO DE BENEFÍCIO DE PROGRAMA SOCIAL DE
COMPLEMENTAÇÃO OU SUPLEMENTAÇÃO DE RENDA DO GDF (PRATO CHEIO E
DF SOCIAL )
ROBERTA ALVES SANTANA 030***.***-** 1 INDEFERIDO
CANDIDATO (A) NÃO APRESENTOU DOCUMENTAÇÃO EXIGIDA DE ACORDO COM
A OPÇÃO ESCOLHIDA NO FORMULARIO
ROBERTA ALVES SANTANA 030***.***-** 3 INDEFERIDO
CANDIDATO (A) NÃO APRESENTOU DOCUMENTAÇÃO EXIGIDA DE ACORDO COM
A OPÇÃO ESCOLHIDA NO FORMULARIO
DANIEL MARCOS DOS SANTOS 065***.***-** 1 INDEFERIDO
CANDIDATO (A) NÃO APRESENTOU DECLARAÇÃO EXPEDIDA PELO GDF QUE
COMPROVE RECEBIMENTO DE BENEFÍCIO DE PROGRAMA SOCIAL DE
COMPLEMENTAÇÃO OU SUPLEMENTAÇÃO DE RENDA DO GDF (PRATO CHEIO E
DF SOCIAL )
DANIEL MARCOS DOS SANTOS 065***.***-** 8 INDEFERIDO
CANDIDATO (A) NÃO APRESENTOU DECLARAÇÃO EXPEDIDA PELO GDF QUE
COMPROVE RECEBIMENTO DE BENEFÍCIO DE PROGRAMA SOCIAL DE
COMPLEMENTAÇÃO OU SUPLEMENTAÇÃO DE RENDA DO GDF (PRATO CHEIO E
DF SOCIAL )
THAMIRES EPAMINONDAS SANTOS 048***.***-** 1 INDEFERIDO
CANDIDATO (A) NÃO APRESENTOU DECLARAÇÃO EXPEDIDA PELO GDF QUE
COMPROVE RECEBIMENTO DE BENEFÍCIO DE PROGRAMA SOCIAL DE
COMPLEMENTAÇÃO OU SUPLEMENTAÇÃO DE RENDA DO GDF (PRATO CHEIO E
DF SOCIAL )
KAUAM MERINO AYRES ELAGE 014***.***-** 1 DEFERIDO
MAURÍCIO RHUAN PIMENTEL FIQUEREDO 041***.***-** 1 INDEFERIDO
CANDIDATO (A) NÃO APRESENTOU DECLARAÇÃO EXPEDIDA PELO GDF QUE
COMPROVE RECEBIMENTO DE BENEFÍCIO DE PROGRAMA SOCIAL DE
COMPLEMENTAÇÃO OU SUPLEMENTAÇÃO DE RENDA DO GDF (PRATO CHEIO E
DF SOCIAL )
SAMUEL AZEVEDO MEIRELES 102***.***-** 6 DEFERIDO
BARBARA NAYARA DANTAS OLIVEIRA 027***.***-** 1 DEFERIDO
LUCAS ANDREY PEREIRA -***.***-** 1 INDEFERIDO
CANDIDATO (A) NÃO APRESENTOU DOCUMENTAÇÃO EXIGIDA RG E
FORMULARIO DE ISENÇÃO
CAMILA FIGUEIREDO MENDES 026***.***-** 1 DEFERIDO
MIKAELLEN ALMEIDA PEREIRA DA CONCEIÇÃO 076***.***-** 7 INDEFERIDO
CANDIDATO (A) NÃO APRESENTOU DECLARAÇÃO EXPEDIDA PELO GDF QUE
COMPROVE RECEBIMENTO DE BENEFÍCIO DE PROGRAMA SOCIAL DE
COMPLEMENTAÇÃO OU SUPLEMENTAÇÃO DE RENDA DO GDF (PRATO CHEIO E
DF SOCIAL )
MIKAELLEN ALMEIDA PEREIRA DA CONCEIÇÃO 076***.***-** 1 INDEFERIDO
CANDIDATO (A) NÃO APRESENTOU DECLARAÇÃO EXPEDIDA PELO GDF QUE
COMPROVE RECEBIMENTO DE BENEFÍCIO DE PROGRAMA SOCIAL DE
COMPLEMENTAÇÃO OU SUPLEMENTAÇÃO DE RENDA DO GDF (PRATO CHEIO E
DF SOCIAL )
SHELY LOPES DE SOUZA 004***.***-** 1 INDEFERIDO
CANDIDATO (A) NÃO APRESENTOU DECLARAÇÃO EXPEDIDA PELO GDF QUE
COMPROVE RECEBIMENTO DE BENEFÍCIO DE PROGRAMA SOCIAL DE
COMPLEMENTAÇÃO OU SUPLEMENTAÇÃO DE RENDA DO GDF (PRATO CHEIO E
DF SOCIAL )
CLAYLTON DE ABREU COSTA -***.***-** - INDEFERIDO
CANDIDATO (A) NÃO APRESENTOU DOCUMENTAÇÃO EXIGIDA E FORMULARIO
DE ISENÇÃO COM A OPÇÃO ESCOLHIDA
CARLA RODRIGUES DA SILVA CAMPOS 019***.***-** - INDEFERIDO
CANDIDATO (A) NÃO APRESENTOU DECLARAÇÃO EXPEDIDA PELO GDF QUE
COMPROVE RECEBIMENTO DE BENEFÍCIO DE PROGRAMA SOCIAL DE
COMPLEMENTAÇÃO OU SUPLEMENTAÇÃO DE RENDA DO GDF (PRATO CHEIO E
DF SOCIAL )
AQUILA ISRAEL LOPES LAVAREDA 951***.***-** 6 DEFERIDO
FERNANDA MARIA SILVA DE CARVALHO BEZERRA 038***.***-** 6 INDEFERIDO
CANDIDATO (A) NÃO APRESENTOU DECLARAÇÃO EXPEDIDA PELO GDF QUE
COMPROVE RECEBIMENTO DE BENEFÍCIO DE PROGRAMA SOCIAL DE
COMPLEMENTAÇÃO OU SUPLEMENTAÇÃO DE RENDA DO GDF (PRATO CHEIO E
DF SOCIAL )
CRISTINA LAURINDA VICENTE 960***.***-** 7 INDEFERIDO CANDIDATO (A) NÃO APRESENTOU DOCUMENTAÇÃO EXIGIDA ( CAD.ÚNICO)
CRISTINA LAURINDA VICENTE 960***.***-** 1 INDEFERIDO CANDIDATO (A) NÃO APRESENTOU DOCUMENTAÇÃO EXIGIDA ( CAD.ÚNICO)
DIANA FELIX DE ARAUJO 724***.***-** 1 DEFERIDO
LEONARDO MESSIAS DOS SANTOS LOPES 032***.***-** 8 DEFERIDO
LEONARDO MESSIAS DOS SANTOS LOPES 032***.***-** 1 DEFERIDO
SÍLVIA MYLIUS LOPES 923***.***-** 1 INDEFERIDO CANDIDATO (A) NÃO APRESENTOU DOCUMENTAÇÃO EXIGIDA ( RG)
VALQUENIA GOMES DE ANDRADE 774***.***-** 7 INDEFERIDO
CANDIDATO (A) NÃO APRESENTOU DECLARAÇÃO EXPEDIDA PELO GDF QUE
COMPROVE RECEBIMENTO DE BENEFÍCIO DE PROGRAMA SOCIAL DE
COMPLEMENTAÇÃO OU SUPLEMENTAÇÃO DE RENDA DO GDF (PRATO CHEIO E
DF SOCIAL E DOCUMENTAÇÃO INLEGIVEL )
VALQUENIA GOMES DE ANDRADE 774***.***-** 1 INDEFERIDO
CANDIDATO (A) NÃO APRESENTOU DECLARAÇÃO EXPEDIDA PELO GDF QUE
COMPROVE RECEBIMENTO DE BENEFÍCIO DE PROGRAMA SOCIAL DE
COMPLEMENTAÇÃO OU SUPLEMENTAÇÃO DE RENDA DO GDF (PRATO CHEIO E
DF SOCIAL E DOCUMENTAÇÃO INLEGIVEL )
MAGNA DE JESUS FERNANDA DE OLIVEIRA 058***.***-** 1 INDEFERIDO
CANDIDATO (A) NÃO APRESENTOU DECLARAÇÃO EXPEDIDA PELO GDF QUE
COMPROVE RECEBIMENTO DE BENEFÍCIO DE PROGRAMA SOCIAL DE
COMPLEMENTAÇÃO OU SUPLEMENTAÇÃO DE RENDA DO GDF (PRATO CHEIO E
DF SOCIAL )
MAGNA DE JESUS FERNANDA DE OLIVEIRA 058***.***-** 4 INDEFERIDO
CANDIDATO (A) NÃO APRESENTOU DECLARAÇÃO EXPEDIDA PELO GDF QUE
COMPROVE RECEBIMENTO DE BENEFÍCIO DE PROGRAMA SOCIAL DE
COMPLEMENTAÇÃO OU SUPLEMENTAÇÃO DE RENDA DO GDF (PRATO CHEIO E
DF SOCIAL )
MICHELLE LOPES PONTES 044***.***-** - INDEFERIDO
CANDIDATO (A) NÃO APRESENTOU FORMULARIO ATUAIZADO COMPROBATÓRIO
DA ISENÇÃO COM O NÚMERO E DECLARAÇÃO EXPEDIDA PELO GDF QUE
COMPROVE RECEBIMENTO DE BENEFÍCIO DE PROGRAMA SOCIAL DE
COMPLEMENTAÇÃO OU SUPLEMENTAÇÃO DE RENDA DO GDF (PRATO CHEIO E
DF SOCIAL )
CARLOS SAMUEL BERTOLDO FERNANDES 064***.***-** 1 INDEFERIDO
CANDIDATO (A) NÃO APRESENTOU DOCUMENTAÇÃO EXIGIDA COMPROVANTE
DE CAD.ÚNICO ATUALIZADO
KETLEY PAIVA CABRAL 038***.***-** 5 DEFERIDO
SALVADORA SANTANA ALVES 935***.***-** 1 INDEFERIDO
CANDIDATO (A) NÃO APRESENTOU COMPROVANTE DE PRESTAÇÃO DE SERVIÇOS
À JUSTIÇA ELEITORAL POR, NO MÍNIMO, AS DUAS ELEIÇÕES DE ACORDO COM A
OPÇÃO ESCOLHIDA
MAIRA ALVIS DE OLIVEIRA FERNANDES 034***.***-** 1 INDEFERIDO
CANDIDATO (A) NÃO APRESENTOU DECLARAÇÃO EXPEDIDA PELO GDF QUE
COMPROVE RECEBIMENTO DE BENEFÍCIO DE PROGRAMA SOCIAL DE
COMPLEMENTAÇÃO OU SUPLEMENTAÇÃO DE RENDA DO GDF (PRATO CHEIO E
DF SOCIAL )
SARA SANTANA SANTOS 000***.***-** 2 INDEFERIDO
CANDIDATO (A) NÃO APRESENTOU DOCUMENTAÇÃO DE LAUDO MÉDICO DE
ACORDO COM A MARCAÇÃO ESCOLHIDA
LEILA CRISTINA DE SOUZA ALVES 787***.***-** 1 DEFERIDO
ISABELA MACHADO CAMPOS 046***.***-** 1 INDEFERIDO CANDIDATO (A) NÃO APRESENTOU DOCUMENTAÇÃO EXIGIDA ( RG)
JANAINA DIAS DE OLIVEIRA 024***.***-** 5 DEFERIDO
ADRIANA SOARES DOS SANTOS 042***.***-** 1 INDEFERIDO
CANDIDATO (A) NÃO APRESENTOU DECLARAÇÃO EXPEDIDA PELO GDF QUE
COMPROVE RECEBIMENTO DE BENEFÍCIO DE PROGRAMA SOCIAL DE
COMPLEMENTAÇÃO OU SUPLEMENTAÇÃO DE RENDA DO GDF (PRATO CHEIO E
DF SOCIAL )
RENATA DA ROCHA DE SOUZA 009***.***-** 1 DEFERIDO
LUZIANE DOS SANTOS SILVA 002***.***-** 3 INDEFERIDO
CANDIDATO (A) NÃO APRESENTOU DECLARAÇÃO EXPEDIDA PELO GDF QUE
COMPROVE RECEBIMENTO DE BENEFÍCIO DE PROGRAMA SOCIAL DE
COMPLEMENTAÇÃO OU SUPLEMENTAÇÃO DE RENDA DO GDF (PRATO CHEIO E
DF SOCIAL )
DANIEL GOLCALVES PEREIRA 041***.***-** 1 DEFERIDO
RENATA DA ROCHA DE SOUZA 009***.***-** 5 DEFERIDO
NALIA RAMOS DOS SANTOS DA CRUZ 417***.***-** 2 INDEFERIDO
CANDIDATO (A) NÃO APRESENTOU DECLARAÇÃO EXPEDIDA PELO GDF QUE
COMPROVE RECEBIMENTO DE BENEFÍCIO DE PROGRAMA SOCIAL DE
COMPLEMENTAÇÃO OU SUPLEMENTAÇÃO DE RENDA DO GDF (PRATO CHEIO E
DF SOCIAL E COMPROVANTE DE CAD.ÚNICO ATUALIZADO )
PAULO HENRIQUE DE CASTRO SILVA 016***.***-** 1 DEFERIDO
CLARA NATÁLIA SESTINI DO NASCIMENTO 493***.***-** 7 INDEFERIDO
CANDIDATO (A) NÃO APRESENTOU DECLARAÇÃO EXPEDIDA PELO GDF QUE
COMPROVE RECEBIMENTO DE BENEFÍCIO DE PROGRAMA SOCIAL DE
COMPLEMENTAÇÃO OU SUPLEMENTAÇÃO DE RENDA DO GDF (PRATO CHEIO E
DF SOCIAL )
EDILEIA AMARAL GONÇALVES NOGUEIRA 023***.***-** 1 DEFERIDO
EDILEIA AMARAL GONÇALVES NOGUEIRA 023***.***-** 7 DEFERIDO
RAYANE DOS SANTOS DE ARAUJO SOARES 043***.***-** 8 INDEFERIDO
CANDIDATO (A) NÃO APRESENTOU DOCUMENTAÇÃO DE LAUDO MÉDICO DE
ACORDO COM A MARCAÇÃO ESCOLHIDA
WESLLEY LUAN PEREIRA BRITO 030***.***-** 1 INDEFERIDO
CANDIDATO (A) NÃO APRESENTOU DOCUMENTAÇÃO DE LAUDO MÉDICO DE
ACORDO COM A MARCAÇÃO ESCOLHIDA
GILIANE FELICIA COSTA 090***.***-** 1 INDEFERIDO
CANDIDATO (A) NÃO APRESENTOU DECLARAÇÃO EXPEDIDA PELO GDF QUE
COMPROVE RECEBIMENTO DE BENEFÍCIO DE PROGRAMA SOCIAL DE
COMPLEMENTAÇÃO OU SUPLEMENTAÇÃO DE RENDA DO GDF (PRATO CHEIO E
DF SOCIAL )
GILIANE FELICIA COSTA 090***.***-** 7 INDEFERIDO
CANDIDATO (A) NÃO APRESENTOU DECLARAÇÃO EXPEDIDA PELO GDF QUE
COMPROVE RECEBIMENTO DE BENEFÍCIO DE PROGRAMA SOCIAL DE
COMPLEMENTAÇÃO OU SUPLEMENTAÇÃO DE RENDA DO GDF (PRATO CHEIO E
DF SOCIAL )
AMANDA DAYSE E SILVA 076***.***-** 1 DEFERIDO
RODRIGO CHAVEIRO DA SILVA 071***.***-** 4 DEFERIDO
ADRIANO NERES ALVES 042***.***-** 1 INDEFERIDO
CANDIDATO (A) NÃO APRESENTOU DOCUMENTAÇÃO DE LAUDO MÉDICO DE
ACORDO COM A MARCAÇÃO ESCOLHIDA
JAQUELINE RODRIGUES DA CRUZ 704***.***-** 8 INDEFERIDO
CANDIDATO (A) NÃO APRESENTOU DECLARAÇÃO EXPEDIDA PELO GDF QUE
COMPROVE RECEBIMENTO DE BENEFÍCIO DE PROGRAMA SOCIAL DE
COMPLEMENTAÇÃO OU SUPLEMENTAÇÃO DE RENDA DO GDF (PRATO CHEIO E
DF SOCIAL )
GUSTAVO BEZERRA NERI 040***.***-** 1 DEFERIDO
LIUTON PEREIRA DA SILVA FILHO 602***.***-** 1 DEFERIDO
RAQUEL DA SILVA PEREIRA 052***.***-** 1 DEFERIDO
RAQUEL DA SILVA PEREIRA 052***.***-** 2 DEFERIDO
GABRIELA LEITE MEDEIROS LEMOS 060***.***-** 1 DEFERIDO
LUCAS VINICIUS SA DE SOUZA 013***.***-** 1 INDEFERIDO
CANDIDATO (A) NÃO APRESENTOU FORMULARIO ATUAIZADO COMPROBATÓRIO
DA ISENÇÃO COM O NÚMERO DO CARGO
LORENA FREITAS DOS SANTOS 057***.***-** 1 INDEFERIDO
CANDIDATO (A) NÃO APRESENTOU DOCUMENTAÇÃO DE LAUDO MÉDICO DE
ACORDO COM A MARCAÇÃO ESCOLHIDA E COMPROVANTE DE CAD.ÚNICO
VANESSA ELEN DE SOUZA SANTOS 077***.***-** 1 INDEFERIDO
CANDIDATO (A) NÃO APRESENTOU DOCUMENTAÇÃO DE LAUDO MÉDICO DE
ACORDO COM A MARCAÇÃO ESCOLHIDA E COMPROVANTE DE CAD.ÚNICO
PEDRO HENRIQUE MELO DA SILVA 040***.***-** 1 INDEFERIDO
CANDIDATO (A) NÃO APRESENTOU DECLARAÇÃO EXPEDIDA PELO GDF QUE
COMPROVE RECEBIMENTO DE BENEFÍCIO DE PROGRAMA SOCIAL DE
COMPLEMENTAÇÃO OU SUPLEMENTAÇÃO DE RENDA DO GDF (PRATO CHEIO E
DF SOCIAL )
DANIELA DE FARIA SILVA 037***.***-** 1 INDEFERIDO
CANDIDATO (A) NÃO APRESENTOU DOCUMENTAÇÃO DE LAUDO MÉDICO DE
ACORDO COM A MARCAÇÃO ESCOLHIDA
FABIANE NUNES MARTINS GONÇALVES 034***.***-** 7 INDEFERIDO
CANDIDATO (A) NÃO APRESENTOU FORMULARIO ATUAIZADO COMPROBATÓRIO
DA ISENÇÃO COM O NÚMERO DO CARGO
ERIKA BORGES DOS REIS 359***.***-** 1 INDEFERIDO CANDIDATO (A) NÃO APRESENTOU DOCUMENTAÇÃO EXIGIDA ( RG)
SIMONE VENANCIO DOS SANTOS XAVIER 837***.***-** 8 DEFERIDO
RAFAELA MARTINS FERREIRA 044***.***-** 1 DEFERIDO
MATHEUS RASPANTE FARIA 024***.***-** 8 DEFERIDO
CLAUDIA MARIA PEREIRA 083***.***-** 1 DEFERIDO
CLAUDIA MARIA PEREIRA 083***.***-** 4 DEFERIDO
DIEGO TAYNAN TOMAZ FREITAS 034***.***-** 8 DEFERIDO
DIEGO DOS SANTOS MENDES 039***.***-** 1 INDEFERIDO
CANDIDATO (A) NÃO APRESENTOU DECLARAÇÃO EXPEDIDA PELO GDF QUE
COMPROVE RECEBIMENTO DE BENEFÍCIO DE PROGRAMA SOCIAL DE
COMPLEMENTAÇÃO OU SUPLEMENTAÇÃO DE RENDA DO GDF (PRATO CHEIO E
DF SOCIAL )
DEBORA RAQUEL FREITAS DE SOUSA 054***.***-** 1 INDEFERIDO
CANDIDATO (A) NÃO APRESENTOU DECLARAÇÃO EXPEDIDA PELO GDF QUE
COMPROVE RECEBIMENTO DE BENEFÍCIO DE PROGRAMA SOCIAL DE
COMPLEMENTAÇÃO OU SUPLEMENTAÇÃO DE RENDA DO GDF (PRATO CHEIO E
DF SOCIAL )
LENEUDA PEREIRA CARVALCANTE 863***.***-** 1 INDEFERIDO
CANDIDATO (A) NÃO APRESENTOU DOCUMENTAÇÃO DE LAUDO MÉDICO DE
ACORDO COM A MARCAÇÃO ESCOLHIDA E COMPROVANTE DE CAD.ÚNICO
DANIEL FERREIRA RODRIGUES 057***.***-** 7 DEFERIDO
ADRIANA DA SILVA OLIVEIRA 035***.***-** 2 INDEFERIDO
JULYANA BOTELHO DE OLIVEIRA 018***.***-** 2 DEFERIDO
JÉSSICA VIEIRA DOS REIS 037***.***-** 1 DEFERIDO
JÉSSICA VIEIRA DOS REIS 037***.***-** 2 DEFERIDO
ROSILETE ALVES DAS NEVES 832***.***-** 1 INDEFERIDO
CANDIDATO (A) NÃO APRESENTOU DOCUMENTAÇÃO DE LAUDO MÉDICO DE
ACORDO COM A MARCAÇÃO ESCOLHIDA E COMPROVANTE DE CAD.ÚNICO
PAULO CÉSAR FERNANDES 039***.***-** 1 INDEFERIDO CANDIDATO (A) NÃO APRESENTOU COMPROVANTE DO CAD.ÚNICO
ELIENE DE LIMA SANTOS 974***.***-** 2 INDEFERIDO
CANDIDATO (A) NÃO APRESENTOU DOCUMENTAÇÃO DE LAUDO MÉDICO DE
ACORDO COM A MARCAÇÃO ESCOLHIDA
NATHALYA EVELYN SILVA ARAUJO 044***.***-** 1 DEFERIDO
NATHALYA EVELYN SILVA ARAUJO 044***.***-** 8 DEFERIDO
DAYANE KELLY SOUSA DO REGO 012***.***-** 1 DEFERIDO
RAIMUNDO NONATO DA SILVA 464***.***-** 1 DEFERIDO
AMANDA APARECIDA BARBOSA DA COSTA 021***.***-** 2 INDEFERIDO
CANDIDATO (A) NÃO APRESENTOU DECLARAÇÃO EXPEDIDA PELO GDF QUE
COMPROVE RECEBIMENTO DE BENEFÍCIO DE PROGRAMA SOCIAL DE
COMPLEMENTAÇÃO OU SUPLEMENTAÇÃO DE RENDA DO GDF (PRATO CHEIO E
DF SOCIAL )
MÁRCIA REJANE RODRIGUES MARQUES 881***.***-** 5 INDEFERIDO CANDIDATO (A) NÃO APRESENTOU DOCUMENTAÇÃO EXIGIDA ( RG)
KEILA BEZERRA GUIMARÃES 712***.***-** - INDEFERIDO
CANDIDATO (A) NÃO APRESENTOU DECLARAÇÃO EXPEDIDA PELO GDF QUE
COMPROVE RECEBIMENTO DE BENEFÍCIO DE PROGRAMA SOCIAL DE
COMPLEMENTAÇÃO OU SUPLEMENTAÇÃO DE RENDA DO GDF (PRATO CHEIO E
DF SOCIAL )
JÚLIO CEZAR RODRIGUES DE OLIVEIRA 096***.***-** 3 DEFERIDO
RENAN DOS SANTOS AZEVEDO 020***.***-** 7 INDEFERIDO
CANDIDATO (A) NÃO APRESENTOU DECLARAÇÃO EXPEDIDA PELO GDF QUE
COMPROVE RECEBIMENTO DE BENEFÍCIO DE PROGRAMA SOCIAL DE
COMPLEMENTAÇÃO OU SUPLEMENTAÇÃO DE RENDA DO GDF (PRATO CHEIO E
DF SOCIAL )
RENAN DOS SANTOS AZEVEDO 020***.***-** 1 INDEFERIDO
CANDIDATO (A) NÃO APRESENTOU DECLARAÇÃO EXPEDIDA PELO GDF QUE
COMPROVE RECEBIMENTO DE BENEFÍCIO DE PROGRAMA SOCIAL DE
COMPLEMENTAÇÃO OU SUPLEMENTAÇÃO DE RENDA DO GDF (PRATO CHEIO E
DF SOCIAL )
FRANCISCA EUDÓXIA FONTES IBIAPINA 284***.***-** - INDEFERIDO CANDIDATO (A) NÃO APRESENTOU DOCUMENTAÇÃO EXIGIDA
BEATRIZ DOS SANTOS DE SOUSA 064***.***-** 8 INDEFERIDO
CANDIDATO (A) NÃO APRESENTOU DECLARAÇÃO EXPEDIDA PELO GDF QUE
COMPROVE RECEBIMENTO DE BENEFÍCIO DE PROGRAMA SOCIAL DE
COMPLEMENTAÇÃO OU SUPLEMENTAÇÃO DE RENDA DO GDF (PRATO CHEIO E
DF SOCIAL )
VALÉRIA ARAÚJO RODRIGUES 602***.***-** 1 INDEFERIDO
CANDIDATO (A) NÃO APRESENTOU DECLARAÇÃO EXPEDIDA PELO GDF QUE
COMPROVE RECEBIMENTO DE BENEFÍCIO DE PROGRAMA SOCIAL DE
COMPLEMENTAÇÃO OU SUPLEMENTAÇÃO DE RENDA DO GDF (PRATO CHEIO E
DF SOCIAL )
TALINE SOARES DE BRITO 016***.***-** 6 DEFERIDO
TALINE SOARES DE BRITO 016***.***-** 1 DEFERIDO
AMANDA KELLY OLIVEIRA DE LIMA 028***.***-** 1 DEFERIDO
AMANDA KELLY OLIVEIRA DE LIMA 028***.***-** 7 DEFERIDO
LARA BEATRIZ ALVES DA COSTA 043***.***-** 1 INDEFERIDO
CANDIDATO (A) NÃO APRESENTOU DECLARAÇÃO EXPEDIDA PELO GDF QUE
COMPROVE RECEBIMENTO DE BENEFÍCIO DE PROGRAMA SOCIAL DE
COMPLEMENTAÇÃO OU SUPLEMENTAÇÃO DE RENDA DO GDF (PRATO CHEIO E
DF SOCIAL )
ELGA FERREIRA DE FRANÇA 727***.***-** 8 INDEFERIDO
CANDIDATO (A) NÃO APRESENTOU DECLARAÇÃO EXPEDIDA PELO GDF QUE
COMPROVE RECEBIMENTO DE BENEFÍCIO DE PROGRAMA SOCIAL DE
COMPLEMENTAÇÃO OU SUPLEMENTAÇÃO DE RENDA DO GDF (PRATO CHEIO E
DF SOCIAL )
LARISSA DE JESUS DA SILVA 033***.***-** 1 INDEFERIDO
CANDIDATO (A) NÃO APRESENTOU DECLARAÇÃO EXPEDIDA PELO GDF QUE
COMPROVE RECEBIMENTO DE BENEFÍCIO DE PROGRAMA SOCIAL DE
COMPLEMENTAÇÃO OU SUPLEMENTAÇÃO DE RENDA DO GDF (PRATO CHEIO E
DF SOCIAL )
LARISSA DE JESUS DA SILVA 033***.***-** 5 INDEFERIDO
CANDIDATO (A) NÃO APRESENTOU DECLARAÇÃO EXPEDIDA PELO GDF QUE
COMPROVE RECEBIMENTO DE BENEFÍCIO DE PROGRAMA SOCIAL DE
COMPLEMENTAÇÃO OU SUPLEMENTAÇÃO DE RENDA DO GDF (PRATO CHEIO E
DF SOCIAL )
MATHEUS VINÍCIUS DE SOUZA MARTINS 056***.***-** 3 INDEFERIDO
CANDIDATO (A) NÃO APRESENTOU DOCUMENTAÇÃO DE LAUDO MÉDICO DE
ACORDO COM A MARCAÇÃO ESCOLHIDA
MARIA NEUSA ALVES DA SILVA 027***.***-** 8 DEFERIDO
LUNARA APOLINARIO VASCONCELOS FAUSTINO 012***.***-** 1 INDEFERIDO
CANDIDATO (A) NÃO APRESENTOU DECLARAÇÃO EXPEDIDA PELO GDF QUE
COMPROVE RECEBIMENTO DE BENEFÍCIO DE PROGRAMA SOCIAL DE
COMPLEMENTAÇÃO OU SUPLEMENTAÇÃO DE RENDA DO GDF (PRATO CHEIO E
DF SOCIAL )
DANIEL TORRES DA SILVA -***.***-** - INDEFERIDO CANDIDATO (A) NÃO APRESENTOU DOCUMENTAÇÃO EXIGIDA
SAMARA PEREIRA DOS SANTOS 751***.***-** 1 INDEFERIDO
CANDIDATO (A) NÃO APRESENTOU DECLARAÇÃO EXPEDIDA PELO GDF QUE
COMPROVE RECEBIMENTO DE BENEFÍCIO DE PROGRAMA SOCIAL DE
COMPLEMENTAÇÃO OU SUPLEMENTAÇÃO DE RENDA DO GDF (PRATO CHEIO E
DF SOCIAL )
FLAVIA CRISTINA DA SILVA CARVALHO 791***.***-** 1 INDEFERIDO CANDIDATO (A) NÃO APRESENTOU DOCUMENTAÇÃO EXIGIDA EM PDF
CAROLINE DA ROCHA SÁ 067***.***-** 7 INDEFERIDO
CANDIDATO (A) NÃO APRESENTOU DECLARAÇÃO EXPEDIDA PELO GDF QUE
COMPROVE RECEBIMENTO DE BENEFÍCIO DE PROGRAMA SOCIAL DE
COMPLEMENTAÇÃO OU SUPLEMENTAÇÃO DE RENDA DO GDF (PRATO CHEIO E
DF SOCIAL E RG)
INALDA MARIA DE SOUSA 334***.***-** 1 INDEFERIDO CANDIDATO (A) NÃO APRESENTOU COMPROVANTE DO CAD.ÚNICO
INALDA MARIA DE SOUSA 334***.***-** 5 INDEFERIDO CANDIDATO (A) NÃO APRESENTOU COMPROVANTE DO CAD.ÚNICO
DAPHNE SARAH GOMES JACOB MENDES 065***.***-** 1 DEFERIDO
DAPHNE SARAH GOMES JACOB MENDES 065***.***-** 1 DEFERIDO
LUCIANA PEREIRA CARDOSO 071***.***-** - INDEFERIDO
CANDIDATO (A) NÃO APRESENTOU COMPROVANTE DO CAD.ÚNICO E
FORMULARIO COM O NÚMERO DO CARGO
ROSILDA DE MELO OLIVEIRA CLAUDINO 005***.***-** 1 DEFERIDO
IEDA ALMEIDA LACERDA FARIAS 991***.***-** 5 INDEFERIDO
CANDIDATO (A) NÃO APRESENTOU DOCUMENTAÇÃO DE ACORDO COM A
MARCAÇÃO ESCOLHIDA
LAIZA MARIA CARVALHO DA GAMA 743***.***-** 1 INDEFERIDO CANDIDATO (A) NÃO APRESENTOU DOCUMENTAÇÃO EXIGIDA EM PDF
LAIZA MARIA CARVALHO DA GAMA 743***.***-** 6 INDEFERIDO CANDIDATO (A) NÃO APRESENTOU DOCUMENTAÇÃO EXIGIDA EM PDF
LILIANE PEREIRA DA CONCEIÇÃO MOTA 044***.***-** 7 INDEFERIDO
CANDIDATO (A) NÃO APRESENTOU DECLARAÇÃO EXPEDIDA PELO GDF QUE
COMPROVE RECEBIMENTO DE BENEFÍCIO DE PROGRAMA SOCIAL DE
COMPLEMENTAÇÃO OU SUPLEMENTAÇÃO DE RENDA DO GDF (PRATO CHEIO E
DF SOCIAL )
IVONICE DE SOUZA SANTOS 042***.***-** 1 INDEFERIDO
CANDIDATO (A) NÃO APRESENTOU DECLARAÇÃO EXPEDIDA PELO GDF QUE
COMPROVE RECEBIMENTO DE BENEFÍCIO DE PROGRAMA SOCIAL DE
COMPLEMENTAÇÃO OU SUPLEMENTAÇÃO DE RENDA DO GDF (PRATO CHEIO E
DF SOCIAL )
TIAGO SILVA BARROS 040***.***-** 1 DEFERIDO
ALLAN WILLIAM LUSTOSA TELES 240***.***-** 1 DEFERIDO
DENILSON MARIANO DE OLIVEIRA 735***.***-** 1 DEFERIDO
NATHALIA LAYSSA MELO CORREIA 086***.***-** - INDEFERIDO
CANDIDATO (A) NÃO APRESENTOU DECLARAÇÃO EXPEDIDA PELO GDF QUE
COMPROVE RECEBIMENTO DE BENEFÍCIO DE PROGRAMA SOCIAL DE
COMPLEMENTAÇÃO OU SUPLEMENTAÇÃO DE RENDA DO GDF (PRATO CHEIO E
DF SOCIAL E FORMULARIO COM NÚMERO DO CARGO)
LUCIMEIRE DE SOUZA RODRIGUES 787***.***-** 1 DEFERIDO
LUCIMEIRE DE SOUZA RODRIGUES 787***.***-** 8 DEFERIDO
DENILSON MARIANO DE OLIVEIRA 735***.***-** 2 DEFERIDO
TAÍS COUTO SILVA MENDONÇA 044***.***-** 1 INDEFERIDO
CANDIDATO (A) NÃO APRESENTOU FORMULARIO DOCUMENTAÇÃO DE ACORDO
COM A MARCAÇÃO ESCOLHIDA
TAÍS COUTO SILVA MENDONÇA 044***.***-** 3 INDEFERIDO
CANDIDATO (A) NÃO APRESENTOU FORMULARIO DOCUMENTAÇÃO DE ACORDO
COM A MARCAÇÃO ESCOLHIDA
STEFANI CASTRO DA SILVA 048***.***-** 1 INDEFERIDO
CANDIDATO (A) NÃO APRESENTOU DOCUMENTAÇÃO DE LAUDO MÉDICO DE
ACORDO COM A MARCAÇÃO ESCOLHIDA
ANDREIA MARIA DOS SANTOS 858***.***-** 1 DEFERIDO
CLEVERSON VIEIRA DA SILVA 073***.***-** 7 INDEFERIDO CANDIDATO (A) NÃO APRESENTOU DOCUMENTAÇÃO EXIGIDA RG
JESSSICA SILVA TELES FARRAPO 054***.***-** 1 INDEFERIDO
CANDIDATO (A) NÃO APRESENTOU FORMULARIO DOCUMENTAÇÃO COM A
MARCAÇÃO ESCOLHIDA
JESSSICA SILVA TELES FARRAPO 054***.***-** 7 INDEFERIDO
CANDIDATO (A) NÃO APRESENTOU FORMULARIO DOCUMENTAÇÃO COM A
MARCAÇÃO ESCOLHIDA
EDUARDO AUGUSTO ALCOFORADO BRAGA 726***.***-** 1 DEFERIDO
EDUARDO AUGUSTO ALCOFORADO BRAGA 726***.***-** 8 DEFERIDO
ELIANA PAIVA DA SILVA 573***.***-** 2 DEFERIDO
ELIANA PAIVA DA SILVA 573***.***-** 1 DEFERIDO
ELIANY DOS SANTOS DO CARMO 903***.***-** 7 INDEFERIDO
CANDIDATO (A) NÃO APRESENTOU DECLARAÇÃO EXPEDIDA PELO GDF QUE
COMPROVE RECEBIMENTO DE BENEFÍCIO DE PROGRAMA SOCIAL DE
COMPLEMENTAÇÃO OU SUPLEMENTAÇÃO DE RENDA DO GDF (PRATO CHEIO E
DF SOCIAL )
VITTOR LAERCIO DOS SANTOS PINTO 047***.***-** 1 INDEFERIDO
CANDIDATO (A) NÃO APRESENTOU DECLARAÇÃO EXPEDIDA PELO GDF QUE
COMPROVE RECEBIMENTO DE BENEFÍCIO DE PROGRAMA SOCIAL DE
COMPLEMENTAÇÃO OU SUPLEMENTAÇÃO DE RENDA DO GDF (PRATO CHEIO E
DF SOCIAL )
CINTIA CASSIA DE SOUSA BENIGNO 834***.***-** 1 DEFERIDO
CINTIA CASSIA DE SOUSA BENIGNO 834***.***-** 8 DEFERIDO
RAYLANE RUTH DE SOUSA BARRETO 055***.***-** 6 DEFERIDO
EMANUEL MOREIRA DOS ANJOS 048***.***-** 1 INDEFERIDO
CANDIDATO (A) NÃO APRESENTOU DECLARAÇÃO EXPEDIDA PELO GDF QUE
COMPROVE RECEBIMENTO DE BENEFÍCIO DE PROGRAMA SOCIAL DE
COMPLEMENTAÇÃO OU SUPLEMENTAÇÃO DE RENDA DO GDF (PRATO CHEIO E
DF SOCIAL )
CRISTIANE SILVA DE MOURA 023***.***-** 1 DEFERIDO
CRISTIANE SILVA DE MOURA 023***.***-** 8 DEFERIDO
LARISSA JHENNIFER VILARINS DE OLIVEIRA 044***.***-** 5 INDEFERIDO
CANDIDATO (A) NÃO APRESENTOU DECLARAÇÃO EXPEDIDA PELO GDF QUE
COMPROVE RECEBIMENTO DE BENEFÍCIO DE PROGRAMA SOCIAL DE
COMPLEMENTAÇÃO OU SUPLEMENTAÇÃO DE RENDA DO GDF (PRATO CHEIO E
DF SOCIAL )
LARISSA JHENNIFER VILARINS DE OLIVEIRA 044***.***-** 1 INDEFERIDO
CANDIDATO (A) NÃO APRESENTOU DECLARAÇÃO EXPEDIDA PELO GDF QUE
COMPROVE RECEBIMENTO DE BENEFÍCIO DE PROGRAMA SOCIAL DE
COMPLEMENTAÇÃO OU SUPLEMENTAÇÃO DE RENDA DO GDF (PRATO CHEIO E
DF SOCIAL )
UELCIA GOLÇALVES ALVES 698***.***-** 1 INDEFERIDO
CANDIDATO (A) NÃO APRESENTOU DECLARAÇÃO EXPEDIDA PELO GDF QUE
COMPROVE RECEBIMENTO DE BENEFÍCIO DE PROGRAMA SOCIAL DE
COMPLEMENTAÇÃO OU SUPLEMENTAÇÃO DE RENDA DO GDF (PRATO CHEIO E
DF SOCIAL )
UELCIA GOLÇALVES ALVES 698***.***-** 7 INDEFERIDO
CANDIDATO (A) NÃO APRESENTOU DECLARAÇÃO EXPEDIDA PELO GDF QUE
COMPROVE RECEBIMENTO DE BENEFÍCIO DE PROGRAMA SOCIAL DE
COMPLEMENTAÇÃO OU SUPLEMENTAÇÃO DE RENDA DO GDF (PRATO CHEIO E
DF SOCIAL )
TAIRINE MELO COSTA 050***.***-** 1 DEFERIDO
TAIRINE MELO COSTA 050***.***-** 5 DEFERIDO
ALESSANDRO PEREIRA ALVES 584***.***-** 1 DEFERIDO
PAULA DE CASTRO NOBRE 992***.***-** - INDEFERIDO CANDIDATO (A) NÃO APRESENTOU FORMULARIO COM O NÚMERO DO CARGO
GUILHERME JUSTINIANO GOMES 04***.***-** 1 DEFERIDO
GABRIELA ALVES OLIVEIRA 065***.***-** 1 INDEFERIDO
CANDIDATO (A) NÃO APRESENTOU DECLARAÇÃO EXPEDIDA PELO GDF QUE
COMPROVE RECEBIMENTO DE BENEFÍCIO DE PROGRAMA SOCIAL DE
COMPLEMENTAÇÃO OU SUPLEMENTAÇÃO DE RENDA DO GDF (PRATO CHEIO E
DF SOCIAL )
YASMIN DE OLIVEIRA ALVES 067***.***-** 6 INDEFERIDO
CANDIDATO (A) NÃO APRESENTOU DECLARAÇÃO EXPEDIDA PELO GDF QUE
COMPROVE RECEBIMENTO DE BENEFÍCIO DE PROGRAMA SOCIAL DE
COMPLEMENTAÇÃO OU SUPLEMENTAÇÃO DE RENDA DO GDF (PRATO CHEIO E
DF SOCIAL )
JULIANA CARVALHO DE ARAUJO 886***.***-** 1 INDEFERIDO
CANDIDATO (A) NÃO APRESENTOU DECLARAÇÃO EXPEDIDA PELO GDF QUE
COMPROVE RECEBIMENTO DE BENEFÍCIO DE PROGRAMA SOCIAL DE
COMPLEMENTAÇÃO OU SUPLEMENTAÇÃO DE RENDA DO GDF (PRATO CHEIO E
DF SOCIAL )
JULIANA CARVALHO DE ARAUJO 886***.***-** 2 INDEFERIDO
CANDIDATO (A) NÃO APRESENTOU DECLARAÇÃO EXPEDIDA PELO GDF QUE
COMPROVE RECEBIMENTO DE BENEFÍCIO DE PROGRAMA SOCIAL DE
COMPLEMENTAÇÃO OU SUPLEMENTAÇÃO DE RENDA DO GDF (PRATO CHEIO E
DF SOCIAL )
GABRIELA OLIVEIRA COSTA 05***.***-** 1 DEFERIDO
GABRIELA OLIVEIRA COSTA 05***.***-** 8 DEFERIDO
DEYSE CARNAUBA SANTOS 845***.***-** 1 DEFERIDO
ALESSANDRA PEREIRA ALVES 085***.***-** 2 INDEFERIDO
CANDIDATO (A) NÃO APRESENTOU DECLARAÇÃO EXPEDIDA PELO GDF QUE
COMPROVE RECEBIMENTO DE BENEFÍCIO DE PROGRAMA SOCIAL DE
COMPLEMENTAÇÃO OU SUPLEMENTAÇÃO DE RENDA DO GDF (PRATO CHEIO E
DF SOCIAL )
MARIA EDUARDA DE SOUSA LOPES 084***.***-** 6 DEFERIDO
ANA CLAUDIA MOTA DE SOUSA MOREIRA 932***.***-** 7 INDEFERIDO CANDIDATO (A) NÃO APRESENTOU DOCUMENTAÇÃO EXIGIDA EM PDF
FERNANDA OLIVEIRA DA SILVA -***.***-** - INDEFERIDO
CANDIDATO (A) NÃO APRESENTOU FORMULARIO COM O NÚMERO DO CARGO E
RG
EDVALDO RIBEIRO SOUZA -***.***-** - INDEFERIDO
CANDIDATO (A) NÃO ENVIOU DOCUMENTAÇÃO QUE FOI POSSIVEL ACESSO(
SENDO ARQUIVO EM NUVEM)
GERLANDIA MIGUEL DA SILVA 012***.***-** 8 INDEFERIDO
CANDIDATO (A) NÃO APRESENTOU DECLARAÇÃO EXPEDIDA PELO GDF QUE
COMPROVE RECEBIMENTO DE BENEFÍCIO DE PROGRAMA SOCIAL DE
COMPLEMENTAÇÃO OU SUPLEMENTAÇÃO DE RENDA DO GDF (PRATO CHEIO E
DF SOCIAL )
GERLANDIA MIGUEL DA SILVA 012***.***-** 1 INDEFERIDO
CANDIDATO (A) NÃO APRESENTOU DECLARAÇÃO EXPEDIDA PELO GDF QUE
COMPROVE RECEBIMENTO DE BENEFÍCIO DE PROGRAMA SOCIAL DE
COMPLEMENTAÇÃO OU SUPLEMENTAÇÃO DE RENDA DO GDF (PRATO CHEIO E
DF SOCIAL )
DANILO AGUIAR ALMEIDA 000***.***-** 1 DEFERIDO
PAULA VANESSA TEIXEIRA DE ALMEIDA 005***.***-** 1 DEFERIDO
PAULA VANESSA TEIXEIRA DE ALMEIDA 005***.***-** 5 DEFERIDO
GISLANE FERREIRA DOS SANTOS 047***.***-** 1 INDEFERIDO
CANDIDATO (A) NÃO APRESENTOU DOCUMENTAÇÃO DE LAUDO MÉDICO DE
ACORDO COM A MARCAÇÃO ESCOLHIDA
JANAILDE DOS SANTOS SOUSA 035***.***-** 3 DEFERIDO
DHULLYELLEN ESTEFANE SILVA BRITO 060***.***-** 1 INDEFERIDO
CANDIDATO (A) NÃO APRESENTOU DECLARAÇÃO EXPEDIDA PELO GDF QUE
COMPROVE RECEBIMENTO DE BENEFÍCIO DE PROGRAMA SOCIAL DE
COMPLEMENTAÇÃO OU SUPLEMENTAÇÃO DE RENDA DO GDF (PRATO CHEIO E
DF SOCIAL )
ANA PAULA FERREIRA DO NASCIMENTO 957***.***-** 6 DEFERIDO
LETICIA GOMES XAVIER 213***.***-** 1 DEFERIDO
ELIANE FEITOSA FERREIRA 707***.***-** 8 INDEFERIDO
CANDIDATO (A) NÃO APRESENTOU COMPROVANTE DO CAD.ÚNICO E LAUDO
MÉDICO
ALINE MARIA DA SILVA MENDONÇA 136***.***-** 1 DEFERIDO
GIZELE MARIA ORNELAS 906***.***-** 2 INDEFERIDO
CANDIDATO (A) NÃO APRESENTOU DECLARAÇÃO EXPEDIDA PELO GDF QUE
COMPROVE RECEBIMENTO DE BENEFÍCIO DE PROGRAMA SOCIAL DE
COMPLEMENTAÇÃO OU SUPLEMENTAÇÃO DE RENDA DO GDF (PRATO CHEIO E
DF SOCIAL )
SAMUEL CAMPOS NOGUEIRA 075***.***-** 8 DEFERIDO
RAFAEL MELQUIADES FERREIRA DE ARAUJO 899***.***-** 3 INDEFERIDO
CANDIDATO (A) NÃO APRESENTOU DECLARAÇÃO EXPEDIDA PELO GDF QUE
COMPROVE RECEBIMENTO DE BENEFÍCIO DE PROGRAMA SOCIAL DE
COMPLEMENTAÇÃO OU SUPLEMENTAÇÃO DE RENDA DO GDF (PRATO CHEIO E
DF SOCIAL )
ISABELA DE SOUZA NASCIMENTO 069***.***-** 8 INDEFERIDO
CANDIDATO (A) NÃO APRESENTOU DECLARAÇÃO EXPEDIDA PELO GDF QUE
COMPROVE RECEBIMENTO DE BENEFÍCIO DE PROGRAMA SOCIAL DE
COMPLEMENTAÇÃO OU SUPLEMENTAÇÃO DE RENDA DO GDF (PRATO CHEIO E
DF SOCIAL )
ERILENE SEABRA GUIMARAES 950***.***-** 7 INDEFERIDO
CANDIDATO (A) NÃO APRESENTOU DECLARAÇÃO EXPEDIDA PELO GDF QUE
COMPROVE RECEBIMENTO DE BENEFÍCIO DE PROGRAMA SOCIAL DE
COMPLEMENTAÇÃO OU SUPLEMENTAÇÃO DE RENDA DO GDF (PRATO CHEIO E
DF SOCIAL )
FRANCISCA LILIA ALVES CORDEIRO 002***.***-** - INDEFERIDO
CANDIDATO (A) NÃO APRESENTOU FORMULARIO DA ISENÇÃO COM O NÚMERO
DO CARGO E OPÇÃO ESCOLHIDA
IZABELA BARBOSA DIAS 057***.***-** 1 INDEFERIDO
CANDIDATO (A) NÃO APRESENTOU DECLARAÇÃO EXPEDIDA PELO GDF QUE
COMPROVE RECEBIMENTO DE BENEFÍCIO DE PROGRAMA SOCIAL DE
COMPLEMENTAÇÃO OU SUPLEMENTAÇÃO DE RENDA DO GDF (PRATO CHEIO E
DF SOCIAL )
IZABELA BARBOSA DIAS 057***.***-** 7 INDEFERIDO
CANDIDATO (A) NÃO APRESENTOU DECLARAÇÃO EXPEDIDA PELO GDF QUE
COMPROVE RECEBIMENTO DE BENEFÍCIO DE PROGRAMA SOCIAL DE
COMPLEMENTAÇÃO OU SUPLEMENTAÇÃO DE RENDA DO GDF (PRATO CHEIO E
DF SOCIAL )
ISABELA JESUS SANTOS DA SILVA -***.***-** 8 INDEFERIDO
CANDIDATO (A) NÃO APRESENTOU FORMULARIO COM O NÚMERO DO CARGO E
OPÇÃO ESCOLHIDA
ALECIDES FERNANDES CHAVES 987***.***-** 6 INDEFERIDO
CANDIDATO (A) NÃO APRESENTOU DECLARAÇÃO EXPEDIDA PELO GDF QUE
COMPROVE RECEBIMENTO DE BENEFÍCIO DE PROGRAMA SOCIAL DE
COMPLEMENTAÇÃO OU SUPLEMENTAÇÃO DE RENDA DO GDF (PRATO CHEIO E
DF SOCIAL )
CAROLINE MOTA DA SILVA 032***.***-** 5 DEFERIDO
CAROLINE MOTA DA SILVA 032***.***-** 1 DEFERIDO
AQUELIANA FERREIRA DA SILVA SANTOS 032***.***-** 1 INDEFERIDO
CANDIDATO (A) NÃO APRESENTOU DECLARAÇÃO EXPEDIDA PELO GDF QUE
COMPROVE RECEBIMENTO DE BENEFÍCIO DE PROGRAMA SOCIAL DE
COMPLEMENTAÇÃO OU SUPLEMENTAÇÃO DE RENDA DO GDF (PRATO CHEIO E
DF SOCIAL )
CRISTIANE CARVALHO BARROSO 957***.***-** 2 DEFERIDO
KAMILA PEREIRA DE LIMA 007***.***-** 8 DEFERIDO
REGIANE BARROS MANDÚ 000***.***-** 1 DEFERIDO
LUCAS SALES XAVIER 058***.***-** 1 DEFERIDO
IVANE ALMEIDA DA SILVA 871***.***-** 1 DEFERIDO
MARCELO DOS SANTOS CARDOSO 724***.***-** 1 DEFERIDO
MARCELO DOS SANTOS CARDOSO 724***.***-** 7 DEFERIDO
LEIDIANE DOS SANTOS MATOS 024***.***-** 1 INDEFERIDO
CANDIDATO (A) NÃO APRESENTOU DOCUMENTAÇÃO DE LAUDO MÉDICO DE
ACORDO COM A MARCAÇÃO ESCOLHIDA
LUCIANA RODRIGUES DOS REIS 046***.***-** 1 DEFERIDO
CAROLINI PONTARA FAÉ 125***.***-** 1 INDEFERIDO
CANDIDATO (A) NÃO APRESENTOU COMPROVANTE DE PRESTAÇÃO DE SERVIÇOS
À JUSTIÇA ELEITORAL POR, NO MÍNIMO, AS DUAS ELEIÇÕES
FRANCINETE SOUSA LIMA 481***.***-** 6 INDEFERIDO
CANDIDATO (A) NÃO APRESENTOU DOCUMENTAÇÃO DE LAUDO MÉDICO DE
ACORDO COM A MARCAÇÃO ESCOLHIDA E RG
JESSICA MARIA DOS SANTOS 055***.***-** 1 INDEFERIDO
CANDIDATO (A) NÃO APRESENTOU DECLARAÇÃO EXPEDIDA PELO GDF QUE
COMPROVE RECEBIMENTO DE BENEFÍCIO DE PROGRAMA SOCIAL DE
COMPLEMENTAÇÃO OU SUPLEMENTAÇÃO DE RENDA DO GDF (PRATO CHEIO E
DF SOCIAL )
DANILO RODRIGUES SILVA 898***.***-** - INDEFERIDO
CANDIDATO (A) NÃO APRESENTOU DECLARAÇÃO EXPEDIDA PELO GDF QUE
COMPROVE RECEBIMENTO DE BENEFÍCIO DE PROGRAMA SOCIAL DE
COMPLEMENTAÇÃO OU SUPLEMENTAÇÃO DE RENDA DO GDF (PRATO CHEIO E
DF SOCIAL E DOCUMENTAÇÃO COMPLETA EM PDF
RAFAEL CARVALHO RAMOS 022***.***-** 1 DEFERIDO
ALEXANDER ALVES QUEIROZ 334***.***-** 7 INDEFERIDO
CANDIDATO (A) NÃO APRESENTOU DECLARAÇÃO EXPEDIDA PELO GDF QUE
COMPROVE RECEBIMENTO DE BENEFÍCIO DE PROGRAMA SOCIAL DE
COMPLEMENTAÇÃO OU SUPLEMENTAÇÃO DE RENDA DO GDF (PRATO CHEIO E
DF SOCIAL E DOCUMENTAÇÃO COMPLETA EM PDF
MARIA DE FATIMA RAMOS COELHO 888***.***-** 1 INDEFERIDO
CANDIDATO (A) NÃO APRESENTOU DOCUMENTAÇÃO DE LAUDO MÉDICO DE
ACORDO COM A MARCAÇÃO ESCOLHIDA E RG
DAVI SILVA GOMES 056***.***-** 1 DEFERIDO
CARLOS VINICIUS DA SILVA 512***.***-** 2 INDEFERIDO
CANDIDATO (A) NÃO APRESENTOU DECLARAÇÃO EXPEDIDA PELO GDF QUE
COMPROVE RECEBIMENTO DE BENEFÍCIO DE PROGRAMA SOCIAL DE
COMPLEMENTAÇÃO OU SUPLEMENTAÇÃO DE RENDA DO GDF (PRATO CHEIO E
DF SOCIAL E DOCUMENTAÇÃO COMPLETA EM PDF
NIELE RIBEIRO CARDOSO 015***.***-** 1 DEFERIDO
MAURO SERGIO DE SOUZA DA SILVA 028***.***-** 1 DEFERIDO
RONEI ALVES DE BRITO -***.***-** - INDEFERIDO CANDIDATO (A) NÃO APRESENTOU DOCUMENTAÇÃO EXIGIDA RG
MARIA LUCIA MOREIRA DE SOUZA LIMA -***.***-** - INDEFERIDO
CANDIDATO (A) NÃO ENVIOU DOCUMENTAÇÃO QUE FOI POSSIVEL ACESSO(
SENDO ARQUIVO EM NUVEM)
YURI LORRAN BRAGA CUNHA 108***.***-** 1 DEFERIDO
LACY KRYSHNA VIAS DE OLIVEIRA 041***.***-** 8 INDEFERIDO
CANDIDATO (A) NÃO APRESENTOU DOCUMENTAÇÃO EXIGIDA DE ACORDO COM
A OPÇÃO ESCOLHIDA NO FORMULARIO
JESSICA SILVA TELES FARRAPO 054***.***-** 1 INDEFERIDO
CANDIDATO (A) NÃO APRESENTOU DECLARAÇÃO EXPEDIDA PELO GDF QUE
COMPROVE RECEBIMENTO DE BENEFÍCIO DE PROGRAMA SOCIAL DE
COMPLEMENTAÇÃO OU SUPLEMENTAÇÃO DE RENDA DO GDF (PRATO CHEIO E
DF SOCIAL )
SIRLENE OLIVEIRA DE SOUZA 790***.***-** 1 INDEFERIDO
CANDIDATO (A) NÃO APRESENTOU DOCUMENTAÇÃO EXIGIDA COM A OPÇÃO
ESCOLHIDA NO FORMULARIO
JADE LEAL CARDOSO BARBEDO 032***.***-** 1 DEFERIDO
NOEMIA DOS ANJOS SANTOS 692***.***-** 1 DEFERIDO
NOEMIA DOS ANJOS SANTOS 692***.***-** 3 DEFERIDO
VITORIA CRISTIANE DE SOUSA SANTOS 026***.***-** 1 INDEFERIDO
CANDIDATO (A) NÃO APRESENTOU DOCUMENTAÇÃO DE LAUDO MÉDICO DE
ACORDO COM A MARCAÇÃO ESCOLHIDA
GABRIELLY LUDIMILLY RIBEIRO GONÇALVES 059***.***-** 1 DEFERIDO
GABRIELLY LUDIMILLY RIBEIRO GONÇALVES 059***.***-** 8 DEFERIDO
THIAGO COSTA SILVA 013***.***-** 1 DEFERIDO
RAIANA ROCHA DE SOUZA 024***.***-** 1 DEFERIDO
RAIANA ROCHA DE SOUZA 024***.***-** 8 DEFERIDO
SILVIA MARIA DA SILVA 478***.***-** 5 INDEFERIDO
CANDIDATO (A) NÃO APRESENTOU DECLARAÇÃO EXPEDIDA PELO GDF QUE
COMPROVE RECEBIMENTO DE BENEFÍCIO DE PROGRAMA SOCIAL DE
COMPLEMENTAÇÃO OU SUPLEMENTAÇÃO DE RENDA DO GDF (PRATO CHEIO E
DF SOCIAL )
EDILA PEREIRA ARAUJO 803***.***-** 1 INDEFERIDO
CANDIDATO (A) NÃO APRESENTOU DECLARAÇÃO EXPEDIDA PELO GDF QUE
COMPROVE RECEBIMENTO DE BENEFÍCIO DE PROGRAMA SOCIAL DE
COMPLEMENTAÇÃO OU SUPLEMENTAÇÃO DE RENDA DO GDF (PRATO CHEIO E
DF SOCIAL )
EDILA PEREIRA ARAUJO 803***.***-** 5 INDEFERIDO
CANDIDATO (A) NÃO APRESENTOU DECLARAÇÃO EXPEDIDA PELO GDF QUE
COMPROVE RECEBIMENTO DE BENEFÍCIO DE PROGRAMA SOCIAL DE
COMPLEMENTAÇÃO OU SUPLEMENTAÇÃO DE RENDA DO GDF (PRATO CHEIO E
DF SOCIAL )
RENATA GUEDES 013***.***-** 1 INDEFERIDO
CANDIDATO (A) NÃO ENVIOU DOCUMENTAÇÃO QUE FOI POSSIVEL ACESSO(
SENDO ARQUIVO EM NUVEM)
RENATA CARVALHO DE ARAUJO 013***.***-** 1 INDEFERIDO
CANDIDATO (A) NÃO APRESENTOU DECLARAÇÃO EXPEDIDA PELO GDF QUE
COMPROVE RECEBIMENTO DE BENEFÍCIO DE PROGRAMA SOCIAL DE
COMPLEMENTAÇÃO OU SUPLEMENTAÇÃO DE RENDA DO GDF (PRATO CHEIO E
DF SOCIAL )
THAMILLA DA SILVA CABRAL 055***.***-** 1 DEFERIDO
THAMILLA DA SILVA CABRAL 055***.***-** 2 DEFERIDO
FRANCISCO ERISTEVAO DA SILVA 723***.***-** 1 DEFERIDO
FILIPE TRIGUEIRO XAVIER CORREIA 057***.***-** 4 DEFERIDO
MARIA WILMA ALVES DA SILVA 037***.***-** 8 INDEFERIDO
CANDIDATO (A) NÃO APRESENTOU DECLARAÇÃO EXPEDIDA PELO GDF QUE
COMPROVE RECEBIMENTO DE BENEFÍCIO DE PROGRAMA SOCIAL DE
COMPLEMENTAÇÃO OU SUPLEMENTAÇÃO DE RENDA DO GDF (PRATO CHEIO E
DF SOCIAL )
CLODOMIR CARDOSO DA SILVA 740***.***-** 1 DEFERIDO
JONATAN RODRIGUES DOS SANTOS JUNIOR 000***.***-** - INDEFERIDO CANDIDATO (A) NÃO APRESENTOU FORMULARIO COM O NÚMERO DO CARGO
CAROLINE MENDES DA SILVA 733***.***-** 3 INDEFERIDO
CANDIDATO (A) NÃO APRESENTOU DECLARAÇÃO EXPEDIDA PELO GDF QUE
COMPROVE RECEBIMENTO DE BENEFÍCIO DE PROGRAMA SOCIAL DE
COMPLEMENTAÇÃO OU SUPLEMENTAÇÃO DE RENDA DO GDF (PRATO CHEIO E
DF SOCIAL )
SANDRA AGUIAR VIEIRA 552***.***-** 6 INDEFERIDO
CANDIDATO (A) NÃO APRESENTOU DECLARAÇÃO EXPEDIDA PELO GDF QUE
COMPROVE RECEBIMENTO DE BENEFÍCIO DE PROGRAMA SOCIAL DE
COMPLEMENTAÇÃO OU SUPLEMENTAÇÃO DE RENDA DO GDF (PRATO CHEIO E
DF SOCIAL )
NATÁLIA MENDES RODRIGUES DE SOUZA 065***.***-** 1 INDEFERIDO
CANDIDATO (A) NÃO APRESENTOU DECLARAÇÃO EXPEDIDA PELO GDF QUE
COMPROVE RECEBIMENTO DE BENEFÍCIO DE PROGRAMA SOCIAL DE
COMPLEMENTAÇÃO OU SUPLEMENTAÇÃO DE RENDA DO GDF (PRATO CHEIO E
DF SOCIAL )
VICTORIA REGINA MARTINS DA SILVA 050***.***-** 1 INDEFERIDO
CANDIDATO (A) NÃO APRESENTOU DECLARAÇÃO EXPEDIDA PELO GDF QUE
COMPROVE RECEBIMENTO DE BENEFÍCIO DE PROGRAMA SOCIAL DE
COMPLEMENTAÇÃO OU SUPLEMENTAÇÃO DE RENDA DO GDF (PRATO CHEIO E
DF SOCIAL )
VICTORIA REGINA MARTINS DA SILVA 050***.***-** 2 INDEFERIDO
CANDIDATO (A) NÃO APRESENTOU DECLARAÇÃO EXPEDIDA PELO GDF QUE
COMPROVE RECEBIMENTO DE BENEFÍCIO DE PROGRAMA SOCIAL DE
COMPLEMENTAÇÃO OU SUPLEMENTAÇÃO DE RENDA DO GDF (PRATO CHEIO E
DF SOCIAL )
BIANCA DOS SANTOS MOURA 048***.***-** - INDEFERIDO
CANDIDATO (A) NÃO APRESENTOU FORMULARIO COM O NÚMERO DO CARGO E
DOCUMENTAÇÃO COMPLETA DE ACORDO COM A OPÇÃO ESCOLHIDA
REJANE OLIVEIRA PIRES 696***.***-** 1 INDEFERIDO
CANDIDATO (A) NÃO APRESENTOU DECLARAÇÃO EXPEDIDA PELO GDF QUE
COMPROVE RECEBIMENTO DE BENEFÍCIO DE PROGRAMA SOCIAL DE
COMPLEMENTAÇÃO OU SUPLEMENTAÇÃO DE RENDA DO GDF (PRATO CHEIO E
DF SOCIAL )
REJANE OLIVEIRA PIRES 696***.***-** 2 INDEFERIDO
CANDIDATO (A) NÃO APRESENTOU DECLARAÇÃO EXPEDIDA PELO GDF QUE
COMPROVE RECEBIMENTO DE BENEFÍCIO DE PROGRAMA SOCIAL DE
COMPLEMENTAÇÃO OU SUPLEMENTAÇÃO DE RENDA DO GDF (PRATO CHEIO E
DF SOCIAL )
GRAZIELE APARECIDA PEREIRA LIMA 059***.***-** - INDEFERIDO
CANDIDATO (A) NÃO APRESENTOU FORMULARIO COM O NÚMERO DO CARGO E
DOCUMENTAÇÃO EM PDF
SABRINA PEREIRA GOMES 035***.***-** 1 INDEFERIDO CANDIDATO (A) NÃO APRESENTOU DOCUMENTAÇÃO RG
SABRINA PEREIRA GOMES 035***.***-** 7 INDEFERIDO CANDIDATO (A) NÃO APRESENTOU DOCUMENTAÇÃO RG
CAMILA GONÇALVES DE SOUZA 116***.***-** 1 DEFERIDO
CAMILA GONÇALVES DE SOUZA 116***.***-** 5 DEFERIDO
MARIA JOSÉ CANDIDO DO NASCIMENTO 037***.***-** 2 DEFERIDO
MARIA JOSÉ CANDIDO DO NASCIMENTO 037***.***-** 1 DEFERIDO
RAPHAEL LYNCON MIRANDA DE BARROS 061***.***-** 1 DEFERIDO
RAPHAEL LYNCON MIRANDA DE BARROS 061***.***-** 6 DEFERIDO
CAROLINA DE SOUZA EPIFANIO 083***.***-** 1 INDEFERIDO
CANDIDATO (A) NÃO APRESENTOU LAUDO MÉDICO COMPROBATÓRIO DA
ISENÇÃO DE
ACORDO COM A POSSIBILIDADE ESCOLHIDA
MAYRA RODRIGUES SOARES DE JESUS 056***.***-** 7 INDEFERIDO
CANDIDATO (A) NÃO APRESENTOU DOCUMENTAÇÃO DE ACORDO COM A
MARCAÇÃO ESCOLHIDA
ANALIA RIBEIRO DA SILVA 005***.***-** 8 DEFERIDO
VANESSA RODRIGUES MOREIRA 713***.***-** 6 DEFERIDO
LIDIA PATRICIA ESCORCIA PEREIRA 003***.***-** 1 INDEFERIDO CANDIDATO (A) NÃO APRESENTOU DOCUMENTAÇÃO EM PDF
NATALIA INACIO ALVES ALECRIM 024***.***-** 1 DEFERIDO
JOYCE VIEIRA DOS REIS 037***.***-** 1 DEFERIDO
VITOR JOELMIR JOSE DA SILVA DE VASCONCELOS 060***.***-** 1 INDEFERIDO
CANDIDATO (A) NÃO APRESENTOU DOCUMETAÇÃO EXIGIDA LAUDO MÉDICO
ASSINADO COM CARINBO DO MÉDICO COMPROVANDO DEFICIÊNCIA
VITOR JOELMIR JOSE DA SILVA DE VASCONCELOS 060***.***-** 2 INDEFERIDO
CANDIDATO (A) NÃO APRESENTOU DOCUMETAÇÃO EXIGIDA LAUDO MÉDICO
ASSINADO COM CARINBO DO MÉDICO COMPROVANDO DEFICIÊNCIA
AQUILA BORGES DE ARAÚJO 028***.***-** 1 DEFERIDO
MAYARA PEREIRA CUNHA AVELAR 726***.***-** 1 DEFERIDO
MAYARA PEREIRA CUNHA AVELAR 726***.***-** 6 DEFERIDO
ALDEMIR CARDOSO DE OLIVEIRA 483***.***-** - INDEFERIDO
CANDIDATO (A) NÃO APRESENTOU FORMULARIO COM O NÚMERO DO CARGO E
OPÇÃO ESCOLHIDA
LIDIANE PEREIRA SILVA BRITO 720***.***-** 1 DEFERIDO
JILVANICE DE JESUS DA ROCHA 027***.***-** 1 DEFERIDO
ANA PAULA SOARES GAVIAO 717***.***-** 5 INDEFERIDO
CANDIDATO (A) NÃO APRESENTOU DECLARAÇÃO EXPEDIDA PELO GDF QUE
COMPROVE RECEBIMENTO DE BENEFÍCIO DE PROGRAMA SOCIAL DE
COMPLEMENTAÇÃO OU SUPLEMENTAÇÃO DE RENDA DO GDF (PRATO CHEIO E
DF SOCIAL )
ANA PAULA SOARES GAVIAO 717***.***-** 1 INDEFERIDO
CANDIDATO (A) NÃO APRESENTOU DECLARAÇÃO EXPEDIDA PELO GDF QUE
COMPROVE RECEBIMENTO DE BENEFÍCIO DE PROGRAMA SOCIAL DE
COMPLEMENTAÇÃO OU SUPLEMENTAÇÃO DE RENDA DO GDF (PRATO CHEIO E
DF SOCIAL )
TANIA BARBOSA RIBEIRO 793***.***-** 1 INDEFERIDO
CANDIDATO (A) NÃO APRESENTOU DECLARAÇÃO EXPEDIDA PELO GDF QUE
COMPROVE RECEBIMENTO DE BENEFÍCIO DE PROGRAMA SOCIAL DE
COMPLEMENTAÇÃO OU SUPLEMENTAÇÃO DE RENDA DO GDF (PRATO CHEIO E
DF SOCIAL )
RONILDO LAVRISTA BORGES 704***.***-** 1 DEFERIDO
GISELE DOS SANTOS FERREIRA 135***.***-** 3 INDEFERIDO
CANDIDATO (A) NÃO APRESENTOU DECLARAÇÃO EXPEDIDA PELO GDF QUE
COMPROVE RECEBIMENTO DE BENEFÍCIO DE PROGRAMA SOCIAL DE
COMPLEMENTAÇÃO OU SUPLEMENTAÇÃO DE RENDA DO GDF (PRATO CHEIO E
DF SOCIAL )
EMILY FERNANDES DA SILVA 058***.***-** 1 INDEFERIDO CANDIDATO (A) NÃO APRESENTOU DOCUMENTAÇÃO EM PDF
EMILY FERNANDES DA SILVA 058***.***-** 6 INDEFERIDO CANDIDATO (A) NÃO APRESENTOU DOCUMENTAÇÃO EM PDF
SILVIA APARECIDA DIIRR ORNELAS 505***.***-** 3 DEFERIDO
MATHEUS VERISSIMO DANTAS 056***.***-** 1 INDEFERIDO
CANDIDATO (A) NÃO APRESENTOU DECLARAÇÃO EXPEDIDA PELO GDF QUE
COMPROVE RECEBIMENTO DE BENEFÍCIO DE PROGRAMA SOCIAL DE
COMPLEMENTAÇÃO OU SUPLEMENTAÇÃO DE RENDA DO GDF (PRATO CHEIO E
DF SOCIAL )
SHERLYS JOSIANNE SÁ COSTA 002***.***-** 7 INDEFERIDO
CANDIDATO (A) NÃO APRESENTOU DECLARAÇÃO EXPEDIDA PELO GDF QUE
COMPROVE RECEBIMENTO DE BENEFÍCIO DE PROGRAMA SOCIAL DE
COMPLEMENTAÇÃO OU SUPLEMENTAÇÃO DE RENDA DO GDF (PRATO CHEIO E
DF SOCIAL )
SHERLYS JOSIANNE SÁ COSTA 002***.***-** 1 INDEFERIDO
CANDIDATO (A) NÃO APRESENTOU DECLARAÇÃO EXPEDIDA PELO GDF QUE
COMPROVE RECEBIMENTO DE BENEFÍCIO DE PROGRAMA SOCIAL DE
COMPLEMENTAÇÃO OU SUPLEMENTAÇÃO DE RENDA DO GDF (PRATO CHEIO E
DF SOCIAL )
FRANCISCA EIELLY OLIVEIRA MARQUES 000***.***-** 1 DEFERIDO
ALISSON SCOTTE GONÇALVES CONCEIÇÃO OLIVEIRA 886***.***-** 1 INDEFERIDO
CANDIDATO (A) NÃO APRESENTOU DECLARAÇÃO EXPEDIDA PELO GDF QUE
COMPROVE RECEBIMENTO DE BENEFÍCIO DE PROGRAMA SOCIAL DE
COMPLEMENTAÇÃO OU SUPLEMENTAÇÃO DE RENDA DO GDF (PRATO CHEIO E
DF SOCIAL )
ALISSON SCOTTE GONÇALVES CONCEIÇÃO OLIVEIRA 886***.***-** 8 INDEFERIDO
CANDIDATO (A) NÃO APRESENTOU DECLARAÇÃO EXPEDIDA PELO GDF QUE
COMPROVE RECEBIMENTO DE BENEFÍCIO DE PROGRAMA SOCIAL DE
COMPLEMENTAÇÃO OU SUPLEMENTAÇÃO DE RENDA DO GDF (PRATO CHEIO E
DF SOCIAL )
PAULA LORRANY ALVES DE OLIVEIRA 039***.***-** 1 INDEFERIDO
CANDIDATO (A) NÃO APRESENTOU DECLARAÇÃO EXPEDIDA PELO GDF QUE
COMPROVE RECEBIMENTO DE BENEFÍCIO DE PROGRAMA SOCIAL DE
COMPLEMENTAÇÃO OU SUPLEMENTAÇÃO DE RENDA DO GDF (PRATO CHEIO E
DF SOCIAL )
VINICIUS GONCALVES PEREIRA 852***.***-** 1 DEFERIDO
VICTOR HUGO PEREIRA DA SILVA 036***.***-** - INDEFERIDO
CANDIDATO (A) NÃO APRESENTOU FORMULARIO COM O NÚMERO DO CARGO E
OPÇÃO ESCOLHIDA
SERGIO RODRIGUES DA SILVA 666***.***-** 8 DEFERIDO
MARIANA RODRIGUES DE SENA 035***.***-** 1 DEFERIDO
VICTOR NATIVIDADE SILVA 487***.***-** 1 DEFERIDO
SANDRA PEREIRA DA SILVA 951***.***-** - INDEFERIDO
CANDIDATO (A) NÃO APRESENTOU FORMULARIO DE ISENÇÃO COM O NÚMERO
DO CARGO E OPÇÃO ESCOLHIDA
ANA CAROLINA GOLÇALVES DE SOUSA 035***.***-** 1 DEFERIDO
VITÓRIA BEATRIZ SOUSA FERREIRA 061***.***-** 1 INDEFERIDO
CANDIDATO (A) NÃO APRESENTOU DOCUMETAÇÃO EXIGIDA LAUDO MÉDICO
ASSINADO COM CARINBO DO MÉDICO COMPROVANDO DEFICIÊNCIA
ADRIANA TOMAZ DA SILVA 008***.***-** 2 DEFERIDO
RAFAELA PEREIRA DE OLIVEIRA DA COSTA 130***.***-** 2 DEFERIDO
RAFAELA PEREIRA DE OLIVEIRA DA COSTA 130***.***-** 1 DEFERIDO
MAYARA DE FREITAS ALBUQUERQUE 026***.***-** 1 DEFERIDO
MAYARA DE FREITAS ALBUQUERQUE 026***.***-** 4 DEFERIDO
CAMILA ISABELLE SÁ COSTA GOMES 078***.***-** 7 INDEFERIDO
CANDIDATO (A) NÃO APRESENTOU DECLARAÇÃO EXPEDIDA PELO GDF QUE
COMPROVE RECEBIMENTO DE BENEFÍCIO DE PROGRAMA SOCIAL DE
COMPLEMENTAÇÃO OU SUPLEMENTAÇÃO DE RENDA DO GDF (PRATO CHEIO E
DF SOCIAL )
ARIANA GOMES DA SILVA E SILVA 014***.***-** 1 INDEFERIDO
CANDIDATO (A) NÃO APRESENTOU DOCUMETAÇÃO EXIGIDA LAUDO MÉDICO
ASSINADO COM CARINBO DO MÉDICO COMPROVANDO DEFICIÊNCIA
LUCAS JOSE DE SOUZA BATISTA 055***.***-** 2 DEFERIDO
ADRIANA CARVALHO DOS SANTOS 053***.***-** 1 INDEFERIDO
CANDIDATO (A) NÃO APRESENTOU DECLARAÇÃO EXPEDIDA PELO GDF QUE
COMPROVE RECEBIMENTO DE BENEFÍCIO DE PROGRAMA SOCIAL DE
COMPLEMENTAÇÃO OU SUPLEMENTAÇÃO DE RENDA DO GDF (PRATO CHEIO E
DF SOCIAL )
ADRIANA CARVALHO DOS SANTOS 053***.***-** 8 INDEFERIDO
CANDIDATO (A) NÃO APRESENTOU DECLARAÇÃO EXPEDIDA PELO GDF QUE
COMPROVE RECEBIMENTO DE BENEFÍCIO DE PROGRAMA SOCIAL DE
COMPLEMENTAÇÃO OU SUPLEMENTAÇÃO DE RENDA DO GDF (PRATO CHEIO E
DF SOCIAL )
RAÍSSA PEREIRA ARAÚJO 053***.***-** 1 INDEFERIDO
CANDIDATO (A) NÃO APRESENTOU DECLARAÇÃO EXPEDIDA PELO GDF QUE
COMPROVE RECEBIMENTO DE BENEFÍCIO DE PROGRAMA SOCIAL DE
COMPLEMENTAÇÃO OU SUPLEMENTAÇÃO DE RENDA DO GDF (PRATO CHEIO E
DF SOCIAL ) OU LAUDO MÉDICO
ROSANE CRISTINA DA SILVA 029***.***-** 1 DEFERIDO
MONICA MARIA DE OLIVEIRA 09***.***-** 1 DEFERIDO
SUELEN TAMARA DE CASTRO LIMA 000***.***-** 1 DEFERIDO
SUELEN TAMARA DE CASTRO LIMA 000***.***-** 8 DEFERIDO
ANNY KELLY DE SOUSA RODRIGUES 009***.***-** - INDEFERIDO
CANDIDATO (A) NÃO APRESENTOU FORMULARIO DE ISENÇÃO COM O NÚMERO
DO CARGO E OPÇÃO ESCOLHIDA
MARIA APARECIDA DE SOUSA VIANA 726***.***-** 1 INDEFERIDO
CANDIDATO (A) NÃO APRESENTOU DECLARAÇÃO EXPEDIDA PELO GDF QUE
COMPROVE RECEBIMENTO DE BENEFÍCIO DE PROGRAMA SOCIAL DE
COMPLEMENTAÇÃO OU SUPLEMENTAÇÃO DE RENDA DO GDF (PRATO CHEIO E
DF SOCIAL )
POLLYNE COUTINHO LIMA 022***.***-** 1 DEFERIDO
LIVIA REGINA DOS SANTOS DO CARMO 000***.***-** 1 DEFERIDO
LIVIA REGINA DOS SANTOS DO CARMO 000***.***-** 8 DEFERIDO
LUZIA CATIA BISPO ALVES 588***.***-** 1 DEFERIDO
TARCYLA DAMARIS BARBOSA FERREIRA 017***.***-** 1 INDEFERIDO
CANDIDATO (A) NÃO APRESENTOU DECLARAÇÃO EXPEDIDA PELO GDF QUE
COMPROVE RECEBIMENTO DE BENEFÍCIO DE PROGRAMA SOCIAL DE
COMPLEMENTAÇÃO OU SUPLEMENTAÇÃO DE RENDA DO GDF (PRATO CHEIO E
DF SOCIAL )
TARCYLA DAMARIS BARBOSA FERREIRA 017***.***-** 8 INDEFERIDO
CANDIDATO (A) NÃO APRESENTOU DECLARAÇÃO EXPEDIDA PELO GDF QUE
COMPROVE RECEBIMENTO DE BENEFÍCIO DE PROGRAMA SOCIAL DE
COMPLEMENTAÇÃO OU SUPLEMENTAÇÃO DE RENDA DO GDF (PRATO CHEIO E
DF SOCIAL )
TASSO HOG PEREIRA DOS SANTOS JUNIOR 884***.***-** 1 INDEFERIDO
CANDIDATO (A) NÃO APRESENTOU DECLARAÇÃO EXPEDIDA PELO GDF QUE
COMPROVE RECEBIMENTO DE BENEFÍCIO DE PROGRAMA SOCIAL DE
COMPLEMENTAÇÃO OU SUPLEMENTAÇÃO DE RENDA DO GDF (PRATO CHEIO E
DF SOCIAL )
JOSÉ RIBAMAR PEREIRA FILHO 724***.***-** 1 DEFERIDO
LEOMAR CARVALHO DOS ANJOS 021***.***-** 1 INDEFERIDO
CANDIDATO (A) NÃO APRESENTOU DECLARAÇÃO EXPEDIDA PELO GDF QUE
COMPROVE RECEBIMENTO DE BENEFÍCIO DE PROGRAMA SOCIAL DE
COMPLEMENTAÇÃO OU SUPLEMENTAÇÃO DE RENDA DO GDF (PRATO CHEIO E
DF SOCIAL )
GEANDRA DE ALMEIDA ARAUJO 038***.***-** 2 DEFERIDO
IOLANDA FERREIRA DE ABREU 017***.***-** 2 DEFERIDO
VALTAR LEVITA DIOGO DE SOUSA 399***.***-** 8 INDEFERIDO
CANDIDATO (A) NÃO APRESENTOU DOCUMETAÇÃO EXIGIDA LAUDO MÉDICO
ASSINADO COM CARINBO DO MÉDICO COMPROVANDO DEFICIÊNCIA
VALTAR LEVITA DIOGO DE SOUSA 399***.***-** 1 INDEFERIDO
CANDIDATO (A) NÃO APRESENTOU DOCUMETAÇÃO EXIGIDA LAUDO MÉDICO
ASSINADO COM CARINBO DO MÉDICO COMPROVANDO DEFICIÊNCIA
FABIO SILVA GOMES 028***.***-** 2 DEFERIDO
***.***-**
WHISSTAINLESS DA CONCEICAO LOPES 066***.***-** 4 DEFERIDO
DIEGO DA CUNHA RODRIGUES 033***.***-** 1 DEFERIDO
ALENCARLA GONCALVES DE MIRANDA 000***.***-** 1 DEFERIDO
ARICÉLIA NUNES BARBOSA 029***.***-** 1 INDEFERIDO
CANDIDATO (A) NÃO APRESENTOU DECLARAÇÃO EXPEDIDA PELO GDF QUE
COMPROVE RECEBIMENTO DE BENEFÍCIO DE PROGRAMA SOCIAL DE
COMPLEMENTAÇÃO OU SUPLEMENTAÇÃO DE RENDA DO GDF (PRATO CHEIO E
DF SOCIAL )
VIVIANE NUNES DA CUNHA 022***.***-** 1 DEFERIDO
VIVIANE NUNES DA CUNHA 022***.***-** 2 DEFERIDO
DOUGLAS MARLON BESSA VIEIRA 094***.***-** 1 INDEFERIDO
CANDIDATO (A) NÃO APRESENTOU DECLARAÇÃO EXPEDIDA PELO GDF QUE
COMPROVE RECEBIMENTO DE BENEFÍCIO DE PROGRAMA SOCIAL DE
COMPLEMENTAÇÃO OU SUPLEMENTAÇÃO DE RENDA DO GDF (PRATO CHEIO E
DF SOCIAL )
HORTÊNCIA VIRGINIA DO AMARAL CARVALHO 444***.***-** 2 INDEFERIDO
CANDIDATO (A) NÃO APRESENTOU DECLARAÇÃO EXPEDIDA PELO GDF QUE
COMPROVE RECEBIMENTO DE BENEFÍCIO DE PROGRAMA SOCIAL DE
COMPLEMENTAÇÃO OU SUPLEMENTAÇÃO DE RENDA DO GDF (PRATO CHEIO E
DF SOCIAL )
HORTÊNCIA VIRGINIA DO AMARAL CARVALHO 444***.***-** 1 INDEFERIDO
CANDIDATO (A) NÃO APRESENTOU DECLARAÇÃO EXPEDIDA PELO GDF QUE
COMPROVE RECEBIMENTO DE BENEFÍCIO DE PROGRAMA SOCIAL DE
COMPLEMENTAÇÃO OU SUPLEMENTAÇÃO DE RENDA DO GDF (PRATO CHEIO E
DF SOCIAL )
ARTUR DIOGO RABELO DE SOUSA 079***.***-** 1 INDEFERIDO
CANDIDATO (A) NÃO APRESENTOU DOCUMETAÇÃO EXIGIDA LAUDO MÉDICO
ASSINADO COM CARINBO DO MÉDICO COMPROVANDO DEFICIÊNCIA
GEANY OLIVEIRA DOS SANTOS 051***.***-** - INDEFERIDO
CANDIDATO (A) NÃO APRESENTOU FORMULARIO DE ISENÇÃO COM O NÚMERO
DO CARGO E OPÇÃO ESCOLHIDA
JULIANA DE SOUZA PAIVA 827***.***-** 1 INDEFERIDO CANDIDATO (A) NÃO APRESENTOU DOCUMENTAÇÃO EM PDF
RENOR OLIVEIRA GUIMARAES -***.***-** - INDEFERIDO CANDIDATO (A) NÃO APRESENTOU DOCUMENTAÇÃO EXIGIDA
THIAGO VINICIUS LOPES DA SILVA 035***.***-** 1 DEFERIDO
THIAGO VINICIUS LOPES DA SILVA 035***.***-** 8 DEFERIDO
BRUNO FELIX DA SILVA CARRARO 005***.***-** 5 DEFERIDO
BRUNO FELIX DA SILVA CARRARO 005***.***-** 1 DEFERIDO
WESLEY OLIVEIRA MARIANO 063***.***-** 1 DEFERIDO
LIDIA FERNANDES DA SILVA -***.***-** - INDEFERIDO
CANDIDATO (A) NÃO APRESENTOU FORMULARIO DE ISENÇÃO COM O NÚMERO
DO CARGO E OPÇÃO ESCOLHIDA COM A DOCUMENTAÇÃO
REBECA SOUZA COSTA 882***.***-** 8 INDEFERIDO CANDIDATO (A) NÃO APRESENTOU DOCUMENTAÇÃO COMPLETA EM PDF
REBECA SOUZA COSTA 882***.***-** 1 INDEFERIDO CANDIDATO (A) NÃO APRESENTOU DOCUMENTAÇÃO COMPLETA EM PDF
MAIKY DIAS PORTUGUEZ DE SOUZA FERREIRA 057***.***-** 1 DEFERIDO
ILMA SOUZA DA SILVA 976***.***-** - INDEFERIDO
CANDIDATO (A) NÃO APRESENTOU FORMULARIO DE ISENÇÃO COM O NÚMERO
DO CARGO E OPÇÃO ESCOLHIDA COM A DOCUMENTAÇÃO
INÁCIA FERREIRA COSTA 986***.***-** - INDEFERIDO
CANDIDATO (A) NÃO APRESENTOU FORMULÁRIO COM O NÚMERO DO CARGO
ESCOLHIDO
REIJANE CRUZ DA SILVA RIBEIRO 708***.***-** 1 DEFERIDO
DANIELA MENDES RODRIGUES 044***.***-** 1 DEFERIDO
ANTÔNIO TAVEIRA MOURA 027***.***-** 8 INDEFERIDO
CANDIDATO (A) NÃO APRESENTOU FORMULÁRIO COM O NÚMERO DO CARGO
ESCOLHIDO
GISELLE DE ARAUJO CHAGA 015***.***-** 8 DEFERIDO
LEILIANE DA SILVA MARTINS 731***.***-** 7 INDEFERIDO
CANDIDATO (A) NÃO APRESENTOU DOCUMETAÇÃO EXIGIDA LAUDO MÉDICO
ASSINADO COM CARINBO DO MÉDICO COMPROVANDO DEFICIÊNCIA
FERNANDA DOS SANTOS CARRARO FELIX 858***.***-** 5 INDEFERIDO
CANDIDATO (A) NÃO APRESENTOU DOCUMETAÇÃO EXIGIDA LAUDO MÉDICO
ASSINADO COM CARINBO DO MÉDICO COMPROVANDO DEFICIÊNCIA
DOMINICK DE JESUS SILVA LAMOUNIER 067***.***-** 6 INDEFERIDO
CANDIDATO (A) NÃO APRESENTOU DECLARAÇÃO EXPEDIDA PELO GDF QUE
COMPROVE RECEBIMENTO DE BENEFÍCIO DE PROGRAMA SOCIAL DE
COMPLEMENTAÇÃO OU SUPLEMENTAÇÃO DE RENDA DO GDF (PRATO CHEIO E
DF SOCIAL )
ARTHUR BARBOSA SANTOS 074***.***-** 1 INDEFERIDO
CANDIDATO (A) NÃO APRESENTOU DOCUMETAÇÃO EXIGIDA LAUDO MÉDICO
ASSINADO COM CARINBO DO MÉDICO COMPROVANDO DEFICIÊNCIA
NEUSA LOPO ROCHA 04***.***-** 1 INDEFERIDO
CANDIDATO (A) NÃO APRESENTOU DOCUMETAÇÃO EXIGIDA LAUDO MÉDICO
ASSINADO COM CARINBO DO MÉDICO COMPROVANDO DEFICIÊNCIA E
COMPROVANTE DO CAD.ÚNICO
JESSICA ALVES RAMOS DA SILVA 050***.***-** 6 INDEFERIDO
CANDIDATO (A) NÃO APRESENTOU DECLARAÇÃO EXPEDIDA PELO GDF QUE
COMPROVE RECEBIMENTO DE BENEFÍCIO DE PROGRAMA SOCIAL DE
COMPLEMENTAÇÃO OU SUPLEMENTAÇÃO DE RENDA DO GDF (PRATO CHEIO E
DF SOCIAL )
ROGÉRIO DA CRUZ SOUSA 004***.***-** 1 DEFERIDO
ADRIANA BARBOSA DA ROCHA 863***.***-** 1 INDEFERIDO
CANDIDATO (A) NÃO APRESENTOU DOCUMETAÇÃO EXIGIDA LAUDO MÉDICO
ASSINADO COM CARINBO DO MÉDICO COMPROVANDO DEFICIÊNCIA E
COMPROVANTE DO CAD.ÚNICO
ALINE BARBOSA SANTOS 077***.***-** 1 INDEFERIDO
CANDIDATO (A) NÃO APRESENTOU DOCUMETAÇÃO EXIGIDA LAUDO MÉDICO
ASSINADO COM CARINBO DO MÉDICO COMPROVANDO DEFICIÊNCIA E
COMPROVANTE DO CAD.ÚNICO
CAMILA VIANNA 012***.***-** 1 INDEFERIDO
CANDIDATO (A) NÃO APRESENTOU DOCUMETAÇÃO EXIGIDA LAUDO MÉDICO
ASSINADO COM CARINBO DO MÉDICO COMPROVANDO DEFICIÊNCIA
CAMILA VIANNA 012***.***-** 6 INDEFERIDO
CANDIDATO (A) NÃO APRESENTOU DOCUMETAÇÃO EXIGIDA LAUDO MÉDICO
ASSINADO COM CARINBO DO MÉDICO COMPROVANDO DEFICIÊNCIA
LUCILENE SANTANA 855***.***-** 1 INDEFERIDO
CANDIDATO (A) NÃO APRESENTOU DOCUMETAÇÃO EXIGIDA LAUDO MÉDICO
ASSINADO COM CARINBO DO MÉDICO COMPROVANDO DEFICIÊNCIA
ROGERIO DA CRUZ SOUSA 004***.***-** 3 DEFERIDO
GUSTAVO PAULINO SILVA DE OLIVEIRA 083***.***-** 1 DEFERIDO
JESIEL MIRANDA RODRIGUES 058***.***-** 8 DEFERIDO
CLAUDIO RODRIGUES LAMOUNIER 030***.***-** 6 INDEFERIDO
CANDIDATO (A) NÃO APRESENTOU DECLARAÇÃO EXPEDIDA PELO GDF QUE
COMPROVE RECEBIMENTO DE BENEFÍCIO DE PROGRAMA SOCIAL DE
COMPLEMENTAÇÃO OU SUPLEMENTAÇÃO DE RENDA DO GDF (PRATO CHEIO E
DF SOCIAL )
IVONEIDE FIGUEIREDO NUNES MAIA 919***.***-** 1 DEFERIDO
IVONEIDE FIGUEIREDO NUNES MAIA 919***.***-** 8 DEFERIDO
PAULA IARA SOUZA LIRA 059***.***-** 1 INDEFERIDO
CANDIDATO (A) NÃO APRESENTOU DECLARAÇÃO EXPEDIDA PELO GDF QUE
COMPROVE RECEBIMENTO DE BENEFÍCIO DE PROGRAMA SOCIAL DE
COMPLEMENTAÇÃO OU SUPLEMENTAÇÃO DE RENDA DO GDF (PRATO CHEIO E
DF SOCIAL )
PAULA IARA SOUZA LIRA 059***.***-** 7 INDEFERIDO
CANDIDATO (A) NÃO APRESENTOU DECLARAÇÃO EXPEDIDA PELO GDF QUE
COMPROVE RECEBIMENTO DE BENEFÍCIO DE PROGRAMA SOCIAL DE
COMPLEMENTAÇÃO OU SUPLEMENTAÇÃO DE RENDA DO GDF (PRATO CHEIO E
DF SOCIAL )
HELLEN LORRANE SEVERO DAS NEVES 081***.***-** 2 INDEFERIDO
CANDIDATO (A) NÃO APRESENTOU DOCUMETAÇÃO EXIGIDA LAUDO MÉDICO
ASSINADO COM CARINBO DO MÉDICO COMPROVANDO DEFICIÊNCIA
CRISTIANE MARIA LIMA DE ARAUJO 619***.***-** 1 DEFERIDO
SIMONE AGUIAR PONTES 013***.***-** 1 INDEFERIDO
CANDIDATO (A) NÃO APRESENTOU DECLARAÇÃO EXPEDIDA PELO GDF QUE
COMPROVE RECEBIMENTO DE BENEFÍCIO DE PROGRAMA SOCIAL DE
COMPLEMENTAÇÃO OU SUPLEMENTAÇÃO DE RENDA DO GDF (PRATO CHEIO E
DF SOCIAL )
BIANCA DA SILVA FARIA 051***.***-** 6 DEFERIDO
BIANCA DA SILVA FARIA 051***.***-** 1 DEFERIDO
MARCELA LUSIANO SARDINHA 031***.***-** 8 DEFERIDO
MARCELA LUSIANO SARDINHA 031***.***-** 2 DEFERIDO
TAYNARA CHRISTIANE DURANS SILVA 044***.***-** 1 DEFERIDO
URANIA OLIVEIRA SOUZA LEMOS 659***.***-** 8 DEFERIDO
ALCINA MARTINS DE SOUZA 690***.***-** - INDEFERIDO
CANDIDATO (A) NÃO APRESENTOU FORMULÁRIO COM O NÚMERO DO CARGO
ESCOLHIDO E COMPROVANTE DE RECEBIMENTO DO BENEFÍCIO DE PROGRAMA
SOCIAL DE COMPLEMENTAÇÃO OU SUPLEMENTAÇÃO DE RENDA DO GDF
(PRATO CHEIO E DF SOCIAL )
RAYANE DUARTE DA SILVA 023***.***-** 1 INDEFERIDO
CANDIDATO (A) NÃO APRESENTOU DECLARAÇÃO EXPEDIDA PELO GDF QUE
COMPROVE RECEBIMENTO DE BENEFÍCIO DE PROGRAMA SOCIAL DE
COMPLEMENTAÇÃO OU SUPLEMENTAÇÃO DE RENDA DO GDF (PRATO CHEIO E
DF SOCIAL )
LÍLIAN BATISTA RIBEIRO KALTAR 004***.***-** 1 DEFERIDO
ADRIANA OLIVEIRA NUNES 033***.***-** 3 INDEFERIDO
CANDIDATO (A) NÃO APRESENTOU DECLARAÇÃO EXPEDIDA PELO GDF QUE
COMPROVE RECEBIMENTO DE BENEFÍCIO DE PROGRAMA SOCIAL DE
COMPLEMENTAÇÃO OU SUPLEMENTAÇÃO DE RENDA DO GDF (PRATO CHEIO E
DF SOCIAL )
ADRIANA OLIVEIRA NUNES 033***.***-** 1 INDEFERIDO
CANDIDATO (A) NÃO APRESENTOU DECLARAÇÃO EXPEDIDA PELO GDF QUE
COMPROVE RECEBIMENTO DE BENEFÍCIO DE PROGRAMA SOCIAL DE
COMPLEMENTAÇÃO OU SUPLEMENTAÇÃO DE RENDA DO GDF (PRATO CHEIO E
DF SOCIAL )
JEAN CARLA AMARAL DA SILVA 030***.***-** 5 INDEFERIDO
CANDIDATO (A) NÃO APRESENTOU DECLARAÇÃO EXPEDIDA PELO GDF QUE
COMPROVE RECEBIMENTO DE BENEFÍCIO DE PROGRAMA SOCIAL DE
COMPLEMENTAÇÃO OU SUPLEMENTAÇÃO DE RENDA DO GDF (PRATO CHEIO E
DF SOCIAL )
GLEISON GONÇALVES JORDÃO 034***.***-** 1 DEFERIDO
LILIENE DA SILVA TOMAZ 020***.***-** 1 INDEFERIDO
CANDIDATO (A) NÃO APRESENTOU DECLARAÇÃO EXPEDIDA PELO GDF QUE
COMPROVE RECEBIMENTO DE BENEFÍCIO DE PROGRAMA SOCIAL DE
COMPLEMENTAÇÃO OU SUPLEMENTAÇÃO DE RENDA DO GDF (PRATO CHEIO E
DF SOCIAL )
LILIENE DA SILVA TOMAZ 020***.***-** 5 INDEFERIDO
CANDIDATO (A) NÃO APRESENTOU DECLARAÇÃO EXPEDIDA PELO GDF QUE
COMPROVE RECEBIMENTO DE BENEFÍCIO DE PROGRAMA SOCIAL DE
COMPLEMENTAÇÃO OU SUPLEMENTAÇÃO DE RENDA DO GDF (PRATO CHEIO E
DF SOCIAL )
IRLENE DA SILVA OLIVEIRA 054***.***-** 1 DEFERIDO
ALEXIA RIBEIRO DA SILVA 030***.***-** 6 INDEFERIDO
CANDIDATO (A) NÃO APRESENTOU DOCUMETAÇÃO EXIGIDA LAUDO MÉDICO
ASSINADO COM CARINBO DO MÉDICO COMPROVANDO DEFICIÊNCIA
ALEXIA RIBEIRO DA SILVA 030***.***-** 1 INDEFERIDO
CANDIDATO (A) NÃO APRESENTOU DOCUMETAÇÃO EXIGIDA LAUDO MÉDICO
ASSINADO COM CARINBO DO MÉDICO COMPROVANDO DEFICIÊNCIA
GENIVAN RIBEIRO DA SILVA 023***.***-** 6 INDEFERIDO
CANDIDATO (A) NÃO APRESENTOU DOCUMETAÇÃO EXIGIDA LAUDO MÉDICO
ASSINADO COM CARINBO DO MÉDICO COMPROVANDO DEFICIÊNCIA
ANDREA DOS SANTOS VIEIRA NASCIMENTO 027***.***-** 1 INDEFERIDO
CANDIDATO (A) NÃO APRESENTOU DECLARAÇÃO EXPEDIDA PELO GDF QUE
COMPROVE RECEBIMENTO DE BENEFÍCIO DE PROGRAMA SOCIAL DE
COMPLEMENTAÇÃO OU SUPLEMENTAÇÃO DE RENDA DO GDF (PRATO CHEIO E
DF SOCIAL )
LETICIA DE MOURA VIEIRA 035***.***-** 1 DEFERIDO
FRANCISCO ERISTEVAO DA SILVA 723***.***-** 1 DEFERIDO
ADRIANO ALVES BRAZ 718***.***-** 1 INDEFERIDO
CANDIDATO (A) NÃO APRESENTOU DECLARAÇÃO EXPEDIDA PELO GDF QUE
COMPROVE RECEBIMENTO DE BENEFÍCIO DE PROGRAMA SOCIAL DE
COMPLEMENTAÇÃO OU SUPLEMENTAÇÃO DE RENDA DO GDF (PRATO CHEIO E
DF SOCIAL )
ADRIANO ALVES BRAZ 718***.***-** 5 INDEFERIDO
CANDIDATO (A) NÃO APRESENTOU DECLARAÇÃO EXPEDIDA PELO GDF QUE
COMPROVE RECEBIMENTO DE BENEFÍCIO DE PROGRAMA SOCIAL DE
COMPLEMENTAÇÃO OU SUPLEMENTAÇÃO DE RENDA DO GDF (PRATO CHEIO E
DF SOCIAL )
ELISANGELA DA SILVA GOMES DE MACEDO 605***.***-** 1 DEFERIDO
ELISANGELA DA SILVA GOMES DE MACEDO 605***.***-** 5 DEFERIDO
FRANCISCA VIEIRA DOS SANTOS 027***.***-** 1 INDEFERIDO
CANDIDATO (A) NÃO APRESENTOU DECLARAÇÃO EXPEDIDA PELO GDF QUE
COMPROVE RECEBIMENTO DE BENEFÍCIO DE PROGRAMA SOCIAL DE
COMPLEMENTAÇÃO OU SUPLEMENTAÇÃO DE RENDA DO GDF (PRATO CHEIO E
DF SOCIAL )
DJEANNE GONÇALVES LIMA LOPES 702***.***-** 1 DEFERIDO
DJEANNE GONÇALVES LIMA LOPES 702***.***-** 7 DEFERIDO
CLÉIA DO SOCORRO SOUZA FERREIRA 908***.***-** 3 INDEFERIDO
CANDIDATO (A) NÃO APRESENTOU DOCUMETAÇÃO EXIGIDA LAUDO MÉDICO
ASSINADO COM CARINBO DO MÉDICO COMPROVANDO DEFICIÊNCIA
PATRICIA OLIVEIRA SANTOS LIMA 047***.***-** 6 INDEFERIDO
CANDIDATO (A) NÃO APRESENTOU DECLARAÇÃO EXPEDIDA PELO GDF QUE
COMPROVE RECEBIMENTO DE BENEFÍCIO DE PROGRAMA SOCIAL DE
COMPLEMENTAÇÃO OU SUPLEMENTAÇÃO DE RENDA DO GDF (PRATO CHEIO E
DF SOCIAL )
PATRICIA OLIVEIRA SANTOS LIMA 047***.***-** 1 INDEFERIDO
CANDIDATO (A) NÃO APRESENTOU DECLARAÇÃO EXPEDIDA PELO GDF QUE
COMPROVE RECEBIMENTO DE BENEFÍCIO DE PROGRAMA SOCIAL DE
COMPLEMENTAÇÃO OU SUPLEMENTAÇÃO DE RENDA DO GDF (PRATO CHEIO E
DF SOCIAL )
LUCAS FRANCISCO DA CONCEICAO SOUSA 026***.***-** 1 INDEFERIDO
CANDIDATO (A) NÃO APRESENTOU DECLARAÇÃO EXPEDIDA PELO GDF QUE
COMPROVE RECEBIMENTO DE BENEFÍCIO DE PROGRAMA SOCIAL DE
COMPLEMENTAÇÃO OU SUPLEMENTAÇÃO DE RENDA DO GDF (PRATO CHEIO E
DF SOCIAL )
SERGIO GONÇALVES DE OLIVEIRA 014***.***-** 1 DEFERIDO
MARIA ELIENE SANTOS DA SILVA 954***.***-** 5 INDEFERIDO
CANDIDATO (A) NÃO APRESENTOU DECLARAÇÃO EXPEDIDA PELO GDF QUE
COMPROVE RECEBIMENTO DE BENEFÍCIO DE PROGRAMA SOCIAL DE
COMPLEMENTAÇÃO OU SUPLEMENTAÇÃO DE RENDA DO GDF (PRATO CHEIO E
DF SOCIAL )
MILENA DOS SANTOS OLIVEIRA 048***.***-** 1 INDEFERIDO
CANDIDATO (A) NÃO APRESENTOU DECLARAÇÃO EXPEDIDA PELO GDF QUE
COMPROVE RECEBIMENTO DE BENEFÍCIO DE PROGRAMA SOCIAL DE
COMPLEMENTAÇÃO OU SUPLEMENTAÇÃO DE RENDA DO GDF (PRATO CHEIO E
DF SOCIAL )
MILENA DOS SANTOS OLIVEIRA 048***.***-** 5 INDEFERIDO
CANDIDATO (A) NÃO APRESENTOU FORMULÁRIO COM O NÚMERO DO CARGO
ESCOLHIDO
FERNANDA VIANA BITTENCOURT 011***.***-** 1 INDEFERIDO CANDIDATO (A) NÃO APRESENTOU DOCUMENTAÇÃO EXIGIDA RG
BEATRIZ NUNES ALENCAR SEIXAS -***.***-** - INDEFERIDO CANDIDATO (A) NÃO APRESENTOU DOCUMENTAÇÃO EXIGIDA
JULIO CESAR SILVA SANTOS 459***.***-** 1 INDEFERIDO CANDIDATO (A) NÃO APRESENTOU DOCUMENTAÇÃO EXIGIDA RG
FRANCISCO FERREIRA LIMA 863***.***-** 1 DEFERIDO
LUCELIA MARIA ALCANTARA ARAUJO 023***.***-** 2 DEFERIDO
ISAURA MARQUES MARTINS 875***.***-** 3 INDEFERIDO CANDIDATO (A) NÃO APRESENTOU DOCUMENTAÇÃO EXIGIDA RG
FISSIL CIER YUZUKI 701***.***-** 1 DEFERIDO
SORAIA LAMEIRA SIQUEIRA 631***.***-** 8 INDEFERIDO
CANDIDATO (A) NÃO APRESENTOU DECLARAÇÃO EXPEDIDA PELO GDF QUE
COMPROVE RECEBIMENTO DE BENEFÍCIO DE PROGRAMA SOCIAL DE
COMPLEMENTAÇÃO OU SUPLEMENTAÇÃO DE RENDA DO GDF (PRATO CHEIO E
DF SOCIAL )
SORAIA LAMEIRA SIQUEIRA 631***.***-** 1 INDEFERIDO
CANDIDATO (A) NÃO APRESENTOU DECLARAÇÃO EXPEDIDA PELO GDF QUE
COMPROVE RECEBIMENTO DE BENEFÍCIO DE PROGRAMA SOCIAL DE
COMPLEMENTAÇÃO OU SUPLEMENTAÇÃO DE RENDA DO GDF (PRATO CHEIO E
DF SOCIAL )
CARLIANA SILVA DE ARAÚJO FLÔR 010***.***-** 1 DEFERIDO
JOSCIRENE PEREIRA BARBOSA 000***.***-** 8 INDEFERIDO CANDIDATO (A) NÃO APRESENTOU FORMULÁRIO ATUALIZADO
ELZAIR DOS ANJOS BRAGA 022***.***-** 1 INDEFERIDO
CANDIDATO (A) NÃO APRESENTOU DECLARAÇÃO EXPEDIDA PELO GDF QUE
COMPROVE RECEBIMENTO DE BENEFÍCIO DE PROGRAMA SOCIAL DE
COMPLEMENTAÇÃO OU SUPLEMENTAÇÃO DE RENDA DO GDF (PRATO CHEIO E
DF SOCIAL )
IGOR ALMEIDA BRITO 613***.***-** 5 DEFERIDO
IGOR ALMEIDA BRITO 613***.***-** 1 DEFERIDO
GIL LUCAS GUIMARAES GOMES 022***.***-** 6 DEFERIDO
GIL LUCAS GUIMARAES GOMES 022***.***-** 1 DEFERIDO
CLECIO RAMIRES GALVÃO 835***.***-** 1 DEFERIDO
ANDRÉ NASCIMENTO DOS SANTOS 017***.***-** 1 DEFERIDO
KATIA ALMEIDA DOS SANTOS 528***.***-** 7 INDEFERIDO
CANDIDATO (A) NÃO APRESENTOU DECLARAÇÃO EXPEDIDA PELO GDF QUE
COMPROVE RECEBIMENTO DE BENEFÍCIO DE PROGRAMA SOCIAL DE
COMPLEMENTAÇÃO OU SUPLEMENTAÇÃO DE RENDA DO GDF (PRATO CHEIO E
DF SOCIAL )
THAISE ALVES DA ROCHA 031***.***-** 8 INDEFERIDO
CANDIDATO (A) NÃO APRESENTOU DECLARAÇÃO EXPEDIDA PELO GDF QUE
COMPROVE RECEBIMENTO DE BENEFÍCIO DE PROGRAMA SOCIAL DE
COMPLEMENTAÇÃO OU SUPLEMENTAÇÃO DE RENDA DO GDF (PRATO CHEIO E
DF SOCIAL )
THAISE ALVES DA ROCHA 031***.***-** 1 INDEFERIDO
CANDIDATO (A) NÃO APRESENTOU DECLARAÇÃO EXPEDIDA PELO GDF QUE
COMPROVE RECEBIMENTO DE BENEFÍCIO DE PROGRAMA SOCIAL DE
COMPLEMENTAÇÃO OU SUPLEMENTAÇÃO DE RENDA DO GDF (PRATO CHEIO E
DF SOCIAL )
JEILSON DE OLIVEIRA MOISÉS 041***.***-** 1 DEFERIDO
JEILSON DE OLIVEIRA MOISÉS 041***.***-** 2 DEFERIDO
LUCIENE FERREIRA DA SILVA 931***.***-** 1 INDEFERIDO
CANDIDATO (A) NÃO APRESENTOU DOCUMETAÇÃO EXIGIDA LAUDO MÉDICO
ASSINADO COM CARINBO DO MÉDICO COMPROVANDO DEFICIÊNCIA
SILVIO GOMES DE OLIVEIRA 707***.***-** 1 DEFERIDO
JACILENE PEREIRA DE OLIVEIRA 725***.***-** 5 DEFERIDO
VALERIA ROSA CARVALHO DO NASCIMENTO DOS SANTOS 044***.***-** 1 INDEFERIDO
CANDIDATO (A) NÃO APRESENTOU DECLARAÇÃO EXPEDIDA PELO GDF QUE
COMPROVE RECEBIMENTO DE BENEFÍCIO DE PROGRAMA SOCIAL DE
COMPLEMENTAÇÃO OU SUPLEMENTAÇÃO DE RENDA DO GDF (PRATO CHEIO E
DF SOCIAL )
ANA PAULA BORGES 720***.***-** 1 DEFERIDO
ANA PAULA BORGES 720***.***-** 6 DEFERIDO
FRANCISCA ROSA DA SILVA MORAES 478***.***-** 1 INDEFERIDO
CANDIDATO (A) NÃO APRESENTOU DECLARAÇÃO EXPEDIDA PELO GDF QUE
COMPROVE RECEBIMENTO DE BENEFÍCIO DE PROGRAMA SOCIAL DE
COMPLEMENTAÇÃO OU SUPLEMENTAÇÃO DE RENDA DO GDF (PRATO CHEIO E
DF SOCIAL )
FRANCISCA ROSA DA SILVA MORAES 478***.***-** 2 INDEFERIDO
CANDIDATO (A) NÃO APRESENTOU DECLARAÇÃO EXPEDIDA PELO GDF QUE
COMPROVE RECEBIMENTO DE BENEFÍCIO DE PROGRAMA SOCIAL DE
COMPLEMENTAÇÃO OU SUPLEMENTAÇÃO DE RENDA DO GDF (PRATO CHEIO E
DF SOCIAL )
MAYARA FERREIRA DE SOUSA 050***.***-** 1 DEFERIDO
LILIANE MIRANDA ROCHA 709***.***-** 1 INDEFERIDO
CANDIDATO (A) NÃO APRESENTOU DECLARAÇÃO EXPEDIDA PELO GDF QUE
COMPROVE RECEBIMENTO DE BENEFÍCIO DE PROGRAMA SOCIAL DE
COMPLEMENTAÇÃO OU SUPLEMENTAÇÃO DE RENDA DO GDF (PRATO CHEIO E
DF SOCIAL )
WALISON DOS SANTOS FERREIRA 034***.***-** 1 DEFERIDO
JANICLEIDE DA SILVA ARAUJO DE SOUSA 848***.***-** 1 INDEFERIDO CANDIDATO (A) NÃO APRESENTOU DOCUMENTAÇÃO EXIGIDA.
ANTONIA MARIA DO NASCIMENTO SILVA 006***.***-** 2 INDEFERIDO CANDIDATO (A) NÃO APRESENTOU DOCUMENTAÇÃO EXIGIDA.
RITHELISSON DE SOUSA DA SILVA 040***.***-** 1 INDEFERIDO CANDIDATO (A) NÃO APRESENTOU DOCUMENTAÇÃO EM PDF.
JEFFERSON DOS SANTOS SILVA 035***.***-** 7 DEFERIDO
FABIANA GOMES DOS SANTOS 068***.***-** - INDEFERIDO CANDIDATO (A) NÃO APRESENTOU DOCUMENTAÇÃO EXIGIDA.
GRASIELLE BEZERRA SILVA TEIXEIRA 960***.***-** 1 DEFERIDO
BARBARA MENDES COUTINHO 733***.***-** 7 DEFERIDO
ADRIANA FONTENELE DE PAULA 004***.***-** 7 INDEFERIDO CANDIDATO (A) NÃO APRESENTOU DOCUMENTAÇÃO EXIGIDA.
MARCELO HENRIQUE DE OLIVEIRA LIMA 057***.***-** 1 INDEFERIDO CANDIDATO (A) NÃO APRESENTOU DOCUMENTAÇÃO EXIGIDA.
MARIA DO AMPARO DAS CHAGAS LESSA BRITO 669***.***-** 1 INDEFERIDO CANDIDATO (A) NÃO APRESENTOU A DOCUMENTAÇÃO EM PDF.
SEBASTIÃO LIMA DA SILVA MESSIAS 890***.***-** 6 DEFERIDO
THALITA MENESES FRANCA 045***.***-** 8 DEFERIDO
MARIA IZABEL MACHADO 027***.***-** - INDEFERIDO CANDIDATO (A) NÃO APRESENTOU DOCUMENTAÇÃO EXIGIDA.
JOSELENE SOUZA PINTO 593***.***-** 1 DEFERIDO
ROSIMAR VIEIRA DE SOUSA 784***.***-** 7 INDEFERIDO CANDIDATO (A) NÃO APRESENTOU DOCUMENTAÇÃO EXIGIDA.
DENNIS CARNAÚBA SANTOS 925***.***-** 1 DEFERIDO
LUDIMILA DE SOUSA PEREIRA 052***.***-** 1 INDEFERIDO CANDIDATO (A) NÃO APRESENTOU DOCUMENTAÇÃO EXIGIDA.
TAINARA RODRIGUES CORDEIRO 133***.***-** - INDEFERIDO CANDIDATO (A) NÃO APRESENTOU O FORMULÁRIO
NARAINA ALVES DE SOUZA 031***.***-** 6 INDEFERIDO CANDIDATO (A) NÃO APRESENTOU DOCUMENTAÇÃO EXIGIDA.
NARAINA ALVES DE SOUZA 031***.***-** 1 INDEFERIDO CANDIDATO (A) NÃO APRESENTOU DOCUMENTAÇÃO EXIGIDA.
ANA LOPES DA SILVA 031***.***-** 5 INDEFERIDO CANDIDATO (A) NÃO APRESENTOU DOCUMENTAÇÃO EXIGIDA.
GRASIELE VIEIRA LIMA 029***.***-** 1 INDEFERIDO CANDIDATO (A) NÃO APRESENTOU DOCUMENTAÇÃO EXIGIDA.
MARGARETE SILVA DE OLIVEIRA 022***.***-** - INDEFERIDO CANDIDATO (A) NÃO APRESENTOU DOCUMENTAÇÃO EXIGIDA.
GIULIANA ALVES BORGES DA SILVA 074***.***-** 1 INDEFERIDO CANDIDATO (A) NÃO APRESENTOU DOCUMENTAÇÃO EXIGIDA.
ALCIONE VENANCIO DOS SANTOS 837***.***-** 1 INDEFERIDO CANDIDATO (A) NÃO APRESENTOU DOCUMENTAÇÃO EXIGIDA COMPLETA
JANAÍNA LIMA RODRIGUES OLIVEIRA 994***.***-** 1 INDEFERIDO CANDIDATO (A) NÃO APRESENTOU DOCUMENTAÇÃO EXIGIDA.
JANAÍNA LIMA RODRIGUES OLIVEIRA 994***.***-** 8 INDEFERIDO CANDIDATO (A) NÃO APRESENTOU DOCUMENTAÇÃO EXIGIDA.
LILIAN DE OLIVEIRA GOMES 062***.***-** 1 DEFERIDO
KARINNY SOARES PIRES 040***.***-** 1 INDEFERIDO CANDIDATO (A) NÃO APRESENTOU DOCUMENTAÇÃO EXIGIDA.
LUCAS ALVES BORGES DA SILVA 074***.***-** 8 INDEFERIDO CANDIDATO (A) NÃO APRESENTOU DOCUMENTAÇÃO EXIGIDA.
CAMILA PATRICIA DOS SANTOS MARTINS 015***.***-** 1 DEFERIDO
DIANE CARLOS DE JESUS 039***.***-** 1 INDEFERIDO CANDIDATO (A) NÃO APRESENTOU DOCUMENTAÇÃO EXIGIDA.
CLEIDE OLIVEIRA DE LUNA 386***.***-** 8 INDEFERIDO CANDIDATO (A) NÃO APRESENTOU O DOCUMENTO DE IDENTIFICAÇÃO
FABIANA GONÇALVES DA SILVA 997***.***-** 6 DEFERIDO
LUCIANE ALVES DE CASTRO SOUZA 010***.***-** 1 DEFERIDO
ANA CLAUDIA LIMA SILVA 021***.***-** 1 DEFERIDO
PEDRO HENRIQUE DE ALMEIDA OLIVEIRA 080***.***-** 1 INDEFERIDO CANDIDATO (A) NÃO APRESENTOU DOCUMENTAÇÃO EXIGIDA.
AIDA IRIS DE OLIVIERA 098***.***-** - INDEFERIDO CANDIDATO (A) NÃO APRESENTOU A DOCUMENTAÇÃO EM PDF.
RICARDO KLEBER SANTOS DE OLIVEIRA 372***.***-** 2 DEFERIDO
RICARDO KLEBER SANTOS DE OLIVEIRA 372***.***-** 1 DEFERIDO
ALEXIA NÁTALLY ARAÚJO MARINHO 057***.***-** 1 DEFERIDO
ELMA VALERIANO DOS SANTOS DE OLIVEIRA 827***.***-** 1 DEFERIDO
ELISANGELA DE AZEVEDO FARIA 022***.***-** 1 DEFERIDO
JOELMO DE CASTRO OLIVEIRA 635***.***-** 8 DEFERIDO
JOELMO DE CASTRO OLIVEIRA 635***.***-** 1 DEFERIDO
NATALIA FRANCA VILLELA 039***.***-** 4 DEFERIDO
DANIELA FERREIRA LIMA 953***.***-** 2 INDEFERIDO CANDIDATO (A) NÃO APRESENTOU DOCUMENTAÇÃO EXIGIDA.
KARINA ANUNCIAÇÃO DE SOUZA 052***.***-** 1 DEFERIDO
GIOVANNA ALVES BORGES DA SILVA 074***.***-** 1 INDEFERIDO CANDIDATO (A) NÃO APRESENTOU DOCUMENTAÇÃO EXIGIDA.
MIKAELE PEREIRA FRANCISCO 049***.***-** 1 INDEFERIDO CANDIDATO (A) NÃO APRESENTOU O DOCUMENTO DE IDENTIFICAÇÃO
KEVYN DIAS AMARAL 068***.***-** 1 INDEFERIDO CANDIDATO (A) NÃO APRESENTOU O DOCUMENTO DE IDENTIFICAÇÃO
DAMARYS PASCOA LEAL MARTINS 032***.***-** 1 DEFERIDO
ANA CAROLINA RIBEIRO CAETANO 039***.***-** 1 INDEFERIDO CANDIDATO (A) NÃO APRESENTOU O DOCUMENTO DE IDENTIFICAÇÃO
GUILHERME RIPARDO LUSTOSA 056***.***-** 1 DEFERIDO
LUZIA LUCIA ARAÚJO SANTOS 928***.***-** 7 DEFERIDO
EDUARDO GONCALVES MOTA 053***.***-** 1 DEFERIDO
SAMUEL CAMPOS NOGUEIRA 075***.***-** 1 DEFERIDO
LEONARDO DANTAS ORELLI 011***.***-** 4 DEFERIDO
VALERIA FERNANDES DE OLIVEIRA 601***.***-** 1 DEFERIDO
MARCIO DA CUNHA TRAPIA 601***.***-** 8 DEFERIDO
KARLA REGINA SANTOS DIAS 833***.***-** 1 DEFERIDO
ISABELLA RIBEIRO TEXEIRA DE SOUZA 047***.***-** 8 DEFERIDO
LEANDRA SOUZA DE OLIVEIRA 998***.***-** 7 DEFERIDO
ARIADNA FERREIRA DE SOUZA 046***.***-** 8 DEFERIDO
PAULA CRISTINA MOREIRA 825***.***-** 1 DEFERIDO
LYAN ARTHUR CAMPELO DE AQUINO 072***.***-** 8 DEFERIDO
ROSELANE DOS SANTOS CAMPELO 012***.***-** 8 DEFERIDO
GISELLE DE ARAUJO CHAGAS 015***.***-** 1 DEFERIDO
BRUNO XAVIER DA SILVA 049***.***-** 1 DEFERIDO
BRUNO XAVIER DA SILVA 049***.***-** 2 DEFERIDO
VALERIA MOTA DE MOURA 042***.***-** 2 DEFERIDO
MARIA ROSIELE PEREIRA FONSECA 085***.***-** 1 DEFERIDO
GONÇALO MINEIRO DA SILVA 010***.***-** 1 DEFERIDO
PEDRO HENRIQUE MENDES DE ALMEIDA 037***.***-** 1 DEFERIDO
EDINALDO RODRIGUES LIMA 031***.***-** 4 DEFERIDO
HAILTON DIAS DE ANDRADE 041***.***-** 1 DEFERIDO
HAILTON DIAS DE ANDRADE 041***.***-** 3 DEFERIDO

deferido.PDF ENFIMDDSWWAEAEAWEAAEAAAEAEA

  • 1.
    CANDIDATO CPF CÓDIGO DO CARGO SITUAÇÃOOBSERVAÇÃO CRISTIANE DOS SANTOS PATU 778***.***-** 7 DEFERIDA SAMUEL SANTOS LIMA 059***.***-** - INDEFERIDO CANDIDATO NÃO APRESENTOU DOCUMENTAÇÃO EXIGIDA DIONISIO JOSÉ FERREIRA 709***.***-** 3 DEFERIDA DIULIANE MARQUES LOPES -***.***-** 7 INDEFERIDO CANDIDATO NÃO APRESENTOU DOCUMENTAÇÃO EXIGIDA RAYNARA EDUARDA PEREIRA SILVA 090***.***-** - INDEFERIDO CANDIDATO NÃO APRESENTOU DOCUMENTAÇÃO EXIGIDA CARLA FABIANE MARQUES DA SILVA FERNANDES 919***.***-** 7 INDEFERIDO CANDIDATO NÃO APRESENTOU DOCUMENTAÇÃO EXIGIDA FLÁVIA BARBOSA DE SOUZA SILVA 177***.***-** 3 INDEFERIDO CANDIDATO NÃO APRESENTOU DOCUMENTAÇÃO EXIGIDA KLEIDIA DA SILVA RODRIGUES 780***.***-** 8 INDEFERIDO CANDIDATO NÃO APRESENTOU DOCUMENTAÇÃO EXIGIDA THAYNARA GABRIELLE MACIANO MARTINS 057***.***-** 2 INDEFERIDO CANDIDATO NÃO APRESENTOU DOCUMENTAÇÃO EXIGIDA CILEIDE MOURA BEZERRA 798***.***-** - INDEFERIDO CANDIDATO NÃO APRESENTOU DOCUMENTAÇÃO EXIGIDA LUCIANO RIBEIRO DE MACEDO ARAUJO 003***.***-** 7 INDEFERIDO CANDIDATO NÃO APRESENTOU DOCUMENTAÇÃO EM FORMATO EXIGIDO PEDRO IVO MARTINS LIMA 023***.***-** 1 DEFERIDA CRISTINA DA SILVA ARAUJO 696***.***-** - INDEFERIDO CANDIDATO NÃO APRESENTOU DOCUMENTAÇÃO EXIGIDA JEANY APARECIDA GONÇALVES DE SOUZA 810***.***-** 3 INDEFERIDO CANDIDATO NÃO APRESENTOU DOCUMENTAÇÃO EXIGIDA RAYANE PEREIRA DOS REIS 018***.***-** 5 INDEFERIDO CANDIDATO NÃO APRESENTOU DOCUMENTAÇÃO EXIGIDA ALESSANDRA CARINA DE JESUS GOMES PÉREZ 065***.***-** 1 DEFERIDA MARIA SANDRA DO NASCIMENTO -***.***-** - INDEFERIDO CANDIDATO NÃO APRESENTOU DOCUMENTAÇÃO EM FORMATO EXIGIDO SAMILA LEÃO GUIMARÃES 907***.***-** 3 INDEFERIDO CANDIDATO NÃO APRESENTOU DOCUMENTAÇÃO EXIGIDA BEATRIZ FERREIRA DE LIMA 046***.***-** - INDEFERIDO CANDIDATO NÃO APRESENTOU DOCUMENTAÇÃO EXIGIDA FRANCISCO PAULO DE SOUSA CARVALHO 007***.***-** 5 INDEFERIDO CANDIDATO NÃO APRESENTOU DOCUMENTAÇÃO EXIGIDA RESULTADO DEFINITIVO DAS SOLICITAÇÕES DE ISENÇÃO DE TAXA (AVAS/ACS) SES - DF
  • 2.
    RONY CASTRO DEFREITAS 035***.***-** 1 DEFERIDA EDILVANIA VITORINO -***.***-** - INDEFERIDO CANDIDATO NÃO APRESENTOU DOCUMENTAÇÃO EM FORMATO EXIGIDO PAULO CESAR AZEVEDO AZEREDO E SILVA 620***.***-** 2 INDEFERIDO CANDIDATO NÃO APRESENTOU DOCUMENTAÇÃO EXIGIDA LUCIENE PEREIRA DOS SANTOS 698***.***-** 8 INDEFERIDO CANDIDATO NÃO APRESENTOU DOCUMENTAÇÃO EXIGIDA LEONICE RIBEIRO DOS SANTOS BORGES 024***.***-** 6 INDEFERIDO CANDIDATO NÃO APRESENTOU DOCUMENTAÇÃO EXIGIDA MICHELLE DE CASTRO NUNES 056***.***-** 1 DEFERIDA UILAS BENTO SOBRINHO -***.***-** - INDEFERIDO CANDIDATO NÃO APRESENTOU DOCUMENTAÇÃO EXIGIDA EDIONE AZEVEDO DOS SANTOS 001***.***-** 8 INDEFERIDO CANDIDATO NÃO APRESENTOU DOCUMENTAÇÃO EXIGIDA MATEUS FRANCO FARIAS 049***.***-** 1 DEFERIDA DANIELLE ANDRADE FERREIRA 058***.***-** - INDEFERIDO CANDIDATO NÃO APRESENTOU DOCUMENTAÇÃO EXIGIDA AQUELIANA FERREIRA DA SILVA SANTOS 032***.***-** - INDEFERIDO CANDIDATO NÃO APRESENTOU DOCUMENTAÇÃO EXIGIDA DANYLO CARNEIRO GOMES 063***.***-** 1 INDEFERIDO CANDIDATO NÃO APRESENTOU DOCUMENTAÇÃO EXIGIDA VILMA LOPES DOS SANTOS 244***.***-** 5 INDEFERIDO CANDIDATO NÃO APRESENTOU DOCUMENTAÇÃO EXIGIDA LATANNE CRISTINA DOS SANTOS BATISTA 051***.***-** 1 INDEFERIDO CANDIDATO NÃO APRESENTOU DOCUMENTAÇÃO EXIGIDA VIVIANA ALVES DE SOUSA 036***.***-** 6 DEFERIDA GICLEIDE ALMEIDA DE CARVALHO -***.***-** - INDEFERIDO CANDIDATO NÃO APRESENTOU DOCUMENTAÇÃO EXIGIDA ANA LUCIA ALVES DA CUNHA 705***.***-** 1 DEFERIDA ANTHOINE DOS SANTOS BATISTA 073***.***-** 1 INDEFERIDO CANDIDATO NÃO APRESENTOU DOCUMENTAÇÃO EXIGIDA PATRICIA MARIA SILVA DOS SANTOS 003***.***-** 8 INDEFERIDO CANDIDATO NÃO APRESENTOU DOCUMENTAÇÃO EXIGIDA LUCIRLENE DA SILVA SOBRINHO 995***.***-** 2 DEFERIDA ELAINE ALVES ROCHA 831***.***-** 7 INDEFERIDO CANDIDATO NÃO APRESENTOU DOCUMENTAÇÃO EXIGIDA OCTAVIO AUGUSTO DA SILVA GOMES 042***.***-** 6 DEFERIDA JOSE PAULO ARAUJO BARBOSA 934***.***-** 7 DEFERIDA LÍGIA LETÍCIA CARVALHO DE AGUIAR 013***.***-** 3 INDEFERIDO CANDIDATO NÃO APRESENTOU DOCUMENTAÇÃO EXIGIDA LARISSA VILAS BOA DA SILVA DOS SANTOS 008***.***-** 1 DEFERIDA KARINA SENA DA SILVA 050***.***-** 7 INDEFERIDO CANDIDATO NÃO APRESENTOU DOCUMENTAÇÃO EXIGIDA LUIS FELIPE BARRETO DA SILVA 044***.***-** 1 DEFERIDA LUANA GALENO DOS SANTOS 044***.***-** 1 DEFERIDA
  • 3.
    LILIANE SENA DEABREU -***.***-** - INDEFERIDO CANDIDATO NÃO APRESENTOU DOCUMENTAÇÃO EXIGIDA MIZA LORIANE BERNARDES DA SILVA 049***.***-** 1 INDEFERIDO CANDIDATO NÃO APRESENTOU DOCUMENTAÇÃO EM FORMATO EXIGIDO ARIADNA FERREIRA DE SOUZA 046***.***-** 1 DEFERIDA FABIANE DOS SANTOS MUNIZ 007***.***-** 3 INDEFERIDO CANDIDATO NÃO APRESENTOU DOCUMENTAÇÃO EXIGIDA GLEICE CASTRO DE MOURA 834***.***-** 1 DEFERIDA RAIR SILVA DE OLIVEIRA 052***.***-** - INDEFERIDO CANDIDATO NÃO APRESENTOU DOCUMENTAÇÃO EXIGIDA JENNYFER HELLYENAI ARAUJO DE MIRANDA 011***.***-** 7 DEFERIDA REBECA PEREIRA DOS SANTOS 701***.***-** 1 INDEFERIDO CANDIDATO NÃO APRESENTOU DOCUMENTAÇÃO EXIGIDA ANA EMÍLIA REIS DE MATOS 103***.***-** 1 DEFERIDA JÉSSICA DOS SANTOS BRUNO 053***.***-** 1 INDEFERIDO CANDIDATO NÃO APRESENTOU DOCUMENTAÇÃO EXIGIDA GUSTAVO ADÃO PINTO 466***.***-** 2 INDEFERIDO CANDIDATO NÃO APRESENTOU DOCUMENTAÇÃO EXIGIDA TAINARA RODRIGUES CORDEIRO 133***.***-** 1 DEFERIDA MARCELO ALVES POSSIDONIO 028***.***-** - INDEFERIDO CANDIDATO NÃO APRESENTOU DOCUMENTAÇÃO EXIGIDA TIAGO DE SOUSA LIMA 045***.***-** 1 INDEFERIDO CANDIDATO NÃO APRESENTOU DOCUMENTAÇÃO EXIGIDA DANIELLE SILVA DE MOURA 018***.***-** 8 DEFERIDA EDSON MENDES INACIO FILHO 014***.***-** - INDEFERIDO CANDIDATO NÃO APRESENTOU DOCUMENTAÇÃO EXIGIDA ALESSANDRA AIRES DA CRUZ SILVA 03***.***-** 8 DEFERIDA LIDUINA EDUARDO DE SOUSA 725***.***-** 1 INDEFERIDO CANDIDATO NÃO APRESENTOU DOCUMENTAÇÃO EXIGIDA GILVANEIDE DE SOUZA FERREIRA 371***.***-** 2 INDEFERIDO CANDIDATO NÃO APRESENTOU DOCUMENTAÇÃO EXIGIDA LORENA DA ROCHA SOUSA 063***.***-** 1 INDEFERIDO CANDIDATO NÃO APRESENTOU DOCUMENTAÇÃO EXIGIDA KELLI PASSOS DOS SANTOS 070***.***-** - INDEFERIDO CANDIDATO NÃO APRESENTOU DOCUMENTAÇÃO EXIGIDA MARIA DE JESUS RIBEIRO SILVA 179***.***-** 1 INDEFERIDO CANDIDATO NÃO APRESENTOU DOCUMENTAÇÃO EXIGIDA BRUNO PAZ DE SOUZA 048***.***-** 8 DEFERIDA MAURICIA DE OLIVEIRA MAIA 054***.***-** 1 INDEFERIDO CANDIDATO NÃO APRESENTOU DOCUMENTAÇÃO EXIGIDA ERIVELTON RODRIGUES DE JESUS 051***.***-** 1 INDEFERIDO CANDIDATO NÃO APRESENTOU DOCUMENTAÇÃO EXIGIDA ALINE DIANIRA DA SILVA ALTINO 982***.***-** 8 INDEFERIDO CANDIDATO NÃO APRESENTOU DOCUMENTAÇÃO EXIGIDA PALLOMA KAMYLLA MACHADO RIBEIRO 034***.***-** 1 INDEFERIDO CANDIDATO NÃO APRESENTOU DOCUMENTAÇÃO EXIGIDA RUTE SOARES DA SILVA 719***.***-** 1 INDEFERIDO CANDIDATO NÃO APRESENTOU DOCUMENTAÇÃO EXIGIDA
  • 4.
    QUEREN HAPUQUE FERREIRADA SILVA 073***.***-** 8 INDEFERIDO CANDIDATO NÃO APRESENTOU DOCUMENTAÇÃO EXIGIDA INGRID NATHALYE SANTOS DE ALBUQUERQUE 028***.***-** 1 DEFERIDA NEIF BASTOS VALVERDE 995***.***-** 1 DEFERIDA SARA SAYURI AVILINO HOSAKA 035***.***-** 8 DEFERIDA ANA VITORIA DIAS DE LIMA 072***.***-** 6 INDEFERIDO CANDIDATO NÃO APRESENTOU DOCUMENTAÇÃO EXIGIDA VERONICA FERREIRA BASTOS LIMA 603***.***-** - INDEFERIDO CANDIDATO NÃO APRESENTOU DOCUMENTAÇÃO EXIGIDA ANA MARIA DOS SANTOS SOUZA 603***.***-** 8 INDEFERIDO CANDIDATO NÃO APRESENTOU DOCUMENTAÇÃO EXIGIDA RAQUEL FRANCISCA MACHADO 000***.***-** - INDEFERIDO CANDIDATO NÃO APRESENTOU DOCUMENTAÇÃO EXIGIDA RUITHER ROCHA MOREIRA 998***.***-** 1 INDEFERIDO CANDIDATO NÃO APRESENTOU DOCUMENTAÇÃO EXIGIDA RAILANE RODRIGUES DOS SANTOS 042***.***-** - INDEFERIDO CANDIDATO NÃO APRESENTOU DOCUMENTAÇÃO EM FORMATO EXIGIDO ANA BEATRIZ SOUZA DA SILVA 716***.***-** 1 INDEFERIDO CANDIDATO NÃO APRESENTOU DOCUMENTAÇÃO EXIGIDA RITA DE CASSIA DE PAULA MACHADO TAVARES BARBOSA 607***.***-** 2 INDEFERIDO CANDIDATO NÃO APRESENTOU DOCUMENTAÇÃO EXIGIDA LUIZA DOS SANTOS MARTINS 138***.***-** - INDEFERIDO CANDIDATO NÃO APRESENTOU DOCUMENTAÇÃO EXIGIDA ANA NAIARA BRASILINO DA SILVA 064***.***-** - INDEFERIDO CANDIDATO NÃO APRESENTOU DOCUMENTAÇÃO EXIGIDA NEIF BASTOS VALVERDE 995***.***-** 8 DEFERIDA ADRIANA RODRIGUES RIBEIRO 069***.***-** - INDEFERIDO CANDIDATO NÃO APRESENTOU DOCUMENTAÇÃO EXIGIDA MARIO HERIQUE MORENO DOS SANTOS 019***.***-** 1 DEFERIDA VINÍCIUS RIBEIRO DA SILVA 035***.***-** 1 DEFERIDA THAYANE DE SOUZA SOARES 052***.***-** 1 DEFERIDA THAÍS FÉLIX REIS 054***.***-** 2 INDEFERIDO CANDIDATO NÃO APRESENTOU DOCUMENTAÇÃO EXIGIDA RITA DE CASSIA DE PAULA MACHADO TAVARES BARBOSA 607***.***-** 1 INDEFERIDO CANDIDATO NÃO APRESENTOU DOCUMENTAÇÃO EXIGIDA NAIANNA NADYA SANTOS DE MENESES 042***.***-** 5 INDEFERIDO CANDIDATO NÃO APRESENTOU DOCUMENTAÇÃO EXIGIDA JADE MANSUR DA SILVA 053***.***-** 8 DEFERIDA NATHALIA MEDEIROS LEITE ALEIXO 042***.***-** 1 DEFERIDA ADRIANA CORTES RIBEIRO 841***.***-** 3 DEFERIDA JOSUE OLIVEIRA DAMASCENO 036***.***-** 1 DEFERIDA VINÍCIUS RIBEIRO DA SILVA 035***.***-** 2 DEFERIDA ERIKA SOARES DOS SANTOS 716***.***-** 1 DEFERIDA
  • 5.
    ANA PAULA DASILVA E SILVA 002***.***-** 1 DEFERIDA ADRIANA RODRIGUES RIBEIRO 069***.***-** 1 INDEFERIDO CANDIDATO NÃO APRESENTOU DOCUMENTAÇÃO EXIGIDA SARA JANE NERES SANTOS 066***.***-** 1 INDEFERIDO CANDIDATO NÃO APRESENTOU DOCUMENTAÇÃO EXIGIDA DIEGO HENRIQUE MOURA PIRES GONÇALVES 060***.***-** 1 INDEFERIDO CANDIDATO NÃO APRESENTOU DOCUMENTAÇÃO EXIGIDA VANDERLANE ALVES TEXEIRA 074***.***-** 8 INDEFERIDO CANDIDATO NÃO APRESENTOU DOCUMENTAÇÃO EXIGIDA NATHALY AGUIAR TORRES 044***.***-** 5 DEFERIDA NATHALIA MEDEIROS LEITE ALEIXO 042***.***-** 8 DEFERIDA ELYDA PEREIRA PINTO 045***.***-** - INDEFERIDO CANDIDATO NÃO APRESENTOU DOCUMENTAÇÃO EXIGIDA MATHEUS FELICIANO FIGUEIREDO 066***.***-** 3 DEFERIDO RAIMUNDA MENDES DOS REIS 048***.***-** 1 INDEFERIDO CANDIDATO NÃO APRESENTOU DOCUMENTAÇÃO EXIGIDA JADERSON GONÇALVES -***.***-** - INDEFERIDO CANDIDATO NÃO APRESENTOU DOCUMENTAÇÃO EXIGIDA ANTONIO CARLOS DE SOUZA BRITO 900***.***-** 8 INDEFERIDO CANDIDATO NÃO APRESENTOU DOCUMENTAÇÃO EXIGIDA YURI NASCIMENTO MEDEIROS 077***.***-** 1 INDEFERIDO CANDIDATO NÃO APRESENTOU DOCUMENTAÇÃO EXIGIDA ANDREA FERNANDES FREIRES -***.***-** - INDEFERIDO CANDIDATO NÃO APRESENTOU DOCUMENTAÇÃO EXIGIDA THAIS FELIX REIS 054***.***-** 1 INDEFERIDO CANDIDATO NÃO APRESENTOU DOCUMENTAÇÃO EXIGIDA CLAUDIANY DE FREITAS FERREIRA 024***.***-** 1 INDEFERIDO CANDIDATO NÃO APRESENTOU DOCUMENTAÇÃO EXIGIDA DEVID FERREIRA SANTOS 064***.***-** - INDEFERIDO CANDIDATO NÃO APRESENTOU DOCUMENTAÇÃO EXIGIDA IASMIN JESUS DE SOUZA REIS 154***.***-** 1 INDEFERIDO CANDIDATO NÃO APRESENTOU DOCUMENTAÇÃO EXIGIDA GABRIELA SOARES DA COSTA 023***.***-** 7 INDEFERIDO CANDIDATO NÃO APRESENTOU DOCUMENTAÇÃO EXIGIDA JOSEANE ALVES DE SOUZA OLIVEIRA 070***.***-** 1 INDEFERIDO CANDIDATO NÃO APRESENTOU DOCUMENTAÇÃO EXIGIDA MONICA DE SOUSA OLIVEIRA 037***.***-** 5 INDEFERIDO CANDIDATO NÃO APRESENTOU DOCUMENTAÇÃO EXIGIDA RAMON BATISTA DE SOUSA 017***.***-** 1 DEFERIDA NATHALY AGUIAR TORRES 04***.***-** 1 DEFERIDA ELAINE DOS SANTOS DA ROCHA 005***.***-** 1 DEFERIDA BRUNA SANTOS DE JESUS 097***.***-** 1 INDEFERIDO CANDIDATO NÃO APRESENTOU DOCUMENTAÇÃO EXIGIDA MARCELO CLAUDINO DOS SANTOS 00***.***-** 1 DEFERIDA SILVANIA MARQUES -***.***-** - INDEFERIDO CANDIDATO NÃO APRESENTOU DOCUMENTAÇÃO EXIGIDA LEONARDO AMARAL DA SILVA 553***.***-** 5 INDEFERIDO CANDIDATO NÃO APRESENTOU DOCUMENTAÇÃO EXIGIDA
  • 6.
    ARISTÓTOLES OLIVEIRA -***.***-**- INDEFERIDO CANDIDATO NÃO APRESENTOU DOCUMENTAÇÃO EM FORMATO EXIGIDO THIAGO DANIEL FERNANDO DIAS DE SOUSA PIRES 016***.***-** - INDEFERIDO CANDIDATO NÃO APRESENTOU DOCUMENTAÇÃO EXIGIDA TATIANE DE SOUZA PEREIRA 038***.***-** 1 DEFERIDA TATIANE DE SOUZA PEREIRA 038***.***-** 6 DEFERIDA ADRIANA FRANCO DE OLIVEIRA 024***.***-** 1 INDEFERIDO CANDIDATO NÃO APRESENTOU DOCUMENTAÇÃO EXIGIDA JEAN CARLOS FEITOSA SILVA 049***.***-** 1 INDEFERIDO CANDIDATO NÃO APRESENTOU DOCUMENTAÇÃO EXIGIDA PEDRO HENRIQUE OLIVEIRA DE ALCANTARA 058***.***-** 1 DEFERIDA ANA PAULA DA ROCHA SANTOS 072***.***-** 5 INDEFERIDO CANDIDATO NÃO APRESENTOU DOCUMENTAÇÃO EXIGIDA MANUEL AGNELO SILVA MOURAO 917***.***-** 1 INDEFERIDO CANDIDATO NÃO APRESENTOU DOCUMENTAÇÃO EXIGIDA RAMON BATISTA DE SOUSA 017***.***-** 2 DEFERIDA EDUARDO NASCIMENTO MEDEIROS -***.***-** - INDEFERIDO CANDIDATO NÃO APRESENTOU DOCUMENTAÇÃO EXIGIDA ELIENE DE SOUSA PEREIRA 942***.***-** 1 INDEFERIDO ADRIANA FRANCO DE OLIVEIRA 024***.***-** 2 INDEFERIDO CAMILA ANDRESSA ALVES SILVA 015***.***-** 1 DEFERIDA ALINE STEPHANY SALES DE BRITO DA SILVA 043***.***-** 1 INDEFERIDO CANDIDATO NÃO APRESENTOU DOCUMENTAÇÃO EXIGIDA HELOISA MARIA QUEIROZ DE CASTRO 708***.***-** - INDEFERIDO CANDIDATO NÃO APRESENTOU DOCUMENTAÇÃO EXIGIDA ROSANGELA ISRAEL DE SOUSA 647***.***-** 1 DEFERIDA ADRIANA MOREIRA SOUZA DO NASCIMENTO 970***.***-** 1 INDEFERIDO CANDIDATO NÃO APRESENTOU DOCUMENTAÇÃO EXIGIDA NUBIA CARDOSO DO AMARAL 030***.***-** 8 INDEFERIDO CANDIDATO NÃO APRESENTOU DOCUMENTAÇÃO EXIGIDA LAIS SILVA SANTOS 070***.***-** - INDEFERIDO CANDIDATO NÃO APRESENTOU DOCUMENTAÇÃO EXIGIDA RAQUEL BRITO DE SOUZA 004***.***-** 1 INDEFERIDO CANDIDATO NÃO APRESENTOU DOCUMENTAÇÃO EXIGIDA MARCIA REGINA DE ARAUJO ELIAS 619***.***-** - INDEFERIDO CANDIDATO NÃO APRESENTOU DOCUMENTAÇÃO EXIGIDA ELISSON NASCIMENTO DE OLIVEIRAS 960***.***-** - DEFERIDA LARISSA ALVES COSTA 039***.***-** 2 DEFERIDA YASMIN RODRIGUES MARIANO 076***.***-** 8 INDEFERIDO CANDIDATO NÃO APRESENTOU DOCUMENTAÇÃO EXIGIDA TAYLINNE MACHADO DOS SANTOS MACEDO 032***.***-** - INDEFERIDO CANDIDATO NÃO APRESENTOU DOCUMENTAÇÃO EXIGIDA QUEZIA DOS SANTOS SOUZA 075***.***-** 1 INDEFERIDO CANDIDATO NÃO APRESENTOU DOCUMENTAÇÃO EXIGIDA ANTONIO SILVA PEREIRA 896***.***-** 6 INDEFERIDO CANDIDATO NÃO APRESENTOU DOCUMENTAÇÃO EXIGIDA
  • 7.
    YASMIN RODRIGUES MARIANO076***.***-** 1 INDEFERIDO CANDIDATO NÃO APRESENTOU DOCUMENTAÇÃO EXIGIDA JOSEFA MARIA DA SILVA 879***.***-** 6 INDEFERIDO CANDIDATO NÃO APRESENTOU DOCUMENTAÇÃO EXIGIDA CLAUDENIR BEZERRA DOS SANTOS 723***.***-** 1 INDEFERIDO CANDIDATO NÃO APRESENTOU DOCUMENTAÇÃO EXIGIDA WILHIAM NUNES FERREIRA 028***.***-** 3 INDEFERIDO CANDIDATO NÃO APRESENTOU DOCUMENTAÇÃO EXIGIDA ROSANGELA DE SOUZA GOMES 814***.***-** 7 INDEFERIDO CANDIDATO NÃO APRESENTOU DOCUMENTAÇÃO EXIGIDA DANIEL FERNANDO DIAS DE SOUSA PIRES 016***.***-** 1 INDEFERIDO CANDIDATO NÃO APRESENTOU DOCUMENTAÇÃO EXIGIDA ALESSANDRO DE JESUS PEDROSO 043***.***-** 1 INDEFERIDO CANDIDATO NÃO APRESENTOU DOCUMENTAÇÃO EXIGIDA LUCIANA MARÇÃO NUNES 009***.***-** - INDEFERIDO CANDIDATO NÃO APRESENTOU DOCUMENTAÇÃO EXIGIDA QUEZIA DOS SANTOS SOUZA 075***.***-** 6 INDEFERIDO CANDIDATO NÃO APRESENTOU DOCUMENTAÇÃO EXIGIDA MARCELO LINHARES ARAUJO 063***.***-** 1 INDEFERIDO CANDIDATO NÃO APRESENTOU DOCUMENTAÇÃO EXIGIDA ELISANGELA FERREIRA DE SOUSA 716***.***-** 4 INDEFERIDO CANDIDATO NÃO APRESENTOU DOCUMENTAÇÃO EXIGIDA KAROLAYNE AGRA DE VASCONCELOS 056***.***-** 8 INDEFERIDO CANDIDATO NÃO APRESENTOU DOCUMENTAÇÃO EXIGIDA WESLEY MARQUES MOREIRA 700***.***-** 1 INDEFERIDO CANDIDATO (A) NÃO APRESENTOU DOCUMETAÇÃO EXIGIDA EM PDF(Imagens). O candidato também não apresentou documento comprobatório da isenção de acordo com a hipótese escolhida. WESLEY MARQUES MOREIRA 700***.***-** INDEFERIDO CANDIDATO (A) NÃO APRESENTOU DOCUMETAÇÃO EXIGIDA EM PDF(Imagens). O candidato também não apresentou documento comprobatório da isenção de acordo com a hipótese escolhida. JAQUELINE DOS SANTOS BASILIO 062***.***-** 6 INDEFERIDO CANDIDATO (A) NÃO APRESENTOU DOCUMETAÇÃO EXIGIDA. O candidato não apresentou declaração expedida pelo GDH que comprove recebimento de beneficio de Programa Social de complementação ou suplementação de renda do GDH.(Prato Cheio e IDF social). RENAN ALVES BRUZACA 010***.***-** 5 DEFERIDO ROSANGELA MENDOÇA FERNANDES 012***.***-** 6 INDEFERIDO CANDIDATO (A) NÃO APRESENTOU DOCUMETAÇÃO EXIGIDA. O candidato não apresentou declaração expedida pelo GDH que comprove recebimento de beneficio de Programa Social de complementação ou suplementação de renda do GDH.(Prato Cheio e IDF social). MILENE ALVES DA SILVA 929***.***-** 2 INDEFERIDO CANDIDATO (A) NÃO APRESENTOU DOCUMETAÇÃO EXIGIDA(Formulario desatualizado). O candidato não apresentou certidão expedida pelo GDH que comprove recebimento de beneficio de Programa Social de complementação ou suplementação de renda do GDH. MILENE ALVES DA SILVA 929***.***-** 8 INDEFERIDO CANDIDATO (A) NÃO APRESENTOU DOCUMETAÇÃO EXIGIDA(Formulario desatualizado). O candidato não apresentou certidão expedida pelo GDH que comprove recebimento de beneficio de Programa Social de complementação ou suplementação de renda do GDH.
  • 8.
    MERIAN FONSECA COSTAPEREIRA 040***.***-** 1 DEFERIDO PAULO DE OLIVEIRA 409***.***-** 6 INDEFERIDO CANDIDATO (A) NÃO APRESENTOU DOCUMETAÇÃO EXIGIDA. O candidato não apresentou declaração expedida pelo GDH que comprove recebimento de beneficio de Programa Social de complementação ou suplementação de renda do GDH.(Prato Cheio e IDF social). EMMILY JANE DA SILVA DE CAMPOS 043***.***-** 1 INDEFERIDO CANDIDATO (A) NÃO APRESENTOU DOCUMETAÇÃO EXIGIDA. O candidato não apresentou declaração expedida pelo GDH que comprove recebimento de beneficio de Programa Social de complementação ou suplementação de renda do GDH.(Prato Cheio e IDF social). LETICIA GABRIELE CAVALCANTE MARTINS 012***.***-** 1 INDEFERIDO CANDIDATO (A) NÃO APRESENTOU DOCUMENTAÇÃO EXIGIDA EM PDF. ( Declarações em imagem) LUZAR MENDES NOUGUEIRA 711***.***-** 1 DEFERIDO RAFAELA BARBOSA LEMOS 034***.***-** 1 INDEFERIDO CANDIDATO (A) NÃO APRESENTOU DOCUMETAÇÃO EXIGIDA(Formulario desatualizado). O candidato não apresentou certidão expedida pelo GDH que comprove recebimento de beneficio de Programa Social de complementação ou suplementação de renda do GDH. CLAUDIA PIOLA DE OLIVEIRA 001***.***-** 8 INDEFERIDO CANDIDATO (A) NÃO APRESENTOU DOCUMENTAÇÃO EXIGIDA EM PDF, E PREENCHEU FORMULARIO DESATUALIZADO. LORRANE DE ALBURQUERQUE DOS SANTOS 068***.***-** 3 INDEFERIDO CANDIDATO (A) NÃO APRESENTOU DOCUMETAÇÃO EXIGIDA. O candidato não apresentou declaração expedida pelo GDH que comprove recebimento de beneficio de Programa Social de complementação ou suplementação de renda do GDH.(Prato Cheio e IDF social). LUZAR MENDES NOUGUEIRA 711***.***-** 8 DEFERIDO VANDREANE ISMENIA BRAGA 936***.***-** 1 DEFERIDO SYMONE ELOY BARRETO 911***.***-** 1 INDEFERIDO CANDIDATO (A) NÃO APRESENTOU DOCUMENTAÇÃO EXIGIDA EM PDF. ( Declarações em imagem) SUSANA SANTOS SOUSA 040***.***-** 1 INDEFERIDO CANDIDATO (A) NÃO APRESENTOU DOCUMETAÇÃO EXIGIDA(Formulario desatualizado). O candidato não apresentou certidão expedida pelo GDH que comprove recebimento de beneficio de Programa Social de complementação ou suplementação de renda do GDH. ANA CAROLINA LANDIM TEIXEIRENSE DA COSTA FERREIRA 055***.***-** 1 DEFERIDO MARCOS BRITO LISBOA 039***.***-** 2 INDEFERIDO CANDIDATO (A) NÃO APRESENTOU DOCUMETAÇÃO EXIGIDA. O candidato não apresentou declaração expedida pelo GDH que comprove recebimento de beneficio de Programa Social de complementação ou suplementação de renda do GDH.(Prato Cheio e IDF social). MERIAN FONSECA COSTA PEREIRA 040***.***-** 8 DEFERIDO CLAUDIA PIOLA DE OLIVEIRA 001***.***-** 1 INDEFERIDO CANDIDATO (A) NÃO APRESENTOU DOCUMENTAÇÃO EXIGIDA EM PDF, E PREENCHEU FORMULARIO DESATUALIZADO. VANDREANE ISMENIA BRAGA 936***.***-** 7 DEFERIDO
  • 9.
    VANESSARAFAELLA CAMPOS 015***.***-**1 DEFERIDO VANESSARAFAELLA CAMPOS 015***.***-** 7 DEFERIDO THAÍS FERREIRA MARTINS 052***.***-** 7 INDEFERIDO CANDIDATO (A) NÃO APRESENTOU DOCUMETAÇÃO EXIGIDA. O candidato não apresentou declaração expedida pelo GDH que comprove recebimento de beneficio de Programa Social de complementação ou suplementação de renda do GDH.(Prato Cheio e IDF social). HOTTOR LEITE MEDEIROS 070***.***-** 1 DEFERIDO ANTÔNIO JOAQUIM DA SILVA 886***.***-** 1 INDEFERIDO CANDIDATO (A) NÃO APRESENTOU DOCUMETAÇÃO EXIGIDA. O candidato não apresentou declaração expedida pelo GDH que comprove recebimento de beneficio de Programa Social de complementação ou suplementação de renda do GDH.(Prato Cheio e IDF social). LORRAINE PEREIRA NOBRE 004***.***-** 1 DEFERIDO LORRAINE PEREIRA NOBRE 004***.***-** 5 DEFERIDO SAMUEL SIQUEIRA DE LIMA 008***.***-** 8 INDEFERIDO CANDIDATO (A) NÃO APRESENTOU DOCUMETAÇÃO EXIGIDA. O candidato não apresentou declaração expedida pelo GDH que comprove recebimento de beneficio de Programa Social de complementação ou suplementação de renda do GDH.(Prato Cheio e IDF social). JOSELIA DE SOUZA GOMES 952***.***-** 1 DEFERIDO MAICON DOUGLAS SILVA DE ARAUJO 099***.***-** 6 INDEFERIDO CANDIDATO (A) NÃO APRESENTOU DOCUMETAÇÃO EXIGIDA. O candidato não apresentou declaração expedida pelo GDH que comprove recebimento de beneficio de Programa Social de complementação ou suplementação de renda do GDH.(Prato Cheio e IDF social). MICHELLE CRISTINE PEREIRA MOURA 718***.***-** 1 DEFERIDO JOSELIA DE SOUZA GOMES 952***.***-** 2 DEFERIDO JULIANA GABRIELA DIAS DA SILVA COSTA 057***.***-** 1 DEFERIDO JULIANA GABRIELA DIAS DA SILVA COSTA 057***.***-** 7 INDEFERIDO CANDIDATO (A) NÃO APRESENTOU O FORMULARIO PARA CADA PEDIDO DE ISENÇÃO DE TAXA UM E-MAIL PARA CADA CARGO. SARA DA VITORIA MEIRELES 505***.***-** 2 INDEFERIDO CANDIDATO (A) NÃO APRESENTOU DOCUMETAÇÃO EXIGIDA. O candidato não apresentou declaração expedida pelo GDH que comprove recebimento de beneficio de Programa Social de complementação ou suplementação de renda do GDH.(Prato Cheio e IDF social). POLYANE SILVA RIBEIRO FERREIRA 041***.***-** 1 DEFERIDO SYMONE ELOY BARRETO 911***.***-** 8 INDEFERIDO CANDIDATO (A) NÃO APRESENTOU DOCUMENTAÇÃO EXIGIDA EM PDF. ( Declarações em imagem) LEILA DA GLORIA DOS SANTOS 056***.***-** 1 DEFERIDO LEILA DA GLORIA DOS SANTOS 056***.***-** 5 DEFERIDO MEIRE ENE PEREIRA FOLHA 797***.***-** 1 DEFERIDO
  • 10.
    ISABELLA EDUARDA DASILVA RIBEIRO 069***.***-** 1 INDEFERIDO CANDIDATO (A) NÃO APRESENTOU DOCUMETAÇÃO EXIGIDA. O candidato não apresentou declaração expedida pelo GDH que comprove recebimento de beneficio de Programa Social de complementação ou suplementação de renda do GDH.(Prato Cheio e IDF social). RAYZA LEITÃO DA CUNHA 075***.***-** 1 DEFERIDO KAIQUE LEITÃO DA CUNHA 075***.***-** 1 DEFERIDO ESTHEFANY PEREIRA SOARES 067***.***-** 1 INDEFERIDO CANDIDATO (A) NÃO APRESENTOU DOCUMETAÇÃO EXIGIDA. O candidato não apresentou declaração expedida pelo GDH que comprove recebimento de beneficio de Programa Social de complementação ou suplementação de renda do GDH.(Prato Cheio e IDF social). RAIANE AMERICA FERREIRA 070***.***-** 1 INDEFERIDO CANDIDATO (A) NÃO APRESENTOU DOCUMETAÇÃO EXIGIDA. O candidato não apresentou declaração expedida pelo GDH que comprove recebimento de beneficio de Programa Social de complementação ou suplementação de renda do GDH.(Prato Cheio e IDF social). MEIRE ENE PEREIRA FOLHA 797***.***-** 5 DEFERIDO VILENE BORGES DA SILVA 016***.***-** 1 INDEFERIDO CANDIDATO (A) NÃO APRESENTOU DOCUMETAÇÃO EXIGIDA. O candidato não apresentou documento comprobatório da isenção de acordo com a hipótese escolhida (laudo Medico). RAIANE AMERICA FERREIRA 070***.***-** 6 INDEFERIDO CANDIDATO (A) NÃO APRESENTOU DOCUMETAÇÃO EXIGIDA. O candidato não apresentou declaração expedida pelo GDH que comprove recebimento de beneficio de Programa Social de complementação ou suplementação de renda do GDH.(Prato Cheio e IDF social). URICLEIA SILVA DE ALMEIDA 027***.***-** 1 INDEFERIDO CANDIDATO (A) NÃO APRESENTOU DOCUMETAÇÃO EXIGIDA(Formulario desatualizado). O candidato não apresentou certidão expedida pelo GDH que comprove recebimento de beneficio de Programa Social de complementação ou suplementação de renda do GDH. MARIA DA CONCEIÇÃO FELIX DE AMORIM 051***.***-** 7 DEFERIDO JESSICA SHAYANE DE OLIVEIRA MELO 047***.***-** - INDEFERIDO CANDIDATO (A) NÃO APRESENTOU DOCUMETAÇÃO EXIGIDA. O candidato não apresentou documento comprobatório da isenção de acordo com a hipótese escolhida e não preencheu o codigo do cargo. ANA LUISA PESSANHA PEREIRA 014***.***-** 1 INDEFERIDO CANDIDATO (A) NÃO APRESENTOU DOCUMENTAÇÃO EXIGIDA EM PDF. ( Declarações em imagem) ISLAYLE PATRICIA PEREIRA CAMPOS 029***.***-** 1 DEFERIDO TAUANA DOS SANTOS LUCENA 033***.***-** 4 INDEFERIDO CANDIDATO (A) NÃO APRESENTOU DOCUMETAÇÃO EXIGIDA. O candidato não apresentou declaração expedida pelo GDH que comprove recebimento de beneficio de Programa Social de complementação ou suplementação de renda do GDH.(Prato Cheio e IDF social).
  • 11.
    MAURICEIA FERREIRA DASILVA 029***.***-** 2 INDEFERIDO CANDIDATO (A) NÃO APRESENTOU DOCUMETAÇÃO EXIGIDA(Formulario desatualizado). O candidato não apresentou certidão expedida pelo GDH que comprove recebimento de beneficio de Programa Social de complementação ou suplementação de renda do GDH. FRANCILEUDA TRAJANO DA SILVA 017***.***-** 1 DEFERIDO MARIANA MAGALHÃES 046***.***-** 6 INDEFERIDO CANDIDATO (A) NÃO APRESENTOU DOCUMETAÇÃO EXIGIDA. O candidato não apresentou declaração expedida pelo GDH que comprove recebimento de beneficio de Programa Social de complementação ou suplementação de renda do GDH.(Prato Cheio e IDF social). HENRIQUE ROSARIO DE OLIVEIRA 068***.***-** - INDEFERIDO CANDIDATO (A) NÃO APRESENTOU DOCUMENTAÇÃO EXIGIDA. ( Formulario atualizado devidamente preenchido e ASSINADO) MARCOS ROBERTO NASCIMENTO SOUSA 058***.***-** 1 INDEFERIDO CANDIDATO (A) NÃO APRESENTOU DOCUMETAÇÃO EXIGIDA(Formulario desatualizado). O candidato não apresentou certidão expedida pelo GDH que comprove recebimento de beneficio de Programa Social de complementação ou suplementação de renda do GDH. ISLAYLE PATRICIA PEREIRA CAMPOS 029***.***-** 8 DEFERIDO DANIELA DIAS DE SOUZA 012***.***-** 1 INDEFERIDO CANDIDATO (A) NÃO APRESENTOU DOCUMETAÇÃO EXIGIDA(Formulario desatualizado). O candidato não apresentou certidão expedida pelo GDH que comprove recebimento de beneficio de Programa Social de complementação ou suplementação de renda do GDH. GLAUCIA MONTEIRO AMANCIO MARQUES 026***.***-** 1 DEFERIDO TAYANE GRAZIELE GAMA COELHO 046***.***-** 7 DEFERIDO TAUANA DOS SANTOS LUCENA 033***.***-** 1 INDEFERIDO CANDIDATO (A) NÃO APRESENTOU DOCUMETAÇÃO EXIGIDA. O candidato não apresentou declaração expedida pelo GDH que comprove recebimento de beneficio de Programa Social de complementação ou suplementação de renda do GDH.(Prato Cheio e IDF social). IZA LUANA BORGES DE MATOS 053***.***-** 2 INDEFERIDO CANDIDATO (A) NÃO APRESENTOU DOCUMETAÇÃO EXIGIDA(Formulario desatualizado). O candidato não apresentou certidão expedida pelo GDH que comprove recebimento de beneficio de Programa Social de complementação ou suplementação de renda do GDH. EDNA MARIA GRAÇA MAGALHÃES 744***.***-** 5 INDEFERIDO CANDIDATO (A) NÃO APRESENTOU DOCUMETAÇÃO EXIGIDA. O candidato não apresentou declaração expedida pelo GDH que comprove recebimento de beneficio de Programa Social de complementação ou suplementação de renda do GDH.(Prato Cheio e IDF social). THAUAN DOS SANTOS BATISTA 023***.***-** 1 INDEFERIDO CANDIDATO (A) NÃO APRESENTOU DOCUMENTAÇÃO EXIGIDA EM PDF. ( Declarações em imagem)
  • 12.
    MAURICEIA FERREIRA DASILVA 029***.***-** 2 INDEFERIDO CANDIDATO (A) NÃO APRESENTOU DOCUMETAÇÃO EXIGIDA. O candidato não apresentou declaração expedida pelo GDH que comprove recebimento de beneficio de Programa Social de complementação ou suplementação de renda do GDH.(Prato Cheio e IDF social). MARIA DE FATIMA PEREIRA RAMOS 588***.***-** 1 DEFERIDO ANA RITA MARQUES MIRANDA 049***.***-** 5 INDEFERIDO CANDIDATO (A) NÃO APRESENTOU DOCUMETAÇÃO EXIGIDA. O candidato não apresentou documento comprobatório da isenção de acordo com a hipótese escolhida. GISELE MOURA FRANÇA 005***.***-** 8 INDEFERIDO CANDIDATO (A) NÃO APRESENTOU DOCUMETAÇÃO EXIGIDA. O candidato não apresentou declaração expedida pelo GDH que comprove recebimento de beneficio de Programa Social de complementação ou suplementação de renda do GDH.(Prato Cheio e IDF social). MARIA DE FATIMA PEREIRA RAMOS 588***.***-** 5 DEFERIDO EDNA MARIA GRAÇA MAGALHÃES 744***.***-** 1 INDEFERIDO CANDIDATO (A) NÃO APRESENTOU DOCUMETAÇÃO EXIGIDA. O candidato não apresentou declaração expedida pelo GDH que comprove recebimento de beneficio de Programa Social de complementação ou suplementação de renda do GDH.(Prato Cheio e IDF social). IVALDETE BARBOZA DA SILVA 398***.***-** 1 INDEFERIDO CANDIDATO (A) NÃO APRESENTOU DOCUMETAÇÃO EXIGIDA EM PDF. O candidato também não apresentou documento comprobatório da isenção de acordo com a hipótese escolhida. ANA CAROLINA LISBOA BORBA 666***.***-** 1 INDEFERIDO CANDIDATO (A) NÃO APRESENTOU DOCUMETAÇÃO EXIGIDA. O candidato não apresentou declaração expedida pelo GDH que comprove recebimento de beneficio de Programa Social de complementação ou suplementação de renda do GDH.(Prato Cheio e IDF social). KARLA CRISTINA PESSOA DA SILVA 564***.***-** 1 INDEFERIDO CANDIDATO (A) NÃO APRESENTOU DOCUMENTAÇÃO EXIGIDA EM PDF. ( Declarações em imagem) ZILDA FERNANDES DE SOUZA 013***.***-** 8 INDEFERIDO CANDIDATO (A) NÃO APRESENTOU DOCUMETAÇÃO EXIGIDA. O candidato não apresentou declaração expedida pelo GDH que comprove recebimento de beneficio de Programa Social de complementação ou suplementação de renda do GDH.(Prato Cheio e IDF social). IRAN ALVES MAGALHÃES DOS SANTOS 806***.***-** - INDEFERIDO CANDIDATO (A) NÃO APRESENTOU DOCUMETAÇÃO EXIGIDA. O candidato não preencheu o codigo do cargo. JULIANA DE MELO MARTINS DE ALMEIDA 707***.***-** 1 INDEFERIDO CANDIDATO (A) NÃO APRESENTOU DOCUMENTAÇÃO EXIGIDA EM PDF. ( RG) ELAINE VIEIRA DA SILVA 055***.***-** 1 INDEFERIDO CANDIDATO (A) NÃO APRESENTOU DOCUMETAÇÃO EXIGIDA. O candidato não apresentou declaração expedida pelo GDH que comprove recebimento de beneficio de Programa Social de complementação ou suplementação de renda do GDH.(Prato Cheio e IDF social).
  • 13.
    KETI DE JESUSSOUSA 000***.***-** 1 INDEFERIDO CANDIDATO (A) NÃO APRESENTOU DOCUMETAÇÃO EXIGIDA. O candidato não apresentou declaração expedida pelo GDH que comprove recebimento de beneficio de Programa Social de complementação ou suplementação de renda do GDH.(Prato Cheio e IDF social). JULIANE ARAUJO DE OLIVEIRA 059***.***-** 7 DEFERIDO ELEÇANDRO RODRIGUES SANTOS 932***.***-** 1 INDEFERIDO CANDIDATO (A) NÃO APRESENTOU DOCUMENTAÇÃO EXIGIDA EM PDF. ( Declarações em imagem) VANESSA GONÇALVES MONTEIRO 702***.***-** 8 INDEFERIDO CANDIDATO (A) NÃO APRESENTOU DOCUMENTAÇÃO EXIGIDA EM PDF. ( Declarações em imagem) IZA LUANA BORGES DE MATOS 053***.***-** 1 INDEFERIDO CANDIDATO (A) NÃO APRESENTOU DOCUMETAÇÃO EXIGIDA(Formulario desatualizado). O candidato não apresentou certidão expedida pelo GDH que comprove recebimento de beneficio de Programa Social de complementação ou suplementação de renda do GDH. ELAINE VIEIRA DA SILVA 055***.***-** 2 INDEFERIDO CANDIDATO (A) NÃO APRESENTOU DOCUMETAÇÃO EXIGIDA. O candidato não apresentou declaração expedida pelo GDH que comprove recebimento de beneficio de Programa Social de complementação ou suplementação de renda do GDH.(Prato Cheio e IDF social). HENRIQUE ROSARIO DE OLIVEIRA 068***.***-** 1 INDEFERIDO CANDIDATO (A) NÃO APRESENTOU DOCUMETAÇÃO EXIGIDA. O candidato não apresentou declaração expedida pelo GDH que comprove recebimento de beneficio de Programa Social de complementação ou suplementação de renda do GDH.(Prato Cheio e IDF social). HENRIQUE ROSARIO DE OLIVEIRA 068***.***-** 6 INDEFERIDO CANDIDATO (A) NÃO APRESENTOU DOCUMETAÇÃO EXIGIDA. O candidato não apresentou declaração expedida pelo GDH que comprove recebimento de beneficio de Programa Social de complementação ou suplementação de renda do GDH.(Prato Cheio e IDF social). EDINEIA VIEIRA DA SILVA 708***.***-** 6 INDEFERIDO CANDIDATO (A) NÃO APRESENTOU DOCUMETAÇÃO EXIGIDA. O candidato não apresentou declaração expedida pelo GDH que comprove recebimento de beneficio de Programa Social de complementação ou suplementação de renda do GDH.(Prato Cheio e IDF social). THAIS APARECIDA DE SOUSA 017***.***-** 1 DEFERIDO MARILIA ALVES DE MORAIS 052***.***-** 6 INDEFERIDO CANDIDATO (A) NÃO APRESENTOU DOCUMETAÇÃO EXIGIDA. O candidato não apresentou documento comprobatório da isenção de acordo com a hipótese escolhida (laudo Medico). TIAGO BATISTA BEZERRA DE ALENCAR 725***.***-** 1 DEFERIDO THAYSA OLIVEIRA DE CARVALHO 056***.***-** - INDEFERIDO CANDIDATO (A) NÃO APRESENTOU DOCUMETAÇÃO EXIGIDA(Formulario desatualizado). O candidato não apresentou certidão expedida pelo GDH que comprove recebimento de beneficio de Programa Social de complementação ou suplementação de renda do GDH.
  • 14.
    MARIANA BRITO CAVALHIER054***.***-** 1 INDEFERIDO CANDIDATO (A) NÃO APRESENTOU DOCUMETAÇÃO EXIGIDA. O candidato não apresentou declaração expedida pelo GDH que comprove recebimento de beneficio de Programa Social de complementação ou suplementação de renda do GDH.(Prato Cheio e IDF social). URICLEIA SILVA DE ALMEIDA 027***.***-** 2 INDEFERIDO CANDIDATO (A) NÃO APRESENTOU DOCUMENTAÇÃO EXIGIDA EM PDF. ( Declarações em imagem) EDNA DIAS VIEIRA 976***.***-** 8 INDEFERIDO CANDIDATO (A) NÃO APRESENTOU DOCUMETAÇÃO EXIGIDA. O candidato não apresentou declaração expedida pelo GDH que comprove recebimento de beneficio de Programa Social de complementação ou suplementação de renda do GDH.(Prato Cheio e IDF social). MARIA VERÔNICA DE OLIVEIRA 741***.***-** - INDEFERIDO CANDIDATO (A) NÃO APRESENTOU DOCUMENTAÇÃO EXIGIDA EM PDF E NEM FORMULARIO ATUALIZADOPREENCHIDO E DEVIDAMENTE ASSINADO. JOSIMARIO SANTANA DE SILVA 019***.***-** 7 INDEFERIDO CANDIDATO (A) NÃO APRESENTOU DOCUMETAÇÃO EXIGIDA. O candidato não apresentou documento comprobatório da isenção de acordo com a hipótese escolhida (CADUNICO). HYARA LUIZ DAMASCENA BARROS 026***.***-** 1 INDEFERIDO CANDIDATO (A) NÃO APRESENTOU DOCUMENTAÇÃO EXIGIDA. (RG) MARIZA SANTOS NUNES 024***.***-** 1 INDEFERIDO CANDIDATO (A) NÃO APRESENTOU DOCUMETAÇÃO EXIGIDA. O candidato não apresentou o formulário atualizado devidamente preenchido e ASSINADO. JULIANA DE MELO MARTINS DE ALMEIDA 707***.***-** 1 DEFERIDO VIVIANE DOS SANTOS MARQUES 037***.***-** 1 INDEFERIDO CANDIDATO (A) NÃO APRESENTOU DOCUMENTAÇÃO EXIGIDA EM PDF. ( Declarações em imagem) KARINA SENA DA SILVA 050***.***-** 7 INDEFERIDO CANDIDATO (A) NÃO APRESENTOU DOCUMETAÇÃO EXIGIDA. O candidato não apresentou declaração expedida pelo GDH que comprove recebimento de beneficio de Programa Social de complementação ou suplementação de renda do GDH.(Prato Cheio e IDF social). HYARA LUIZ DAMASCENA BARROS 026***.***-** 8 INDEFERIDO CANDIDATO (A) NÃO APRESENTOU DOCUMENTAÇÃO EXIGIDA. (RG) MICHELLE ALINE SOUZA DE MOURA 022***.***-** 2 DEFERIDO MARIANA BRITO CAVALHIER 054***.***-** 8 INDEFERIDO CANDIDATO (A) NÃO APRESENTOU DOCUMETAÇÃO EXIGIDA. O candidato não apresentou declaração expedida pelo GDH que comprove recebimento de beneficio de Programa Social de complementação ou suplementação de renda do GDH.(Prato Cheio e IDF social). MARILENE DE BRITO CORDEIRO 461***.***-** 2 DEFERIDO JOSCIELLE SOARES DE AMORIM FERNANDIS RIBEIRO 034***.***-** 8 DEFERIDO CINTHIA RAQUEL GOMES DA SILVA 034***.***-** 2 DEFERIDO HYARA LUIZ DAMASCENA BARROS 026***.***-** 8 DEFERIDO HYARA LUIZ DAMASCENA BARROS 026***.***-** 1 DEFERIDO
  • 15.
    LEANDRO DE JESUSFERREIRA 086***.***-** 2 INDEFERIDO CANDIDATO (A) NÃO APRESENTOU DOCUMETAÇÃO EXIGIDA. O candidato não apresentou declaração expedida pelo GDH que comprove recebimento de beneficio de Programa Social de complementação ou suplementação de renda do GDH.(Prato Cheio e IDF social). VICTOR VOGADO GOMES DE ALCANTARA 016***.***-** 1 DEFERIDO JOSCIELLE DE AMORIM VIEIRA 034***.***-** 1 DEFERIDO MARIA TELMA RODRIGUES 329***.***-** 5 INDEFERIDO CANDIDATO (A) NÃO APRESENTOU DOCUMETAÇÃO EXIGIDA. O candidato não apresentou declaração expedida pelo GDH que comprove recebimento de beneficio de Programa Social de complementação ou suplementação de renda do GDH.(Prato Cheio e IDF social). FABRICIA SANTOS DE ALMEIDA 056***.***-** 5 DEFERIDO LILIANE CORREIA AGNELO 111***.***-** 8 INDEFERIDO CANDIDATO (A) NÃO APRESENTOU DOCUMETAÇÃO EXIGIDA(Formulario desatualizado). O candidato não apresentou certidão expedida pelo GDH que comprove recebimento de beneficio de Programa Social de complementação ou suplementação de renda do GDH. MARCO ANTÔNIO VIEIRA JUNIOR 036***.***-** 1 DEFERIDO KARINA CASTRO DE ANDRADE 942***.***-** 1 DEFERIDO ELSABETH CARDOSO DE MENEZES 619***.***-** 1 INDEFERIDO CANDIDATO (A) NÃO APRESENTOU DOCUMETAÇÃO EXIGIDA. O candidato não apresentou declaração expedida pelo GDH que comprove recebimento de beneficio de Programa Social de complementação ou suplementação de renda do GDH.(Prato Cheio e IDF social). LANAYA RIBEIRO COELHO 047***.***-** 1 INDEFERIDO CANDIDATO (A) NÃO APRESENTOU DOCUMETAÇÃO EXIGIDA. O candidato não apresentou declaração expedida pelo GDH que comprove recebimento de beneficio de Programa Social de complementação ou suplementação de renda do GDH.(Prato Cheio e IDF social). SILVANA RODRIGUES DE SOUSA 907***.***-** 7 INDEFERIDO CANDIDATO (A) NÃO APRESENTOU DOCUMETAÇÃO EXIGIDA. O candidato não apresentou declaração expedida pelo GDH que comprove recebimento de beneficio de Programa Social de complementação ou suplementação de renda do GDH.(Prato Cheio e IDF social). GABRIEL DE OLIVEIRA PERREIRA 729***.***-** 8 INDEFERIDO CANDIDATO (A) NÃO APRESENTOU DOCUMETAÇÃO EXIGIDA. O candidato não apresentou documento comprobatório da isenção de acordo com a hipótese escolhida (laudo Medico). EMMANUELY NUNES COSTA 074***.***-** 1 DEFERIDO LANAYA RIBEIRO COELHO 047***.***-** 3 INDEFERIDO CANDIDATO (A) NÃO APRESENTOU DOCUMETAÇÃO EXIGIDA. O candidato não apresentou declaração expedida pelo GDH que comprove recebimento de beneficio de Programa Social de complementação ou suplementação de renda do GDH.(Prato Cheio e IDF social).
  • 16.
    MARIA DAS VIRGENSOLIVEIRA DOS SANTOS 618***.***-** - INDEFERIDO CANDIDATO (A) NÃO APRESENTOU DOCUMETAÇÃO EXIGIDA. O candidato não apresentou declaração expedida pelo GDH que comprove recebimento de beneficio de Programa Social de complementação ou suplementação de renda do GDH.(Prato Cheio e IDF social). ALEXSSANDRO DA SILVA LOPES 033***.***-** 1 INDEFERIDO CANDIDATO (A) NÃO APRESENTOU DOCUMETAÇÃO EXIGIDA. O candidato não apresentou declaração expedida pelo GDH que comprove recebimento de beneficio de Programa Social de complementação ou suplementação de renda do GDH.(Prato Cheio e IDF social). ALEXSSANDRO DA SILVA LOPES 033***.***-** 3 INDEFERIDO CANDIDATO (A) NÃO APRESENTOU DOCUMETAÇÃO EXIGIDA. O candidato não apresentou declaração expedida pelo GDH que comprove recebimento de beneficio de Programa Social de complementação ou suplementação de renda do GDH.(Prato Cheio e IDF social). BEATRIZ MONTEIRO RODRIGUES DUARTE 011***.***-** INDEFERIDO CANDIDATO (A) NÃO APRESENTOU DOCUMETAÇÃO EXIGIDA. O candidato não apresentou documento comprobatório da isenção de acordo com a hipótese escolhida. JEANE DO NASCIMENTO SAMPAIO 060***.***-** 6 INDEFERIDO CANDIDATO (A) NÃO APRESENTOU DOCUMETAÇÃO EXIGIDA. O candidato não apresentou declaração expedida pelo GDH que comprove recebimento de beneficio de Programa Social de complementação ou suplementação de renda do GDH.(Prato Cheio e IDF social). RYCHELLY LAYANE ALVES DE OLIVEIRA 047***.***-** 8 INDEFERIDO CANDIDATO (A) NÃO APRESENTOU DOCUMETAÇÃO EXIGIDA. O candidato não apresentou documento comprobatório da isenção de acordo com a hipótese escolhida (Não apresentou comprovação em duas eleições). FELIPE PEREIRA DE ALMEIDA 734***.***-** 1 DEFERIDO GLEYDIANE MARIA MARTINS GOIS 732***.***-** 1 DEFERIDO GLEYDIANE MARIA MARTINS GOIS 732***.***-** 8 DEFERIDO TAIRES SENA SARAIVA 038***.***-** 1 DEFERIDO THAYRENY MARTINS ALMEIDA 048***.***-** 5 INDEFERIDO CANDIDATO (A) NÃO APRESENTOU DOCUMETAÇÃO EXIGIDA. O candidato não apresentou declaração expedida pelo GDF que comprove recebimento de beneficio de Programa Social de complementação ou suplementação de renda do GDF.(Prato Cheio e IDF social). FABRICIA SANTOS DE ALMEIDA 056***.***-** 1 DEFERIDO GABRIEL DE OLIVEIRA PERREIRA 729***.***-** 1 INDEFERIDO CANDIDATO (A) NÃO APRESENTOU DOCUMETAÇÃO EXIGIDA. O candidato não apresentou declaração expedida pelo GDF que comprove recebimento de beneficio de Programa Social de complementação ou suplementação de renda do GDF.(Prato Cheio e IDF social). IGOR DOS SANTOS 080***.***-** 1 INDEFERIDO CANDIDATO (A) NÃO APRESENTOU DOCUMETAÇÃO EXIGIDA. O candidato não apresentou declaração expedida pelo GDF que comprove recebimento de beneficio de Programa Social de complementação ou suplementação de renda do GDF.(Prato Cheio e IDF social).
  • 17.
    NATHALY SILVA DESOUSA 065***.***-** 1 INDEFERIDO CANDIDATO (A) NÃO APRESENTOU DOCUMETAÇÃO EXIGIDA. O candidato não apresentou declaração expedida pelo GDF que comprove recebimento de beneficio de Programa Social de complementação ou suplementação de renda do GDF.(Prato Cheio e IDF social). NATHALY SILVA DE SOUSA 065***.***-** 7 INDEFERIDO CANDIDATO (A) NÃO APRESENTOU DOCUMETAÇÃO EXIGIDA. O candidato não apresentou declaração expedida pelo GDF que comprove recebimento de beneficio de Programa Social de complementação ou suplementação de renda do GDF.(Prato Cheio e IDF social). WITALO DE ALMEIDA 033***.***-** 1 INDEFERIDO CANDIDATO (A) NÃO APRESENTOU DOCUMETAÇÃO EXIGIDA. O candidato não apresentou declaração expedida pelo GDF que comprove recebimento de beneficio de Programa Social de complementação ou suplementação de renda do GDF.(Prato Cheio e IDF social). WITALO DE ALMEIDA 033***.***-** 7 INDEFERIDO CANDIDATO (A) NÃO APRESENTOU DOCUMETAÇÃO EXIGIDA. O candidato não apresentou declaração expedida pelo GDF que comprove recebimento de beneficio de Programa Social de complementação ou suplementação de renda do GDF.(Prato Cheio e IDF social). LAIANE DELFINO FONSECA 041***.***-** 1 INDEFERIDO CANDIDATO (A) NÃO APRESENTOU DOCUMETAÇÃO EXIGIDA(Formulario desatualizado). O candidato não apresentou certidão expedida pelo GDF que comprove recebimento de beneficio de Programa Social de complementação ou suplementação de renda do GDF. VANESSA GONÇALVES MONTEIRO 702***.***-** 8 INDEFERIDO CANDIDATO (A) NÃO APRESENTOU DOCUMETAÇÃO EXIGIDA(Formulario desatualizado). O candidato não apresentou certidão expedida pelo GDF que comprove recebimento de beneficio de Programa Social de complementação ou suplementação de renda do GDF. ROMARIO SILVA DOS SANTOS 031***.***-** 1 INDEFERIDO CANDIDATO (A) NÃO APRESENTOU DOCUMETAÇÃO EXIGIDA(Formulario desatualizado). O candidato não apresentou certidão expedida pelo GDF que comprove recebimento de beneficio de Programa Social de complementação ou suplementação de renda do GDF. ROMARIO SILVA DOS SANTOS 031***.***-** 8 INDEFERIDO CANDIDATO (A) NÃO APRESENTOU DOCUMETAÇÃO EXIGIDA(Formulario desatualizado). O candidato não apresentou certidão expedida pelo GDF que comprove recebimento de beneficio de Programa Social de complementação ou suplementação de renda do GDF. MARIA EDUARDA GONÇALVES FONSECA 070***.***-** 1 DEFERIDO MARIA EDUARDA GONÇALVES FONSECA 070***.***-** 8 DEFERIDO JEANE DO NASCIMENTO SAMPAIO 060***.***-** 1 INDEFERIDO CANDIDATO (A) NÃO APRESENTOU DOCUMETAÇÃO EXIGIDA. O candidato não apresentou declaração expedida pelo GDF que comprove recebimento de beneficio de Programa Social de complementação ou suplementação de renda do GDF.(Prato Cheio e IDF social).
  • 18.
    LILIANE CORREIA AGNELO111***.***-** 1 INDEFERIDO CANDIDATO (A) NÃO APRESENTOU DOCUMETAÇÃO EXIGIDA(Formulario desatualizado). O candidato não apresentou certidão expedida pelo GDF que comprove recebimento de beneficio de Programa Social de complementação ou suplementação de renda do GDF. RAFAELA FLORÊNCIO DO NASCIMENTO 022***.***-** - INDEFERIDO CANDIDATO (A) NÃO APRESENTOU DOCUMENTAÇÃO EXIGIDA. (Formulario atuaizado devidamente preenchido e assinado). CIBERY ARAUJO VASCONCELOS DE AZEVEDO 021***.***-** 1 DEFERIDO EDILENE PEREIRA FERNANDES 040***.***-** 1 INDEFERIDO CANDIDATO (A) NÃO APRESENTOU DOCUMETAÇÃO EXIGIDA. O candidato não apresentou declaração expedida pelo GDF que comprove recebimento de beneficio de Programa Social de complementação ou suplementação de renda do GDF.(Prato Cheio e IDF social). ROBERTA MAYER RODRIGUES GARCIA 035***.***-** 1 INDEFERIDO CANDIDATO (A) NÃO APRESENTOU DOCUMETAÇÃO EXIGIDA(Formulario desatualizado). O candidato não apresentou certidão expedida pelo GDF que comprove recebimento de beneficio de Programa Social de complementação ou suplementação de renda do GDF. CLEBER DA GUARDA MARQUES 659***.***-** 1 INDEFERIDO CANDIDATO (A) NÃO APRESENTOU DOCUMETAÇÃO EXIGIDA(Formulario desatualizado). O candidato não apresentou certidão expedida pelo GDF que comprove recebimento de beneficio de Programa Social de complementação ou suplementação de renda do GDF. CLEBER DA GUARDA MARQUES 659***.***-** 7 INDEFERIDO CANDIDATO (A) NÃO APRESENTOU DOCUMETAÇÃO EXIGIDA(Formulario desatualizado). O candidato não apresentou certidão expedida pelo GDF que comprove recebimento de beneficio de Programa Social de complementação ou suplementação de renda do GDF. SILAS TORRES DA SILVA 033***.***-** - INDEFERIDO CANDIDATO (A) NÃO APRESENTOU DOCUMETAÇÃO EXIGIDA. O candidato não preencheu o codigo do cargo. RENAN VINICIUS SANTOS DE OLIVEIRA 368***.***-** 1 INDEFERIDO CANDIDATO (A) NÃO APRESENTOU DOCUMENTAÇÃO EXIGIDA. (RG) IGOR DOS SANTOS 080***.***-** 2 INDEFERIDO CANDIDATO (A) NÃO APRESENTOU DOCUMETAÇÃO EXIGIDA. O candidato não apresentou documento comprobatório da isenção de acordo com a hipótese escolhida. JEFFERSON SOUZA DE ALMEIDA 036***.***-** 1 INDEFERIDO CANDIDATO (A) NÃO APRESENTOU DOCUMETAÇÃO EXIGIDA(Formulario desatualizado). O candidato não apresentou certidão expedida pelo GDF que comprove recebimento de beneficio de Programa Social de complementação ou suplementação de renda do GDF. PEDRINA ALVES COELHO 054***.***-** 2 INDEFERIDO CANDIDATO (A) NÃO APRESENTOU DOCUMENTAÇÃO EXIGIDA EM PDF. BIANCA SOUZA SILVA 063***.***-** 2 DEFERIDO ANA PAULA OLIVEIRA CARDOSO BORGES 033***.***-** 1 INDEFERIDO CANDIDATO (A) NÃO APRESENTOU DOCUMETAÇÃO EXIGIDA(Formulario desatualizado). O candidato não apresentou certidão expedida pelo GDF que comprove recebimento de beneficio de Programa Social de complementação ou suplementação de renda do GDF.
  • 19.
    ECILA TEIXEIRA DASILVA 703***.***-** 2 DEFERIDO GILMENDES LEITE SOUZA DA SILVA 837***.***-** 1 DEFERIDO GILMENDES LEITE SOUZA DA SILVA 837***.***-** 2 DEFERIDO LUANA SERAFIM DA SILVA 057***.***-** 6 INDEFERIDO CANDIDATO (A) NÃO APRESENTOU DOCUMETAÇÃO EXIGIDA. O candidato não apresentou declaração expedida pelo GDF que comprove recebimento de beneficio de Programa Social de complementação ou suplementação de renda do GDF.(Prato Cheio e IDF social). LOURRAINE SEVERINO MARCIEL 038***.***-** 1 INDEFERIDO CANDIDATO (A) NÃO APRESENTOU DOCUMETAÇÃO EXIGIDA. O candidato não apresentou declaração expedida pelo GDF que comprove recebimento de beneficio de Programa Social de complementação ou suplementação de renda do GDF.(Prato Cheio e IDF social). JANAINA DE SOUSA RODRIGUES 732***.***-** 1 DEFERIDO VÂNIA MARIA MONTEIRO DE SOUZA 504***.***-** 6 DEFERIDO MARCOS PAULO VAZ DE OLIVEIRA 063***.***-** 6 INDEFERIDO CANDIDATO (A) NÃO APRESENTOU DOCUMETAÇÃO EXIGIDA. O candidato não apresentou declaração expedida pelo GDF que comprove recebimento de beneficio de Programa Social de complementação ou suplementação de renda do GDF.(Prato Cheio e IDF social). RENNÊ DE LISANDRA DE ALMEIDA 031***.***-** 7 INDEFERIDO CANDIDATO (A) NÃO APRESENTOU DOCUMETAÇÃO EXIGIDA. O candidato não apresentou declaração expedida pelo GDF que comprove recebimento de beneficio de Programa Social de complementação ou suplementação de renda do GDF.(Prato Cheio e IDF social). LUANA OLIVEIRA DE ALMEIDA 064***.***-** 7 DEFERIDO ANA CAROLINE ISRAEL DA SILVA 061***.***-** - INDEFERIDO CANDIDATO (A) NÃO APRESENTOU DOCUMETAÇÃO EXIGIDA. O candidato não apresentou documento comprobatório da isenção de acordo com a hipótese escolhida.9Não preencheu o cargo e nem apresentou RG). CRISTIANA DA SILVA EUGÊNIO 930***.***-** 1 INDEFERIDO CANDIDATO (A) NÃO APRESENTOU DOCUMETAÇÃO EXIGIDA. O candidato não apresentou declaração expedida pelo GDF que comprove recebimento de beneficio de Programa Social de complementação ou suplementação de renda do GDF.(Prato Cheio e IDF social). HAITON DIAS DE ANDRADE 041***.***-** 1 DEFERIDO MARIA GABRIELLA SOAARES RIOS 059***.***-** 5 INDEFERIDO CANDIDATO (A) NÃO APRESENTOU DOCUMETAÇÃO EXIGIDA(Formulario desatualizado). O candidato não apresentou certidão expedida pelo GDF que comprove recebimento de beneficio de Programa Social de complementação ou suplementação de renda do GDF. DANIELLE DA SILVA SOUSA 076***.***-** 1 INDEFERIDO CANDIDATO (A) NÃO APRESENTOU DOCUMETAÇÃO EXIGIDA. O candidato não apresentou declaração expedida pelo GDF que comprove recebimento de beneficio de Programa Social de complementação ou suplementação de renda do GDF.(Prato Cheio e IDF social). MESSIAS FREIRES NASCIMENTO 001***.***-** 7 DEFERIDO
  • 20.
    MARIA AVELINO DASILVA 428***.***-** 1 INDEFERIDO CANDIDATO (A) NÃO APRESENTOU DOCUMETAÇÃO EXIGIDA. O candidato não apresentou declaração expedida pelo GDF que comprove recebimento de beneficio de Programa Social de complementação ou suplementação de renda do GDF.(Prato Cheio e IDF social). SAMANTHA SOUZA MORAIS LEMOS 722***.***-** 1 DEFERIDO MARIA PAULA DE SOUZA LIMA 053***.***-** 5 INDEFERIDO CANDIDATO (A) NÃO APRESENTOU DOCUMETAÇÃO EXIGIDA(Formulario desatualizado). O candidato não apresentou certidão expedida pelo GDF que comprove recebimento de beneficio de Programa Social de complementação ou suplementação de renda do GDF. DAVI HOLANDA VIEIRA 059***.***-** 1 INDEFERIDO CANDIDATO (A) NÃO APRESENTOU DOCUMETAÇÃO EXIGIDA. O candidato não apresentou declaração expedida pelo GDF que comprove recebimento de beneficio de Programa Social de complementação ou suplementação de renda do GDF.(Prato Cheio e IDF social). EDNA DIAS VIEIRA 976***.***-** 8 INDEFERIDO CANDIDATO (A) NÃO APRESENTOU DOCUMETAÇÃO EXIGIDA. O candidato não apresentou declaração expedida pelo GDF que comprove recebimento de beneficio de Programa Social de complementação ou suplementação de renda do GDF.(Prato Cheio e IDF social). JOSÉ OSMAR SOUZA DANTAS 084***.***-** 1 DEFERIDO DENIS GONÇALVES DOS SANTOS 726***.***-** 1 INDEFERIDO CANDIDATO (A) NÃO APRESENTOU DOCUMETAÇÃO EXIGIDA. O candidato não apresentou documento comprobatório da isenção de acordo com a hipótese escolhida. DENIS GONÇALVES DOS SANTOS 726***.***-** 2 INDEFERIDO CANDIDATO (A) NÃO APRESENTOU DOCUMETAÇÃO EXIGIDA. O candidato não apresentou documento comprobatório da isenção de acordo com a hipótese escolhida. (Um formulario para cada solicitação de isenção). HAITON DIAS DE ANDRADE 041***.***-** 3 DEFERIDO RICARDO BARBOSA DO NASCIMENTO MELE 815***.***-** 1 DEFERIDO JOSÉ OSMAR SOUZA DANTAS 084***.***-** 8 DEFERIDO MARIA VITORIA DE ALMEIDA MARTINS 082***.***-** 7 INDEFERIDO CANDIDATO (A) NÃO APRESENTOU DOCUMETAÇÃO EXIGIDA. O candidato não apresentou declaração expedida pelo GDF que comprove recebimento de beneficio de Programa Social de complementação ou suplementação de renda do GDF.(Prato Cheio e IDF social). RAYSSA EVELIN OLIVEIRA FERREIRA 056***.***-** 8 INDEFERIDO CANDIDATO (A) NÃO APRESENTOU DOCUMETAÇÃO EXIGIDA(Formulario desatualizado). O candidato não apresentou certidão expedida pelo GDF que comprove recebimento de beneficio de Programa Social de complementação ou suplementação de renda do GDF. LOURRAINE SEVERINO MARCIEL 038***.***-** 8 INDEFERIDO CANDIDATO (A) NÃO APRESENTOU DOCUMETAÇÃO EXIGIDA. O candidato não apresentou declaração expedida pelo GDF que comprove recebimento de beneficio de Programa Social de complementação ou suplementação de renda do GDF.(Prato Cheio e IDF social).
  • 21.
    RICARDO BARBOSA DONASCIMENTO MEL0 815***.***-** 8 DEFERIDO SARAH MONTE DOS SANTOS 076***.***-** 2 DEFERIDO THAIS DA SILVA SILVESTRE 048***.***-** 7 INDEFERIDO CANDIDATO (A) NÃO APRESENTOU DOCUMETAÇÃO EXIGIDA. O candidato não apresentou declaração expedida pelo GDF que comprove recebimento de beneficio de Programa Social de complementação ou suplementação de renda do GDF.(Prato Cheio e IDF social). FLAVIA LIMA DE SOUZA 043***.***-** 3 INDEFERIDO CANDIDATO (A) NÃO APRESENTOU DOCUMETAÇÃO EXIGIDA. O candidato não apresentou documento comprobatório da isenção de acordo com a hipótese escolhida (laudo Medico). TATIANA BORGES FONSECA ALVARES 703***.***-** 8 DEFERIDO ELAINE DOS SANTOS DA ROCHA 005***.***-** 1 DEFERIDO JULIANA COSTA LIMA 084***.***-** 1 INDEFERIDO CANDIDATO (A) NÃO APRESENTOU DOCUMETAÇÃO EXIGIDA. O candidato não apresentou declaração expedida pelo GDF que comprove recebimento de beneficio de Programa Social de complementação ou suplementação de renda do GDF.(Prato Cheio e IDF social). MARIA PAULA DE SOUZA LIMA 053***.***-** 5 INDEFERIDO CANDIDATO (A) NÃO APRESENTOU DOCUMETAÇÃO EXIGIDA(Formulario desatualizado). O candidato não apresentou certidão expedida pelo GDF que comprove recebimento de beneficio de Programa Social de complementação ou suplementação de renda do GDF. TATIANA BORGES FONSECA ALVARES 703***.***-** 1 DEFERIDO WELLIANY JASIR PEREIRA DA SILVA 720***.***-** 1 INDEFERIDO CANDIDATO (A) NÃO APRESENTOU DOCUMETAÇÃO EXIGIDA. O candidato não apresentou declaração expedida pelo GDF que comprove recebimento de beneficio de Programa Social de complementação ou suplementação de renda do GDF.(Prato Cheio e IDF social). MONARA MUNIZ DA SILVA 016***.***-** 1 INDEFERIDO CANDIDATO (A) NÃO APRESENTOU DOCUMETAÇÃO EXIGIDA. O candidato não apresentou declaração expedida pelo GDF que comprove recebimento de beneficio de Programa Social de complementação ou suplementação de renda do GDF.(Prato Cheio e IDF social). VÂNIA FERREIRA ROCHA 726***.***-** 1 DEFERIDO LEONARDO BOAVENTURA RIBAS 001***.***-** 1 DEFERIDO JHONATAN FELIPE FREITAS 085***.***-** 1 DEFERIDO MARIA PAULA DE SOUZA LIMA 053***.***-** 1 INDEFERIDO CANDIDATO (A) NÃO APRESENTOU DOCUMETAÇÃO EXIGIDA(Formulario desatualizado). O candidato não apresentou certidão expedida pelo GDF que comprove recebimento de beneficio de Programa Social de complementação ou suplementação de renda do GDF. JESSICA MARIA PEREIRA DE SOUZA 127***.***-** 1 INDEFERIDO CANDIDATO (A) NÃO APRESENTOU DOCUMETAÇÃO EXIGIDA. O candidato não apresentou declaração expedida pelo GDF que comprove recebimento de beneficio de Programa Social de complementação ou suplementação de renda do GDF.(Prato Cheio e IDF social).
  • 22.
    WARLISON BISPO DACOSTA 069***.***-** 1 INDEFERIDO CANDIDATO (A) NÃO APRESENTOU DOCUMETAÇÃO EXIGIDA. O candidato não apresentou declaração expedida pelo GDF que comprove recebimento de beneficio de Programa Social de complementação ou suplementação de renda do GDF.(Prato Cheio e IDF social). JHONATAN FELIPE FREITAS 085***.***-** 2 DEFERIDO LUIS RICARDO LEITE MEDEIROS 070***.***-** 5 INDEFERIDO CANDIDATO (A) NÃO APRESENTOU DOCUMETAÇÃO EXIGIDA. O candidato não apresentou declaração expedida pelo GDF que comprove recebimento de beneficio de Programa Social de complementação ou suplementação de renda do GDF.(Prato Cheio e IDF social). LUCAS ANTONIO CORDEIRO DE SOUZA MELCHIOR 057***.***-** 1 DEFERIDO LUCAS ANTONIO CORDEIRO DE SOUZA MELCHIOR 057***.***-** 8 INDEFERIDO CANDIDATO (A) NÃO APRESENTOU O FORMULARIO PARA CADA PEDIDO DE ISENÇÃO DE TAXA UM E-MAIL PARA CADA CARGO. THAIS DA SILVA SILVESTRE 048***.***-** 7 INDEFERIDO CANDIDATO (A) NÃO APRESENTOU DOCUMETAÇÃO EXIGIDA. O candidato não apresentou declaração expedida pelo GDF que comprove recebimento de beneficio de Programa Social de complementação ou suplementação de renda do GDF.(Prato Cheio e IDF social). LUCAS VITOR ALVES SILVA 079***.***-** 6 INDEFERIDO CANDIDATO (A) NÃO APRESENTOU DOCUMENTAÇÃO EXIGIDA. (RG) RYCHELLY LAYANE ALVES DE OLIVEIRA 047***.***-** 8 DEFERIDO WARLEY ANICÁCIO DA SILVA 078***.***-** 2 INDEFERIDO CANDIDATO (A) NÃO APRESENTOU DOCUMETAÇÃO EXIGIDA. O candidato não apresentou declaração expedida pelo GDF que comprove recebimento de beneficio de Programa Social de complementação ou suplementação de renda do GDF.(Prato Cheio e IDF social). FRANCIANE MARCELINA PEREIRA SANTOS 608***.***-** 7 INDEFERIDO CANDIDATO (A) NÃO APRESENTOU DOCUMETAÇÃO EXIGIDA. O candidato não apresentou declaração expedida pelo GDF que comprove recebimento de beneficio de Programa Social de complementação ou suplementação de renda do GDF.(Prato Cheio e IDF social). LUIS RICARDO LEITE MEDEIROS 070***.***-** 1 INDEFERIDO CANDIDATO (A) NÃO APRESENTOU DOCUMETAÇÃO EXIGIDA. O candidato não apresentou declaração expedida pelo GDF que comprove recebimento de beneficio de Programa Social de complementação ou suplementação de renda do GDF.(Prato Cheio e IDF social). ILMARA SANTOS 020***.***-** 1 DEFERIDO LAILA PEREIRA DE CARVALHO 010***.***-** 1 DEFERIDO GUSTAVO DOUGLAS LUZ 060***.***-** 8 DEFERIDO BRUNO VENTURA LUDOVICO MARIANO 007***.***-** 1 DEFERIDO MARIA IRAILDE XIMENES MARTINS ALENCAR 829***.***-** 2 DEFERIDO ELIANE FERREIRA ALVES 002***.***-** 5 INDEFERIDO CANDIDATO (A) NÃO APRESENTOU DOCUMETAÇÃO EXIGIDA. O candidato não apresentou declaração expedida pelo GDF que comprove recebimento de beneficio de Programa Social de complementação ou suplementação de renda do GDF.(Prato Cheio e IDF social).
  • 23.
    ANDRESSA FONTINELLE LEITEDA SILVA 069***.***-** 6 DEFERIDO EXPEDITO FEITOSA DE MOURA 780***.***-** 1 INDEFERIDO CANDIDATO (A) NÃO APRESENTOU DOCUMETAÇÃO EXIGIDA. O candidato não apresentou declaração expedida pelo GDF que comprove recebimento de beneficio de Programa Social de complementação ou suplementação de renda do GDF.(Prato Cheio e IDF social). LUCAS DE SOUSA DE OLIVEIRA 023***.***-** 8 INDEFERIDO CANDIDATO (A) NÃO APRESENTOU DOCUMETAÇÃO EXIGIDA. O candidato não apresentou declaração expedida pelo GDF que comprove recebimento de beneficio de Programa Social de complementação ou suplementação de renda do GDF.(Prato Cheio e IDF social). RUTTE KELLY HENRIQUES DE OLIVEIRA 069***.***-** 8 DEFERIDO EXPEDITO FEITOSA DE MOURA 780***.***-** 6 INDEFERIDO CANDIDATO (A) NÃO APRESENTOU DOCUMETAÇÃO EXIGIDA. O candidato não apresentou declaração expedida pelo GDF que comprove recebimento de beneficio de Programa Social de complementação ou suplementação de renda do GDF.(Prato Cheio e IDF social). IDAIANO IURI MARQUES DOS SANTOS 012***.***-** 6 DEFERIDO LETICIA ALVES PEREIRA 050***.***-** 8 INDEFERIDO CANDIDATO (A) NÃO APRESENTOU DOCUMETAÇÃO EXIGIDA. O candidato não apresentou declaração expedida pelo GDF que comprove recebimento de beneficio de Programa Social de complementação ou suplementação de renda do GDF.(Prato Cheio e IDF social). LIGIA CAROLINA ALEXANDRE DE SOUSA 006***.***-** 1 INDEFERIDO CANDIDATO (A) NÃO APRESENTOU DOCUMENTAÇÃO EXIGIDA EM PDF. ( Declarações em imagem) IDAIANO IURI MARQUES DOS SANTOS 012***.***-** 1 DEFERIDO DANIELA SANTOS NEVES 047***.***-** 2 INDEFERIDO CANDIDATO (A) NÃO APRESENTOU DOCUMETAÇÃO EXIGIDA. O candidato não apresentou declaração expedida pelo GDF que comprove recebimento de beneficio de Programa Social de complementação ou suplementação de renda do GDF.(Prato Cheio e IDF social). THALITA BENICIO MOTA 143***.***-** 1 INDEFERIDO CANDIDATO (A) NÃO APRESENTOU DOCUMETAÇÃO EXIGIDA. O candidato não apresentou declaração expedida pelo GDF que comprove recebimento de beneficio de Programa Social de complementação ou suplementação de renda do GDF.(Prato Cheio e IDF social). ROMULO MAGALHÃES ARAUJO 063***.***-** - INDEFERIDO O CANDIDATO NÃO INFORMOU NUMERO DO CARGO KARINNE KETELLYN FEITOSA SILVA 057***.***-** 1 DEFERIDO KARINNE KETELLYN FEITOSA SILVA 057***.***-** 2 DEFERIDO NATALIA RIBEIRO DA SILVA 876***.***-** 6 INDEFERIDO CANDIDATO (A) NÃO APRESENTOU DOCUMETAÇÃO EXIGIDA. O candidato não apresentou declaração expedida pelo GDF que comprove recebimento de beneficio de Programa Social de complementação ou suplementação de renda do GDF.(Prato Cheio e IDF social).
  • 24.
    GABRIELA PEREIRA GODINHO040***.***-** 1 INDEFERIDO CANDIDATO (A) NÃO APRESENTOU DOCUMETAÇÃO EXIGIDA. O candidato não apresentou declaração expedida pelo GDF que comprove recebimento de beneficio de Programa Social de complementação ou suplementação de renda do GDF.(Prato Cheio e IDF social). MIRENA NEVES TEODOSIO 056***.***-** 1 INDEFERIDO CANDIDATO (A) NÃO APRESENTOU DOCUMETAÇÃO EXIGIDA. O candidato não apresentou declaração expedida pelo GDF que comprove recebimento de beneficio de Programa Social de complementação ou suplementação de renda do GDF.(Prato Cheio e IDF social). KRISLLEY KARISSY FEITOSA SILVA 064***.***-** 1 DEFERIDO EULAINE DE JESUS DOURADO 027***.***-** 1 INDEFERIDO CANDIDATO (A) NÃO APRESENTOU DOCUMETAÇÃO EXIGIDA. O candidato não apresentou declaração expedida pelo GDF que comprove recebimento de beneficio de Programa Social de complementação ou suplementação de renda do GDF.(Prato Cheio e IDF social). EULAINE DE JESUS DOURADO 027***.***-** 6 INDEFERIDO CANDIDATO (A) NÃO APRESENTOU DOCUMETAÇÃO EXIGIDA. O candidato não apresentou declaração expedida pelo GDF que comprove recebimento de beneficio de Programa Social de complementação ou suplementação de renda do GDF.(Prato Cheio e IDF social). ALINE DIANIRA DA SILVA ALTINO 982***.***-** 1 INDEFERIDO CANDIDATO (A) NÃO APRESENTOU DOCUMETAÇÃO EXIGIDA. O candidato não apresentou declaração expedida pelo GDF que comprove recebimento de beneficio de Programa Social de complementação ou suplementação de renda do GDF.(Prato Cheio e IDF social). KRISLLEY KARISSY FEITOSA SILVA 064***.***-** 2 DEFERIDO FABIANA BATISTA DA SILVA 011***.***-** 1 INDEFERIDO CANDIDATO (A) NÃO APRESENTOU DOCUMETAÇÃO EXIGIDA. O candidato não apresentou declaração expedida pelo GDF que comprove recebimento de beneficio de Programa Social de complementação ou suplementação de renda do GDF.(Prato Cheio e IDF social). CILEIDE MOURA BEZERRA 798***.***-** - INDEFERIDO CANDIDATO (A) NÃO APRESENTOU DOCUMENTAÇÃO EXIGIDA EM PDF.(Formulario devidamente prenchido e assinado). MARCELO OLIVEIRA DE ALMEIDA 777***.***-** 1 DEFERIDO BRUNO PAZ DE SOUZA 048***.***-** 1 DEFERIDO ERIVELTON RODRIGUES DE JESUS 051***.***-** 1 INDEFERIDO CANDIDATO (A) NÃO APRESENTOU DOCUMETAÇÃO EXIGIDA. O candidato não apresentou documento comprobatório da isenção de acordo com a hipótese escolhida. KASSIA ALVES DE ALENCAR 042***.***-** 4 INDEFERIDO CANDIDATO (A) NÃO APRESENTOU DOCUMENTAÇÃO EXIGIDA EM PDF.(Imagens)). PALOMA KAMILA MACHADO RIBEIRO 034***.***-** 1 INDEFERIDO CANDIDATO (A) NÃO APRESENTOU DOCUMENTAÇÃO EXIGIDA EM PDF.(Formulario devidamente prenchido e assinado). RUTE SOARES DA SILVA 719***.***-** 1 INDEFERIDO CANDIDATO (A) NÃO APRESENTOU DOCUMENTAÇÃO EXIGIDA EM PDF.
  • 25.
    QUÉREN HAPUQUE FERREIRADA SILVA 073***.***-** 8 INDEFERIDO CANDIDATO (A) NÃO APRESENTOU DOCUMETAÇÃO EXIGIDA. O candidato não apresentou declaração expedida pelo GDF que comprove recebimento de beneficio de Programa Social de complementação ou suplementação de renda do GDF.(Prato Cheio e IDF social). NEIF BASTOS VALVERDE 995***.***-** 1 DEFERIDO SARA SAYURI AVILINO HOSAKA 035***.***-** 1 DEFERIDO SARA SAYURI AVILINO HOSAKA 035***.***-** 8 DEFERIDO ANA VITORIA DIAS DE LIMA 072***.***-** 6 INDEFERIDO CANDIDATO (A) NÃO APRESENTOU DOCUMETAÇÃO EXIGIDA. O candidato não apresentou declaração expedida pelo GDF que comprove recebimento de beneficio de Programa Social de complementação ou suplementação de renda do GDF.(Prato Cheio e IDF social). VERONICA FERREIRA BASTOS LIMA 603***.***-** - INDEFERIDO CANDIDATO (A) NÃO APRESENTOU DOCUMETAÇÃO EXIGIDA. O candidato não apresentou declaração expedida pelo GDF que comprove recebimento de beneficio de Programa Social de complementação ou suplementação de renda do GDF.(Prato Cheio e IDF social). ISABELA SILVA DE SOUSA 076***.***-** 1 INDEFERIDO CANDIDATO (A) NÃO APRESENTOU DOCUMETAÇÃO EXIGIDA. O candidato não apresentou declaração expedida pelo GDF que comprove recebimento de beneficio de Programa Social de complementação ou suplementação de renda do GDF.(Prato Cheio e IDF social). PALOMA KAMILA MACHADO RIBEIRO 034***.***-** 2 INDEFERIDO CANDIDATO (A) NÃO APRESENTOU DOCUMENTAÇÃO EXIGIDA EM PDF.(Formulario devidamente prenchido e assinado). ANA MARIA DOS SANTOS SOUZA 603***.***-** 8 INDEFERIDO CANDIDATO (A) NÃO APRESENTOU DOCUMETAÇÃO EXIGIDA. O candidato não apresentou declaração expedida pelo GDF que comprove recebimento de beneficio de Programa Social de complementação ou suplementação de renda do GDF.(Prato Cheio e IDF social). RAQUEL FRANCISCA MACHADO 000***.***-** 2 INDEFERIDO CANDIDATO (A) NÃO APRESENTOU DOCUMETAÇÃO EXIGIDA. O candidato não apresentou declaração expedida pelo GDF que comprove recebimento de beneficio de Programa Social de complementação ou suplementação de renda do GDF.(Prato Cheio e IDF social). RAQUEL FRANCISCA MACHADO 000***.***-** 1 INDEFERIDO CANDIDATO (A) NÃO APRESENTOU DOCUMETAÇÃO EXIGIDA. O candidato não apresentou declaração expedida pelo GDF que comprove recebimento de beneficio de Programa Social de complementação ou suplementação de renda do GDF.(Prato Cheio e IDF social). JENNY RACHEL MARTINS 032***.***-** 1 INDEFERIDO CANDIDATO (A) NÃO APRESENTOU DOCUMETAÇÃO EXIGIDA. O candidato não apresentou declaração expedida pelo GDF que comprove recebimento de beneficio de Programa Social de complementação ou suplementação de renda do GDF.(Prato Cheio e IDF social).
  • 26.
    JENNY RACHEL MARTINS032***.***-** 2 INDEFERIDO CANDIDATO (A) NÃO APRESENTOU DOCUMETAÇÃO EXIGIDA. O candidato não apresentou declaração expedida pelo GDF que comprove recebimento de beneficio de Programa Social de complementação ou suplementação de renda do GDF.(Prato Cheio e IDF social). THAYANE DE SOUSA SOARES 052***.***-** 7 DEFERIDO VINICIUS DE ARAUJO VIEIRA 042***.***-** 1 DEFERIDO VINICIUS DE ARAUJO VIEIRA 042***.***-** 7 INDEFERIDO CANDIDATO (A) NÃO APRESENTOU O FORMULARIO PARA CADA PEDIDO DE ISENÇÃO DE TAXA UM E-MAIL PARA CADA CARGO. ANA NAIARA BRASILINO DA SILVA 064***.***-** 5 INDEFERIDO CANDIDATO (A) NÃO APRESENTOU DOCUMETAÇÃO EXIGIDA. O candidato não apresentou declaração expedida pelo GDF que comprove recebimento de beneficio de Programa Social de complementação ou suplementação de renda do GDF.(Prato Cheio e IDF social). NEIF BASTOS VALVERDE 995***.***-** 8 DEFERIDO MARIO HENRIQUE MORENO DOS SANTOS 019***.***-** 1 DEFERIDO VINICIUS RIBEIRO DA SILVA 035***.***-** 1 DEFERIDO THAYANE DE SOUSA SOARES 052***.***-** 1 DEFERIDO MELISSA GRAÇA DE SOUSA LOPES 043***.***-** 3 INDEFERIDO CANDIDATO (A) NÃO APRESENTOU DOCUMETAÇÃO EXIGIDA. O candidato não apresentou declaração expedida pelo GDF que comprove recebimento de beneficio de Programa Social de complementação ou suplementação de renda do GDF.(Prato Cheio e IDF social). MELISSA GRAÇA DE SOUSA LOPES 043***.***-** 1 INDEFERIDO CANDIDATO (A) NÃO APRESENTOU DOCUMETAÇÃO EXIGIDA. O candidato não apresentou declaração expedida pelo GDF que comprove recebimento de beneficio de Programa Social de complementação ou suplementação de renda do GDF.(Prato Cheio e IDF social). THAIS FELIX REIS 054***.***-** 2 DEFERIDO ZILA MARIA FONTENELLE BASILIO 778***.***-** 6 INDEFERIDO CANDIDATO (A) NÃO APRESENTOU DOCUMETAÇÃO EXIGIDA. O candidato não apresentou declaração expedida pelo GDF que comprove recebimento de beneficio de Programa Social de complementação ou suplementação de renda do GDF.(Prato Cheio e IDF social). RITA DE CASSIA DE PAULA MACHADO TAVARES BARBOSA 607***.***-** 1 INDEFERIDO CANDIDATO (A) NÃO APRESENTOU DOCUMETAÇÃO EXIGIDA. O candidato não apresentou declaração expedida pelo GDF que comprove recebimento de beneficio de Programa Social de complementação ou suplementação de renda do GDF.(Prato Cheio e IDF social). NAIANA NADIA SANTOS DE MENESES 042***.***-** 5 INDEFERIDO CANDIDATO (A) NÃO APRESENTOU DOCUMETAÇÃO EXIGIDA. O candidato não apresentou declaração expedida pelo GDF que comprove recebimento de beneficio de Programa Social de complementação ou suplementação de renda do GDF.(Prato Cheio e IDF social). JOSUÉ OLIVEIRA DAMASCENO 036***.***-** 1 DEFERIDO VINICIUS RIBEIRO DA SILVA 035***.***-** 2 DEFERIDO
  • 27.
    ERIKA SOARES DOSSANTOS 716***.***-** 1 DEFERIDO ANA PAULA DA SILVA ESILVA 002***.***-** 1 DEFERIDO SARA JANE NERE SANTOS 066***.***-** 1 INDEFERIDO CANDIDATO (A) NÃO APRESENTOU DOCUMETAÇÃO EXIGIDA. O candidato não apresentou declaração expedida pelo GDF que comprove recebimento de beneficio de Programa Social de complementação ou suplementação de renda do GDF.(Prato Cheio e IDF social). JACKSON COELHO BARBOSA DOS SANTOS 866***.***-** 1 INDEFERIDO CANDIDATO (A) NÃO APRESENTOU DOCUMETAÇÃO EXIGIDA. O candidato não apresentou declaração expedida pelo GDF que comprove recebimento de beneficio de Programa Social de complementação ou suplementação de renda do GDF.(Prato Cheio e IDF social). SILVANA DAMASCENO CAVALCANTE CASTELO BRANCO 306***.***-** 1 DEFERIDO NATHALY AGUIAR TORRES 044***.***-** 5 DEFERIDO NATHALIA MEDEIROS LEITE ALEIXO 042***.***-** 8 DEFERIDO VANDERLANE ALVES TEIXEIRA 074***.***-** 8 DEFERIDO MATHEUS FELICIANO FIGUEREDO 066***.***-** 1 INDEFERIDO CANDIDATO (A) NÃO APRESENTOU DOCUMETAÇÃO EXIGIDA. O candidato não apresentou declaração expedida pelo GDF que comprove recebimento de beneficio de Programa Social de complementação ou suplementação de renda do GDF.(Prato Cheio e IDF social). MATHEUS FELICIANO FIGUEREDO 066***.***-** 3 INDEFERIDO CANDIDATO (A) NÃO APRESENTOU DOCUMETAÇÃO EXIGIDA. O candidato não apresentou declaração expedida pelo GDF que comprove recebimento de beneficio de Programa Social de complementação ou suplementação de renda do GDF.(Prato Cheio e IDF social). ANTONIO CARLOS DE SOUZA BRITO 900***.***-** 8 INDEFERIDO CANDIDATO (A) NÃO APRESENTOU DOCUMETAÇÃO EXIGIDA. O candidato não apresentou declaração expedida pelo GDF que comprove recebimento de beneficio de Programa Social de complementação ou suplementação de renda do GDF.(Prato Cheio e IDF social). ANDREA FERNANDES FREIRES 707***.***-** 1 DEFERIDO CLAUDIANY DE FREITAS FERREIRA 024***.***-** 1 INDEFERIDO CANDIDATO (A) NÃO APRESENTOU DOCUMETAÇÃO EXIGIDA. O candidato não apresentou declaração expedida pelo GDF que comprove recebimento de beneficio de Programa Social de complementação ou suplementação de renda do GDF.(Prato Cheio e IDF social). GABRIELA SOARES COSTA 029***.***-** 7 INDEFERIDO CANDIDATO (A) NÃO APRESENTOU DOCUMETAÇÃO EXIGIDA. O candidato não apresentou documento comprobatório da isenção de acordo com a hipótese escolhida (laudo Medico). ANTÔNIO CARLOS DE SOUZA BRITO 900***.***-** 1 INDEFERIDO BRUNA SANTOS DE JESUS 097***.***-** 1 INDEFERIDO CANDIDATO (A) NÃO APRESENTOU DOCUMETAÇÃO EXIGIDA. O candidato não apresentou documento comprobatório da isenção de acordo com a hipótese escolhida (laudo Medico). WILLIASMAR NUNES MEDEIROS 726***.***-** 1 INDEFERIDO CANDIDATO (A) NÃO APRESENTOU DOCUMENTAÇÃO EXIGIDA EM PDF.
  • 28.
    ELISSON NASCIMENTO DEOLIVEIRA 560***.***-** 1 DEFERIDO SILVANA MARIA BORBOSA MARQUES 368***.***-** 1 INDEFERIDO CANDIDATO (A) NÃO APRESENTOU DOCUMENTAÇÃO EXIGIDA EM PDF. LEONARDO AMARAL DA SILVA 553***.***-** 5 INDEFERIDO CANDIDATO (A) NÃO APRESENTOU DOCUMETAÇÃO EXIGIDA. O candidato não apresentou declaração expedida pelo GDF que comprove recebimento de beneficio de Programa Social de complementação ou suplementação de renda do GDF.(Prato Cheio e IDF social). WILHIAM NUNES FERREIRA 021***.***-** 1 INDEFERIDO CANDIDATO (A) NÃO APRESENTOU DOCUMETAÇÃO EXIGIDA. O candidato não apresentou declaração expedida pelo GDF que comprove recebimento de beneficio de Programa Social de complementação ou suplementação de renda do GDF.(Prato Cheio e IDF social). ANA PAULA DA ROCHA SANTOS 072***.***-** 5 INDEFERIDO CANDIDATO (A) NÃO APRESENTOU DOCUMETAÇÃO EXIGIDA. O candidato não apresentou declaração expedida pelo GDF que comprove recebimento de beneficio de Programa Social de complementação ou suplementação de renda do GDF.(Prato Cheio e IDF social). ADRIANA RODRIGUES RIBEIRO 069***.***-** 1 INDEFERIDO CANDIDATO (A) NÃO APRESENTOU DOCUMETAÇÃO EXIGIDA. O candidato não apresentou declaração expedida pelo GDF que comprove recebimento de beneficio de Programa Social de complementação ou suplementação de renda do GDF.(Prato Cheio e IDF social). RAMON BATISTA DE SOUSA 017***.***-** 2 DEFERIDO EDUARDO NASCIMENTO MEDEIROS 088***.***-** 1 INDEFERIDO CANDIDATO (A) NÃO APRESENTOU DOCUMETAÇÃO EXIGIDA. O candidato não apresentou documento comprobatório da isenção de acordo com a hipótese escolhida (laudo Medico). ELIDA PEREIRA PINTO 045***.***-** - INDEFERIDO CANDIDATO (A) NÃO APRESENTOU DOCUMETAÇÃO EXIGIDA(Formulario desatualizado). O candidato não apresentou certidão expedida pelo GDF que comprove recebimento de beneficio de Programa Social de complementação ou suplementação de renda do GDF. ALINE STEPHANY SALES DE BRITO DA SILVA 043***.***-** 1 INDEFERIDO CANDIDATO (A) NÃO APRESENTOU DOCUMENTAÇÃO EXIGIDA. FABRICIA LAGO PEREIRA 014***.***-** 1 INDEFERIDO CANDIDATO (A) NÃO APRESENTOU DOCUMETAÇÃO EXIGIDA(Formulario desatualizado). O candidato não apresentou certidão expedida pelo GDF que comprove recebimento de beneficio de Programa Social de complementação ou suplementação de renda do GDF. FABRICIA LAGO PEREIRA 014***.***-** 8 INDEFERIDO CANDIDATO (A) NÃO APRESENTOU DOCUMETAÇÃO EXIGIDA(Formulario desatualizado). O candidato não apresentou certidão expedida pelo GDF que comprove recebimento de beneficio de Programa Social de complementação ou suplementação de renda do GDF. ROSANGELA ISRAEL DE SOUSA MARTINS 647***.***-** 6 DEFERIDO
  • 29.
    ADRIANA MOREIRA SOUSADO NASCIMENTO 970***.***-** 1 INDEFERIDO CANDIDATO (A) NÃO APRESENTOU DOCUMETAÇÃO EXIGIDA(Formulario desatualizado). O candidato não apresentou certidão expedida pelo GDF que comprove recebimento de beneficio de Programa Social de complementação ou suplementação de renda do GDF. NUBIA CARDOSO DO AMARAL 030***.***-** 8 INDEFERIDO CANDIDATO (A) NÃO APRESENTOU DOCUMETAÇÃO EXIGIDA(Formulario desatualizado). O candidato não apresentou certidão expedida pelo GDF que comprove recebimento de beneficio de Programa Social de complementação ou suplementação de renda do GDF. LAIS SILVA SANTOS 070***.***-** - INDEFERIDO CANDIDATO (A) NÃO APRESENTOU DOCUMETAÇÃO EXIGIDA(Formulario desatualizado). O candidato não apresentou certidão expedida pelo GDF que comprove recebimento de beneficio de Programa Social de complementação ou suplementação de renda do GDF. RAQUEL BRITO DE SOUSA 004***.***-** 1 INDEFERIDO CANDIDATO (A) NÃO APRESENTOU DOCUMETAÇÃO EXIGIDA(Formulario desatualizado). O candidato não apresentou certidão expedida pelo GDF que comprove recebimento de beneficio de Programa Social de complementação ou suplementação de renda do GDF. ELISSON NASCIMENTO DE OLIVEIRA 960***.***-** 1 DEFERIDO KELVIN WILLIAN SOARES FERREIRA 082***.***-** 7 INDEFERIDO CANDIDATO (A) NÃO APRESENTOU DOCUMETAÇÃO EXIGIDA(Formulario desatualizado). O candidato não apresentou certidão expedida pelo GDF que comprove recebimento de beneficio de Programa Social de complementação ou suplementação de renda do GDF. PAULO DANIEL GOMES BATISTA DA SILVA 052***.***-** 7 INDEFERIDO CANDIDATO (A) NÃO APRESENTOU DOCUMETAÇÃO EXIGIDA(Formulario desatualizado). O candidato não apresentou certidão expedida pelo GDF que comprove recebimento de beneficio de Programa Social de complementação ou suplementação de renda do GDF. MARIA HELOISA DOS PASSOS ANDRADE 068***.***-** 1 DEFERIDO JULIANE DE SOUZA PEREIRA 042***.***-** 6 DEFERIDO JULIANE DE SOUZA PEREIRA 042***.***-** 1 DEFERIDO LUCIANA MARÇAL NUNES 009***.***-** 1 INDEFERIDO CANDIDATO (A) NÃO APRESENTOU DOCUMENTAÇÃO EXIGIDA.(Imagens) JOSEFA MARIA DA SILVA 879***.***-** 1 INDEFERIDO CANDIDATO (A) NÃO APRESENTOU DOCUMETAÇÃO EXIGIDA. O candidato não apresentou declaração expedida pelo GDF que comprove recebimento de beneficio de Programa Social de complementação ou suplementação de renda do GDF.(Prato Cheio e IDF social). JOSEFA MARIA DA SILVA 879***.***-** 6 INDEFERIDO CANDIDATO (A) NÃO APRESENTOU DOCUMETAÇÃO EXIGIDA. O candidato não apresentou declaração expedida pelo GDF que comprove recebimento de beneficio de Programa Social de complementação ou suplementação de renda do GDF.(Prato Cheio e IDF social).
  • 30.
    ERIKA DE CARVALHOARAUJO 033***.***-** 7 INDEFERIDO CANDIDATO (A) NÃO APRESENTOU DOCUMETAÇÃO EXIGIDA. O candidato não apresentou declaração expedida pelo GDF que comprove recebimento de beneficio de Programa Social de complementação ou suplementação de renda do GDF.(Prato Cheio e IDF social). DANIEL LIMA SILVA 603***.***-** 1 INDEFERIDO CANDIDATO (A) NÃO APRESENTOU DOCUMETAÇÃO EXIGIDA(Formulario desatualizado). O candidato não apresentou certidão expedida pelo GDF que comprove recebimento de beneficio de Programa Social de complementação ou suplementação de renda do GDF. KAROLAYNE AGRA DE VASCONCELOS 056***.***-** 8 INDEFERIDO CANDIDATO (A) NÃO APRESENTOU DOCUMETAÇÃO EXIGIDA(Formulario desatualizado). O candidato não apresentou certidão expedida pelo GDF que comprove recebimento de beneficio de Programa Social de complementação ou suplementação de renda do GDF. DANIELE TRINDADE MARQUES 003***.***-** 1 DEFERIDA ELYSA BEATRIZ DE OLIVEIRA DAMAS 067***.***-** 1 DEFERIDA DORANI PEREIRA SOARES 539***.***-** 1 INDEFERIDA NÃO ENVIOU DOCUMENTO HÁBIL COMPROBATÓRIO DO PEDIDO VANESSA GABRIELA MOTA FERRAZ 04***.***-** 1 DEFERIDA JÚLIO CEZAR ALVES DE ASSIS 692***.***-** 7 INDEFERIDA NÃO ENVIOU DOCUMENTO HÁBIL COMPROBATÓRIO DO PEDIDO MEYRE LUCE DE JESUS REIS 053***.***-** - INDEFERIDA NÃO ENVIOU DOCUMENTO HÁBIL COMPROBATÓRIO DO PEDIDO LUCIANA MARIA RODRIGUES LISBOA 033***.***-** 1 DEFERIDA DANIELE ASSIS CASTRO SILVA 034***.***-** 8 INDEFERIDA CANDIDATO (A) NÃO APRESENTOU DOCUMENTAÇÃO EXIGIDA EM PDF ANA ALICE PEREIRA DA MOTA 056***.***-** 1 INDEFERIDA NÃO ENVIOU DOCUMENTO HÁBIL COMPROBATÓRIO DO PEDIDO EDUARDO AUGUSTO MORAIS GOMES 030***.***-** 1 DEFERIDA MARIA ROSIELE PEREIRA FONSECA 085***.***-** 8 DEFERIDA RAYLLENE DO NASCIMENTO SILVA 008***.***-** 8 INDEFERIDA CANDIDATO (A) NÃO APRESENTOU DECLARAÇÃO EXPEDIDA PELO GDF QUE COMPROVE RECEBIMENTO DE BENEFÍCIO DE PROGRAMA SOCIAL DE COMPLEMENTAÇÃO OU SUPLEMENTAÇÃO DE RENDA DO GDF (PRATO CHEIO, DF SOCIAL) DOUGLAS SANTANA DO NASCIMENTO 005***.***-** - INDEFERIDA NÃO APRESENTOU FORMULÁRIO COM NÚMERO DO CARGO UILSON ALVES VIEIRA 784***.***-** 1 DEFERIDA LUCIANA LIMA REIS 018***.***-** 8 INDEFERIDA CANDIDATO (A) NÃO APRESENTOU DECLARAÇÃO EXPEDIDA PELO GDF QUE COMPROVE RECEBIMENTO DE BENEFÍCIO DE PROGRAMA SOCIAL DE COMPLEMENTAÇÃO OU SUPLEMENTAÇÃO DE RENDA DO GDF (PRATO CHEIO, DF SOCIAL) DALCIONE FREITAS LOUZEIRO SILVA 023***.***-** 1 INDEFERIDA CANDIDATO (A) NÃO APRESENTOU DECLARAÇÃO EXPEDIDA PELO GDF QUE COMPROVE RECEBIMENTO DE BENEFÍCIO DE PROGRAMA SOCIAL DE COMPLEMENTAÇÃO OU SUPLEMENTAÇÃO DE RENDA DO GDF (PRATO CHEIO, DF SOCIAL) APARECIDA CRISTINA DE OLIVEIRA MELO 989***.***-** 8 DEFERIDA PEDRO DE MELO PAIVA -***.***-** 1 INDEFERIDA NÃO ENVIOU DOCUMENTO EM PDF
  • 31.
    JULIENE DANTAS TEIXEIRA159***.***-** 1 DEFERIDA LETICIA IDELFONSO ALVES SANTANA 047***.***-** 1 DEFERIDA SANDRA HELENA BRITO DE ASSIS 878***.***-** 8 INDEFERIDA CANDIDATO (A) NÃO APRESENTOU DECLARAÇÃO EXPEDIDA PELO GDF QUE COMPROVE RECEBIMENTO DE BENEFÍCIO DE PROGRAMA SOCIAL DE COMPLEMENTAÇÃO OU SUPLEMENTAÇÃO DE RENDA DO GDF (PRATO CHEIO, DF SOCIAL) LUCIANO RODRIGUES PEREIRA 704***.***-** - INDEFERIDO NÃO APRESENTOU O NÚMERO DO CARGO RAEL NUNES DE OLIVEIRA 073***.***-** 1 DEFERIDO LEONARDO AMARAL DA SILVA -***.***-** 2 INDEFERIDO NÃO ENVIOU DOCUMENTO EM PDF GIVANE CAPUTO DA COSTA 159***.***-** 7 DEFERIDO JAQUELINE TEIXEIRA NEVES 725***.***-** 6 INDEFERIDO NÃO ENVIOU O DOCUMENTO COMPROBATÓRIO THAMIRES OLIVEIRA QUEIROZ 047***.***-** 1 DEFERIDO MAYRLON ALVES ALENCAR 024***.***-** 1 INDEFERIDO CANDIDATO (A) NÃO APRESENTOU DECLARAÇÃO EXPEDIDA PELO GDF QUE COMPROVE RECEBIMENTO DE BENEFÍCIO DE PROGRAMA SOCIAL DE COMPLEMENTAÇÃO OU SUPLEMENTAÇÃO DE RENDA DO GDF (PRATO CHEIO, DF SOCIAL) JEFERSON LUIS ABRÃO 036***.***-** 1 DEFERIDO IVONE ROSA DO CARMO 689***.***-** 1 DEFERIDO DAYSE MARQUES DOS SANTOS 079***.***-** 1 DEFERIDO MIRELLA PEREIRA VIEIRA 018***.***-** 1 INDEFERIDO CANDIDATO (A) NÃO APRESENTOU DECLARAÇÃO EXPEDIDA PELO GDF QUE COMPROVE RECEBIMENTO DE BENEFÍCIO DE PROGRAMA SOCIAL DE COMPLEMENTAÇÃO OU SUPLEMENTAÇÃO DE RENDA DO GDF (PRATO CHEIO, DF SOCIAL) MARIA APARECIDA PEREIRA ***.***-** 2 INDEFERIDO NÃO ENVIOU O DOCUMENTO COMPROBATÓRIO EM FORMATO PDF KESSYA RODRIGUES DA SILVA 078***.***-** 6 INDEFERIDO NÃO ENVIOU O DOCUMENTO COMPROBATÓRIO EM FORMATO PDF NEIDE NASCIMENTO RIBEIRO 816***.***-** 1 INDEFERIDO NÃO ENVIOU O DOCUMENTO COMPROBATÓRIO EM FORMATO PDF GADIEL NUNES DOS SANTOS 059***.***-** 1 INDEFERIDO NÃO ENVIOU DOCUMENTOS PESSOAIS SABRINA MIRANDA BORGES 086***.***-** - INDEFERIDO NÃO ENVIOU DOCUMENTO HÁBIL COMPROBATÓRIO DO PEDIDO TATIANE MIRANDA BORGES 728***.***-** - INDEFERIDO NÃO ENVIOU DOCUMENTO HÁBIL COMPROBATÓRIO DO PEDIDO MAIZETE MIRANDA BORGES 302***.***-** - INDEFERIDO NÃO ENVIOU DOCUMENTO HÁBIL COMPROBATÓRIO DO PEDIDO GUILHERME GONCALVES BORGES 026***.***-** - INDEFERIDO NÃO ENVIOU DOCUMENTO HÁBIL COMPROBATÓRIO DO PEDIDO ALEXANDRE MIRANDA DA SILVA 071***.***-** - INDEFERIDO NÃO ENVIOU DOCUMENTO HÁBIL COMPROBATÓRIO DO PEDIDO SAMARA DE SOUZA RODRIGUES 044***.***-** 1 INDEFERIDO NÃO ENVIOU DOCUMENTO HÁBIL COMPROBATÓRIO DO PEDIDO SHIRLEY BARROS DE OLIVEIRA 985***.***-** - INDEFERIDO NÃO ENVIOU DOCUMENTO HÁBIL COMPROBATÓRIO DO PEDIDO LENEUDA PEREIRA CAVALCANTE 863***.***-** 1 INDEFERIDO NÃO ENVIOU DOCUMENTO HÁBIL COMPROBATÓRIO DO PEDIDO CLAUDIA CHRISTIANE LEITE FONSECA -***.***-** - INDEFERIDO NÃO ENVIOU DOCUMENTO HÁBIL COMPROBATÓRIO DO PEDIDO EM FORMATO PDF KATIA CALISTO RIBEIRO DA SILVA 736***.***-** 1 DEFERIDO
  • 32.
    IRACI MARIA DELIRA ALVES -***.***-** - INDEFERIDO NÃO ENVIOU DOCUMENTO HÁBIL COMPROBATÓRIO DO PEDIDO EM FORMATO PDF WECIRLEY ALVES PEREIRA 052***.***-** 1 INDEFERIDO NÃO ENVIOU DOCUMENTO HÁBIL COMPROBATÓRIO DO PEDIDO EM FORMATO PDF AMINADABI LIMA DE BARROS FILHO 834***.***-** 1 DEFERIDO SHIRLEY BARROS DE OLIVEIRA -***.***-** - INDEFERIDO NÃO ENVIOU DOCUMENTO HÁBIL COMPROBATÓRIO DO PEDIDO EM FORMATO PDF ANDRESSA PIONTKOWSKI DE SOUZA SILVA 023***.***-** 1 DEFERIDO LOURENA BOTTENTUIT CARDOSO PENHA 034***.***-** 1 DEFERIDO VINICIUS NOGUEIRA GUIMARÃES 036***.***-** 1 DEFERIDO ALEXANDRE DOS SANTOS BATISTA OLIVEIRA 023***.***-** - INDEFERIDO NÃO ENVIOU DOCUMENTO HÁBIL COMPROBATÓRIO DO PEDIDO EM FORMATO PDF ALEXIA KAMILLY SANTOS MARIDAKIS 090***.***-** - INDEFERIDO NÃO ENVIOU DOCUMENTO HÁBIL COMPROBATÓRIO DO PEDIDO EM FORMATO PDF AURENICE CATARINO DOS SANTOS 012***.***-** 6 INDEFERIDO NÃO ENVIOU DOCUMENTO HÁBIL COMPROBATÓRIO DO PEDIDO EM FORMATO PDF RODRIGO DA SILVA LOPES 047***.***-** 1 DEFERIDO SABRINA SUANE ROCHA SANTOS 026***.***-** 1 DEFERIDO CLAÚDIA SALVADOR DA SILVA 484***.***-** 8 INDEFERIDO NÃO ENVIOU DOCUMENTO HÁBIL COMPROBATÓRIO DO PEDIDO EM FORMATO PDF MÁRCIA OLIVEIRA FERNANDES 696***.***-** 7 INDEFERIDO NÃO ENVIOU DOCUMENTO HÁBIL COMPROBATÓRIO DO PEDIDO EM FORMATO PDF KAROLINA RODRIGUES DA SILVA 059***.***-** - INDEFERIDO NÃO ENVIOU DOCUMENTO HÁBIL COMPROBATÓRIO DO PEDIDO EM FORMATO PDF YONNARA CARVALHO PONTES 051***.***-** 7 INDEFERIDO NÃO ENVIOU DOCUMENTO HÁBIL COMPROBATÓRIO DO PEDIDO EM FORMATO PDF VALQUÍRIA LIMA SANTOS 013***.***-** - INDEFERIDO NÃO ENVIOU DOCUMENTO HÁBIL COMPROBATÓRIO DO PEDIDO EM FORMATO PDF FABIANA ROCHA DOS SANTOS 004***.***-** 1 DEFERIDO CLEDINA MARIA AMELIA DE SALE 645***.***-** 2 INDEFERIDO NÃO ENVIOU DOCUMENTO HÁBIL COMPROBATÓRIO DO PEDIDO EM FORMATO PDF REJANNY MARTINS BARBOSA 610***.***-** 1 INDEFERIDO NÃO ENVIOU DOCUMENTO HÁBIL COMPROBATÓRIO DO PEDIDO EM FORMATO PDF ARMANDO MARCADANTE NETO 610***.***-** 4 DEFERIDO PEDRO VENPICIO SANTOS DE JESUS 070***.***-** 5 INDEFERIDO NÃO ENVIOU DOCUMENTO HÁBIL COMPROBATÓRIO DO PEDIDO EM FORMATO PDF GLEISSON ALVES RORIGUES 670***.***-** - INDEFERIDO NÃO INDICOU O CARGO PARA O QUAL DESEJA CONCORRER CAROLINA RODRIGUES GONZALEZ 024***.***-** 1 DEFERIDO ANDERSON GOMES SOARES 723***.***-** 1 DEFERIDO
  • 33.
    DANICE MATHEUS DEOLIVEIRA 342***.***-** - INDEFERIDO NÃO ENVIOU DOCUMENTO HÁBIL COMPROBATÓRIO DO PEDIDO EM FORMATO PDF MARCOS ANTÔNIO GOMES 012***.***-** 1 DEFERIDO DARCLEANE ARAÚJO SILVA -***.***-** - INDEFERIDO NÃO ENVIOU DOCUMENTO HÁBIL COMPROBATÓRIO DO PEDIDO EM FORMATO PDF JÚLIO CÉSAR ALVES DE ASSIS 692***.***-** 1 INDEFERIDO NÃO ENVIOU DOCUMENTO HÁBIL COMPROBATÓRIO DO PEDIDO EM FORMATO PDF GUILHERME MARQUES DE LIMA 057***.***-** 1 DEFERIDO TALITA MAIARA RODRIGUES ARAUJO VIEIRA 019***.***-** - INDEFERIDO NÃO ENVIOU DOCUMENTO HÁBIL COMPROBATÓRIO DO PEDIDO EM FORMATO PDF AMANDA LOPES MACEDO 018***.***-** 1 DEFERIDO REBECA PEREIRA DOS SANTOS 701***.***-** - INDEFERIDO NÃO ENVIOU DOCUMENTO HÁBIL COMPROBATÓRIO DO PEDIDO EM FORMATO PDF CLEICIANE FERNANDES 714***.***-** 7 INDEFERIDO NÃO ENVIOU DOCUMENTO HÁBIL COMPROBATÓRIO DO PEDIDO EM FORMATO PDF DIRCILENE DE SOUSA CAMPOS -***.***-** - INDEFERIDO NÃO ENVIOU DOCUMENTO HÁBIL COMPROBATÓRIO DO PEDIDO EM FORMATO PDF MARIA APARECIDA PEREIRA DA SILVA -***.***-** - INDEFERIDO DOCUMENTO ENVIADO ILEGÍVEL CÍCERO EDUARDO DE OLIVEIRA 892***.***-** 1 DEFERIDO ANA CAROLINA RDRIGUES DE OLIVEIRA 111***.***-** 1 INDEFERIDO NÃO ENVIOU DOCUMENTO HÁBIL COMPROBATÓRIO DO PEDIDO EM FORMATO PDF OZAIR DIVINO LOPES JÚNIOR 022***.***-** - INDEFERIDO NÃO ENVIOU DOCUMENTO HÁBIL COMPROBATÓRIO DO PEDIDO EM FORMATO PDF ANGELITA NASCIMENTO DE SOUZA 028***.***-** - INDEFERIDO NÃO ENVIOU DOCUMENTO HÁBIL COMPROBATÓRIO DO PEDIDO EM FORMATO PDF MARISA FERREIRA DA COSTA 010***.***-** 2 INDEFERIDO NÃO ENVIOU DOCUMENTO HÁBIL COMPROBATÓRIO DO PEDIDO EM FORMATO PDF MONICA DA SILVA OLIVEIRA 002***.***-** 7 DEFERIDO FABRÍCIO GARCIA DO NASCIMENTO 023***.***-** 6 DEFERIDO DENNER ARAUJO MONTEIRO 011***.***-** 1 DEFERIDO LAIZA MARIA CARVALHO DA GAMA 743***.***-** 1 DEFERIDO RICARDO ROMA SILVA 066***.***-** 8 DEFERIDO FABRICIO GARCIA DO NASCIMENTO 023***.***-** 1 DEFERIDO WERÔNICA DAS ILVA FEITOSA 024***.***-** 1 INDEFERIDO NÃO ENVIOU DOCUMENTO HÁBIL COMPROBATÓRIO DO PEDIDO EM FORMATO PDF JANICLEIDE DA SILVA ARAUJO DE SOUSA 849***.***-** 6 INDEFERIDO NÃO ENVIOU DOCUMENTO HÁBIL COMPROBATÓRIO DO PEDIDO EM FORMATO PDF CAMILA FONSECA BORGES DA SILVA 018***.***-** 1 DEFERIDO
  • 34.
    VIVIANE VIEIRA GUIMARÃES013***.***-** 5 INDEFERIDO NÃO ENVIOU DOCUMENTO HÁBIL COMPROBATÓRIO DO PEDIDO EM FORMATO PDF POLIANE FERREIRA MARTINS 015***.***-** 1 DEFERIDO BRUNA RAFAELLY SILVA DE SENA 046***.***-** 1 INDEFERIDO NÃO ENVIOU DOCUMENTO HÁBIL COMPROBATÓRIO DO PEDIDO EM FORMATO PDF LÍDIA PATRÍCIA ESCORCIA PEREIRA 003***.***-** 1 DEFERIDO HELENA CRISTINA DE JESUS 857***.***-** - INDEFERIDO NÃO ENVIOU DOCUMENTO HÁBIL COMPROBATÓRIO DO PEDIDO EM FORMATO PDF MARTINS SANTOS GONÇALVES DA SILVA 721***.***-** 1 DEFERIDO BÁRBARA MENDES COUTINHO 733***.***-** 1 DEFERIDO JESSICA AQUINO ARAUJO SARAIVA 038***.***-** 1 DEFERIDO FABIANA GOMES DOS SANTOS 068***.***-** 1 INDEFERIDO NÃO ENVIOU DOCUMENTO HÁBIL COMPROBATÓRIO DO PEDIDO EM FORMATO PDF VIVIANE CRISTINA GOMES SILVA 087***.***-** 1 DEFERIDO INGRID LUCAS FERREIRA SOUZA 060***.***-** - INDEFERIDO NÃO ENVIOU DOCUMENTO HÁBIL COMPROBATÓRIO DO PEDIDO EM FORMATO PDF MARIA DO AMPARO DAS CHAGAS LESSA BRITO 669***.***-** 1 INDEFERIDO NÃO ENVIOU DOCUMENTO HÁBIL COMPROBATÓRIO DO PEDIDO EM FORMATO PDF DIOGO FIALHO BANDEIRA DAVID 056***.***-** - INDEFERIDO NÃO JUNTOU O FORMULÁRIO JOÃO ALVES LACERDA 029***.***-** 1 INDEFERIDO NÃO ENVIOU DOCUMENTO HÁBIL COMPROBATÓRIO DO PEDIDO EM FORMATO PDF LUCIANO FLÁVIO LIMA DE FEREITAS 889***.***-** - INDEFERIDO NÃO ENVIOU DOCUMENTO HÁBIL COMPROBATÓRIO DO PEDIDO EM FORMATO PDF ALYNE LUISA SOUTO PEREIRA 721***.***-** 1 DEFERIDO JEFFERSON DOS SANTOS SILVA 035***.***-** 1 DEFERIDO SUSANA RAQUEL DOS SANTOS FERREIRA 028***.***-** 1 DEFERIDO MARIA BETÂNIA DE SOUZA ANDRADE 996***.***-** 1 INDEFERIDO NÃO ENVIOU DOCUMENTO DE IDENTIFICAÇÃO LEILA CRISTINA DE SOUZA ALVES -***.***-** 1 INDEFERIDO NÃO ENVIOU DOCUMENTO HÁBIL COMPROBATÓRIO DO PEDIDO EM FORMATO PDF VANIELA DA SILVA SOUSA 021***.***-** 1 INDEFERIDO NÃO ENVIOU DOCUMENTO HÁBIL COMPROBATÓRIO DO PEDIDO EM FORMATO PDF VILMA LIMA DOS SANTOS 013***.***-** 5 DEFERIDO ADRIELY SILVA XAVIER 032***.***-** 1 DEFERIDO CARLOS ALEXANDRE CARDOSO FARIA 602***.***-** 1 DEFERIDO RITHELISSON DE SOUSA DA SILVA 040***.***-** 8 DEFERIDO DOUGLAS SANTANA DO NASCIMENTO 005***.***-** 6 DEFERIDO WARLEY DANTAS SILVEIRA 017***.***-** 6 DEFERIDO MARIA EDUARDA LISBOA TEXEIRA 081***.***-** 3 INDEFERIDO NÃO ENVIOU DOCUMENTO HÁBIL COMPROBATÓRIO DO PEDIDO EM FORMATO PDF
  • 35.
    NARGILLA REGINNA DESOUZA MOREIRA 968***.***-** 1 INDEFERIDO NÃO ENVIOU DOCUMENTO HÁBIL COMPROBATÓRIO DO PEDIDO EM FORMATO PDF NOÉLIA TEXEIRA DE ALMEIDA 042***.***-** - INDEFERIDO NÃO ENVIOU DOCUMENTO HÁBIL COMPROBATÓRIO DO PEDIDO EM FORMATO PDF CHIARA PEREIRA BARBOSA MEDEIROS 806***.***-** 1 DEFERIDO CARLA HELEN DE SPOUZA TRINDADE 716***.***-** 1 INDEFERIDO NÃO ENVIOU DOCUMENTO HÁBIL COMPROBATÓRIO DO PEDIDO EM FORMATO PDF EVERTON DO NASCIMENTO DAMACENO FARIAS 005***.***-** 8 DEFERIDO MARIA EUSA VIEIRA DE MELO 709***.***-** 1 INDEFERIDO NÃO ENVIOU DOCUMENTO HÁBIL COMPROBATÓRIO DO PEDIDO EM FORMATO PDF MARIA CLARA DE OLIVEIRA ROCHA 623***.***-** 1 DEFERIDO EZEQUIEL BARBOSA DOS SANTOS 712***.***-** 1 INDEFERIDO NÃO ENVIOU DOCUMENTO HÁBIL COMPROBATÓRIO DO PEDIDO EM FORMATO PDF DANIELA PEREIRA DE OLIVEIRA DA COSTA 978***.***-** 1 INDEFERIDO NÃO ENVIOU DOCUMENTO HÁBIL COMPROBATÓRIO DO PEDIDO EM FORMATO PDF TIAGO CARNEIRO LIMA 641***.***-** 1 DEFERIDO RONYWERISSON VERAS DANTAS 023***.***-** 1 DEFERIDO MARCELO DA COSTA SOUZA 962***.***-** 1 INDEFERIDO NÃO ENVIOU DOCUMENTO HÁBIL COMPROBATÓRIO DO PEDIDO EM FORMATO PDF ADRIANA LINS TRAJANO VIEIRA 025***.***-** 1 JEANE LIMA DE ALMEIDA 020***.***-** 1 INDEFERIDO NÃO ENVIOU DOCUMENTO HÁBIL COMPROBATÓRIO DO PEDIDO EM FORMATO PDF JESSICA FURTADO PEREIRA 065***.***-** - INDEFERIDO NÃO ENVIOU DOCUMENTO HÁBIL COMPROBATÓRIO DO PEDIDO EM FORMATO PDF JANAINA ALVES MARTINS ARAUJO 023***.***-** 1 DEFERIDO YASMIN SANTANA DOS SANTOS 076***.***-** 1 INDEFERIDO NÃO ENVIOU DOCUMENTO HÁBIL COMPROBATÓRIO DO PEDIDO EM FORMATO PDF JACKELINE MATHEUS COSTA SOUZA 99***.***-** - INDEFERIDO NÃO ENVIOU DOCUMENTO HÁBIL COMPROBATÓRIO DO PEDIDO EM FORMATO PDF PATRÍCIA NERIS MARIANO DE AQUINO 696***.***-** 1 INDEFERIDO NÃO ENVIOU DOCUMENTO HÁBIL COMPROBATÓRIO DO PEDIDO EM FORMATO PDF GUSTAVO HENRIQUE DOS SANTOS SALGUEIRO 00***.***-** 4 DEFERIDO CLAUDIA SOUSA E SILVA 030***.***-** 1 DEFERIDO LAYSSA KAREN ALVES PEREIRA DE LIMA 031***.***-** 1 INDEFERIDO CICERO DIAS DE SÁ 668***.***-** 8 INDEFERIDO NÃO ENVIOU DOCUMENTO HÁBIL COMPROBATÓRIO DO PEDIDO EM FORMATO PDF BIANCA E SILVA CAIRES 045***.***-** 1 INDEFERIDO NÃO ENVIOU DOCUMENTO HÁBIL COMPROBATÓRIO DO PEDIDO EM FORMATO PDF
  • 36.
    ANTONIA DIONICE DONASCIMENTO REIS 039***.***-** 8 INDEFERIDO NÃO ENVIOU DOCUMENTO HÁBIL COMPROBATÓRIO DO PEDIDO EM FORMATO PDF RAYSSA ESTHER SILVA BARROS 053***.***-** 5 INDEFERIDO NÃO ENVIOU DOCUMENTO HÁBIL COMPROBATÓRIO DO PEDIDO EM FORMATO PDF KEILE NUBIA SILVA BRITO 910***.***-** 1 DEFERIDO VALERIA FREITAS DA CRUZ 019***.***-** 1 INDEFERIDO NÃO ENVIOU DOCUMENTO HÁBIL COMPROBATÓRIO DO PEDIDO EM FORMATO PDF ALLISANIA DE SOUSA PEREIRA 710***.***-** 7 INDEFERIDO NÃO ENVIOU DOCUMENTO HÁBIL COMPROBATÓRIO DO PEDIDO EM FORMATO PDF EDILEIDE GONÇALVES DA SILVA 646***.***-** - INDEFERIDO NÃO ENVIOU DOCUMENTO HÁBIL COMPROBATÓRIO DO PEDIDO EM FORMATO PDF MONIQUE LIVIA OLIVEIRA CORDEIRO -***.***-** 1 INDEFERIDO NÃO ENVIOU DOCUMENTO HÁBIL COMPROBATÓRIO DO PEDIDO EM FORMATO PDF JHONATAS SOUZA DA COSTA 035***.***-** 1 INDEFERIDO NÃO ENVIOU DOCUMENTO HÁBIL COMPROBATÓRIO DO PEDIDO EM FORMATO PDF TATIANA TEXEIRA NEVES MOTA 910***.***-** 6 INDEFERIDO NÃO ENVIOU DOCUMENTO HÁBIL COMPROBATÓRIO DO PEDIDO EM FORMATO PDF MARCELA DE SOUZA CARVALHO 026***.***-** - INDEFERIDO NÃO ENVIOU FORMULÁRIO MARTA FRANCISCA DOS SANTOS 015***.***-** 1 INDEFERIDO NÃO ENVIOU DOCUMENTO HÁBIL COMPROBATÓRIO DO PEDIDO EM FORMATO PDF AILTA FRANCISCA DOS SANTOS 693***.***-** 1 INDEFERIDO NÃO ENVIOU DOCUMENTO HÁBIL COMPROBATÓRIO DO PEDIDO EM FORMATO PDF MÁRCIA PEREIRA MAGALHÃES 012***.***-** - INDEFERIDO NÃO ENVIOU O NÚMERO DO CÓDIGO DO CARGO E OS DOCUMENTOS HÁBEIS PARA O PEDIDO MARIA DE FATIMA ESPINDOLA DIAS 023***.***-** 2 INDEFERIDO NÃO ENVIOU DOCUMENTO HÁBIL COMPROBATÓRIO DO PEDIDO EM FORMATO PDF JOSILEA BARBOSA ALVES 563***.***-** 3 INDEFERIDO NÃO ENVIOU DOCUMENTO HÁBIL COMPROBATÓRIO DO PEDIDO EM FORMATO PDF LUCIANA PEREIRA DA SILVA 734***.***-** 1 DEFERIDO CLEIDE CASTRO DE MAGALHÃES DE SÁ -***.***-** - INDEFERIDO NÃO ENVIOU DOCUMENTO HÁBIL COMPROBATÓRIO DO PEDIDO EM FORMATO PDF GLICES ALBUQUERQUE DE OLIVEIRA 920***.***-** 8 DEFERIDO RITA REJANE ALVES DE SOUZA -***.***-** - INDEFERIDO NÃO ENVIOU DOCUMENTO HÁBIL COMPROBATÓRIO DO PEDIDO EM FORMATO PDF VALDINÊZ RODRIGUES DIAS 690***.***-** - INDEFERIDO NÃO ENVIOU DOCUMENTO HÁBIL COMPROBATÓRIO DO PEDIDO EM FORMATO PDF ISABELLA RIBEIRO TEXEIRA DE SOUZA 047***.***-** 1 DEFERIDO DANIELA GOMES MACHADO 975***.***-** - INDEFERIDO NÃO ENVIOU DOCUMENTO HÁBIL COMPROBATÓRIO DO PEDIDO EM FORMATO PDF
  • 37.
    JAQUELINE TEIXEIRA NEVES-***.***-** 1 INDEFERIDO NÃO ENVIOU DOCUMENTO HÁBIL COMPROBATÓRIO DO PEDIDO EM FORMATO PDF MARIZA SANTOS NUNES 024***.***-** 1 DEFERIDO JESSICA DE LIMA SOUSA 064***.***-** 3 DEFERIDO ANTONIO MARCOS MOURAO -***.***-** - INDEFERIDO NÃO ENVIOU DOCUMENTO HÁBIL COMPROBATÓRIO DO PEDIDO EM FORMATO PDF TALITA MOZANA FORTUNATTO 013***.***-** 8 DEFERIDO LUACIANA PEREIRA DA SILVA 734***.***-** 1 DEFERIDO JAQUELINE DA SILVA COUTINHO 052***.***-** 3 INDEFERIDO NÃO ENVIOU DOCUMENTO HÁBIL COMPROBATÓRIO DO PEDIDO EM FORMATO PDF ÂNGELA CRISTINA CRUZ DA COSTA BARROS 047***.***-** - INDEFERIDO NÃO ENVIOU DOCUMENTO HÁBIL COMPROBATÓRIO DO PEDIDO EM FORMATO PDF ARTHUR HENRIQUE DE LIMA ALVES 068***.***-** - INDEFERIDO NÃO ENVIOU FORMULÁRIO JAQUELINE LOPES DE CARVALHO OLIVEIRA 025***.***-** 8 INDEFERIDO NÃO ENVIOU DOCUMENTO HÁBIL COMPROBATÓRIO DO PEDIDO EM FORMATO PDF IGOR HENRIQUE MACIANO XAVIER 076***.***-** 2 DEFERIDO EDILENE DA SILVA OLIVEIRA 933***.***-** - INDEFERIDO NÃO ENVIOU DOCUMENTO HÁBIL COMPROBATÓRIO DO PEDIDO EM FORMATO PDF GLAUCIENE SIQUEIRA SILVA GONÇALVES SANTOS 998***.***-** - INDEFERIDO NÃO ENVIOU DOCUMENTO HÁBIL COMPROBATÓRIO DO PEDIDO EM FORMATO PDF INGRID BARROS ALVES 091***.***-** 2 INDEFERIDO NÃO ENVIOU DOCUMENTO HÁBIL COMPROBATÓRIO DO PEDIDO EM FORMATO PDF DANIELE FERREIRA GOMES 039***.***-** 1 INDEFERIDO NÃO ENVIOU DOCUMENTO HÁBIL COMPROBATÓRIO DO PEDIDO EM FORMATO PDF GALDENIA ALVES DE SOUSA -***.***-** - INDEFERIDO NÃO ENVIOU DOCUMENTO HÁBIL COMPROBATÓRIO DO PEDIDO EM FORMATO PDF MEIRIELLEN DE BRITO GOME -***.***-** - INDEFERIDO NÃO ENVIOU DOCUMENTO HÁBIL COMPROBATÓRIO DO PEDIDO EM FORMATO PDF ELINE SOARES 016***.***-** 3 DEFERIDO RONICLEA DOS SANTOS ALMEIDA 015***.***-** 7 INDEFERIDO NÃO ENVIOU DOCUMENTO HÁBIL COMPROBATÓRIO DO PEDIDO EM FORMATO PDF KARINA PEREIRA DE SOUSA MOURAO 029***.***-** - INDEFERIDO NÃO ENVIOU DOCUMENTO HÁBIL COMPROBATÓRIO DO PEDIDO EM FORMATO PDF THAIS BATISTA SANTAREM -***.***-** - INDEFERIDO NÃO ENVIOU DOCUMENTO HÁBIL COMPROBATÓRIO DO PEDIDO EM FORMATO PDF AMANDA GABRIELA OLIVEIRA FERREIRA 028***.***-** 3 DEFERIDO JOSÉ IVANIELSO SABINO 815***.***-** 1 DEFERIDO MARLÚCIA FERNANDES TEXEIRA 894***.***-** 1 INDEFERIDO NÃO ENVIOU FORMULÁRIO LAURO NUNES BRANDÃO -***.***-** - INDEFERIDO NÃO ENVIOU DOCUMENTO EM FORMATO PDF
  • 38.
    NEIDE MARIA BORGES372***.***-** - INDEFERIDO NÃO ENVIOU DOCUMENTO HÁBIL COMPROBATÓRIO DO PEDIDO EM FORMATO PDF CAMILA COELHO DA FÉ 022***.***-** 2 INDEFERIDO NÃO ENVIOU DOCUMENTO HÁBIL COMPROBATÓRIO DO PEDIDO EM FORMATO PDF NADYLLA SORRAYALA ALVES DA MACENA LEITE 051***.***-** 2 INDEFERIDO NÃO ENVIOU DOCUMENTO HÁBIL COMPROBATÓRIO DO PEDIDO EM FORMATO PDF ELIANA MARIA LUZIA DE CARVALHO -***.***-** 8 INDEFERIDO NÃO ENVIOU DOCUMENTO HÁBIL COMPROBATÓRIO DO PEDIDO EM FORMATO PDF DOMINGOS NOGUEIRA DE CASTRO NETO 552***.***-** 7 DEFERIDO JÚLIA MESQUITA E RUBENS 053***.***-** INDEFERIDO NÃO ENVIOU DOCUMENTO HÁBIL COMPROBATÓRIO DO PEDIDO EM FORMATO PDF ERIVALDO ALVESDA SILVA 804***.***-** 1 INDEFERIDO NÃO ENVIOU DOCUMENTO HÁBIL COMPROBATÓRIO DO PEDIDO EM FORMATO PDF ADAIRA SANTOS DA COSTA 063***.***-** 1 E 2 INDEFERIDO NÃO ENVIOU DOCUMENTO HÁBIL COMPROBATÓRIO DO PEDIDO EM FORMATO PDF SAMELA CAMILA ROCHA RODRIGUES -***.***-** - INDEFERIDO NÃO ENVIOU DOCUMENTO HÁBIL COMPROBATÓRIO DO PEDIDO EM FORMATO PDF SILVANA ALVES COSTA PEREIRA 965***.***-** 1 DEFERIDO MARIA DO AMPARO VIANA DE SOUZA 860***.***-** 2 INDEFERIDO NÃO ENVIOU DOCUMENTO HÁBIL COMPROBATÓRIO DO PEDIDO EM FORMATO PDF CLARINEIVA WOLF LIMA 894***.***-** 6 DEFERIDO JONY AUGUSTO RIBEIRO 016***.***-** - INDEFERIDO NÃO ENVIOU DOCUMENTO HÁBIL COMPROBATÓRIO DO PEDIDO EM FORMATO PDF ANTONIA RAYANE DA SILVA 050***.***-** 7 INDEFERIDO NÃO ENVIOU DOCUMENTO HÁBIL COMPROBATÓRIO DO PEDIDO EM FORMATO PDF PRISCILA DUQUE SANTOS 047***.***-** 1 INDEFERIDO INDEFERIDO NO CARGO 2, POIS NÃO APRESENTOU FORMULÁRIO DESTACADO APENAS DO CARGO. ANNE MIKAELLY RODRIGUES ALVES 048***.***-** 8 INDEFERIDO NÃO ENVIOU DOCUMENTO HÁBIL COMPROBATÓRIO DO PEDIDO EM FORMATO PDF ERIVALDO ALVESDA SILVA 804***.***-** 1 INDEFERIDO NÃO ENVIOU DOCUMENTO HÁBIL COMPROBATÓRIO DO PEDIDO EM FORMATO PDF DAYANE DIAS DE BARROS 753***.***-** 1 INDEFERIDO NÃO ENVIOU DOCUMENTO HÁBIL COMPROBATÓRIO DO PEDIDO EM FORMATO PDF ANTONIA RAYANE DA SILVA 050***.***-** 7 INDEFERIDO NÃO ENVIOU DOCUMENTO HÁBIL COMPROBATÓRIO DO PEDIDO EM FORMATO PDF ROGÉRIO BARBOSA DA SILVA 876***.***-** 1 DEFERIDO DENISE PEREIRA RAPOSO 756***.***-** - INDEFERIDO NÃO ENVIOU DOCUMENTO HÁBIL COMPROBATÓRIO DO PEDIDO EM FORMATO PDF JÚLIO CEZAR RODRIGUES DE OLIVEIRA 096***.***-** 3 DEFERIDO
  • 39.
    FRANCELINE DA SILVARIBEIRO -***.***-** - INDEFERIDO NÃO ENVIOU DOCUMENTO HÁBIL COMPROBATÓRIO DO PEDIDO EM FORMATO PDF THAYNARA LORRANE SILVA LEAL -***.***-** - INDEFERIDO NÃO ENVIOU DOCUMENTO HÁBIL COMPROBATÓRIO DO PEDIDO EM FORMATO PDF LUIZA ELENA COSTA GOMES 038***.***-** 1 INDEFERIDO INDEFERIDO NO CARGO 6, POIS NÃO APRESENTOU FORMULÁRIO DESTACADO APENAS DO CARGO. FERNADO FERREIRA MARTINS -***.***-** - INDEFERIDO NÃO ENVIOU DOCUMENTO HÁBIL COMPROBATÓRIO DO PEDIDO EM FORMATO PDF LUCIANA PEREIRA NUNES RODRIGUES 950***.***-** 7 DEFERIDO VERÔNICA RAMOS DA SILVA 984***.***-** 1 INDEFERIDO NÃO ENVIOU DOCUMENTO HÁBIL COMPROBATÓRIO DO PEDIDO EM FORMATO PDF JORGE LUIZ QUINTILIANO MOURA SILVA 054***.***-** 1 DEFERIDO ANA PAULA FERNANDES LINO -***.***-** 1 INDEFERIDO NÃO ENVIOU DOCUMENTO HÁBIL COMPROBATÓRIO DO PEDIDO EM FORMATO PDF ROSELANE DOS SANTOS CAMPELO 012***.***-** 1 DEFERIDO ANA PAULA FERNANDES LINO -***.***-** 1 INDEFERIDO NÃO ENVIOU DOCUMENTO HÁBIL COMPROBATÓRIO DO PEDIDO EM FORMATO PDF TEREZA DOS SANTOS -***.***-** - INDEFERIDO NÃO ENVIOU DOCUMENTO HÁBIL COMPROBATÓRIO DO PEDIDO EM FORMATO PDF JANNY SILVA DIAS -***.***-** 1 INDEFERIDO NÃO ENVIOU DOCUMENTOS PESSOAIS EDUARDA DE LIMA PUGAS 029***.***-** - INDEFERIDO NÃO ENVIOU DOCUMENTO HÁBIL COMPROBATÓRIO DO PEDIDO EM FORMATO PDF SHIRLEY PINTO DA SILVA 008***.***-** 1 DEFERIDO BRUNO XAVIER DA SILVA 049***.***-** 6 DEFERIDO THALISSON FERNANDES BARBOSA -***.***-** - INDEFERIDO NÃO ENVIOU DOCUMENTO HÁBIL COMPROBATÓRIO DO PEDIDO EM FORMATO PDF MARCOS VINICIUS SANTANA DIAS 920***.***-** 1 DEFERIDO MARIA HELENA SANTOS 002***.***-** - INDEFERIDO NÃO ENVIOU DOCUMENTO HÁBIL COMPROBATÓRIO DO PEDIDO EM FORMATO PDF YNGRED DE PINTOS SOUSA 062***.***-** 1 INDEFERIDO NÃO ENVIOU DOCUMENTO HÁBIL COMPROBATÓRIO DO PEDIDO EM FORMATO PDF ELIENE DE LIMA SANTOS 974***.***-** - INDEFERIDO NÃO ENVIOU DOCUMENTO HÁBIL COMPROBATÓRIO DO PEDIDO EM FORMATO PDF NAIRA SANTOS 027***.***-** 1 DEFERIDO PAULONY CUSTODIO ARCANJO DA SILVA -***.***-** - INDEFERIDO NÃO ENVIOU DOCUMENTO HÁBIL COMPROBATÓRIO DO PEDIDO EM FORMATO PDF LYAN ARTHUR CAMPELO DE AQUINO 072***.***-** 1 DEFERIDO JOSENI VARJÃO DO VALE 028***.***-** 1 DEFERIDO
  • 40.
    KELLY BRAZ QUEIROZRODRIGUES -***.***-** 6 INDEFERIDO NÃO ENVIOU DOCUMENTO HÁBIL COMPROBATÓRIO DO PEDIDO EM FORMATO PDF VALQUÍRIA DINIZ FERREIRA 007***.***-** 1 INDEFERIDO NÃO ENVIOU DOCUMENTO HÁBIL COMPROBATÓRIO DO PEDIDO EM FORMATO PDF MARLÍ DOS ANJOS PEREIRA 879***.***-** 1 INDEFERIDO NÃO ENVIOU DOCUMENTO HÁBIL COMPROBATÓRIO DO PEDIDO EM FORMATO PDF ALICE ABREU DE CAMARGO 019***.***-** 7 INDEFERIDO RAFAEL ALMEIDA DOS SANTOS 056***.***-** 5 DEFERIDO JOSETE DE SOUSA DA CONCEIÇÃO 013***.***-** 1 INDEFERIDO CANDIDATO (A) NÃO APRESENTOU DOCUMETAÇÃO EXIGIDA EM PDF E o candidato também não apresentou documento comprobatório da isenção de acordo com a hipótese escolhida. EDINAURA PEREIRA GOMES 715***.***-** 1 INDEFERIDO CANDIDATO (A) NÃO APRESENTOU DOCUMETAÇÃO EXIGIDA EM PDF E o candidato não apresentou o formulário atualizado devidamente preenchido e ASSINADO. ALESSANDRO RODRIGUES BARBOSA 602***.***-** 1 INDEFERIDO CANDIDATO (A) NÃO APRESENTOU DOCUMENTAÇÃO EXIGIDA EM PDF E TAMBEM NÃO APRESENTOU O RG. EIDE DE CALDAS LEMOS 715***.***-** 1 DEFERIDO NATÁLIA LÍCIO DA SILVA 024***.***-** 1 INDEFERIDO CANDIDATO (A) NÃO APRESENTOU DOCUMETAÇÃO EXIGIDA EM PDF E o candidato não apresentou o formulário atualizado devidamente preenchido e ASSINADO, nem o RG. EDNA MORAIS 565***.***-** 1 INDEFERIDO CANDIDATO (A) NÃO APRESENTOU DOCUMETAÇÃO EXIGIDA. O candidato não apresentou o formulário atualizado devidamente preenchido e ASSINADO. ANA RAQUEL PEREIRA 601***.***-** 7 DEFERIDO ELIANE EVANGELISTA DA SILVA 723***.***-** - INDEFERIDO CANDIDATO (A) NÃO PREENCHEU NO FORMULARIO O CODIGO DO CARGO. VLADEMIR VICENTE LOMBA 294***.***-** 1 DEFERIDO CLAUDIA DA SILVA SANTOS 723***.***-** 1 INDEFERIDO CANDIDATO (A) NÃO APRESENTOU DOCUMETAÇÃO EXIGIDA. O candidato não apresentou o formulário atualizado devidamente preenchido e ASSINADO. APARECIDA PEREIRA LIMA 791***.***-** 1 INDEFERIDO CANDIDATO (A) NÃO APRESENTOU DOCUMENTAÇÃO EXIGIDA. (PRESTAÇÃO DE SERVIÇOS À JUSTIÇA ELEITORAL POR, NO MÍNIMO, DUAS ELEIÇÕES) CECILIA VIVIAN DE MATOS 035.***.***-** 5 DEFERIDO CECILIA VIVIAN DE MATOS 035.***.***-** 1 DEFERIDO ELISANIA VIEIRA DA SILVA 061***.***-** 1 DEFERIDO GILMA CAVALCANTE FERREIRA 373***.***-** 1 DEFERIDO DENISE MARIA DA COSTA FREIRE 002***.***-** 2 DEFERIDO IARA DE SOUSA DAMASCENO 001***.***-** 2 DEFERIDO
  • 41.
    TANIA FERNANDA VENANCIO016***.***-** 1 E 8 INDEFERIDO CANDIDATO (A) NÃO APRESENTOU DOCUMETAÇÃO EXIGIDA. O candidato não apresentou o formulário atualizado devidamente preenchido e ASSINADO. ELISANGELA LOPES BARBOSA FONSECA 694***.***-** 8 E 1 DEFERIDO ANDREA REGINA CARDOSO ALEIXO DOS SANTOS 834***.***-** 2 DEFERIDO GABRIELA RODRIGUES SCHIFTER 049***.***-** 1 DEFERIDO BARBARA TAYNARA DA SILVA SANTOS RINCON 037***.***-** 7 DEFERIDO HERNANE XAVIER DA SILVA 122***.***-** 1 E 4 INDEFERIDO CANDIDATO (A) NÃO APRESENTOU DOCUMETAÇÃO EXIGIDA. O candidato não apresentou documento comprobatório da isenção de acordo com a hipótese escolhida (laudo Medico). ROMULO LOBATO GONTIJO 726***.***-** 1 E 3 DEFERIDO TALITA BORGES DE LIMA 072***.***-** 1 DEFERIDO NATALINA ARAUJO DE OLIVEIRA 896***.***-** 1 E 8 INDEFERIDO CANDIDATO (A) NÃO APRESENTOU DOCUMENTAÇÃO EXIGIDA (EM PDF) SABRINA MOREIRA DE ANDRADE 068***.***-** 1 INDEFERIDO CANDIDATO (A) NÃO APRESENTOU DOCUMETAÇÃO EXIGIDA. O candidato não apresentou o formulário atualizado devidamente preenchido e ASSINADO. CLOVIS JOSÉ PINTO COELHO 242***.***-** 1 DEFERIDO CLOVIS JOSÉ PINTO COELHO 242***.***-** 2 INDEFERIDO CANDIDATO (A) NÃO APRESENTOU O FORMULARIO PARA CADA PEDIDO DE ISENÇÃO DE TAXA UM E-MAIL PARA CADA CARGO. JAYNARA ROSA DOS SANTOS 034***.***-** 1 INDEFERIDO CANDIDATO (A) NÃO APRESENTOU DOCUMETAÇÃO EXIGIDA. O candidato não apresentou documento comprobatório da isenção de acordo com a hipótese escolhida. EVANIA MOREIRA DE ANDRADE 442***.***-** 1 DEFERIDO MARCIA BATISTA RODRIGUES 795***.***-** 2 E 6 DEFERIDO LAURA COSTA BORGES 018***.***-** 1 DEFERIDO LAURA COSTA BORGES 018***.***-** 4 DEFERIDO SANDRA FRANCISCA DA CRUZ 669***.***-** 1 INDEFERIDO CANDIDATO (A) NÃO APRESENTOU DOCUMETAÇÃO EXIGIDA. O candidato não apresentou o formulário atualizado devidamente preenchido e ASSINADO. ANDRESSA MAGALHÃES DOS SANTOS 706***.***-** - INDEFERIDO CANDIDATO (A) NÃO APRESENTOU DOCUMENTAÇÃO EXIGIDA EM PDF. ELAINE COSTA RIBEIRO MARTINS 843***.***-** 1 DEFERIDO ROBSON DA SILVA PACHECO 688***.***-** 1 E 2 DEFERIDO ANA KARINA FAGUNDES DUTRA MARÇAL 721***.***-** 1 E 4 DEFERIDO ELAINE VIRGINIA LOPES BARBOSA FONSECA 703***.***-** 8 INDEFERIDO CANDIDATO APRESENTOU COPIA DO CARTÃO DO BOLSA FAMILIA. GILVAN MENDES DA SILVA 657***.***-** 1 DEFERIDO ANA CLAUDIA DE CASTRO MOREIRA 018***.***-** 1 E 7 DEFERIDO LUCIO BRITO DOS SANTOS 570***.***-** 1 DEFERIDO
  • 42.
    FERNANDA ARAUJO COSTA040***.***-** 1 INDEFERIDO CANDIDATO (A) NÃO APRESENTOU DOCUMETAÇÃO EXIGIDA. O candidato não apresentou documento comprobatório da isenção de acordo com a hipótese escolhida. DANIELA SANTOS E SILVA 988***.***-** 1 DEFERIDO THAIZ RODRIGUES MAGALHÃES 045***.***-** 1 E 8 DEFERIDO CLEIDIMAR SANTANA BISPO 847***.***-** 7 INDEFERIDO CANDIDATO (A) NÃO APRESENTOU DOCUMETAÇÃO EXIGIDA. O candidato não apresentou documento comprobatório da isenção de acordo com a hipótese escolhida. NAYARA MARINHO GOMES 019***.***-** 1 INDEFERIDO CANDIDATO (A) NÃO APRESENTOU DOCUMETAÇÃO EXIGIDA. O candidato não apresentou documento comprobatório da isenção de acordo com a hipóteseescolhida.(Declaração 1 turno) THAIS GABRIELE SANTANA BRANDÃO 040***.***-** 1 E 7 INDEFERIDO CANDIDATO (A) NÃO APRESENTOU DOCUMETAÇÃO EXIGIDA. O candidato não apresentou documento comprobatório da isenção de acordo com a hipótese escolhida. O candidato deve apresentar certidão ou declaração equivalente expedida pelo Governo do Distrito Federal no presente ano que comprove recebimento de benefício de programa social de complementação ou suplementação de renda instituído pelo GDF RAQUEL SOUZA BATISTA 036***.***-** - INDEFERIDO CANDIDATO (A) NÃO APRESENTOU DOCUMETAÇÃO EXIGIDA. O candidato não apresentou o formulário atualizado devidamente preenchido e ASSINADO. SAMARA DA SILVA DOS SANTOS 036***.***-** 1 INDEFERIDO CANDIDATO (A) NÃO APRESENTOU DOCUMETAÇÃO EXIGIDA EM PDF. O candidato não apresentou certidão expedida pelo GDH que comprove recebimento de beneficio de Programa Social de complementação ou suplementação de renda do GDH. CLAUDIA MARIA LAURENTINO ALVES DA SILVA 000***.***-** 1 INDEFERIDO CANDIDATO (A) NÃO APRESENTOU DOCUMETAÇÃO EXIGIDA EM PDF. O candidato não apresentou certidão expedida pelo GDH que comprove recebimento de beneficio de Programa Social de complementação ou suplementação de renda do GDH. AMANDA CRISTINA CIPRIANO DE QUEIROZ 701***.***-** 8 DEFERIDO ADILENE OLIVEIRA BARBOSA 869***.***-** 1 DEFERIDO CAMILA MOURA DA SILVA 048***.***-** 1 DEFERIDO CAMILA MOURA DA SILVA 048***.***-** 3 INDEFERIDO CANDIDATO (A) NÃO APRESENTOU O FORMULARIO PARA CADA PEDIDO DE ISENÇÃO DE TAXA UM E-MAIL PARA CADA CARGO. IGOR CESAR CRUZ DO NASCIMENTO 072***.***-** 1 DEFERIDO JOSEANE CARMEM DA SILVA 023***.***-** 1 INDEFERIDO CANDIDATO (A) NÃO APRESENTOU DOCUMENTAÇÃO EXIGIDA EM PDF. ( Declarações em imagem) ACZA DE SANTANA CRUZ 045***.***-** 1 DEFERIDO
  • 43.
    ADILENE OLIVEIRA BARBOSA8869***.***-** 8 INDEFERIDO CANDIDATO (A) NÃO APRESENTOU O FORMULARIO PARA CADA PEDIDO DE ISENÇÃO DE TAXA UM E-MAIL PARA CADA CARGO. (Formulario atualizado preenchido com o numero do cargo) PATRICIA GADIA POÇAS FONSECA 700***.***-** 1 DEFERIDO TAYNAN CARDOSO COSTA 031***.***-** - INDEFERIDO CANDIDATO (A) NÃO APRESENTOU DOCUMETAÇÃO EXIGIDA. O candidato não apresentou documento comprobatório da isenção de acordo com a hipótese escolhida. MARCELO SANTOS LIMA 734***.***-** 1 DEFERIDO ROSIMARY CARDOSO DOS SANTOS -***.***-** - INDEFERIDO CANDIDATO (A) NÃO APRESENTOU DOCUMENTAÇÃO EXIGIDA EM PDF. KARINE CAROLINE DE OLIVEIRA 028***.***-** 1 DEFERIDO LAURA CUNHA DE MIRANDA 017***.***-** 1 DEFERIDO LUCIANO SOUSA CHAVES 042***.***-** 1 INDEFERIDO CANDIDATO (A) NÃO APRESENTOU DOCUMETAÇÃO EXIGIDA. O candidato não apresentou documento comprobatório da isenção de acordo com a hipótese escolhida. SUEME ALEXANDRE DE JESUS TRINDADE 926***.***-** 1 DEFERIDO SUEME ALEXANDRE DE JESUS TRINDADE 926***.***-** 6 DEFERIDO ANTONIO ROBSON GONÇALVES 039***.***-** 1 INDEFERIDO CANDIDATO (A) NÃO APRESENTOU DOCUMETAÇÃO EXIGIDA(Formulario desatualizado). O candidato não apresentou certidão expedida pelo GDH que comprove recebimento de beneficio de Programa Social de complementação ou suplementação de renda do GDH. ANTONIO ROBSON GONÇALVES 039***.***-** 2 INDEFERIDO CANDIDATO (A) NÃO APRESENTOU DOCUMETAÇÃO EXIGIDA(Formulario desatualizado). O candidato não apresentou certidão expedida pelo GDH que comprove recebimento de beneficio de Programa Social de complementação ou suplementação de renda do GDH. ARLENE DE JESUS SOUZA PEREIRA 039***.***-** 1 INDEFERIDO CANDIDATO (A) NÃO APRESENTOU DOCUMETAÇÃO EXIGIDA. O candidato não apresentou documento comprobatório da isenção de acordo com a hipótese escolhida. ARLENE DE JESUS SOUZA PEREIRA 039***.***-** 6 INDEFERIDO CANDIDATO (A) NÃO APRESENTOU DOCUMETAÇÃO EXIGIDA. O candidato não apresentou documento comprobatório da isenção de acordo com a hipótese escolhida. POLIANA FERREIRA ROCHA 047***.***-** 1 DEFERIDO POLIANA FERREIRA ROCHA 047***.***-** 2 DEFERIDO CAROLINE VIEIRA ZAIDAN 049***.***-** 1 DEFERIDO CAROLINE VIEIRA ZAIDAN 049***.***-** 8 DEFERIDO EDNAMAR GOMES DE AGUIAR 578***.***-** 1 DEFERIDO EDNAMAR GOMES DE AGUIAR 578***.***-** 8 DEFERIDO TAMARA RODRIGUES JALCARENGHI 023***.***-** 1 INDEFERIDO CANDIDATO (A) NÃO APRESENTOU DOCUMETAÇÃO EXIGIDA.(RG) LISANDRA SILVA AGUIAR 046***.***-** 1 DEFERIDO ROSINEIDE LINHARES DE MACEDO 429***.***-** 1 DEFERIDO
  • 44.
    BARBARA APARECIDA DEARAUJO 950***.***-** 1 INDEFERIDO CANDIDATO (A) NÃO APRESENTOU DOCUMETAÇÃO EXIGIDA. O candidato não apresentou declaração expedida pelo GDH que comprove recebimento de beneficio de Programa Social de complementação ou suplementação de renda do GDH.(Prato Cheio e IDF social). JOSICLEIDE GUEDES DA NOGREGA 013***.***-** 1 E 2 DEFERIDO JAQUELINE MIROKO SHIMO 039***.***-** 4 DEFERIDO GLAUCIELE CARDOSO VIEIRA 010***.***-** 1 DEFERIDO MICHELE SOARES DE SOUSA 728***.***-** 1 DEFERIDO OLINDA CUNHA DE OLIVEIRA 032***.***-** 1 DEFERIDO OLINDA CUNHA DE OLIVEIRA 032***.***-** 7 DEFERIDO DELIMAR DA SILVA CORREIA 008***.***-** 1 INDEFERIDO CANDIDATO (A) NÃO APRESENTOU DOCUMETAÇÃO EXIGIDA. O candidato não apresentou o formulário atualizado devidamente preenchido e ASSINADO. DELIMAR DA SILVA CORREIA 008***.***-** 3 INDEFERIDO CANDIDATO (A) NÃO APRESENTOU DOCUMETAÇÃO EXIGIDA. O candidato não apresentou o formulário atualizado devidamente preenchido e ASSINADO. FRANCIELE CARVALHO DOS SANTOS 051***.***-** 1 DEFERIDO ROBERTO ALVES DA CRUZ 153***.***-** 8 DEFERIDO ELAINE CARVALHO FORTUNATO 017***.***-** 1 DEFERIDO ARIANA DA COSTA PINTO 932***.***-** 1 DEFERIDO DAGILLA ALMEIDA DAMASCENO 029***.***-** 1 DEFERIDO RACKEL PALHANO MARTIM 056***.***-** 1 INDEFERIDO CANDIDATO (A) NÃO APRESENTOU DOCUMETAÇÃO EXIGIDA. O candidato não apresentou o formulário atualizado devidamente preenchido e ASSINADO. ALESSANDRA NUNES BENICIO DE OLIVEIRA ***.***-** 7 INDEFERIDO CANDIDATO (A) NÃO APRESENTOU DOCUMENTAÇÃO EXIGIDA EM PDF. GILBERTO BORGES MACIEL 000***.***-** 1 E 8 DEFERIDO GABRIELLE TELES BARBOSA 012***.***-** 1 DEFERIDO CAMILA STEFANIE SILVA DE OLIVEIRA 012***.***-** 1 DEFERIDO ANTONIO CARLOS ALEXANDRE SOARES 858***.***-** 1 DEFERIDO FABIANA MERCES DA SILVA 665***.***-** 1 E 8 DEFERIDO JULIANE ENEAS LIRA 031***.***-** 6 DEFERIDO LUCIANO VIEIRA SOARES 637***.***-** 3 DEFERIDO CRISTIANE DA CONCEIÇÃO FERREIRA DE CARVALHO 669***.***-** 1 DEFERIDO ADRIANA VIRGULINO DOS SANTOS -***.***-** 7 INDEFERIDO CANDIDATO (A) NÃO APRESENTOU DOCUMENTAÇÃO EXIGIDA EM PDF. FRANCISCO WELLINGTON MORAIS SILVA 025***.***-** 1 INDEFERIDO CANDIDATO (A) NÃO APRESENTOU DOCUMETAÇÃO EXIGIDA. O candidato não apresentou documento comprobatório da isenção de acordo com a hipótese escolhida (laudo Medico). GLÊNIA CASTRO DE MOURA 833***.***-** 1 DEFERIDO
  • 45.
    KALYNE LUCENA DEANDRADE COSTA 040***.***-** 1 E 7 INDEFERIDO CANDIDATO (A) NÃO APRESENTOU DOCUMETAÇÃO EXIGIDA. O candidato não apresentou declaração expedida pelo GDH que comprove recebimento de beneficio de Programa Social de complementação ou suplementação de renda do GDH.(Prato Cheio e IDF social). VANESSA KALINE ARAUJO SANTANA 065***.***-** 2 E 6 INDEFERIDO CANDIDATO (A) NÃO APRESENTOU DOCUMETAÇÃO EXIGIDA. O candidato não apresentou declaração expedida pelo GDH que comprove recebimento de beneficio de Programa Social de complementação ou suplementação de renda do GDH.(Prato Cheio e IDF social). LUCIANO VIEIRA SOARES 637***.***-** 1 DEFERIDO ALEXANDRE MEDEIROS DA COSTA 002***.***-** 1 DEFERIDO RODRIGO LINHARES BRANDÃO 010***.***-** 1 INDEFERIDO CANDIDATO (A) NÃO APRESENTOU DOCUMETAÇÃO EXIGIDA. O candidato não apresentou declaração expedida pelo GDH que comprove recebimento de beneficio de Programa Social de complementação ou suplementação de renda do GDH.(Prato Cheio e IDF social). MARIA VANESSA PEREIRA DOS SANTOS 013***.***-** 8 INDEFERIDO CANDIDATO (A) NÃO APRESENTOU DOCUMETAÇÃO EXIGIDA. O candidato não apresentou declaração expedida pelo GDH que comprove recebimento de beneficio de Programa Social de complementação ou suplementação de renda do GDH.(Prato Cheio e IDF social). GUSTAVO ANDRÉ ALVES SOUSA 867***.***-** 1 DEFERIDO SANDRA VERÔNICA MORAIS 829***.***-** 1 INDEFERIDO CANDIDATO (A) NÃO APRESENTOU DOCUMENTAÇÃO EXIGIDA EM PDF.(RG) SANDRA VERÔNICA MORAIS 829***.***-** 5 INDEFERIDO CANDIDATO (A) NÃO APRESENTOU DOCUMENTAÇÃO EXIGIDA EM PDF.(RG) LORENA GOMES DA SILVA 026***.***-** 8 INDEFERIDO CANDIDATO (A) NÃO APRESENTOU DOCUMETAÇÃO EXIGIDA. O candidato não apresentou declaração expedida pelo GDH que comprove recebimento de beneficio de Programa Social de complementação ou suplementação de renda do GDH.(Prato Cheio e IDF social). CLEVERSON FLAUBERT SOUSA 716***.***-** 1 DEFERIDO CLEVERSON FLAUBERT SOUSA 716***.***-** 8 DEFERIDO PAULA MACHADO LACERDA 027***.***-** 1 DEFERIDO PAULA MACHADO LACERDA 027***.***-** 4 DEFERIDO ROGERIO DOS SANTOS MARQUES 692***.***-** 1 DEFERIDO DALIANE MELLO DE SOUZA 950***.***-** 1 DEFERIDO ANA CLAUDIA LIMA SILVA 021***.***-** 1 DEFERIDO ANA CLAUDIA LIMA SILVA 021***.***-** 4 INDEFERIDO CANDIDATO (A) NÃO APRESENTOU O FORMULARIO PARA CADA PEDIDO DE ISENÇÃO DE TAXA UM E-MAIL PARA CADA CARGO. LETICIA DA SILVA FERNADES 078***.***-** 8 INDEFERIDO CANDIDATO (A) NÃO APRESENTOU DOCUMETAÇÃO EXIGIDA(Formulario desatualizado). O candidato não apresentou certidão expedida pelo GDH que comprove recebimento de beneficio de Programa Social de complementação ou suplementação de renda do GDH.
  • 46.
    KETLEN DO CARMORAMOS 055***.***-** 2 INDEFERIDO CANDIDATO (A) NÃO APRESENTOU DOCUMENTAÇÃO EXIGIDA EM PDF.( FORMULARIO, RG) NARHONNE DE OLIVEIRA GONÇALVES 039***.***-** 1 DEFERIDO FERNANDO BATISTA SANTOS 010***.***-** 1 DEFERIDO FERNANDO BATISTA SANTOS 010***.***-** 2 DEFERIDO ERYKA RAYANE VARELA SILVEIRA 029***.***-** 1 DEFERIDO ERYKA RAYANE VARELA SILVEIRA 029***.***-** 2 DEFERIDO ANDREA DE SOUIZA PEREIRA VIEIRA 782***.***-** 1 DEFERIDO ANDREA DE SOUIZA PEREIRA VIEIRA 782***.***-** 7 DEFERIDO JOSILENE ALBURQUEQUE DE BONFIMTRINDADE 022***.***-** 1 DEFERIDO JOSEFA DELMA GOMES DE SOUSA 006***.***-** 1 DEFERIDO DIOGO GREGORIO TRINDADE ALBERQUEQUE 909***.***-** 1 DEFERIDO CELINA TEIXEIRA ALVES 051***.***-** 1 DEFERIDO CELINA TEIXEIRA ALVES 051***.***-** 8 INDEFERIDO CANDIDATO (A) NÃO APRESENTOU O FORMULARIO PARA CADA PEDIDO DE ISENÇÃO DE TAXA UM E-MAIL PARA CADA CARGO. LUCICLEIDE DA SIVA LIMA 870***.***-** - INDEFERIDO CANDIDATO (A) NÃO APRESENTOU DOCUMETAÇÃO EXIGIDA. O candidato não apresentou o formulário atualizado devidamente preenchido e ASSINADO. REBECA CAROLINE DE SILVA SENA 013***.***-** 8 INDEFERIDO CANDIDATO (A) NÃO APRESENTOU DOCUMETAÇÃO EXIGIDA. O candidato não apresentou documento comprobatório da isenção de acordo com a hipótese escolhida (laudo Medico). NEIDE APARECIDA GONÇALVES DOS SANTOS 376***.***-** 1 INDEFERIDO CANDIDATO (A) NÃO APRESENTOU DOCUMETAÇÃO EXIGID.O candidato não apresentou certidão expedida pelo GDH que comprove recebimento de beneficio de Programa Social de complementação ou suplementação de renda do GDH. JACKELINE LIMA DE MIRANDA CARVALHO 005***.***-** 2 INDEFERIDO CANDIDATO (A) NÃO APRESENTOU DOCUMETAÇÃO EXIGIDA(Formulario desatualizado). O candidato não apresentou certidão expedida pelo GDH que comprove recebimento de beneficio de Programa Social de complementação ou suplementação de renda do GDH. KENYA ANITA CERQUEIRA COSTA 029***.***-** 2 DEFERIDO JOSÉ CARLOS ALVES RIBEIRO FILHO 004***.***-** 1 DEFERIDO DANIELA RODRIGUES LOBO AMURIM 022***.***-** 1 DEFERIDO CARLA NUBIA SANTOS DO NASCIMENTO 870***.***-** 1 INDEFERIDO CANDIDATO (A) NÃO APRESENTOU DOCUMETAÇÃO EXIGIDA. O candidato não apresentou declaração expedida pelo GDH que comprove recebimento de beneficio de Programa Social de complementação ou suplementação de renda do GDH.(Prato Cheio e IDF social). ELAYNE CRISTINA DA SILVA 012***.***-** 1 DEFERIDO CLARA JANINE CAMACAM ROCHA 049***.***-** 1 DEFERIDO CLARA JANINE CAMACAM ROCHA 049***.***-** 6 DEFERIDO
  • 47.
    THAUANA PEREIRA DONASCIMENTO 036***.***-** 2 DEFERIDO DOUGLAS PIRES DE OLIVEIRA 005***.***-** 1 DEFERIDO AMANDA SATURNINO LEITE 065***.***-** - INDEFERIDO CANDIDATO (A) NÃO APRESENTOU DOCUMENTAÇÃO EXIGIDA EM PDF. BEATRIZ MENDES DE CARVALHO SOUSA 066***.***-** 1 INDEFERIDO CANDIDATO (A) NÃO APRESENTOU DOCUMETAÇÃO EXIGIDA(Formulario desatualizado). O candidato não apresentou certidão expedida pelo GDH que comprove recebimento de beneficio de Programa Social de complementação ou suplementação de renda do GDH. VINICIUS SALES CARDOSO 926***.***-** 1 DEFERIDO ANTÔNIA DA CONCEIÇÃO SANTOS 392***.***-** 1 DEFERIDO LOHANA DUARTE MONTEIRO 048***.***-** 1 INDEFERIDO CANDIDATO (A) NÃO APRESENTOU DOCUMETAÇÃO EXIGID.O candidato não apresentou certidão expedida pelo GDH que comprove recebimento de beneficio de Programa Social de complementação ou suplementação de renda do GDH. LOHANA DUARTE MONTEIRO 048***.***-** 3 INDEFERIDO CANDIDATO (A) NÃO APRESENTOU DOCUMETAÇÃO EXIGID.O candidato não apresentou certidão expedida pelo GDH que comprove recebimento de beneficio de Programa Social de complementação ou suplementação de renda do GDH. MARCELO AUGUSTO FERREIRA SANTOS 052***.***-** 1 INDEFERIDO CANDIDATO (A) NÃO APRESENTOU DOCUMETAÇÃO EXIGIDA(Formulario desatualizado). O candidato não apresentou certidão expedida pelo GDH que comprove recebimento de beneficio de Programa Social de complementação ou suplementação de renda do GDH. MARCELO DE JESUS SOUZA 890***.***-** 1 DEFERIDO ANDRÉ BRITO RIBEIRO 947***.***-** 1 INDEFERIDO CANDIDATO (A) NÃO APRESENTOU DOCUMETAÇÃO EXIGID.O candidato não apresentou certidão expedida pelo GDH que comprove recebimento de beneficio de Programa Social de complementação ou suplementação de renda do GDH. LARISSE NATHASHA DO NASCIMENTO 040***.***-** 1 INDEFERIDO CANDIDATO (A) NÃO APRESENTOU DOCUMENTAÇÃO EXIGIDA EM PDF. FRANCISCO PEREIRA ALVES 705***.***-** 8 INDEFERIDO CANDIDATO (A) NÃO APRESENTOU DOCUMETAÇÃO EXIGID.O candidato não apresentou certidão expedida pelo GDH que comprove recebimento de beneficio de Programa Social de complementação ou suplementação de renda do GDH. LUCIANA PEREIRA DA SILVA 726***.***-** 1 DEFERIDO CRISTIANE LIMA DE FARIAS ALENCAR 890***.***-** 1 DEFERIDO CRISTIANE LIMA DE FARIAS ALENCAR 890***.***-** 2 DEFERIDO LAIS LOPES DE MOURA 076***.***-** - INDEFERIDO CANDIDATO (A) NÃO APRESENTOU DOCUMETAÇÃO EXIGIDA. O candidato não apresentou o formulário atualizado devidamente preenchido e ASSINADO.
  • 48.
    ANTÔNIO CARLOS GOMESPEREIRA 055***.***-** 8 INDEFERIDO CANDIDATO (A) NÃO APRESENTOU DOCUMETAÇÃO EXIGID.O candidato não apresentou certidão expedida pelo GDH que comprove recebimento de beneficio de Programa Social de complementação ou suplementação de renda do GDH. AMANDA SALES BRUNO RIBEIRO 039***.***-** 2 INDEFERIDO CANDIDATO (A) NÃO APRESENTOU DOCUMETAÇÃO EXIGID.O candidato não apresentou certidão expedida pelo GDH que comprove recebimento de beneficio de Programa Social de complementação ou suplementação de renda do GDH. HAMILTON DIAS DE ANDRADE 032***.***-** 1 DEFERIDO DAVI DE ARAUJO DO NASCIMENTO 058***.***-** 1 DEFERIDO ESTEFANY SANTANA DE OLIVEIRA 032***.***-** 1 INDEFERIDO CANDIDATO (A) NÃO APRESENTOU DOCUMETAÇÃO EXIGID.O candidato não apresentou certidão expedida pelo GDH que comprove recebimento de beneficio de Programa Social de complementação ou suplementação de renda do GDH. CAROLINEMIDORI YAMAGUTI DE MEDEIROS 085***.***-** 1 DEFERIDO FABRICIO ROSSYLLAN DA PENHA 733***.***-** - INDEFERIDO CANDIDATO (A) NÃO APRESENTOU DOCUMETAÇÃO EXIGIDA(Formulario desatualizado). O candidato não apresentou certidão expedida pelo GDH que comprove recebimento de beneficio de Programa Social de complementação ou suplementação de renda do GDH. SIRLEY DE SOUSA RODRIGUES 034***.***-** 1 INDEFERIDO CANDIDATO (A) NÃO APRESENTOU DOCUMETAÇÃO EXIGID.O candidato não apresentou certidão expedida pelo GDH que comprove recebimento de beneficio de Programa Social de complementação ou suplementação de renda do GDH. ESTELLA SANTANA DE OLIVEIRA 032***.***-** 1 INDEFERIDO CANDIDATO (A) NÃO APRESENTOU DOCUMETAÇÃO EXIGID.O candidato não apresentou certidão expedida pelo GDH que comprove recebimento de beneficio de Programa Social de complementação ou suplementação de renda do GDH. ALESSANDRA DE SOUSA VIANA 049***.***-** 2 INDEFERIDO CANDIDATO (A) NÃO APRESENTOU DOCUMETAÇÃO EXIGID.O candidato não apresentou certidão expedida pelo GDH que comprove recebimento de beneficio de Programa Social de complementação ou suplementação de renda do GDH. BIANCA REBECA GOMES DE ARAUJO 082***.***-** 6 INDEFERIDO CANDIDATO (A) NÃO APRESENTOU DOCUMETAÇÃO EXIGID.O candidato não apresentou certidão expedida pelo GDH que comprove recebimento de beneficio de Programa Social de complementação ou suplementação de renda do GDH. GEOVANIA SERAFIM DE SOUZA QUEIROZ 697***.***-** - INDEFERIDO CANDIDATO (A) NÃO APRESENTOU DOCUMETAÇÃO EXIGIDA. O candidato não apresentou o formulário atualizado devidamente preenchido e ASSINADO.
  • 49.
    DYENE THULIPA DEMELO 018***.***-** 1 INDEFERIDO CANDIDATO (A) NÃO APRESENTOU DOCUMETAÇÃO EXIGIDA. O candidato não apresentou documento comprobatório da isenção de acordo com a hipótese escolhida. DYENE THULIPA DE MELO 018***.***-** 3 INDEFERIDO CANDIDATO (A) NÃO APRESENTOU DOCUMETAÇÃO EXIGIDA. O candidato não apresentou documento comprobatório da isenção de acordo com a hipótese escolhida. JESSICA MOREIRA DA SILVA 033***.***-** 1 INDEFERIDO CANDIDATO (A) NÃO APRESENTOU DOCUMENTAÇÃO EXIGIDA EM PDF. CLEIDE CASTRO DE MAGALHÃES DE SÁ -***.***-** - INDEFERIDO CANDIDATO (A) NÃO APRESENTOU DOCUMENTAÇÃO EXIGIDA EM PDF. TATIANE MIRANDA BORGES 728***.***-** 1 INDEFERIDO CANDIDATO (A) NÃO APRESENTOU DOCUMETAÇÃO EXIGID.O candidato não apresentou certidão expedida pelo GDH que comprove recebimento de beneficio de Programa Social de complementação ou suplementação de renda do GDH. TATIANE MIRANDA BORGES 728***.***-** 8 INDEFERIDO CANDIDATO (A) NÃO APRESENTOU O FORMULARIO PARA CADA PEDIDO DE ISENÇÃO DE TAXA UM E-MAIL PARA CADA CARGO. ANNA RUTH BISPO RAMALHO 071***.***-** 1 INDEFERIDO CANDIDATO (A) NÃO APRESENTOU DOCUMETAÇÃO EXIGID.O candidato não apresentou certidão expedida pelo GDH que comprove recebimento de beneficio de Programa Social de complementação ou suplementação de renda do GDH. SIDNEY REGIS FERREIRA 034***.***-** 1 DEFERIDO SIDNEY REGIS FERREIRA 034***.***-** 8 DEFERIDO GILSON MATEUS SOARES 037***.***-** 1 INDEFERIDO CANDIDATO (A) NÃO APRESENTOU DOCUMENTAÇÃO EXIGIDA EM PDF.(RG) IZABELA PIRES DA SILVA 023***.***-** 8 DEFERIDO LUCINEI AGOSTINHO DA SILVA 844***.***-** 7 DEFERIDO WALISON DOS SANTOS FERREIRA 034***.***-** 8 DEFERIDO WILTON KEVIN SILVA ALENCAR -***.***-** - INDEFERIDO CANDIDATO (A) NÃO APRESENTOU DOCUMETAÇÃO EXIGIDA. O candidato não apresentou o formulário atualizado devidamente preenchido e ASSINADO; nem o RG. ANDRÉ SILVA ALMEIDA 080***.***-** 1 INDEFERIDO CANDIDATO (A) NÃO APRESENTOU DOCUMETAÇÃO EXIGID.O candidato não apresentou certidão expedida pelo GDH que comprove recebimento de beneficio de Programa Social de complementação ou suplementação de renda do GDH. ANDREZA OLIVEIRA DE SOUSA -***.***-** - INDEFERIDO CANDIDATO (A) NÃO APRESENTOU DOCUMENTAÇÃO EXIGIDA EM PDF.( FORMULARIO, RG) PRISCILA SOUZA FERNANDES 034***.***-** 1 DEFERIDO PRISCILA SOUZA FERNANDES 034***.***-** 8 DEFERIDO WYCUCHABIL MONTEIRO COSTA 539***.***-** 1 DEFERIDO ANA LUIZA PIMENTEL DE QUEIROZ 034***.***-** 1 DEFERIDO
  • 50.
    GENILSON VALDIVINO DONASCIMENTO 986***.***-** 6 INDEFERIDO CANDIDATO (A) NÃO APRESENTOU DOCUMETAÇÃO EXIGIDA(Formulario desatualizado). O candidato não apresentou certidão expedida pelo GDH que comprove recebimento de beneficio de Programa Social de complementação ou suplementação de renda do GDH. LUCINEI AGOSTINHO DA SILVA 844***.***-** 1 INDEFERIDO CANDIDATO (A) NÃO APRESENTOU DOCUMETAÇÃO EXIGIDA. O candidato não apresentou o formulário atualizado devidamente preenchido e ASSINADO. LARISSE SOUSA DA SILVA 987***.***-** 1 INDEFERIDO CANDIDATO (A) NÃO APRESENTOU DOCUMETAÇÃO EXIGIDA(Formulario desatualizado). O candidato não apresentou certidão expedida pelo GDH que comprove recebimento de beneficio de Programa Social de complementação ou suplementação de renda do GDH. THAIS MERCADANTE NEVES 372***.***-** 4 DEFERIDO LUCIANO GOMES DANTAS 815***.***-** 1 INDEFERIDO CANDIDATO (A) NÃO APRESENTOU DOCUMENTAÇÃO EXIGIDA EM PDF.(RG) LUCIANO GOMES DANTAS 815***.***-** 7 INDEFERIDO CANDIDATO (A) NÃO APRESENTOU DOCUMENTAÇÃO EXIGIDA EM PDF.(RG) ANDREA MARINHO SILVA 804***.***-** 5 INDEFERIDO CANDIDATO (A) NÃO APRESENTOU DOCUMETAÇÃO EXIGIDA. O candidato não apresentou documento comprobatório da isenção de acordo com a hipótese escolhida (laudo Medico). REINALDO DE SOUZA 065***.***-** 2 INDEFERIDO CANDIDATO (A) NÃO APRESENTOU DOCUMETAÇÃO EXIGIDA. O candidato não apresentou documento comprobatório da isenção de acordo com a hipótese escolhida. LUCIENE GONÇALVES FERNANDES 825***.***-** 2 DEFERIDO EDILENE MOURA DE ARAUJO 017***.***-** 1 INDEFERIDO CANDIDATO (A) NÃO APRESENTOU DOCUMETAÇÃO EXIGID.O candidato não apresentou certidão expedida pelo GDH que comprove recebimento de beneficio de Programa Social de complementação ou suplementação de renda do GDH. VALERIA CRISTINA NUNES PIRES COSTA 992***.***-** 1 DEFERIDO VALERIA CRISTINA NUNES PIRES COSTA 992***.***-** 7 DEFERIDO SILVANA CORREIA DA SILVA 005***.***-** 1 INDEFERIDO CANDIDATO (A) NÃO APRESENTOU DOCUMETAÇÃO EXIGID.O candidato não apresentou certidão expedida pelo GDH que comprove recebimento de beneficio de Programa Social de complementação ou suplementação de renda do GDH. ELIANE MOREIRA DE TORRES 959***.***-** 1 DEFERIDO FERNANDO HENRIQUE DA SILVA TEODORO 047***.***-** 1 DEFERIDO FERNANDO HENRIQUE DA SILVA TEODORO 047***.***-** 7 DEFERIDO ANTÔNIO REINALDO ALVES DE ARAUJO 795***.***-** 1 DEFERIDO PATRICIA MATOS DOS SANTOS 830***.***-** 1 DEFERIDO NELSON OLIVEIRA RODRIGUES 010***.***-** 1 DEFERIDO LUIZ OTAVIO GEISTEIRA COSTA 109***.***-** 1 DEFERIDO
  • 51.
    LUENE VARELA DESOUZA 993***.***-** 2 INDEFERIDO CANDIDATO (A) NÃO APRESENTOU DOCUMETAÇÃO EXIGIDA(Formulario desatualizado). O candidato não apresentou certidão expedida pelo GDH que comprove recebimento de beneficio de Programa Social de complementação ou suplementação de renda do GDH. GLEDEIDSON OLIVEIRA DA SILVA 037***.***-** 1 DEFERIDO DANIELA SILVA COSTA 054***.***-** 1 INDEFERIDO CANDIDATO (A) NÃO APRESENTOU DOCUMETAÇÃO EXIGID.O candidato não apresentou certidão expedida pelo GDH que comprove recebimento de beneficio de Programa Social de complementação ou suplementação de renda do GDH. DANIELA SILVA COSTA 054***.***-** 5 INDEFERIDO CANDIDATO (A) NÃO APRESENTOU O FORMULARIO PARA CADA PEDIDO DE ISENÇÃO DE TAXA UM E-MAIL PARA CADA CARGO. CLEYTON FRANÇA CAMPOS 586***.***-** 2 INDEFERIDO CANDIDATO (A) NÃO APRESENTOU DOCUMETAÇÃO EXIGIDA(Formulario desatualizado). O candidato não apresentou certidão expedida pelo GDH que comprove recebimento de beneficio de Programa Social de complementação ou suplementação de renda do GDH. ISABEL CARNEIRO DE MELO 002***.***-** - INDEFERIDO CANDIDATO (A) NÃO APRESENTOU DOCUMETAÇÃO EXIGIDA. O candidato não apresentou documento comprobatório da isenção de acordo com a hipótese escolhida. ROSILENE SOARES XIMENDES 026***.***-** - INDEFERIDO CANDIDATO (A) NÃO APRESENTOU DOCUMETAÇÃO EXIGIDA(Formulario desatualizado). O candidato não apresentou certidão expedida pelo GDH que comprove recebimento de beneficio de Programa Social de complementação ou suplementação de renda do GDH. ELMA ASSUNÇÃO 666***.***-** 1 DEFERIDO ELMA ASSUNÇÃO 666***.***-** 4 DEFERIDO FATIMA APARECIDA ANGELICA NOGUEIRA 023***.***-** 1 DEFERIDO LEONARDO RODRIGUES CAPARROSA 041***.***-** 1 INDEFERIDO CANDIDATO (A) NÃO APRESENTOU DOCUMETAÇÃO EXIGIDA. O candidato não apresentou documento comprobatório da isenção de acordo com a hipótese escolhida (laudo Medico). AMANDA CECILIA GUEDES YAMAGUTI 026***.***-** 1 INDEFERIDO CANDIDATO (A) NÃO APRESENTOU DOCUMETAÇÃO EXIGID.O candidato não apresentou certidão expedida pelo GDH que comprove recebimento de beneficio de Programa Social de complementação ou suplementação de renda do GDH. AMANDA CECILIA GUEDES YAMAGUTI 026***.***-** 8 INDEFERIDO CANDIDATO (A) NÃO APRESENTOU DOCUMETAÇÃO EXIGID.O candidato não apresentou certidão expedida pelo GDH que comprove recebimento de beneficio de Programa Social de complementação ou suplementação de renda do GDH. VALDIVINO JOSÉ SANTANA NETO 002***.***-** 6 DEFERIDO
  • 52.
    BRUNO YAMAGUTI DECASTRO 727***.***-** 1 INDEFERIDO CANDIDATO (A) NÃO APRESENTOU DOCUMETAÇÃO EXIGID.O candidato não apresentou certidão expedida pelo GDH que comprove recebimento de beneficio de Programa Social de complementação ou suplementação de renda do GDH. BRUNO YAMAGUTI DE CASTRO 727***.***-** 8 INDEFERIDO CANDIDATO (A) NÃO APRESENTOU DOCUMETAÇÃO EXIGID.O candidato não apresentou certidão expedida pelo GDH que comprove recebimento de beneficio de Programa Social de complementação ou suplementação de renda do GDH. BRUNA LORRANE FERNANDES E SOUZA 057***.***-** 2 INDEFERIDO CANDIDATO (A) NÃO APRESENTOU DOCUMETAÇÃO EXIGIDA(Formulario desatualizado). O candidato não apresentou certidão expedida pelo GDH que comprove recebimento de beneficio de Programa Social de complementação ou suplementação de renda do GDH. VALERIA FREITASDA CRUZ 019***.***-** 1 INDEFERIDO CANDIDATO (A) NÃO APRESENTOU DOCUMETAÇÃO EXIGID.O candidato não apresentou certidão expedida pelo GDH que comprove recebimento de beneficio de Programa Social de complementação ou suplementação de renda do GDH. GRAZIELA DE FREITAS BARBOSA MOURA 986***.***-** 5 INDEFERIDO CANDIDATO (A) NÃO APRESENTOU DOCUMETAÇÃO EXIGID.O candidato não apresentou certidão expedida pelo GDH que comprove recebimento de beneficio de Programa Social de complementação ou suplementação de renda do GDH. KEILA DE ARAUJO RAMOS 579***.***-** 2 INDEFERIDO CANDIDATO (A) NÃO APRESENTOU DOCUMETAÇÃO EXIGID.O candidato não apresentou certidão expedida pelo GDH que comprove recebimento de beneficio de Programa Social de complementação ou suplementação de renda do GDH. TATIANA DA SILVA CAMPOS 699***.***-** 1 INDEFERIDO CANDIDATO (A) NÃO APRESENTOU DOCUMETAÇÃO EXIGID.O candidato não apresentou certidão expedida pelo GDH que comprove recebimento de beneficio de Programa Social de complementação ou suplementação de renda do GDH. RONALDO ALVES NOGUEIRA 026***.***-** 1 DEFERIDO RONALDO ALVES NOGUEIRA 026***.***-** 6 DEFERIDO PATRICIA BARBOSA DE CASTRO MENDES 028***.***-** 1 INDEFERIDO CANDIDATO (A) NÃO APRESENTOU DOCUMETAÇÃO EXIGIDA. O candidato não apresentou documento comprobatório da isenção de acordo com a hipótese escolhida (laudo Medico). JEAN CLAUDIO DOS SANTOS SOUZA 521***.***-** 1 DEFERIDO JEAN CLAUDIO DOS SANTOS SOUZA 521***.***-** 5 DEFERIDO WLAILSON ALVES ARAUJO 623***.***-** 1 DEFERIDO WLAILSON ALVES ARAUJO 623***.***-** 5 INDEFERIDO CANDIDATO (A) NÃO APRESENTOU O FORMULARIO PARA CADA PEDIDO DE ISENÇÃO DE TAXA UM E-MAIL PARA CADA CARGO. YASMIL DE JESUS OLIVEIRA 041***.***-** 6 DEFERIDO
  • 53.
    PATRICIA BARBOSA DECASTRO MENDES 028***.***-** 2 INDEFERIDO CANDIDATO (A) NÃO APRESENTOU DOCUMETAÇÃO EXIGIDA. O candidato não apresentou documento comprobatório da isenção de acordo com a hipótese escolhida (laudo Medico). MARIA LIVANIR DE OLIVEIRA RODRIGUES 783***.***-** 1 INDEFERIDO CANDIDATO (A) NÃO APRESENTOU DOCUMETAÇÃO EXIGIDA(Formulario desatualizado). O candidato não apresentou certidão expedida pelo GDH que comprove recebimento de beneficio de Programa Social de complementação ou suplementação de renda do GDH. DEBORA RIBEIRO DO NASCIMENTO 065***.***-** 2 INDEFERIDO CANDIDATO (A) NÃO APRESENTOU DOCUMETAÇÃO EXIGIDA(Formulario desatualizado). O candidato não apresentou certidão expedida pelo GDH que comprove recebimento de beneficio de Programa Social de complementação ou suplementação de renda do GDH. FRANCISCO DE ASSIS MOURA DOS SANTOS 815***.***-** 1 DEFERIDO FRANCISCO DE ASSIS MOURA DOS SANTOS 815***.***-** 2 DEFERIDO REGINA CRISTINA GONÇALVES LACERDA 734***.***-** 1 INDEFERIDO CANDIDATO (A) NÃO APRESENTOU DOCUMETAÇÃO EXIGID.O candidato não apresentou certidão expedida pelo GDH que comprove recebimento de beneficio de Programa Social de complementação ou suplementação de renda do GDH. REGINA CRISTINA GONÇALVES LACERDA 734***.***-** 2 INDEFERIDO CANDIDATO (A) NÃO APRESENTOU DOCUMETAÇÃO EXIGID.O candidato não apresentou certidão expedida pelo GDH que comprove recebimento de beneficio de Programa Social de complementação ou suplementação de renda do GDH. RENATA MAYARA BARBOSA ALMEIDA 036***.***-** 1 DEFERIDO MARYANA MELL DA SILVA ALVES 055***.***-** 1 INDEFERIDO CANDIDATO (A) NÃO APRESENTOU DOCUMETAÇÃO EXIGIDA(Formulario desatualizado). O candidato não apresentou certidão expedida pelo GDH que comprove recebimento de beneficio de Programa Social de complementação ou suplementação de renda do GDH. MAIANE ARAUJO SOUZA 991***.***-** 2 DEFERIDO MARIA EDUARDA BEZERRA SILVEIRA 031***.***-** 1 DEFERIDO MYLENA BEATRIZ DA SILVA 055***.***-** 1 INDEFERIDO CANDIDATO (A) NÃO APRESENTOU DOCUMETAÇÃO EXIGIDA(Formulario desatualizado). O candidato não apresentou certidão expedida pelo GDH que comprove recebimento de beneficio de Programa Social de complementação ou suplementação de renda do GDH. JORGE NICOLAS CARVALHO NUNES 088***.***-** - INDEFERIDO CANDIDATO (A) NÃO APRESENTOU DOCUMETAÇÃO EXIGID.O candidato não apresentou certidão expedida pelo GDH que comprove recebimento de beneficio de Programa Social de complementação ou suplementação de renda do GDH. ERISELDO DA SILVA NASCIMENTO 402***.***-** 3 DEFERIDO FERNANDO GABRIEL GARCIA NASCIMENTO 073***.***-** 1 DEFERIDO BRUNO BARRETO DA SILVA 029***.***-** 1 DEFERIDO
  • 54.
    BRUNO BARRETO DASILVA 029***.***-** 2 DEFERIDO ELANE CRISTINA ALVES RODRIGUES 700***.***-** 7 INDEFERIDO CANDIDATO (A) NÃO APRESENTOU DOCUMETAÇÃO EXIGID.O candidato não apresentou certidão expedida pelo GDH que comprove recebimento de beneficio de Programa Social de complementação ou suplementação de renda do GDH. WARLISSON MARQUES DOS SANTOS 014***.***-** 1 DEFERIDO WARLISSON MARQUES DOS SANTOS 014***.***-** 8 DEFERIDO THALITA MORAIS ALVES DA SILVA 019***.***-** 1 INDEFERIDO CANDIDATO (A) NÃO APRESENTOU DOCUMENTAÇÃO EXIGIDA EM PDF. THALITA MORAIS ALVES DA SILVA 019***.***-** 2 INDEFERIDO CANDIDATO (A) NÃO APRESENTOU DOCUMENTAÇÃO EXIGIDA EM PDF. KALINE DE JESUS DA SILVA 039***.***-** 1 INDEFERIDO CANDIDATO (A) NÃO APRESENTOU DOCUMETAÇÃO EXIGIDA(Formulario desatualizado). O candidato não apresentou certidão expedida pelo GDH que comprove recebimento de beneficio de Programa Social de complementação ou suplementação de renda do GDH. KARITA BEZERRA GOMES 866***.***-** 1 INDEFERIDO CANDIDATO (A) NÃO APRESENTOU DOCUMETAÇÃO EXIGIDA(Formulario desatualizado). O candidato não apresentou certidão expedida pelo GDH que comprove recebimento de beneficio de Programa Social de complementação ou suplementação de renda do GDH. GUSTAVO ALVINO SANTOS DE LIMA 015***.***-** 1 INDEFERIDO CANDIDATO (A) NÃO APRESENTOU DOCUMETAÇÃO EXIGIDA. O candidato não apresentou documento comprobatório da isenção de acordo com a hipótese escolhida (laudo Medico). KELEN CRISTINA BEZERRA DE OLIVEIRA ARAUJO 583***.***-** 1 DEFERIDO MARIA GABRIELE SOBRINHO RIBEIRO 067***.***-** 8 DEFERIDO ARTHUR GABRIEL GOMES CESAR 066***.***-** 1 INDEFERIDO CANDIDATO (A) NÃO APRESENTOU DOCUMENTAÇÃO EXIGIDA EM PDF.(IMAGENS) MAIRA MAERSCHNER PONTES 062***.***-** - INDEFERIDO CANDIDATO (A) NÃO APRESENTOU DOCUMETAÇÃO EXIGIDA. O candidato não apresentou no formulario o codigo do cargo. TAINÁ ALVES DE JESUS MAGALHÃES 052***.***-** 6 INDEFERIDO CANDIDATO (A) NÃO APRESENTOU DOCUMETAÇÃO EXIGID.O candidato não apresentou certidão expedida pelo GDH que comprove recebimento de beneficio de Programa Social de complementação ou suplementação de renda do GDH. ADRIANA DE JESUS NERY 004***.***-** 2 INDEFERIDO CANDIDATO (A) NÃO APRESENTOU DOCUMETAÇÃO EXIGIDA(Formulario desatualizado). O candidato não apresentou certidão expedida pelo GDH que comprove recebimento de beneficio de Programa Social de complementação ou suplementação de renda do GDH. FERNANDA PEREIRA DA SILVA -***.***-** - INDEFERIDO CANDIDATO (A) NÃO APRESENTOU DOCUMETAÇÃO EXIGIDA. O candidato não apresentou o formulário atualizado devidamente preenchido e ASSINADO.
  • 55.
    CARINA COSMO MONTENEGRO022***.***-** 1 INDEFERIDO CANDIDATO (A) NÃO APRESENTOU DOCUMETAÇÃO EXIGIDA(Formulario desatualizado). O candidato não apresentou certidão expedida pelo GDH que comprove recebimento de beneficio de Programa Social de complementação ou suplementação de renda do GDH. CARINA COSMO MONTENEGRO 022***.***-** 5 INDEFERIDO CANDIDATO (A) NÃO APRESENTOU DOCUMETAÇÃO EXIGIDA(Formulario desatualizado). O candidato não apresentou certidão expedida pelo GDH que comprove recebimento de beneficio de Programa Social de complementação ou suplementação de renda do GDH. CRISTIANA OLIVEIRA SOARES 007***.***-** 1 INDEFERIDO CANDIDATO (A) NÃO APRESENTOU DOCUMETAÇÃO EXIGIDA(Formulario desatualizado). O candidato não apresentou certidão expedida pelo GDH que comprove recebimento de beneficio de Programa Social de complementação ou suplementação de renda do GDH. CRISTIANA OLIVEIRA SOARES 007***.***-** 6 INDEFERIDO CANDIDATO (A) NÃO APRESENTOU DOCUMETAÇÃO EXIGIDA. O candidato não apresentou documento comprobatório da isenção de acordo com a hipótese escolhida (laudo Medico). ANDREIA SEIKO SAKAMITI PAZINI 442***.***-** 5 DEFERIDO DANIELA GOMES MACHADO 975***.***-** - INDEFERIDO CANDIDATO (A) NÃO APRESENTOU DOCUMETAÇÃO EXIGIDA. O candidato não apresentou documento comprobatório da isenção de acordo com a hipótese escolhida. VITORIA KOROLINY MOREIRA SANTINO 056***.***-** - INDEFERIDO CANDIDATO (A) NÃO APRESENTOU DOCUMETAÇÃO EXIGIDA. O candidato não apresentou documento comprobatório da isenção de acordo com a hipótese escolhida.(Cadunico). FERNANDA MENDES GALIZA DA SILVA 925***.***-** 1 DEFERIDO CLAUDIO ALVES DA SILVA 563***.***-** - INDEFERIDO O CANDIDATO (A) NÃO APRESENTOU DOCUMETAÇÃO EXIGIDA. O candidato não apresentou o formulário atualizado devidamente preenchido e ASSINADO, (LAUDO E CADUNICO). FABIANA DA SILVA ARAUJO 955***.***-** 1 INDEFERIDO O CANDIDATO (A) NÃO APRESENTOU DOCUMETAÇÃO EXIGIDA. O candidato não apresentou o RG. FABIANA DA SILVA ARAUJO 955***.***-** 7 INDEFERIDO O CANDIDATO (A) NÃO APRESENTOU DOCUMETAÇÃO EXIGIDA. O candidato não apresentou o RG. FERNANDA FREIRE DAMASCENO 703***.***-** 8 INDEFERIDO O CANDIDATO (A) NÃO APRESENTOU DOCUMETAÇÃO EXIGIDA EM PDF. O candidato não apresentou o FORMULARIO E RG em imagem. LAYLA BEASTRIZ LUIZ DA SILVA -***.***-** - INDEFERIDO O CANDIDATO (A) NÃO APRESENTOU DOCUMETAÇÃO EXIGIDA. O candidato não apresentou o formulário atualizado devidamente preenchido e ASSINADO. QUENIA QUELLE MARTINS CARDOSO -***.***-** - INDEFERIDO O CANDIDATO (A) NÃO APRESENTOU DOCUMETAÇÃO EXIGIDA EM PDF. O candidato não apresentou o FORMULARIO E RG. VITOR FERREIRA GOMES 028***.***-** 2 DEFERIDO THAIS DOS SANTOS RUFINO 035***.***-** 1 DEFERIDO
  • 56.
    THAIS DOS SANTOSRUFINO 035***.***-** 7 DEFERIDO VANESSA SOUZA RAMOS 014***.***-** 1 DEFERIDO FABBIO AUUGUSTO FLORENTINO FERREIRA 064***.***-** 1 DEFERIDO FABBIO AUUGUSTO FLORENTINO FERREIRA 064***.***-** 7 DEFERIDO ERISELDO DA SILVA NASCIMENTO 402***.***-** 1 DEFERIDO MILENA OLIVEIRA FERRAZ 056***.***-** 1DE DEFERIDO ALEXANDRA CRISTINA SILVA -***.***-** 1 INDEFERIDO O CANDIDATO (A) NÃO APRESENTOU DOCUMETAÇÃO EXIGIDA EM PDF. O candidato não apresentou o FORMULARIO E RG. ALEXANDRA CRISTINA SILVA -***.***-** 3 INDEFERIDO O CANDIDATO (A) NÃO APRESENTOU DOCUMETAÇÃO EXIGIDA EM PDF. O candidato não apresentou o FORMULARIO E RG. ISRAEL SOUZA DA SILVA 073***.***-** - INDEFERIDO CANDIDATO (A) NÃO APRESENTOU DOCUMETAÇÃO EXIGIDA. O candidato não apresentou o formulário atualizado devidamente preenchido e ASSINADO. LAIÍSE ELIAS SANTOS 038***.***-** 1 INDEFERIDO CANDIDATO (A) NÃO APRESENTOU DOCUMENTAÇÃO EXIGIDA EM PDF. LAIÍSE ELIAS SANTOS 038***.***-** 2 INDEFERIDO CANDIDATO (A) NÃO APRESENTOU DOCUMENTAÇÃO EXIGIDA EM PDF.(IMAGENS) MARIANA GALVÃO RODRIGUES 022***.***-** 1 INDEFERIDO CANDIDATO (A) NÃO APRESENTOU DOCUMETAÇÃO EXIGIDA(Formulario desatualizado). O candidato não apresentou certidão expedida pelo GDH que comprove recebimento de beneficio de Programa Social de complementação ou suplementação de renda do GDH. ANA CARLA NASCIMENTO DE MELO 043***.***-** 1 INDEFERIDO CANDIDATO (A) NÃO APRESENTOU DOCUMETAÇÃO EXIGIDA. O candidato não apresentou documento comprobatório da isenção de acordo com a hipótese escolhida (laudo Medico). RAFAELA RAYANE CARDOSO MOURA LEITE 047***.***-** 1 INDEFERIDO CANDIDATO (A) NÃO APRESENTOU DOCUMETAÇÃO EXIGIDA. O candidato não apresentou documento comprobatório da isenção de acordo com a hipótese escolhida. RAFAELA RAYANE CARDOSO MOURA LEITE 047***.***-** 8 INDEFERIDO CANDIDATO (A) NÃO APRESENTOU DOCUMETAÇÃO EXIGIDA. O candidato não apresentou documento comprobatório da isenção de acordo com a hipótese escolhida. TATIANE PEREIRA SAMPAIO 899***.***-** 8 INDEFERIDO CANDIDATO (A) NÃO APRESENTOU DOCUMETAÇÃO EXIGIDA. O candidato não apresentou documento comprobatório da isenção de acordo com a hipótese escolhida. JONATHAN DIAS LIMA 046***.***-** 1 DEFERIDO MARCELO SANTOS LIMA 734***.***-** 1 DEFERIDO SUENIA ELYSAMARA GOMES DE ALBURQUEQUE 051***.***-** 8 INDEFERIDO CANDIDATO (A) NÃO APRESENTOU DOCUMENTAÇÃO EXIGIDA.(RG) ANA CARINE CARDOSO NERI 002***.***-** 1 INDEFERIDO CANDIDATO (A) NÃO APRESENTOU DOCUMETAÇÃO EXIGID.O candidato não apresentou certidão expedida pelo GDH que comprove recebimento de beneficio de Programa Social de complementação ou suplementação de renda do GDH.
  • 57.
    MATHEUS MARCOS CARVALHODA CRUZ 052***.***-** 1 DEFERIDO MATHEUS MARCOS CARVALHO DA CRUZ 052***.***-** 8 DEFERIDO SARA GONÇALVES CORDEIRO 091***.***-** 1 INDEFERIDO CANDIDATO (A) NÃO APRESENTOU DOCUMETAÇÃO EXIGIDA. O candidato não apresentou declaração expedida pelo GDH que comprove recebimento de beneficio de Programa Social de complementação ou suplementação de renda do GDH.(Prato Cheio e IDF social). SARA GONÇALVES CORDEIRO 091***.***-** 8 INDEFERIDO CANDIDATO (A) NÃO APRESENTOU DOCUMETAÇÃO EXIGIDA. O candidato não apresentou declaração expedida pelo GDH que comprove recebimento de beneficio de Programa Social de complementação ou suplementação de renda do GDH.(Prato Cheio e IDF social). MISLANY RODRIGUES 838***.***-** 1 INDEFERIDO CANDIDATO (A) NÃO APRESENTOU DOCUMETAÇÃO EXIGIDA. O candidato não apresentou o formulário atualizado devidamente preenchido e ASSINADO. MARIA APARECIDA RODRIGUES DA SILVA 029***.***-** 1 INDEFERIDO CANDIDATO (A) NÃO APRESENTOU DOCUMETAÇÃO EXIGIDA. O candidato não apresentou declaração expedida pelo GDH que comprove recebimento de beneficio de Programa Social de complementação ou suplementação de renda do GDH.(Prato Cheio e IDF social). ANTÔNIO MARTINS DE SOUZA -***.***-** - INDEFERIDO CANDIDATO (A) NÃO APRESENTOU DOCUMENTAÇÃO EXIGIDA EM PDF.(IMAGENS) ALINE MARIA SILVA DO NASCIMENTO 058***.***-** 1 INDEFERIDO CANDIDATO (A) NÃO APRESENTOU DOCUMENTAÇÃO EXIGIDA EM PDF.(IMAGENS) ALINE MARIA SILVA DO NASCIMENTO 058***.***-** 8 INDEFERIDO CANDIDATO (A) NÃO APRESENTOU DOCUMENTAÇÃO EXIGIDA EM PDF. THAIS DE OLIVEIRA SOUZA 052***.***-** 1 INDEFERIDO CANDIDATO (A) NÃO APRESENTOU DOCUMETAÇÃO EXIGIDA. O candidato não apresentou declaração expedida pelo GDH que comprove recebimento de beneficio de Programa Social de complementação ou suplementação de renda do GDH.(Prato Cheio e IDF social). LETIICIA DA SILVA NEVES 066***.***-** 1 DEFERIDO LETIICIA DA SILVA NEVES 066***.***-** 2 DEFERIDO LETIICIA DA SILVA NEVES 066***.***-** 4 DEFERIDO MARIA ELLEN GUEDES MONTALVÃO -***.***-** - INDEFERIDO CANDIDATO (A) NÃO APRESENTOU DOCUMENTAÇÃO EXIGIDA EM PDF.(FORMULARIO, RG) MARIA DAS DORES MARINHO 883***.***-** 1 DEFERIDO LORRANY NATACHA SIRQUEIRA GONALVES DA MOTA 042***.***-** 3 INDEFERIDO CANDIDATO (A) NÃO APRESENTOU DOCUMETAÇÃO EXIGIDA. O candidato não apresentou documento comprobatório da isenção de acordo com a hipótese escolhida. WILSON DUTRA SILVA 704***.***-** 1 DEFERIDO RENAN CARLOS DA SILVA 012***.***-** 1 DEFERIDO
  • 58.
    DANIELA GOMES MACHADO975***.***-** - INDEFERIDO CANDIDATO (A) NÃO APRESENTOU DOCUMETAÇÃO EXIGIDA. O candidato não apresentou documento comprobatório da isenção de acordo com a hipótese escolhida. ADONIRAN DA SILVA COSTA 024***.***-** 1 INDEFERIDO CANDIDATO (A) NÃO APRESENTOU DOCUMETAÇÃO EXIGIDA. O candidato não apresentou documento comprobatório da isenção de acordo com a hipótese escolhida. ADONIRAN DA SILVA COSTA 024***.***-** 8 INDEFERIDO CANDIDATO (A) NÃO APRESENTOU DOCUMETAÇÃO EXIGIDA. O candidato não apresentou documento comprobatório da isenção de acordo com a hipótese escolhida. EDILEUSARODRIGUES FREIRES 477***.***-** 1 DEFERIDO BEATRIZ DE CARVALHO BREVES 057***.***-** 1 DEFERIDO DELMA LOPES DOS SANTOS -***.***-** - INDEFERIDO CANDIDATO (A) NÃO APRESENTOU DOCUMETAÇÃO EXIGIDA. O candidato não apresentou o formulário atualizado devidamente preenchido e ASSINADO. RODRIGO DE AMARAL BARRETO 700***.***-** 1 DEFERIDO CLEITON VIEIRA TORRES 713***.***-** 1 DEFERIDO CLEITON VIEIRA TORRES 713***.***-** 2 DEFERIDO GISELE DOS SANTOS FERREIRA 135***.***-** 1 INDEFERIDO CANDIDATO (A) NÃO APRESENTOU DOCUMETAÇÃO EXIGIDA. O candidato não apresentou documento comprobatório da isenção de acordo com a hipótese escolhida. ELISA MENDOÇADE CARVALHO 059***.***-** 1 DEFERIDO ELISA MENDOÇADE CARVALHO 059***.***-** 2 DEFERIDO LUIS FELIPE PEREIRA LEITE 037***.***-** 1 INDEFERIDO CANDIDATO (A) NÃO APRESENTOU DOCUMETAÇÃO EXIGIDA. O candidato não apresentou documento comprobatório da isenção de acordo com a hipótese escolhida. LUIS FELIPE PEREIRA LEITE 037***.***-** 5 INDEFERIDO CANDIDATO (A) NÃO APRESENTOU DOCUMETAÇÃO EXIGIDA. O candidato não apresentou documento comprobatório da isenção de acordo com a hipótese escolhida. DEIVISON GONÇALVES FREIRE 049***.***-** 1 INDEFERIDO CANDIDATO (A) NÃO APRESENTOU DOCUMETAÇÃO EXIGIDA. O candidato não apresentou documento comprobatório da isenção de acordo com a hipótese escolhida. CLAUDIO APARECIDO TAVARES DE OLIVEIRA 719***.***-** 1 DEFERIDO CLAUDIO APARECIDO TAVARES DE OLIVEIRA 719***.***-** 6 DEFERIDO ELIANE VIEIRA BRAGA DE PAIVA 975***.***-** 1 DEFERIDO MARCELO DE FREITAS LIMA DE ALBURQUEQUE 028***.***-** 1 INDEFERIDO CANDIDATO (A) NÃO APRESENTOU DOCUMENTAÇÃO EXIGIDA EM PDF.(FORMULARIO, RG) CINTIA KAROLINA NASCIMENTO ESPINDOLA 041***.***-** 1 DEFERIDO CINTIA KAROLINA NASCIMENTO ESPINDOLA 041***.***-** 7 DEFERIDO
  • 59.
    MARCOS VINICIUS NEVESDE SOUZA 002***.***-** 1 INDEFERIDO CANDIDATO (A) NÃO APRESENTOU DOCUMENTAÇÃO EXIGIDA EM PDF.(IMAGENS) MARCOS VINICIUS NEVES DE SOUZA 002***.***-** 8 INDEFERIDO CANDIDATO (A) NÃO APRESENTOU DOCUMENTAÇÃO EXIGIDA EM PDF.(IMAGENS) RIVANIA SEVERINO DA SILVA 808***.***-** 1 DEFERIDO RIVANIA SEVERINO DA SILVA 808***.***-** 8 DEFERIDO HELLEN CAROLINA DOS SANTOS 091***.***-** 1 INDEFERIDO CANDIDATO (A) NÃO APRESENTOU DOCUMETAÇÃO EXIGIDA. O candidato não apresentou declaração expedida pelo GDH que comprove recebimento de beneficio de Programa Social de complementação ou suplementação de renda do GDH.(Prato Cheio e IDF social). HELLEN CAROLINA DOS SANTOS 091***.***-** 8 INDEFERIDO CANDIDATO (A) NÃO APRESENTOU DOCUMETAÇÃO EXIGIDA. O candidato não apresentou declaração expedida pelo GDH que comprove recebimento de beneficio de Programa Social de complementação ou suplementação de renda do GDH.(Prato Cheio e IDF social). MIRELE TITO SILVA 067***.***-** 1 INDEFERIDO CANDIDATO (A) NÃO APRESENTOU DOCUMETAÇÃO EXIGIDA. O candidato não apresentou documento comprobatório da isenção de acordo com a hipótese escolhida. MIRELE TITO SILVA 067***.***-** 7 INDEFERIDO CANDIDATO (A) NÃO APRESENTOU DOCUMETAÇÃO EXIGIDA. O candidato não apresentou documento comprobatório da isenção de acordo com a hipótese escolhida. ERICK ALAN VIEGAS DE SOUSA 059***.***-** 2 INDEFERIDO CANDIDATO (A) NÃO APRESENTOU DOCUMETAÇÃO EXIGIDA. O candidato não apresentou documento comprobatório da isenção de acordo com a hipótese escolhida. LAYANE SOUSA RAMOS DE ARAUJO -***.***-** 1 INDEFERIDO CANDIDATO (A) NÃO APRESENTOU DOCUMETAÇÃO EXIGIDA. O candidato não apresentou documento comprobatório da isenção de acordo com a hipótese escolhida. LAYANE SOUSA RAMOS DE ARAUJO ***.***-** 8 INDEFERIDO CANDIDATO (A) NÃO APRESENTOU DOCUMETAÇÃO EXIGIDA. O candidato não apresentou documento comprobatório da isenção de acordo com a hipótese escolhida. ALDINEI FERREIRADA SILVA FERREIRA 955***.***-** 1 INDEFERIDO CANDIDATO (A) NÃO APRESENTOU DOCUMETAÇÃO EXIGIDA. O candidato não apresentou documento comprobatório da isenção de acordo com a hipótese escolhida (laudo Medico). SANDRA DOS SANTOS ALVES BATISTA 607***.***-** 1 DEFERIDO SANDRA DOS SANTOS ALVES BATISTA 607***.***-** 7 DEFERIDO VIVIAN EMANUELE NEPOMUCENO DA SILVA 050***.***-** 1 INDEFERIDO CANDIDATO (A) NÃO APRESENTOU DOCUMENTAÇÃO EXIGIDA EM PDF.(IMAGENS) JOÃO PAULO VIEIRA DE FRANÇA 002***.***-** 5 DEFERIDO IGOR FRANCISCO CAVALCANTI NOGUEIRA 033***.***-** 6 DEFERIDO JANDESON RAMOS DA MOTA GONÇALVES 035***.***-** 3 DEFERIDO
  • 60.
    WESLEY MARCOS DEJESUS SILVA 004***.***-** 1 DEFERIDO IGOR FRANCISCO CAVALCANTI NOGUEIRA 033***.***-** 1 DEFERIDO PRISCILA SOUZA FERNANDES 034***.***-** 8 INDEFERIDO CANDIDATO (A) NÃO APRESENTOU DOCUMENTAÇÃO EXIGIDA EM PDF.(RG) JOÃO PAULO VIEIRA DE FRANÇA 002***.***-** 1 DEFERIDO ANEZIA MERCÊS SOARES DE VASCONCELOS 553***.***-** 1 DEFERIDO PRISCILA SOUZA FERNANDES 034***.***-** 1 INDEFERIDO CANDIDATO (A) NÃO APRESENTOU DOCUMENTAÇÃO EXIGIDA EM PDF.(RG) MILENA TITO DA SILVA 052***.***-** 7 INDEFERIDO CANDIDATO (A) NÃO APRESENTOU DOCUMETAÇÃO EXIGIDA. O candidato não apresentou declaração expedida pelo GDH que comprove recebimento de beneficio de Programa Social de complementação ou suplementação de renda do GDH.(Prato Cheio e IDF social). JOÃO VITOR GOMES DE ABREU NUNES SOARES 033***.***-** 1 INDEFERIDO CANDIDATO (A) NÃO APRESENTOU DOCUMETAÇÃO EXIGIDA. O candidato não apresentou declaração expedida pelo GDH que comprove recebimento de beneficio de Programa Social de complementação ou suplementação de renda do GDH.(Prato Cheio e IDF social). JOÃO VITOR GOMES DE ABREU NUNES SOARES 033***.***-** 4 INDEFERIDO CANDIDATO (A) NÃO APRESENTOU DOCUMETAÇÃO EXIGIDA. O candidato não apresentou declaração expedida pelo GDH que comprove recebimento de beneficio de Programa Social de complementação ou suplementação de renda do GDH.(Prato Cheio e IDF social). GRAZIELLY GEOVANNA CASTRO DE ANDRADE 619***.***-** 6 INDEFERIDO CANDIDATO (A) NÃO APRESENTOU DOCUMETAÇÃO EXIGIDA. O candidato não apresentou declaração expedida pelo GDH que comprove recebimento de beneficio de Programa Social de complementação ou suplementação de renda do GDH.(Prato Cheio e IDF social). FABIANA ROCHA DOS SANTOS 004***.***-** 1 DEFERIDO FABIANA ROCHA DOS SANTOS 004***.***-** 3 DEFERIDO ALDINEI FERREIRADA SILVA FERREIRA 955***.***-** 2 INDEFERIDO CANDIDATO (A) NÃO APRESENTOU DOCUMETAÇÃO EXIGIDA EM PDF. O candidato não apresentou documento comprobatório da isenção de acordo com a hipótese escolhida (laudo Medico). LILIAN DA CONCEIÇÃO PEREIRA 729***.***-** 1 INDEFERIDO CANDIDATO (A) NÃO APRESENTOU DOCUMENTAÇÃO EXIGIDA EM PDF.( FORMULARIO,RG) MARISA FERREIRA DA SILVA 705***.***-** 1 INDEFERIDO CANDIDATO (A) NÃO APRESENTOU DOCUMETAÇÃO EXIGIDA EM PDF. O candidato não apresentou documento comprobatório da isenção de acordo com a hipótese escolhida. THAINA ALVES BATISTA 049***.***-** 1 DEFERIDO THAINA ALVES BATISTA 049***.***-** 7 DEFERIDO HERLENI CAVALCANTE FARIAS 584***.***-** 8 INDEFERIDO CANDIDATO (A) NÃO APRESENTOU DOCUMETAÇÃO EXIGIDA. O candidato não apresentou declaração expedida pelo GDH que comprove recebimento de beneficio de Programa Social de complementação ou suplementação de renda do GDH.(Prato Cheio e IDF social). ANEZIA MERCÊS SOARES DE VASCONCELOS 553***.***-** 6 DEFERIDO
  • 61.
    BIANCA SOARES DEAGUIAR BARBOSA 707***.***-** 8 INDEFERIDO CANDIDATO (A) NÃO APRESENTOU DOCUMENTAÇÃO EXIGIDA EM PDF.(RG) NATHALIA MARTINS DE ALMEIDA 124***.***-** 8 DEFERIDO RAYANA LUSTOSA DA COSTA BARROS 034***.***-** 1 DEFERIDO CLEIDE SANTOS DA CONCEIÇÃO 793***.***-** - INDEFERIDO CANDIDATO (A) NÃO APRESENTOU DOCUMENTAÇÃO EXIGIDA EM PDF.( CARGO,RG) BIANCA SOARES DE AGUIAR BARBOSA 707***.***-** 1 INDEFERIDO CANDIDATO (A) NÃO APRESENTOU DOCUMENTAÇÃO EXIGIDA EM PDF.(RG) RAYANA LUSTOSA DA COSTA BARROS 034***.***-** 5 DEFERIDO TIAGO DE ARAUJO REIS 019***.***-** 2 INDEFERIDO CANDIDATO (A) NÃO APRESENTOU DOCUMETAÇÃO EXIGIDA. O candidato não apresentou declaração expedida pelo GDH que comprove recebimento de beneficio de Programa Social de complementação ou suplementação de renda do GDH.(Prato Cheio e IDF social). TIAGO DE ARAUJO REIS 019***.***-** 1 INDEFERIDO CANDIDATO (A) NÃO APRESENTOU DOCUMETAÇÃO EXIGIDA. O candidato não apresentou declaração expedida pelo GDH que comprove recebimento de beneficio de Programa Social de complementação ou suplementação de renda do GDH.(Prato Cheio e IDF social). LIA ALBURQUEQUE 037***.***-** 1 INDEFERIDO CANDIDATO (A) NÃO APRESENTOU DOCUMENTAÇÃO EXIGIDA EM PDF.(RG) NATHALIA MARTINS DE ALMEIDA 124***.***-** 1 DEFERIDO JAIR DA SILVA JUNIOR 836***.***-** 2 DEFERIDO JAIR DA SILVA JUNIOR 836***.***-** 1 DEFERIDO RAFAELA ALVES DA SILVA PINTO 690***.***-** 1 DEFERIDO JOSÉ DINIZ SOBRINHO 620***.***-** 2 INDEFERIDO CANDIDATO (A) NÃO APRESENTOU DOCUMETAÇÃO EXIGIDA EM PDF. O candidato não apresentou documento comprobatório da isenção de acordo com a hipótese escolhida. ALEXANDRE RODRIGUES DE SOUZA 788***.***-** 4 DEFERIDO ALEXANDRE RODRIGUES DE SOUZA 788***.***-** 1 DEFERIDO ANA PAULA FERREIRA FRANCO 602***.***-** 1 INDEFERIDO CANDIDATO (A) NÃO APRESENTOU DOCUMETAÇÃO EXIGIDA. O candidato não apresentou declaração expedida pelo GDH que comprove recebimento de beneficio de Programa Social de complementação ou suplementação de renda do GDH.(Prato Cheio e IDF social). MARISTELA FERREIRA FRANCO 805***.***-** 1 INDEFERIDO CANDIDATO (A) NÃO APRESENTOU DOCUMETAÇÃO EXIGIDA. O candidato não apresentou declaração expedida pelo GDH que comprove recebimento de beneficio de Programa Social de complementação ou suplementação de renda do GDH.(Prato Cheio e IDF social). MARIA DO CARMO BARBOSA LIMA 020***.***-** 1 INDEFERIDO CANDIDATO (A) NÃO APRESENTOU DOCUMETAÇÃO EXIGIDA EM PDF. O candidato não apresentou documento comprobatório da isenção de acordo com a hipótese escolhida (laudo Medico). DEBORA MAIA RODOVALHO 026***.***-** 1 INDEFERIDO CANDIDATO (A) NÃO APRESENTOU DOCUMENTAÇÃO EXIGIDA EM PDF.(RG) ANDREIA MOREIRA DE SOUSA 883***.***-** 1 DEFERIDO
  • 62.
    SANDRA CASTRO DEOLIVEIRA 657***.***-** 1 INDEFERIDO CANDIDATO (A) NÃO APRESENTOU DOCUMETAÇÃO EXIGIDA. O candidato não apresentou declaração expedida pelo GDH que comprove recebimento de beneficio de Programa Social de complementação ou suplementação de renda do GDH.(Prato Cheio e IDF social). CLEIDE MOURA DOS SANTOS 693***.***-** 1 DEFERIDO CRISTIANE DA CONCEIÇÃO FERREIRA DE CARVALHO 669***.***-** 8 DEFERIDO VINICIUS ESMERALDO ALVES 052***.***-** 1 DEFERIDO VINICIUS ESMERALDO ALVES 052***.***-** 2 DEFERIDO PAULO ENRIQUE DAMAS CRUZ 011***.***-** 2 DEFERIDO MAURICIO JOSÉ CONCEIÇÃO DE SÁ 059***.***-** 1 INDEFERIDO CANDIDATO (A) NÃO APRESENTOU DOCUMETAÇÃO EXIGIDA. O candidato não apresentou declaração expedida pelo GDH que comprove recebimento de beneficio de Programa Social de complementação ou suplementação de renda do GDH.(Prato Cheio e IDF social). GRAZIELA DA SILVA SANTOS 614***.***-** 2 INDEFERIDO CANDIDATO (A) NÃO APRESENTOU DOCUMETAÇÃO EXIGIDA. O candidato não apresentou declaração expedida pelo GDH que comprove recebimento de beneficio de Programa Social de complementação ou suplementação de renda do GDH.(Prato Cheio e IDF social). MAYARA CARVALHO MOTA 026***.***-** 1 INDEFERIDO CANDIDATO (A) NÃO APRESENTOU DOCUMETAÇÃO EXIGIDA. O candidato não apresentou declaração expedida pelo GDH que comprove recebimento de beneficio de Programa Social de complementação ou suplementação de renda do GDH.(Prato Cheio e IDF social). ANA CARINE CARDOSO NERI 002***.***-** 1 INDEFERIDO CANDIDATO (A) NÃO APRESENTOU DOCUMETAÇÃO EXIGIDA. O candidato não apresentou documento comprobatório da isenção de acordo com a hipótese escolhida. O candidato deve apresentar certidão ou declaração equivalente expedida pelo Governo do Distrito Federal no presente ano que comprove recebimento de benefício de programa social de complementação ou suplementação de renda instituído pelo GDF ANA OLIVIA CASTANHEDE PETIT 690***.***-** 1 DEFERIDO KARINE CAROLINE DE OLIVEIRA 028***.***-** 2 DEFERIDO PATRICIA DA SILVA PEREIRA 956***.***-** 7 INDEFERIDO CANDIDATO (A) NÃO APRESENTOU DOCUMETAÇÃO EXIGIDA. O candidato não apresentou declaração expedida pelo GDH que comprove recebimento de beneficio de Programa Social de complementação ou suplementação de renda do GDH.(Prato Cheio e IDF social). NATALIA DIAS SILVA 048***.***-** 1 DEFERIDO ELZA MOREIRA DE SOUZA 875***.***-** 2 DEFERIDO PATRICIA ALVES MOREIRA 033***.***-** 1 DEFERIDO PATRICIA ALVES MOREIRA 033***.***-** 7 INDEFERIDO CANDIDATO (A) NÃO APRESENTOU O FORMULARIO PARA CADA PEDIDO DE ISENÇÃO DE TAXA UM E-MAIL PARA CADA CARGO.
  • 63.
    ALDENICE VIEIRA DASILVA 700***.***-** 3 INDEFERIDO CANDIDATO (A) NÃO APRESENTOU DOCUMETAÇÃO EXIGIDA. O candidato não apresentou declaração expedida pelo GDH que comprove recebimento de beneficio de Programa Social de complementação ou suplementação de renda do GDH.(Prato Cheio e IDF social). PATRICIA SOARES DE LIMA 717***.***-** 3 INDEFERIDO CANDIDATO (A) NÃO APRESENTOU DOCUMETAÇÃO EXIGIDA. O candidato não apresentou declaração expedida pelo GDH que comprove recebimento de beneficio de Programa Social de complementação ou suplementação de renda do GDH.(Prato Cheio e IDF social). FABIO TELES COSTA 710***.***-** 1 INDEFERIDO CANDIDATO (A) NÃO APRESENTOU DOCUMENTAÇÃO EXIGIDA EM PDF.(RG) ADRIANA BATISTA PEREIRA 014***.***-** 1 INDEFERIDO CANDIDATO (A) NÃO APRESENTOU DOCUMETAÇÃO EXIGIDA(Formulario desatualizado). O candidato não apresentou certidão expedida pelo GDH que comprove recebimento de beneficio de Programa Social de complementação ou suplementação de renda do GDH. EVELYN RODRIGUES COSTA 054***.***-** - INDEFERIDO CANDIDATO (A) NÃO APRESENTOU DOCUMENTAÇÃO EXIGIDA EM PDF.(FORMULARIO preenchido e assinado, RG) PATRICIA SOARES DE LIMA 717***.***-** 1 INDEFERIDO CANDIDATO (A) NÃO APRESENTOU DOCUMETAÇÃO EXIGIDA. O candidato não apresentou declaração expedida pelo GDH que comprove recebimento de beneficio de Programa Social de complementação ou suplementação de renda do GDH.(Prato Cheio e IDF social). MAGDA RIBEIRO DA COSTA 611***.***-** - INDEFERIDO CANDIDATO (A) NÃO APRESENTOU DOCUMETAÇÃO EXIGIDA. O candidato não apresentou o formulário atualizado devidamente preenchido e ASSINADO. VINICIUS GONÇALVES XAVIER 053***.***-** - INDEFERIDO O CANDIDATO (A) NÃO APRESENTOU DOCUMETAÇÃO EXIGIDA. O candidato não apresentou o formulário atualizado devidamente preenchido COM O CARGO. ERIKA SIMONY FERREIRA ELEOTERIO 727***.***-** - INDEFERIDO CANDIDATO (A) NÃO APRESENTOU DOCUMETAÇÃO EXIGIDA(Formulario desatualizado). O candidato não apresentou certidão expedida pelo GDH que comprove recebimento de beneficio de Programa Social de complementação ou suplementação de renda do GDH. ELIDA BATISTA BERTOLAZI 726***.***-** 1 INDEFERIDO CANDIDATO (A) NÃO APRESENTOU DOCUMETAÇÃO EXIGIDA. O candidato não apresentou declaração expedida pelo GDH que comprove recebimento de beneficio de Programa Social de complementação ou suplementação de renda do GDH.(Prato Cheio e IDF social). PRISCILA COIMBRA CINTRA 027***.***-** 7 DEFERIDO PRISCILA COIMBRA CINTRA 027***.***-** 1 DEFERIDO PATRICIA BARBOSA DE CASTRO MENDES 028***.***-** 2 INDEFERIDO CANDIDATO (A) NÃO APRESENTOU DOCUMETAÇÃO EXIGIDA. O candidato não apresentou documento comprobatório da isenção de acordo com a hipótese escolhida (laudo Medico e Cadunico). ANDRESSA FARIAS PINTO 017***.***-** 2 DEFERIDO
  • 64.
    LUIZ ALBERTO VIEIRASANTOS FILHO 124***.***-** 4 DEFERIDO ENEILTON DE CARVALHO NUNES 896***.***-** 3 DEFERIDO AMANDA CARDOSO 021***.***-** 1 INDEFERIDO CANDIDATO (A) NÃO APRESENTOU DOCUMETAÇÃO EXIGIDA. O candidato não apresentou documento comprobatório da isenção de acordo com a hipótese escolhida (laudo Medico). HELIO CESAR SOUZA LIMA 290***.***-** 2 INDEFERIDO CANDIDATO (A) NÃO APRESENTOU DOCUMETAÇÃO EXIGIDA. O candidato não apresentou declaração expedida pelo GDH que comprove recebimento de beneficio de Programa Social de complementação ou suplementação de renda do GDH.(Prato Cheio e IDF social). ANDRESSA FARIAS PINTO 017***.***-** 1 DEFERIDO PAULO BENVINDO DE MESQUITA 072***.***-** 8 DEFERIDO ELIDA BATISTA BERTOLAZI 726***.***-** 8 INDEFERIDO CANDIDATO (A) NÃO APRESENTOU DOCUMETAÇÃO EXIGIDA. O candidato não apresentou declaração expedida pelo GDH que comprove recebimento de beneficio de Programa Social de complementação ou suplementação de renda do GDH.(Prato Cheio e IDF social). LUIZ ALBERTO VIEIRA SANTOS FILHO 124***.***-** 1 DEFERIDO SABRINA SUANE ROCHA SANTOS 026***.***-** 1 DEFERIDO SABRINA SUANE ROCHA SANTOS 026***.***-** 2 DEFERIDO ADELIA CÔRTE DOS SANTOS 032***.***-** 1 DEFERIDO ADELIA CÔRTE DOS SANTOS 032***.***-** 6 DEFERIDO CRISTIANE VIEIRA FERREIRA 002***.***-** 2 INDEFERIDO CANDIDATO (A) NÃO APRESENTOU DOCUMETAÇÃO EXIGIDA(Formulario desatualizado). O candidato não apresentou certidão expedida pelo GDH que comprove recebimento de beneficio de Programa Social de complementação ou suplementação de renda do GDH. VERA LUCIA SOARES DE OLIVEIRA 001***.***-** 1 INDEFERIDO CANDIDATO (A) NÃO APRESENTOU DOCUMENTAÇÃO EXIGIDA EM PDF.(IMAGENS) TAITA DE ANDRADE COTA 025***.***-** 1 INDEFERIDO CANDIDATO (A) NÃO APRESENTOU DOCUMETAÇÃO EXIGIDA. O candidato não apresentou declaração expedida pelo GDH que comprove recebimento de beneficio de Programa Social de complementação ou suplementação de renda do GDH.(Prato Cheio e IDF social). TAITA DE ANDRADE COTA 025***.***-** 4 INDEFERIDO CANDIDATO (A) NÃO APRESENTOU DOCUMETAÇÃO EXIGIDA. O candidato não apresentou declaração expedida pelo GDH que comprove recebimento de beneficio de Programa Social de complementação ou suplementação de renda do GDH.(Prato Cheio e IDF social). TAMIRIS BEMFICA DA COSTA LIMA 020***.***-** 1 DEFERIDO TAMIRIS BEMFICA DA COSTA LIMA 020***.***-** 2 DEFERIDO
  • 65.
    NELZÍ LEITE DASILVA 381***.***-** 8 INDEFERIDO CANDIDATO (A) NÃO APRESENTOU DOCUMETAÇÃO EXIGIDA. O candidato não apresentou declaração expedida pelo GDH que comprove recebimento de beneficio de Programa Social de complementação ou suplementação de renda do GDH.(Prato Cheio e IDF social). LETICIA DE SOUSA LOPES 042***.***-** 1 DEFERIDO JANUBIA AZEVEDO SILVA 700***.***-** 6 DEFERIDO LUAN DE OLIVEIRA FIGUEREDO MATIAS FRANCO 059***.***-** 2 INDEFERIDO CANDIDATO (A) NÃO APRESENTOU DOCUMETAÇÃO EXIGIDA. O candidato não apresentou declaração expedida pelo GDH que comprove recebimento de beneficio de Programa Social de complementação ou suplementação de renda do GDH.(Prato Cheio e IDF social). THAYLLINE KELLEN DA SILVA ARAUJO 053***.***-** 1 DEFERIDO THAYLLINE KELLEN DA SILVA ARAUJO 053***.***-** 2 DEFERIDO LOYANE DO LIVRAMENTO ALVES 045***.***-** 1 INDEFERIDO CANDIDATO (A) NÃO APRESENTOU DOCUMETAÇÃO EXIGIDA. O candidato não apresentou documento comprobatório da isenção de acordo com a hipótese escolhida (laudo Medico e Cadunico). PATRICIA BARBOSA DE CASTRO MENDES 028***.***-** 1 INDEFERIDO CANDIDATO (A) NÃO APRESENTOU DOCUMETAÇÃO EXIGIDA. O candidato não apresentou documento comprobatório da isenção de acordo com a hipótese escolhida (laudo Medico e Cadunico). JULIANE SOARES FERNANDES 028***.***-** 6 INDEFERIDO CANDIDATO (A) NÃO APRESENTOU DOCUMETAÇÃO EXIGIDA EM PDF. O candidato não apresentou documento comprobatório da isenção de acordo com a hipótese escolhida. RAQUEL CRISTINA LEITE DA SILVA MORAIS 018***.***-** 8 INDEFERIDO CANDIDATO (A) NÃO APRESENTOU DOCUMETAÇÃO EXIGIDA. O candidato não apresentou declaração expedida pelo GDH que comprove recebimento de beneficio de Programa Social de complementação ou suplementação de renda do GDH.(Prato Cheio e IDF social). DENISE OLIVEIRA DOS SANTOS 727***.***-** 1 INDEFERIDO CANDIDATO (A) NÃO APRESENTOU DOCUMETAÇÃO EXIGIDA. O candidato não apresentou declaração expedida pelo GDH que comprove recebimento de beneficio de Programa Social de complementação ou suplementação de renda do GDH.(Prato Cheio e IDF social). DENISE OLIVEIRA DOS SANTOS 727***.***-** 7 INDEFERIDO CANDIDATO (A) NÃO APRESENTOU DOCUMETAÇÃO EXIGIDA. O candidato não apresentou declaração expedida pelo GDH que comprove recebimento de beneficio de Programa Social de complementação ou suplementação de renda do GDH.(Prato Cheio e IDF social). MARICELO SOUZA DOS SANTOS 045***.***-** 3 DEFERIDO BEATRIZ BARBOSA DE MELO 991***.***-** 1 DEFERIDO BEATRIZ BARBOSA DE MELO 991***.***-** 2 DEFERIDO KALYLY SIMEÂO MOURA CIPRIANO 011***.***-** 1 DEFERIDO KALYLY SIMEÂO MOURA CIPRIANO 011***.***-** 6 DEFERIDO MÔNICA PEREIRA LENZ 004***.***-** 1 DEFERIDO
  • 66.
    MÔNICA PEREIRA LENZ004***.***-** 4 DEFERIDO ANA GABRIELA BATISTA REIS 037***.***-** 1 INDEFERIDO CANDIDATO (A) NÃO APRESENTOU DOCUMETAÇÃO EXIGIDA. O candidato não apresentou declaração expedida pelo GDH que comprove recebimento de beneficio de Programa Social de complementação ou suplementação de renda do GDH.(Prato Cheio e IDF social). DALGIMAR MOREIRA DAVID 553***.***-** 1 DEFERIDO WILLIAM TEIXEIRA PEREIRA 033***.***-** 1 DEFERIDO WILLIAM TEIXEIRA PEREIRA 033***.***-** 2 INDEFERIDO CANDIDATO (A) NÃO APRESENTOU O FORMULARIO PARA CADA PEDIDO DE ISENÇÃO DE TAXA UM E-MAIL PARA CADA CARGO. NATALLIA ORRÚ REIS SILVEIRA SUHETT 014***.***-** 1 DEFERIDO JESSICA LUZIA DOS SANTOS MATOS 036***.***-** 5 INDEFERIDO CANDIDATO (A) NÃO APRESENTOU DOCUMETAÇÃO EXIGIDA. O candidato não apresentou o formulário atualizado devidamente preenchido e ASSINADO; nem o RG. REGINALDO DA SILVA LOBO 334***.***-** 3 INDEFERIDO CANDIDATO (A) NÃO APRESENTOU DOCUMETAÇÃO EXIGIDA(Formulario desatualizado). O candidato não apresentou certidão expedida pelo GDH que comprove recebimento de beneficio de Programa Social de complementação ou suplementação de renda do GDH. JULIENE ENEAS LIRA 031***.***-** 1 DEFERIDO AMANDA APARECIDA BARBOSA DA COSTA 021***.***-** 1 INDEFERIDO CANDIDATO (A) NÃO APRESENTOU DOCUMETAÇÃO EXIGIDA. O candidato não apresentou declaração expedida pelo GDH que comprove recebimento de beneficio de Programa Social de complementação ou suplementação de renda do GDH.(Prato Cheio e IDF social). RAQUEL RODRIGUES GONÇALVES CURADO 830***.***-** 1 DEFERIDO GALDENIA ALVES DE SOUSA 816***.***-** 1 INDEFERIDO CANDIDATO (A) NÃO APRESENTOU DOCUMETAÇÃO EXIGIDA EM PDF. O candidato não apresentou documento comprobatório da isenção de acordo com a hipótese escolhida. GALDENIA ALVES DE SOUSA 816***.***-** 2 INDEFERIDO CANDIDATO (A) NÃO APRESENTOU DOCUMETAÇÃO EXIGIDA EM PDF. O candidato não apresentou documento comprobatório da isenção de acordo com a hipótese escolhida. KATIA RODRIGUES DA SILVA 995***.***-** 1 DEFERIDO KATIA RODRIGUES DA SILVA 995***.***-** 7 DEFERIDO RODRIGO DE AMARAL BARRETO 700***.***-** 1 INDEFERIDO CANDIDATO (A) NÃO APRESENTOU DOCUMENTAÇÃO EXIGIDA EM PDF.(IMAGENS) ANA CRISTINA LEAL CARDOSO 785***.***-** 1 INDEFERIDO CANDIDATO (A) NÃO APRESENTOU DOCUMETAÇÃO EXIGIDA. O candidato não apresentou declaração expedida pelo GDH que comprove recebimento de beneficio de Programa Social de complementação ou suplementação de renda do GDH.(Prato Cheio e IDF social).
  • 67.
    ANA CRISTINA LEALCARDOSO 785***.***-** 8 INDEFERIDO CANDIDATO (A) NÃO APRESENTOU DOCUMETAÇÃO EXIGIDA. O candidato não apresentou declaração expedida pelo GDH que comprove recebimento de beneficio de Programa Social de complementação ou suplementação de renda do GDH.(Prato Cheio e IDF social). GABRIELA AZEVEDO OLIVEIRA 086***.***-** 6 DEFERIDO RENATA DA ROCHA DE SOUZA 009***.***-** 1 INDEFERIDO CANDIDATO (A) NÃO APRESENTOU DOCUMETAÇÃO EXIGIDA EM PDF. O candidato não apresentou documento comprobatório da isenção de acordo com a hipótese escolhida. RENATA DA ROCHA DE SOUZA 009***.***-** 6 INDEFERIDO CANDIDATO (A) NÃO APRESENTOU DOCUMETAÇÃO EXIGIDA EM PDF. O candidato não apresentou documento comprobatório da isenção de acordo com a hipótese escolhida. LUCIANO DE SOUSA PONTES 701***.***-** 7 DEFERIDO LUDMILA CARDOSO VELO CASTRO 016***.***-** 1 DEFERIDO LUDMILA CARDOSO VELO CASTRO 016***.***-** 6 DEFERIDO RAQUEL PEREIRA DE MESQUITA 040***.***-** 1 DEFERIDO VIVIAN COUTO ALMEIDA 008***.***-** 1 DEFERIDO VIVIAN COUTO ALMEIDA 008***.***-** 8 DEFERIDO THAUANA PEREIRA DO NASCIMENTO 036***.***-** 1 DEFERIDO ANNE KAREN SANTOS TRINDADE 033***.***-** 1 INDEFERIDO CANDIDATO (A) NÃO APRESENTOU DOCUMETAÇÃO EXIGIDA EM PDF. O candidato não apresentou documento comprobatório da isenção de acordo com a hipótese escolhida. JULIANA CARNEIRO GONÇALVES 227***.***-** 1 DEFERIDO JULIANA CARNEIRO GONÇALVES 227***.***-** 4 INDEFERIDO CANDIDATO (A) NÃO APRESENTOU O FORMULARIO PARA CADA PEDIDO DE ISENÇÃO DE TAXA UM E-MAIL PARA CADA CARGO. VIVIANE NUNES DA CUNHA 022***.***-** 1 DEFERIDO VIVIANE NUNES DA CUNHA 022***.***-** 6 DEFERIDO ANNA GARDENIA BASTOS MENDES 000***.***-** 1 DEFERIDO JOÃO TARCIZIO MOURA DA SILVA 765***.***-** 1 INDEFERIDO CANDIDATO (A) NÃO APRESENTOU DOCUMETAÇÃO EXIGIDA. O candidato não apresentou documento comprobatório da isenção de acordo com a hipótese escolhida (laudo Medico). JOÃO TARCIZIO MOURA DA SILVA 765***.***-** 6 INDEFERIDO CANDIDATO (A) NÃO APRESENTOU DOCUMETAÇÃO EXIGIDA. O candidato não apresentou documento comprobatório da isenção de acordo com a hipótese escolhida (laudo Medico). PÂMELA BRAGA DIOLINDO 026***.***-** 1 INDEFERIDO CANDIDATO (A) NÃO APRESENTOU DOCUMETAÇÃO EXIGIDA. O candidato não apresentou declaração expedida pelo GDH que comprove recebimento de beneficio de Programa Social de complementação ou suplementação de renda do GDH.(Prato Cheio e IDF social).
  • 68.
    PÂMELA BRAGA DIOLINDO026***.***-** 8 INDEFERIDO CANDIDATO (A) NÃO APRESENTOU DOCUMETAÇÃO EXIGIDA. O candidato não apresentou declaração expedida pelo GDH que comprove recebimento de beneficio de Programa Social de complementação ou suplementação de renda do GDH.(Prato Cheio e IDF social). AMANDA CRISTINA DOS REIS FONSECA 103***.***-** 1 DEFERIDO FABIANA CARNEIRO DE FREITAS 804***.***-** 1 INDEFERIDO CANDIDATO (A) NÃO APRESENTOU DOCUMETAÇÃO EXIGIDA(Formulario desatualizado). O candidato não apresentou certidão expedida pelo GDH que comprove recebimento de beneficio de Programa Social de complementação ou suplementação de renda do GDH. CLAUDIA MARIA PEREIRA 083***.***-** 1 INDEFERIDO CANDIDATO (A) NÃO APRESENTOU DOCUMETAÇÃO EXIGIDA EM PDF. O candidato não apresentou documento comprobatório da isenção de acordo com a hipótese escolhida. CLAUDIA MARIA PEREIRA 083***.***-** 4 INDEFERIDO CANDIDATO (A) NÃO APRESENTOU DOCUMETAÇÃO EXIGIDA EM PDF. O candidato não apresentou documento comprobatório da isenção de acordo com a hipótese escolhida. MARCIA MOREIRA CAMPOS 924***.***-** 1 INDEFERIDO CANDIDATO (A) NÃO APRESENTOU DOCUMETAÇÃO EXIGIDA. O candidato não apresentou declaração expedida pelo GDH que comprove recebimento de beneficio de Programa Social de complementação ou suplementação de renda do GDH.(Prato Cheio e IDF social). MARCIA MOREIRA CAMPOS 924***.***-** 4 INDEFERIDO CANDIDATO (A) NÃO APRESENTOU DOCUMETAÇÃO EXIGIDA. O candidato não apresentou declaração expedida pelo GDH que comprove recebimento de beneficio de Programa Social de complementação ou suplementação de renda do GDH.(Prato Cheio e IDF social). MARIA LUCIA DE ALARCÃO 553***.***-** 2 INDEFERIDO CANDIDATO (A) NÃO APRESENTOU DOCUMETAÇÃO EXIGIDA. O candidato não apresentou declaração expedida pelo GDH que comprove recebimento de beneficio de Programa Social de complementação ou suplementação de renda do GDH.(Prato Cheio e IDF social). ANA LUCIA RODRIGUES MARTINS 001***.***-** 1 INDEFERIDO CANDIDATO (A) NÃO APRESENTOU DOCUMETAÇÃO EXIGIDA EM PDF. O candidato não apresentou documento comprobatório da isenção de acordo com a hipótese escolhida. ANA LUCIA RODRIGUES MARTINS 001***.***-** 5 INDEFERIDO CANDIDATO (A) NÃO APRESENTOU DOCUMETAÇÃO EXIGIDA EM PDF. O candidato não apresentou documento comprobatório da isenção de acordo com a hipótese escolhida. DANIELA BRAS DE SOUZA 659***.***-** - INDEFERIDO CANDIDATO (A) NÃO APRESENTOU DOCUMENTAÇÃO EXIGIDA EM PDF.(IMAGENS) LEYZA LONALY TEIXEIRA 037***.***-** 8 INDEFERIDO CANDIDATO (A) NÃO APRESENTOU DOCUMENTAÇÃO EXIGIDA EM PDF.(RG) ISAQUEU GONÇALVES DE SOUSA DOURADO 012***.***-** 1 INDEFERIDO CANDIDATO (A) NÃO APRESENTOU DOCUMETAÇÃO EXIGIDA EM PDF. O candidato não apresentou documento comprobatório da isenção de acordo com a hipótese escolhida.
  • 69.
    LILIAN DA CONCEIÇÃOPEREIRA 729***.***-** 1 INDEFERIDO CANDIDATO (A) NÃO APRESENTOU DOCUMETAÇÃO EXIGIDA(Formulario desatualizado). O candidato não apresentou certidão expedida pelo GDH que comprove recebimento de beneficio de Programa Social de complementação ou suplementação de renda do GDH. ALBERTO FRANCISCO COSTINHAS ARAUJO 099***.***-** 7 DEFERIDO RICARDO NUNES DOS SANTOS 042***.***-** 1 DEFERIDO RICARDO NUNES DOS SANTOS 042***.***-** 4 DEFERIDO PEDRO HENRIQUE PEREIRA DA SILVA 016***.***-** 1 INDEFERIDO CANDIDATO (A) NÃO APRESENTOU DOCUMENTAÇÃO EXIGIDA EM PDF.(Só apresentou uma eleição) IGOR MONTENEGRO DE SOUZA 729***.***-** 1 DEFERIDO IGOR MONTENEGRO DE SOUZA 729***.***-** 6 DEFERIDO GLACILENE INÊS MARQUES 720***.***-** 1 INDEFERIDO CANDIDATO (A) NÃO APRESENTOU DOCUMETAÇÃO EXIGIDA. O candidato não apresentou declaração expedida pelo GDH que comprove recebimento de beneficio de Programa Social de complementação ou suplementação de renda do GDH.(Prato Cheio e IDF social). GLACILENE INÊS MARQUES 720***.***-** 2 INDEFERIDO CANDIDATO (A) NÃO APRESENTOU DOCUMETAÇÃO EXIGIDA. O candidato não apresentou declaração expedida pelo GDH que comprove recebimento de beneficio de Programa Social de complementação ou suplementação de renda do GDH.(Prato Cheio e IDF social). THAINÁ MIRANDA DOS SANTOS 064***.***-** 1 DEFERIDO THAINÁ MIRANDA DOS SANTOS 064***.***-** 3 DEFERIDO LUCIA HELENA DE SOUSA 717***.***-** 1 DEFERIDO FERNANDA LOPES DE ARAUJO 051***.***-** 1 INDEFERIDO CANDIDATO (A) NÃO APRESENTOU DOCUMETAÇÃO EXIGIDA. O candidato não apresentou declaração expedida pelo GDH que comprove recebimento de beneficio de Programa Social de complementação ou suplementação de renda do GDH.(Prato Cheio e IDF social). FERNANDA LOPES DE ARAUJO 051***.***-** 7 INDEFERIDO CANDIDATO (A) NÃO APRESENTOU DOCUMETAÇÃO EXIGIDA. O candidato não apresentou declaração expedida pelo GDH que comprove recebimento de beneficio de Programa Social de complementação ou suplementação de renda do GDH.(Prato Cheio e IDF social). DANILO SOUZA DOS SANTOS 044***.***-** 2 INDEFERIDO CANDIDATO (A) NÃO APRESENTOU DOCUMETAÇÃO EXIGIDA(Formulario desatualizado). O candidato não apresentou certidão expedida pelo GDH que comprove recebimento de beneficio de Programa Social de complementação ou suplementação de renda do GDH. GLEIDSON RODRIGUES DOS SANTOS 045***.***-** 1 DEFERIDO GLEIDSON RODRIGUES DOS SANTOS 045***.***-** 8 DEFERIDO SHEYLA LISBOA DOS SANTOS 704***.***-** 2 DEFERIDO MARIA IZABEL MACHADO 027***.***-** 1 INDEFERIDO CANDIDATO (A) NÃO APRESENTOU DOCUMENTAÇÃO EXIGIDA EM PDF.(IMAGENS)
  • 70.
    MARIA DO ROZARIOFONSECA 006***.***-** - INDEFERIDO O CANDIDATO (A) NÃO APRESENTOU DOCUMETAÇÃO EXIGIDA. O candidato não apresentou o formulário atualizado devidamente preenchido COM O CARGO. MAYARA CARVALHO MOTA 026***.***-** 2 INDEFERIDO CANDIDATO (A) NÃO APRESENTOU DOCUMETAÇÃO EXIGIDA. O candidato não apresentou declaração expedida pelo GDH que comprove recebimento de beneficio de Programa Social de complementação ou suplementação de renda do GDH.(Prato Cheio e IDF social). KELLYANE COSTA LIMA 025***.***-** 7 DEFERIDO BEATRIZ FERREIRA DE LIMA 046***.***-** - INDEFERIDO CANDIDATO (A) NÃO APRESENTOU DOCUMETAÇÃO EXIGIDA. O candidato não apresentou o formulário atualizado devidamente preenchido e ASSINADO. ALEF SOARES RIBEIRO 046***.***-** 1 INDEFERIDO CANDIDATO (A) NÃO APRESENTOU DOCUMETAÇÃO EXIGIDA. O candidato não apresentou declaração expedida pelo GDH que comprove recebimento de beneficio de Programa Social de complementação ou suplementação de renda do GDH.(Prato Cheio e IDF social). LUCAS SABOIA TORRES 019***.***-** 1 INDEFERIDO CANDIDATO (A) NÃO APRESENTOU DOCUMETAÇÃO EXIGIDA EM PDF. O candidato não apresentou documento comprobatório da isenção de acordo com a hipótese escolhida. NATHALIA CAMPOS DE SOUSA 062***.***-** 1 INDEFERIDO CANDIDATO (A) NÃO APRESENTOU DOCUMETAÇÃO EXIGIDA. O candidato não apresentou declaração expedida pelo GDH que comprove recebimento de beneficio de Programa Social de complementação ou suplementação de renda do GDH.(Prato Cheio e IDF social). MARIA CLARA DOS SANTOS SILVA 071***.***-** 1 INDEFERIDO CANDIDATO (A) NÃO APRESENTOU DOCUMETAÇÃO EXIGIDA. O candidato não apresentou documento comprobatório da isenção de acordo com a hipótese escolhida (laudo Medico). THAIANE SILVA MOURA 029***.***-** 1 DEFERIDO THAIANE SILVA MOURA 029***.***-** 5 DEFERIDO BRUNA FERREIRA DE PAULA 714***.***-** 1 DEFERIDO BRUNA FERREIRA DE PAULA 714***.***-** 6 INDEFERIDO CANDIDATO (A) NÃO APRESENTOU O FORMULARIO PARA CADA PEDIDO DE ISENÇÃO DE TAXA UM E-MAIL PARA CADA CARGO. JOSENI VARJÃO DO VALE 028***.***-** 1 DEFERIDO JAKELINE SOAYNE FARIAS FREIRE 033***.***-** 4 DEFERIDO ADRIANA SILVA ALVES 619***.***-** 1 INDEFERIDO CANDIDATO (A) NÃO APRESENTOU DOCUMENTAÇÃO EXIGIDA EM PDF.(RG) ELISANDRA DE ALBURQUEQUE 956***.***-** 1 DEFERIDO JAKELINE SOAYNE FARIAS FREIRE 033***.***-** 1 DEFERIDO DEBORA CARLA DE JESUS RUIVO 021***.***-** 1 DEFERIDO RHAYANNE FRANCISCO TEIXEIRA 006***.***-** 1 DEFERIDO PEDRO HENRIQUE ELLER GONZAGA 060***.***-** 1 DEFERIDO SANDRA PEREIRA MACHADO 926***.***-** 2 INDEFERIDO CANDIDATO (A) NÃO APRESENTOU DOCUMENTAÇÃO EXIGIDA EM PDF.(RG)
  • 71.
    BIANCA DA SILVAARAUJO 062***.***-** 1 INDEFERIDO CANDIDATO (A) NÃO APRESENTOU DOCUMETAÇÃO EXIGIDA. O candidato não apresentou declaração expedida pelo GDH que comprove recebimento de beneficio de Programa Social de complementação ou suplementação de renda do GDH.(Prato Cheio e IDF social). CECILIA CALIANNY CARDOSO 714***.***-** 1 INDEFERIDO CANDIDATO (A) NÃO APRESENTOU DOCUMETAÇÃO EXIGIDA. O candidato não apresentou declaração expedida pelo GDH que comprove recebimento de beneficio de Programa Social de complementação ou suplementação de renda do GDH.(Prato Cheio e IDF social). BRUNO FELIPE DOS SANTOS COSTA 730***.***-** 1 DEFERIDO CAROLINA MARIA DA SILVA COSTA 026***.***-** 3 INDEFERIDO CANDIDATO (A) NÃO APRESENTOU DOCUMETAÇÃO EXIGIDA. O candidato não apresentou declaração expedida pelo GDH que comprove recebimento de beneficio de Programa Social de complementação ou suplementação de renda do GDH.(Prato Cheio e IDF social). GABRIELA BARBOSA DA COSTA 036***.***-** 1 DEFERIDO GABRIELA BARBOSA DA COSTA 036***.***-** 6 DEFERIDO LIELSON NASCIMENTO DOS SANTOS 019***.***-** 1 INDEFERIDO CANDIDATO (A) NÃO APRESENTOU DOCUMETAÇÃO EXIGIDA. O candidato não apresentou declaração expedida pelo GDH que comprove recebimento de beneficio de Programa Social de complementação ou suplementação de renda do GDH.(Prato Cheio e IDF social). REGINA CELIA CARNEIRO DOS SANTOS 771***.***-** 1 DEFERIDO REGINA CELIA CARNEIRO DOS SANTOS 771***.***-** 8 DEFERIDO ADRIANA VIRGULINO DOS SANTOS 822***.***-** 7 INDEFERIDO CANDIDATO (A) NÃO APRESENTOU DOCUMETAÇÃO EXIGIDA(Formulario desatualizado). O candidato não apresentou certidão expedida pelo GDH que comprove recebimento de beneficio de Programa Social de complementação ou suplementação de renda do GDH. KATIA SILVA DA FONSECA 786***.***-** 1 DEFERIDO KATIA SILVA DA FONSECA 786***.***-** 2 DEFERIDO PALOMA OLIVEIRA DA SILVA LISBOA 029***.***-** 2 INDEFERIDO CANDIDATO (A) NÃO APRESENTOU DOCUMETAÇÃO EXIGIDA. O candidato não apresentou declaração expedida pelo GDH que comprove recebimento de beneficio de Programa Social de complementação ou suplementação de renda do GDH.(Prato Cheio e IDF social). RUANE CARLA DOS SANTOS 044***.***-** 1 INDEFERIDO CANDIDATO (A) NÃO APRESENTOU DOCUMETAÇÃO EXIGIDA. O candidato não apresentou documento comprobatório da isenção de acordo com a hipótese escolhida (laudo Medico). TATIANE NASCIMENTO DE SOUSA VIGILATO 023***.***-** 1 DEFERIDO TATIANE NASCIMENTO DE SOUSA VIGILATO 023***.***-** 6 DEFERIDO SILVANA DO SOCORRO MACHADO RODRIGUES 509***.***-** 1 DEFERIDO YOHANE PENHA COSTA 018***.***-** 1 DEFERIDO YOHANE PENHA COSTA 018***.***-** 3 DEFERIDO
  • 72.
    HIRLANE CAROLINE BARBOSAROCHA 054***.***-** 8 INDEFERIDO CANDIDATO (A) NÃO APRESENTOU DOCUMETAÇÃO EXIGIDA. O candidato não apresentou declaração expedida pelo GDH que comprove recebimento de beneficio de Programa Social de complementação ou suplementação de renda do GDH.(Prato Cheio e IDF social). TAMIRES XAVIER DA SILVA 016***.***-** 8 INDEFERIDO CANDIDATO (A) NÃO APRESENTOU DOCUMETAÇÃO EXIGIDA. O candidato não apresentou declaração expedida pelo GDH que comprove recebimento de beneficio de Programa Social de complementação ou suplementação de renda do GDH.(Prato Cheio e IDF social). EVERTON FERNANDES DE ARAUJO 053***.***-** 1 DEFERIDO ROSAMARIA OLIVEIRA DOS SANTOS 013***.***-** 1 DEFERIDO ROSAMARIA OLIVEIRA DOS SANTOS 013***.***-** 3 DEFERIDO WELLINGTON OLIVEIRA SILVA 428***.***-** 1 DEFERIDO LIDIA FRANCISCA DA SILVA 003***.***-** 8 INDEFERIDO CANDIDATO (A) NÃO APRESENTOU DOCUMENTAÇÃO EXIGIDA EM PDF.(RG) MARIA DE JESUS PEREIRA COSTA 806***.***-** 3 DEFERIDO DOUGLAS PIRES DE OLIVEIRA 005***.***-** 1 DEFERIDO DOUGLAS PIRES DE OLIVEIRA 005***.***-** 2 DEFERIDO STHEFANI CARDOSO DE ANDRADE SÁ 051***.***-** 1 INDEFERIDO CANDIDATO (A) NÃO APRESENTOU DOCUMETAÇÃO EXIGIDA. O candidato não apresentou declaração expedida pelo GDH que comprove recebimento de beneficio de Programa Social de complementação ou suplementação de renda do GDH.(Prato Cheio e IDF social). LILIANE MIRANDA ROCHA 709***.***-** 7 INDEFERIDO CANDIDATO (A) NÃO APRESENTOU DECLARAÇÃO EXPEDIDA PELO GDF QUE COMPROVE RECEBIMENTO DE BENEFÍCIO DE PROGRAMA SOCIAL DE COMPLEMENTAÇÃO OU SUPLEMENTAÇÃO DE RENDA DO GDF (PRATO CHEIO E DF SOCIAL) LILIANE MIRANDA ROCHA 709***.***-** 1 INDEFERIDO CANDIDATO (A) NÃO APRESENTOU DECLARAÇÃO EXPEDIDA PELO GDF QUE COMPROVE RECEBIMENTO DE BENEFÍCIO DE PROGRAMA SOCIAL DE COMPLEMENTAÇÃO OU SUPLEMENTAÇÃO DE RENDA DO GDF (PRATO CHEIO E DF SOCIAL) IRANEIDE DA SILVA PIRES 016***.***-** 5 INDEFERIDO CANDIDATO (A) NÃO APRESENTOU DECLARAÇÃO EXPEDIDA PELO GDF QUE COMPROVE RECEBIMENTO DE BENEFÍCIO DE PROGRAMA SOCIAL DE COMPLEMENTAÇÃO OU SUPLEMENTAÇÃO DE RENDA DO GDF (PRATO CHEIO E DF SOCIAL) MARINA RAISA CORREIA E CASTRO 043***.***-** 1 DEFERIDO MARINA RAISA CORREIA E CASTRO 043***.***-** 8 INDEFERIDO CANDIDATO (A) NÃO APRESENTOU DOCUMENTO DE FORMULÁRIO PARA O OUTRO CARGO JEFERSON SILVA DOS SANTOS 061***.***-** 7 INDEFERIDO CANDIDATO (A) NÃO APRESENTOU DOCUMENTAÇÃO EXIGIDA EM PDF JOYCE LINHARES DA SILVA 060***.***-** 1 DEFERIDO JOYCE LINHARES DA SILVA 060***.***-** 7 DEFERIDO
  • 73.
    PEDRO DOMINGOS BUENONETO 342***.***-** 2 INDEFERIDO CANDIDATO (A) NÃO APRESENTOU DECLARAÇÃO EXPEDIDA PELO GDF QUE COMPROVE RECEBIMENTO DE BENEFÍCIO DE PROGRAMA SOCIAL DE COMPLEMENTAÇÃO OU SUPLEMENTAÇÃO DE RENDA DO GDF (PRATO CHEIO E DF SOCIAL) ELAINE DA SILVA BARBOSA 037***.***-** 1 INDEFERIDO CANDIDATO (A) NÃO APRESENTOU DECLARAÇÃO EXPEDIDA PELO GDF QUE COMPROVE RECEBIMENTO DE BENEFÍCIO DE PROGRAMA SOCIAL DE COMPLEMENTAÇÃO OU SUPLEMENTAÇÃO DE RENDA DO GDF (PRATO CHEIO E DF SOCIAL) MATHEUS FELICIANO FIGUEIREDO 066***.***-** 1 DEFERIDO KELLY CHRISTIANE DE ARAUJO LIMA 020***.***-** 1 DEFERIDO KELLY CHRISTIANE DE ARAUJO LIMA 020***.***-** 4 DEFERIDO PAULO MAURÍCIO DA SILVA FILHO 117***.***-** 1 DEFERIDO REINALDO JOSÉ DA SILVA 004***.***-** 1 INDEFERIDO CANDIDATO (A) NÃO APRESENTOU DOCUMENTO DE IDENTIFICAÇÃO E FORMULÁRIO PARA PEDIDO DE ISENÇÃO ATUALIZADO JESSICA KAROLINA FERNANDES FRANÇA 041***.***-** 1 INDEFERIDO CANDIDATO (A) NÃO APRESENTOU DOCUMENTO DE IDENTIFICAÇÃO E FORMULÁRIO PARA PEDIDO DE ISENÇÃO ATUALIZADO E A OPÇÃO ESCOLHIDA JESSICA KAROLINA FERNANDES FRANÇA 041***.***-** 6 INDEFERIDO CANDIDATO (A) NÃO APRESENTOU DOCUMENTO DE IDENTIFICAÇÃO E FORMULÁRIO PARA PEDIDO DE ISENÇÃO ATUALIZADO E A OPÇÃO ESCOLHIDA ALICE BORGES RODRIGUES TELES MENEZES 807***.***-** 6 INDEFERIDO CANDIDATO (A) NÃO APRESENTOU DOCUMENTO DE IDENTIFICAÇÃO E FORMULÁRIO PARA PEDIDO DE ISENÇÃO ATUALIZADO E A OPÇÃO ESCOLHIDA FRANCISCO HILDO MARINHO MEDINA 061***.***-** 1 DEFERIDO FRANCISCO HILDO MARINHO MEDINA 061***.***-** 8 DEFERIDO ANGELA MARIA DA SILVA DOS SANTOS 018***.***-** INDEFERIDO CANDIDATO (A) NÃO APRESENTOU DECLARAÇÃO EXPEDIDA PELO GDF QUE COMPROVE RECEBIMENTO DE BENEFÍCIO DE PROGRAMA SOCIAL DE COMPLEMENTAÇÃO OU SUPLEMENTAÇÃO DE RENDA DO GDF (PRATO CHEIO E DF SOCIAL) JAQUELINE NUNES DOS SANTOS 052***.***-** 1 INDEFERIDO CANDIDATO (A) NÃO APRESENTOU DECLARAÇÃO EXPEDIDA PELO GDF QUE COMPROVE RECEBIMENTO DE BENEFÍCIO DE PROGRAMA SOCIAL DE COMPLEMENTAÇÃO OU SUPLEMENTAÇÃO DE RENDA DO GDF (PRATO CHEIO E DF SOCIAL) JAQUELINE NUNES DOS SANTOS ***.***-** 3 INDEFERIDO CANDIDATO (A) NÃO APRESENTOU DECLARAÇÃO EXPEDIDA PELO GDF QUE COMPROVE RECEBIMENTO DE BENEFÍCIO DE PROGRAMA SOCIAL DE COMPLEMENTAÇÃO OU SUPLEMENTAÇÃO DE RENDA DO GDF (PRATO CHEIO E DF SOCIAL)
  • 74.
    TANIA MARIA SALESARAUJO DE SOUSA 026***.***-** 1 INDEFERIDO CANDIDATO (A) NÃO APRESENTOU DECLARAÇÃO EXPEDIDA PELO GDF QUE COMPROVE RECEBIMENTO DE BENEFÍCIO DE PROGRAMA SOCIAL DE COMPLEMENTAÇÃO OU SUPLEMENTAÇÃO DE RENDA DO GDF (PRATO CHEIO E DF SOCIAL) ÉRCIA XAVIER DE FARIA 606***.***-** 1 INDEFERIDO CANDIDATO (A) NÃO APRESENTOU DOCUMENTAÇÃO EXIGIDA RG ELIVANIA BESSA DE CARVALHO 015***.***-** 1 INDEFERIDO CANDIDATO (A) NÃO APRESENTOU DECLARAÇÃO EXPEDIDA PELO GDF QUE COMPROVE RECEBIMENTO DE BENEFÍCIO DE PROGRAMA SOCIAL DE COMPLEMENTAÇÃO OU SUPLEMENTAÇÃO DE RENDA DO GDF (PRATO CHEIO E DF SOCIAL) KEILA RIBEIRO DOS SANTOS 091***.***-** 1 INDEFERIDO CANDIDATO (A) NÃO APRESENTOU DOCUMENTAÇÃO EXIGIDA RG MARIA RAIMUNDA RIBEIRO SEPULVEDA 033***.***-** 1 INDEFERIDO CANDIDATO (A) NÃO APRESENTOU DECLARAÇÃO EXPEDIDA PELO GDF QUE COMPROVE RECEBIMENTO DE BENEFÍCIO DE PROGRAMA SOCIAL DE COMPLEMENTAÇÃO OU SUPLEMENTAÇÃO DE RENDA DO GDF (PRATO CHEIO E DF SOCIAL) MARIA RAIMUNDA RIBEIRO SEPULVEDA 033***.***-** 1 INDEFERIDO CANDIDATO (A) NÃO APRESENTOU DECLARAÇÃO EXPEDIDA PELO GDF QUE COMPROVE RECEBIMENTO DE BENEFÍCIO DE PROGRAMA SOCIAL DE COMPLEMENTAÇÃO OU SUPLEMENTAÇÃO DE RENDA DO GDF (PRATO CHEIO E DF SOCIAL) DANIELLA VERÍSSIMO SANTOS DO NASCIMENTO 067***.***-** 1 DEFERIDO DANIELLA VERÍSSIMO SANTOS DO NASCIMENTO 067***.***-** 8 DEFERIDO JAQUELINE ARAUJO DA ANUNCIAÇÃO 942***.***-** 8 CANDIDATO (A) NÃO APRESENTOU DECLARAÇÃO EXPEDIDA PELO GDF QUE COMPROVE RECEBIMENTO DE BENEFÍCIO DE PROGRAMA SOCIAL DE COMPLEMENTAÇÃO OU SUPLEMENTAÇÃO DE RENDA DO GDF (PRATO CHEIO E DF SOCIAL) VITÓRIA AGUIAR NUNES 076***.***-** 1 INDEFERIDO CANDIDATO (A) NÃO APRESENTOU DECLARAÇÃO EXPEDIDA PELO GDF QUE COMPROVE RECEBIMENTO DE BENEFÍCIO DE PROGRAMA SOCIAL DE COMPLEMENTAÇÃO OU SUPLEMENTAÇÃO DE RENDA DO GDF (PRATO CHEIO E DF SOCIAL) FERNANDA FLAVIA BASTOS DE SILVA 077***.***-** 2 INDEFERIDO CANDIDATO (A) NÃO APRESENTOU DECLARAÇÃO EXPEDIDA PELO GDF QUE COMPROVE RECEBIMENTO DE BENEFÍCIO DE PROGRAMA SOCIAL DE COMPLEMENTAÇÃO OU SUPLEMENTAÇÃO DE RENDA DO GDF (PRATO CHEIO E DF SOCIAL) RAFAEL DE QUEIROZ TEOFILO 042***.***-** 1 DEFERIDO ANALIA RIBEIRO DA SILVA 005***.***-** 8 DEFERIDO SUELY CARNEIRO MATOS DOS SANTOS 610***.***-** 1 DEFERIDO MARLUCI RODRIGUES EVANGELISTA 824***.***-** 1 INDEFERIDO CANDIDATO (A) NÃO APRESENTOU DECLARAÇÃO EXPEDIDA PELO GDF QUE COMPROVE RECEBIMENTO DE BENEFÍCIO DE PROGRAMA SOCIAL DE COMPLEMENTAÇÃO OU SUPLEMENTAÇÃO DE RENDA DO GDF (PRATO CHEIO E DF SOCIAL)
  • 75.
    MARLUCI RODRIGUES EVANGELISTA824***.***-** 8 INDEFERIDO CANDIDATO (A) NÃO APRESENTOU DECLARAÇÃO EXPEDIDA PELO GDF QUE COMPROVE RECEBIMENTO DE BENEFÍCIO DE PROGRAMA SOCIAL DE COMPLEMENTAÇÃO OU SUPLEMENTAÇÃO DE RENDA DO GDF (PRATO CHEIO E DF SOCIAL) ANA CAROLINA DE MIRANDA MACIEL 695***.***-** 1 INDEFERIDO CANDIDATO (A) NÃO APRESENTOU LAUDO MÉDICO COMPROBATÓRIO DA ISENÇÃO DE ACORDO COM A POSSIBILIDADE ESCOLHIDA (CAD. ÚNICO FEDERAL) ROGERIO AMARAL DE SOUZA 784***.***-** 1 INDEFERIDO CANDIDATO (A) NÃO APRESENTOU DECLARAÇÃO EXPEDIDA PELO GDF QUE COMPROVE RECEBIMENTO DE BENEFÍCIO DE PROGRAMA SOCIAL DE COMPLEMENTAÇÃO OU SUPLEMENTAÇÃO DE RENDA DO GDF (PRATO CHEIO E DF SOCIAL) LEDA CRISTINA ARAUJO CAMPOS 010***.***-** 2 INDEFERIDO CANDIDATO (A) NÃO APRESENTOU DECLARAÇÃO EXPEDIDA PELO GDF QUE COMPROVE RECEBIMENTO DE BENEFÍCIO DE PROGRAMA SOCIAL DE COMPLEMENTAÇÃO OU SUPLEMENTAÇÃO DE RENDA DO GDF (PRATO CHEIO E DF SOCIAL) MAYARA HANYLE BENTO GOMES DA SILVA 035***.***-** 8 DEFERIDO MAYARA HANYLE BENTO GOMES DA SILVA 035***.***-** 1 DEFERIDO KARINA MARTIAS RIOS 834***.***-** 5 INDEFERIDO CANDIDATO (A) NÃO APRESENTOU DOCUMENTAÇÃO EXIGIDA RG GRAZIELA DE FREITAS BARBOSA MOURA 086***.***-** 5 INDEFERIDO CANDIDATO (A) NÃO APRESENTOU DECLARAÇÃO EXPEDIDA PELO GDF QUE COMPROVE RECEBIMENTO DE BENEFÍCIO DE PROGRAMA SOCIAL DE COMPLEMENTAÇÃO OU SUPLEMENTAÇÃO DE RENDA DO GDF (PRATO CHEIO E DF SOCIAL) NAYARA VIEIRA MARTINS ALVES 042***.***-** 6 INDEFERIDO CANDIDATO (A) NÃO APRESENTOU DECLARAÇÃO EXPEDIDA PELO GDF QUE COMPROVE RECEBIMENTO DE BENEFÍCIO DE PROGRAMA SOCIAL DE COMPLEMENTAÇÃO OU SUPLEMENTAÇÃO DE RENDA DO GDF (PRATO CHEIO E DF SOCIAL) ANA CAROLINA GOMES DA SILVA 062***.***-** 6 INDEFERIDO CANDIDATO (A) NÃO APRESENTOU DECLARAÇÃO EXPEDIDA PELO GDF QUE COMPROVE RECEBIMENTO DE BENEFÍCIO DE PROGRAMA SOCIAL DE COMPLEMENTAÇÃO OU SUPLEMENTAÇÃO DE RENDA DO GDF (PRATO CHEIO E DF SOCIAL) PATRICIA FERREIRA DA SILVA 867***.***-** 1 INDEFERIDO CANDIDATO (A) NÃO APRESENTOU DECLARAÇÃO EXPEDIDA PELO GDF QUE COMPROVE RECEBIMENTO DE BENEFÍCIO DE PROGRAMA SOCIAL DE COMPLEMENTAÇÃO OU SUPLEMENTAÇÃO DE RENDA DO GDF (PRATO CHEIO E DF SOCIAL) JUCILENE BATISTA DA ROCHA PACHECO 016***.***-** 2 INDEFERIDO CANDIDATO (A) NÃO APRESENTOU DECLARAÇÃO EXPEDIDA PELO GDF QUE COMPROVE RECEBIMENTO DE BENEFÍCIO DE PROGRAMA SOCIAL DE COMPLEMENTAÇÃO OU SUPLEMENTAÇÃO DE RENDA DO GDF (PRATO CHEIO E DF SOCIAL) LIDIA PEREIRA DA SILVA 004***.***-** 1 DEFERIDO
  • 76.
    LIDIA PEREIRA DASILVA 004***.***-** 3 DEFERIDO GIOVANA FREITAS DE MOURA PEIXOTO COSTA 054***.***-** 5 INDEFERIDO CANDIDATO (A) NÃO APRESENTOU DECLARAÇÃO EXPEDIDA PELO GDF QUE COMPROVE RECEBIMENTO DE BENEFÍCIO DE PROGRAMA SOCIAL DE COMPLEMENTAÇÃO OU SUPLEMENTAÇÃO DE RENDA DO GDF (PRATO CHEIO E DF SOCIAL) CLARA CAROLINA BARBOZA NONATO 005***.***-** 6 INDEFERIDO CANDIDATO (A) NÃO APRESENTOU DECLARAÇÃO EXPEDIDA PELO GDF QUE COMPROVE RECEBIMENTO DE BENEFÍCIO DE PROGRAMA SOCIAL DE COMPLEMENTAÇÃO OU SUPLEMENTAÇÃO DE RENDA DO GDF (PRATO CHEIO E DF SOCIAL) ERILENE CRUZ ARAUJO 010***.***-** 7 INDEFERIDO CANDIDATO (A) NÃO APRESENTOU DECLARAÇÃO EXPEDIDA PELO GDF QUE COMPROVE RECEBIMENTO DE BENEFÍCIO DE PROGRAMA SOCIAL DE COMPLEMENTAÇÃO OU SUPLEMENTAÇÃO DE RENDA DO GDF (PRATO CHEIO E DF SOCIAL) ERILENE CRUZ ARAUJO 010***.***-** 1 INDEFERIDO CANDIDATO (A) NÃO APRESENTOU DECLARAÇÃO EXPEDIDA PELO GDF QUE COMPROVE RECEBIMENTO DE BENEFÍCIO DE PROGRAMA SOCIAL DE COMPLEMENTAÇÃO OU SUPLEMENTAÇÃO DE RENDA DO GDF (PRATO CHEIO E DF SOCIAL) ADILA REIS GOES MACHADO DE ALBUQUERQUE 025***.***-** 1 DEFERIDO ANA CAROLINA CERQUEIRA DOS SANTOS 027***.***-** 2 INDEFERIDO CANDIDATO (A) NÃO APRESENTOU DECLARAÇÃO EXPEDIDA PELO GDF QUE COMPROVE RECEBIMENTO DE BENEFÍCIO DE PROGRAMA SOCIAL DE COMPLEMENTAÇÃO OU SUPLEMENTAÇÃO DE RENDA DO GDF (PRATO CHEIO E DF SOCIAL) ANNE CAROLINE DE OLIVEIRA SILVA 045***.***-** 8 DEFERIDO ANNE CAROLINE DE OLIVEIRA SILVA 045***.***-** 1 DEFERIDO MARCELA SANTANA DA SILVA 012***.***-** 6 DEFERIDO MARCELA SANTANA DA SILVA 012***.***-** 1 DEFERIDO ANA SERGIA SOUSA BRAZ 009***.***-** 1 INDEFERIDO CANDIDATO (A) NÃO APRESENTOU LAUDO MÉDICO COMPROBATÓRIO DA ISENÇÃO DE ACORDO COM A POSSIBILIDADE ESCOLHIDA (CAD. ÚNICO FEDERAL) ANA SERGIA SOUSA BRAZ 009***.***-** 2 INDEFERIDO CANDIDATO (A) NÃO APRESENTOU LAUDO MÉDICO COMPROBATÓRIO DA ISENÇÃO DE ACORDO COM A POSSIBILIDADE ESCOLHIDA (CAD. ÚNICO FEDERAL) VITORIA DA SILVA DE ARAUJO 035***.***-** 1 DEFERIDO MIRIAN RODRIGUES DOS SANTOS 786***.***-** 3 DEFERIDO PEDRO HENRIQUE RODRIGUES SANCHES 001***.***-** 6 DEFERIDO JADERSON GONÇALVES DA SILVA 010***.***-** 1 INDEFERIDO CANDIDATO (A) NÃO APRESENTOU DOCUMETAÇÃO EXIGIDA EM PDF CHRISTIANE BATISTA PAULINO 818***.***-** 1 INDEFERIDO CANDIDATO (A) NÃO APRESENTOU O FORMULÁRIO PARA PEDIDO DE ISENÇÃO ATUALIZADO DISPONIVEL NA FUNATEC LUIZ FERNADO SOARES DE SOUSA 034***.***-** 7 DEFERIDO
  • 77.
    WILLER GONZAGA DASILVA ***.***-** 1 INDEFERIDO CANDIDATO (A) NÃO APRESENTOU A DOCUMENTAÇÃO EXIGIDA FRANCISCA DOS SANTOS MACHADO 013***.***-** INDEFERIDO CANDIDATO (A) NÃO APRESENTOU LAUDO MÉDICO COMPROBATÓRIO DA ISENÇÃO DE ACORDO COM A POSSIBILIDADE ESCOLHIDA (CAD. ÚNICO FEDERAL) ALISSÂNIA DE SOUSA PEREIRA 710***.***-** 7 INDEFERIDO CANDIDATO (A) NÃO APRESENTOU DOCUMENTAÇÃO EXIGIDA EM PDF ALISSÂNIA DE SOUSA PEREIRA 710***.***-** 1 INDEFERIDO CANDIDATO (A) NÃO APRESENTOU DOCUMENTAÇÃO EXIGIDA EM PDF YURI PALACIO MELLO 059***.***-** 1 DEFERIDO CAMILA PINTO DA SILVA 042***.***-** 1 DEFERIDO SIMONE PEREIRA DOS SANTOS BRITO 066***.***-** 1 DEFERIDO MÁRCIA REJANE RODRIGUES MARQUES 881***.***-** 5 INDEFERIDO CANDIDATO (A) NÃO APRESENTOU DOCUMENTAÇÃO EXIGIDA RG BRUNA COSTA SILVA 604***.***-** 1 INDEFERIDO CANDIDATO (A) NÃO APRESENTOU DOCUMENTAÇÃO EXIGIDA EM PDF MAGNOLIA DA CRUZ SOUSA 927***.***-** 6 DEFERIDO NEYDIANE SILVA DE ANUNCIAÇÃO 979***.***-** 1 DEFERIDO MARIA FRANCISCA DA SILVA AGUIAR 030***.***-** 1 INDEFERIDO CANDIDATO (A) NÃO APRESENTOU LAUDO MÉDICO COMPROBATÓRIO DA ISENÇÃO DE ACORDO COM A POSSIBILIDADE ESCOLHIDA (CAD. ÚNICO FEDERAL) SILVIA ALVES FERREIRA DE CARVALHO 823***.***-** 7 DEFERIDO RAFAELLA SALIBA NASCIMENTO VALENTE 697***.***-** 1 DEFERIDO JESSIANE OLIVEIRA VIANA 001***.***-** 8 INDEFERIDO CANDIDATO (A) NÃO APRESENTOU LAUDO MÉDICO COMPROBATÓRIO DA ISENÇÃO DE ACORDO COM A POSSIBILIDADE ESCOLHIDA (CAD. ÚNICO FEDERAL) DHIEGO DA SILVA SANTANA 022***.***-** 1 DEFERIDO DHIEGO DA SILVA SANTANA 022***.***-** 2 DEFERIDO SIMONE DE LIMA PEREIRA 012***.***-** 3 INDEFERIDO CANDIDATO (A) NÃO APRESENTOU DOCUMENTAÇÃO EXIGIDA EM PDF LUCIANA MARLLEY PEREIRA DE SOUZA COSTA 037***.***-** 1 DEFERIDO RENATA FERNANDES BARROS 002***.***-** 8 INDEFERIDO CANDIDATO (A) NÃO APRESENTOU LAUDO MÉDICO COMPROBATÓRIO DA ISENÇÃO DE ACORDO COM A POSSIBILIDADE ESCOLHIDA (CAD. ÚNICO FEDERAL) WILLIAM ALMEIDA DOS SANTOS 012***.***-** 3 INDEFERIDO CANDIDATO (A) NÃO APRESENTOU DECLARAÇÃO EXPEDIDA PELO GDF QUE COMPROVE RECEBIMENTO DE BENEFÍCIO DE PROGRAMA SOCIAL DE COMPLEMENTAÇÃO OU SUPLEMENTAÇÃO DE RENDA DO GDF (PRATO CHEIO E DF SOCIAL) JAQUELINE COSTA ALVES 895***.***-** 1 DEFERIDO MICAELEN CAROLINE GOMES DA SILVA 068***.***-** 3 INDEFERIDO CANDIDATO (A) NÃO APRESENTOU DECLARAÇÃO EXPEDIDA PELO GDF QUE COMPROVE RECEBIMENTO DE BENEFÍCIO DE PROGRAMA SOCIAL DE COMPLEMENTAÇÃO OU SUPLEMENTAÇÃO DE RENDA DO GDF (PRATO CHEIO E DF SOCIAL) MARIA DE FÁTIMA ARAUJO CORDEIRO 803***.***-** INDEFERIDO CANDIDATO (A) NÃO APRESENTOU DOCUMENTAÇÃO EXIGIDA MAURO FRANCISCO BARBOSA COSTA 702***.***-** 1 INDEFERIDO CANDIDATO (A) NÃO APRESENTOU DOCUMENTAÇÃO EXIGIDA EM PDF
  • 78.
    ALINE HENRIQUE DASILVA 085***.***-** 1 DEFERIDO PEDRO FELIPE FELIX QUIRINO 026***.***-** 1 DEFERIDO ROGERIO ROSAS SILVA 553***.***-** 1 INDEFERIDO CANDIDATO (A) NÃO APRESENTOU DECLARAÇÃO EXPEDIDA PELO GDF QUE COMPROVE RECEBIMENTO DE BENEFÍCIO DE PROGRAMA SOCIAL DE COMPLEMENTAÇÃO OU SUPLEMENTAÇÃO DE RENDA DO GDF (PRATO CHEIO E DF SOCIAL) ROGERIO ROSAS SILVA 553***.***-** 8 INDEFERIDO CANDIDATO (A) NÃO APRESENTOU DECLARAÇÃO EXPEDIDA PELO GDF QUE COMPROVE RECEBIMENTO DE BENEFÍCIO DE PROGRAMA SOCIAL DE COMPLEMENTAÇÃO OU SUPLEMENTAÇÃO DE RENDA DO GDF (PRATO CHEIO E DF SOCIAL) NEIDE PEREIRA DOS SANTOS 783***.***-** 1 DEFERIDO GISELI KELLY DE MELO OLIVEIRA 035***.***-** 8 DEFERIDO VINICIUS GERMANO SOARES DA SILVA 077***.***-** INDEFERIDO CANDIDATO (A) NÃO APRESENTOU DECLARAÇÃO EXPEDIDA PELO GDF QUE COMPROVE RECEBIMENTO DE BENEFÍCIO DE PROGRAMA SOCIAL DE COMPLEMENTAÇÃO OU SUPLEMENTAÇÃO DE RENDA DO GDF (PRATO CHEIO E DF SOCIAL) FERNANDO HENRIQUE SANTOS NASCIMENTO 013***.***-** 1 DEFERIDO NICOLAS GOMES DE MIRANDA 086***.***-** 1 INDEFERIDO CANDIDATO (A) NÃO APRESENTOU DECLARAÇÃO EXPEDIDA PELO GDF QUE COMPROVE RECEBIMENTO DE BENEFÍCIO DE PROGRAMA SOCIAL DE COMPLEMENTAÇÃO OU SUPLEMENTAÇÃO DE RENDA DO GDF (PRATO CHEIO E DF SOCIAL) ANTONIO CLEGIO DA SILVA 021***.***-** 8 DEFERIDO JANAINA ALVES MARTINS ARAUJO 023***.***-** 5 INDEFERIDO CANDIDATO (A) NÃO APRESENTOU DECLARAÇÃO EXPEDIDA PELO GDF QUE COMPROVE RECEBIMENTO DE BENEFÍCIO DE PROGRAMA SOCIAL DE COMPLEMENTAÇÃO OU SUPLEMENTAÇÃO DE RENDA DO GDF (PRATO CHEIO E DF SOCIAL) VANDA CAROLINA DIAS DOS SANTOS 056***.***-** 7 INDEFERIDO CANDIDATO (A) NÃO APRESENTOU DECLARAÇÃO EXPEDIDA PELO GDF QUE COMPROVE RECEBIMENTO DE BENEFÍCIO DE PROGRAMA SOCIAL DE COMPLEMENTAÇÃO OU SUPLEMENTAÇÃO DE RENDA DO GDF (PRATO CHEIO E DF SOCIAL) MONALISA MARGARETH MODESTO 692***.***-** 1 INDEFERIDO CANDIDATO (A) NÃO APRESENTOU DECLARAÇÃO EXPEDIDA PELO GDF QUE COMPROVE RECEBIMENTO DE BENEFÍCIO DE PROGRAMA SOCIAL DE COMPLEMENTAÇÃO OU SUPLEMENTAÇÃO DE RENDA DO GDF (PRATO CHEIO E DF SOCIAL) TAINARA COUTO SILVA 076***.***-** 1 INDEFERIDO CANDIDATO (A) NÃO APRESENTOU DECLARAÇÃO EXPEDIDA PELO GDF QUE COMPROVE RECEBIMENTO DE BENEFÍCIO DE PROGRAMA SOCIAL DE COMPLEMENTAÇÃO OU SUPLEMENTAÇÃO DE RENDA DO GDF (PRATO CHEIO E DF SOCIAL)
  • 79.
    ANTONIO WELTON DASILVA BEZERRA 984***.***-** 3 INDEFERIDO CANDIDATO (A) NÃO APRESENTOU DECLARAÇÃO EXPEDIDA PELO GDF QUE COMPROVE RECEBIMENTO DE BENEFÍCIO DE PROGRAMA SOCIAL DE COMPLEMENTAÇÃO OU SUPLEMENTAÇÃO DE RENDA DO GDF (PRATO CHEIO E DF SOCIAL) FERNANDA CURCINO DANTAS 027***.***-** INDEFERIDO CANDIDATO (A) NÃO APRESENTOU DECLARAÇÃO EXPEDIDA PELO GDF QUE COMPROVE RECEBIMENTO DE BENEFÍCIO DE PROGRAMA SOCIAL DE COMPLEMENTAÇÃO OU SUPLEMENTAÇÃO DE RENDA DO GDF (PRATO CHEIO E DF SOCIAL) RAFAEL CARVALHO RAMOS 022***.***-** 8 DEFERIDO ADRIANA CRISTINA FERREIRA LEMOS 837***.***-** 1 INDEFERIDO CANDIDATO (A) NÃO APRESENTOU DOCUMENTAÇÃO EXIGIDA RG HISMALEY VICTOR GOMES DA SILVA 052***.***-** 1 INDEFERIDO CANDIDATO (A) NÃO APRESENTOU DECLARAÇÃO EXPEDIDA PELO GDF QUE COMPROVE RECEBIMENTO DE BENEFÍCIO DE PROGRAMA SOCIAL DE COMPLEMENTAÇÃO OU SUPLEMENTAÇÃO DE RENDA DO GDF (PRATO CHEIO E DF SOCIAL) HÁBNER DE LIMA SARDEIRO 034***.***-** 1 DEFERIDO CLAUDIONEIDE ALVES DE SOUSA 059***.***-** 1 INDEFERIDO CANDIDATO (A) NÃO APRESENTOU DOCUMENTAÇÃO EXIGIDA RG AILTON SALES DOS SANTOS 524***.***-** 1 DEFERIDO AILTON FRANCISCO DE SOUZA 803***.***-** 6 INDEFERIDO CANDIDATO (A) NÃO APRESENTOU DOCUMENTAÇÃO EXIGIDAEM PDF ( RG) RUTE CATARINA PEREIRA SILVA 010***.***-** 7 INDEFERIDO CANDIDATO (A) NÃO APRESENTOU LAUDO MÉDICO COMPROBATÓRIO DA ISENÇÃO DE ACORDO COM A POSSIBILIDADE ESCOLHIDA (CAD. ÚNICO FEDERAL) MARIA EDUARDA FERREIRA 086***.***-** 6 DEFERIDO DAISE MALAQUIAS OLIVEIRA 066***.***-** 1 DEFERIDO VERONEIDE PEREIRA DE SIQUEIRA 799***.***-** INDEFERIDO CANDIDATO (A) NÃO APRESENTOU DECLARAÇÃO EXPEDIDA PELO GDF QUE COMPROVE RECEBIMENTO DE BENEFÍCIO DE PROGRAMA SOCIAL DE COMPLEMENTAÇÃO OU SUPLEMENTAÇÃO DE RENDA DO GDF (PRATO CHEIO E DF SOCIAL) ALINE DE SOUSA FERNANDES 034***.***-** 6 INDEFERIDO CANDIDATO (A) NÃO APRESENTOU LAUDO MÉDICO COMPROBATÓRIO DA ISENÇÃO DE ACORDO COM A POSSIBILIDADE ESCOLHIDA (CAD. ÚNICO FEDERAL) HÁBNER DE LIMA SARDEIRO 034***.***-** 6 DEFERIDO ICLÉLIA RODRIGUES MARANHÃO 276***.***-** 1 DEFERIDO ICLÉLIA RODRIGUES MARANHÃO 276***.***-** 8 DEFERIDO JULIANA RODRIGUES CRUZ 015***.***-** 7 DEFERIDO JULIANA RODRIGUES CRUZ 015***.***-** 1 DEFERIDO VIVIANE FEITOSA DE OLIVEIRA 108***.***-** 1 DEFERIDO
  • 80.
    STENISLÁVIA BORGES DEFARIAS ARAÚJO 002***.***-** 1 INDEFERIDO CANDIDATO (A) NÃO APRESENTOU DECLARAÇÃO EXPEDIDA PELO GDF QUE COMPROVE RECEBIMENTO DE BENEFÍCIO DE PROGRAMA SOCIAL DE COMPLEMENTAÇÃO OU SUPLEMENTAÇÃO DE RENDA DO GDF (PRATO CHEIO E DF SOCIAL) JÉSSICA THAYNNE BEDA TOMAZ 030***.***-** 1 DEFERIDO JÉSSICA THAYNNE BEDA TOMAZ 030***.***-** 3 DEFERIDO ARLETE BARBOSA DE BRITO 611***.***-** 1 DEFERIDO NAYARA PAULINO RATSBONE VARGAS 038***.***-** 1 INDEFERIDO CANDIDATO (A) NÃO APRESENTOU DOCUMENTAÇÃO EXIGIDA EM PDF LUCIANE DE BARROS 014***.***-** 6 INDEFERIDO CANDIDATO (A) NÃO APRESENTOU DECLARAÇÃO EXPEDIDA PELO GDF QUE COMPROVE RECEBIMENTO DE BENEFÍCIO DE PROGRAMA SOCIAL DE COMPLEMENTAÇÃO OU SUPLEMENTAÇÃO DE RENDA DO GDF (PRATO CHEIO E DF SOCIAL) ANDREIA PIRES SALES 063***.***-** 1 INDEFERIDO CANDIDATO (A) NÃO APRESENTOU DECLARAÇÃO EXPEDIDA PELO GDF QUE COMPROVE RECEBIMENTO DE BENEFÍCIO DE PROGRAMA SOCIAL DE COMPLEMENTAÇÃO OU SUPLEMENTAÇÃO DE RENDA DO GDF (PRATO CHEIO E DF SOCIAL) ANDREIA PIRES SALES 063***.***-** 3 INDEFERIDO CANDIDATO (A) NÃO APRESENTOU DECLARAÇÃO EXPEDIDA PELO GDF QUE COMPROVE RECEBIMENTO DE BENEFÍCIO DE PROGRAMA SOCIAL DE COMPLEMENTAÇÃO OU SUPLEMENTAÇÃO DE RENDA DO GDF (PRATO CHEIO E DF SOCIAL) ALEX BASTOS E SILVA 710***.***-** 1 DEFERIDO ALEX BASTOS E SILVA 710***.***-** 6 DEFERIDO DANIELLA MARTINS DA SILVA 700***.***-** 1 DEFERIDO GIOVANNY DE MOURA SIQUEIRA 036***.***-** 1 INDEFERIDO CANDIDATO (A) NÃO APRESENTOU DECLARAÇÃO EXPEDIDA PELO GDF QUE COMPROVE RECEBIMENTO DE BENEFÍCIO DE PROGRAMA SOCIAL DE COMPLEMENTAÇÃO OU SUPLEMENTAÇÃO DE RENDA DO GDF (PRATO CHEIO E DF SOCIAL) NOEMIA BEZERRA DE AGUIAR 848***.***-** 1 INDEFERIDO CANDIDATO (A) NÃO APRESENTOU DOCUMENTAÇÃO EXIGIDA EM PDF JOAB SANTOS DA CONCEICAO 040***.***-** 1 DEFERIDO JOAB SANTOS DA CONCEICAO 040***.***-** 4 DEFERIDO JOACI FERREIRA ALVES 610***.***-** 1 DEFERIDO RAYANE BARBOSA DE FARIA 026***.***-** 1 DEFERIDO MARIA ELISA BASTOS LIMA 408***.***-** 8 INDEFERIDO CANDIDATO (A) NÃO APRESENTOU DECLARAÇÃO EXPEDIDA PELO GDF QUE COMPROVE RECEBIMENTO DE BENEFÍCIO DE PROGRAMA SOCIAL DE COMPLEMENTAÇÃO OU SUPLEMENTAÇÃO DE RENDA DO GDF (PRATO CHEIO E DF SOCIAL) LEONIDAS VICENTE CAVALCANTE 071***.***-** 1 DEFERIDO RODOLFO NASCIMENTO CAVALCANTE 037***.***-** 1 DEFERIDO
  • 81.
    MIRIELLY MARTINA MOURASILVA 043***.***-** 1 INDEFERIDO CANDIDATO (A) NÃO APRESENTOU DECLARAÇÃO EXPEDIDA PELO GDF QUE COMPROVE RECEBIMENTO DE BENEFÍCIO DE PROGRAMA SOCIAL DE COMPLEMENTAÇÃO OU SUPLEMENTAÇÃO DE RENDA DO GDF (PRATO CHEIO E DF SOCIAL) ELAINE ALVES PINHEIRO 710***.***-** 5 DEFERIDO MICHELLE DE CASTRO NUNES 056***.***-** 1 DEFERIDO JULIANA DANTAS PINTO 009***.***-** 1 DEFERIDO JULIANA DANTAS PINTO 009***.***-** 7 DEFERIDO ROGÉRIO SENA CORADO 724***.***-** 1 DEFERIDO ROGÉRIO SENA CORADO 724***.***-** 2 DEFERIDO RAFAEL ANTUNES PEREIRA 049***.***-** 1 DEFERIDO RAFAEL ANTUNES PEREIRA 049***.***-** 5 DEFERIDO JULIANA BORGES DE LIMA 068***.***-** 1 INDEFERIDO CANDIDATO (A) NÃO APRESENTOU LAUDO MÉDICO COMPROBATÓRIO DA ISENÇÃO DE ACORDO COM A POSSIBILIDADE ESCOLHIDA (CAD. ÚNICO FEDERAL) ROSILDA DA SILVA CAMPOS 619***.***-** 7 INDEFERIDO CANDIDATO (A) NÃO APRESENTOU DECLARAÇÃO EXPEDIDA PELO GDF QUE COMPROVE RECEBIMENTO DE BENEFÍCIO DE PROGRAMA SOCIAL DE COMPLEMENTAÇÃO OU SUPLEMENTAÇÃO DE RENDA DO GDF (PRATO CHEIO E DF SOCIAL) GABRIEL QUARESMA DA CRUZ 043***.***-** 1 INDEFERIDO CANDIDATO (A) NÃO APRESENTOU LAUDO MÉDICO COMPROBATÓRIO DA ISENÇÃO DE ACORDO COM A POSSIBILIDADE ESCOLHIDA (CAD. ÚNICO FEDERAL) RUAN FELIPE CARVALHO DA SILVA 042***.***-** 1 INDEFERIDO CANDIDATO (A) NÃO APRESENTOU LAUDO MÉDICO COMPROBATÓRIO DA ISENÇÃO DE ACORDO COM A POSSIBILIDADE ESCOLHIDA (CAD. ÚNICO FEDERAL) RUAN FELIPE CARVALHO DA SILVA 042***.***-** 2 INDEFERIDO CANDIDATO (A) NÃO APRESENTOU LAUDO MÉDICO COMPROBATÓRIO DA ISENÇÃO DE ACORDO COM A POSSIBILIDADE ESCOLHIDA (CAD. ÚNICO FEDERAL) RAYLANE RUTH DE SOUSA BARRETO 055***.***-** 6 DEFERIDO RAYLANE RUTH DE SOUSA BARRETO 055***.***-** 1 DEFERIDO MARCELO NASCIMENTO ROCHA 140***.***-** 4 DEFERIDO KELLY BARBOSA SOUZA 011***.***-** 5 INDEFERIDO CANDIDATO (A) NÃO APRESENTOU DECLARAÇÃO EXPEDIDA PELO GDF QUE COMPROVE RECEBIMENTO DE BENEFÍCIO DE PROGRAMA SOCIAL DE COMPLEMENTAÇÃO OU SUPLEMENTAÇÃO DE RENDA DO GDF (PRATO CHEIO E DF SOCIAL) DAVID FRANCISCO DE CARVALHO NETO 033***.***-** 1 DEFERIDO ALCIONEIDE OLIVEIRA LINO 022***.***-** 1 INDEFERIDO CANDIDATO (A) NÃO APRESENTOU LAUDO MÉDICO COMPROBATÓRIO DA ISENÇÃO DE ACORDO COM A POSSIBILIDADE ESCOLHIDA (CAD. ÚNICO FEDERAL)
  • 82.
    FRANCISCO DOUGLAS SARAIVALEANDRO 027***.***-** 3 INDEFERIDO CANDIDATO (A) NÃO APRESENTOU DOCUMENTAÇÃO EXIGIDA EM PDF ANA LUCIA FERREIRA ALVES 017***.***-** 1 INDEFERIDO CANDIDATO (A) NÃO APRESENTOU LAUDO MÉDICO COMPROBATÓRIO DA ISENÇÃO DE ACORDO COM A POSSIBILIDADE ESCOLHIDA (CAD. ÚNICO FEDERAL) EUSLÂNIA ADRIELE SOUSA DA SILVA 049***.***-** 2 INDEFERIDO CANDIDATO (A) NÃO APRESENTOU DECLARAÇÃO EXPEDIDA PELO GDF QUE COMPROVE RECEBIMENTO DE BENEFÍCIO DE PROGRAMA SOCIAL DE COMPLEMENTAÇÃO OU SUPLEMENTAÇÃO DE RENDA DO GDF (PRATO CHEIO E DF SOCIAL) EDNA DA CONCEIçAO SILVA 095***.***-** 1 DEFERIDO EDNA DA CONCEIçAO SILVA 095***.***-** 8 DEFERIDO HERCULES DUAILIBE BARREIRA 516***.***-** 2 INDEFERIDO CANDIDATO (A) NÃO APRESENTOU DOCUMENTAÇÃO EXIGIDAEM PDF ( RG) HELOIZA OLIEIRA MELO 931***.***-** INDEFERIDO CANDIDATO (A) NÃO APRESENTOU O FORMULÁRIO ATUALIZADO FERNANDO DE OLIVEIRA SAMPAIO 006***.***-** 1 INDEFERIDO CANDIDATO (A) NÃO APRESENTOU LAUDO MÉDICO COMPROBATÓRIO DA ISENÇÃO DE ACORDO COM A POSSIBILIDADE ESCOLHIDA (CAD. ÚNICO FEDERAL) FERNANDO DE OLIVEIRA SAMPAIO 006***.***-** 8 INDEFERIDO CANDIDATO (A) NÃO APRESENTOU LAUDO MÉDICO COMPROBATÓRIO DA ISENÇÃO DE ACORDO COM A POSSIBILIDADE ESCOLHIDA (CAD. ÚNICO FEDERAL) KEREN HAPUK GUIMARAES CARVALHO 700***.***-** 1 DEFERIDO LIGIANE OLIVEIRA DE SOUSA 029***.***-** 1 INDEFERIDO CANDIDATO (A) NÃO APRESENTOU DOCUMENTAÇÃO EXIGIDA EM PDF RENATA CARVALHO DE ARAUJO 013***.***-** 1 INDEFERIDO CANDIDATO (A) NÃO APRESENTOU DECLARAÇÃO EXPEDIDA PELO GDF QUE COMPROVE RECEBIMENTO DE BENEFÍCIO DE PROGRAMA SOCIAL DE COMPLEMENTAÇÃO OU SUPLEMENTAÇÃO DE RENDA DO GDF (PRATO CHEIO E DF SOCIAL) RENATA CARVALHO DE ARAUJO 013***.***-** 2 INDEFERIDO CANDIDATO (A) NÃO APRESENTOU DECLARAÇÃO EXPEDIDA PELO GDF QUE COMPROVE RECEBIMENTO DE BENEFÍCIO DE PROGRAMA SOCIAL DE COMPLEMENTAÇÃO OU SUPLEMENTAÇÃO DE RENDA DO GDF (PRATO CHEIO E DF SOCIAL) SUZANA LIMA DE SOUSA 027***.***-** 2 INDEFERIDO CANDIDATO (A) NÃO APRESENTOU O FORMULÁRIO ATUALIZADO GUSTAVO ADAO PINTO RODRIGUES 466***.***-** 2 INDEFERIDO CANDIDATO (A) NÃO APRESENTOU DECLARAÇÃO EXPEDIDA PELO GDF QUE COMPROVE RECEBIMENTO DE BENEFÍCIO DE PROGRAMA SOCIAL DE COMPLEMENTAÇÃO OU SUPLEMENTAÇÃO DE RENDA DO GDF (PRATO CHEIO E DF SOCIAL) DANIEL GONÇALVES PEREIRA 041***.***-** 1 DEFERIDO HERCULES DUAILIBE BARREIRA 516***.***-** 1 INDEFERIDO CANDIDATO (A) NÃO APRESENTOU LAUDO MÉDICO COMPROBATÓRIO DA ISENÇÃO DE ACORDO COM A POSSIBILIDADE ESCOLHIDA (CAD. ÚNICO FEDERAL)
  • 83.
    BHRENDA BENEVIDES DASILVA 050***.***-** 1 INDEFERIDO CANDIDATO (A) NÃO APRESENTOU LAUDO MÉDICO COMPROBATÓRIO DA ISENÇÃO DE ACORDO COM A POSSIBILIDADE ESCOLHIDA (CAD. ÚNICO FEDERAL) BHRENDA BENEVIDES DA SILVA 050***.***-** 2 INDEFERIDO CANDIDATO (A) NÃO APRESENTOU LAUDO MÉDICO COMPROBATÓRIO DA ISENÇÃO DE ACORDO COM A POSSIBILIDADE ESCOLHIDA (CAD. ÚNICO FEDERAL) ÉRICSON DE SOUZA CUSTODIO QUEIRÓZ 072***.***-** 1 INDEFERIDO CANDIDATO (A) NÃO APRESENTOU LAUDO MÉDICO COMPROBATÓRIO DA ISENÇÃO DE ACORDO COM A POSSIBILIDADE ESCOLHIDA (CAD. ÚNICO FEDERAL) DANIEL OLIVEIRA DA SILVA 360***.***-** INDEFERIDO CANDIDATO (A) NÃO APRESENTOU O FORMULÁRIO ATUALIZADO LUCÉLIA SOUSA DA SILVA 062***.***-** 7 DEFERIDO LUCÉLIA SOUSA DA SILVA 062***.***-** 1 DEFERIDO MARCIO SENA MAGALHAES 054***.***-** 4 DEFERIDO ANNA PAULA OLIVEIRA SILVA 030***.***-** 1 INDEFERIDO CANDIDATO (A) NÃO APRESENTOU O FORMULÁRIO ATUALIZADO VIVANE APARECIDA PEREIRA MACIEL NASCIMENTO 089***.***-** 7 INDEFERIDO CANDIDATO (A) NÃO APRESENTOU DOCUMENTAÇÃO EXIGIDA EM PDF ARYANE KELLE SILVA FARIA 021***.***-** 1 DEFERIDO CAMILA PEREIRA DA SILVA 056***.***-** 8 DEFERIDO BRUNO ALMEIDA SANTANA 012***.***-** 1 DEFERIDO FABIANNE OLIVEIRA MORAIS 027***.***-** INDEFERIDO CANDIDATO (A) NÃO APRESENTOU O FORMULÁRIO ATUALIZADO BRUNO YAMAGUTI DE CASTRO 727***.***-** 1 INDEFERIDO CANDIDATO (A) NÃO APRESENTOU DECLARAÇÃO EXPEDIDA PELO GDF QUE COMPROVE RECEBIMENTO DE BENEFÍCIO DE PROGRAMA SOCIAL DE COMPLEMENTAÇÃO OU SUPLEMENTAÇÃO DE RENDA DO GDF (PRATO CHEIO E DF SOCIAL) FABIO SANTOS NERY 041***.***-** 6 INDEFERIDO CANDIDATO (A) NÃO APRESENTOU DECLARAÇÃO EXPEDIDA PELO GDF QUE COMPROVE RECEBIMENTO DE BENEFÍCIO DE PROGRAMA SOCIAL DE COMPLEMENTAÇÃO OU SUPLEMENTAÇÃO DE RENDA DO GDF (PRATO CHEIO E DF SOCIAL) JANCINETE DE JESUS MARINHO 821***.***-** INDEFERIDO CANDIDATO (A) NÃO APRESENTOU DOCUMENTAÇÃO EXIGIDA EM PDF JÉSSICA LUIZA DOS SANTOS MATOS 036***.***-** 1 INDEFERIDO CANDIDATO (A) NÃO APRESENTOU O FORMULÁRIO ATUALIZADO AMANDA CECILIA GUEDES YAMAGUTI 026***.***-** 1 INDEFERIDO CANDIDATO (A) NÃO APRESENTOU DECLARAÇÃO EXPEDIDA PELO GDF QUE COMPROVE RECEBIMENTO DE BENEFÍCIO DE PROGRAMA SOCIAL DE COMPLEMENTAÇÃO OU SUPLEMENTAÇÃO DE RENDA DO GDF (PRATO CHEIO E DF SOCIAL) ANGEL LOBATO DA SILVA 077***.***-** 6 INDEFERIDO CANDIDATO (A) NÃO APRESENTOU DECLARAÇÃO EXPEDIDA PELO GDF QUE COMPROVE RECEBIMENTO DE BENEFÍCIO DE PROGRAMA SOCIAL DE COMPLEMENTAÇÃO OU SUPLEMENTAÇÃO DE RENDA DO GDF (PRATO CHEIO E DF SOCIAL)
  • 84.
    CARLOS LEITE DEBARROS 049***.***-** 1 INDEFERIDO CANDIDATO (A) NÃO APRESENTOU DECLARAÇÃO EXPEDIDA PELO GDF QUE COMPROVE RECEBIMENTO DE BENEFÍCIO DE PROGRAMA SOCIAL DE COMPLEMENTAÇÃO OU SUPLEMENTAÇÃO DE RENDA DO GDF (PRATO CHEIO E DF SOCIAL) THAIANE PEREIRA RIBEIRO 734***.***-** INDEFERIDO CANDIDATO (A) NÃO APRESENTOU LAUDO MÉDICO COMPROBATÓRIO DA ISENÇÃO DE ACORDO COM A POSSIBILIDADE ESCOLHIDA (CAD. ÚNICO FEDERAL) KAMILA ALVES DA SILVA 023***.***-** 1 INDEFERIDO CANDIDATO (A) NÃO APRESENTOU DECLARAÇÃO EXPEDIDA PELO GDF QUE COMPROVE RECEBIMENTO DE BENEFÍCIO DE PROGRAMA SOCIAL DE COMPLEMENTAÇÃO OU SUPLEMENTAÇÃO DE RENDA DO GDF (PRATO CHEIO E DF SOCIAL) KAMILA ALVES DA SILVA 023***.***-** 7 INDEFERIDO CANDIDATO (A) NÃO APRESENTOU DECLARAÇÃO EXPEDIDA PELO GDF QUE COMPROVE RECEBIMENTO DE BENEFÍCIO DE PROGRAMA SOCIAL DE COMPLEMENTAÇÃO OU SUPLEMENTAÇÃO DE RENDA DO GDF (PRATO CHEIO E DF SOCIAL) LAILTON DE ABREU COSTA ***.***-** INDEFERIDO CANDIDATO (A) NÃO APRESENTOU DOCUMENTAÇÃO EXIGIDA ( NENHUMA DOCUMENTAÇÃO ) VINICIUS PEREIRA FONSECA ***.***-** 1 INDEFERIDO CANDIDATO (A) NÃO APRESENTOU DECLARAÇÃO EXPEDIDA PELO GDF QUE COMPROVE RECEBIMENTO DE BENEFÍCIO DE PROGRAMA SOCIAL DE COMPLEMENTAÇÃO OU SUPLEMENTAÇÃO DE RENDA DO GDF (PRATO CHEIO E DF SOCIAL) ISABELA DOS SANTOS SANTANA 004***.***-** 1 INDEFERIDO CANDIDATO (A) NÃO APRESENTOU DECLARAÇÃO EXPEDIDA PELO GDF QUE COMPROVE RECEBIMENTO DE BENEFÍCIO DE PROGRAMA SOCIAL DE COMPLEMENTAÇÃO OU SUPLEMENTAÇÃO DE RENDA DO GDF (PRATO CHEIO E DF SOCIAL) SUZANA DOS SANTOS SILVA 069***.***-** 6 DEFERIDO DALVINA CAMPOS BRAGA 076***.***-** 1 INDEFERIDO CANDIDATO (A) NÃO APRESENTOU DECLARAÇÃO EXPEDIDA PELO GDF QUE COMPROVE RECEBIMENTO DE BENEFÍCIO DE PROGRAMA SOCIAL DE COMPLEMENTAÇÃO OU SUPLEMENTAÇÃO DE RENDA DO GDF (PRATO CHEIO E DF SOCIAL) DALVINA CAMPOS BRAGA 076***.***-** 6 INDEFERIDO CANDIDATO (A) NÃO APRESENTOU DECLARAÇÃO EXPEDIDA PELO GDF QUE COMPROVE RECEBIMENTO DE BENEFÍCIO DE PROGRAMA SOCIAL DE COMPLEMENTAÇÃO OU SUPLEMENTAÇÃO DE RENDA DO GDF (PRATO CHEIO E DF SOCIAL) ANA PRISCILA DA SILVA 987***.***-** 5 DEFERIDO PEDRO GABRIEL RODRIGUES DE ALMEIDA ALARCÃO 058***.***-** 2 INDEFERIDO CANDIDATO (A) NÃO APRESENTOU DECLARAÇÃO EXPEDIDA PELO GDF QUE COMPROVE RECEBIMENTO DE BENEFÍCIO DE PROGRAMA SOCIAL DE COMPLEMENTAÇÃO OU SUPLEMENTAÇÃO DE RENDA DO GDF (PRATO CHEIO E DF SOCIAL)
  • 85.
    ADEMILSON CALDEIRA DEMOURA 641***.***-** 1 INDEFERIDO CANDIDATO (A) NÃO APRESENTOU LAUDO MÉDICO COMPROBATÓRIO DA ISENÇÃO DE ACORDO COM A POSSIBILIDADE ESCOLHIDA (CAD. ÚNICO FEDERAL) TAIS MARIA DE SOUSA 041***.***-** 6 INDEFERIDO CANDIDATO (A) NÃO APRESENTOU LAUDO MÉDICO COMPROBATÓRIO DA ISENÇÃO DE ACORDO COM A POSSIBILIDADE ESCOLHIDA (CAD. ÚNICO FEDERAL) TAIS MARIA DE SOUSA 041***.***-** 1 INDEFERIDO CANDIDATO (A) NÃO APRESENTOU LAUDO MÉDICO COMPROBATÓRIO DA ISENÇÃO DE ACORDO COM A POSSIBILIDADE ESCOLHIDA (CAD. ÚNICO FEDERAL) ANDRESSA AMORIM DE AQUINO 047***.***-** 1 DEFERIDO ESTHEFANY PEREIRA SOARES 047***.***-** 2 DEFERIDO YASMIN SANTANA DOS SANTOS ***.***-** INDEFERIDO CANDIDATO (A) NÃO APRESENTOU DOCUMENTAÇÃO EXIGIDA ( NENHUMA DOCUMENTAÇÃO ) CARLA ABADIA DA SILVA MELO LOPES 059***.***-** 1 INDEFERIDO CANDIDATO (A) NÃO APRESENTOU DOCUMENTAÇÃO EXIGIDA EM PDF CRISTINEI CALDEIRA DE SOUZA 811***.***-** 1 DEFERIDO BRAYNER MAXIMO DE SOUZA 822***.***-** 1 DEFERIDO EBERSON AMARAL GONÇALVES 047***.***-** 1 DEFERIDO EBERSON AMARAL GONÇALVES 047***.***-** 7 DEFERIDO ALESSANDRA DE SÁ FARIAS 874***.***-** 8 INDEFERIDO CANDIDATO (A) NÃO APRESENTOU LAUDO MÉDICO COMPROBATÓRIO DA ISENÇÃO DE ACORDO COM A POSSIBILIDADE ESCOLHIDA (CAD. ÚNICO FEDERAL) JÉSSICA BARBOSA ROCHA 043***.***-** 8 DEFERIDO JÉSSICA BARBOSA ROCHA 043***.***-** 1 DEFERIDO RAYANE DA SILVA ALMEIDA 048***.***-** 2 INDEFERIDO CANDIDATO (A) NÃO APRESENTOU DECLARAÇÃO EXPEDIDA PELO GDF QUE COMPROVE RECEBIMENTO DE BENEFÍCIO DE PROGRAMA SOCIAL DE COMPLEMENTAÇÃO OU SUPLEMENTAÇÃO DE RENDA DO GDF (PRATO CHEIO E DF SOCIAL) MATHEUS DE ARAUJO TAVEIRA 064***.***-** 1 DEFERIDO VANESSA MOTA 005***.***-** 1 INDEFERIDO CANDIDATO (A) NÃO APRESENTOU DOCUMENTAÇÃO EXIGIDA EM PDF ( RG) RAFAELA SOARES JAMBEIRO DE OLIVEIRA 044***.***-** 1 INDEFERIDO CANDIDATO (A) NÃO APRESENTOU LAUDO MÉDICO COMPROBATÓRIO DA ISENÇÃO DE ACORDO COM A POSSIBILIDADE ESCOLHIDA (CAD. ÚNICO FEDERAL) ARLENE DE JESUS SOUZA PEREIRA 039***.***-** 6 INDEFERIDO CANDIDATO (A) NÃO APRESENTOU LAUDO MÉDICO COMPROBATÓRIO DA ISENÇÃO DE ACORDO COM A POSSIBILIDADE ESCOLHIDA (CAD. ÚNICO FEDERAL) HELEN GRASIELY DIAS SANTOS 016***.***-** 1 INDEFERIDO CANDIDATO (A) NÃO APRESENTOU DECLARAÇÃO EXPEDIDA PELO GDF QUE COMPROVE RECEBIMENTO DE BENEFÍCIO DE PROGRAMA SOCIAL DE COMPLEMENTAÇÃO OU SUPLEMENTAÇÃO DE RENDA DO GDF (PRATO CHEIO E DF SOCIAL)
  • 86.
    YONARA KARINE RODRIGUESDA SILVA 054***.***-** 1 INDEFERIDO CANDIDATO (A) NÃO APRESENTOU DOCUMENTAÇÃO EXIGIDA EM PDF ( CARTERINHA DE DOADOR DE MEDULA ÓSSEA OU A DECLARAÇÃO ) YONARA KARINE RODRIGUES DA SILVA 054***.***-** 7 INDEFERIDO CANDIDATO (A) NÃO APRESENTOU DOCUMENTAÇÃO EXIGIDA EM PDF ( CARTERINHA DE DOADOR DE MEDULA ÓSSEA OU A DECLARAÇÃO ) SILVIA JOSE PEREIRA SANTOS MESQUITA 818***.***-** 1 INDEFERIDO CANDIDATO (A) NÃO APRESENTOU DECLARAÇÃO EXPEDIDA PELO GDF QUE COMPROVE RECEBIMENTO DE BENEFÍCIO DE PROGRAMA SOCIAL DE COMPLEMENTAÇÃO OU SUPLEMENTAÇÃO DE RENDA DO GDF (PRATO CHEIO E DF SOCIAL) FERNANDO DE OLIVEIRA SAMPAIO 006***.***-** 1 INDEFERIDO CANDIDATO (A) NÃO APRESENTOU DECLARAÇÃO EXPEDIDA PELO GDF QUE COMPROVE RECEBIMENTO DE BENEFÍCIO DE PROGRAMA SOCIAL DE COMPLEMENTAÇÃO OU SUPLEMENTAÇÃO DE RENDA DO GDF (PRATO CHEIO E DF SOCIAL) ALEXIA SANDREANNY PEREIRA DA SILVA 063***.***-** 1 DEFERIDO DANIEL LIMA 938***.***-** 1 INDEFERIDO CANDIDATO (A) NÃO APRESENTOU DOCUMENTAÇÃO EXIGIDA ( RG) HERBERTH WARLEY ARAUJO CARDOSO 069***.***-** 1 INDEFERIDO CANDIDATO (A) NÃO APRESENTOU LAUDO MÉDICO COMPROBATÓRIO DA ISENÇÃO DE ACORDO COM A POSSIBILIDADE ESCOLHIDA (CAD. ÚNICO FEDERAL) HERBERTH WARLEY ARAUJO CARDOSO 069***.***-** 7 INDEFERIDO CANDIDATO (A) NÃO APRESENTOU LAUDO MÉDICO COMPROBATÓRIO DA ISENÇÃO DE ACORDO COM A POSSIBILIDADE ESCOLHIDA (CAD. ÚNICO FEDERAL) FRANCISCO DANIARLE GOMES 035***.***-** INDEFERIDO CANDIDATO (A) NÃO APRESENTOU DOCUMENTAÇÃO EXIGIDA EM PDF KETLE PEREIRA DE SOUZA 023***.***-** 1 INDEFERIDO CANDIDATO (A) NÃO APRESENTOU LAUDO MÉDICO COMPROBATÓRIO DA ISENÇÃO DE ACORDO COM A POSSIBILIDADE ESCOLHIDA (CAD. ÚNICO FEDERAL) KATILEN BATISTA DE SOUSA 037***.***-** 5 DEFERIDO ROSIANE FERREIRA DA COSTA 812***.***-** 1 DEFERIDO ELZA GERALDA MENDES 851***.***-** 1 DEFERIDO CAIO VINICIUS DE L. VIEIRA ***.***-** INDEFERIDO CANDIDATO (A) NÃO APRESENTOU DOCUMENTAÇÃO EXIGIDA ( NENHUMA DOCUMENTAÇÃO ) ANA FLÁVIA RODRIGUES BRITO 053***.***-** INDEFERIDO CANDIDATO (A) NÃO APRESENTOU DECLARAÇÃO EXPEDIDA PELO GDF QUE COMPROVE RECEBIMENTO DE BENEFÍCIO DE PROGRAMA SOCIAL DE COMPLEMENTAÇÃO OU SUPLEMENTAÇÃO DE RENDA DO GDF (PRATO CHEIO E DF SOCIAL) LUCILEIDE NASCIMENTO DA SILVA 070***.***-** 1 INDEFERIDO CANDIDATO (A) NÃO APRESENTOU DECLARAÇÃO EXPEDIDA PELO GDF QUE COMPROVE RECEBIMENTO DE BENEFÍCIO DE PROGRAMA SOCIAL DE COMPLEMENTAÇÃO OU SUPLEMENTAÇÃO DE RENDA DO GDF (PRATO CHEIO E DF SOCIAL)
  • 87.
    GILDESIO PEREIRA DOSSANTOS 701***.***-** 1 INDEFERIDO CANDIDATO (A) NÃO APRESENTOU DECLARAÇÃO EXPEDIDA PELO GDF QUE COMPROVE RECEBIMENTO DE BENEFÍCIO DE PROGRAMA SOCIAL DE COMPLEMENTAÇÃO OU SUPLEMENTAÇÃO DE RENDA DO GDF (PRATO CHEIO E DF SOCIAL) VERONICA DE ALMEIDA SILVA 030***.***-** INDEFERIDO CANDIDATO (A) NÃO APRESENTOU DECLARAÇÃO EXPEDIDA PELO GDF QUE COMPROVE RECEBIMENTO DE BENEFÍCIO DE PROGRAMA SOCIAL DE COMPLEMENTAÇÃO OU SUPLEMENTAÇÃO DE RENDA DO GDF (PRATO CHEIO E DF SOCIAL) FRANCISCO FERNANDES RODRIGUES DE MORAIS 014***.***-** 1 DEFERIDO FÁBIO DE OLIVEIRA VIEIRA 801***.***-** 1 INDEFERIDO CANDIDATO (A) NÃO APRESENTOU DOCUMENTAÇÃO EXIGIDA EM PDF ANNY KELLY DE SOUSA RODRIGUES 009***.***-** 1 INDEFERIDO CANDIDATO (A) NÃO APRESENTOU DECLARAÇÃO EXPEDIDA PELO GDF QUE COMPROVE RECEBIMENTO DE BENEFÍCIO DE PROGRAMA SOCIAL DE COMPLEMENTAÇÃO OU SUPLEMENTAÇÃO DE RENDA DO GDF (PRATO CHEIO E DF SOCIAL) ANA CLEIDE DE SOUSA MACHADO 723***.***-** 1 INDEFERIDO CANDIDATO (A) NÃO APRESENTOU DOCUMENTAÇÃO EXIGIDA ( RG) FRANCIDALVA DE SOUSA ANDRADE 034***.***-** 1 DEFERIDO CARLIANA SILVA DE ARAÚJO FLÔR 010***.***-** 1 INDEFERIDO CANDIDATO (A) NÃO APRESENTOU DOCUMENTAÇÃO EXIGIDA EM PDF (FORMULÁRIO) GIL HENRIQUE MACIEL MARQUES 005***.***-** 1 DEFERIDO GIL HENRIQUE MACIEL MARQUES 005***.***-** 8 DEFERIDO BRUNA DHULLYANA GONÇALVES SANTOS 044***.***-** 1 DEFERIDO BRUNA DHULLYANA GONÇALVES SANTOS 044***.***-** 3 DEFERIDO VANESSA DOMINGUES DE OLIVEIRA 049***.***-** 1 INDEFERIDO CANDIDATO (A) NÃO APRESENTOU DECLARAÇÃO EXPEDIDA PELO GDF QUE COMPROVE RECEBIMENTO DE BENEFÍCIO DE PROGRAMA SOCIAL DE COMPLEMENTAÇÃO OU SUPLEMENTAÇÃO DE RENDA DO GDF (PRATO CHEIO E DF SOCIAL) ZELIA DE SOUZA DOMINGUES 812***.***-** 1 INDEFERIDO CANDIDATO (A) NÃO APRESENTOU DECLARAÇÃO EXPEDIDA PELO GDF QUE COMPROVE RECEBIMENTO DE BENEFÍCIO DE PROGRAMA SOCIAL DE COMPLEMENTAÇÃO OU SUPLEMENTAÇÃO DE RENDA DO GDF (PRATO CHEIO E DF SOCIAL) ÂNGELA MARIA DE SOUZA CABRAL 827***.***-** INDEFERIDO CANDIDATO (A) NÃO APRESENTOU DOCUMENTAÇÃO EXIGIDA (FORMULÁRIO) MARCELA RABELO DO CARMO 017***.***-** INDEFERIDO CANDIDATO (A) NÃO APRESENTOU DOCUMENTAÇÃO EXIGIDA EM PDF PALOMA RODRIGUES PINHEIRO 041***.***-** 4 DEFERIDO PALOMA RODRIGUES PINHEIRO 041***.***-** 1 DEFERIDO CYNTHIA LOPES CALDERAN 855***.***-** 1 DEFERIDO GUILHERME GENNARI SOBRINHO 05***.***-** 1 DEFERIDO MONIKELLY CRUZ DE SOUZA ***.***-** INDEFERIDO CANDIDATO (A) NÃO APRESENTOU DOCUMENTAÇÃO EXIGIDA ( FORMULÁRIO/RG )
  • 88.
    VOLNEY GONÇALVES DESOUSA 013***.***-** 1 DEFERIDO ANA BEATRIZ SANTOS SILVA 076***.***-** 1 INDEFERIDO CANDIDATO (A) NÃO APRESENTOU DECLARAÇÃO EXPEDIDA PELO GDF QUE COMPROVE RECEBIMENTO DE BENEFÍCIO DE PROGRAMA SOCIAL DE COMPLEMENTAÇÃO OU SUPLEMENTAÇÃO DE RENDA DO GDF (PRATO CHEIO E DF SOCIAL) FERNANDES GONCALVES DE OLIVEIRA 012***.***-** 1 DEFERIDO FERNANDES GONCALVES DE OLIVEIRA 012***.***-** 8 DEFERIDO JÉSSICA RODRIGUES DE OLIVEIRA 031***.***-** 1 DEFERIDO JÉSSICA RODRIGUES DE OLIVEIRA 031***.***-** 7 DEFERIDO JOSEMAR OLIVEIRA SANTOS 84***.***-** 1 DEFERIDO JOSEMAR OLIVEIRA SANTOS 84***.***-** 3 DEFERIDO TAMÍRES BARBOSA BRAGA 039***.***-** 7 INDEFERIDO CANDIDATO (A) NÃO APRESENTOU DECLARAÇÃO EXPEDIDA PELO GDF QUE COMPROVE RECEBIMENTO DE BENEFÍCIO DE PROGRAMA SOCIAL DE COMPLEMENTAÇÃO OU SUPLEMENTAÇÃO DE RENDA DO GDF (PRATO CHEIO E DF SOCIAL) TAMÍRES BARBOSA BRAGA 039***.***-** 1 INDEFERIDO CANDIDATO (A) NÃO APRESENTOU DECLARAÇÃO EXPEDIDA PELO GDF QUE COMPROVE RECEBIMENTO DE BENEFÍCIO DE PROGRAMA SOCIAL DE COMPLEMENTAÇÃO OU SUPLEMENTAÇÃO DE RENDA DO GDF (PRATO CHEIO E DF SOCIAL) MARA SUZELI DE SOUZA 088***.***-** 1 DEFERIDO ANGERLANIA SAMPAIO FRANCO 050***.***-** 3 INDEFERIDO CANDIDATO (A) NÃO APRESENTOU DOCUMENTAÇÃO EXIGIDA (NÃO PREENCHEU O FORMULÁRIO ) MARA SUZELI DE SOUZA 088***.***-** 7 DEFERIDO GABRIEL DE RESENDE SANTIAGO 070***.***-** 1 DEFERIDO WESLEY OLIVEIRA RODRIGUES DELLORTO 959***.***-** 1 INDEFERIDO CANDIDATO (A) NÃO APRESENTOU DOCUMENTAÇÃO EXIGIDA EM PDF RICARDO BENEVENUTO DE SOUZA 719***.***-** 2 INDEFERIDO CANDIDATO (A) NÃO APRESENTOU DECLARAÇÃO EXPEDIDA PELO GDF QUE COMPROVE RECEBIMENTO DE BENEFÍCIO DE PROGRAMA SOCIAL DE COMPLEMENTAÇÃO OU SUPLEMENTAÇÃO DE RENDA DO GDF (PRATO CHEIO E DF SOCIAL) RICARDO BENEVENUTO DE SOUZA 719***.***-** 2 INDEFERIDO CANDIDATO (A) NÃO APRESENTOU LAUDO MÉDICO COMPROBATÓRIO DA ISENÇÃO DE ACORDO COM A POSSIBILIDADE ESCOLHIDA (CAD. ÚNICO FEDERAL) POLIANA COELHO PACHECO 786***.***-** 1 DEFERIDO ELENICE RODRIGUES DE SOUZA 012***.***-** 1 DEFERIDO ELENICE RODRIGUES DE SOUZA 012***.***-** 7 DEFERIDO MARIA EDUARDA OLIVEIRA PEREIRA 031***.***-** 1 INDEFERIDO CANDIDATO (A) NÃO APRESENTOU DOCUMENTAÇÃO EXIGIDA ( RG) MARIA EDUARDA OLIVEIRA PEREIRA 031***.***-** 8 INDEFERIDO CANDIDATO (A) NÃO APRESENTOU DOCUMENTAÇÃO EXIGIDA ( RG)
  • 89.
    GIOVANNA ESPERIDIÃO DOSSANTOS PEREIRA 057***.***-** 1 INDEFERIDO CANDIDATO (A) NÃO APRESENTOU LAUDO MÉDICO COMPROBATÓRIO DA ISENÇÃO DE ACORDO COM A POSSIBILIDADE ESCOLHIDA (CAD. ÚNICO FEDERAL) GABRIEL LOPES PEREIRA DA SILVA 076***.***-** 1 INDEFERIDO CANDIDATO (A) NÃO APRESENTOU DECLARAÇÃO EXPEDIDA PELO GDF QUE COMPROVE RECEBIMENTO DE BENEFÍCIO DE PROGRAMA SOCIAL DE COMPLEMENTAÇÃO OU SUPLEMENTAÇÃO DE RENDA DO GDF (PRATO CHEIO E DF SOCIAL) ELIZÂNGELA DA SILVA MOREIRA 008***.***-** 1 INDEFERIDO CANDIDATO (A) NÃO APRESENTOU LAUDO MÉDICO COMPROBATÓRIO DA ISENÇÃO DE ACORDO COM A POSSIBILIDADE ESCOLHIDA (CAD. ÚNICO FEDERAL) ELIZÂNGELA DA SILVA MOREIRA 008***.***-** 3 INDEFERIDO CANDIDATO (A) NÃO APRESENTOU LAUDO MÉDICO COMPROBATÓRIO DA ISENÇÃO DE ACORDO COM A POSSIBILIDADE ESCOLHIDA (CAD. ÚNICO FEDERAL) MARIA DE JESUS OLIVEIRA 376***.***-** 1 INDEFERIDO CANDIDATO (A) NÃO APRESENTOU LAUDO MÉDICO COMPROBATÓRIO DA ISENÇÃO DE ACORDO COM A POSSIBILIDADE ESCOLHIDA (CAD. ÚNICO FEDERAL) MARIA DE JESUS OLIVEIRA 376***.***-** 8 INDEFERIDO CANDIDATO (A) NÃO APRESENTOU LAUDO MÉDICO COMPROBATÓRIO DA ISENÇÃO DE ACORDO COM A POSSIBILIDADE ESCOLHIDA (CAD. ÚNICO FEDERAL) MANOELA YASMIN GOMES DOS ANJOS 714***.***-** 8 DEFERIDO NICOLAS GOMES DE MIRANDA 086***.***-** 5 INDEFERIDO CANDIDATO (A) NÃO APRESENTOU DECLARAÇÃO EXPEDIDA PELO GDF QUE COMPROVE RECEBIMENTO DE BENEFÍCIO DE PROGRAMA SOCIAL DE COMPLEMENTAÇÃO OU SUPLEMENTAÇÃO DE RENDA DO GDF (PRATO CHEIO E DF SOCIAL) ALDA SIRLENE SANTOS ARAÚJO 53.***.***-** 8 DEFERIDO BRUNA LIMA PEREIRA 068***.***-** 5 INDEFERIDO CANDIDATO (A) NÃO APRESENTOU DECLARAÇÃO EXPEDIDA PELO GDF QUE COMPROVE RECEBIMENTO DE BENEFÍCIO DE PROGRAMA SOCIAL DE COMPLEMENTAÇÃO OU SUPLEMENTAÇÃO DE RENDA DO GDF (PRATO CHEIO E DF SOCIAL) ANA CLAUDIA MOTA DE SOUSA MOREIRA 932***.***-** 1 INDEFERIDO CANDIDATO (A) NÃO APRESENTOU DOCUMENTAÇÃO EXIGIDA EM PDF ANA CLAUDIA MOTA DE SOUSA MOREIRA 932***.***-** 2 INDEFERIDO CANDIDATO (A) NÃO APRESENTOU DOCUMENTAÇÃO EXIGIDA EM PDF GUTTIERRES TORRES 961***.***-** 1 DEFERIDO LUCIENE CLEMENCIA ALVES 725***.***-** 6 INDEFERIDO CANDIDATO (A) NÃO APRESENTOU DOCUMENTAÇÃO EXIGIDA ( NENHUMA DOCUMENTAÇÃO ) TAMARA VILELA BARRETO 855***.***-** 1 INDEFERIDO CANDIDATO (A) NÃO APRESENTOU DOCUMENTAÇÃO EXIGIDA ( RG) MARINETE MENDES ROSA 060***.***-** 5 INDEFERIDO CANDIDATO (A) NÃO APRESENTOU LAUDO MÉDICO COMPROBATÓRIO DA ISENÇÃO DE ACORDO COM A POSSIBILIDADE ESCOLHIDA (CAD. ÚNICO FEDERAL)
  • 90.
    ANDRE LUIZ DEJESUS AIRES 035***.***-** 1 INDEFERIDO CANDIDATO (A) NÃO APRESENTOU DOCUMENTAÇÃO EXIGIDA ( FORMULÁRIO/RG ) MICHELE TÂNDIDA LOPES GOUVEA 005***.***-** 8 INDEFERIDO CANDIDATO (A) NÃO APRESENTOU DOCUMENTAÇÃO EXIGIDA EM PDF JAQUELINE FERREIRA DO NASCIMENTO CIRILO 936***.***-** 2 INDEFERIDO CANDIDATO (A) NÃO APRESENTOU DECLARAÇÃO EXPEDIDA PELO GDF QUE COMPROVE RECEBIMENTO DE BENEFÍCIO DE PROGRAMA SOCIAL DE COMPLEMENTAÇÃO OU SUPLEMENTAÇÃO DE RENDA DO GDF (PRATO CHEIO E DF SOCIAL) JAQUELINE FERREIRA DO NASCIMENTO CIRILO 936***.***-** 6 INDEFERIDO CANDIDATO (A) NÃO APRESENTOU DECLARAÇÃO EXPEDIDA PELO GDF QUE COMPROVE RECEBIMENTO DE BENEFÍCIO DE PROGRAMA SOCIAL DE COMPLEMENTAÇÃO OU SUPLEMENTAÇÃO DE RENDA DO GDF (PRATO CHEIO E DF SOCIAL) ELIANE MACHADO BENJAMIM 028***.***-** 3 DEFERIDO IANNE LOPES ULHOA 014***.***-** 8 INDEFERIDO CANDIDATO (A) NÃO APRESENTOU DECLARAÇÃO EXPEDIDA PELO GDF QUE COMPROVE RECEBIMENTO DE BENEFÍCIO DE PROGRAMA SOCIAL DE COMPLEMENTAÇÃO OU SUPLEMENTAÇÃO DE RENDA DO GDF (PRATO CHEIO E DF SOCIAL) IANNE LOPES ULHOA 014***.***-** 1 INDEFERIDO CANDIDATO (A) NÃO APRESENTOU DECLARAÇÃO EXPEDIDA PELO GDF QUE COMPROVE RECEBIMENTO DE BENEFÍCIO DE PROGRAMA SOCIAL DE COMPLEMENTAÇÃO OU SUPLEMENTAÇÃO DE RENDA DO GDF (PRATO CHEIO E DF SOCIAL) MARIA GILDA GOMES PEREIRA 144***.***-** 1 INDEFERIDO CANDIDATO (A) NÃO APRESENTOU LAUDO MÉDICO COMPROBATÓRIO DA ISENÇÃO DE ACORDO COM A POSSIBILIDADE ESCOLHIDA (CAD. ÚNICO FEDERAL) MARCOS ANTONIO FRANCISCO 721***.***-** 1 INDEFERIDO CANDIDATO (A) NÃO APRESENTOU DOCUMENTAÇÃO EXIGIDA ( 2 COMPROVANTES DE SERVIÇO ELEITORAL) JEISYANE NASCIMENTO DA COSTA 050***.***-** 1 INDEFERIDO CANDIDATO (A) NÃO APRESENTOU DECLARAÇÃO EXPEDIDA PELO GDF QUE COMPROVE RECEBIMENTO DE BENEFÍCIO DE PROGRAMA SOCIAL DE COMPLEMENTAÇÃO OU SUPLEMENTAÇÃO DE RENDA DO GDF (PRATO CHEIO E DF SOCIAL) DIRCILENE DE SOUSA CAMPOS 227***.***-** 8 DEFERIDO KELLY CRISTINA GUEDES 953***.***-** 1 DEFERIDO RENATA NERES DINIZ 055***.***-** 1 DEFERIDO RENATA NERES DINIZ 055***.***-** 5 DEFERIDO JOSE PEREIRA DA PENHA CARNEIRO 773***.***-** 1 DEFERIDO GILMAR AMBRÓSIO DE ALCANTARA 606***.***-** 1 DEFERIDO CRISTIANE DOS SANTOS COSTA 007***.***-** 1 INDEFERIDO CANDIDATO (A) NÃO APRESENTOU DOCUMENTO DE IDENTIFICAÇÃO E FORMULÁRIO PARA PEDIDO DE ISENÇÃO ATUALIZADO ANA CAROLINA DO NASCIMENTO 002***.***-** 2 DEFERIDO
  • 91.
    REJANE MORAIS NEIVA008***.***-** 1 INDEFERIDO CANDIDATO (A) NÃO APRESENTOU O FORMULÁRIO PARA PEDIDO DE ISENÇÃO ATUALIZADO DISPONIVEL NA FUNATEC TATIANE ANDRADE DA SILVA 050***.***-** 1 INDEFERIDO CANDIDATO (A) NÃO APRESENTOU DECLARAÇÃO EXPEDIDA PELO GDF QUE COMPROVE RECEBIMENTO DE BENEFÍCIO DE PROGRAMA SOCIAL DE COMPLEMENTAÇÃO OU SUPLEMENTAÇÃO DE RENDA DO GDF (PRATO CHEIO E DF SOCIAL) DANIELE FERREIRA GOMES 039***.***-** 1 INDEFERIDO CANDIDATO (A) NÃO APRESENTOU DECLARAÇÃO EXPEDIDA PELO GDF QUE COMPROVE RECEBIMENTO DE BENEFÍCIO DE PROGRAMA SOCIAL DE COMPLEMENTAÇÃO OU SUPLEMENTAÇÃO DE RENDA DO GDF (PRATO CHEIO E DF SOCIAL) ANA PAULA AMARAL 060***.***-** 8 INDEFERIDO CANDIDATO (A) NÃO APRESENTOU DECLARAÇÃO EXPEDIDA PELO GDF QUE COMPROVE RECEBIMENTO DE BENEFÍCIO DE PROGRAMA SOCIAL DE COMPLEMENTAÇÃO OU SUPLEMENTAÇÃO DE RENDA DO GDF (PRATO CHEIO E DF SOCIAL) JOEL DE FARIAS LOPES 043***.***-** 1 INDEFERIDO CANDIDATO (A) NÃO APRESENTOU DOCUMENTAÇÃO EXIGIDA EM PDF EDUARDO SILVA LEITE SOUZA 008***.***-** 1 INDEFERIDO CANDIDATO (A) NÃO APRESENTOU DECLARAÇÃO EXPEDIDA PELO GDF QUE COMPROVE RECEBIMENTO DE BENEFÍCIO DE PROGRAMA SOCIAL DE COMPLEMENTAÇÃO OU SUPLEMENTAÇÃO DE RENDA DO GDF (PRATO CHEIO E DF SOCIAL) DALMAR GUIMARÃES DA SILVA BARBOSA 029***.***-** 8 DEFERIDO DALMAR GUIMARÃES DA SILVA BARBOSA 029***.***-** 1 DEFERIDO VITORIA MARIA DE SOUZA ALMEIDA GOMES 080***.***-** 6 DEFERIDO JEANY APARECIDA GONÇALVES DE SOUZA 810***.***-** 2 INDEFERIDO CANDIDATO (A) NÃO APRESENTOU LAUDO MÉDICO COMPROBATÓRIO DA ISENÇÃO DE ACORDO COM A POSSIBILIDADE ESCOLHIDA (CAD. ÚNICO FEDERAL) VITÓRIA DRIELLY GARRIDO DE JESUS 057***.***-** 7 INDEFERIDO CANDIDATO (A) NÃO APRESENTOU DECLARAÇÃO EXPEDIDA PELO GDF QUE COMPROVE RECEBIMENTO DE BENEFÍCIO DE PROGRAMA SOCIAL DE COMPLEMENTAÇÃO OU SUPLEMENTAÇÃO DE RENDA DO GDF (PRATO CHEIO E DF SOCIAL) FERNANDA SOUSA AQUINO 049***.***-** 1 DEFERIDO FERNANDA SOUSA AQUINO 049***.***-** 5 DEFERIDO DEYLA CRISTINA SALES DE SOUSA BARBOSA 021***.***-** 1 DEFERIDO THAYS DE OLIVEIRA CRUZ 045***.***-** 1 DEFERIDO MARIA NOMERIANA DA CONCEIÇÃO MARTINS MACHADO 863***.***-** 1 DEFERIDO JANAINA ALVES MARTINS ARAUJO 023***.***-** 1 INDEFERIDO CANDIDATO (A) NÃO APRESENTOU DECLARAÇÃO EXPEDIDA PELO GDF QUE COMPROVE RECEBIMENTO DE BENEFÍCIO DE PROGRAMA SOCIAL DE COMPLEMENTAÇÃO OU SUPLEMENTAÇÃO DE RENDA DO GDF (PRATO CHEIO E DF SOCIAL)
  • 92.
    GISLANE CRISTINA MACÊDOTEIXEIRA 016***.***-** 8 INDEFERIDO CANDIDATO (A) NÃO APRESENTOU DOCUMENTAÇÃO EXIGIDA ( NENHUMA DOCUMENTAÇÃO ) BRUNA CHAER BOTELHO PAIVA JORGE 012***.***-** 3 DEFERIDO CLAUDIA APARECIDA DE JESUS 788***.***-** 1 INDEFERIDO CANDIDATO (A) NÃO APRESENTOU DOCUMENTAÇÃO EXIGIDA ( RG) MARIA LUIZA SOUZA SIQUEIRA 058***.***-** 1 DEFERIDO MAIKON JUNIO DOS SANTOS FELICIANO AVELINO 061***.***-** 7 INDEFERIDO CANDIDATO (A) NÃO APRESENTOU DECLARAÇÃO EXPEDIDA PELO GDF QUE COMPROVE RECEBIMENTO DE BENEFÍCIO DE PROGRAMA SOCIAL DE COMPLEMENTAÇÃO OU SUPLEMENTAÇÃO DE RENDA DO GDF (PRATO CHEIO E DF SOCIAL) LETÍCIA ASSIS DE SOUSA 077***.***-** 7 INDEFERIDO CANDIDATO (A) NÃO APRESENTOU DECLARAÇÃO EXPEDIDA PELO GDF QUE COMPROVE RECEBIMENTO DE BENEFÍCIO DE PROGRAMA SOCIAL DE COMPLEMENTAÇÃO OU SUPLEMENTAÇÃO DE RENDA DO GDF (PRATO CHEIO E DF SOCIAL) ERICA TATIANE DE FARIAS SANTOS 069***.***-** 8 INDEFERIDO CANDIDATO (A) NÃO APRESENTOU DOCUMENTAÇÃO EXIGIDA ( NENHUMA DOCUMENTAÇÃO ) JOICE MENDES DA SILVA 042***.***-** 1 INDEFERIDO CANDIDATO (A) NÃO APRESENTOU DECLARAÇÃO EXPEDIDA PELO GDF QUE COMPROVE RECEBIMENTO DE BENEFÍCIO DE PROGRAMA SOCIAL DE COMPLEMENTAÇÃO OU SUPLEMENTAÇÃO DE RENDA DO GDF (PRATO CHEIO E DF SOCIAL) JOICE MENDES DA SILVA 042***.***-** 2 INDEFERIDO CANDIDATO (A) NÃO APRESENTOU DECLARAÇÃO EXPEDIDA PELO GDF QUE COMPROVE RECEBIMENTO DE BENEFÍCIO DE PROGRAMA SOCIAL DE COMPLEMENTAÇÃO OU SUPLEMENTAÇÃO DE RENDA DO GDF (PRATO CHEIO E DF SOCIAL) JESSICA CAROLINA MARQUES DA SILVA 052***.***-** 1 DEFERIDO SILVIO LUIZ TEXEIRA 044***.***-** 1 DEFERIDO RAFAELA RODRIGUES DA COSTA FARIA 710***.***-** 1 DEFERIDO JOANA D'ARC CARDOSO DOS SANTOS MONTEIRO 723***.***-** 1 INDEFERIDO CANDIDATO (A) NÃO APRESENTOU DECLARAÇÃO EXPEDIDA PELO GDF QUE COMPROVE RECEBIMENTO DE BENEFÍCIO DE PROGRAMA SOCIAL DE COMPLEMENTAÇÃO OU SUPLEMENTAÇÃO DE RENDA DO GDF (PRATO CHEIO E DF SOCIAL) ANDREIA PONCIANO SILVA 271***.***-** 1 INDEFERIDO CANDIDATO (A) NÃO APRESENTOU DOCUMENTAÇÃO EXIGIDA ( NENHUMA DOCUMENTAÇÃO ) LARISSA TAVARES DA SILVA WERLY 041***.***-** 1 INDEFERIDO CANDIDATO (A) NÃO APRESENTOU DOCUMENTO DE IDENTIFICAÇÃO E FORMULÁRIO PARA PEDIDO DE ISENÇÃO ATUALIZADO BRUNA MICKAELLY SILVA DED SOUZA 068***.***-** 1 INDEFERIDO CANDIDATO (A) NÃO APRESENTOU DECLARAÇÃO EXPEDIDA PELO GDF QUE COMPROVE RECEBIMENTO DE BENEFÍCIO DE PROGRAMA SOCIAL DE COMPLEMENTAÇÃO OU SUPLEMENTAÇÃO DE RENDA DO GDF (PRATO CHEIO E DF SOCIAL)
  • 93.
    FERNANDA SANTOS LIMA043***.***-** 1 INDEFERIDO CANDIDATO (A) NÃO APRESENTOU DOCUMENTO DE IDENTIFICAÇÃO E FORMULÁRIO PARA PEDIDO DE ISENÇÃO ATUALIZADO NIENES PROSPERO DOS SANTOS 012***.***-** INDEFERIDO CANDIDATO (A) NÃO APRESENTOU O CODIGO DO CARGO ARTHUR RODRIGUES BEZERRA 036***.***-** 1 DEFERIDO GABRIELA SOUZA BRITO 078***.***-** 1 DEFERIDO RODRIGO VIEIRA FIGUEREIDO ***.***-** INDEFERIDO CANDIDATO (A) NÃO APRESENTOU DOCUMENTAÇÃO EXIGIDA ( FORMULÁRIO / CPF ) LOURINALDA MARQUES DOS REIS 903***.***-** INDEFERIDO CANDIDATO (A) NÃO APRESENTOU DOCUMENTAÇÃO EXIGIDA ( FORMULÁRIO ATUALIZADO / RG ) FERNANDA SANTOS LIMA 043***.***-** 1 INDEFERIDO CANDIDATO (A) NÃO APRESENTOU LAUDO MÉDICO COMPROBATÓRIO DA ISENÇÃO DE ACORDO COM A POSSIBILIDADE ESCOLHIDA (CAD. ÚNICO FEDERAL) ANARITA IANNES DE SALES DIAS 889***.***-** 1 INDEFERIDO CANDIDATO (A) NÃO APRESENTOU DECLARAÇÃO EXPEDIDA PELO GDF QUE COMPROVE RECEBIMENTO DE BENEFÍCIO DE PROGRAMA SOCIAL DE COMPLEMENTAÇÃO OU SUPLEMENTAÇÃO DE RENDA DO GDF (PRATO CHEIO E DF SOCIAL) ANARITA IANNES DE SALES DIAS 889***.***-** 3 INDEFERIDO CANDIDATO (A) NÃO APRESENTOU DECLARAÇÃO EXPEDIDA PELO GDF QUE COMPROVE RECEBIMENTO DE BENEFÍCIO DE PROGRAMA SOCIAL DE COMPLEMENTAÇÃO OU SUPLEMENTAÇÃO DE RENDA DO GDF (PRATO CHEIO E DF SOCIAL) ROSANGELA MAGALHAES BARRETO 289***.***-** 4 INDEFERIDO CANDIDATO (A) NÃO APRESENTOU DECLARAÇÃO EXPEDIDA PELO GDF QUE COMPROVE RECEBIMENTO DE BENEFÍCIO DE PROGRAMA SOCIAL DE COMPLEMENTAÇÃO OU SUPLEMENTAÇÃO DE RENDA DO GDF (PRATO CHEIO E DF SOCIAL) SILVIA MARIA DA SILVA FORTE 516***.***-** 2 INDEFERIDO CANDIDATO (A) NÃO APRESENTOU DECLARAÇÃO EXPEDIDA PELO GDF QUE COMPROVE RECEBIMENTO DE BENEFÍCIO DE PROGRAMA SOCIAL DE COMPLEMENTAÇÃO OU SUPLEMENTAÇÃO DE RENDA DO GDF (PRATO CHEIO E DF SOCIAL) SILVIA MARIA DA SILVA FORTE 516***.***-** 1 INDEFERIDO CANDIDATO (A) NÃO APRESENTOU DECLARAÇÃO EXPEDIDA PELO GDF QUE COMPROVE RECEBIMENTO DE BENEFÍCIO DE PROGRAMA SOCIAL DE COMPLEMENTAÇÃO OU SUPLEMENTAÇÃO DE RENDA DO GDF (PRATO CHEIO E DF SOCIAL) KATIA RIBEIRO DA SILVA LOPES 017***.***-** 6 INDEFERIDO CANDIDATO (A) NÃO APRESENTOU DOCUMENTAÇÃO EXIGIDA ( NENHUMA DOCUMENTAÇÃO ) ENIVALDO XAVIER DA SILVA JUNIOR 024***.***-** 1 INDEFERIDO CANDIDATO (A) NÃO APRESENTOU DOCUMENTAÇÃO EXIGIDA ( RG) LUAN KESLEY PEREIRA FERREIRA 069***.***-** 2 DEFERIDO
  • 94.
    ROMILTON DE SOUZA694***.***-** 1 INDEFERIDO CANDIDATO (A) NÃO APRESENTOU DECLARAÇÃO EXPEDIDA PELO GDF QUE COMPROVE RECEBIMENTO DE BENEFÍCIO DE PROGRAMA SOCIAL DE COMPLEMENTAÇÃO OU SUPLEMENTAÇÃO DE RENDA DO GDF (PRATO CHEIO E DF SOCIAL) ROMILTON DE SOUZA 694***.***-** 2 INDEFERIDO CANDIDATO (A) NÃO APRESENTOU DECLARAÇÃO EXPEDIDA PELO GDF QUE COMPROVE RECEBIMENTO DE BENEFÍCIO DE PROGRAMA SOCIAL DE COMPLEMENTAÇÃO OU SUPLEMENTAÇÃO DE RENDA DO GDF (PRATO CHEIO E DF SOCIAL) SUZANE MORGANE DE OLIVEIRA 103***.***-** 7 INDEFERIDO CANDIDATO (A) NÃO APRESENTOU DOCUMENTO DE IDENTIFICAÇÃO E FORMULÁRIO PARA PEDIDO DE ISENÇÃO ATUALIZADO MARCOS SUEL DA SILVA O26***.***-** 1 INDEFERIDO CANDIDATO (A) NÃO APRESENTOU DOCUMENTAÇÃO EXIGIDA ( NENHUMA DOCUMENTAÇÃO ) JULIANA CARVALHO DE ARAUJO 886***.***-** 1 INDEFERIDO CANDIDATO (A) NÃO APRESENTOU DECLARAÇÃO EXPEDIDA PELO GDF QUE COMPROVE RECEBIMENTO DE BENEFÍCIO DE PROGRAMA SOCIAL DE COMPLEMENTAÇÃO OU SUPLEMENTAÇÃO DE RENDA DO GDF (PRATO CHEIO E DF SOCIAL) ÉRICA TATIANE DE FARIAS DE SANTOS 069***.***-** 8 INDEFERIDO CANDIDATO (A) NÃO APRESENTOU DECLARAÇÃO EXPEDIDA PELO GDF QUE COMPROVE RECEBIMENTO DE BENEFÍCIO DE PROGRAMA SOCIAL DE COMPLEMENTAÇÃO OU SUPLEMENTAÇÃO DE RENDA DO GDF (PRATO CHEIO E DF SOCIAL) EDMARIO SILVA MOREIRA 919***.***-** 1 DEFERIDO DAIANE DIAS DA SILVA 030***.***-** 1 DEFERIDO MARIANGELA FERREIRA DE MENDONCA 716***.***-** 7 DEFERIDO MARIANGELA FERREIRA DE MENDONCA 716***.***-** 1 DEFERIDO TAYNARA PEREIRA DE JESUS 033***.***-** 1 INDEFERIDO CANDIDATO (A) NÃO APRESENTOU DOCUMENTO DE IDENTIFICAÇÃO E FORMULÁRIO PARA PEDIDO DE ISENÇÃO ATUALIZADO TAYNARA PEREIRA DE JESUS 033***.***-** 5 INDEFERIDO CANDIDATO (A) NÃO APRESENTOU DOCUMENTO DE IDENTIFICAÇÃO E FORMULÁRIO PARA PEDIDO DE ISENÇÃO ATUALIZADO CARLA CRISTINA MONTEIRO DE SOUZA 076***.***-** 1 INDEFERIDO CANDIDATO (A) NÃO APRESENTOU LAUDO MÉDICO COMPROBATÓRIO DA ISENÇÃO DE ACORDO COM A POSSIBILIDADE ESCOLHIDA (CAD. ÚNICO FEDERAL) RAIANE MENDES DE SOUSA 056***.***-** 1 INDEFERIDO CANDIDATO (A) NÃO APRESENTOU DECLARAÇÃO EXPEDIDA PELO GDF QUE COMPROVE RECEBIMENTO DE BENEFÍCIO DE PROGRAMA SOCIAL DE COMPLEMENTAÇÃO OU SUPLEMENTAÇÃO DE RENDA DO GDF (PRATO CHEIO E DF SOCIAL) LUIS FILIPE MARZAGAO DE CARVALHO 010***.***-** 1 INDEFERIDO CANDIDATO (A) NÃO APRESENTOU DOCUMENTAÇÃO EXIGIDA EM PDF ( FORMULÁRIO ATUALIZADO / RG ) THAIS CHRISTYANE CARVALHO DE SOUSA GONCALVES 043***.***-** 2 INDEFERIDO CANDIDATO (A) NÃO APRESENTOU DOCUMENTO DE IDENTIFICAÇÃO E FORMULÁRIO PARA PEDIDO DE ISENÇÃO ATUALIZADO
  • 95.
    MILLY AGUIAR TORRES034***.***-** 1 DEFERIDO MILLY AGUIAR TORRES 034***.***-** 8 DEFERIDO THALISSON MATIAS TAVARES 063***.***-** 1 DEFERIDO GABRIELLE SOUSA DE ASSUNÇÃO 043***.***-** 1 INDEFERIDO CANDIDATO (A) NÃO APRESENTOU DOCUMENTAÇÃO EXIGIDA ( CARTERINHA/DECLARAÇÃO DE DOADOR DE MEDULA ÓSSEA ) VANDERLENE DA SILVA RABELO 958***.***-** 3 INDEFERIDO CANDIDATO (A) NÃO APRESENTOU DECLARAÇÃO EXPEDIDA PELO GDF QUE COMPROVE RECEBIMENTO DE BENEFÍCIO DE PROGRAMA SOCIAL DE COMPLEMENTAÇÃO OU SUPLEMENTAÇÃO DE RENDA DO GDF (PRATO CHEIO E DF SOCIAL) RUTHIANE DA SILVA ROCHA 552***.***-** 6 INDEFERIDO CANDIDATO (A) NÃO APRESENTOU DECLARAÇÃO EXPEDIDA PELO GDF QUE COMPROVE RECEBIMENTO DE BENEFÍCIO DE PROGRAMA SOCIAL DE COMPLEMENTAÇÃO OU SUPLEMENTAÇÃO DE RENDA DO GDF (PRATO CHEIO E DF SOCIAL) JOSÉ JEAN SILVA OLIVEIRA 055***.***-** 1 INDEFERIDO CANDIDATO (A) NÃO APRESENTOU DECLARAÇÃO EXPEDIDA PELO GDF QUE COMPROVE RECEBIMENTO DE BENEFÍCIO DE PROGRAMA SOCIAL DE COMPLEMENTAÇÃO OU SUPLEMENTAÇÃO DE RENDA DO GDF (PRATO CHEIO E DF SOCIAL) JANE AZEVEDO DA SILVA 576***.***-** INDEFERIDO CANDIDATO (A) NÃO APRESENTOU DOCUMENTAÇÃO EXIGIDA ( NENHUMA DOCUMENTAÇÃO ) MARIANA REIS MEDEIROS 057***.***-** 7 INDEFERIDO CANDIDATO (A) NÃO APRESENTOU DOCUMENTAÇÃO EXIGIDA EM PDF ( FORMULÁRIO ATUALIZADO / RG ) TALITA KEYSE BARBOSA DA SILVA 006***.***-** 1 INDEFERIDO CANDIDATO (A) NÃO APRESENTOU DECLARAÇÃO EXPEDIDA PELO GDF QUE COMPROVE RECEBIMENTO DE BENEFÍCIO DE PROGRAMA SOCIAL DE COMPLEMENTAÇÃO OU SUPLEMENTAÇÃO DE RENDA DO GDF (PRATO CHEIO E DF SOCIAL) TALITA KEYSE BARBOSA DA SILVA 006***.***-** 8 INDEFERIDO CANDIDATO (A) NÃO APRESENTOU DECLARAÇÃO EXPEDIDA PELO GDF QUE COMPROVE RECEBIMENTO DE BENEFÍCIO DE PROGRAMA SOCIAL DE COMPLEMENTAÇÃO OU SUPLEMENTAÇÃO DE RENDA DO GDF (PRATO CHEIO E DF SOCIAL) LORRANY BARROS FERREIRA 074***.***-** 1 INDEFERIDO CANDIDATO (A) NÃO APRESENTOU DECLARAÇÃO EXPEDIDA PELO GDF QUE COMPROVE RECEBIMENTO DE BENEFÍCIO DE PROGRAMA SOCIAL DE COMPLEMENTAÇÃO OU SUPLEMENTAÇÃO DE RENDA DO GDF (PRATO CHEIO E DF SOCIAL) MARIA FRANCISLEIDE DE OLIVEIRA LIMA 002***.***-** 1 INDEFERIDO CANDIDATO (A) NÃO SELECIONOU NENHUMA DAS OPÇÕES DO FORMULÁRIO DISPONÍVEL JOSE ICARO COSTA LOURA DA SILVA 050***.***-** 1 INDEFERIDO CANDIDATO (A) NÃO APRESENTOU DECLARAÇÃO EXPEDIDA PELO GDF QUE COMPROVE RECEBIMENTO DE BENEFÍCIO DE PROGRAMA SOCIAL DE COMPLEMENTAÇÃO OU SUPLEMENTAÇÃO DE RENDA DO GDF (PRATO CHEIO E DF SOCIAL)
  • 96.
    SILVANE OLIVEIRA DASILVA 016***.***-** 7 INDEFERIDO CANDIDATO (A) NÃO APRESENTOU DOCUMENTAÇÃO EXIGIDA ( RG) SILVANE OLIVEIRA DA SILVA 016***.***-** 1 INDEFERIDO CANDIDATO (A) NÃO APRESENTOU DOCUMENTAÇÃO EXIGIDA ( RG) JOHNY FARIA DE OLIVEIRA 045***.***-** 1 INDEFERIDO CANDIDATO (A) NÃO APRESENTOU LAUDO MÉDICO COMPROBATÓRIO DA ISENÇÃO DE ACORDO COM A POSSIBILIDADE ESCOLHIDA (CAD. ÚNICO FEDERAL) CINTHIA RODRIGUES SEPULVEDA 692***.***-** 8 DEFERIDO BEATRIZ DE ANDRADE GONCALVES 065***.***-** 1 INDEFERIDO CANDIDATO (A) NÃO APRESENTOU LAUDO MÉDICO COMPROBATÓRIO DA ISENÇÃO DE ACORDO COM A POSSIBILIDADE ESCOLHIDA (CAD. ÚNICO FEDERAL) MARIA ANGELICA TEOTONIO 700***.***-** 1 INDEFERIDO CANDIDATO (A) NÃO APRESENTOU LAUDO MÉDICO COMPROBATÓRIO DA ISENÇÃO DE ACORDO COM A POSSIBILIDADE ESCOLHIDA (CAD. ÚNICO FEDERAL) MARIA DE LOURDES ALVES DE OLIVEIRA 480***.***-** INDEFERIDO CANDIDATO (A) NÃO APRESENTOU DOCUMENTAÇÃO EXIGIDA ( FORMULÁRIO ) ROSELY ALTA DA SILVA 552***.***-** 6 INDEFERIDO CANDIDATO (A) NÃO APRESENTOU DECLARAÇÃO EXPEDIDA PELO GDF QUE COMPROVE RECEBIMENTO DE BENEFÍCIO DE PROGRAMA SOCIAL DE COMPLEMENTAÇÃO OU SUPLEMENTAÇÃO DE RENDA DO GDF (PRATO CHEIO E DF SOCIAL) DAIANE GOMES VERAS ANJOS 425***.***-** 8 DEFERIDO ELISANGELA DE JESUS PAULA 912***.***-** 2 DEFERIDO RUTHIANE DA SILVA ROCHA 051***.***-** 6 INDEFERIDO CANDIDATO (A) NÃO APRESENTOU DECLARAÇÃO EXPEDIDA PELO GDF QUE COMPROVE RECEBIMENTO DE BENEFÍCIO DE PROGRAMA SOCIAL DE COMPLEMENTAÇÃO OU SUPLEMENTAÇÃO DE RENDA DO GDF (PRATO CHEIO E DF SOCIAL) CINTHIA RODRIGUES SEPULVEDA 692***.***-** 1 DEFERIDO ELIANE INAJOSA DA SILVA ASSUMPÇÃO 852***.***-** 1 DEFERIDO ELIANE INAJOSA DA SILVA ASSUMPÇÃO 852***.***-** 6 DEFERIDO MARIA SIMONE COLARES 624***.***-** 1 INDEFERIDO CANDIDATO (A) NÃO APRESENTOU DOCUMENTAÇÃO EXIGIDA ( NENHUMA DOCUMENTAÇÃO ) CARLA CRISTINA MONTEIRO DE SOUZA 076***.***-** 3 INDEFERIDO CANDIDATO (A) NÃO SELECIONOU NENHUMA DAS OPÇÕES DO FORMULÁRIO DISPONÍVEL REGINALDO ALVES DE AZEVEDO 697***.***-** 1 DEFERIDO REGINALDO ALVES DE AZEVEDO 697***.***-** 2 DEFERIDO GRASIELLE BEZERRA SILVA TEIXEIRA 960***.***-** 3 INDEFERIDO CANDIDATO (A) NÃO APRESENTOU DOCUMENTAÇÃO EXIGIDA EM PDF JESSICA ALVES BARROS 065***.***-** 7 INDEFERIDO CANDIDATO (A) NÃO APRESENTOU DECLARAÇÃO EXPEDIDA PELO GDF QUE COMPROVE RECEBIMENTO DE BENEFÍCIO DE PROGRAMA SOCIAL DE COMPLEMENTAÇÃO OU SUPLEMENTAÇÃO DE RENDA DO GDF (PRATO CHEIO E DF SOCIAL)
  • 97.
    JULIANA CARVALHO DEARAUJO 886***.***-** 2 INDEFERIDO CANDIDATO (A) NÃO APRESENTOU DECLARAÇÃO EXPEDIDA PELO GDF QUE COMPROVE RECEBIMENTO DE BENEFÍCIO DE PROGRAMA SOCIAL DE COMPLEMENTAÇÃO OU SUPLEMENTAÇÃO DE RENDA DO GDF (PRATO CHEIO E DF SOCIAL) ÁBIA NAIANE GOMES TAVARES 013***.***-** 1 DEFERIDO PEDRO HENRIQUE SOUZA TOLENTINO 059***.***-** 6 INDEFERIDO CANDIDATO (A) NÃO APRESENTOU LAUDO MÉDICO COMPROBATÓRIO DA ISENÇÃO DE ACORDO COM A POSSIBILIDADE ESCOLHIDA (CAD. ÚNICO FEDERAL) THAIS BRAZ DE SOUSA 701***.***-** 8 DEFERIDO MARIANA REIS MEDEIROS 057***.***-** 7 INDEFERIDO CANDIDATO (A) NÃO APRESENTOU DECLARAÇÃO EXPEDIDA PELO GDF QUE COMPROVE RECEBIMENTO DE BENEFÍCIO DE PROGRAMA SOCIAL DE COMPLEMENTAÇÃO OU SUPLEMENTAÇÃO DE RENDA DO GDF (PRATO CHEIO E DF SOCIAL) MAYRA LUDIMILLA VIANA SANTOS 067***.***-** 2 INDEFERIDO CANDIDATO (A) NÃO APRESENTOU DECLARAÇÃO EXPEDIDA PELO GDF QUE COMPROVE RECEBIMENTO DE BENEFÍCIO DE PROGRAMA SOCIAL DE COMPLEMENTAÇÃO OU SUPLEMENTAÇÃO DE RENDA DO GDF (PRATO CHEIO E DF SOCIAL) LARISSA SOUSA COSTA 701***.***-** 7 INDEFERIDO CANDIDATO (A) NÃO APRESENTOU LAUDO MÉDICO COMPROBATÓRIO DA ISENÇÃO DE ACORDO COM A POSSIBILIDADE ESCOLHIDA (CAD. ÚNICO FEDERAL) MIRIAN DE OLIVEIRA SILVA 998***.***-** 1 INDEFERIDO CANDIDATO (A) NÃO APRESENTOU DOCUMENTAÇÃO EXIGIDA ( 2 COMPROVANTES DE SERVIÇO ELEITORAL) LUCIANO GALIZA ALVES DA SILVA 086***.***-** 1 DEFERIDO FABIANA RAQUEL QUEIROZ CARVALHO 027***.***-** 5 DEFERIDO JUSCILENE CHAGAS XAVIER 605***.***-** 1 INDEFERIDO CANDIDATO (A) NÃO APRESENTOU LAUDO MÉDICO COMPROBATÓRIO DA ISENÇÃO DE ACORDO COM A POSSIBILIDADE ESCOLHIDA (CAD. ÚNICO FEDERAL) ALINA FRANÇA PESSOA ALBUQUERQUE 042***.***-** 1 INDEFERIDO CANDIDATO (A) NÃO APRESENTOU DECLARAÇÃO EXPEDIDA PELO GDF QUE COMPROVE RECEBIMENTO DE BENEFÍCIO DE PROGRAMA SOCIAL DE COMPLEMENTAÇÃO OU SUPLEMENTAÇÃO DE RENDA DO GDF (PRATO CHEIO E DF SOCIAL) WILLIANEIDE MARIA DE GRANGES 443***.***-** 2 INDEFERIDO CANDIDATO (A) NÃO APRESENTOU LAUDO MÉDICO COMPROBATÓRIO DA ISENÇÃO DE ACORDO COM A POSSIBILIDADE ESCOLHIDA (CAD. ÚNICO FEDERAL) MAINARA MARQUES DA SILVA 067***.***-** 2 INDEFERIDO CANDIDATO (A) NÃO APRESENTOU DECLARAÇÃO EXPEDIDA PELO GDF QUE COMPROVE RECEBIMENTO DE BENEFÍCIO DE PROGRAMA SOCIAL DE COMPLEMENTAÇÃO OU SUPLEMENTAÇÃO DE RENDA DO GDF (PRATO CHEIO E DF SOCIAL) MARCIIEIDE DOS SANTOS NUNES 010***.***-** 1 DEFERIDO
  • 98.
    ANGÉLICA GONÇALVES MENEZESDE MIRANDA 561***.***-** 8 INDEFERIDO CANDIDATO (A) NÃO APRESENTOU DECLARAÇÃO EXPEDIDA PELO GDF QUE COMPROVE RECEBIMENTO DE BENEFÍCIO DE PROGRAMA SOCIAL DE COMPLEMENTAÇÃO OU SUPLEMENTAÇÃO DE RENDA DO GDF (PRATO CHEIO E DF SOCIAL) ALINE DOS SANTOS SOUSA 078***.***-** 7 INDEFERIDO CANDIDATO (A) NÃO APRESENTOU DECLARAÇÃO EXPEDIDA PELO GDF QUE COMPROVE RECEBIMENTO DE BENEFÍCIO DE PROGRAMA SOCIAL DE COMPLEMENTAÇÃO OU SUPLEMENTAÇÃO DE RENDA DO GDF (PRATO CHEIO E DF SOCIAL) VALERIA DE MOURA RODRIGUES 059***.***-** 3 INDEFERIDO CANDIDATO (A) NÃO APRESENTOU LAUDO MÉDICO COMPROBATÓRIO DA ISENÇÃO DE ACORDO COM A POSSIBILIDADE ESCOLHIDA (CAD. ÚNICO FEDERAL) GABRIELLA TORRES SILVA ***.***-** INDEFERIDO CANDIDATO (A) NÃO APRESENTOU DOCUMENTAÇÃO EXIGIDA ( NENHUMA DOCUMENTAÇÃO ) RENAM NASCIMENTO DA SILVA 033***.***-** 1 INDEFERIDO CANDIDATO (A) NÃO APRESENTOU DOCUMENTAÇÃO EXIGIDA EM PDF RENAM NASCIMENTO DA SILVA 033***.***-** 2 INDEFERIDO CANDIDATO (A) NÃO APRESENTOU DOCUMENTAÇÃO EXIGIDA EM PDF ANA CLAUDIA DA SILVA 747***.***-** 1 DEFERIDO ANGELICA SIRQUEIRA DOS SANTOS 058***.***-** 2 INDEFERIDO CANDIDATO (A) NÃO APRESENTOU DECLARAÇÃO EXPEDIDA PELO GDF QUE COMPROVE RECEBIMENTO DE BENEFÍCIO DE PROGRAMA SOCIAL DE COMPLEMENTAÇÃO OU SUPLEMENTAÇÃO DE RENDA DO GDF (PRATO CHEIO E DF SOCIAL) ZAQUEU AFONSO DE MIRANDA 287***.***-** 8 INDEFERIDO CANDIDATO (A) NÃO APRESENTOU DECLARAÇÃO EXPEDIDA PELO GDF QUE COMPROVE RECEBIMENTO DE BENEFÍCIO DE PROGRAMA SOCIAL DE COMPLEMENTAÇÃO OU SUPLEMENTAÇÃO DE RENDA DO GDF (PRATO CHEIO E DF SOCIAL) ANNE KELLY DE SOUSA MENDES 041***.***-** 1 INDEFERIDO CANDIDATO (A) NÃO APRESENTOU DECLARAÇÃO EXPEDIDA PELO GDF QUE COMPROVE RECEBIMENTO DE BENEFÍCIO DE PROGRAMA SOCIAL DE COMPLEMENTAÇÃO OU SUPLEMENTAÇÃO DE RENDA DO GDF (PRATO CHEIO E DF SOCIAL) ANNE KELLY DE SOUSA MENDES 041***.***-** 2 INDEFERIDO CANDIDATO (A) NÃO APRESENTOU DECLARAÇÃO EXPEDIDA PELO GDF QUE COMPROVE RECEBIMENTO DE BENEFÍCIO DE PROGRAMA SOCIAL DE COMPLEMENTAÇÃO OU SUPLEMENTAÇÃO DE RENDA DO GDF (PRATO CHEIO E DF SOCIAL) ROSANA VAZ DE OLIVEIRA 045***.***-** 1 INDEFERIDO CANDIDATO (A) NÃO APRESENTOU DECLARAÇÃO EXPEDIDA PELO GDF QUE COMPROVE RECEBIMENTO DE BENEFÍCIO DE PROGRAMA SOCIAL DE COMPLEMENTAÇÃO OU SUPLEMENTAÇÃO DE RENDA DO GDF (PRATO CHEIO E DF SOCIAL)
  • 99.
    ROSANA VAZ DEOLIVEIRA 045***.***-** 2 INDEFERIDO CANDIDATO (A) NÃO APRESENTOU DECLARAÇÃO EXPEDIDA PELO GDF QUE COMPROVE RECEBIMENTO DE BENEFÍCIO DE PROGRAMA SOCIAL DE COMPLEMENTAÇÃO OU SUPLEMENTAÇÃO DE RENDA DO GDF (PRATO CHEIO E DF SOCIAL)/ ESCOLHEU DUAS OPÇÕES DE CODIGO CINTIA SILVA HONORATO 901***.***-** 1 DEFERIDO PATRICIA OLIVEIRA DE MOURA 721***.***-** 6 INDEFERIDO CANDIDATO (A) NÃO APRESENTOU DOCUMENTAÇÃO EXIGIDA ( 2 COMPROVANTES DE SERVIÇO ELEITORAL/ ENVIOU 2X O MESMO COMPROVANTE) JULIANA DAS DORES BRANDAO 023***.***-** 6 INDEFERIDO CANDIDATO (A) NÃO APRESENTOU DECLARAÇÃO EXPEDIDA PELO GDF QUE COMPROVE RECEBIMENTO DE BENEFÍCIO DE PROGRAMA SOCIAL DE COMPLEMENTAÇÃO OU SUPLEMENTAÇÃO DE RENDA DO GDF (PRATO CHEIO E DF SOCIAL) GUILHERME ALEXANDRE RODRIGUES LIBERAL 022***.***-** INDEFERIDO CANDIDATO (A) NÃO APRESENTOU DOCUMENTAÇÃO EXIGIDA ( FORMULÁRIO ) MARINALDA SOARES DE OLIVEIRA 996***.***-** 1 DEFERIDO MARINALDA SOARES DE OLIVEIRA 996***.***-** 3 DEFERIDO ANA CLAUDIA DA SILVA 747***.***-** 8 DEFERIDO MARQUINHOS DE OLIVEIRA AFONSO 870***.***-** 6 INDEFERIDO CANDIDATO (A) NÃO APRESENTOU DOCUMENTAÇÃO EXIGIDA EM PDF ( RG) MARQUINHOS DE OLIVEIRA AFONSO 870***.***-** 1 INDEFERIDO CANDIDATO (A) NÃO APRESENTOU DOCUMENTAÇÃO EXIGIDA EM PDF ( RG) EDUARDO DE SOUSA RIBEIRO 071***.***-** 1 INDEFERIDO CANDIDATO (A) NÃO APRESENTOU DECLARAÇÃO EXPEDIDA PELO GDF QUE COMPROVE RECEBIMENTO DE BENEFÍCIO DE PROGRAMA SOCIAL DE COMPLEMENTAÇÃO OU SUPLEMENTAÇÃO DE RENDA DO GDF (PRATO CHEIO E DF SOCIAL) LUCAS FELIPE DA SILVA ALVES 048***.***-** 1 INDEFERIDO CANDIDATO (A) NÃO APRESENTOU LAUDO MÉDICO COMPROBATÓRIO DA ISENÇÃO DE ACORDO COM A POSSIBILIDADE ESCOLHIDA (CAD. ÚNICO FEDERAL) LUCAS FELIPE DA SILVA ALVES 048***.***-** 5 INDEFERIDO CANDIDATO (A) NÃO APRESENTOU LAUDO MÉDICO COMPROBATÓRIO DA ISENÇÃO DE ACORDO COM A POSSIBILIDADE ESCOLHIDA (CAD. ÚNICO FEDERAL) EDUARDO DE SOUSA RIBEIRO 071***.***-** 3 INDEFERIDO CANDIDATO (A) NÃO APRESENTOU DECLARAÇÃO EXPEDIDA PELO GDF QUE COMPROVE RECEBIMENTO DE BENEFÍCIO DE PROGRAMA SOCIAL DE COMPLEMENTAÇÃO OU SUPLEMENTAÇÃO DE RENDA DO GDF (PRATO CHEIO E DF SOCIAL) ANA PAULA NUNES MORAIS 037***.***-** 2 INDEFERIDO CANDIDATO (A) NÃO APRESENTOU DECLARAÇÃO EXPEDIDA PELO GDF QUE COMPROVE RECEBIMENTO DE BENEFÍCIO DE PROGRAMA SOCIAL DE COMPLEMENTAÇÃO OU SUPLEMENTAÇÃO DE RENDA DO GDF (PRATO CHEIO E DF SOCIAL)
  • 100.
    MONICA COSTA MARQUES019***.***-** 1 INDEFERIDO CANDIDATO (A) NÃO APRESENTOU DECLARAÇÃO EXPEDIDA PELO GDF QUE COMPROVE RECEBIMENTO DE BENEFÍCIO DE PROGRAMA SOCIAL DE COMPLEMENTAÇÃO OU SUPLEMENTAÇÃO DE RENDA DO GDF (PRATO CHEIO E DF SOCIAL) STHEFANIE REIS DE ALMEIDA 066***.***-** 5 INDEFERIDO CANDIDATO (A) NÃO APRESENTOU LAUDO MÉDICO COMPROBATÓRIO DA ISENÇÃO DE ACORDO COM A POSSIBILIDADE ESCOLHIDA (CAD. ÚNICO FEDERAL) MARIA TEIXEIRA DO NASCIMENTO LOIOLA 359***.***-** 8 INDEFERIDO CANDIDATO (A) NÃO APRESENTOU DECLARAÇÃO EXPEDIDA PELO GDF QUE COMPROVE RECEBIMENTO DE BENEFÍCIO DE PROGRAMA SOCIAL DE COMPLEMENTAÇÃO OU SUPLEMENTAÇÃO DE RENDA DO GDF (PRATO CHEIO E DF SOCIAL) JÚLIO GABRIEL LÓCIO DE ALENCAR DOS REIS 063***.***-** 7 INDEFERIDO CANDIDATO (A) NÃO APRESENTOU DECLARAÇÃO EXPEDIDA PELO GDF QUE COMPROVE RECEBIMENTO DE BENEFÍCIO DE PROGRAMA SOCIAL DE COMPLEMENTAÇÃO OU SUPLEMENTAÇÃO DE RENDA DO GDF (PRATO CHEIO E DF SOCIAL) EDIVANIA CUNHA DE SOUSA 993***.***-** 7 INDEFERIDO CANDIDATO (A) NÃO APRESENTOU DECLARAÇÃO EXPEDIDA PELO GDF QUE COMPROVE RECEBIMENTO DE BENEFÍCIO DE PROGRAMA SOCIAL DE COMPLEMENTAÇÃO OU SUPLEMENTAÇÃO DE RENDA DO GDF (PRATO CHEIO E DF SOCIAL) DAIANY FERREIRA DA SILVA 035***.***-** 2 INDEFERIDO CANDIDATO (A) NÃO APRESENTOU LAUDO MÉDICO COMPROBATÓRIO DA ISENÇÃO DE ACORDO COM A POSSIBILIDADE ESCOLHIDA (CAD. ÚNICO FEDERAL) NATALIA MENDONÇA SIMÕES ***.***-** 8 INDEFERIDO CANDIDATO (A) NÃO APRESENTOU DOCUMENTAÇÃO EXIGIDA ( NENHUMA DOCUMENTAÇÃO ) ANE CAROLINE SOUSA DO NASCIMENTO 034***.***-** 1 INDEFERIDO CANDIDATO (A) NÃO APRESENTOU DECLARAÇÃO EXPEDIDA PELO GDF QUE COMPROVE RECEBIMENTO DE BENEFÍCIO DE PROGRAMA SOCIAL DE COMPLEMENTAÇÃO OU SUPLEMENTAÇÃO DE RENDA DO GDF (PRATO CHEIO E DF SOCIAL) ANE CAROLINE SOUSA DO NASCIMENTO 034***.***-** 8 INDEFERIDO CANDIDATO (A) NÃO APRESENTOU DECLARAÇÃO EXPEDIDA PELO GDF QUE COMPROVE RECEBIMENTO DE BENEFÍCIO DE PROGRAMA SOCIAL DE COMPLEMENTAÇÃO OU SUPLEMENTAÇÃO DE RENDA DO GDF (PRATO CHEIO E DF SOCIAL) NATHILA LUANE ALVES DOS SANTOS 069***.***-** 1 INDEFERIDO CANDIDATO (A) NÃO APRESENTOU DECLARAÇÃO EXPEDIDA PELO GDF QUE COMPROVE RECEBIMENTO DE BENEFÍCIO DE PROGRAMA SOCIAL DE COMPLEMENTAÇÃO OU SUPLEMENTAÇÃO DE RENDA DO GDF (PRATO CHEIO E DF SOCIAL)
  • 101.
    ADRIANA MENDES ALMEIDADE GOES 023***.***-** 8 INDEFERIDO CANDIDATO (A) NÃO APRESENTOU DECLARAÇÃO EXPEDIDA PELO GDF QUE COMPROVE RECEBIMENTO DE BENEFÍCIO DE PROGRAMA SOCIAL DE COMPLEMENTAÇÃO OU SUPLEMENTAÇÃO DE RENDA DO GDF (PRATO CHEIO E DF SOCIAL) LUANA DE SOUZA SANTOS 034***.***-** 1 DEFERIDO LUANA DE SOUZA SANTOS 034***.***-** 6 DEFERIDO MARIA LUIZA DE FREITAS MAIA 060***.***-** 1 DEFERIDO MARIA LUIZA DE FREITAS MAIA 060***.***-** 7 DEFERIDO GABRIELLE CARVALHO MACÊDO 034***.***-** 1 INDEFERIDO CANDIDATO (A) NÃO APRESENTOU DOCUMENTAÇÃO EXIGIDA ( FORMULÁRIO ) EMANUELLY JORDÂNIA DO NASCIMENTO OLIVEIRA 052***.***-** 1 INDEFERIDO CANDIDATO (A) NÃO APRESENTOU LAUDO MÉDICO COMPROBATÓRIO DA ISENÇÃO DE ACORDO COM A POSSIBILIDADE ESCOLHIDA (CAD. ÚNICO FEDERAL) ALAINE LIMA DE ARRUDA 044***.***-** 1 DEFERIDO FLÁVIA SOARES DE OLIVEIRA 069***.***-** 1 DEFERIDO FLÁVIA SOARES DE OLIVEIRA 069***.***-** 2 DEFERIDO PATRÍCIA ALVES TEXEIRA 057***.***-** 6 INDEFERIDO CANDIDATO (A) NÃO APRESENTOU DOCUMENTAÇÃO EXIGIDA EM PDF (RG) CIDA LOPES ***.***-** INDEFERIDO CANDIDATO (A) NÃO APRESENTOU DOCUMENTAÇÃO EXIGIDA ( NENHUMA DOCUMENTAÇÃO ) MARINA DE SOUSA NOGUEIRA DE MORAIS 048***.***-** 5 DEFERIDO ALESSANDRA LIMA DE ARRUDA FERREIRA 021***.***-** 2 INDEFERIDO CANDIDATO (A) NÃO APRESENTOU LAUDO MÉDICO COMPROBATÓRIO DA ISENÇÃO DE ACORDO COM A POSSIBILIDADE ESCOLHIDA (CAD. ÚNICO FEDERAL) ALMISLENI VITORIA LOPES PIMENTEL 057***.***-** INDEFERIDO CANDIDATO (A) NÃO APRESENTOU DECLARAÇÃO EXPEDIDA PELO GDF QUE COMPROVE RECEBIMENTO DE BENEFÍCIO DE PROGRAMA SOCIAL DE COMPLEMENTAÇÃO OU SUPLEMENTAÇÃO DE RENDA DO GDF (PRATO CHEIO E DF SOCIAL) PATRÍCIA DE SOUZA LÚCIO 015***.***-** 1 DEFERIDO JAQUELINE RODRIGUES DA CRUZ 704***.***-** 8 INDEFERIDO CANDIDATO (A) NÃO APRESENTOU DECLARAÇÃO EXPEDIDA PELO GDF QUE COMPROVE RECEBIMENTO DE BENEFÍCIO DE PROGRAMA SOCIAL DE COMPLEMENTAÇÃO OU SUPLEMENTAÇÃO DE RENDA DO GDF (PRATO CHEIO E DF SOCIAL) DIÊGO FERNANDES DE MELO 016***.***-** 3 DEFERIDO CLEISE NUNES VIEIRA LOPES 000***.***-** 7 DEFERIDO CLEISE NUNES VIEIRA LOPES 000***.***-** 1 DEFERIDO THÁYNARA ÉRICA DO NASCIMENTO 004***.***-** 2 DEFERIDO
  • 102.
    ALMISLENI VITORIA LOPESPIMENTEL 057***.***-** 1 INDEFERIDO CANDIDATO (A) NÃO APRESENTOU DECLARAÇÃO EXPEDIDA PELO GDF QUE COMPROVE RECEBIMENTO DE BENEFÍCIO DE PROGRAMA SOCIAL DE COMPLEMENTAÇÃO OU SUPLEMENTAÇÃO DE RENDA DO GDF (PRATO CHEIO E DF SOCIAL) VALDOMIRO ALVES FERNANDES ***.***-** INDEFERIDO CANDIDATO (A) NÃO APRESENTOU DOCUMENTAÇÃO EXIGIDA ( NENHUMA DOCUMENTAÇÃO ) ITALA CERQUEIRA DE CARVALHO 712***.***-** 1 DEFERIDO LORRANY ALVES OLIVEIRA 074***.***-** 1 INDEFERIDO CANDIDATO (A) NÃO SELECIONOU NENHUMA DAS OPÇÕES DO FORMULÁRIO DISPONÍVEL ADMA THAMAR SOUZA CAMPOS 050***.***-** 1 DEFERIDO LUIZA THAINÁ ARAUJO RODRIGUES 060***.***-** 1 INDEFERIDO CANDIDATO (A) NÃO APRESENTOU DECLARAÇÃO EXPEDIDA PELO GDF QUE COMPROVE RECEBIMENTO DE BENEFÍCIO DE PROGRAMA SOCIAL DE COMPLEMENTAÇÃO OU SUPLEMENTAÇÃO DE RENDA DO GDF (PRATO CHEIO E DF SOCIAL) LUIZA THAINÁ ARAUJO RODRIGUES 060***.***-** 8 INDEFERIDO CANDIDATO (A) NÃO APRESENTOU DECLARAÇÃO EXPEDIDA PELO GDF QUE COMPROVE RECEBIMENTO DE BENEFÍCIO DE PROGRAMA SOCIAL DE COMPLEMENTAÇÃO OU SUPLEMENTAÇÃO DE RENDA DO GDF (PRATO CHEIO E DF SOCIAL) VERONICA MENEZES PIMENTEL 572***.***-** 1 DEFERIDO SIOMAR FRANCISCO DA SILVA 636***.***-** 3 DEFERIDO FERNANDA CARDOSO DA SILVA 027***.***-** 1 DEFERIDO FERNANDA CARDOSO DA SILVA 027***.***-** 2 DEFERIDO DANIELA FERREIRA MARTINS 034***.***-** 1 DEFERIDO ANDRE ALBERTO DE JESUS SILVA 619***.***-** 1 INDEFERIDO CANDIDATO (A) NÃO APRESENTOU LAUDO MÉDICO COMPROBATÓRIO DA ISENÇÃO DE ACORDO COM A POSSIBILIDADE ESCOLHIDA (CAD. ÚNICO FEDERAL) TCHEURY MICK CANABRAVA MENDES 026***.***-** 1 INDEFERIDO CANDIDATO (A) NÃO APRESENTOU DECLARAÇÃO EXPEDIDA PELO GDF QUE COMPROVE RECEBIMENTO DE BENEFÍCIO DE PROGRAMA SOCIAL DE COMPLEMENTAÇÃO OU SUPLEMENTAÇÃO DE RENDA DO GDF (PRATO CHEIO E DF SOCIAL) MESSIAS RODRIGUES DE CARVALHO 856***.***-** 1 DEFERIDO ISABEL DOS SANTOS CONCEIÇÃO PIMENTA 791***.***-** INDEFERIDO CANDIDATO (A) NÃO APRESENTOU DOCUMENTAÇÃO EXIGIDA ( NENHUMA DOCUMENTAÇÃO ) ERIVAN LOPES ALVES 801***.***-** 1 INDEFERIDO CANDIDATO (A) NÃO APRESENTOU LAUDO MÉDICO COMPROBATÓRIO DA ISENÇÃO DE ACORDO COM A POSSIBILIDADE ESCOLHIDA (CAD. ÚNICO FEDERAL) ADRIANA DA SILVA RESENDE 000***.***-** 1 DEFERIDO ADRIANA DA SILVA RESENDE 000***.***-** 8 DEFERIDO ALINE SOUZA SOARES 051***.***-** 1 DEFERIDO
  • 103.
    PAMELLA LIMA BRENHA044***.***-** 1 INDEFERIDO CANDIDATO (A) NÃO APRESENTOU DECLARAÇÃO EXPEDIDA PELO GDF QUE COMPROVE RECEBIMENTO DE BENEFÍCIO DE PROGRAMA SOCIAL DE COMPLEMENTAÇÃO OU SUPLEMENTAÇÃO DE RENDA DO GDF (PRATO CHEIO E DF SOCIAL) RITA DE CÁSSIA SILVA DOS SANTOS 386***.***-** 7 INDEFERIDO CANDIDATO (A) NÃO APRESENTOU LAUDO MÉDICO COMPROBATÓRIO DA ISENÇÃO DE ACORDO COM A POSSIBILIDADE ESCOLHIDA (CAD. ÚNICO FEDERAL) GIOVANNA DOS SANTOS FLORES 072***.***-** INDEFERIDO CANDIDATO (A) NÃO APRESENTOU DOCUMENTAÇÃO EXIGIDA ( NENHUMA DOCUMENTAÇÃO ) RENNE DE LISANDRA DA SILVA ALMEIDA 031***.***-** 7 DEFERIDO LUCIENE DELFINO FONSECA 031***.***-** 1 INDEFERIDO CANDIDATO (A) NÃO APRESENTOU LAUDO MÉDICO COMPROBATÓRIO DA ISENÇÃO DE ACORDO COM A POSSIBILIDADE ESCOLHIDA (CAD. ÚNICO FEDERAL) DAVI RIBEIRO DA COSTA 032***.***-** 1 INDEFERIDO CANDIDATO (A) NÃO APRESENTOU LAUDO MÉDICO COMPROBATÓRIO DA ISENÇÃO DE ACORDO COM A POSSIBILIDADE ESCOLHIDA (CAD. ÚNICO FEDERAL) KELLE DE ARAUJO LIMA 722***.***-** INDEFERIDO CANDIDATO (A) NÃO APRESENTOU DOCUMENTAÇÃO EXIGIDA ( NENHUMA DOCUMENTAÇÃO ) MARCIO RIBEIRO DE MACEDO 710***.***-** 5 DEFERIDO FERNANDA BARBOSA VIEIRA 042***.***-** 6 INDEFERIDO CANDIDATO (A) NÃO APRESENTOU DECLARAÇÃO EXPEDIDA PELO GDF QUE COMPROVE RECEBIMENTO DE BENEFÍCIO DE PROGRAMA SOCIAL DE COMPLEMENTAÇÃO OU SUPLEMENTAÇÃO DE RENDA DO GDF (PRATO CHEIO E DF SOCIAL) PATRICIA LEMOS GOMES 060***.***-** 2 INDEFERIDO CANDIDATO (A) NÃO APRESENTOU LAUDO MÉDICO COMPROBATÓRIO DA ISENÇÃO DE ACORDO COM A POSSIBILIDADE ESCOLHIDA (CAD. ÚNICO FEDERAL) FERNANDA FERREIRA DA SILVA 059***.***-** 1 INDEFERIDO CANDIDATO (A) NÃO APRESENTOU DOCUMENTAÇÃO EXIGIDA EM PDF (FORMULÁRIO) FERNANDA FERREIRA DA SILVA 059***.***-** 4 INDEFERIDO CANDIDATO (A) NÃO APRESENTOU DOCUMENTAÇÃO EXIGIDA EM PDF (FORMULÁRIO) LAYALA BEATRIZ LUIZ DA SILVA 079***.***-** INDEFERIDO CANDIDATO (A) NÃO APRESENTOU DECLARAÇÃO EXPEDIDA PELO GDF QUE COMPROVE RECEBIMENTO DE BENEFÍCIO DE PROGRAMA SOCIAL DE COMPLEMENTAÇÃO OU SUPLEMENTAÇÃO DE RENDA DO GDF (PRATO CHEIO E DF SOCIAL) RAFAELA ANDREA RADAMES GUERRA 014***.***-** 1 DEFERIDO NAYARA GOMES VIANA 018***.***-** 8 INDEFERIDO CANDIDATO (A) NÃO APRESENTOU DOCUMENTAÇÃO EXIGIDA EM PDF
  • 104.
    GUSTAVO SOUSA DEOLIVEIRA 078***.***-** 1 INDEFERIDO CANDIDATO (A) NÃO APRESENTOU DECLARAÇÃO EXPEDIDA PELO GDF QUE COMPROVE RECEBIMENTO DE BENEFÍCIO DE PROGRAMA SOCIAL DE COMPLEMENTAÇÃO OU SUPLEMENTAÇÃO DE RENDA DO GDF (PRATO CHEIO E DF SOCIAL) BEATRIZ E SILVA CAIRES 071***.***-** 1 INDEFERIDO CANDIDATO (A) NÃO APRESENTOU DECLARAÇÃO EXPEDIDA PELO GDF QUE COMPROVE RECEBIMENTO DE BENEFÍCIO DE PROGRAMA SOCIAL DE COMPLEMENTAÇÃO OU SUPLEMENTAÇÃO DE RENDA DO GDF (PRATO CHEIO E DF SOCIAL) THAYNAN CRISTINE LOPES DE SOUSA 042***.***-** 1 DEFERIDO WILTON DE LIMA MACHADO 829***.***-** 1 DEFERIDO WILTON DE LIMA MACHADO 829***.***-** 8 DEFERIDO LARA CAMILLY DE OLIVEIRA MARQUES 712***.***-** INDEFERIDO CANDIDATO (A) NÃO APRESENTOU LAUDO MÉDICO COMPROBATÓRIO DA ISENÇÃO DE ACORDO COM A POSSIBILIDADE ESCOLHIDA (CAD. ÚNICO FEDERAL) VALERIA FATIMA DE FREITAS 012***.***-** 1 INDEFERIDO CANDIDATO (A) NÃO APRESENTOU DECLARAÇÃO EXPEDIDA PELO GDF QUE COMPROVE RECEBIMENTO DE BENEFÍCIO DE PROGRAMA SOCIAL DE COMPLEMENTAÇÃO OU SUPLEMENTAÇÃO DE RENDA DO GDF (PRATO CHEIO E DF SOCIAL) RAFAELA RODRIGUES DA SILVA 059***.***-** 2 INDEFERIDO CANDIDATO (A) NÃO APRESENTOU DECLARAÇÃO EXPEDIDA PELO GDF QUE COMPROVE RECEBIMENTO DE BENEFÍCIO DE PROGRAMA SOCIAL DE COMPLEMENTAÇÃO OU SUPLEMENTAÇÃO DE RENDA DO GDF (PRATO CHEIO E DF SOCIAL) JACIRA SILVA DOS SANTOS 703***.***-** 1 DEFERIDO IONE AZEVEDO DE SOUZA 15.***.***-** INDEFERIDO CANDIDATO (A) NÃO APRESENTOU DECLARAÇÃO EXPEDIDA PELO GDF QUE COMPROVE RECEBIMENTO DE BENEFÍCIO DE PROGRAMA SOCIAL DE COMPLEMENTAÇÃO OU SUPLEMENTAÇÃO DE RENDA DO GDF (PRATO CHEIO E DF SOCIAL) AMANDA PERES BARBOSA DA COSTA 058***.***-** 1 INDEFERIDO CANDIDATO (A) NÃO APRESENTOU DOCUMENTAÇÃO EXIGIDA EM PDF JOAO VICTOR ALVES SANTANA 074***.***-** 1 INDEFERIDO CANDIDATO (A) NÃO APRESENTOU LAUDO MÉDICO COMPROBATÓRIO DA ISENÇÃO DE ACORDO COM A POSSIBILIDADE ESCOLHIDA (CAD. ÚNICO FEDERAL) ELIANE SUELLEN DE SOUZA 703***.***-** 2 INDEFERIDO CANDIDATO (A) NÃO APRESENTOU DECLARAÇÃO EXPEDIDA PELO GDF QUE COMPROVE RECEBIMENTO DE BENEFÍCIO DE PROGRAMA SOCIAL DE COMPLEMENTAÇÃO OU SUPLEMENTAÇÃO DE RENDA DO GDF (PRATO CHEIO E DF SOCIAL) ISABELLA FÁTIMA RODRIGUES SILVA 076***.***-** 1 DEFERIDO
  • 105.
    ANDREIA DE FREITASLOUZEIRO SILVA 022***.***-** 1 INDEFERIDO CANDIDATO (A) NÃO APRESENTOU DECLARAÇÃO EXPEDIDA PELO GDF QUE COMPROVE RECEBIMENTO DE BENEFÍCIO DE PROGRAMA SOCIAL DE COMPLEMENTAÇÃO OU SUPLEMENTAÇÃO DE RENDA DO GDF (PRATO CHEIO E DF SOCIAL) REJANE SILVA COSTA 037***.***-** INDEFERIDO CANDIDATO (A) NÃO APRESENTOU DECLARAÇÃO EXPEDIDA PELO GDF QUE COMPROVE RECEBIMENTO DE BENEFÍCIO DE PROGRAMA SOCIAL DE COMPLEMENTAÇÃO OU SUPLEMENTAÇÃO DE RENDA DO GDF (PRATO CHEIO E DF SOCIAL) ANA CRISTINA TUPINAMBÁ MARQUES DENGO 001***.***-** 1 INDEFERIDO CANDIDATO (A) NÃO APRESENTOU DOCUMENTAÇÃO EXIGIDA EM PDF ANA CRISTINA TUPINAMBÁ MARQUES DENGO 001***.***-** 8 INDEFERIDO CANDIDATO (A) NÃO APRESENTOU DOCUMENTAÇÃO EXIGIDA EM PDF LILIANE ANGELICA DE SOUZA SANTOS 814***.***-** 8 INDEFERIDO CANDIDATO (A) NÃO APRESENTOU DOCUMENTAÇÃO EXIGIDA NO MESMO EMAIL ( FORMULÁRIO VEIO EM OUTRO EMAIL SEPARADO DA DOCUMENTAÇÃO ) VANESSA CUNHA DA SILVA 057***.***-** 5 INDEFERIDO CANDIDATO (A) NÃO APRESENTOU DECLARAÇÃO EXPEDIDA PELO GDF QUE COMPROVE RECEBIMENTO DE BENEFÍCIO DE PROGRAMA SOCIAL DE COMPLEMENTAÇÃO OU SUPLEMENTAÇÃO DE RENDA DO GDF (PRATO CHEIO E DF SOCIAL) MADSON MOTA DE PAULA 034***.***-** 1 DEFERIDO MADSON MOTA DE PAULA 034***.***-** 3 DEFERIDO ANDRÉIA MOREIRA DE SOUSA 883***.***-** 1 DEFERIDO VALDEYDE AGOSTINHO MENDES 658***.***-** 7 DEFERIDO VALDEYDE AGOSTINHO MENDES 658***.***-** 1 DEFERIDO NOEMI FARIAS DA SILVA 000***.***-** 1 INDEFERIDO CANDIDATO (A) NÃO APRESENTOU DECLARAÇÃO EXPEDIDA PELO GDF QUE COMPROVE RECEBIMENTO DE BENEFÍCIO DE PROGRAMA SOCIAL DE COMPLEMENTAÇÃO OU SUPLEMENTAÇÃO DE RENDA DO GDF (PRATO CHEIO E DF SOCIAL) NOEMI FARIAS DA SILVA 000***.***-** 6 INDEFERIDO CANDIDATO (A) NÃO APRESENTOU DECLARAÇÃO EXPEDIDA PELO GDF QUE COMPROVE RECEBIMENTO DE BENEFÍCIO DE PROGRAMA SOCIAL DE COMPLEMENTAÇÃO OU SUPLEMENTAÇÃO DE RENDA DO GDF (PRATO CHEIO E DF SOCIAL) JAQUELINE DA SILVA COUTINHO 052***.***-** 1 INDEFERIDO CANDIDATO (A) NÃO APRESENTOU DECLARAÇÃO EXPEDIDA PELO GDF QUE COMPROVE RECEBIMENTO DE BENEFÍCIO DE PROGRAMA SOCIAL DE COMPLEMENTAÇÃO OU SUPLEMENTAÇÃO DE RENDA DO GDF (PRATO CHEIO E DF SOCIAL) DULCINEIDE DE FREITAS NASCIMENTO 004***.***-** 2 DEFERIDO SANDRA GOMES DA SILVA 889***.***-** 1 DEFERIDO
  • 106.
    ARISTELIA ARAUJO FARIAS052***.***-** 1 INDEFERIDO CANDIDATO (A) NÃO APRESENTOU DECLARAÇÃO EXPEDIDA PELO GDF QUE COMPROVE RECEBIMENTO DE BENEFÍCIO DE PROGRAMA SOCIAL DE COMPLEMENTAÇÃO OU SUPLEMENTAÇÃO DE RENDA DO GDF (PRATO CHEIO E DF SOCIAL) ARISTELIA ARAUJO FARIAS 052***.***-** 6 INDEFERIDO CANDIDATO (A) NÃO APRESENTOU DECLARAÇÃO EXPEDIDA PELO GDF QUE COMPROVE RECEBIMENTO DE BENEFÍCIO DE PROGRAMA SOCIAL DE COMPLEMENTAÇÃO OU SUPLEMENTAÇÃO DE RENDA DO GDF (PRATO CHEIO E DF SOCIAL) CAMILA DOS SANTOS VASCONCELOS 079***.***-** 1 INDEFERIDO CANDIDATO (A) NÃO APRESENTOU DECLARAÇÃO EXPEDIDA PELO GDF QUE COMPROVE RECEBIMENTO DE BENEFÍCIO DE PROGRAMA SOCIAL DE COMPLEMENTAÇÃO OU SUPLEMENTAÇÃO DE RENDA DO GDF (PRATO CHEIO E DF SOCIAL) GUILHERME BUENO GOMES ***.***-** INDEFERIDO CANDIDATO (A) NÃO APRESENTOU DOCUMENTAÇÃO EXIGIDA ( NENHUMA DOCUMENTAÇÃO ) ALESSANDRA ARUAJO FARIAS 052***.***-** 1 INDEFERIDO CANDIDATO (A) NÃO APRESENTOU DECLARAÇÃO EXPEDIDA PELO GDF QUE COMPROVE RECEBIMENTO DE BENEFÍCIO DE PROGRAMA SOCIAL DE COMPLEMENTAÇÃO OU SUPLEMENTAÇÃO DE RENDA DO GDF (PRATO CHEIO E DF SOCIAL) ALESSANDRA ARUAJO FARIAS 052***.***-** 6 INDEFERIDO CANDIDATO (A) NÃO APRESENTOU DECLARAÇÃO EXPEDIDA PELO GDF QUE COMPROVE RECEBIMENTO DE BENEFÍCIO DE PROGRAMA SOCIAL DE COMPLEMENTAÇÃO OU SUPLEMENTAÇÃO DE RENDA DO GDF (PRATO CHEIO E DF SOCIAL) LUANA BORGES DE ARAUJO 039***.***-** 7 INDEFERIDO CANDIDATO (A) NÃO APRESENTOU DECLARAÇÃO EXPEDIDA PELO GDF QUE COMPROVE RECEBIMENTO DE BENEFÍCIO DE PROGRAMA SOCIAL DE COMPLEMENTAÇÃO OU SUPLEMENTAÇÃO DE RENDA DO GDF (PRATO CHEIO E DF SOCIAL) GABRIELE VASCONCELOS PACHECO 088***.***-** 1 INDEFERIDO CANDIDATO (A) NÃO APRESENTOU DECLARAÇÃO EXPEDIDA PELO GDF QUE COMPROVE RECEBIMENTO DE BENEFÍCIO DE PROGRAMA SOCIAL DE COMPLEMENTAÇÃO OU SUPLEMENTAÇÃO DE RENDA DO GDF (PRATO CHEIO E DF SOCIAL) YASMIN DE JESUS OLIVEIRA 041***.***-** 1 DEFERIDO KELY DAIANE ALVES VAZ 036***.***-** INDEFERIDO CANDIDATO (A) NÃO APRESENTOU LAUDO MÉDICO COMPROBATÓRIO DA ISENÇÃO DE ACORDO COM A POSSIBILIDADE ESCOLHIDA (CAD. ÚNICO FEDERAL) CRISTIANA DO NASCIMENTO SILVA OLIVEIRA 727***.***-** 1 INDEFERIDO CANDIDATO (A) NÃO APRESENTOU DECLARAÇÃO EXPEDIDA PELO GDF QUE COMPROVE RECEBIMENTO DE BENEFÍCIO DE PROGRAMA SOCIAL DE COMPLEMENTAÇÃO OU SUPLEMENTAÇÃO DE RENDA DO GDF (PRATO CHEIO E DF SOCIAL)
  • 107.
    FELIPE PEREIRA RAMOS059***.***-** 1 INDEFERIDO CANDIDATO (A) NÃO APRESENTOU DECLARAÇÃO EXPEDIDA PELO GDF QUE COMPROVE RECEBIMENTO DE BENEFÍCIO DE PROGRAMA SOCIAL DE COMPLEMENTAÇÃO OU SUPLEMENTAÇÃO DE RENDA DO GDF (PRATO CHEIO E DF SOCIAL) FELIPE PEREIRA RAMOS 059***.***-** 8 INDEFERIDO CANDIDATO (A) NÃO APRESENTOU DECLARAÇÃO EXPEDIDA PELO GDF QUE COMPROVE RECEBIMENTO DE BENEFÍCIO DE PROGRAMA SOCIAL DE COMPLEMENTAÇÃO OU SUPLEMENTAÇÃO DE RENDA DO GDF (PRATO CHEIO E DF SOCIAL) DANIEL OLIVEIRA DA SILVA 038***.***-** 8 INDEFERIDO CANDIDATO (A) NÃO APRESENTOU LAUDO MÉDICO COMPROBATÓRIO DA ISENÇÃO DE ACORDO COM A POSSIBILIDADE ESCOLHIDA (CAD. ÚNICO FEDERAL) LUIZ GUILHERME DA SILVA RIBEIRO 033***.***-** 1 DEFERIDO LUIZ GUILHERME DA SILVA RIBEIRO 033***.***-** 8 DEFERIDO JEISSIANE FERREIRA DE SOUSA 049***.***-** 1 INDEFERIDO CANDIDATO (A) NÃO APRESENTOU DECLARAÇÃO EXPEDIDA PELO GDF QUE COMPROVE RECEBIMENTO DE BENEFÍCIO DE PROGRAMA SOCIAL DE COMPLEMENTAÇÃO OU SUPLEMENTAÇÃO DE RENDA DO GDF (PRATO CHEIO E DF SOCIAL) ROSILENE DE OLIVEIRA CORRÊA 904***.***-** 1 DEFERIDO DANIEL COSTA DA SILVA 004***.***-** 1 DEFERIDO SAMARA FERREIRA DOS SANTOS 039***.***-** 1 INDEFERIDO CANDIDATO (A) NÃO APRESENTOU LAUDO MÉDICO COMPROBATÓRIO DA ISENÇÃO DE ACORDO COM A POSSIBILIDADE ESCOLHIDA (CAD. ÚNICO FEDERAL) ANNA LETÍCIA BATISTA LEMOS ROSAL 044***.***-** 1 INDEFERIDO CANDIDATO (A) NÃO APRESENTOU DOCUMENTAÇÃO EXIGIDA (RG) ALESSANDRA DOS SANTOS ARAUJO 012***.***-** 1 INDEFERIDO CANDIDATO (A) NÃO APRESENTOU DECLARAÇÃO EXPEDIDA PELO GDF QUE COMPROVE RECEBIMENTO DE BENEFÍCIO DE PROGRAMA SOCIAL DE COMPLEMENTAÇÃO OU SUPLEMENTAÇÃO DE RENDA DO GDF (PRATO CHEIO E DF SOCIAL) ALESSANDRA DOS SANTOS ARAUJO 012***.***-** 4 INDEFERIDO CANDIDATO (A) NÃO APRESENTOU DECLARAÇÃO EXPEDIDA PELO GDF QUE COMPROVE RECEBIMENTO DE BENEFÍCIO DE PROGRAMA SOCIAL DE COMPLEMENTAÇÃO OU SUPLEMENTAÇÃO DE RENDA DO GDF (PRATO CHEIO E DF SOCIAL) ELIANE AUGUSTA ESTRELA DURÃES 030***.***-** 7 INDEFERIDO CANDIDATO (A) NÃO APRESENTOU DOCUMENTAÇÃO EXIGIDA ( NENHUMA DOCUMENTAÇÃO ) LUIS CARLOS DE SENA PLACIO FILHO 036***.***-** 6 INDEFERIDO CANDIDATO (A) NÃO APRESENTOU DECLARAÇÃO EXPEDIDA PELO GDF QUE COMPROVE RECEBIMENTO DE BENEFÍCIO DE PROGRAMA SOCIAL DE COMPLEMENTAÇÃO OU SUPLEMENTAÇÃO DE RENDA DO GDF (PRATO CHEIO E DF SOCIAL)
  • 108.
    MICHELE DA SILVALIMA 011***.***-** 3 INDEFERIDO CANDIDATO (A) NÃO APRESENTOU DECLARAÇÃO EXPEDIDA PELO GDF QUE COMPROVE RECEBIMENTO DE BENEFÍCIO DE PROGRAMA SOCIAL DE COMPLEMENTAÇÃO OU SUPLEMENTAÇÃO DE RENDA DO GDF (PRATO CHEIO E DF SOCIAL) MICHELE DA SILVA LIMA 011***.***-** 1 INDEFERIDO CANDIDATO (A) NÃO APRESENTOU DECLARAÇÃO EXPEDIDA PELO GDF QUE COMPROVE RECEBIMENTO DE BENEFÍCIO DE PROGRAMA SOCIAL DE COMPLEMENTAÇÃO OU SUPLEMENTAÇÃO DE RENDA DO GDF (PRATO CHEIO E DF SOCIAL) LUCAS CLEMENTINO DE CEIA 027***.***-** 1 DEFERIDO LUCAS CLEMENTINO DE CEIA 027***.***-** 8 DEFERIDO MITILENE PEREIRA AGUIAR DOS SANTOS 700***.***-** 8 INDEFERIDO CANDIDATO (A) NÃO APRESENTOU DECLARAÇÃO EXPEDIDA PELO GDF QUE COMPROVE RECEBIMENTO DE BENEFÍCIO DE PROGRAMA SOCIAL DE COMPLEMENTAÇÃO OU SUPLEMENTAÇÃO DE RENDA DO GDF (PRATO CHEIO E DF SOCIAL) MITILENE PEREIRA AGUIAR DOS SANTOS 700***.***-** 1 INDEFERIDO CANDIDATO (A) NÃO APRESENTOU DECLARAÇÃO EXPEDIDA PELO GDF QUE COMPROVE RECEBIMENTO DE BENEFÍCIO DE PROGRAMA SOCIAL DE COMPLEMENTAÇÃO OU SUPLEMENTAÇÃO DE RENDA DO GDF (PRATO CHEIO E DF SOCIAL) ROSIMAR PIRES MARTINS 696***.***-** 7 INDEFERIDO CANDIDATO (A) NÃO APRESENTOU DECLARAÇÃO EXPEDIDA PELO GDF QUE COMPROVE RECEBIMENTO DE BENEFÍCIO DE PROGRAMA SOCIAL DE COMPLEMENTAÇÃO OU SUPLEMENTAÇÃO DE RENDA DO GDF (PRATO CHEIO E DF SOCIAL) EDUARDA VASCONCELOS DA SILVA 077***.***-** 1 DEFERIDO EDUARDA VASCONCELOS DA SILVA 077***.***-** 5 DEFERIDO ANA ALVES RAMOS 339***.***-** 1 DEFERIDO ANA ALVES RAMOS 339***.***-** 8 DEFERIDO ANDRÉ RAMOS DOS SANTOS 751***.***-** 8 INDEFERIDO CANDIDATO (A) NÃO APRESENTOU DECLARAÇÃO EXPEDIDA PELO GDF QUE COMPROVE RECEBIMENTO DE BENEFÍCIO DE PROGRAMA SOCIAL DE COMPLEMENTAÇÃO OU SUPLEMENTAÇÃO DE RENDA DO GDF (PRATO CHEIO E DF SOCIAL) ANDRÉ RAMOS DOS SANTOS 751***.***-** 1 INDEFERIDO CANDIDATO (A) NÃO APRESENTOU DECLARAÇÃO EXPEDIDA PELO GDF QUE COMPROVE RECEBIMENTO DE BENEFÍCIO DE PROGRAMA SOCIAL DE COMPLEMENTAÇÃO OU SUPLEMENTAÇÃO DE RENDA DO GDF (PRATO CHEIO E DF SOCIAL) THALITA WOYRON DA SILVA ARAUJO 031***.***-** 5 INDEFERIDO CANDIDATO (A) NÃO APRESENTOU DECLARAÇÃO EXPEDIDA PELO GDF QUE COMPROVE RECEBIMENTO DE BENEFÍCIO DE PROGRAMA SOCIAL DE COMPLEMENTAÇÃO OU SUPLEMENTAÇÃO DE RENDA DO GDF (PRATO CHEIO E DF SOCIAL) MARIA DO ROSÁRIO DA SILVA 394***.***-** 1 DEFERIDO
  • 109.
    MARIA DO ROSÁRIODA SILVA 394***.***-** 5 DEFERIDO LUDIMILLA TAMARA OLIVEIRA LEITE LEMOS 716***.***-** INDEFERIDO CANDIDATO (A) NÃO APRESENTOU DECLARAÇÃO EXPEDIDA PELO GDF QUE COMPROVE RECEBIMENTO DE BENEFÍCIO DE PROGRAMA SOCIAL DE COMPLEMENTAÇÃO OU SUPLEMENTAÇÃO DE RENDA DO GDF (PRATO CHEIO E DF SOCIAL) BEATRIZ NUNES ALENCAR SEIXAS ***.***-** INDEFERIDO CANDIDATO (A) NÃO APRESENTOU DOCUMENTAÇÃO EXIGIDA ( NENHUMA DOCUMENTAÇÃO / LINK DO DRIVER ENVIADO NECESSITA PEDIR ACESSO PARA LIBERAÇÃO ) LAÍS RAYANE FERREIRA DE JESUS 028***.***-** 6 INDEFERIDO CANDIDATO (A) NÃO APRESENTOU DECLARAÇÃO EXPEDIDA PELO GDF QUE COMPROVE RECEBIMENTO DE BENEFÍCIO DE PROGRAMA SOCIAL DE COMPLEMENTAÇÃO OU SUPLEMENTAÇÃO DE RENDA DO GDF (PRATO CHEIO E DF SOCIAL) JULIANA SALES DA FONSECA 014***.***-** 1 DEFERIDO JUSCIANA GONÇALVES DE LIMA 732***.***-** 1 DEFERIDO EDNA MARIA GRAÇA MAGALHÃES 744***.***-** 5 INDEFERIDO CANDIDATO (A) NÃO APRESENTOU DECLARAÇÃO EXPEDIDA PELO GDF QUE COMPROVE RECEBIMENTO DE BENEFÍCIO DE PROGRAMA SOCIAL DE COMPLEMENTAÇÃO OU SUPLEMENTAÇÃO DE RENDA DO GDF (PRATO CHEIO E DF SOCIAL) EDNA MARIA GRAÇA MAGALHÃES 744***.***-** 1 INDEFERIDO CANDIDATO (A) NÃO APRESENTOU DECLARAÇÃO EXPEDIDA PELO GDF QUE COMPROVE RECEBIMENTO DE BENEFÍCIO DE PROGRAMA SOCIAL DE COMPLEMENTAÇÃO OU SUPLEMENTAÇÃO DE RENDA DO GDF (PRATO CHEIO E DF SOCIAL) EDNA MARIA GRAÇA MAGALHÃES 744***.***-** 5 INDEFERIDO CANDIDATO (A) NÃO APRESENTOU DECLARAÇÃO EXPEDIDA PELO GDF QUE COMPROVE RECEBIMENTO DE BENEFÍCIO DE PROGRAMA SOCIAL DE COMPLEMENTAÇÃO OU SUPLEMENTAÇÃO DE RENDA DO GDF (PRATO CHEIO E DF SOCIAL) LARISSA APARECIDA RODRIGUES DOS SANTOS 122***.***-** 6 INDEFERIDO CANDIDATO (A) NÃO APRESENTOU DOCUMENTAÇÃO EXIGIDA EM PDF DANIELE VASCONCELOS DA SILVA 077***.***-** 1 DEFERIDO DANIELE VASCONCELOS DA SILVA 077***.***-** 5 DEFERIDO MARLON BERNARDO MOREIRA DA SILVA 077***.***-** 1 DEFERIDO MARIA ALICE RODRIGUES SILVA 686***.***-** 7 INDEFERIDO CANDIDATO (A) NÃO APRESENTOU DOCUMENTAÇÃO EXIGIDA (RG) BRENDA CAROLINE PIRES MARQUES 052***.***-** 7 DEFERIDO ADEMIR BENTO DA SILVA JUNIOR 938***.***-** 1 DEFERIDO ADEMIR BENTO DA SILVA JUNIOR 938***.***-** 5 DEFERIDO MARIA EDUARDA DE OLIVEIRA SANTOS 068***.***-** 6 INDEFERIDO CANDIDATO (A) NÃO APRESENTOU LAUDO MÉDICO COMPROBATÓRIO DA ISENÇÃO DE ACORDO COM A POSSIBILIDADE ESCOLHIDA (CAD. ÚNICO FEDERAL) / NÃO ENVIOU DOCUMENTAÇÃO EM PDF
  • 110.
    INDYANARA PEREIRA DASILVA 100***.***-** 8 INDEFERIDO CANDIDATO (A) NÃO APRESENTOU DECLARAÇÃO EXPEDIDA PELO GDF QUE COMPROVE RECEBIMENTO DE BENEFÍCIO DE PROGRAMA SOCIAL DE COMPLEMENTAÇÃO OU SUPLEMENTAÇÃO DE RENDA DO GDF (PRATO CHEIO E DF SOCIAL) CLÁUDIA COUTINHO ROCHA 057***.***-** 1 INDEFERIDO CANDIDATO (A) NÃO APRESENTOU DECLARAÇÃO EXPEDIDA PELO GDF QUE COMPROVE RECEBIMENTO DE BENEFÍCIO DE PROGRAMA SOCIAL DE COMPLEMENTAÇÃO OU SUPLEMENTAÇÃO DE RENDA DO GDF (PRATO CHEIO E DF SOCIAL) LUCIANA BRAZ DE LIMA 042***.***-** 7 DEFERIDO MARIA EDUARDA SILVA SOUSA 058***.***-** 4 DEFERIDO JÉSSICA SANTOS MACIEL 029***.***-** 1 DEFERIDO CINDY LOBATO MAIA 052***.***-** 6 INDEFERIDO CANDIDATO (A) NÃO APRESENTOU DECLARAÇÃO EXPEDIDA PELO GDF QUE COMPROVE RECEBIMENTO DE BENEFÍCIO DE PROGRAMA SOCIAL DE COMPLEMENTAÇÃO OU SUPLEMENTAÇÃO DE RENDA DO GDF (PRATO CHEIO E DF SOCIAL) CINDY LOBATO MAIA 052***.***-** 1 INDEFERIDO CANDIDATO (A) NÃO APRESENTOU DECLARAÇÃO EXPEDIDA PELO GDF QUE COMPROVE RECEBIMENTO DE BENEFÍCIO DE PROGRAMA SOCIAL DE COMPLEMENTAÇÃO OU SUPLEMENTAÇÃO DE RENDA DO GDF (PRATO CHEIO E DF SOCIAL) ELISÂNGELA RODRIGUES DE SOUZA 005***.***-** 1 DEFERIDO ATAIRIS FERREIRA LOPES 041***.***-** 1 DEFERIDO GILDEANA DE JESUS LIMA 028***.***-** 3 INDEFERIDO CANDIDATO (A) NÃO APRESENTOU DOCUMENTAÇÃO EXIGIDA (RG) ELISANGELA RODRIGUES DE SOUZA 005***.***-** 7 DEFERIDO BRUNNA CRISTINA MOREIRA DE ALMEIDA 054***.***-** 1 DEFERIDO BRUNNA CRISTINA MOREIRA DE ALMEIDA 054***.***-** 6 DEFERIDO ROSIMAR PIRES MARTINS 696***.***-** 7 INDEFERIDO CANDIDATO (A) NÃO APRESENTOU DECLARAÇÃO EXPEDIDA PELO GDF QUE COMPROVE RECEBIMENTO DE BENEFÍCIO DE PROGRAMA SOCIAL DE COMPLEMENTAÇÃO OU SUPLEMENTAÇÃO DE RENDA DO GDF (PRATO CHEIO E DF SOCIAL) ISABELA CRISTINA ALVES DOS SANTOS 065***.***-** 1 INDEFERIDO CANDIDATO (A) NÃO APRESENTOU DECLARAÇÃO EXPEDIDA PELO GDF QUE COMPROVE RECEBIMENTO DE BENEFÍCIO DE PROGRAMA SOCIAL DE COMPLEMENTAÇÃO OU SUPLEMENTAÇÃO DE RENDA DO GDF (PRATO CHEIO E DF SOCIAL) ALAIS RODRIGUES ***.***-** INDEFERIDO CANDIDATO (A) NÃO APRESENTOU DOCUMENTAÇÃO EXIGIDA ( NENHUMA DOCUMENTAÇÃO ) VICTORIA ADRIANE LIMA FERREIRA 067***.***-** 1 DEFERIDO VICTORIA ADRIANE LIMA FERREIRA 067***.***-** 3 DEFERIDO THEREZA DE JESUS SIMOES DE SOUZA 794***.***-** INDEFERIDO CANDIDATO (A) NÃO APRESENTOU DOCUMENTAÇÃO EXIGIDA ( NÃO PREENCHEU O FORMULÁRIO )
  • 111.
    ERINALDO DOS SANTOSSILVA 610***.***-** 1 INDEFERIDO CANDIDATO (A) NÃO APRESENTOU LAUDO MÉDICO COMPROBATÓRIO DA ISENÇÃO DE ACORDO COM A POSSIBILIDADE ESCOLHIDA (CAD. ÚNICO FEDERAL) MARCIA FEITOSA DOS SANTOS 982***.***-** 2 INDEFERIDO CANDIDATO (A) NÃO APRESENTOU DECLARAÇÃO EXPEDIDA PELO GDF QUE COMPROVE RECEBIMENTO DE BENEFÍCIO DE PROGRAMA SOCIAL DE COMPLEMENTAÇÃO OU SUPLEMENTAÇÃO DE RENDA DO GDF (PRATO CHEIO E DF SOCIAL) DANIELLA APARECIDA MARTINS DE OLIVEIRA 063***.***-** 6 INDEFERIDO CANDIDATO (A) NÃO APRESENTOU DECLARAÇÃO EXPEDIDA PELO GDF QUE COMPROVE RECEBIMENTO DE BENEFÍCIO DE PROGRAMA SOCIAL DE COMPLEMENTAÇÃO OU SUPLEMENTAÇÃO DE RENDA DO GDF (PRATO CHEIO E DF SOCIAL) ADRIANA PEREIRA DE REZENDE DE ALBERNAZ 009***.***-** 5 INDEFERIDO CANDIDATO (A) NÃO APRESENTOU DOCUMENTAÇÃO EXIGIDA ( NÃO PREENCHEU O FORMULÁRIO ) LUAN DE OLIVEIRA FIGUEIREDO MATIAS FRANCO 05***.***-** 3 INDEFERIDO CANDIDATO (A) NÃO APRESENTOU DECLARAÇÃO EXPEDIDA PELO GDF QUE COMPROVE RECEBIMENTO DE BENEFÍCIO DE PROGRAMA SOCIAL DE COMPLEMENTAÇÃO OU SUPLEMENTAÇÃO DE RENDA DO GDF (PRATO CHEIO E DF SOCIAL) VALQUIRIA JOSÉ DA CONCEIÇÃO ***.***-** INDEFERIDO CANDIDATO (A) NÃO APRESENTOU DOCUMENTAÇÃO EXIGIDA ( NENHUMA DOCUMENTAÇÃO ) CLEITON DOS SANTOS ALVES 035***.***-** 1 DEFERIDO CLEITON DOS SANTOS ALVES 035***.***-** 3 DEFERIDO JÉSSICA DO BONFIM DE SOUZA 046***.***-** 7 INDEFERIDO CANDIDATO (A) NÃO APRESENTOU DECLARAÇÃO EXPEDIDA PELO GDF QUE COMPROVE RECEBIMENTO DE BENEFÍCIO DE PROGRAMA SOCIAL DE COMPLEMENTAÇÃO OU SUPLEMENTAÇÃO DE RENDA DO GDF (PRATO CHEIO E DF SOCIAL) / AGUARDANDO LIBERAÇÃO DO PROGRAMA PRATO CHEIO SANDRA PERREIRA DE SOUSA 825***.***-** 5 INDEFERIDO CANDIDATO (A) NÃO APRESENTOU DECLARAÇÃO EXPEDIDA PELO GDF QUE COMPROVE RECEBIMENTO DE BENEFÍCIO DE PROGRAMA SOCIAL DE COMPLEMENTAÇÃO OU SUPLEMENTAÇÃO DE RENDA DO GDF (PRATO CHEIO E DF SOCIAL) MARIZA RODRIGUES DA SILVA 003***.***-** 1 DEFERIDO MARIZA RODRIGUES DA SILVA 003***.***-** 3 DEFERIDO ANDRIELE SOUZA DE FREITAS 756***.***-** 1 DEFERIDO ANDRIELE SOUZA DE FREITAS 756***.***-** 6 DEFERIDO ANA PAULA RODRIGUES DOS SANTOS 017***.***-** 1 DEFERIDO ANA PAULA RODRIGUES DOS SANTOS 017***.***-** 2 DEFERIDO JOSCÉLIA MOREIRA DA SILVA 003***.***-** 8 DEFERIDO
  • 112.
    ANA LUCIA LIMADE JESUS 028***.***-** 5 INDEFERIDO CANDIDATO (A) NÃO APRESENTOU DECLARAÇÃO EXPEDIDA PELO GDF QUE COMPROVE RECEBIMENTO DE BENEFÍCIO DE PROGRAMA SOCIAL DE COMPLEMENTAÇÃO OU SUPLEMENTAÇÃO DE RENDA DO GDF (PRATO CHEIO E DF SOCIAL) YASMIN FERREIRA DOS SANTOS 027***.***-** INDEFERIDO CANDIDATO (A) NÃO APRESENTOU DOCUMENTAÇÃO EXIGIDA ( RG ) RENATA MONIQUE QUEIROZ DA SILVA 063***.***-** 7 INDEFERIDO CANDIDATO (A) NÃO APRESENTOU LAUDO MÉDICO COMPROBATÓRIO DA ISENÇÃO DE ACORDO COM A POSSIBILIDADE ESCOLHIDA (CAD. ÚNICO FEDERAL) MARIA CLÁUDIA TIMO MOURA 041***.***-** 1 DEFERIDO MARIA CLÁUDIA TIMO MOURA 041***.***-** 6 DEFERIDO NILSON MIGUEL MORILHA 385***.***-** 5 INDEFERIDO CANDIDATO (A) NÃO APRESENTOU LAUDO MÉDICO COMPROBATÓRIO DA ISENÇÃO DE ACORDO COM A POSSIBILIDADE ESCOLHIDA (CAD. ÚNICO FEDERAL) DANIELLE MARCELINO DE SOUZA 056***.***-** 1 INDEFERIDO CANDIDATO (A) NÃO APRESENTOU DECLARAÇÃO EXPEDIDA PELO GDF QUE COMPROVE RECEBIMENTO DE BENEFÍCIO DE PROGRAMA SOCIAL DE COMPLEMENTAÇÃO OU SUPLEMENTAÇÃO DE RENDA DO GDF (PRATO CHEIO E DF SOCIAL) DANIELLE MARCELINO DE SOUZA 056***.***-** 7 INDEFERIDO CANDIDATO (A) NÃO APRESENTOU DECLARAÇÃO EXPEDIDA PELO GDF QUE COMPROVE RECEBIMENTO DE BENEFÍCIO DE PROGRAMA SOCIAL DE COMPLEMENTAÇÃO OU SUPLEMENTAÇÃO DE RENDA DO GDF (PRATO CHEIO E DF SOCIAL) SARAH MONTE DOS SANTOS 076***.***-** 1 DEFERIDO LETÍCIA PEREIRA FERNANDES 096***.***-** 7 INDEFERIDO CANDIDATO (A) NÃO APRESENTOU LAUDO MÉDICO COMPROBATÓRIO DA ISENÇÃO DE ACORDO COM A POSSIBILIDADE ESCOLHIDA (CAD. ÚNICO FEDERAL) LETÍCIA PEREIRA FERNANDES 096***.***-** 7 INDEFERIDO CANDIDATO (A) NÃO APRESENTOU DECLARAÇÃO EXPEDIDA PELO GDF QUE COMPROVE RECEBIMENTO DE BENEFÍCIO DE PROGRAMA SOCIAL DE COMPLEMENTAÇÃO OU SUPLEMENTAÇÃO DE RENDA DO GDF (PRATO CHEIO E DF SOCIAL) EUNICE ALVES DE SOUSA 035***.***-** INDEFERIDO CANDIDATO (A) NÃO APRESENTOU DOCUMENTAÇÃO EXIGIDA ( NENHUMA DOCUMENTAÇÃO ) JOAO VITOR GARCIA TORQUATO 027***.***-** 8 INDEFERIDO CANDIDATO (A) NÃO APRESENTOU LAUDO MÉDICO COMPROBATÓRIO DA ISENÇÃO DE ACORDO COM A POSSIBILIDADE ESCOLHIDA (CAD. ÚNICO FEDERAL) JOSCELENE ALVES GOMES 493***.***-** 2 DEFERIDO JOAO VITOR MEIRA DE SOUZA 063***.***-** 1 INDEFERIDO CANDIDATO (A) NÃO APRESENTOU DECLARAÇÃO EXPEDIDA PELO GDF QUE COMPROVE RECEBIMENTO DE BENEFÍCIO DE PROGRAMA SOCIAL DE COMPLEMENTAÇÃO OU SUPLEMENTAÇÃO DE RENDA DO GDF (PRATO CHEIO E DF SOCIAL)
  • 113.
    JOAO VITOR MEIRADE SOUZA 063***.***-** 5 INDEFERIDO CANDIDATO (A) NÃO APRESENTOU DECLARAÇÃO EXPEDIDA PELO GDF QUE COMPROVE RECEBIMENTO DE BENEFÍCIO DE PROGRAMA SOCIAL DE COMPLEMENTAÇÃO OU SUPLEMENTAÇÃO DE RENDA DO GDF (PRATO CHEIO E DF SOCIAL) MARIA ANTONIA FERREIRA 578***.***-** 1 INDEFERIDO CANDIDATO (A) NÃO APRESENTOU DECLARAÇÃO EXPEDIDA PELO GDF QUE COMPROVE RECEBIMENTO DE BENEFÍCIO DE PROGRAMA SOCIAL DE COMPLEMENTAÇÃO OU SUPLEMENTAÇÃO DE RENDA DO GDF (PRATO CHEIO E DF SOCIAL) LUCILENE DA SILVA MOROMÓ 389***.***-** 2 INDEFERIDO CANDIDATO (A) NÃO APRESENTOU DECLARAÇÃO EXPEDIDA PELO GDF QUE COMPROVE RECEBIMENTO DE BENEFÍCIO DE PROGRAMA SOCIAL DE COMPLEMENTAÇÃO OU SUPLEMENTAÇÃO DE RENDA DO GDF (PRATO CHEIO E DF SOCIAL) JESSICA LORRANE GUIMARÃES DE MORAIS 705***.***-** 1 INDEFERIDO CANDIDATO (A) NÃO APRESENTOU DOCUMENTAÇÃO EXIGIDA ( NENHUMA DOCUMENTAÇÃO ) ROBERTO LISTER GOMES MAIA 504***.***-** 1 DEFERIDO VINICIUS MEIRA DE SOUZA 063***.***-** 1 INDEFERIDO CANDIDATO (A) NÃO APRESENTOU DECLARAÇÃO EXPEDIDA PELO GDF QUE COMPROVE RECEBIMENTO DE BENEFÍCIO DE PROGRAMA SOCIAL DE COMPLEMENTAÇÃO OU SUPLEMENTAÇÃO DE RENDA DO GDF (PRATO CHEIO E DF SOCIAL) VINICIUS MEIRA DE SOUZA 063***.***-** 5 INDEFERIDO CANDIDATO (A) NÃO APRESENTOU DECLARAÇÃO EXPEDIDA PELO GDF QUE COMPROVE RECEBIMENTO DE BENEFÍCIO DE PROGRAMA SOCIAL DE COMPLEMENTAÇÃO OU SUPLEMENTAÇÃO DE RENDA DO GDF (PRATO CHEIO E DF SOCIAL) JOANA DARC DE MELO PAIVA 053***.***-** 1 INDEFERIDO CANDIDATO (A) NÃO APRESENTOU DECLARAÇÃO EXPEDIDA PELO GDF QUE COMPROVE RECEBIMENTO DE BENEFÍCIO DE PROGRAMA SOCIAL DE COMPLEMENTAÇÃO OU SUPLEMENTAÇÃO DE RENDA DO GDF (PRATO CHEIO E DF SOCIAL) / NÃO APRESENTOU A DOCUMENTAÇÃO EM PDF JOANA DARC DE MELO PAIVA 053***.***-** 5 INDEFERIDO CANDIDATO (A) NÃO APRESENTOU DECLARAÇÃO EXPEDIDA PELO GDF QUE COMPROVE RECEBIMENTO DE BENEFÍCIO DE PROGRAMA SOCIAL DE COMPLEMENTAÇÃO OU SUPLEMENTAÇÃO DE RENDA DO GDF (PRATO CHEIO E DF SOCIAL) / NÃO APRESENTOU A DOCUMENTAÇÃO EM PDF FRANCISCO DE ASSIS CELESTINO DA COSTA JUNIOR 688***.***-** INDEFERIDO CANDIDATO (A) NÃO APRESENTOU DOCUMENTAÇÃO EXIGIDA ( FORMULÁRIO ) JESSICA DOS SANTOS SOUZA 028***.***-** 1 DEFERIDO JESSICA DOS SANTOS SOUZA 028***.***-** 6 DEFERIDO DAYANE OLIVEIRA FERREIRA 047***.***-** 1 INDEFERIDO CANDIDATO (A) NÃO APRESENTOU DECLARAÇÃO EXPEDIDA PELO GDF QUE COMPROVE RECEBIMENTO DE BENEFÍCIO DE PROGRAMA SOCIAL DE COMPLEMENTAÇÃO OU SUPLEMENTAÇÃO DE RENDA DO GDF (PRATO CHEIO E DF SOCIAL)
  • 114.
    DAYANE OLIVEIRA FERREIRA047***.***-** 5 INDEFERIDO CANDIDATO (A) NÃO APRESENTOU DECLARAÇÃO EXPEDIDA PELO GDF QUE COMPROVE RECEBIMENTO DE BENEFÍCIO DE PROGRAMA SOCIAL DE COMPLEMENTAÇÃO OU SUPLEMENTAÇÃO DE RENDA DO GDF (PRATO CHEIO E DF SOCIAL) IRAÍMA MARIA RIBEIRO 077***.***-** 3 DEFERIDO LEILA MICHELLE PEREIRA DOS SANTOS 049***.***-** 7 INDEFERIDO CANDIDATO (A) NÃO APRESENTOU DOCUMENTAÇÃO EXIGIDA EM PDF ( DECLARAÇÃO DF SOCIAL ) RENATA DA SILVA ROCHA 024***.***-** 1 INDEFERIDO CANDIDATO (A) NÃO APRESENTOU DOCUMENTAÇÃO EXIGIDA EM PDF ( FORMULÁRIO E RG ) RENATA DA SILVA ROCHA 024***.***-** 7 INDEFERIDO CANDIDATO (A) NÃO APRESENTOU DOCUMENTAÇÃO EXIGIDA EM PDF ( FORMULÁRIO E RG ) LAURICÉA NOGUEIRA ALVES 552***.***-** 1 INDEFERIDO CANDIDATO (A) NÃO APRESENTOU DECLARAÇÃO EXPEDIDA PELO GDF QUE COMPROVE RECEBIMENTO DE BENEFÍCIO DE PROGRAMA SOCIAL DE COMPLEMENTAÇÃO OU SUPLEMENTAÇÃO DE RENDA DO GDF (PRATO CHEIO E DF SOCIAL) LAURICÉA NOGUEIRA ALVES 552***.***-** 8 INDEFERIDO CANDIDATO (A) NÃO APRESENTOU DECLARAÇÃO EXPEDIDA PELO GDF QUE COMPROVE RECEBIMENTO DE BENEFÍCIO DE PROGRAMA SOCIAL DE COMPLEMENTAÇÃO OU SUPLEMENTAÇÃO DE RENDA DO GDF (PRATO CHEIO E DF SOCIAL) EDMAR MARTINS DE OLIVEIRA 864***.***-** 7 DEFERIDO MARIA EDUARDA MEIRA DE SOUZA 084***.***-** 1 INDEFERIDO CANDIDATO (A) NÃO APRESENTOU DECLARAÇÃO EXPEDIDA PELO GDF QUE COMPROVE RECEBIMENTO DE BENEFÍCIO DE PROGRAMA SOCIAL DE COMPLEMENTAÇÃO OU SUPLEMENTAÇÃO DE RENDA DO GDF (PRATO CHEIO E DF SOCIAL) MARIA EDUARDA MEIRA DE SOUZA 084***.***-** 5 INDEFERIDO CANDIDATO (A) NÃO APRESENTOU DECLARAÇÃO EXPEDIDA PELO GDF QUE COMPROVE RECEBIMENTO DE BENEFÍCIO DE PROGRAMA SOCIAL DE COMPLEMENTAÇÃO OU SUPLEMENTAÇÃO DE RENDA DO GDF (PRATO CHEIO E DF SOCIAL) PATRICIA CRESCÊNCIO PINHEIRO 989***.***-** 1 DEFERIDO ALANA BARBOSA SANTOS 077***.***-** 1 INDEFERIDO CANDIDATO (A) NÃO APRESENTOU DECLARAÇÃO EXPEDIDA PELO GDF QUE COMPROVE RECEBIMENTO DE BENEFÍCIO DE PROGRAMA SOCIAL DE COMPLEMENTAÇÃO OU SUPLEMENTAÇÃO DE RENDA DO GDF (PRATO CHEIO E DF SOCIAL) DANIELE CRUZ SILVA 023***.***-** 7 DEFERIDO LUCIANA DE AMORIM DA CONCEICAO 074***.***-** 1 INDEFERIDO CANDIDATO (A) NÃO APRESENTOU DECLARAÇÃO EXPEDIDA PELO GDF QUE COMPROVE RECEBIMENTO DE BENEFÍCIO DE PROGRAMA SOCIAL DE COMPLEMENTAÇÃO OU SUPLEMENTAÇÃO DE RENDA DO GDF (PRATO CHEIO E DF SOCIAL)
  • 115.
    SERGIANA DE SOUZABATISTA 029***.***-** 5 INDEFERIDO CANDIDATO (A) NÃO APRESENTOU DECLARAÇÃO EXPEDIDA PELO GDF QUE COMPROVE RECEBIMENTO DE BENEFÍCIO DE PROGRAMA SOCIAL DE COMPLEMENTAÇÃO OU SUPLEMENTAÇÃO DE RENDA DO GDF (PRATO CHEIO E DF SOCIAL) KATIELLE DE OLIVEIRA SANTOS SOUZA 013***.***-** 2 DEFERIDO ACILEDE FERREIRA CARDOSO 886***.***-** 5 INDEFERIDO CANDIDATO (A) NÃO APRESENTOU DOCUMENTAÇÃO EXIGIDA EM PDF VITORIA APARECIDA BRAGA DA SILVA 045***.***-** 7 INDEFERIDO CANDIDATO (A) NÃO APRESENTOU DECLARAÇÃO EXPEDIDA PELO GDF QUE COMPROVE RECEBIMENTO DE BENEFÍCIO DE PROGRAMA SOCIAL DE COMPLEMENTAÇÃO OU SUPLEMENTAÇÃO DE RENDA DO GDF (PRATO CHEIO E DF SOCIAL) VITORIA APARECIDA BRAGA DA SILVA 045***.***-** 1 INDEFERIDO CANDIDATO (A) NÃO APRESENTOU DECLARAÇÃO EXPEDIDA PELO GDF QUE COMPROVE RECEBIMENTO DE BENEFÍCIO DE PROGRAMA SOCIAL DE COMPLEMENTAÇÃO OU SUPLEMENTAÇÃO DE RENDA DO GDF (PRATO CHEIO E DF SOCIAL) BRUNA SUENE RABELO GODINHO 045***.***-** 7 INDEFERIDO CANDIDATO (A) NÃO APRESENTOU DECLARAÇÃO EXPEDIDA PELO GDF QUE COMPROVE RECEBIMENTO DE BENEFÍCIO DE PROGRAMA SOCIAL DE COMPLEMENTAÇÃO OU SUPLEMENTAÇÃO DE RENDA DO GDF (PRATO CHEIO E DF SOCIAL) THAINARA DE PAULA SOUZA SILVA 060***.***-** 6 INDEFERIDO CANDIDATO (A) NÃO APRESENTOU DECLARAÇÃO EXPEDIDA PELO GDF QUE COMPROVE RECEBIMENTO DE BENEFÍCIO DE PROGRAMA SOCIAL DE COMPLEMENTAÇÃO OU SUPLEMENTAÇÃO DE RENDA DO GDF (PRATO CHEIO E DF SOCIAL) KARINA DE AMORIM DA CONCEIÇÃO 052***.***-** 1 INDEFERIDO CANDIDATO (A) NÃO APRESENTOU DECLARAÇÃO EXPEDIDA PELO GDF QUE COMPROVE RECEBIMENTO DE BENEFÍCIO DE PROGRAMA SOCIAL DE COMPLEMENTAÇÃO OU SUPLEMENTAÇÃO DE RENDA DO GDF (PRATO CHEIO E DF SOCIAL) PEDRO DE MELO PAIVA RIBEIRO 053***.***-** 1 INDEFERIDO CANDIDATO (A) NÃO APRESENTOU DECLARAÇÃO EXPEDIDA PELO GDF QUE COMPROVE RECEBIMENTO DE BENEFÍCIO DE PROGRAMA SOCIAL DE COMPLEMENTAÇÃO OU SUPLEMENTAÇÃO DE RENDA DO GDF (PRATO CHEIO E DF SOCIAL) IAGO BATISTA DOS SANTOS 057***.***-** 1 DEFERIDO AROLDO VIANA MARQUES 178***.***-** 1 INDEFERIDO CANDIDATO (A) NÃO APRESENTOU DOCUMENTAÇÃO EXIGIDA EM PDF AROLDO VIANA MARQUES 178***.***-** 8 INDEFERIDO CANDIDATO (A) NÃO APRESENTOU DOCUMENTAÇÃO EXIGIDA EM PDF CONCEIÇÃO DE MARIA PEREIRA LIMA 006***.***-** 1 DEFERIDO CONCEIÇÃO DE MARIA PEREIRA LIMA 006***.***-** 8 DEFERIDO ANA PAULA SILVA DE SOUZA 727***.***-** 1 INDEFERIDO CANDIDATO (A) NÃO APRESENTOU DECLARAÇÃO EXPEDIDA PELO GDF QUE COMPROVE RECEBIMENTO DE BENEFÍCIO DE PROGRAMA SOCIAL DE COMPLEMENTAÇÃO OU SUPLEMENTAÇÃO DE RENDA DO GDF (PRATO CHEIO E DF SOCIAL)
  • 116.
    SARA FERREIRA TEIXEIRA032***.***-** 1 DEFERIDO RUTTE KELLY HENRIQUES DE OLIVEIRA 069***.***-** 8 INDEFERIDO CANDIDATO (A) NÃO APRESENTOU DOCUMENTAÇÃO EXIGIDA (RG) ***.***-** INDEFERIDO CANDIDATO (A) NÃO APRESENTOU DOCUMENTAÇÃO EXIGIDA ( NENHUMA DOCUMENTAÇÃO / EMAIL SEM NOME ) IARA MARIA DA CONCEIÇÃO SILVA 075***.***-** 7 DEFERIDO MARCOS JOSE FERNANDES FRANCO 297***.***-** 1 INDEFERIDO CANDIDATO (A) NÃO APRESENTOU DOCUMENTAÇÃO EXIGIDA EM PDF ELAINE ANTUNES DANTAS 865***.***-** 1 INDEFERIDO CANDIDATO (A) NÃO APRESENTOU DOCUMENTAÇÃO EXIGIDA EM PDF ELAINE ANTUNES DANTAS 865***.***-** 7 INDEFERIDO CANDIDATO (A) NÃO APRESENTOU DOCUMENTAÇÃO EXIGIDA EM PDF NOELIA MENDES DE SOUZA ALVES 695***.***-** 8 INDEFERIDO CANDIDATO (A) NÃO APRESENTOU DECLARAÇÃO EXPEDIDA PELO GDF QUE COMPROVE RECEBIMENTO DE BENEFÍCIO DE PROGRAMA SOCIAL DE COMPLEMENTAÇÃO OU SUPLEMENTAÇÃO DE RENDA DO GDF (PRATO CHEIO E DF SOCIAL) MARIA ELIZABETH NERES DE SOUSA 494***.***-** 7 DEFERIDO CLEIDE PEREIRA GOMES 386***.***-** 7 INDEFERIDO CANDIDATO (A) NÃO APRESENTOU DECLARAÇÃO EXPEDIDA PELO GDF QUE COMPROVE RECEBIMENTO DE BENEFÍCIO DE PROGRAMA SOCIAL DE COMPLEMENTAÇÃO OU SUPLEMENTAÇÃO DE RENDA DO GDF (PRATO CHEIO E DF SOCIAL) CLEIDE PEREIRA GOMES 386***.***-** 1 INDEFERIDO CANDIDATO (A) NÃO APRESENTOU DECLARAÇÃO EXPEDIDA PELO GDF QUE COMPROVE RECEBIMENTO DE BENEFÍCIO DE PROGRAMA SOCIAL DE COMPLEMENTAÇÃO OU SUPLEMENTAÇÃO DE RENDA DO GDF (PRATO CHEIO E DF SOCIAL) KAROLINE ARAUJO DE CASTRO FERREIRA 064***.***-** 1 INDEFERIDO CANDIDATO (A) NÃO APRESENTOU LAUDO MÉDICO COMPROBATÓRIO DA ISENÇÃO DE ACORDO COM A POSSIBILIDADE ESCOLHIDA (CAD. ÚNICO FEDERAL) KAROLINE ARAUJO DE CASTRO FERREIRA 064***.***-** 7 INDEFERIDO CANDIDATO (A) NÃO APRESENTOU LAUDO MÉDICO COMPROBATÓRIO DA ISENÇÃO DE ACORDO COM A POSSIBILIDADE ESCOLHIDA (CAD. ÚNICO FEDERAL) SHIRLEY ROCHA RESENDE 805***.***-** 1 DEFERIDO MARIA DO CARMO MACHADO 845***.***-** 5 INDEFERIDO CANDIDATO (A) NÃO APRESENTOU DECLARAÇÃO EXPEDIDA PELO GDF QUE COMPROVE RECEBIMENTO DE BENEFÍCIO DE PROGRAMA SOCIAL DE COMPLEMENTAÇÃO OU SUPLEMENTAÇÃO DE RENDA DO GDF (PRATO CHEIO E DF SOCIAL) PRISCILA COELHO FERREIRA 05***.***-** INDEFERIDO CANDIDATO (A) NÃO APRESENTOU DOCUMENTAÇÃO EXIGIDA ( NENHUMA DOCUMENTAÇÃO ) HUDSON MACHADO NASCIMENTO 016***.***-** 1 DEFERIDO CLEBER HENRIQUE SILVA GOMES 018***.***-** 1 INDEFERIDO CANDIDATO (A) NÃO APRESENTOU DECLARAÇÃO EXPEDIDA PELO GDF QUE COMPROVE RECEBIMENTO DE BENEFÍCIO DE PROGRAMA SOCIAL DE COMPLEMENTAÇÃO OU SUPLEMENTAÇÃO DE RENDA DO GDF (PRATO CHEIO E DF SOCIAL)
  • 117.
    CLEBER HENRIQUE SILVAGOMES 018***.***-** 2 INDEFERIDO CANDIDATO (A) NÃO APRESENTOU DECLARAÇÃO EXPEDIDA PELO GDF QUE COMPROVE RECEBIMENTO DE BENEFÍCIO DE PROGRAMA SOCIAL DE COMPLEMENTAÇÃO OU SUPLEMENTAÇÃO DE RENDA DO GDF (PRATO CHEIO E DF SOCIAL) CRISLEI APARECIDA MENDES DO AMARAL GUIMARAES CAMARA 710***.***-** 7 DEFERIDO CRISLEI APARECIDA MENDES DO AMARAL GUIMARAES CAMARA 710***.***-** 1 DEFERIDO PEDRO HENRIQUE CARVALHO DA SILVA 080***.***-** 2 INDEFERIDO CANDIDATO (A) NÃO APRESENTOU DECLARAÇÃO EXPEDIDA PELO GDF QUE COMPROVE RECEBIMENTO DE BENEFÍCIO DE PROGRAMA SOCIAL DE COMPLEMENTAÇÃO OU SUPLEMENTAÇÃO DE RENDA DO GDF (PRATO CHEIO E DF SOCIAL) GEZILDA PEREIRA DA ROCHA 982***.***-** 1 INDEFERIDO CANDIDATO (A) NÃO APRESENTOU DECLARAÇÃO EXPEDIDA PELO GDF QUE COMPROVE RECEBIMENTO DE BENEFÍCIO DE PROGRAMA SOCIAL DE COMPLEMENTAÇÃO OU SUPLEMENTAÇÃO DE RENDA DO GDF (PRATO CHEIO E DF SOCIAL) GEZILDA PEREIRA DA ROCHA 982***.***-** 2 INDEFERIDO CANDIDATO (A) NÃO APRESENTOU DECLARAÇÃO EXPEDIDA PELO GDF QUE COMPROVE RECEBIMENTO DE BENEFÍCIO DE PROGRAMA SOCIAL DE COMPLEMENTAÇÃO OU SUPLEMENTAÇÃO DE RENDA DO GDF (PRATO CHEIO E DF SOCIAL) MARIA DEUZA DE SOUSA AZEVEDO 688***.***-** 2 INDEFERIDO CANDIDATO (A) NÃO APRESENTOU DECLARAÇÃO EXPEDIDA PELO GDF QUE COMPROVE RECEBIMENTO DE BENEFÍCIO DE PROGRAMA SOCIAL DE COMPLEMENTAÇÃO OU SUPLEMENTAÇÃO DE RENDA DO GDF (PRATO CHEIO E DF SOCIAL) KIRNA KARINE BARROS DA SILVA 023***.***-** 1 DEFERIDO LIVIA CAVALCANTE DE ARAÚJO 523***.***-** 1 INDEFERIDO CANDIDATO (A) NÃO APRESENTOU DOCUMENTAÇÃO EXIGIDA ( NENHUMA DOCUMENTAÇÃO ) ROSENAIDE BERNARDINO PEREIRA 502***.***-** 1 INDEFERIDO CANDIDATO (A) NÃO APRESENTOU DOCUMENTAÇÃO EXIGIDA ( 2 COMPROVANTES DE SERVIÇO ELEITORAL / RG ) ROSENAIDE BERNARDINO PEREIRA 502***.***-** 1 INDEFERIDO CANDIDATO (A) NÃO APRESENTOU DOCUMENTAÇÃO EXIGIDA ( RG ) AILTON FRANCISCO DOS SANTOS 005***.***-** 7 DEFERIDO WESLLY KÊNNIA TALITA DE CASTRO CHAVES 037***.***-** DEFERIDO JOSÉ LUCAS RODRIGUES MOREIRA 040***.***-** 8 INDEFERIDO CANDIDATO (A) NÃO APRESENTOU DECLARAÇÃO EXPEDIDA PELO GDF QUE COMPROVE RECEBIMENTO DE BENEFÍCIO DE PROGRAMA SOCIAL DE COMPLEMENTAÇÃO OU SUPLEMENTAÇÃO DE RENDA DO GDF (PRATO CHEIO E DF SOCIAL) TALITA CRISTINA RODRIGUES LIMA 012***.***-** 2 INDEFERIDO CANDIDATO (A) NÃO APRESENTOU LAUDO MÉDICO COMPROBATÓRIO DA ISENÇÃO DE ACORDO COM A POSSIBILIDADE ESCOLHIDA (CAD. ÚNICO FEDERAL)
  • 118.
    FRANCISCO MARCOS DASILVA SOUZA 010***.***-** 1 INDEFERIDO CANDIDATO (A) NÃO APRESENTOU DECLARAÇÃO EXPEDIDA PELO GDF QUE COMPROVE RECEBIMENTO DE BENEFÍCIO DE PROGRAMA SOCIAL DE COMPLEMENTAÇÃO OU SUPLEMENTAÇÃO DE RENDA DO GDF (PRATO CHEIO E DF SOCIAL) EMANUELLE ALBINO SANTANA 709***.***-** 4 DEFERIDO ANDERSON CLEBER DA SILVA SANTOS 011***.***-** 1 DEFERIDO MARIA APARECIDA PEREIRA DA SILVA ***.***-** 5 INDEFERIDO CANDIDATO (A) NÃO APRESENTOU DOCUMENTAÇÃO EXIGIDA ( DOCUMENTAÇÃO TODA EMBARÇADA ) LEONIDAS PATRIC ALEIXO DA SILVA 990***.***-** 1 INDEFERIDO CANDIDATO (A) NÃO APRESENTOU LAUDO MÉDICO COMPROBATÓRIO DA ISENÇÃO DE ACORDO COM A POSSIBILIDADE ESCOLHIDA (CAD. ÚNICO FEDERAL) JORDELINA DA FONSECA MACHADO BOMFIM 700***.***-** 5 INDEFERIDO CANDIDATO (A) NÃO APRESENTOU DECLARAÇÃO EXPEDIDA PELO GDF QUE COMPROVE RECEBIMENTO DE BENEFÍCIO DE PROGRAMA SOCIAL DE COMPLEMENTAÇÃO OU SUPLEMENTAÇÃO DE RENDA DO GDF (PRATO CHEIO E DF SOCIAL) FRANCISCO MARCOS DA SILVA SOUZA 010***.***-** 5 INDEFERIDO CANDIDATO (A) NÃO APRESENTOU DECLARAÇÃO EXPEDIDA PELO GDF QUE COMPROVE RECEBIMENTO DE BENEFÍCIO DE PROGRAMA SOCIAL DE COMPLEMENTAÇÃO OU SUPLEMENTAÇÃO DE RENDA DO GDF (PRATO CHEIO E DF SOCIAL) MARCOS ANTONIO GOMES 012***.***-** 1 INDEFERIDO CANDIDATO (A) NÃO APRESENTOU DOCUMENTAÇÃO EXIGIDA EM PDF Maria Lúcia Nascimento ***.***-** INDEFERIDO CANDIDATO (A) NÃO APRESENTOU DOCUMENTAÇÃO EXIGIDA ( NENHUMA DOCUMENTAÇÃO ) GABRIEL LUCENA DE OLIVEIRA 043***.***-** 1 DEFERIDO GABRIEL LUCENA DE OLIVEIRA 043***.***-** 7 DEFERIDO NEIDE NASCIMENTO RIBEIRO 816***.***-** 1 INDEFERIDO CANDIDATO (A) NÃO APRESENTOU DECLARAÇÃO EXPEDIDA PELO GDF QUE COMPROVE RECEBIMENTO DE BENEFÍCIO DE PROGRAMA SOCIAL DE COMPLEMENTAÇÃO OU SUPLEMENTAÇÃO DE RENDA DO GDF (PRATO CHEIO E DF SOCIAL) LUCINEIA VIANA DOS SANTOS 881***.***-** 1 DEFERIDO LUCINEIA VIANA DOS SANTOS 881***.***-** 8 DEFERIDO ISANGELA DA SILVA FARIAS 044***.***-** 1 DEFERIDO ANDERSON CLEBER DA SILVA SANTOS 011***.***-** 6 DEFERIDO GRACIJÔSE MENONÇA DOS ANJOS 029***.***-** 1 DEFERIDO PEDRO JOSE DOS REIS FAUSTINO 735***.***-** 1 INDEFERIDO CANDIDATO (A) NÃO APRESENTOU DECLARAÇÃO EXPEDIDA PELO GDF QUE COMPROVE RECEBIMENTO DE BENEFÍCIO DE PROGRAMA SOCIAL DE COMPLEMENTAÇÃO OU SUPLEMENTAÇÃO DE RENDA DO GDF (PRATO CHEIO E DF SOCIAL)
  • 119.
    PEDRO JOSE DOSREIS FAUSTINO 735***.***-** 3 INDEFERIDO CANDIDATO (A) NÃO APRESENTOU DECLARAÇÃO EXPEDIDA PELO GDF QUE COMPROVE RECEBIMENTO DE BENEFÍCIO DE PROGRAMA SOCIAL DE COMPLEMENTAÇÃO OU SUPLEMENTAÇÃO DE RENDA DO GDF (PRATO CHEIO E DF SOCIAL) OLGA SUELY SIQUEIRA GUIMARÃES 688***.***-** 1 DEFERIDO GEOVANA ALVES DA SILVA 085***.***-** 1 INDEFERIDO CANDIDATO (A) NÃO APRESENTOU DECLARAÇÃO EXPEDIDA PELO GDF QUE COMPROVE RECEBIMENTO DE BENEFÍCIO DE PROGRAMA SOCIAL DE COMPLEMENTAÇÃO OU SUPLEMENTAÇÃO DE RENDA DO GDF (PRATO CHEIO E DF SOCIAL) MARIA CLARA DE OLIVEIRA ROCHA 623***.***-** 2 DEFERIDO BEATRIZ MOREIRA DE ALMEIDA 058***.***-** 1 DEFERIDO BEATRIZ MOREIRA DE ALMEIDA 058***.***-** 6 DEFERIDO WENISON FERREIRA AGUIAR PONTE 007***.***-** INDEFERIDO CANDIDATO (A) NÃO APRESENTOU DOCUMENTAÇÃO EXIGIDA ( FORMULÁRIO ) LARISSE CARVALHO DA COSTA 044***.***-** 1 INDEFERIDO CANDIDATO (A) NÃO APRESENTOU DECLARAÇÃO EXPEDIDA PELO GDF QUE COMPROVE RECEBIMENTO DE BENEFÍCIO DE PROGRAMA SOCIAL DE COMPLEMENTAÇÃO OU SUPLEMENTAÇÃO DE RENDA DO GDF (PRATO CHEIO E DF SOCIAL) EDNALDO BORGES ***.***-** INDEFERIDO CANDIDATO (A) NÃO APRESENTOU DOCUMENTAÇÃO EXIGIDA ( MANDO LINK QUE NECESSITA DE ACESSO NO GOOGLE DRIVER ) MARIA LUCIA NASCIMENTO FRÓS 799***.***-** 8 DEFERIDO ARTHUR EVANGELISTA DE QUEIROZ 05***.***-** 1 DEFERIDO LUCIENE RODRIGUES DE LIMA AGUIAR 057***.***-** 1 INDEFERIDO CANDIDATO (A) NÃO APRESENTOU DOCUMENTAÇÃO EXIGIDA ( FORMULÁRIO ) NARGILLA REGINNA DE SOUZA MOREIRA 968***.***-** 1 INDEFERIDO CANDIDATO (A) NÃO APRESENTOU DOCUMENTAÇÃO EXIGIDA ( FORMULÁRIO ATUALIZADO ) PEDRO VINÍCIUS SANTOS DE JESUS 070***.***-** INDEFERIDO CANDIDATO (A) NÃO APRESENTOU DOCUMENTAÇÃO EXIGIDA ( FORMULÁRIO ) ZENILDA FRANCISCA DE CASTELO 552***.***-** 7 INDEFERIDO CANDIDATO (A) NÃO APRESENTOU DOCUMENTAÇÃO EXIGIDA ( NENHUMA DOCUMENTAÇÃO ) TATIANE DA SILVA OLIVEIRA 013***.***-** 1 INDEFERIDO CANDIDATO (A) NÃO APRESENTOU DECLARAÇÃO EXPEDIDA PELO GDF QUE COMPROVE RECEBIMENTO DE BENEFÍCIO DE PROGRAMA SOCIAL DE COMPLEMENTAÇÃO OU SUPLEMENTAÇÃO DE RENDA DO GDF (PRATO CHEIO E DF SOCIAL) TATIANE DA SILVA OLIVEIRA 013***.***-** 2 INDEFERIDO CANDIDATO (A) NÃO APRESENTOU DECLARAÇÃO EXPEDIDA PELO GDF QUE COMPROVE RECEBIMENTO DE BENEFÍCIO DE PROGRAMA SOCIAL DE COMPLEMENTAÇÃO OU SUPLEMENTAÇÃO DE RENDA DO GDF (PRATO CHEIO E DF SOCIAL) BRENA DIAS ROCHA 053***.***-** 5 DEFERIDO
  • 120.
    BRENA DIAS ROCHA053***.***-** 1 DEFERIDO LEANDRO DIAS CARVALHO 726***.***-** 1 INDEFERIDO CANDIDATO (A) NÃO APRESENTOU DECLARAÇÃO EXPEDIDA PELO GDF QUE COMPROVE RECEBIMENTO DE BENEFÍCIO DE PROGRAMA SOCIAL DE COMPLEMENTAÇÃO OU SUPLEMENTAÇÃO DE RENDA DO GDF (PRATO CHEIO E DF SOCIAL) JOSENETH RIBEIRO DA SILVA 003***.***-** 1 INDEFERIDO CANDIDATO (A) NÃO APRESENTOU DOCUMENTAÇÃO EXIGIDA EM PDF LEANDRO RODRIGUES DANIEL 091***.***-** 1 INDEFERIDO CANDIDATO (A) NÃO APRESENTOU DOCUMENTAÇÃO EXIGIDA EM PDF EVERTON DO NASCIMENTO DAMACENO FARIAS. 005***.***-** 1 DEFERIDO VANESSA LOPES MARTINS SOUZA 012***.***-** 8 INDEFERIDO CANDIDATO (A) NÃO APRESENTOU DECLARAÇÃO EXPEDIDA PELO GDF QUE COMPROVE RECEBIMENTO DE BENEFÍCIO DE PROGRAMA SOCIAL DE COMPLEMENTAÇÃO OU SUPLEMENTAÇÃO DE RENDA DO GDF (PRATO CHEIO E DF SOCIAL) CATIUCIA MATOS DOS SANTOS 003***.***-** 5 INDEFERIDO CANDIDATO (A) NÃO APRESENTOU DECLARAÇÃO EXPEDIDA PELO GDF QUE COMPROVE RECEBIMENTO DE BENEFÍCIO DE PROGRAMA SOCIAL DE COMPLEMENTAÇÃO OU SUPLEMENTAÇÃO DE RENDA DO GDF (PRATO CHEIO E DF SOCIAL) NOELIA TEIXEIRA DE ALMEIDA 042***.***-** 2 INDEFERIDO CANDIDATO (A) NÃO APRESENTOU DOCUMENTAÇÃO EXIGIDA EM PDF (RG) NATANAEL LOPES DE LIMA 379***.***-** 1 INDEFERIDO CANDIDATO (A) NÃO APRESENTOU LAUDO MÉDICO COMPROBATÓRIO DA ISENÇÃO DE ACORDO COM A POSSIBILIDADE ESCOLHIDA (CAD. ÚNICO FEDERAL) MILENNE DA SILVA SPINOLA 051***.***-** 8 DEFERIDO KENYA FIRMINO DE ALMEIDA 011***.***-** 1 DEFERIDO RAYNARA EDUARDA PEREIRA SILVA 090***.***-** 6 INDEFERIDO CANDIDATO (A) NÃO APRESENTOU DOCUMENTAÇÃO EXIGIDA ( NENHUMA DOCUMENTAÇÃO ) EDEMIR FERREIRA JUNIOR 011***.***-** 1 INDEFERIDO CANDIDATO (A) NÃO APRESENTOU DOCUMENTAÇÃO EXIGIDA EM PDF (RG/FORMULÁRIO) MARIA JOSE DA SILVA BRITO 030***.***-** 1 INDEFERIDO CANDIDATO (A) NÃO APRESENTOU DOCUMENTAÇÃO EXIGIDA EM PDF (RG/FORMULÁRIO) VALDIR LIMA DOS SANTOS 936***.***-** 1 INDEFERIDO CANDIDATO (A) NÃO APRESENTOU DOCUMENTAÇÃO EXIGIDA ( FORMULÁRIO ATUALIZADO ) MARGARETE MENDES LISBOA 736***.***-** 6 DEFERIDO JULIANA LIMA MAIA DA SILVA 054***.***-** 3 INDEFERIDO CANDIDATO (A) NÃO APRESENTOU DECLARAÇÃO EXPEDIDA PELO GDF QUE COMPROVE RECEBIMENTO DE BENEFÍCIO DE PROGRAMA SOCIAL DE COMPLEMENTAÇÃO OU SUPLEMENTAÇÃO DE RENDA DO GDF (PRATO CHEIO E DF SOCIAL) JULIANA LIMA MAIA DA SILVA 054***.***-** 1 INDEFERIDO CANDIDATO (A) NÃO APRESENTOU DECLARAÇÃO EXPEDIDA PELO GDF QUE COMPROVE RECEBIMENTO DE BENEFÍCIO DE PROGRAMA SOCIAL DE COMPLEMENTAÇÃO OU SUPLEMENTAÇÃO DE RENDA DO GDF (PRATO CHEIO E DF SOCIAL)
  • 121.
    KAREN CARINA BARROSSANTOS 023***.***-** 1 DEFERIDO GUSTAVO DA SILVA ELIAS 039***.***-** 1 DEFERIDO GUSTAVO DA SILVA ELIAS 039***.***-** 7 DEFERIDO MONICA AMERICA DO NASCIMENTO 739***.***-** 8 INDEFERIDO CANDIDATO (A) NÃO APRESENTOU LAUDO MÉDICO COMPROBATÓRIO DA ISENÇÃO DE ACORDO COM A POSSIBILIDADE ESCOLHIDA (CAD. ÚNICO FEDERAL) KELLY ALVES DE ALCANTARA 993***.***-** 1 DEFERIDO KELLY ALVES DE ALCANTARA 993***.***-** 7 DEFERIDO ALESSANDRA CARINA DE JESUS GOMES PEREZ 065***.***-** 2 DEFERIDO GRAZIELA PEREIRA ALVES 706***.***-** 1 DEFERIDO HELENO RODRIGUES DA SILVA 725***.***-** 1 DEFERIDO ELIANE DO NASCIMENTO BRITO 010***.***-** 3 INDEFERIDO CANDIDATO (A) NÃO APRESENTOU DOCUMENTAÇÃO EXIGIDA EM PDF (RG/FORMULÁRIO/LAUDO MÉDICO) PATRICIA MACIANO 605***.***-** 2 INDEFERIDO CANDIDATO (A) NÃO APRESENTOU DECLARAÇÃO EXPEDIDA PELO GDF QUE COMPROVE RECEBIMENTO DE BENEFÍCIO DE PROGRAMA SOCIAL DE COMPLEMENTAÇÃO OU SUPLEMENTAÇÃO DE RENDA DO GDF (PRATO CHEIO E DF SOCIAL) MARIA DO SOCORRO LIRA QUEIROZ COSTA 305***.***-** 1 DEFERIDO MARIA DO SOCORRO LIRA QUEIROZ COSTA 305***.***-** 8 DEFERIDO AMANDA RAFAELLA RIBEIRO DE ARAUJO 059***.***-** 1 DEFERIDO AMANDA RAFAELLA RIBEIRO DE ARAUJO 059***.***-** 8 DEFERIDO JULIANA FURTADO PEREIRA ***.***-** INDEFERIDO CANDIDATO (A) NÃO APRESENTOU DOCUMENTAÇÃO EXIGIDA ( NENHUMA DOCUMENTAÇÃO ) ELLEN SIMONE FRANCISCO DOS SANTOS 008***.***-** 3 INDEFERIDO CANDIDATO (A) NÃO APRESENTOU DECLARAÇÃO EXPEDIDA PELO GDF QUE COMPROVE RECEBIMENTO DE BENEFÍCIO DE PROGRAMA SOCIAL DE COMPLEMENTAÇÃO OU SUPLEMENTAÇÃO DE RENDA DO GDF (PRATO CHEIO E DF SOCIAL) LUCIMAR NUNES DANIEL 815***.***-** 1 INDEFERIDO CANDIDATO (A) NÃO APRESENTOU DECLARAÇÃO EXPEDIDA PELO GDF QUE COMPROVE RECEBIMENTO DE BENEFÍCIO DE PROGRAMA SOCIAL DE COMPLEMENTAÇÃO OU SUPLEMENTAÇÃO DE RENDA DO GDF (PRATO CHEIO E DF SOCIAL) JULIANE COSTA GOMES 960***.***-** 1 DEFERIDO KÉSIA CRISTIANE ALVES VASCONCELOS 895***.***-** 7 INDEFERIDO CANDIDATO (A) NÃO APRESENTOU DECLARAÇÃO EXPEDIDA PELO GDF QUE COMPROVE RECEBIMENTO DE BENEFÍCIO DE PROGRAMA SOCIAL DE COMPLEMENTAÇÃO OU SUPLEMENTAÇÃO DE RENDA DO GDF (PRATO CHEIO E DF SOCIAL) JOAO RICARDO FRANCISCO MOTA 119***.***-** 1 DEFERIDO ANTONIA MARES ALVES FERREIRA 717***.***-** 2 INDEFERIDO CANDIDATO (A) NÃO APRESENTOU DOCUMENTAÇÃO EXIGIDA ( COMPROVANTE DE SERVIÇO ELEITORAL )
  • 122.
    THAMARA LUIZA CAVALCANTE027***.***-** 1 DEFERIDO ATILA JOZSEF AMORIM DE SOUZA 036***.***-** 1 DEFERIDO ATILA JOZSEF AMORIM DE SOUZA 036***.***-** 8 DEFERIDO SARA LIMA DE MESQUITA 029***.***-** 1 INDEFERIDO CANDIDATO (A) NÃO APRESENTOU DECLARAÇÃO EXPEDIDA PELO GDF QUE COMPROVE RECEBIMENTO DE BENEFÍCIO DE PROGRAMA SOCIAL DE COMPLEMENTAÇÃO OU SUPLEMENTAÇÃO DE RENDA DO GDF (PRATO CHEIO E DF SOCIAL) YARA MARESCA VITÓRIA LOURENÇO 023***.***-** 1 DEFERIDO YARA MARESCA VITÓRIA LOURENÇO 023***.***-** 8 DEFERIDO FRANCIELDA DA SILVA LUCENA 049***.***-** 7 INDEFERIDO CANDIDATO (A) NÃO APRESENTOU DOCUMENTAÇÃO EXIGIDA EM PDF (RG) FRANCIELDA DA SILVA LUCENA 049***.***-** 1 INDEFERIDO CANDIDATO (A) NÃO APRESENTOU DOCUMENTAÇÃO EXIGIDA EM PDF (RG) ISABELA CRISTINA ROCHA DE SOUZA 111***.***-** 8 DEFERIDO AMABYLLI MIKAELE COSTA LUZ 029***.***-** 1 DEFERIDO FLÁVIO SALVINI DE ANDRADE 690***.***-** 1 DEFERIDO IZABELLA MARIA DE SOUSA 064***.***-** 5 INDEFERIDO CANDIDATO (A) NÃO APRESENTOU DOCUMENTAÇÃO EXIGIDA EM PDF (RG/CARTEIRINHA OU DECLARAÇÃO DO REDOME) MARIA CLARA GOMES DE SOUZA 082***.***-** 8 INDEFERIDO CANDIDATO (A) NÃO APRESENTOU LAUDO MÉDICO COMPROBATÓRIO DA ISENÇÃO DE ACORDO COM A POSSIBILIDADE ESCOLHIDA (CAD. ÚNICO FEDERAL) SARA ARAÚJO SOUZA 958***.***-** 1 DEFERIDO DENISE CARLA DE LIMA 959***.***-** 1 INDEFERIDO CANDIDATO (A) NÃO APRESENTOU DECLARAÇÃO EXPEDIDA PELO GDF QUE COMPROVE RECEBIMENTO DE BENEFÍCIO DE PROGRAMA SOCIAL DE COMPLEMENTAÇÃO OU SUPLEMENTAÇÃO DE RENDA DO GDF (PRATO CHEIO E DF SOCIAL) DENISE CARLA DE LIMA 959***.***-** 8 INDEFERIDO CANDIDATO (A) NÃO APRESENTOU DECLARAÇÃO EXPEDIDA PELO GDF QUE COMPROVE RECEBIMENTO DE BENEFÍCIO DE PROGRAMA SOCIAL DE COMPLEMENTAÇÃO OU SUPLEMENTAÇÃO DE RENDA DO GDF (PRATO CHEIO E DF SOCIAL) LUCIANE FÁTIMA TESTA 713***.***-** 1 INDEFERIDO CANDIDATO (A) NÃO APRESENTOU DECLARAÇÃO EXPEDIDA PELO GDF QUE COMPROVE RECEBIMENTO DE BENEFÍCIO DE PROGRAMA SOCIAL DE COMPLEMENTAÇÃO OU SUPLEMENTAÇÃO DE RENDA DO GDF (PRATO CHEIO E DF SOCIAL) LUCIANE FÁTIMA TESTA 713***.***-** 5 INDEFERIDO CANDIDATO (A) NÃO APRESENTOU DECLARAÇÃO EXPEDIDA PELO GDF QUE COMPROVE RECEBIMENTO DE BENEFÍCIO DE PROGRAMA SOCIAL DE COMPLEMENTAÇÃO OU SUPLEMENTAÇÃO DE RENDA DO GDF (PRATO CHEIO E DF SOCIAL) RAELLY VALERIA DE MELO SILVA 014***.***-** 1 DEFERIDO RAELLY VALERIA DE MELO SILVA 014***.***-** 6 DEFERIDO
  • 123.
    NANCIMAR NUNES DANIEL014***.***-** 1 INDEFERIDO CANDIDATO (A) NÃO APRESENTOU DECLARAÇÃO EXPEDIDA PELO GDF QUE COMPROVE RECEBIMENTO DE BENEFÍCIO DE PROGRAMA SOCIAL DE COMPLEMENTAÇÃO OU SUPLEMENTAÇÃO DE RENDA DO GDF (PRATO CHEIO E DF SOCIAL) RICARDO TOMÉ DE CARVALHO 029***.***-** 1 INDEFERIDO CANDIDATO (A) NÃO APRESENTOU DECLARAÇÃO EXPEDIDA PELO GDF QUE COMPROVE RECEBIMENTO DE BENEFÍCIO DE PROGRAMA SOCIAL DE COMPLEMENTAÇÃO OU SUPLEMENTAÇÃO DE RENDA DO GDF (PRATO CHEIO E DF SOCIAL) RICARDO TOMÉ DE CARVALHO 029***.***-** 8 INDEFERIDO CANDIDATO (A) NÃO APRESENTOU DECLARAÇÃO EXPEDIDA PELO GDF QUE COMPROVE RECEBIMENTO DE BENEFÍCIO DE PROGRAMA SOCIAL DE COMPLEMENTAÇÃO OU SUPLEMENTAÇÃO DE RENDA DO GDF (PRATO CHEIO E DF SOCIAL) FLÁVIA BARBOSA DE SOUZA SILVA 017***.***-** 3 INDEFERIDO CANDIDATO (A) NÃO APRESENTOU DECLARAÇÃO EXPEDIDA PELO GDF QUE COMPROVE RECEBIMENTO DE BENEFÍCIO DE PROGRAMA SOCIAL DE COMPLEMENTAÇÃO OU SUPLEMENTAÇÃO DE RENDA DO GDF (PRATO CHEIO E DF SOCIAL) JHESSICA XAVIER DA SILVA 017***.***-** 6 INDEFERIDO CANDIDATO (A) NÃO APRESENTOU LAUDO MÉDICO COMPROBATÓRIO DA ISENÇÃO DE ACORDO COM A POSSIBILIDADE ESCOLHIDA (CAD. ÚNICO FEDERAL) FERNANDO FERREIRA MARTINS 046***.***-** 1 DEFERIDO SABRINA MENDES CIRINO 002***.***-** 1 DEFERIDO IVÂNIA RIBEIRO DOS SANTOS 339***.***-** 5 INDEFERIDO CANDIDATO (A) NÃO APRESENTOU DECLARAÇÃO EXPEDIDA PELO GDF QUE COMPROVE RECEBIMENTO DE BENEFÍCIO DE PROGRAMA SOCIAL DE COMPLEMENTAÇÃO OU SUPLEMENTAÇÃO DE RENDA DO GDF (PRATO CHEIO E DF SOCIAL) FRANCISCA LILIAN TELES LIZARDO 999***.***-** 1 DEFERIDO FRANCISCA LILIAN TELES LIZARDO 999***.***-** 8 DEFERIDO INGRID MAIARA BISPO DE SOUSA 045***.***-** 1 DEFERIDO THOMAS GABRIEL MACIANO DA CONCEIÇÃO 064***.***-** 2 INDEFERIDO CANDIDATO (A) NÃO APRESENTOU DECLARAÇÃO EXPEDIDA PELO GDF QUE COMPROVE RECEBIMENTO DE BENEFÍCIO DE PROGRAMA SOCIAL DE COMPLEMENTAÇÃO OU SUPLEMENTAÇÃO DE RENDA DO GDF (PRATO CHEIO E DF SOCIAL) AIRES HENRIQUE MACIEL PESSOÂ 037***.***-** 1 INDEFERIDO CANDIDATO (A) NÃO APRESENTOU DECLARAÇÃO EXPEDIDA PELO GDF QUE COMPROVE RECEBIMENTO DE BENEFÍCIO DE PROGRAMA SOCIAL DE COMPLEMENTAÇÃO OU SUPLEMENTAÇÃO DE RENDA DO GDF (PRATO CHEIO E DF SOCIAL) VANESSA ALVES DE SOUZA 053***.***-** 8 DEFERIDO VANESSA ALVES DE SOUZA 053***.***-** 2 DEFERIDO
  • 124.
    DAILANE AZEVEDO DOSSANTOS 065***.***-** 6 INDEFERIDO CANDIDATO (A) NÃO APRESENTOU LAUDO MÉDICO COMPROBATÓRIO DA ISENÇÃO DE ACORDO COM A POSSIBILIDADE ESCOLHIDA (CAD. ÚNICO FEDERAL) REINALDO WESLEI LIMA TEMISTOCLES 717***.***-** 1 INDEFERIDO CANDIDATO (A) NÃO APRESENTOU DECLARAÇÃO EXPEDIDA PELO GDF QUE COMPROVE RECEBIMENTO DE BENEFÍCIO DE PROGRAMA SOCIAL DE COMPLEMENTAÇÃO OU SUPLEMENTAÇÃO DE RENDA DO GDF (PRATO CHEIO E DF SOCIAL) KELYANE DA ROCHA PEREIRA 035***.***-** 5 INDEFERIDO CANDIDATO (A) NÃO APRESENTOU DECLARAÇÃO EXPEDIDA PELO GDF QUE COMPROVE RECEBIMENTO DE BENEFÍCIO DE PROGRAMA SOCIAL DE COMPLEMENTAÇÃO OU SUPLEMENTAÇÃO DE RENDA DO GDF (PRATO CHEIO E DF SOCIAL) ALESSANDRA TEIXEIRA DOS SANTOS 848***.***-** 3 DEFERIDO REBECA CÁSSIA DE ANDRADE MARIANO 058***.***-** 1 DEFERIDO VÂNIA VIEIRA DA SILVA 028***.***-** 7 INDEFERIDO CANDIDATO (A) NÃO APRESENTOU DECLARAÇÃO EXPEDIDA PELO GDF QUE COMPROVE RECEBIMENTO DE BENEFÍCIO DE PROGRAMA SOCIAL DE COMPLEMENTAÇÃO OU SUPLEMENTAÇÃO DE RENDA DO GDF (PRATO CHEIO E DF SOCIAL) JACKELINE KEREN RODRIGUES DA COSTA 053***.***-** 1 INDEFERIDO CANDIDATO (A) NÃO APRESENTOU DECLARAÇÃO EXPEDIDA PELO GDF QUE COMPROVE RECEBIMENTO DE BENEFÍCIO DE PROGRAMA SOCIAL DE COMPLEMENTAÇÃO OU SUPLEMENTAÇÃO DE RENDA DO GDF (PRATO CHEIO E DF SOCIAL) LILIANE DE OLIVEIRA FERNANDES 065***.***-** 1 INDEFERIDO CANDIDATO (A) NÃO APRESENTOU DECLARAÇÃO EXPEDIDA PELO GDF QUE COMPROVE RECEBIMENTO DE BENEFÍCIO DE PROGRAMA SOCIAL DE COMPLEMENTAÇÃO OU SUPLEMENTAÇÃO DE RENDA DO GDF (PRATO CHEIO E DF SOCIAL) ISABELA DE OLIVEIRA SANTOS 703***.***-** 2 INDEFERIDO CANDIDATO (A) NÃO APRESENTOU DECLARAÇÃO EXPEDIDA PELO GDF QUE COMPROVE RECEBIMENTO DE BENEFÍCIO DE PROGRAMA SOCIAL DE COMPLEMENTAÇÃO OU SUPLEMENTAÇÃO DE RENDA DO GDF (PRATO CHEIO E DF SOCIAL) ISABELA DE OLIVEIRA SANTOS 703***.***-** 1 INDEFERIDO CANDIDATO (A) NÃO SELECIONOU NENHUMA DAS OPÇÕES DO FORMULÁRIO DISPONÍVEL VILMA MARIA QUIRINO DO Ó 564***.***-** 1 INDEFERIDO CANDIDATO (A) NÃO APRESENTOU DECLARAÇÃO EXPEDIDA PELO GDF QUE COMPROVE RECEBIMENTO DE BENEFÍCIO DE PROGRAMA SOCIAL DE COMPLEMENTAÇÃO OU SUPLEMENTAÇÃO DE RENDA DO GDF (PRATO CHEIO E DF SOCIAL) EVELYN LARA DE OLIVEIRA FERREIRA 047***.***-** 1 DEFERIDO WARLISON BISPO DA COSTA 069***.***-** 1 INDEFERIDO CANDIDATO (A) NÃO APRESENTOU LAUDO MÉDICO COMPROBATÓRIO DA ISENÇÃO DE ACORDO COM A POSSIBILIDADE ESCOLHIDA (CAD. ÚNICO FEDERAL)
  • 125.
    ADRIANO LIMA PEREIRADA SILVA 731***.***-** 1 INDEFERIDO CANDIDATO (A) NÃO APRESENTOU DOCUMENTAÇÃO EXIGIDA ( NENHUMA DOCUMENTAÇÃO ) MARYELLE ALENCAR GARCIA ***.***-** 1 INDEFERIDO CANDIDATO (A) NÃO APRESENTOU DOCUMENTAÇÃO EXIGIDA ( NENHUMA DOCUMENTAÇÃO ) EDUARDA SIQUEIRA GONÇALVES ALVES 046***.***-** 1 INDEFERIDO EDUARDA SIQUEIRA GONÇALVES ALVES 046***.***-** 2 INDEFERIDO CANDIDATO (A) NÃO APRESENTOU DOCUMENTAÇÃO EXIGIDA EM PDF JULIO CÉSAR DO NASCIMENTO PEREIRA 705***.***-** 1 DEFERIDO RAYANE ALVES PONCIANO CANDIDO 062***.***-** 6 INDEFERIDO CANDIDATO (A) NÃO APRESENTOU LAUDO MÉDICO COMPROBATÓRIO DA ISENÇÃO DE ACORDO COM A POSSIBILIDADE ESCOLHIDA (CAD. ÚNICO FEDERAL) RAYANE ALVES PONCIANO CANDIDO 062***.***-** 1 INDEFERIDO CANDIDATO (A) NÃO APRESENTOU LAUDO MÉDICO COMPROBATÓRIO DA ISENÇÃO DE ACORDO COM A POSSIBILIDADE ESCOLHIDA (CAD. ÚNICO FEDERAL) JOYCE DAMASCENDO DE MENEZES 063***.***-** 1 DEFERIDO JOYCE DAMASCENDO DE MENEZES 063***.***-** 6 DEFERIDO ARPACHADE GABRIEL JUNIO DE ANDRADE MARIANO 058***.***-** 1 DEFERIDO KELIANE CONCEIÇÃO DOS SANTOS DIAS 018***.***-** 8 INDEFERIDO CANDIDATO (A) NÃO APRESENTOU DOCUMENTAÇÃO EXIGIDA EM PDF ( NENHUMA DOCUMENTAÇÃO ) TAIS ALVES DE PAULA 030***.***-** 1 INDEFERIDO CANDIDATO (A) NÃO APRESENTOU DECLARAÇÃO EXPEDIDA PELO GDF QUE COMPROVE RECEBIMENTO DE BENEFÍCIO DE PROGRAMA SOCIAL DE COMPLEMENTAÇÃO OU SUPLEMENTAÇÃO DE RENDA DO GDF (PRATO CHEIO E DF SOCIAL) BRUNA ERIKA SANTIAGO POECK 933***.***-** 1 INDEFERIDO CANDIDATO (A) NÃO APRESENTOU DOCUMENTAÇÃO EXIGIDA EM PDF ( RG/FORMULÁRIO) EGNA MESSIAS SILVA 806***.***-** 1 DEFERIDO EGNA MESSIAS SILVA 806***.***-** 7 DEFERIDO MARIA RAMOS DE SOUSA 734***.***-** 7 INDEFERIDO CANDIDATO (A) NÃO APRESENTOU LAUDO MÉDICO COMPROBATÓRIO DA ISENÇÃO DE ACORDO COM A POSSIBILIDADE ESCOLHIDA (CAD. ÚNICO FEDERAL) ZILMA DOS SANTOS TAVARES SUBRINHO 861***.***-** 7 INDEFERIDO CANDIDATO (A) NÃO PREENCHEU O FORMULÁRIO PAULO SILVA DE OLIVEIRA XAVIER 032***.***-** 1 DEFERIDO TALITA MOZANA FORTUNATTO 013***.***-** 1 DEFERIDO ISABEL CRISTINA XAVIER DE OLIVEIRA 698***.***-** 8 DEFERIDO MIRIAN DA SILVA GOMES 053***.***-** 1 INDEFERIDO CANDIDATO (A) NÃO APRESENTOU DECLARAÇÃO EXPEDIDA PELO GDF QUE COMPROVE RECEBIMENTO DE BENEFÍCIO DE PROGRAMA SOCIAL DE COMPLEMENTAÇÃO OU SUPLEMENTAÇÃO DE RENDA DO GDF (PRATO CHEIO E DF SOCIAL) SANDRA CLARA SIMPLÍCIO DA SILVA 024***.***-** 3 DEFERIDO DANIELE TRINDADE MARQUES 003***.***-** 8 DEFERIDO
  • 126.
    DANIELE TRINDADE MARQUES003***.***-** 1 DEFERIDO ANDRELIA ALVES DE FRANCA DE ARAUJO 927***.***-** 1 DEFERIDO CLAUDIA NOADIA CARMO NUNES SCALIA 584***.***-** 7 INDEFERIDO CANDIDATO (A) NÃO APRESENTOU DECLARAÇÃO EXPEDIDA PELO GDF QUE COMPROVE RECEBIMENTO DE BENEFÍCIO DE PROGRAMA SOCIAL DE COMPLEMENTAÇÃO OU SUPLEMENTAÇÃO DE RENDA DO GDF (PRATO CHEIO E DF SOCIAL) ABIGAIL BARBOSA DE OLIVEIRA FERNANDES 399***.***-** 1 INDEFERIDO CANDIDATO (A) NÃO APRESENTOU DECLARAÇÃO EXPEDIDA PELO GDF QUE COMPROVE RECEBIMENTO DE BENEFÍCIO DE PROGRAMA SOCIAL DE COMPLEMENTAÇÃO OU SUPLEMENTAÇÃO DE RENDA DO GDF (PRATO CHEIO E DF SOCIAL) ISAURA MARQUES MARTINS 875***.***-** 1 INDEFERIDO CANDIDATO (A) NÃO APRESENTOU DOCUMENTAÇÃO EXIGIDA EM PDF ( RG) IRENILDE ROCHA DE SOUSA 721***.***-** 1 INDEFERIDO CANDIDATO (A) NÃO APRESENTOU DECLARAÇÃO EXPEDIDA PELO GDF QUE COMPROVE RECEBIMENTO DE BENEFÍCIO DE PROGRAMA SOCIAL DE COMPLEMENTAÇÃO OU SUPLEMENTAÇÃO DE RENDA DO GDF (PRATO CHEIO E DF SOCIAL) DARLENE FERREIRA DE BARROS 602***.***-** 8 DEFERIDO AFONSO HERNANI PEREIRA OPAZO 902***.***-** 1 INDEFERIDO CANDIDATO (A) NÃO APRESENTOU DOCUMENTAÇÃO EXIGIDA EM PDF ( RG/DECLARAÇÃO DE DOAÇÃO DE SANGUE) AFONSO HERNANI PEREIRA OPAZO 902***.***-** 6 INDEFERIDO CANDIDATO (A) NÃO APRESENTOU DOCUMENTAÇÃO EXIGIDA EM PDF ( RG/DECLARAÇÃO DE DOAÇÃO DE SANGUE) ADRIANO VASCONCELOS DE MELO 008***.***-** 1 INDEFERIDO CANDIDATO (A) NÃO APRESENTOU DECLARAÇÃO EXPEDIDA PELO GDF QUE COMPROVE RECEBIMENTO DE BENEFÍCIO DE PROGRAMA SOCIAL DE COMPLEMENTAÇÃO OU SUPLEMENTAÇÃO DE RENDA DO GDF (PRATO CHEIO E DF SOCIAL) / NÃO APRESENTOU A DOCUMENTAÇÃO EM PDF GABRIEL RIBEIRO TORRES 072***.***-** 1 INDEFERIDO CANDIDATO (A) NÃO APRESENTOU DECLARAÇÃO EXPEDIDA PELO GDF QUE COMPROVE RECEBIMENTO DE BENEFÍCIO DE PROGRAMA SOCIAL DE COMPLEMENTAÇÃO OU SUPLEMENTAÇÃO DE RENDA DO GDF (PRATO CHEIO E DF SOCIAL) GUILHERME ALMEIDA RIBAS 890***.***-** 1 INDEFERIDO CANDIDATO (A) NÃO APRESENTOU DECLARAÇÃO EXPEDIDA PELO GDF QUE COMPROVE RECEBIMENTO DE BENEFÍCIO DE PROGRAMA SOCIAL DE COMPLEMENTAÇÃO OU SUPLEMENTAÇÃO DE RENDA DO GDF (PRATO CHEIO E DF SOCIAL) GRAZIELA FERREIRA DA SILVA RODRIGUES 696***.***-** 1 INDEFERIDO CANDIDATO (A) NÃO APRESENTOU DOCUMENTAÇÃO EXIGIDA EM PDF ( CARTERINHA DE DOADOR DE MEDULA ÓSSEA) LORRANE ALVES DE OLIVEIRA 076***.***-** INDEFERIDO CANDIDATO (A) NÃO APRESENTOU LAUDO MÉDICO COMPROBATÓRIO DA ISENÇÃO DE ACORDO COM A POSSIBILIDADE ESCOLHIDA (CAD. ÚNICO FEDERAL)
  • 127.
    LUIS FERNANDO DEANDRADE DE OLIVEIRA 704***.***-** 1 INDEFERIDO CANDIDATO (A) NÃO APRESENTOU LAUDO MÉDICO COMPROBATÓRIO DA ISENÇÃO DE ACORDO COM A POSSIBILIDADE ESCOLHIDA (CAD. ÚNICO FEDERAL) LUIS FERNANDO DE ANDRADE DE OLIVEIRA 704***.***-** 8 INDEFERIDO CANDIDATO (A) NÃO APRESENTOU LAUDO MÉDICO COMPROBATÓRIO DA ISENÇÃO DE ACORDO COM A POSSIBILIDADE ESCOLHIDA (CAD. ÚNICO FEDERAL) FRANCISCA MARIA DA SILVA 803***.***-** 1 INDEFERIDO CANDIDATO (A) NÃO APRESENTOU DECLARAÇÃO EXPEDIDA PELO GDF QUE COMPROVE RECEBIMENTO DE BENEFÍCIO DE PROGRAMA SOCIAL DE COMPLEMENTAÇÃO OU SUPLEMENTAÇÃO DE RENDA DO GDF (PRATO CHEIO E DF SOCIAL) THALES RODRIGUES DO SANTOS BORTONE DE ARAÚJO 016***.***-** 1 INDEFERIDO CANDIDATO (A) NÃO APRESENTOU DECLARAÇÃO EXPEDIDA PELO GDF QUE COMPROVE RECEBIMENTO DE BENEFÍCIO DE PROGRAMA SOCIAL DE COMPLEMENTAÇÃO OU SUPLEMENTAÇÃO DE RENDA DO GDF (PRATO CHEIO E DF SOCIAL) SULAMITA TEIXEIRA BRAZ DE MORAIS 493***.***-** INDEFERIDO CANDIDATO (A) NÃO PREENCHEU O CÓDIGO DE CARGO NO FORMULÁRIO MARIA JOSE DA SILVA 358***.***-** 1 DEFERIDO MARCELO NUNES VIEIRA 813***.***-** 1 INDEFERIDO CANDIDATO (A) NÃO APRESENTOU DOCUMENTAÇÃO EXIGIDA EM PDF ( RG) MARIA ISABEL ALVES SILVA GUAJAJARA 047***.***-** 8 INDEFERIDO CANDIDATO (A) NÃO APRESENTOU DECLARAÇÃO EXPEDIDA PELO GDF QUE COMPROVE RECEBIMENTO DE BENEFÍCIO DE PROGRAMA SOCIAL DE COMPLEMENTAÇÃO OU SUPLEMENTAÇÃO DE RENDA DO GDF (PRATO CHEIO E DF SOCIAL) MARIA ISABEL ALVES SILVA GUAJAJARA 047***.***-** 1 INDEFERIDO CANDIDATO (A) NÃO APRESENTOU DECLARAÇÃO EXPEDIDA PELO GDF QUE COMPROVE RECEBIMENTO DE BENEFÍCIO DE PROGRAMA SOCIAL DE COMPLEMENTAÇÃO OU SUPLEMENTAÇÃO DE RENDA DO GDF (PRATO CHEIO E DF SOCIAL) LIDIANE OLIVEIRA DE FREITAS 073***.***-** 7 DEFERIDO LIDIANE OLIVEIRA DE FREITAS 073***.***-** 1 DEFERIDO LUZINEIDE RODRIGUES DA COSTA 599***.***-** 5 INDEFERIDO CANDIDATO (A) NÃO APRESENTOU DECLARAÇÃO EXPEDIDA PELO GDF QUE COMPROVE RECEBIMENTO DE BENEFÍCIO DE PROGRAMA SOCIAL DE COMPLEMENTAÇÃO OU SUPLEMENTAÇÃO DE RENDA DO GDF (PRATO CHEIO E DF SOCIAL) KARINA ANUNCIAÇÃO DE SOUZA 052***.***-** 8 INDEFERIDO CANDIDATO (A) NÃO APRESENTOU DOCUMENTAÇÃO EXIGIDA EM PDF ( FORMLÁRIO) SHEILA CARDOSO DE ARAUJO 013***.***-** 6 INDEFERIDO CANDIDATO (A) NÃO APRESENTOU DECLARAÇÃO EXPEDIDA PELO GDF QUE COMPROVE RECEBIMENTO DE BENEFÍCIO DE PROGRAMA SOCIAL DE COMPLEMENTAÇÃO OU SUPLEMENTAÇÃO DE RENDA DO GDF (PRATO CHEIO E DF SOCIAL) ELIENE DE MORAIS CAMPELO 696***.***-** 8 DEFERIDO ELIENE DE MORAIS CAMPELO 696***.***-** 1 DEFERIDO
  • 128.
    AISHA NICOLE DACOSTA 050***.***-** 6 INDEFERIDO CANDIDATO (A) NÃO APRESENTOU LAUDO MÉDICO COMPROBATÓRIO DA ISENÇÃO DE ACORDO COM A POSSIBILIDADE ESCOLHIDA (CAD. ÚNICO FEDERAL) IVAN DE OLIVEIRA RAMOS 494***.***-** 8 DEFERIDO GIOVANNA DIAS FERREIRA 077***.***-** 1 INDEFERIDO CANDIDATO (A) NÃO APRESENTOU DECLARAÇÃO EXPEDIDA PELO GDF QUE COMPROVE RECEBIMENTO DE BENEFÍCIO DE PROGRAMA SOCIAL DE COMPLEMENTAÇÃO OU SUPLEMENTAÇÃO DE RENDA DO GDF (PRATO CHEIO E DF SOCIAL) GIOVANNA DIAS FERREIRA 077***.***-** 7 INDEFERIDO CANDIDATO (A) NÃO APRESENTOU DECLARAÇÃO EXPEDIDA PELO GDF QUE COMPROVE RECEBIMENTO DE BENEFÍCIO DE PROGRAMA SOCIAL DE COMPLEMENTAÇÃO OU SUPLEMENTAÇÃO DE RENDA DO GDF (PRATO CHEIO E DF SOCIAL) WAGNER NUNES LEANDRO 011***.***-** 1 INDEFERIDO CANDIDATO (A) NÃO APRESENTOU DECLARAÇÃO EXPEDIDA PELO GDF QUE COMPROVE RECEBIMENTO DE BENEFÍCIO DE PROGRAMA SOCIAL DE COMPLEMENTAÇÃO OU SUPLEMENTAÇÃO DE RENDA DO GDF (PRATO CHEIO E DF SOCIAL) WAGNER NUNES LEANDRO 011***.***-** 7 INDEFERIDO CANDIDATO (A) NÃO APRESENTOU LAUDO MÉDICO COMPROBATÓRIO DA ISENÇÃO DE ACORDO COM A POSSIBILIDADE ESCOLHIDA (CAD. ÚNICO FEDERAL) ANA CRISTINA DA SILVA 717***.***-** 1 INDEFERIDO CANDIDATO (A) NÃO APRESENTOU DOCUMENTAÇÃO EXIGIDA EM PDF ANA CRISTINA DA SILVA 717***.***-** 7 INDEFERIDO CANDIDATO (A) NÃO APRESENTOU DOCUMENTAÇÃO EXIGIDA EM PDF EVANEIDE FRANCISCA DOS SANTOS ALENCAR 998***.***-** 7 DEFERIDO EVANEIDE FRANCISCA DOS SANTOS ALENCAR 998***.***-** 1 DEFERIDO PEDRO HENRIQUE TOLENTINO 059***.***-** 1 INDEFERIDO CANDIDATO (A) NÃO APRESENTOU DOCUMENTAÇÃO EXIGIDA EM PDF ( NENHUMA DOCUMENTAÇÃO ) PEDRO HENRIQUE TOLENTINO 059***.***-** 6 INDEFERIDO CANDIDATO (A) NÃO APRESENTOU DOCUMENTAÇÃO EXIGIDA EM PDF ( NENHUMA DOCUMENTAÇÃO ) JULHA GRACIELA DOMINGOS DE SOUZA 009***.***-** 1 DEFERIDO JULHA GRACIELA DOMINGOS DE SOUZA 009***.***-** 6 DEFERIDO DANIELA RODRIGUES DA SILVA 006***.***-** 1 INDEFERIDO CANDIDATO (A) NÃO APRESENTOU DOCUMENTAÇÃO EXIGIDA EM PDF DANIELA RODRIGUES DA SILVA 006***.***-** 2 INDEFERIDO CANDIDATO (A) NÃO APRESENTOU DOCUMENTAÇÃO EXIGIDA EM PDF CHRISTIANE BATISTA PAULINO 818***.***-** 7 INDEFERIDO CANDIDATO (A) NÃO APRESENTOU DOCUMENTO DE IDENTIFICAÇÃO E FORMULÁRIO PARA PEDIDO DE ISENÇÃO ATUALIZADO DANIELLE DE MELO RODRIGUES 039***.***-** 1 INDEFERIDO CANDIDATO (A) NÃO APRESENTOU DOCUMENTAÇÃO EXIGIDA ( RG) THAIS LISBOA DA SILVA 052***.***-** 6 INDEFERIDO CANDIDATO (A) NÃO APRESENTOU DECLARAÇÃO EXPEDIDA PELO GDF QUE COMPROVE RECEBIMENTO DE BENEFÍCIO DE PROGRAMA SOCIAL DE COMPLEMENTAÇÃO OU SUPLEMENTAÇÃO DE RENDA DO GDF (PRATO CHEIO E DF SOCIAL)
  • 129.
    MARIANA ZEFERINA DOSSANTOS 884***.***-** INDEFERIDO CANDIDATO (A) NÃO APRESENTOU DECLARAÇÃO EXPEDIDA PELO GDF QUE COMPROVE RECEBIMENTO DE BENEFÍCIO DE PROGRAMA SOCIAL DE COMPLEMENTAÇÃO OU SUPLEMENTAÇÃO DE RENDA DO GDF (PRATO CHEIO E DF SOCIAL) JONATHAS MARCELO DA SILVA LIMA 068***.***-** 1 DEFERIDO JONATHAS MARCELO DA SILVA LIMA 068***.***-** 7 DEFERIDO ELAINE VIRGÍNIA LOPES BARBOSA FONSECA 703***.***-** 8 INDEFERIDO CANDIDATO (A) NÃO APRESENTOU DECLARAÇÃO EXPEDIDA PELO GDF QUE COMPROVE RECEBIMENTO DE BENEFÍCIO DE PROGRAMA SOCIAL DE COMPLEMENTAÇÃO OU SUPLEMENTAÇÃO DE RENDA DO GDF (PRATO CHEIO E DF SOCIAL) ELIÉZER MESSIAS DA SILVA RIBEIRO 058***.***-** 8 DEFERIDO RAFAEL ALMEIDA DOS SANTOS 056***.***-** 1 DEFERIDO LINDOMAR DE JESUS DOS REIS 042***.***-** 7 INDEFERIDO CANDIDATO (A) NÃO APRESENTOU DOCUMENTAÇÃO EXIGIDA ( RG) MAURICIA DE OLIVEIRA MAIA 054***.***-** 1 INDEFERIDO CANDIDATO (A) NÃO APRESENTOU LAUDO MÉDICO COMPROBATÓRIO DA ISENÇÃO DE ACORDO COM A POSSIBILIDADE ESCOLHIDA (CAD. ÚNICO FEDERAL) CLAUDIA CARLA DOS SANTOS MACHADO 038***.***-** 1 DEFERIDO GIRLENE MENDES NASCIMENTO 039***.***-** 3 INDEFERIDO CANDIDATO (A) NÃO APRESENTOU DECLARAÇÃO EXPEDIDA PELO GDF QUE COMPROVE RECEBIMENTO DE BENEFÍCIO DE PROGRAMA SOCIAL DE COMPLEMENTAÇÃO OU SUPLEMENTAÇÃO DE RENDA DO GDF (PRATO CHEIO E DF SOCIAL ) JAQUELINE MENDES DO NASCIMENTO 044***.***-** 3 INDEFERIDO CANDIDATO (A) NÃO APRESENTOU DECLARAÇÃO EXPEDIDA PELO GDF QUE COMPROVE RECEBIMENTO DE BENEFÍCIO DE PROGRAMA SOCIAL DE COMPLEMENTAÇÃO OU SUPLEMENTAÇÃO DE RENDA DO GDF (PRATO CHEIO E DF SOCIAL ) ALINE ARAUJO DE FREITAS 003***.***-** - INDEFERIDO CANDIDATO (A) NÃO APRESENTOU DOCUMENTAÇÃO DE LAUDO MÉDICO DE ACORDO COM A MARCAÇÃO ESCOLHIDA MARIA DE MEDEIROS MELO GONCALVES 374***.***-** 7 DEFERIDO JOSE RIBAMAR DA SILVA AMORIM 725***.***-** 1 INDEFERIDO CANDIDATO (A) NÃO APRESENTOU DECLARAÇÃO EXPEDIDA PELO GDF QUE COMPROVE RECEBIMENTO DE BENEFÍCIO DE PROGRAMA SOCIAL DE COMPLEMENTAÇÃO OU SUPLEMENTAÇÃO DE RENDA DO GDF (PRATO CHEIO E DF SOCIAL ) DENIS GONCALVES DOS SANTOS 726***.***-** 1 DEFERIDO DENIS GONCALVES DOS SANTOS 726***.***-** 6 DEFERIDO ANDRE FERNANDO ALVES ARAUJO 721***.***-** 8 DEFERIDO LÉA CRISTINA ALVES CRUZ DA SILVA 717***.***-** 5 INDEFERIDO CANDIDATO (A) NÃO APRESENTOU DOCUMENTAÇÃO DE LAUDO MÉDICO DE ACORDO COM A MARCAÇÃO ESCOLHIDA JOALECILIA DE OLIVEIRA AFONSO 563***.***-** 1 DEFERIDO
  • 130.
    FERNANDA FELIPA DAMACENA056***.***-** 1 INDEFERIDO CANDIDATO (A) NÃO APRESENTOU DECLARAÇÃO EXPEDIDA PELO GDF QUE COMPROVE RECEBIMENTO DE BENEFÍCIO DE PROGRAMA SOCIAL DE COMPLEMENTAÇÃO OU SUPLEMENTAÇÃO DE RENDA DO GDF (PRATO CHEIO E DF SOCIAL ) ESTAQUIS LUCAS ALVES DA SILVA FURQUIM 042***.***-** - INDEFERIDO CANDIDATO (A) NÃO APRESENTOU FORMULÁRIO PARA PEDIDO DE ISENÇÃO COM O NÚMERO DO CARGO E DEVIDAMENTE ASSINADO AÍRES PEREIRA MAURA 720***.***-** 1 DEFERIDO PAULA MORAIS DE FIQUEREDO 001***.***-** 1 DEFERIDO PAULA MORAIS DE FIQUEREDO 001***.***-** 4 DEFERIDO DANNILA PEREIRA BORGES CATANA 087***.***-** 1 INDEFERIDO CANDIDATO (A) NÃO APRESENTOU DECLARAÇÃO EXPEDIDA PELO GDF QUE COMPROVE RECEBIMENTO DE BENEFÍCIO DE PROGRAMA SOCIAL DE COMPLEMENTAÇÃO OU SUPLEMENTAÇÃO DE RENDA DO GDF (PRATO CHEIO E DF SOCIAL ) ISABELA RODRIGUES SILVA 027***.***-** 1 DEFERIDO ISABELA RODRIGUES SILVA 027***.***-** 6 DEFERIDO MAICOM FERREIRA DANTAS 044***.***-** 1 INDEFERIDO CANDIDATO (A) NÃO APRESENTOU DECLARAÇÃO EXPEDIDA PELO GDF QUE COMPROVE RECEBIMENTO DE BENEFÍCIO DE PROGRAMA SOCIAL DE COMPLEMENTAÇÃO OU SUPLEMENTAÇÃO DE RENDA DO GDF (PRATO CHEIO E DF SOCIAL ) GEDSON OLIVEIRA ALMEIDA 041***.***-** 1 INDEFERIDO CANDIDATO (A) NÃO APRESENTOU DOCUMENTAÇÃO EXIGIDA GEDSON OLIVEIRA ALMEIDA 041***.***-** 2 INDEFERIDO CANDIDATO (A) NÃO APRESENTOU DOCUMENTAÇÃO EXIGIDA SUSAN SUELLY DA SILVA 051***.***-** 3 INDEFERIDO CANDIDATO (A) NÃO APRESENTOU DOCUMENTAÇÃO DE LAUDO MÉDICO DE ACORDO COM A MARCAÇÃO ESCOLHIDA CLAUCIANA LUIZA DA SILVA SANTANA 004***.***-** 7 DEFERIDO CLAUCIANA LUIZA DA SILVA SANTANA 004***.***-** 1 DEFERIDO MARIÃ RODRIGUES OLIVEIRA DE CARVALHO 713***.***-** 5 INDEFERIDO CANDIDATO (A) NÃO APRESENTOU DOCUMENTAÇÃO DE LAUDO MÉDICO DE ACORDO COM A MARCAÇÃO ESCOLHIDA JEFFERSON RODRIGO BARROS FERREIRA 049***.***-** 2 DEFERIDO JEFFERSON RODRIGO BARROS FERREIRA 049***.***-** 1 DEFERIDO SANLEANO COSTA LOPES 057***.***-** 8 DEFERIDO SANLEANO COSTA LOPES 057***.***-** 1 DEFERIDO ROSIANE ALVES DA SILVA 028***.***-** 1 INDEFERIDO CANDIDATO (A) NÃO APRESENTOU DOCUMENTAÇÃO EXIGIDA EM PDF ROSIANE ALVES DA SILVA 028***.***-** 4 INDEFERIDO CANDIDATO (A) NÃO APRESENTOU DOCUMENTAÇÃO EXIGIDA EM PDF LUCAS DE ANDRADE SOUZA 052***.***-** 1 DEFERIDO SUELÍ DE JESUS SANTOS 059***.***-** 1 INDEFERIDO CANDIDATO (A) NÃO APRESENTOU DOCUMENTAÇÃO DE LAUDO MÉDICO DE ACORDO COM A MARCAÇÃO ESCOLHIDA SUELÍ DE JESUS SANTOS 059***.***-** 7 INDEFERIDO CANDIDATO (A) NÃO APRESENTOU DOCUMENTAÇÃO DE LAUDO MÉDICO DE ACORDO COM A MARCAÇÃO ESCOLHIDA
  • 131.
    MARIELE SILVA 813***.***-**7 INDEFERIDO CANDIDATO (A) NÃO APRESENTOU DOCUMENTAÇÃO EXIGIDA DE ACORDO COM A OPÇÃO ESCOLHIDA NO FORMULARIO ELANE APARECIDA ALVES SILVA 031***.***-** 1 DEFERIDO MATHEUS ALVES DE MENEZES 051***.***-** 1 INDEFERIDO CANDIDATO (A) NÃO APRESENTOU DECLARAÇÃO EXPEDIDA PELO GDF QUE COMPROVE RECEBIMENTO DE BENEFÍCIO DE PROGRAMA SOCIAL DE COMPLEMENTAÇÃO OU SUPLEMENTAÇÃO DE RENDA DO GDF (PRATO CHEIO E DF SOCIAL ) MATEUS DOS SANTOS SILVA 049***.***-** 1 INDEFERIDO CANDIDATO (A) NÃO APRESENTOU DOCUMENTAÇÃO DE LAUDO MÉDICO DE ACORDO COM A MARCAÇÃO ESCOLHIDA MATEUS DOS SANTOS SILVA 049***.***-** 2 INDEFERIDO CANDIDATO (A) NÃO APRESENTOU DOCUMENTAÇÃO DE LAUDO MÉDICO DE ACORDO COM A MARCAÇÃO ESCOLHIDA NILZA FREITAS MACHADO 590***.***-** 1 INDEFERIDO CANDIDATO (A) NÃO APRESENTOU FORMULÁRIO PARA PEDIDO DE ISENÇÃO ATUALIZADO COM O NÚMERO DO CARGO E DEVIDAMENTE ASSINADO NILZA FREITAS MACHADO 590***.***-** 2 INDEFERIDO CANDIDATO (A) NÃO APRESENTOU FORMULÁRIO PARA PEDIDO DE ISENÇÃO ATUALIZADO COM O NÚMERO DO CARGO E DEVIDAMENTE ASSINADO EMERSON RODRIGUES GONCALVES DA SILVA 050***.***-** 2 INDEFERIDO CANDIDATO (A) NÃO APRESENTOU DOCUMENTAÇÃO DE LAUDO MÉDICO DE ACORDO COM A MARCAÇÃO ESCOLHIDA ODALIA DE SOUSA SILVA 516***.***-** 1 INDEFERIDO CANDIDATO (A) NÃO APRESENTOU DOCUMENTAÇÃO EXIGIDA EM PDF DULCEMIR DE FÁTIMA SILVA VIEIRA 944***.***-** - INDEFERIDO CANDIDATO (A) NÃO APRESENTOU DECLARAÇÃO EXPEDIDA PELO GDF QUE COMPROVE RECEBIMENTO DE BENEFÍCIO DE PROGRAMA SOCIAL DE COMPLEMENTAÇÃO OU SUPLEMENTAÇÃO DE RENDA DO GDF (PRATO CHEIO E DF SOCIAL ) LUANA CAROLINE DA SILVA LINS 032***.***-** 8 INDEFERIDO CANDIDATO (A) NÃO APRESENTOU DECLARAÇÃO EXPEDIDA PELO GDF QUE COMPROVE RECEBIMENTO DE BENEFÍCIO DE PROGRAMA SOCIAL DE COMPLEMENTAÇÃO OU SUPLEMENTAÇÃO DE RENDA DO GDF (PRATO CHEIO E DF SOCIAL ) TERMUTES NEYLA ROCHA DOS SANTOS 025***.***-** 1 INDEFERIDO CANDIDATO (A) NÃO APRESENTOU DOCUMENTAÇÃO EXIGIDA EM PDF TERMUTES NEYLA ROCHA DOS SANTOS 025***.***-** 7 INDEFERIDO CANDIDATO (A) NÃO APRESENTOU DOCUMENTAÇÃO EXIGIDA EM PDF GABRIELA NOGUEIRA SOARES 023***.***-** 1 INDEFERIDO CANDIDATO (A) NÃO APRESENTOU DECLARAÇÃO EXPEDIDA PELO GDF QUE COMPROVE RECEBIMENTO DE BENEFÍCIO DE PROGRAMA SOCIAL DE COMPLEMENTAÇÃO OU SUPLEMENTAÇÃO DE RENDA DO GDF (PRATO CHEIO E DF SOCIAL ) GABRIELA NOGUEIRA SOARES 023***.***-** 5 INDEFERIDO CANDIDATO (A) NÃO APRESENTOU DECLARAÇÃO EXPEDIDA PELO GDF QUE COMPROVE RECEBIMENTO DE BENEFÍCIO DE PROGRAMA SOCIAL DE COMPLEMENTAÇÃO OU SUPLEMENTAÇÃO DE RENDA DO GDF (PRATO CHEIO E DF SOCIAL ) AGACI SOARES SOUZA 893***.***-** 1 DEFERIDO AGACI SOARES SOUZA 893***.***-** 5 DEFERIDO LAYANE DE JESUS MENDES 730***.***-** 8 DEFERIDO
  • 132.
    LAYANE DE JESUSMENDES 730***.***-** 1 DEFERIDO FELIPE AUGUSTO DE SOUSA SILVA 074***.***-** 2 INDEFERIDO CANDIDATO (A) NÃO APRESENTOU DECLARAÇÃO EXPEDIDA PELO GDF QUE COMPROVE RECEBIMENTO DE BENEFÍCIO DE PROGRAMA SOCIAL DE COMPLEMENTAÇÃO OU SUPLEMENTAÇÃO DE RENDA DO GDF (PRATO CHEIO E DF SOCIAL ) OU LAÚDO MÉDICO NA 1 OPÇÃO EIKE LENNIE ANDRADE DIAS 067***.***-** 1 DEFERIDO MOACIR NICOLAU BEZERRA 052***.***-** 1 DEFERIDO DAYANE RAYLA ALVES DE OLIVEIRA 029***.***-** 8 INDEFERIDO CANDIDATO (A) NÃO APRESENTOU DECLARAÇÃO EXPEDIDA PELO GDF QUE COMPROVE RECEBIMENTO DE BENEFÍCIO DE PROGRAMA SOCIAL DE COMPLEMENTAÇÃO OU SUPLEMENTAÇÃO DE RENDA DO GDF (PRATO CHEIO E DF SOCIAL ) OU LAÚDO MÉDICO NA 1 OPÇÃO NAYALLE PAULA DO ESPIRITO SANTO 005***.***-** 1 DEFERIDO NAYALLE PAULA DO ESPIRITO SANTO 005***.***-** 7 INDEFERIDO CANDIDATO (A) NÃO APRESENTOU FORMULARIO COM O SEGUNDO CARGO TAULINNE MACHADO DOS SANTOS 032***.***-** 6 INDEFERIDO CANDIDATO (A) NÃO APRESENTOU DECLARAÇÃO EXPEDIDA PELO GDF QUE COMPROVE RECEBIMENTO DE BENEFÍCIO DE PROGRAMA SOCIAL DE COMPLEMENTAÇÃO OU SUPLEMENTAÇÃO DE RENDA DO GDF (PRATO CHEIO E DF SOCIAL ) NAYRA DE SOUZA WILHELMS 024***.***-** 4 DEFERIDO NAYRA DE SOUZA WILHELMS 024***.***-** 1 DEFERIDO IRACELLI ACACIO SEVERIANO 852***.***-** 1 INDEFERIDO CANDIDATO (A) NÃO APRESENTOU DECLARAÇÃO EXPEDIDA PELO GDF QUE COMPROVE RECEBIMENTO DE BENEFÍCIO DE PROGRAMA SOCIAL DE COMPLEMENTAÇÃO OU SUPLEMENTAÇÃO DE RENDA DO GDF (PRATO CHEIO E DF SOCIAL ) IRACELLI ACACIO SEVERIANO 852***.***-** - INDEFERIDO CANDIDATO (A) NÃO APRESENTOU FORMULÁRIO PARA PEDIDO DE ISENÇÃO COM O SEGUNDO NÚMERO DO CARGO E DEVIDAMENTE ASSINADO MARIA DE MEDEIROS MELO GONCALVES 374***.***-** 1 DEFERIDO JOCASTRA CARVALHO DE OLIVEIRA -***.***-** - INDEFERIDO CANDIDATO (A) NÃO APRESENTOU DOCUMENTAÇÃO EXIGIDA ISABELLA FONSECA DE JESUS 089***.***-** 1 INDEFERIDO CANDIDATO (A) NÃO APRESENTOU DOCUMENTAÇÃO EXIGIDA EM PDF ISABELLA FONSECA DE JESUS 089***.***-** 2 INDEFERIDO CANDIDATO (A) NÃO APRESENTOU DOCUMENTAÇÃO EXIGIDA EM PDF CRISTIANE RESENDE DE SOUZA UEIRA 724***.***-** 1 DEFERIDO HAYANE FERNANDES ALVES 014***.***-** 1 DEFERIDO TAISA FELIX VARGAS 025***.***-** 7 DEFERIDO ANDERSON SOUSA DUTRA 735***.***-** 8 INDEFERIDO CANDIDATO (A) NÃO APRESENTOU DOCUMENTAÇÃO EXIGIDA EM PDF WILTON KEVIN SILVA ALENCAR 062***.***-** 1 INDEFERIDO CANDIDATO (A) NÃO APRESENTOU DOCUMENTAÇÃO EXIGIDA RG WILTON KEVIN SILVA ALENCAR 062***.***-** 7 INDEFERIDO CANDIDATO (A) NÃO APRESENTOU DOCUMENTAÇÃO EXIGIDA RG MATEUS ALBUQUERQUE DOS SANTOS 031***.***-** 3 INDEFERIDO CANDIDATO (A) NÃO APRESENTOU DOCUMENTAÇÃO EXIGIDA RG E COMPROVANTE DE CADASTRO ÚNICO MATEUS ALBUQUERQUE DOS SANTOS 031***.***-** 1 INDEFERIDO CANDIDATO (A) NÃO APRESENTOU DOCUMENTAÇÃO EXIGIDA RG E COMPROVANTE DE CADASTRO ÚNICO
  • 133.
    KÁTIA RIBEIRO DASILVA LOPES 017***.***-** - INDEFERIDO MATEUS ALVES DE MENEZES 051***.***-** 7 INDEFERIDO CANDIDATO (A) NÃO APRESENTOU DECLARAÇÃO EXPEDIDA PELO GDF QUE COMPROVE RECEBIMENTO DE BENEFÍCIO DE PROGRAMA SOCIAL DE COMPLEMENTAÇÃO OU SUPLEMENTAÇÃO DE RENDA DO GDF (PRATO CHEIO E DF SOCIAL ) REGINALDA PEREIRA 490***.***-** - INDEFERIDO CANDIDATO (A) NÃO APRESENTOU DOCUMENTAÇÃO EXIGIDA EM PDF CARLOS ALBERTO ARAGAO FERREIRA 616***.***-** - INDEFERIDO CANDIDATO (A) NÃO APRESENTOU DOCUMENTAÇÃO EXIGIDA RG CLARA LOPES LIMA MOURA 054***.***-** 1 DEFERIDO NILZA DA SILVA LINS 714***.***-** 8 INDEFERIDO CANDIDATO (A) NÃO APRESENTOU DECLARAÇÃO EXPEDIDA PELO GDF QUE COMPROVE RECEBIMENTO DE BENEFÍCIO DE PROGRAMA SOCIAL DE COMPLEMENTAÇÃO OU SUPLEMENTAÇÃO DE RENDA DO GDF (PRATO CHEIO E DF SOCIAL ) JAQUELINE NONATO DE CARVALHO 294***.***-** 6 INDEFERIDO CANDIDATO (A) NÃO APRESENTOU DECLARAÇÃO EXPEDIDA PELO GDF QUE COMPROVE RECEBIMENTO DE BENEFÍCIO DE PROGRAMA SOCIAL DE COMPLEMENTAÇÃO OU SUPLEMENTAÇÃO DE RENDA DO GDF (PRATO CHEIO E DF SOCIAL ) JAQUELINE NONATO DE CARVALHO 294***.***-** - INDEFERIDO CANDIDATO (A) NÃO APRESENTOU FORMULARIO COM O SEGUNDO CARGO ANA ALICE GRANJA DE SOUZA 059***.***-** 1 DEFERIDO ANA ALICE GRANJA DE SOUZA 059***.***-** 2 DEFERIDO MARIA LUIZA MOURA PIRES GONÇALVES 078***.***-** 7 INDEFERIDO CANDIDATO (A) NÃO APRESENTOU DECLARAÇÃO EXPEDIDA PELO GDF QUE COMPROVE RECEBIMENTO DE BENEFÍCIO DE PROGRAMA SOCIAL DE COMPLEMENTAÇÃO OU SUPLEMENTAÇÃO DE RENDA DO GDF (PRATO CHEIO E DF SOCIAL ) TAÍSA FELIX VARGAS 025***.***-** 1 DEFERIDO LARISSA ALVES DOS SANTOS 068***.***-** 7 DEFERIDO CRISTIANE RESENDE DE SOUZA UEIRA 724***.***-** 7 DEFERIDO ANDRESSA VERAS GUIMARÃES PIRES 006***.***-** 1 DEFERIDO THAYSA CARDOSO ARAÚJO 054***.***-** 1 INDEFERIDO CANDIDATO (A) NÃO APRESENTOU DECLARAÇÃO EXPEDIDA PELO GDF QUE COMPROVE RECEBIMENTO DE BENEFÍCIO DE PROGRAMA SOCIAL DE COMPLEMENTAÇÃO OU SUPLEMENTAÇÃO DE RENDA DO GDF (PRATO CHEIO E DF SOCIAL ) MARILDE MARTINS DOURADO 794***.***-** 1 DEFERIDO MARIA POLIANE RAMOS DA SILVA 049***.***-** 7 INDEFERIDO CANDIDATO (A) NÃO APRESENTOU DECLARAÇÃO EXPEDIDA PELO GDF QUE COMPROVE RECEBIMENTO DE BENEFÍCIO DE PROGRAMA SOCIAL DE COMPLEMENTAÇÃO OU SUPLEMENTAÇÃO DE RENDA DO GDF (PRATO CHEIO E DF SOCIAL )
  • 134.
    CAMILA FRAMBOLZ MOREIRA034***.***-** 1 INDEFERIDO CANDIDATO (A) NÃO APRESENTOU DECLARAÇÃO EXPEDIDA PELO GDF QUE COMPROVE RECEBIMENTO DE BENEFÍCIO DE PROGRAMA SOCIAL DE COMPLEMENTAÇÃO OU SUPLEMENTAÇÃO DE RENDA DO GDF (PRATO CHEIO E DF SOCIAL ) KELLY BRAZ QUEIROZ RODRIGUES 031***.***-** 7 INDEFERIDO CANDIDATO (A) NÃO APRESENTOU DOCUMENTAÇÃO DE ACORDO COM A MARCAÇÃO ESCOLHIDA SAMANTA FERREIRA LOPES DA SILVA 028***.***-** - INDEFERIDO CANDIDATO (A) NÃO APRESENTOU DECLARAÇÃO EXPEDIDA PELO GDF QUE COMPROVE RECEBIMENTO DE BENEFÍCIO DE PROGRAMA SOCIAL DE COMPLEMENTAÇÃO OU SUPLEMENTAÇÃO DE RENDA DO GDF (PRATO CHEIO E DF SOCIAL ) CLEONICE PEREIRA CORREIA 002***.***-** 7 INDEFERIDO CANDIDATO (A) NÃO APRESENTOU DECLARAÇÃO EXPEDIDA PELO GDF QUE COMPROVE RECEBIMENTO DE BENEFÍCIO DE PROGRAMA SOCIAL DE COMPLEMENTAÇÃO OU SUPLEMENTAÇÃO DE RENDA DO GDF (PRATO CHEIO E DF SOCIAL ) LAYANE PEREIRA DE MELO 042***.***-** 1 DEFERIDO LAYANE PEREIRA DE MELO 042***.***-** - INDEFERIDO CANDIDATO (A) NÃO APRESENTOU FORMULÁRIO PARA PEDIDO DE ISENÇÃO COM O SEGUNDO NÚMERO DEUSILENE PEREIRA DO AMARA 063***.***-** 1 DEFERIDO KELINE DANTAS DE SANTANA 701***.***-** 1 INDEFERIDO CANDIDATO (A) NÃO APRESENTOU DOCUMENTAÇÃO EXIGIDA RG EDILEIA DE SOUZA SOARES 895***.***-** 4 INDEFERIDO CANDIDATO (A) NÃO APRESENTOU DECLARAÇÃO EXPEDIDA PELO GDF QUE COMPROVE RECEBIMENTO DE BENEFÍCIO DE PROGRAMA SOCIAL DE COMPLEMENTAÇÃO OU SUPLEMENTAÇÃO DE RENDA DO GDF (PRATO CHEIO E DF SOCIAL ) MILENA SATO AVAGÃO 063***.***-** - INDEFERIDO CANDIDATO (A) NÃO APRESENTOU DOCUMENTAÇÃO EXIGIDA EM PDF SUSSANA CIRILO DE SOUZA 034***.***-** 6 INDEFERIDO CANDIDATO (A) NÃO APRESENTOU DECLARAÇÃO EXPEDIDA PELO GDF QUE COMPROVE RECEBIMENTO DE BENEFÍCIO DE PROGRAMA SOCIAL DE COMPLEMENTAÇÃO OU SUPLEMENTAÇÃO DE RENDA DO GDF (PRATO CHEIO E DF SOCIAL ) ANGELA RAMOS DE OLIVEIRA 028***.***-** 2 DEFERIDO ANGELA RAMOS DE OLIVEIRA 028***.***-** 1 DEFERIDO LUDMILA GOMES 036***.***-** 6 INDEFERIDO CANDIDATO (A) NÃO APRESENTOU FORMULÁRIO PARA PEDIDO DE ISENÇÃO COM A OPÇÃO ESCOLHIDA LUANA SERENO NUNES 705***.***-** 8 INDEFERIDO CANDIDATO (A) NÃO APRESENTOU DECLARAÇÃO EXPEDIDA PELO GDF QUE COMPROVE RECEBIMENTO DE BENEFÍCIO DE PROGRAMA SOCIAL DE COMPLEMENTAÇÃO OU SUPLEMENTAÇÃO DE RENDA DO GDF (PRATO CHEIO E DF SOCIAL ) WALDEMIR QUINTINO DE OLIVEIRA 001***.***-** 1 DEFERIDO CAIO CARVALHO TENORIO SILVA 060***.***-** 1 DEFERIDO CAIO CARVALHO TENORIO SILVA 060***.***-** 2 DEFERIDO
  • 135.
    VANESSA MENDES LOPES072***.***-** 2 INDEFERIDO CANDIDATO (A) NÃO APRESENTOU DOCUMENTAÇÃO EXIGIDA EM PDF WALDEMIR QUINTINO DE OLIVEIRA 001***.***-** 2 DEFERIDO ALLIFFI RAY SOARES DE MOURA 114***.***-** 1 INDEFERIDO LUDMILA GOMES 036***.***-** 1 INDEFERIDO CANDIDATO (A) NÃO APRESENTOU FORMULÁRIO PARA PEDIDO DE ISENÇÃO COM A OPÇÃO ESCOLHIDA SARHA DE SANTANA SILVA 035***.***-** 8 INDEFERIDO CANDIDATO (A) NÃO APRESENTOU DOCUMENTAÇÃO DE LAUDO MÉDICO DE ACORDO COM A MARCAÇÃO ESCOLHIDA RICARDO HIGINO GOMES 008***.***-** 7 DEFERIDO LIDIANE FERREIRA DA COSTA GUIMARÃES 005***.***-** 1 DEFERIDO LAYS CRISTYNA GOMES DE OLIVEIRA 071***.***-** 1 DEFERIDO LAYS CRISTYNA GOMES DE OLIVEIRA 071***.***-** 2 DEFERIDO JORGE MIGUEL CARDOSO PONTES 084***.***-** 1 INDEFERIDO CANDIDATO (A) NÃO APRESENTOU DECLARAÇÃO EXPEDIDA PELO GDF QUE COMPROVE RECEBIMENTO DE BENEFÍCIO DE PROGRAMA SOCIAL DE COMPLEMENTAÇÃO OU SUPLEMENTAÇÃO DE RENDA DO GDF (PRATO CHEIO E DF SOCIAL ) ANGELA RAMOS DE OLIVEIRA 028***.***-** 1 INDEFERIDO CANDIDATO (A) NÃO APRESENTOU DECLARAÇÃO EXPEDIDA PELO GDF QUE COMPROVE RECEBIMENTO DE BENEFÍCIO DE PROGRAMA SOCIAL DE COMPLEMENTAÇÃO OU SUPLEMENTAÇÃO DE RENDA DO GDF (PRATO CHEIO E DF SOCIAL ) ANGELA RAMOS DE OLIVEIRA 028***.***-** 2 INDEFERIDO CANDIDATO (A) NÃO APRESENTOU DECLARAÇÃO EXPEDIDA PELO GDF QUE COMPROVE RECEBIMENTO DE BENEFÍCIO DE PROGRAMA SOCIAL DE COMPLEMENTAÇÃO OU SUPLEMENTAÇÃO DE RENDA DO GDF (PRATO CHEIO E DF SOCIAL ) MIRIAM FERNANDES SILVA 874***.***-** 2 INDEFERIDO CANDIDATO (A) NÃO APRESENTOU DOCUMENTAÇÃO DE LAUDO MÉDICO DE ACORDO COM A MARCAÇÃO ESCOLHIDA KANANDA KETLYN RODRIGUES DA ROCHA 053***.***-** 6 DEFERIDO ALLISON HENRIQUE DA SILVA 028***.***-** 1 DEFERIDO FERNANDO ARAUJO DO MONTE 006***.***-** 1 DEFERIDO FERNANDO ARAUJO DO MONTE 006***.***-** 8 DEFERIDO POLIANA BRITO FIDELIS 072***.***-** 8 INDEFERIDO CANDIDATO (A) NÃO APRESENTOU DECLARAÇÃO EXPEDIDA PELO GDF QUE COMPROVE RECEBIMENTO DE BENEFÍCIO DE PROGRAMA SOCIAL DE COMPLEMENTAÇÃO OU SUPLEMENTAÇÃO DE RENDA DO GDF (PRATO CHEIO E DF SOCIAL ) SANDRA DA SILVA MATIAS 695***.***-** - INDEFERIDO CANDIDATO (A) NÃO APRESENTOU COMPROVANTE DE PRESTAÇÃO DE SERVIÇOS À JUSTIÇA ELEITORAL POR, NO MÍNIMO, AS DUAS ELEIÇÕES E NÃO INFORMOU NO FORMULÁRIO O CARGO
  • 136.
    JOICE RODRIGUES DECARVALHO 060***.***-** 1 INDEFERIDO CANDIDATO (A) NÃO APRESENTOU DECLARAÇÃO EXPEDIDA PELO GDF QUE COMPROVE RECEBIMENTO DE BENEFÍCIO DE PROGRAMA SOCIAL DE COMPLEMENTAÇÃO OU SUPLEMENTAÇÃO DE RENDA DO GDF (PRATO CHEIO E DF SOCIAL ) RAQUEL DE SOUSA SILVA PEREIRA 720***.***-** 1 INDEFERIDO CANDIDATO (A) NÃO APRESENTOU DOCUMENTAÇÃO EXIGIDA EM PDF RUBIANA MARA MARTINS 984***.***-** - INDEFERIDO CANDIDATO (A) NÃO APRESENTOU DOCUMENTAÇÃO DE LAUDO MÉDICO DE ACORDO COM A MARCAÇÃO ESCOLHIDA ALYSSON HENRIQUE DA SILVA 028***.***-** 5 DEFERIDO ALESSANDRA DA SILVA TEIXEIRA 053***.***-** 1 INDEFERIDO CANDIDATO (A) NÃO APRESENTOU DECLARAÇÃO EXPEDIDA PELO GDF QUE COMPROVE RECEBIMENTO DE BENEFÍCIO DE PROGRAMA SOCIAL DE COMPLEMENTAÇÃO OU SUPLEMENTAÇÃO DE RENDA DO GDF (PRATO CHEIO E DF SOCIAL ) ALESSANDRA DA SILVA TEIXEIRA 053***.***-** 8 INDEFERIDO CANDIDATO (A) NÃO APRESENTOU DECLARAÇÃO EXPEDIDA PELO GDF QUE COMPROVE RECEBIMENTO DE BENEFÍCIO DE PROGRAMA SOCIAL DE COMPLEMENTAÇÃO OU SUPLEMENTAÇÃO DE RENDA DO GDF (PRATO CHEIO E DF SOCIAL ) MARIA ALICE DE SOUSA BEZERRA 285***.***-** 2 INDEFERIDO CANDIDATO (A) NÃO APRESENTOU DECLARAÇÃO EXPEDIDA PELO GDF QUE COMPROVE RECEBIMENTO DE BENEFÍCIO DE PROGRAMA SOCIAL DE COMPLEMENTAÇÃO OU SUPLEMENTAÇÃO DE RENDA DO GDF (PRATO CHEIO E DF SOCIAL ) ALAN JEFERSON RIBEIRO MELO 077***.***-** 8 INDEFERIDO CANDIDATO (A) NÃO APRESENTOU DOCUMENTAÇÃO DE LAUDO MÉDICO DE ACORDO COM A MARCAÇÃO ESCOLHIDA E DOCUMENTAÇÃO COMPLETA EM PDF ALAN JEFERSON RIBEIRO MELO 077***.***-** 1 INDEFERIDO CANDIDATO (A) NÃO APRESENTOU DOCUMENTAÇÃO DE LAUDO MÉDICO DE ACORDO COM A MARCAÇÃO ESCOLHIDA E DOCUMENTAÇÃO COMPLETA EM PDF EMILLY PEREIRA RODRIGUES 023***.***-** 6 INDEFERIDO CANDIDATO (A) NÃO APRESENTOU DECLARAÇÃO EXPEDIDA PELO GDF QUE COMPROVE RECEBIMENTO DE BENEFÍCIO DE PROGRAMA SOCIAL DE COMPLEMENTAÇÃO OU SUPLEMENTAÇÃO DE RENDA DO GDF (PRATO CHEIO E DF SOCIAL ) CARLA IZABELA DA COSTA BRANTE 701***.***-** - INDEFERIDO CANDIDATO (A) NÃO APRESENTOU FORMULÁRIO PARA PEDIDO DE ISENÇÃO COM A OPÇÃO ESCOLHIDA LAÍS MENDES FALCÃO 076***.***-** 1 INDEFERIDO CANDIDATO (A) NÃO APRESENTOU DECLARAÇÃO EXPEDIDA PELO GDF QUE COMPROVE RECEBIMENTO DE BENEFÍCIO DE PROGRAMA SOCIAL DE COMPLEMENTAÇÃO OU SUPLEMENTAÇÃO DE RENDA DO GDF (PRATO CHEIO E DF SOCIAL ) HAIDA KENIA DE JESUS LIMA 010***.***-** 6 DEFERIDO HAIDA KENIA DE JESUS LIMA 010***.***-** 1 DEFERIDO PAULA GEANE SILVA PEREIRA 959***.***-** 1 DEFERIDO
  • 137.
    LARISSA RODRIGUES DAROCHA 032***.***-** 1 DEFERIDO LARISSA RODRIGUES DA ROCHA 032***.***-** 4 DEFERIDO ISACC VIEIRA TELES 059***.***-** 1 INDEFERIDO CANDIDATO (A) NÃO APRESENTOU DECLARAÇÃO EXPEDIDA PELO GDF QUE COMPROVE RECEBIMENTO DE BENEFÍCIO DE PROGRAMA SOCIAL DE COMPLEMENTAÇÃO OU SUPLEMENTAÇÃO DE RENDA DO GDF (PRATO CHEIO E DF SOCIAL ) JEANE ALVES DE SOUSA 018***.***-** 1 INDEFERIDO CANDIDATO (A) NÃO APRESENTOU DOCUMENTAÇÃO PARA PEDIDO DE ISENÇÃO DE ACORDO COM A OPÇÃO ESCOLHIDA IZAEL DAMAZIO DE SOUZA 044***.***-** 1 INDEFERIDO CANDIDATO (A) NÃO APRESENTOU DECLARAÇÃO EXPEDIDA PELO GDF QUE COMPROVE RECEBIMENTO DE BENEFÍCIO DE PROGRAMA SOCIAL DE COMPLEMENTAÇÃO OU SUPLEMENTAÇÃO DE RENDA DO GDF (PRATO CHEIO E DF SOCIAL ) IZAEL DAMAZIO DE SOUZA 044***.***-** - INDEFERIDO CANDIDATO (A) NÃO APRESENTOU FORMULÁRIO PARA PEDIDO DE ISENÇÃO COM O NÚMERO DO SEGUNDO CARGO GALDENIA ALVES DE SOUSA 816***.***-** 8 INDEFERIDO CANDIDATO (A) NÃO APRESENTOU DOCUMENTAÇÃO PARA PEDIDO DE ISENÇÃO DE ACORDO COM A OPÇÃO ESCOLHIDA LUCAS NUNES DA SILVA 057***.***-** 1 DEFERIDO LUCAS NUNES DA SILVA 057***.***-** 8 DEFERIDO DANIELA RAMOS DA SILVA 018***.***-** 1 DEFERIDO JANE DA SILVA LOBO 026***.***-** 7 DEFERIDO CRISTIANE BORGES ANDRADE 571***.***-** 1 DEFERIDO CRISTIANE BORGES ANDRADE 571***.***-** 2 DEFERIDO ANDRESSA FRANCO DE SOUSA BENTO 020***.***-** 1 DEFERIDO ANDRESSA FRANCO DE SOUSA BENTO 020***.***-** 8 DEFERIDO CLEIDE MARIA DE VASCONCELOS 494***.***-** 8 INDEFERIDO CANDIDATO (A) NÃO APRESENTOU DOCUMENTAÇÃO DE LAUDO MÉDICO DE ACORDO COM A MARCAÇÃO ESCOLHIDA CÉLIA DOS SANTOS BORGES 802***.***-** 1 INDEFERIDO CANDIDATO (A) NÃO APRESENTOU DECLARAÇÃO EXPEDIDA PELO GDF QUE COMPROVE RECEBIMENTO DE BENEFÍCIO DE PROGRAMA SOCIAL DE COMPLEMENTAÇÃO OU SUPLEMENTAÇÃO DE RENDA DO GDF (PRATO CHEIO E DF SOCIAL ) ADRIANA SAMPAIO COSTA FREITAS 937***.***-** 6 INDEFERIDO CANDIDATO (A) NÃO APRESENTOU DECLARAÇÃO EXPEDIDA PELO GDF QUE COMPROVE RECEBIMENTO DE BENEFÍCIO DE PROGRAMA SOCIAL DE COMPLEMENTAÇÃO OU SUPLEMENTAÇÃO DE RENDA DO GDF (PRATO CHEIO E DF SOCIAL ) JANETE DA SILVA LOPES 010***.***-** 3 DEFERIDO KATTELE ALVES DA SILVA 023***.***-** 7 INDEFERIDO CANDIDATO (A) NÃO APRESENTOU DECLARAÇÃO EXPEDIDA PELO GDF QUE COMPROVE RECEBIMENTO DE BENEFÍCIO DE PROGRAMA SOCIAL DE COMPLEMENTAÇÃO OU SUPLEMENTAÇÃO DE RENDA DO GDF (PRATO CHEIO E DF SOCIAL )
  • 138.
    INGRID DE SOUSABEZERRA 056***.***-** 1 DEFERIDO JOAO MAROS DA SILVA VIEIRA 076***.***-** 6 INDEFERIDO CANDIDATO (A) NÃO APRESENTOU DECLARAÇÃO EXPEDIDA PELO GDF QUE COMPROVE RECEBIMENTO DE BENEFÍCIO DE PROGRAMA SOCIAL DE COMPLEMENTAÇÃO OU SUPLEMENTAÇÃO DE RENDA DO GDF (PRATO CHEIO E DF SOCIAL ) LUCIANA VIEIRA DA COSTA 891***.***-** 2 INDEFERIDO CANDIDATO (A) NÃO APRESENTOU DECLARAÇÃO EXPEDIDA PELO GDF QUE COMPROVE RECEBIMENTO DE BENEFÍCIO DE PROGRAMA SOCIAL DE COMPLEMENTAÇÃO OU SUPLEMENTAÇÃO DE RENDA DO GDF (PRATO CHEIO E DF SOCIAL ) EMILTON DE QUEVEDO 033***.***-** 7 DEFERIDO ANA PAULA ALVES DA CRUZ 029***.***-** 7 INDEFERIDO CANDIDATO (A) NÃO APRESENTOU DOCUMENTAÇÃO DE LAUDO MÉDICO DE ACORDO COM A MARCAÇÃO ESCOLHIDA MARCELA DIAS ANDRÉ DUDA 073***.***-** 8 INDEFERIDO CANDIDATO (A) NÃO APRESENTOU DECLARAÇÃO EXPEDIDA PELO GDF QUE COMPROVE RECEBIMENTO DE BENEFÍCIO DE PROGRAMA SOCIAL DE COMPLEMENTAÇÃO OU SUPLEMENTAÇÃO DE RENDA DO GDF (PRATO CHEIO E DF SOCIAL ) ELEOJANE DOS SANTOS SOUZA 041***.***-** - INDEFERIDO CANDIDATO (A) NÃO APRESENTOU DOCUMENTAÇÃO EXIGIDA LIVIA LUCENA DE ALMEIDA 058***.***-** 2 INDEFERIDO CANDIDATO (A) NÃO APRESENTOU DOCUMENTAÇÃO EXIGIDA EM PDF MARIA REIS SOARES DE ALMEIDA 473***.***-** 7 DEFERIDO MARIA REIS SOARES DE ALMEIDA 473***.***-** 1 DEFERIDO VERIDIANA SILVA RAMALHO MENEZES 038***.***-** 1 DEFERIDO VERIDIANA SILVA RAMALHO MENEZES 038***.***-** 4 DEFERIDO BRUNA LETÍCIA SANTANA DE MOURA 040***.***-** 8 INDEFERIDO CANDIDATO (A) NÃO APRESENTOU DECLARAÇÃO EXPEDIDA PELO GDF QUE COMPROVE RECEBIMENTO DE BENEFÍCIO DE PROGRAMA SOCIAL DE COMPLEMENTAÇÃO OU SUPLEMENTAÇÃO DE RENDA DO GDF (PRATO CHEIO E DF SOCIAL ) STEPHANIE COSTA SOUZA 053***.***-** 1 INDEFERIDO CANDIDATO (A) NÃO APRESENTOU DECLARAÇÃO EXPEDIDA PELO GDF QUE COMPROVE RECEBIMENTO DE BENEFÍCIO DE PROGRAMA SOCIAL DE COMPLEMENTAÇÃO OU SUPLEMENTAÇÃO DE RENDA DO GDF (PRATO CHEIO E DF SOCIAL ) VANESSA LUCAS LIMA 172***.***-** 1 DEFERIDO RENATA CASSIANO DA SILVA 928***.***-** 7 DEFERIDO CARLOS ROGERIO RICARDO SOUZA 000***.***-** 1 INDEFERIDO CANDIDATO (A) NÃO APRESENTOU DECLARAÇÃO EXPEDIDA PELO GDF QUE COMPROVE RECEBIMENTO DE BENEFÍCIO DE PROGRAMA SOCIAL DE COMPLEMENTAÇÃO OU SUPLEMENTAÇÃO DE RENDA DO GDF (PRATO CHEIO E DF SOCIAL )
  • 139.
    ETELVINA SOARES DEOLIVEIRA 669***.***-** 3 INDEFERIDO CANDIDATO (A) NÃO APRESENTOU DECLARAÇÃO EXPEDIDA PELO GDF QUE COMPROVE RECEBIMENTO DE BENEFÍCIO DE PROGRAMA SOCIAL DE COMPLEMENTAÇÃO OU SUPLEMENTAÇÃO DE RENDA DO GDF (PRATO CHEIO E DF SOCIAL ) ANDRESSA VIRGÍNIA ZAGO EVANGELISTA 048***.***-** 5 DEFERIDO BRENDA DE JESUS SILVA 038***.***-** 1 DEFERIDO RAMON MENDES FALCAO -***.***-** - INDEFERIDO CANDIDATO (A) NÃO APRESENTOU DOCUMENTAÇÃO EXIGIDA DOCUMENTAÇÃO EM ENEXO EM BRANCO MIECZYSLAW JUNIOR DA CUNHA DUDA 896***.***-** 8 INDEFERIDO CANDIDATO (A) NÃO APRESENTOU DECLARAÇÃO EXPEDIDA PELO GDF QUE COMPROVE RECEBIMENTO DE BENEFÍCIO DE PROGRAMA SOCIAL DE COMPLEMENTAÇÃO OU SUPLEMENTAÇÃO DE RENDA DO GDF (PRATO CHEIO E DF SOCIAL ) KAUANE RIBEIRO ROCHA DE FARIAS 076***.***-** 6 INDEFERIDO CANDIDATO (A) NÃO APRESENTOU DECLARAÇÃO EXPEDIDA PELO GDF QUE COMPROVE RECEBIMENTO DE BENEFÍCIO DE PROGRAMA SOCIAL DE COMPLEMENTAÇÃO OU SUPLEMENTAÇÃO DE RENDA DO GDF (PRATO CHEIO E DF SOCIAL ) LIDINALVA DA SILVA RIBEIRO 715***.***-** 1 INDEFERIDO CANDIDATO (A) NÃO APRESENTOU DOCUMENTAÇÃO DE LAUDO MÉDICO DE ACORDO COM A MARCAÇÃO ESCOLHIDA MARIA AUCIONETE DA SILVA VIEIRA 725***.***-** 1 INDEFERIDO CANDIDATO (A) NÃO APRESENTOU DECLARAÇÃO EXPEDIDA PELO GDF QUE COMPROVE RECEBIMENTO DE BENEFÍCIO DE PROGRAMA SOCIAL DE COMPLEMENTAÇÃO OU SUPLEMENTAÇÃO DE RENDA DO GDF (PRATO CHEIO E DF SOCIAL ) DAMARIS GONSALVES DOS SANTOS COSTA 063***.***-** 5 INDEFERIDO CANDIDATO (A) NÃO APRESENTOU DOCUMENTAÇÃO DE LAUDO MÉDICO DE ACORDO COM A MARCAÇÃO ESCOLHIDA LARA BEATRIZ SILVA DE LIMA 068***.***-** 5 INDEFERIDO CANDIDATO (A) NÃO APRESENTOU DOCUMENTAÇÃO EXIGIDA RG ANANDA CAROLINA DE SOUZA LINDOSO 041***.***-** 5 INDEFERIDO CANDIDATO (A) NÃO APRESENTOU DECLARAÇÃO EXPEDIDA PELO GDF QUE COMPROVE RECEBIMENTO DE BENEFÍCIO DE PROGRAMA SOCIAL DE COMPLEMENTAÇÃO OU SUPLEMENTAÇÃO DE RENDA DO GDF (PRATO CHEIO E DF SOCIAL ) MARIA DIAS ANDRÉ DUDA 073***.***-** 1 INDEFERIDO CANDIDATO (A) NÃO APRESENTOU DECLARAÇÃO EXPEDIDA PELO GDF QUE COMPROVE RECEBIMENTO DE BENEFÍCIO DE PROGRAMA SOCIAL DE COMPLEMENTAÇÃO OU SUPLEMENTAÇÃO DE RENDA DO GDF (PRATO CHEIO E DF SOCIAL ) MARIA DIAS ANDRÉ DUDA 073***.***-** 8 INDEFERIDO CANDIDATO (A) NÃO APRESENTOU DECLARAÇÃO EXPEDIDA PELO GDF QUE COMPROVE RECEBIMENTO DE BENEFÍCIO DE PROGRAMA SOCIAL DE COMPLEMENTAÇÃO OU SUPLEMENTAÇÃO DE RENDA DO GDF (PRATO CHEIO E DF SOCIAL ) CAMILLA CAMARGO COUTINHO DE PAULO 019***.***-** 1 DEFERIDO VANESSA LUCAS LIMA 172***.***-** 8 DEFERIDO
  • 140.
    MATHEUS MODESTO DEMOURA 041***.***-** 1 DEFERIDO JANIELE DOS SANTOS COSTA 612***.***-** 2 INDEFERIDO CANDIDATO (A) NÃO APRESENTOU DOCUMENTAÇÃO DE LAUDO MÉDICO DE ACORDO COM A MARCAÇÃO ESCOLHIDA ROZANGELA LUCENA DE JESUS 703***.***-** 1 INDEFERIDO CANDIDATO (A) NÃO APRESENTOU DOCUMENTAÇÃO EXIGIDA EM PDF ROZANGELA LUCENA DE JESUS 703***.***-** 2 INDEFERIDO CANDIDATO (A) NÃO APRESENTOU DOCUMENTAÇÃO EXIGIDA EM PDF ANANDA CAROLINA DE SOUZA LINDOSO 041***.***-** 5 INDEFERIDO CANDIDATO (A) NÃO APRESENTOU DECLARAÇÃO EXPEDIDA PELO GDF QUE COMPROVE RECEBIMENTO DE BENEFÍCIO DE PROGRAMA SOCIAL DE COMPLEMENTAÇÃO OU SUPLEMENTAÇÃO DE RENDA DO GDF (PRATO CHEIO E DF SOCIAL ) THIAGO PEREIRA DIAS 025***.***-** 8 INDEFERIDO CANDIDATO (A) NÃO APRESENTOU DECLARAÇÃO EXPEDIDA PELO GDF QUE COMPROVE RECEBIMENTO DE BENEFÍCIO DE PROGRAMA SOCIAL DE COMPLEMENTAÇÃO OU SUPLEMENTAÇÃO DE RENDA DO GDF (PRATO CHEIO E DF SOCIAL ) RODRIGO DA SILVA VIEIRA 074***.***-** 1 INDEFERIDO CANDIDATO (A) NÃO APRESENTOU DECLARAÇÃO EXPEDIDA PELO GDF QUE COMPROVE RECEBIMENTO DE BENEFÍCIO DE PROGRAMA SOCIAL DE COMPLEMENTAÇÃO OU SUPLEMENTAÇÃO DE RENDA DO GDF (PRATO CHEIO E DF SOCIAL ) BRENER MARQUES GONCALVES BARBOSA 025***.***-** 6 DEFERIDO BRENER MARQUES GONCALVES BARBOSA 025***.***-** 1 DEFERIDO ROSIMARY CARDOSO DOS SANTOS 917***.***-** 7 INDEFERIDO CANDIDATO (A) NÃO APRESENTOU DECLARAÇÃO EXPEDIDA PELO GDF QUE COMPROVE RECEBIMENTO DE BENEFÍCIO DE PROGRAMA SOCIAL DE COMPLEMENTAÇÃO OU SUPLEMENTAÇÃO DE RENDA DO GDF (PRATO CHEIO E DF SOCIAL ) ADRIANA CHAVES DE PADUA ALVES 898***.***-** 6 INDEFERIDO CANDIDATO (A) NÃO APRESENTOU DOCUMENTAÇÃO DE LAUDO MÉDICO DE ACORDO COM A MARCAÇÃO ESCOLHIDA ROSIMEIRE MARIA DA CONCEICAO 855***.***-** 1 INDEFERIDO CANDIDATO (A) NÃO APRESENTOU DOCUMENTAÇÃO EXPEDIDO PELA UNIDADE COLETORA (CARTEIRINHA DO DOADOR) DE ACORDO COM A OPÇÃO ESCOLHIDA ROSIMEIRE MARIA DA CONCEICAO 855***.***-** 3 INDEFERIDO CANDIDATO (A) NÃO APRESENTOU DOCUMENTAÇÃO EXPEDIDO PELA UNIDADE COLETORA (CARTEIRINHA DO DOADOR) DE ACORDO COM A OPÇÃO ESCOLHIDA ALESSANDRA ALVES DE REZENDE 036***.***-** 8 INDEFERIDO CANDIDATO (A) NÃO APRESENTOU DOCUMENTAÇÃO EXIGIDA RG ALESSANDRA ALVES DE REZENDE 036***.***-** 1 INDEFERIDO CANDIDATO (A) NÃO APRESENTOU DOCUMENTAÇÃO EXIGIDA RG THAYNÁ DE SOUZA DANTAS 035***.***-** 5 INDEFERIDO CANDIDATO (A) NÃO APRESENTOU DECLARAÇÃO EXPEDIDA PELO GDF QUE COMPROVE RECEBIMENTO DE BENEFÍCIO DE PROGRAMA SOCIAL DE COMPLEMENTAÇÃO OU SUPLEMENTAÇÃO DE RENDA DO GDF (PRATO CHEIO E DF SOCIAL )
  • 141.
    THAYNÁ DE SOUZADANTAS 035***.***-** 1 INDEFERIDO CANDIDATO (A) NÃO APRESENTOU DECLARAÇÃO EXPEDIDA PELO GDF QUE COMPROVE RECEBIMENTO DE BENEFÍCIO DE PROGRAMA SOCIAL DE COMPLEMENTAÇÃO OU SUPLEMENTAÇÃO DE RENDA DO GDF (PRATO CHEIO E DF SOCIAL ) LILIANE SOUZA OLIVEIRA 004***.***-** 1 INDEFERIDO CANDIDATO (A) NÃO APRESENTOU DECLARAÇÃO EXPEDIDA PELO GDF QUE COMPROVE RECEBIMENTO DE BENEFÍCIO DE PROGRAMA SOCIAL DE COMPLEMENTAÇÃO OU SUPLEMENTAÇÃO DE RENDA DO GDF (PRATO CHEIO E DF SOCIAL ) LILIANE SOUZA OLIVEIRA 004***.***-** 5 INDEFERIDO CANDIDATO (A) NÃO APRESENTOU DECLARAÇÃO EXPEDIDA PELO GDF QUE COMPROVE RECEBIMENTO DE BENEFÍCIO DE PROGRAMA SOCIAL DE COMPLEMENTAÇÃO OU SUPLEMENTAÇÃO DE RENDA DO GDF (PRATO CHEIO E DF SOCIAL ) GUTEMBERG RODRIGUES DE OLIVEIRA 000***.***-** - INDEFERIDO CANDIDATO (A) NÃO APRESENTOU FORMULÁRIO PARA PEDIDO DE ISENÇÃO COM O NÚMERO DO CARGO MARISA GONÇALVES DA CUNHA 286***.***-** 5 INDEFERIDO CANDIDATO (A) NÃO APRESENTOU DOCUMENTAÇÃO DE LAUDO MÉDICO DE ACORDO COM A MARCAÇÃO ESCOLHIDA ROSECLEY SANTANA DA SILVA 926***.***-** 1 DEFERIDO ROSECLEY SANTANA DA SILVA 926***.***-** 7 DEFERIDO LUANE DE OLIVEIRA CARDOSO 074***.***-** 5 INDEFERIDO CANDIDATO (A) NÃO APRESENTOU DECLARAÇÃO EXPEDIDA PELO GDF QUE COMPROVE RECEBIMENTO DE BENEFÍCIO DE PROGRAMA SOCIAL DE COMPLEMENTAÇÃO OU SUPLEMENTAÇÃO DE RENDA DO GDF (PRATO CHEIO E DF SOCIAL ) LUANE DE OLIVEIRA CARDOSO 074***.***-** 1 INDEFERIDO CANDIDATO (A) NÃO APRESENTOU DECLARAÇÃO EXPEDIDA PELO GDF QUE COMPROVE RECEBIMENTO DE BENEFÍCIO DE PROGRAMA SOCIAL DE COMPLEMENTAÇÃO OU SUPLEMENTAÇÃO DE RENDA DO GDF (PRATO CHEIO E DF SOCIAL ) LETICIA DE OLIVEIRA FRANCA TELES 030***.***-** 1 DEFERIDO GEOVANE RODRIGUES DA SILVA 572***.***-** 1 INDEFERIDO CANDIDATO (A) NÃO APRESENTOU COMPROVANTE DO CADASTO ÚNICO GEOVANE RODRIGUES DA SILVA 572***.***-** 2 INDEFERIDO CANDIDATO (A) NÃO APRESENTOU COMPROVANTE DO CADASTO ÚNICO MÁRCIA ALVES DA SILVA DIAS 034***.***-** 1 INDEFERIDO CANDIDATO (A) NÃO APRESENTOU DECLARAÇÃO EXPEDIDA PELO GDF QUE COMPROVE RECEBIMENTO DE BENEFÍCIO DE PROGRAMA SOCIAL DE COMPLEMENTAÇÃO OU SUPLEMENTAÇÃO DE RENDA DO GDF (PRATO CHEIO E DF SOCIAL ) JEDIAEL LOPES LIMA 058***.***-** 5 INDEFERIDO CANDIDATO (A) NÃO APRESENTOU DOCUMENTAÇÃO EXIGIDA DE ACORDO COM A OPÇÃO ESCOLHIDA NO FORMULARIO ORLEIDE MAGALHAES PINHEIRO 516***.***-** - INDEFERIDO CANDIDATO (A) NÃO APRESENTOU FORMULÁRIO PARA PEDIDO DE ISENÇÃO COM O NÚMERO DO CARGO E DEVIDAMENTE ASSINADO DALISON MENDES DA COSTA 707***.***-** 1 INDEFERIDO CANDIDATO (A) NÃO APRESENTOU DOCUMENTAÇÃO DE LAUDO MÉDICO DE ACORDO COM A MARCAÇÃO ESCOLHIDA
  • 142.
    KAMILLE DE VASCONCELOSSILVA 072***.***-** 8 INDEFERIDO CANDIDATO (A) NÃO APRESENTOU DOCUMENTAÇÃO DE LAUDO MÉDICO DE ACORDO COM A MARCAÇÃO ESCOLHIDA MARCOS VINICIUS DA SILVA LINDOSO 605***.***-** 5 INDEFERIDO CANDIDATO (A) NÃO APRESENTOU DECLARAÇÃO EXPEDIDA PELO GDF QUE COMPROVE RECEBIMENTO DE BENEFÍCIO DE PROGRAMA SOCIAL DE COMPLEMENTAÇÃO OU SUPLEMENTAÇÃO DE RENDA DO GDF (PRATO CHEIO E DF SOCIAL ) ADRIA MOTA RODRIGUES 031***.***-** 5 INDEFERIDO CANDIDATO (A) NÃO APRESENTOU DOCUMENTAÇÃO EXIGIDA DE ACORDO COM A OPÇÃO ESCOLHIDA NO FORMULARIO ADRIA MOTA RODRIGUES 031***.***-** 1 INDEFERIDO CANDIDATO (A) NÃO APRESENTOU DOCUMENTAÇÃO EXIGIDA DE ACORDO COM A OPÇÃO ESCOLHIDA NO FORMULARIO CLEIDE MARIA DE VASCONCELOS 494***.***-** 8 INDEFERIDO CANDIDATO (A) NÃO APRESENTOU DOCUMENTAÇÃO DE LAUDO MÉDICO DE ACORDO COM A MARCAÇÃO ESCOLHIDA FABIANA COSTA CHAVES 024***.***-** 1 INDEFERIDO CANDIDATO (A) NÃO APRESENTOU DECLARAÇÃO EXPEDIDA PELO GDF QUE COMPROVE RECEBIMENTO DE BENEFÍCIO DE PROGRAMA SOCIAL DE COMPLEMENTAÇÃO OU SUPLEMENTAÇÃO DE RENDA DO GDF (PRATO CHEIO E DF SOCIAL ) RONYWERISSON VERAS DANTAS 023***.***-** 1 DEFERIDO ALDECY BEZERRA DA SILVA 037***.***-** 2 INDEFERIDO CANDIDATO (A) NÃO APRESENTOU DOCUMENTAÇÃO DE LAUDO MÉDICO DE ACORDO COM A MARCAÇÃO ESCOLHIDA SILVA FERREIRA ROSA 564***.***-** 4 INDEFERIDO CANDIDATO (A) NÃO APRESENTOU FORMULÁRIO ATUALIZADO PARA PEDIDO DE ISENÇÃO DIEGO CESAR SILVA DE ALMEIDA 023***.***-** 6 DEFERIDO WIZELANI SANTANA COELHO 889***.***-** 2 INDEFERIDO CANDIDATO (A) NÃO APRESENTOU DECLARAÇÃO EXPEDIDA PELO GDF QUE COMPROVE RECEBIMENTO DE BENEFÍCIO DE PROGRAMA SOCIAL DE COMPLEMENTAÇÃO OU SUPLEMENTAÇÃO DE RENDA DO GDF (PRATO CHEIO E DF SOCIAL ) ROZANGELA DA SILVA MOREIRA 027***.***-** 1 INDEFERIDO CANDIDATO (A) NÃO APRESENTOU DOCUMENTAÇÃO DE LAUDO MÉDICO DE ACORDO COM A MARCAÇÃO ESCOLHIDA DIANA MACEDO PEREIRA 023***.***-** 6 INDEFERIDO CANDIDATO (A) NÃO APRESENTOU DECLARAÇÃO EXPEDIDA PELO GDF QUE COMPROVE RECEBIMENTO DE BENEFÍCIO DE PROGRAMA SOCIAL DE COMPLEMENTAÇÃO OU SUPLEMENTAÇÃO DE RENDA DO GDF (PRATO CHEIO E DF SOCIAL ) JOALECILIA DE OLIVEIRA AFONSO 563***.***-** 1 DEFERIDO VIVIANE DE FRANÇA LIMA 005***.***-** 2 DEFERIDO VIVIANE DE FRANÇA LIMA 005***.***-** 1 DEFERIDO MARIA ASSUNCAO DE ARAUJO 000***.***-** 5 INDEFERIDO CANDIDATO (A) NÃO APRESENTOU DOCUMENTAÇÃO DE LAUDO MÉDICO DE ACORDO COM A MARCAÇÃO ESCOLHIDA KEYLA ALBERTINA GONÇALVES FERREIRA 715***.***-** 7 INDEFERIDO CANDIDATO (A) NÃO APRESENTOU DOCUMENTAÇÃO DE LAUDO MÉDICO DE ACORDO COM A MARCAÇÃO ESCOLHIDA
  • 143.
    FRANCINETE PEREIRA DACUNHA 007***.***-** 1 INDEFERIDO CANDIDATO (A) NÃO APRESENTOU DOCUMENTAÇÃO EXIGIDA COMPROVANTE DE CADASTRO ÚNICO GISLENE MENDES DO NASCIMENTO 039***.***-** 3 INDEFERIDO CANDIDATO (A) NÃO APRESENTOU DECLARAÇÃO EXPEDIDA PELO GDF QUE COMPROVE RECEBIMENTO DE BENEFÍCIO DE PROGRAMA SOCIAL DE COMPLEMENTAÇÃO OU SUPLEMENTAÇÃO DE RENDA DO GDF (PRATO CHEIO E DF SOCIAL ) JULIA DA CONCEIÇÃO CARLOS 065***.***-** 6 INDEFERIDO CANDIDATO (A) NÃO APRESENTOU DECLARAÇÃO EXPEDIDA PELO GDF QUE COMPROVE RECEBIMENTO DE BENEFÍCIO DE PROGRAMA SOCIAL DE COMPLEMENTAÇÃO OU SUPLEMENTAÇÃO DE RENDA DO GDF (PRATO CHEIO E DF SOCIAL ) JULIA DA CONCEIÇÃO CARLOS 065***.***-** 1 INDEFERIDO CANDIDATO (A) NÃO APRESENTOU DECLARAÇÃO EXPEDIDA PELO GDF QUE COMPROVE RECEBIMENTO DE BENEFÍCIO DE PROGRAMA SOCIAL DE COMPLEMENTAÇÃO OU SUPLEMENTAÇÃO DE RENDA DO GDF (PRATO CHEIO E DF SOCIAL ) ANDRÉ LUIS BORGES SCAVARDONI 006***.***-** 8 DEFERIDO ANDRÉ LUIS BORGES SCAVARDONI 006***.***-** 1 DEFERIDO JEFFERSON BEZERRA CANDIDO 033***.***-** 6 INDEFERIDO CANDIDATO (A) NÃO APRESENTOU DOCUMENTAÇÃO DE LAUDO MÉDICO DE ACORDO COM A MARCAÇÃO ESCOLHIDA ADRIELLY LORRANE AZEVEDO MELO 062***.***-** - INDEFERIDO CANDIDATO (A) NÃO APRESENTOU DOCUMENTAÇÃO DE LAUDO MÉDICO DE ACORDO COM A MARCAÇÃO ESCOLHIDA RAFAELA DOS SANTOS ALMEIDA 049***.***-** 2 INDEFERIDO CANDIDATO (A) NÃO APRESENTOU DECLARAÇÃO EXPEDIDA PELO GDF QUE COMPROVE RECEBIMENTO DE BENEFÍCIO DE PROGRAMA SOCIAL DE COMPLEMENTAÇÃO OU SUPLEMENTAÇÃO DE RENDA DO GDF (PRATO CHEIO E DF SOCIAL ) MARIA LUIZA MOURA PIRES GONCALVES 078***.***-** 7 INDEFERIDO CANDIDATO (A) NÃO APRESENTOU DECLARAÇÃO EXPEDIDA PELO GDF QUE COMPROVE RECEBIMENTO DE BENEFÍCIO DE PROGRAMA SOCIAL DE COMPLEMENTAÇÃO OU SUPLEMENTAÇÃO DE RENDA DO GDF (PRATO CHEIO E DF SOCIAL ) BRUNO HENRIQUE BARBOZA PAZ 051***.***-** - INDEFERIDO CANDIDATO (A) NÃO APRESENTOU DECLARAÇÃO EXPEDIDA PELO GDF QUE COMPROVE RECEBIMENTO DE BENEFÍCIO DE PROGRAMA SOCIAL DE COMPLEMENTAÇÃO OU SUPLEMENTAÇÃO DE RENDA DO GDF (PRATO CHEIO E DF SOCIAL ) KARINY MARIANI SOUSA 048***.***-** 1 INDEFERIDO CANDIDATO (A) NÃO APRESENTOU DECLARAÇÃO EXPEDIDA PELO GDF QUE COMPROVE RECEBIMENTO DE BENEFÍCIO DE PROGRAMA SOCIAL DE COMPLEMENTAÇÃO OU SUPLEMENTAÇÃO DE RENDA DO GDF (PRATO CHEIO E DF SOCIAL )
  • 144.
    KARINY MARIANI SOUSA048***.***-** 2 INDEFERIDO CANDIDATO (A) NÃO APRESENTOU DECLARAÇÃO EXPEDIDA PELO GDF QUE COMPROVE RECEBIMENTO DE BENEFÍCIO DE PROGRAMA SOCIAL DE COMPLEMENTAÇÃO OU SUPLEMENTAÇÃO DE RENDA DO GDF (PRATO CHEIO E DF SOCIAL ) MARIA PAULA DE OLIVEIRA SANTANA 063***.***-** 1 INDEFERIDO CANDIDATO (A) NÃO APRESENTOU DECLARAÇÃO EXPEDIDA PELO GDF QUE COMPROVE RECEBIMENTO DE BENEFÍCIO DE PROGRAMA SOCIAL DE COMPLEMENTAÇÃO OU SUPLEMENTAÇÃO DE RENDA DO GDF (PRATO CHEIO E DF SOCIAL ) MARCIA GARDENIA SILVA DE MORAIS RIBEIRO 921***.***-** 7 INDEFERIDO CANDIDATO (A) NÃO APRESENTOU DOCUMENTAÇÃO DE LAUDO MÉDICO DE ACORDO COM A MARCAÇÃO ESCOLHIDA ANNE HELLEN DE SOUZA SOARES 734***.***-** 7 INDEFERIDO CANDIDATO (A) NÃO APRESENTOU DECLARAÇÃO EXPEDIDA PELO GDF QUE COMPROVE RECEBIMENTO DE BENEFÍCIO DE PROGRAMA SOCIAL DE COMPLEMENTAÇÃO OU SUPLEMENTAÇÃO DE RENDA DO GDF (PRATO CHEIO E DF SOCIAL ) ANNE HELLEN DE SOUZA SOARES 734***.***-** 1 INDEFERIDO CANDIDATO (A) NÃO APRESENTOU DECLARAÇÃO EXPEDIDA PELO GDF QUE COMPROVE RECEBIMENTO DE BENEFÍCIO DE PROGRAMA SOCIAL DE COMPLEMENTAÇÃO OU SUPLEMENTAÇÃO DE RENDA DO GDF (PRATO CHEIO E DF SOCIAL ) ADRIEL RENATA AMORIM DA PAIXAO 052***.***-** 1 DEFERIDO ADRIELLY DA COSTA BONIFACIO 056***.***-** 2 INDEFERIDO CANDIDATO (A) NÃO APRESENTOU DECLARAÇÃO EXPEDIDA PELO GDF QUE COMPROVE RECEBIMENTO DE BENEFÍCIO DE PROGRAMA SOCIAL DE COMPLEMENTAÇÃO OU SUPLEMENTAÇÃO DE RENDA DO GDF (PRATO CHEIO E DF SOCIAL ) ADRIELLY DA COSTA BONIFACIO 056***.***-** 1 INDEFERIDO CANDIDATO (A) NÃO APRESENTOU DECLARAÇÃO EXPEDIDA PELO GDF QUE COMPROVE RECEBIMENTO DE BENEFÍCIO DE PROGRAMA SOCIAL DE COMPLEMENTAÇÃO OU SUPLEMENTAÇÃO DE RENDA DO GDF (PRATO CHEIO E DF SOCIAL ) MELISSA GRAÇA DE SOUSA LOPES 043***.***-** 1 INDEFERIDO CANDIDATO (A) NÃO APRESENTOU DECLARAÇÃO EXPEDIDA PELO GDF QUE COMPROVE RECEBIMENTO DE BENEFÍCIO DE PROGRAMA SOCIAL DE COMPLEMENTAÇÃO OU SUPLEMENTAÇÃO DE RENDA DO GDF (PRATO CHEIO E DF SOCIAL ) MAXWEL RODRIGUES LIMA 031***.***-** 1 DEFERIDO MAXWEL RODRIGUES LIMA 031***.***-** 4 DEFERIDO MARCIONE FRANCISCO CERQUEIRA 635***.***-** 1 INDEFERIDO CANDIDATO (A) NÃO APRESENTOU DOCUMENTAÇÃO EXIGIDA MARCIONE FRANCISCO CERQUEIRA 635***.***-** 2 INDEFERIDO CANDIDATO (A) NÃO APRESENTOU DOCUMENTAÇÃO EXIGIDA EVINY MILLANY VIEIRA FALEIRO 059***.***-** 7 DEFERIDO LORRAN ALVES FARIAS ORNELAS 061***.***-** 1 INDEFERIDO CANDIDATO (A) NÃO APRESENTOU FORMULÁRIO ATUALIZADO PARA PEDIDO DE ISENÇÃO
  • 145.
    LILIAN DE SOUSABUARQUES BELARMINO 018***.***-** 7 INDEFERIDO CANDIDATO (A) NÃO APRESENTOU DECLARAÇÃO EXPEDIDA PELO GDF QUE COMPROVE RECEBIMENTO DE BENEFÍCIO DE PROGRAMA SOCIAL DE COMPLEMENTAÇÃO OU SUPLEMENTAÇÃO DE RENDA DO GDF (PRATO CHEIO E DF SOCIAL ) LILIAN DE SOUSA BUARQUES BELARMINO 018***.***-** 1 INDEFERIDO CANDIDATO (A) NÃO APRESENTOU DECLARAÇÃO EXPEDIDA PELO GDF QUE COMPROVE RECEBIMENTO DE BENEFÍCIO DE PROGRAMA SOCIAL DE COMPLEMENTAÇÃO OU SUPLEMENTAÇÃO DE RENDA DO GDF (PRATO CHEIO E DF SOCIAL ) CARLOS DIOVANE CARDOSO DO VALE 005***.***-** 1 DEFERIDO CARLOS DIOVANE CARDOSO DO VALE 005***.***-** 6 DEFERIDO RICARDO PIRES DE BRITO 894***.***-** 2 INDEFERIDO CANDIDATO (A) NÃO APRESENTOU DECLARAÇÃO EXPEDIDA PELO GDF QUE COMPROVE RECEBIMENTO DE BENEFÍCIO DE PROGRAMA SOCIAL DE COMPLEMENTAÇÃO OU SUPLEMENTAÇÃO DE RENDA DO GDF (PRATO CHEIO E DF SOCIAL ) NECY RODRIGUES DA SILVA 041***.***-** 1 INDEFERIDO CANDIDATO (A) NÃO APRESENTOU FORMULÁRIO ATUALIZADO PARA PEDIDO DE ISENÇÃO ALDA PEREIRA LIMA 703***.***-** - INDEFERIDO CANDIDATO (A) NÃO APRESENTOU DECLARAÇÃO EXPEDIDA PELO GDF QUE COMPROVE RECEBIMENTO DE BENEFÍCIO DE PROGRAMA SOCIAL DE COMPLEMENTAÇÃO OU SUPLEMENTAÇÃO DE RENDA DO GDF (PRATO CHEIO E DF SOCIAL ) LEANDRO SILVA MONTEIRO 032***.***-** 1 DEFERIDO DAYANE PEREIRA RODRIGUES 039***.***-** 1 DEFERIDO MARIA MADALENA GOLÇALVES DO REGO 827***.***-** 1 INDEFERIDO CANDIDATO (A) NÃO APRESENTOU DECLARAÇÃO EXPEDIDA PELO GDF QUE COMPROVE RECEBIMENTO DE BENEFÍCIO DE PROGRAMA SOCIAL DE COMPLEMENTAÇÃO OU SUPLEMENTAÇÃO DE RENDA DO GDF (PRATO CHEIO E DF SOCIAL ) ADRIANA PULU CAMPOS 694***.***-** 1 DEFERIDO MARIA JOSÉ DA SILVA 734***.***-** 1 INDEFERIDO CANDIDATO (A) NÃO APRESENTOU DECLARAÇÃO EXPEDIDA PELO GDF QUE COMPROVE RECEBIMENTO DE BENEFÍCIO DE PROGRAMA SOCIAL DE COMPLEMENTAÇÃO OU SUPLEMENTAÇÃO DE RENDA DO GDF (PRATO CHEIO E DF SOCIAL ) MARIA JOSÉ DA SILVA 734***.***-** 6 INDEFERIDO CANDIDATO (A) NÃO APRESENTOU DECLARAÇÃO EXPEDIDA PELO GDF QUE COMPROVE RECEBIMENTO DE BENEFÍCIO DE PROGRAMA SOCIAL DE COMPLEMENTAÇÃO OU SUPLEMENTAÇÃO DE RENDA DO GDF (PRATO CHEIO E DF SOCIAL ) HENRIQUE MOURA MEDEIROS 088***.***-** 6 DEFERIDO HENRIQUE MOURA MEDEIROS 088***.***-** 1 DEFERIDO HELLEN PEREIRA DE PAIXÃO ARAUJO 034***.***-** 1 INDEFERIDO CANDIDATO (A) NÃO APRESENTOU FORMULÁRIO ATUALIZADO PARA PEDIDO DE ISENÇÃO
  • 146.
    HELLEN PEREIRA DEPAIXÃO ARAUJO 034***.***-** 8 INDEFERIDO CANDIDATO (A) NÃO APRESENTOU FORMULÁRIO ATUALIZADO PARA PEDIDO DE ISENÇÃO LUANA DE ALMEIDA 701***.***-** 1 INDEFERIDO CANDIDATO (A) NÃO APRESENTOU DOCUMENTAÇÃO EXIGIDA EM PDF CARLOS ANTÔNIO TAVEIRA MOURA 027***.***-** 1 DEFERIDO AKYLLA PRISCILA FIQUEREDO COSTA 044***.***-** 1 INDEFERIDO CANDIDATO (A) NÃO APRESENTOU FORMULÁRIO ATUALIZADO PARA PEDIDO DE ISENÇÃO AKYLLA PRISCILA FIQUEREDO COSTA 044***.***-** 7 INDEFERIDO CANDIDATO (A) NÃO APRESENTOU FORMULÁRIO ATUALIZADO PARA PEDIDO DE ISENÇÃO JOSUE FLAUSINO DE OLIVEIRA 013***.***-** 1 DEFERIDO DANIEL NUNES COSTA 031***.***-** 2 INDEFERIDO CANDIDATO (A) NÃO APRESENTOU DOCUMENTAÇÃO EXIGIDA EM RG MARIA ABADIA PEREIRA DOS SANTOS 962***.***-** 6 DEFERIDO MARIA ABADIA PEREIRA DOS SANTOS 962***.***-** 1 DEFERIDO VITORIA MACEDO DE CARVALHO 049***.***-** 1 INDEFERIDO CANDIDATO (A) NÃO APRESENTOU DOCUMENTAÇÃO EXIGIDA EM RG VITORIA MACEDO DE CARVALHO 049***.***-** 5 INDEFERIDO CANDIDATO (A) NÃO APRESENTOU DOCUMENTAÇÃO EXIGIDA EM RG PIETRO LEVI CARVALHO DOS SANTOS 050***.***-** 1 INDEFERIDO CANDIDATO (A) NÃO APRESENTOU DECLARAÇÃO EXPEDIDA PELO GDF QUE COMPROVE RECEBIMENTO DE BENEFÍCIO DE PROGRAMA SOCIAL DE COMPLEMENTAÇÃO OU SUPLEMENTAÇÃO DE RENDA DO GDF (PRATO CHEIO E DF SOCIAL ) PIETRO LEVI CARVALHO DOS SANTOS 050***.***-** 2 INDEFERIDO CANDIDATO (A) NÃO APRESENTOU DECLARAÇÃO EXPEDIDA PELO GDF QUE COMPROVE RECEBIMENTO DE BENEFÍCIO DE PROGRAMA SOCIAL DE COMPLEMENTAÇÃO OU SUPLEMENTAÇÃO DE RENDA DO GDF (PRATO CHEIO E DF SOCIAL ) RAQUEL MOURA NUNES MEDEIROS 018***.***-** 6 DEFERIDO RAQUEL MOURA NUNES MEDEIROS 018***.***-** 1 DEFERIDO MARIA ANTÔNIA PULU CAMPOS DA CRUZ 074***.***-** 1 DEFERIDO IRAMAR DOS SANTOS FERREIRA 000***.***-** 1 INDEFERIDO CANDIDATO (A) NÃO APRESENTOU DECLARAÇÃO EXPEDIDA PELO GDF QUE COMPROVE RECEBIMENTO DE BENEFÍCIO DE PROGRAMA SOCIAL DE COMPLEMENTAÇÃO OU SUPLEMENTAÇÃO DE RENDA DO GDF (PRATO CHEIO E DF SOCIAL ) MERILINDISEI NATACHA DE CASSIA PATRICIA MACHADO 014***.***-** 1 INDEFERIDO CANDIDATO (A) NÃO APRESENTOU FORMULÁRIO ATUALIZADO PARA PEDIDO DE ISENÇÃO VANESSA ELEN DE SOUZA SANTOS 077***.***-** 1 INDEFERIDO CANDIDATO (A) NÃO APRESENTOU FORMULÁRIO ATUALIZADO PARA PEDIDO DE ISENÇÃO CARINA MIRANDA LOPES 726***.***-** 8 DEFERIDO LINDA ALICE DA SILVA MESQUITA 067***.***-** 3 DEFERIDO LINDA ALICE DA SILVA MESQUITA 067***.***-** 1 DEFERIDO JANIA KLEI OLIVEIRA ALENCAR 801***.***-** - INDEFERIDO CANDIDATO (A) NÃO APRESENTOU FORMULÁRIO PARA PEDIDO DE ISENÇÃO COM O NÚMERO DO CARGO DANIEL NUNES COSTA 031***.***-** 1 INDEFERIDO CANDIDATO (A) NÃO APRESENTOU DOCUMENTAÇÃO EXIGIDA EM RG
  • 147.
    DANIELE CARVALHO RODRIGUES688***.***-** 5 INDEFERIDO CANDIDATO (A) NÃO APRESENTOU NO FORMULÁRIO PARA PEDIDO DE ISENÇÃO A OPÇÃO ESCOLHIDA DANIELE CARVALHO RODRIGUES 688***.***-** 1 INDEFERIDO CANDIDATO (A) NÃO APRESENTOU NO FORMULÁRIO PARA PEDIDO DE ISENÇÃO A OPÇÃO ESCOLHIDA LUCIANO SIQUEIRA LIMA 972***.***-** 8 INDEFERIDO CANDIDATO (A) NÃO APRESENTOU DECLARAÇÃO EXPEDIDA PELO GDF QUE COMPROVE RECEBIMENTO DE BENEFÍCIO DE PROGRAMA SOCIAL DE COMPLEMENTAÇÃO OU SUPLEMENTAÇÃO DE RENDA DO GDF (PRATO CHEIO E DF SOCIAL ) SARA CINTHIA COSTA DOS SANTOS 619***.***-** 8 INDEFERIDO CANDIDATO (A) NÃO APRESENTOU DECLARAÇÃO EXPEDIDA PELO GDF QUE COMPROVE RECEBIMENTO DE BENEFÍCIO DE PROGRAMA SOCIAL DE COMPLEMENTAÇÃO OU SUPLEMENTAÇÃO DE RENDA DO GDF (PRATO CHEIO E DF SOCIAL ) MARLA RODRIGUES DA COSTA COLARES 473***.***-** - INDEFERIDO CANDIDATO (A) NÃO APRESENTOU DOCUMENTAÇÃO EXIGIDA DANIEL DE SOUSA SILVA 079***.***-** 2 INDEFERIDO CANDIDATO (A) NÃO APRESENTOU DOCUMENTAÇÃO EXIGIDA PDF INGRID LORRANY DA SILVA OLIVEIRA 066***.***-** 7 INDEFERIDO CANDIDATO (A) NÃO APRESENTOU DECLARAÇÃO EXPEDIDA PELO GDF QUE COMPROVE RECEBIMENTO DE BENEFÍCIO DE PROGRAMA SOCIAL DE COMPLEMENTAÇÃO OU SUPLEMENTAÇÃO DE RENDA DO GDF (PRATO CHEIO E DF SOCIAL ) MIRON JOSE DE ARAUJO JUNIOR 027***.***-** 1 DEFERIDO MIRON JOSE DE ARAUJO JUNIOR 027***.***-** 2 DEFERIDO PRISCILLA RODRIGUES REZENDE 054***.***-** 1 DEFERIDO MANUEL APARECIDO TRINDADE 052***.***-** 1 DEFERIDO MANUEL APARECIDO TRINDADE 052***.***-** 8 DEFERIDO AGATHA MEIRELES ALCANTARA DOS SANTOS 051***.***-** 1 INDEFERIDO CANDIDATO (A) NÃO APRESENTOU DECLARAÇÃO EXPEDIDA PELO GDF QUE COMPROVE RECEBIMENTO DE BENEFÍCIO DE PROGRAMA SOCIAL DE COMPLEMENTAÇÃO OU SUPLEMENTAÇÃO DE RENDA DO GDF (PRATO CHEIO E DF SOCIAL ) SUELI LUIZ DE OLIVEIRA 839***.***-** - INDEFERIDO CANDIDATO (A) NÃO APRESENTOU DECLARAÇÃO EXPEDIDA PELO GDF QUE COMPROVE RECEBIMENTO DE BENEFÍCIO DE PROGRAMA SOCIAL DE COMPLEMENTAÇÃO OU SUPLEMENTAÇÃO DE RENDA DO GDF (PRATO CHEIO E DF SOCIAL ) ERICA GOMES DE MIRANDA 029***.***-** 1 INDEFERIDO CANDIDATO (A) NÃO APRESENTOU DECLARAÇÃO EXPEDIDA PELO GDF QUE COMPROVE RECEBIMENTO DE BENEFÍCIO DE PROGRAMA SOCIAL DE COMPLEMENTAÇÃO OU SUPLEMENTAÇÃO DE RENDA DO GDF (PRATO CHEIO E DF SOCIAL ) FERNANDO BIZERRA LIMA DA CUNHA 058***.***-** 1 DEFERIDO
  • 148.
    PABLO GABRIEL DEMESQUITA SOUSA 081***.***-** 3 INDEFERIDO CANDIDATO (A) NÃO APRESENTOU DECLARAÇÃO EXPEDIDA PELO GDF QUE COMPROVE RECEBIMENTO DE BENEFÍCIO DE PROGRAMA SOCIAL DE COMPLEMENTAÇÃO OU SUPLEMENTAÇÃO DE RENDA DO GDF (PRATO CHEIO E DF SOCIAL ) HUGO DANTAS DA SILVA 028***.***-** 1 INDEFERIDO CANDIDATO (A) NÃO APRESENTOU NO FORMULÁRIO ATUALIZADO PARA PEDIDO DE ISENÇÃO A OPÇÃO ESCOLHIDA HUGO DANTAS DA SILVA 028***.***-** 7 INDEFERIDO CANDIDATO (A) NÃO APRESENTOU NO FORMULÁRIO ATUALIZADO PARA PEDIDO DE ISENÇÃO A OPÇÃO ESCOLHIDA FERNANDA DA SILVA LIMA 058***.***-** 1 INDEFERIDO CANDIDATO (A) NÃO APRESENTOU DECLARAÇÃO EXPEDIDA PELO GDF QUE COMPROVE RECEBIMENTO DE BENEFÍCIO DE PROGRAMA SOCIAL DE COMPLEMENTAÇÃO OU SUPLEMENTAÇÃO DE RENDA DO GDF (PRATO CHEIO E DF SOCIAL ) DAYANE PEREIRA RODRIGUES -***.***-** - INDEFERIDO CANDIDATO (A) NÃO APRESENTOU DOCUMENTAÇÃO QUE FOI POSSIVEL ACESSO ELIANE ALVES DA SILVA ASSIS 067***.***-** 1 INDEFERIDO CANDIDATO (A) NÃO APRESENTOU DOCUMENTAÇÃO EXIGIDA RG SHEILA SHEIRIDAN NASCIMENTO BAIMA 850***.***-** 6 INDEFERIDO CANDIDATO (A) NÃO APRESENTOU DECLARAÇÃO EXPEDIDA PELO GDF QUE COMPROVE RECEBIMENTO DE BENEFÍCIO DE PROGRAMA SOCIAL DE COMPLEMENTAÇÃO OU SUPLEMENTAÇÃO DE RENDA DO GDF (PRATO CHEIO E DF SOCIAL ) TATIANE VIEIRA DA SILVA 736***.***-** 1 DEFERIDO KAMILA AZEVEDO PRADO 010***.***-** 4 INDEFERIDO CANDIDATO (A) NÃO APRESENTOU DECLARAÇÃO EXPEDIDA PELO GDF QUE COMPROVE RECEBIMENTO DE BENEFÍCIO DE PROGRAMA SOCIAL DE COMPLEMENTAÇÃO OU SUPLEMENTAÇÃO DE RENDA DO GDF (PRATO CHEIO E DF SOCIAL ) KAMILA AZEVEDO PRADO 010***.***-** 1 INDEFERIDO CANDIDATO (A) NÃO APRESENTOU DECLARAÇÃO EXPEDIDA PELO GDF QUE COMPROVE RECEBIMENTO DE BENEFÍCIO DE PROGRAMA SOCIAL DE COMPLEMENTAÇÃO OU SUPLEMENTAÇÃO DE RENDA DO GDF (PRATO CHEIO E DF SOCIAL ) ERIKA SOARES DOS SANTOS 71***.***-** 3 DEFERIDO JULIANA BARBOSA RODRIGUES 711***.***-** 1 INDEFERIDO CANDIDATO (A) NÃO APRESENTOU DECLARAÇÃO EXPEDIDA PELO GDF QUE COMPROVE RECEBIMENTO DE BENEFÍCIO DE PROGRAMA SOCIAL DE COMPLEMENTAÇÃO OU SUPLEMENTAÇÃO DE RENDA DO GDF (PRATO CHEIO E DF SOCIAL ) ALAN MARQUES OLIVEIRA SOUSA 005***.***-** 8 DEFERIDO ELIANA GERALDA DA SILVA 794***.***-** 2 INDEFERIDO CANDIDATO (A) NÃO APRESENTOU DECLARAÇÃO EXPEDIDA PELO GDF QUE COMPROVE RECEBIMENTO DE BENEFÍCIO DE PROGRAMA SOCIAL DE COMPLEMENTAÇÃO OU SUPLEMENTAÇÃO DE RENDA DO GDF (PRATO CHEIO E DF SOCIAL )
  • 149.
    ELIANA GERALDA DASILVA 794***.***-** 1 INDEFERIDO CANDIDATO (A) NÃO APRESENTOU DECLARAÇÃO EXPEDIDA PELO GDF QUE COMPROVE RECEBIMENTO DE BENEFÍCIO DE PROGRAMA SOCIAL DE COMPLEMENTAÇÃO OU SUPLEMENTAÇÃO DE RENDA DO GDF (PRATO CHEIO E DF SOCIAL ) ANNA CAROLINA RODRIGUES DE OLIVEIRA 009***.***-** 1 DEFERIDO ANNA CAROLINA RODRIGUES DE OLIVEIRA 009***.***-** 2 DEFERIDO VALDIZIA DA SILVA 017***.***-** - INDEFERIDO CANDIDATO (A) NÃO APRESENTOU NO FORMULÁRIO PARA PEDIDO DE ISENÇÃO A OPÇÃO ESCOLHIDA LUCIANA HELENA DE LIMA 712***.***-** 8 DEFERIDO ELLEN DOS SANTOS DINIZ 076***.***-** 1 INDEFERIDO CANDIDATO (A) NÃO APRESENTOU DOCUMENTAÇÃO DE LAUDO MÉDICO DE ACORDO COM A MARCAÇÃO ESCOLHIDA WESLLANE LOURENCO DE SANTANA 058***.***-** 1 DEFERIDO VANESSA DOS SANTOS NASCIMENTO 042***.***-** 7 DEFERIDO VANESSA DOS SANTOS NASCIMENTO 042***.***-** 1 DEFERIDO DIANE GONÇALVES DE OLIVEIRA 000***.***-** 3 INDEFERIDO CANDIDATO (A) NÃO APRESENTOU DOCUMENTAÇÃO EXIGIDA RG LUCIANA HELENA DE LIMA 712***.***-** 1 DEFERIDO MARIANA SOUZA DO NASCIMENTO 060***.***-** 6 INDEFERIDO CANDIDATO (A) NÃO APRESENTOU DOCUMENTAÇÃO NO FORMATO EXIGIDO EDINALDO RODRIGUES LIMA 031***.***-** 1 DEFERIDO DANILENE RODRIGUES DA SILVA 007***.***-** 2 DEFERIDO DANIELA VIANA DE OLIVEIRA 043***.***-** 3 DEFERIDO DARLANE FERREIRA MAGALHÃES 701***.***-** - INDEFERIDO CANDIDATO (A) NÃO APRESENTOU DECLARAÇÃO EXPEDIDA PELO GDF QUE COMPROVE RECEBIMENTO DE BENEFÍCIO DE PROGRAMA SOCIAL DE COMPLEMENTAÇÃO OU SUPLEMENTAÇÃO DE RENDA DO GDF (PRATO CHEIO E DF SOCIAL ) CRISTINA MAISA ALVES TAVARES 019***.***-** 8 INDEFERIDO CANDIDATO (A) NÃO APRESENTOU DOCUMENTAÇÃO NO FORMATO EXIGIDO CARLOS RICELLY DA SILVA MEDEIROS 013***.***-** 6 DEFERIDO CARLOS RICELLY DA SILVA MEDEIROS 013***.***-** 1 DEFERIDO GIZELLY APARECIDA PIRES LIMA 060***.***-** - INDEFERIDO CANDIDATO (A) NÃO APRESENTOU DECLARAÇÃO EXPEDIDA PELO GDF QUE COMPROVE RECEBIMENTO DE BENEFÍCIO DE PROGRAMA SOCIAL DE COMPLEMENTAÇÃO OU SUPLEMENTAÇÃO DE RENDA DO GDF (PRATO CHEIO E DF SOCIAL ) LUANA APARECIDA MACHADO RIBEIRO 057***.***-** 7 INDEFERIDO CANDIDATO (A) NÃO APRESENTOU DECLARAÇÃO EXPEDIDA PELO GDF QUE COMPROVE RECEBIMENTO DE BENEFÍCIO DE PROGRAMA SOCIAL DE COMPLEMENTAÇÃO OU SUPLEMENTAÇÃO DE RENDA DO GDF (PRATO CHEIO E DF SOCIAL ) PRISCILA SIVEK PEREZ 027***.***-** 1 DEFERIDO PRISCILA SIVEK PEREZ 027***.***-** 8 DEFERIDO
  • 150.
    LUANA APARECIDA MACHADORIBEIRO 057***.***-** 1 INDEFERIDO CANDIDATO (A) NÃO APRESENTOU DECLARAÇÃO EXPEDIDA PELO GDF QUE COMPROVE RECEBIMENTO DE BENEFÍCIO DE PROGRAMA SOCIAL DE COMPLEMENTAÇÃO OU SUPLEMENTAÇÃO DE RENDA DO GDF (PRATO CHEIO E DF SOCIAL ) MARIA JESSICA FRANCISCO ALVES 051***.***-** 1 INDEFERIDO CANDIDATO (A) NÃO APRESENTOU DOCUMENTAÇÃO EXIGIDA HELLEN ALEXANDRE DA SILVA 042***.***-** 5 DEFERIDO CLAUDENIR BEZERRA DOS SANTOS 723***.***-** 5 DEFERIDO MARIA DO SOCORRO PEREIRA SOARES 010***.***-** - INDEFERIDO CANDIDATO (A) NÃO APRESENTOU FORMULÁRIO PARA PEDIDO DE ISENÇÃO COM O NÚMERO DO CARGO LAIS SILVA SANTOS 070***.***-** - INDEFERIDO CANDIDATO (A) NÃO APRESENTOU DOCUMENTAÇÃO DE LAUDO MÉDICO DE ACORDO COM A MARCAÇÃO ESCOLHIDA BRUNA ASSIS DO NASCIMENTO 015***.***-** 2 INDEFERIDO CANDIDATO (A) NÃO APRESENTOU DECLARAÇÃO EXPEDIDA PELO GDF QUE COMPROVE RECEBIMENTO DE BENEFÍCIO DE PROGRAMA SOCIAL DE COMPLEMENTAÇÃO OU SUPLEMENTAÇÃO DE RENDA DO GDF (PRATO CHEIO E DF SOCIAL ) THAISE HERMOGENES BATISTA SANTOS 058***.***-** 1 INDEFERIDO CANDIDATO (A) NÃO APRESENTOU DECLARAÇÃO EXPEDIDA PELO GDF QUE COMPROVE RECEBIMENTO DE BENEFÍCIO DE PROGRAMA SOCIAL DE COMPLEMENTAÇÃO OU SUPLEMENTAÇÃO DE RENDA DO GDF (PRATO CHEIO E DF SOCIAL ) ELIDA CRISTINA SILVA DE ABREU 829***.***-** 7 DEFERIDO ELIANE GERALDO DA SILVA 794***.***-** 1 INDEFERIDO CANDIDATO (A) NÃO APRESENTOU NO FORMULÁRIO PARA PEDIDO DE ISENÇÃO A OPÇÃO ESCOLHIDA IASMYM DE PAULA COELHO BARROS 083***.***-** 7 INDEFERIDO CANDIDATO (A) NÃO APRESENTOU DECLARAÇÃO EXPEDIDA PELO GDF QUE COMPROVE RECEBIMENTO DE BENEFÍCIO DE PROGRAMA SOCIAL DE COMPLEMENTAÇÃO OU SUPLEMENTAÇÃO DE RENDA DO GDF (PRATO CHEIO E DF SOCIAL ) IASMYM DE PAULA COELHO BARROS 083***.***-** 8 INDEFERIDO CANDIDATO (A) NÃO APRESENTOU DECLARAÇÃO EXPEDIDA PELO GDF QUE COMPROVE RECEBIMENTO DE BENEFÍCIO DE PROGRAMA SOCIAL DE COMPLEMENTAÇÃO OU SUPLEMENTAÇÃO DE RENDA DO GDF (PRATO CHEIO E DF SOCIAL ) KELVIN WILLIAM TAVARES FERREIRA 082***.***-** 7 INDEFERIDO CANDIDATO (A) NÃO APRESENTOU DOCUMENTAÇÃO DE LAUDO MÉDICO DE ACORDO COM A MARCAÇÃO ESCOLHIDA PAULO DANIEL GOMES BATISTA DA SILVA 052***.***-** 7 INDEFERIDO CANDIDATO (A) NÃO APRESENTOU DECLARAÇÃO EXPEDIDA PELO GDF QUE COMPROVE RECEBIMENTO DE BENEFÍCIO DE PROGRAMA SOCIAL DE COMPLEMENTAÇÃO OU SUPLEMENTAÇÃO DE RENDA DO GDF (PRATO CHEIO E DF SOCIAL )
  • 151.
    PAULO DANIEL GOMESBATISTA DA SILVA 052***.***-** 1 INDEFERIDO CANDIDATO (A) NÃO APRESENTOU DECLARAÇÃO EXPEDIDA PELO GDF QUE COMPROVE RECEBIMENTO DE BENEFÍCIO DE PROGRAMA SOCIAL DE COMPLEMENTAÇÃO OU SUPLEMENTAÇÃO DE RENDA DO GDF (PRATO CHEIO E DF SOCIAL ) MARCIA REGINA DE ARAUJO ELIAS 619***.***-** 7 INDEFERIDO CANDIDATO (A) NÃO APRESENTOU DECLARAÇÃO EXPEDIDA PELO GDF QUE COMPROVE RECEBIMENTO DE BENEFÍCIO DE PROGRAMA SOCIAL DE COMPLEMENTAÇÃO OU SUPLEMENTAÇÃO DE RENDA DO GDF (PRATO CHEIO E DF SOCIAL ) ERIKA DE CARVALHO ARAUJO 033***.***-** 7 INDEFERIDO CANDIDATO (A) NÃO APRESENTOU DECLARAÇÃO EXPEDIDA PELO GDF QUE COMPROVE RECEBIMENTO DE BENEFÍCIO DE PROGRAMA SOCIAL DE COMPLEMENTAÇÃO OU SUPLEMENTAÇÃO DE RENDA DO GDF (PRATO CHEIO E DF SOCIAL ) JULIANE DE SOUZA PEREIRA 097***.***-** 6 DEFERIDO MARIA HELOÍSA DOS PASSOS ANDRADE 068***.***-** 1 DEFERIDO ROSILENE SOARES XIMENES 026***.***-** - INDEFERIDO CANDIDATO (A) NÃO APRESENTOU DOCUMENTAÇÃO EXIGIDA JOSEFA MARIA DA SILVA 879***.***-** 1 INDEFERIDO CANDIDATO (A) NÃO APRESENTOU DECLARAÇÃO EXPEDIDA PELO GDF QUE COMPROVE RECEBIMENTO DE BENEFÍCIO DE PROGRAMA SOCIAL DE COMPLEMENTAÇÃO OU SUPLEMENTAÇÃO DE RENDA DO GDF (PRATO CHEIO E DF SOCIAL ) DANIEL LIMA SILVA 603***.***-** 1 INDEFERIDO CANDIDATO (A) NÃO APRESENTOU DECLARAÇÃO EXPEDIDA PELO GDF QUE COMPROVE RECEBIMENTO DE BENEFÍCIO DE PROGRAMA SOCIAL DE COMPLEMENTAÇÃO OU SUPLEMENTAÇÃO DE RENDA DO GDF (PRATO CHEIO E DF SOCIAL ) KAROLAYNE AGRA DE VASCONCELOS 056***.***-** 8 INDEFERIDO CANDIDATO (A) NÃO APRESENTOU DOCUMENTAÇÃO DE LAUDO MÉDICO DE ACORDO COM A MARCAÇÃO ESCOLHIDA MARIA APARECIDA GAMA DE SOUSA 599***.***-** 3 INDEFERIDO CANDIDATO (A) NÃO APRESENTOU DOCUMENTAÇÃO EXIGIDA ELIANE ALVES SARDINHA -***.***-** - INDEFERIDO CANDIDATO (A) NÃO APRESENTOU DOCUMENTAÇÃO EXIGIDA BEATRIZ MENDES DE CARVALHO SOUZA 066***.***-** 8 INDEFERIDO CANDIDATO (A) NÃO APRESENTOU LAUDO MÉDICO COMPROBATÓRIO DA ISENÇÃO DE ACORDO COM A POSSIBILIDADE ESCOLHIDA (CAD. ÚNICO FEDERAL) DANIEL DA COSTA OLIVEIRA 055***.***-** 1 DEFERIDO DANIEL DA COSTA OLIVEIRA 055***.***-** 8 INDEFERIDO CANDIDATO (A) NÃO APRESENTOU UM E-MAIL DE SOLICITAÇÃO DE ISENÇÃO COM UM FORMULÁRIO PARA CADA CARGO GLEISON DE OLIVEIRA CARVALHO 783***.***-** 1 INDEFERIDO CANDIDATO (A) NÃO APRESENTOU FORMULÁRIO PARA PEDIDO DE ISENÇÃO EMITIDO PELA FUNATEC TEODOLO DA SILVA BRITO 855***.***-** 1 INDEFERIDO CANDIDATO (A) NÃO APRESENTOU DOCUMENTAÇÃO EXIGIDA EM PDF JACKSON NASCIMENTO EVANGELISTA 032***.***-** 1 INDEFERIDO CANDIDATO (A) NÃO APRESENTOU DOCUMENTO EXPEDIDO PELA ENTIDADE RESPONSÁVEL POR CADASTRO DE DOADOR DE MEDULA ÓSSEA
  • 152.
    EMILAYDE PAIVA DESOUSA 049***.***-** 1 INDEFERIDO CANDIDATO (A) NÃO APRESENTOU LAUDO MÉDICO COMPROBATÓRIO DA ISENÇÃO DE ACORDO COM A POSSIBILIDADE ESCOLHIDA (CAD. ÚNICO FEDERAL) FLAVIA CRISTINA LIMA DE TORRES 033***.***-** 1 INDEFERIDO CANDIDATO (A) NÃO APRESENTOU COMPROVANTE DE PRESTAÇÃO DE SERVIÇOS À JUSTIÇA ELEITORAL POR, NO MÍNIMO, DUAS ELEIÇÕES E NÃO INFORMOU NO FORMULÁRIO O CARGO ANDRÉ SILVA ALMEIDA 080***.***-** 8 INDEFERIDO CANDIDATO (A) NÃO APRESENTOU DECLARAÇÃO EXPEDIDA PELO GDF QUE COMPROVE RECEBIMENTO DE BENEFÍCIO DE PROGRAMA SOCIAL DE COMPLEMENTAÇÃO OU SUPLEMENTAÇÃO DE RENDA DO GDF (PRATO CHEIO, DF SOCIAL) ORNILVA AGUIAR SOUSA E SILVA -***.***-** - INDEFERIDO CANDIDATO (A) NÃO APRESENTOU DOCUMENTAÇÃO EXIGIDA TEODOILTON GONÇALVES DE SOUZA 014***.***-** 1 DEFERIDO CARLOS EDUARDO DA SILVA BORGES 865***.***-** 6 DEFERIDO CHAYNE ARAÚJO ROCHA 043***.***-** 1 DEFERIDO GUSTAVO CARDOSO FERREIRA 042***.***-** 2 DEFERIDO HUGO DE AMORIM OLIVEIRA 023***.***-** 1 DEFERIDO SIBELY ARAUJO POZZI FERREIRA 117***.***-** - INDEFERIDO CANDIDATO (A) NÃO APRESENTOU FORMULÁRIO PARA PEDIDO DE ISENÇÃO SAYELLE SIMIAO SILVA 049***.***-** 1 DEFERIDO CAMILA DA CONCEICAO SILVA 044***.***-** 1 INDEFERIDO CANDIDATO (A) NÃO APRESENTOU LAUDO MÉDICO COMPROBATÓRIO DA ISENÇÃO DE ACORDO COM A POSSIBILIDADE ESCOLHIDA (CAD. ÚNICO FEDERAL) CAMILA DA CONCEICAO SILVA 044***.***-** 3 INDEFERIDO CANDIDATO (A) NÃO APRESENTOU UM E-MAIL DE SOLICITAÇÃO DE ISENÇÃO COM UM FORMULÁRIO PARA CADA CARGO THAÍS DE LIMA PEREIRA 057***.***-** 1 DEFERIDO MATHEUS ALMEIDA BARBOSA 071***.***-** 8 INDEFERIDO CANDIDATO (A) NÃO APRESENTOU DECLARAÇÃO EXPEDIDA PELO GDF QUE COMPROVE RECEBIMENTO DE BENEFÍCIO DE PROGRAMA SOCIAL DE COMPLEMENTAÇÃO OU SUPLEMENTAÇÃO DE RENDA DO GDF (PRATO CHEIO, DF SOCIAL) EDNAURA PEREIRA GOMES 715***.***-** 3 INDEFERIDO CANDIDATO (A) NÃO APRESENTOU DOCUMENTAÇÃO EXIGIDA EM PDF VANESSA SOUSA XAVIER 084***.***-** 2 DEFERIDO EDNAURA PEREIRA GOMES 715***.***-** 1 INDEFERIDO CANDIDATO (A) NÃO APRESENTOU DOCUMENTAÇÃO EXIGIDA EM PDF CELIO JOSE SANTOS DIAS 712***.***-** 1 INDEFERIDO CANDIDATO (A) NÃO APRESENTOU DOCUMENTO DE IDENTIFICAÇÃO E FORMULÁRIO PARA PEDIDO DE ISENÇÃO ANTONIO JOSIMAR DE LIMA 583***.***-** 1 DEFERIDO SIDNEIA ARAUJO DE JESUS 991***.***-** - INDEFERIDO CANDIDATO (A) NÃO APRESENTOU FORMULÁRIO PARA PEDIDO DE ISENÇÃO ERISVALDO LOPES CAMPOS 881***.***-** - INDEFERIDO CANDIDATO (A) NÃO APRESENTOU FORMULÁRIO PARA PEDIDO DE ISENÇÃO DAVID DE JESUS CAMPOS 078***.***-** - INDEFERIDO CANDIDATO (A) NÃO APRESENTOU FORMULÁRIO PARA PEDIDO DE ISENÇÃO JAQUELINE FREITAS DA SILVA 994***.***-** 1 DEFERIDO MARIO DIAS PORTUGUEZ DE SOUSA FERREIRA 057***.***-** 1 DEFERIDO
  • 153.
    JESSICA LUZIA DOSSANTOS MATOS 036***.***-** 1 INDEFERIDO CANDIDATO (A) NÃO APRESENTOU DOCUMENTAÇÃO EXIGIDA EM PDF FELIPE CAMELO DOS SANTOS 052***.***-** 1 DEFERIDO GUILHERME NOBRE DA SILVA 073***.***-** 1 DEFERIDO FELIPE CAMELO DOS SANTOS 052***.***-** 8 DEFERIDO MARIO DIAS PORTUGUEZ DE SOUSA FERREIRA 057***.***-** 7 DEFERIDO LUCAS EDUARDO NOGUEIRA SILVA LIMA 049***.***-** 1 DEFERIDO JORGE LUCAS RODRIGUES DOS SANTOS 050***.***-** 1 INDEFERIDO CANDIDATO (A) NÃO APRESENTOU LAUDO MÉDICO COMPROBATÓRIO DA ISENÇÃO DE ACORDO COM A POSSIBILIDADE ESCOLHIDA (CAD. ÚNICO FEDERAL) CARLOS EDUARDO MORAIS DE CASTRO 044***.***-** 1 DEFERIDO RAIANE RODRIGUES MENDES 021***.***-** 1 DEFERIDO GESSIANE SOUZA LIMA 032***.***-** 7 INDEFERIDO CANDIDATO (A) NÃO APRESENTOU DOCUMENTO DE IDENTIFICAÇÃO E DECLARAÇÃO EXPEDIDA PELO GDF QUE COMPROVE RECEBIMENTO DE BENEFÍCIO DE PROGRAMA SOCIAL DE COMPLEMENTAÇÃO OU SUPLEMENTAÇÃO DE RENDA DO GDF (PRATO CHEIO E DF SOCIAL) CARLOS EDUARDO MORAIS DE CASTRO 044***.***-** 6 DEFERIDO ÂNGELA SANTOS SOUZA DA CRUZ 898***.***-** 7 INDEFERIDO CANDIDATO (A) NÃO APRESENTOU LAUDO MÉDICO COMPROBATÓRIO DA ISENÇÃO DE ACORDO COM A POSSIBILIDADE ESCOLHIDA (CAD. ÚNICO FEDERAL) JENIFER LUZ SANTANA 068***.***-** - INDEFERIDO CANDIDATO (A) NÃO APRESENTOU DOCUMENTAÇÃO EXIGIDA ESTHEFANY DA ROCHA SILVA 054***.***-** 1 INDEFERIDO CANDIDATO (A) NÃO APRESENTOU COMPROVANTES DE PRESTAÇÃO DE SERVIÇOS À JUSTIÇA ELEITORAL POR, NO MÍNIMO, DUAS ELEIÇÕES REGINALDO ALVES DE AZEVEDO 697***.***-** 2 DEFERIDO RENATA LOPES MESQUITA 630***.***-** 7 INDEFERIDO CANDIDATO (A) NÃO APRESENTOU DOCUMENTAÇÃO EXIGIDA EM PDF ALEXSANDRO DOS SANTOS LOPES 647***.***-** 1 INDEFERIDO CANDIDATO (A) NÃO APRESENTOU LAUDO MÉDICO COMPROBATÓRIO DA ISENÇÃO DE ACORDO COM A POSSIBILIDADE ESCOLHIDA (CAD. ÚNICO FEDERAL) EUDSON MAGALHAES SOUSA 959***.***-** 1 INDEFERIDO CANDIDATO (A) NÃO APRESENTOU LAUDO MÉDICO COMPROBATÓRIO DA ISENÇÃO DE ACORDO COM A POSSIBILIDADE ESCOLHIDA (CAD. ÚNICO FEDERAL) EUDSON MAGALHAES SOUSA 959***.***-** 2 INDEFERIDO CANDIDATO (A) NÃO APRESENTOU UM E-MAIL DE SOLICITAÇÃO DE ISENÇÃO COM UM FORMULÁRIO PARA CADA CARGO NÚBIA RAFAELA SILVA SOARES 070***.***-** 7 INDEFERIDO CANDIDATO (A) NÃO APRESENTOU DECLARAÇÃO EXPEDIDA PELO GDF QUE COMPROVE RECEBIMENTO DE BENEFÍCIO DE PROGRAMA SOCIAL DE COMPLEMENTAÇÃO OU SUPLEMENTAÇÃO DE RENDA DO GDF (PRATO CHEIO, DF SOCIAL)
  • 154.
    LUIS ROBERTO DASILVA ROCHA 011***.***-** 1 INDEFERIDO CANDIDATO (A) NÃO APRESENTOU DECLARAÇÃO EXPEDIDA PELO GDF QUE COMPROVE RECEBIMENTO DE BENEFÍCIO DE PROGRAMA SOCIAL DE COMPLEMENTAÇÃO OU SUPLEMENTAÇÃO DE RENDA DO GDF (PRATO CHEIO, DF SOCIAL) LUIS ROBERTO DA SILVA ROCHA 011***.***-** 8 INDEFERIDO CANDIDATO (A) NÃO APRESENTOU DECLARAÇÃO EXPEDIDA PELO GDF QUE COMPROVE RECEBIMENTO DE BENEFÍCIO DE PROGRAMA SOCIAL DE COMPLEMENTAÇÃO OU SUPLEMENTAÇÃO DE RENDA DO GDF (PRATO CHEIO, DF SOCIAL) FRANCISCO IZAIAS DOS SANTOS JÚNIOR 004***.***-** 3 DEFERIDO FRANCISCO IZAIAS DOS SANTOS JÚNIOR 004***.***-** 1 DEFERIDO DEBORAH SANTOS TRINDADE 034***.***-** 1 INDEFERIDO CANDIDATO (A) NÃO APRESENTOU DOCUMENTAÇÃO EXIGIDA ROBEIRA TOMAS BARROS 722***.***-** 1 DEFERIDO SARA LIMA DE MESQUITA 029***.***-** 1 INDEFERIDO CANDIDATO (A) NÃO APRESENTOU DOCUMENTO DE IDENTIFICAÇÃO E DECLARAÇÃO EXPEDIDA PELO GDF QUE COMPROVE RECEBIMENTO DE BENEFÍCIO DE PROGRAMA SOCIAL DE COMPLEMENTAÇÃO OU SUPLEMENTAÇÃO DE RENDA DO GDF (PRATO CHEIO E DF SOCIAL) LUCIANA VARELLA RODRIGUES 721***.***-** 6 INDEFERIDO CANDIDATO (A) NÃO APRESENTOU DOCUMENTO DE IDENTIFICAÇÃO E DECLARAÇÃO EXPEDIDA PELO GDF QUE COMPROVE RECEBIMENTO DE BENEFÍCIO DE PROGRAMA SOCIAL DE COMPLEMENTAÇÃO OU SUPLEMENTAÇÃO DE RENDA DO GDF (PRATO CHEIO E DF SOCIAL) LUCIANA VARELLA RODRIGUES 721***.***-** 1 INDEFERIDO CANDIDATO (A) NÃO APRESENTOU DOCUMENTO DE IDENTIFICAÇÃO E DECLARAÇÃO EXPEDIDA PELO GDF QUE COMPROVE RECEBIMENTO DE BENEFÍCIO DE PROGRAMA SOCIAL DE COMPLEMENTAÇÃO OU SUPLEMENTAÇÃO DE RENDA DO GDF (PRATO CHEIO E DF SOCIAL) ANDERSON REZENDE PEREIRA 730***.***-** 1 DEFERIDO ANDERSON REZENDE PEREIRA 730***.***-** 8 DEFERIDO IVANA LOPES DA SILVA 023***.***-** 1 DEFERIDO JOILMA LEITE CAMPOS DE ABRANTES 698***.***-** 7 INDEFERIDO CANDIDATO (A) NÃO APRESENTOU DECLARAÇÃO EXPEDIDA PELO GDF QUE COMPROVE RECEBIMENTO DE BENEFÍCIO DE PROGRAMA SOCIAL DE COMPLEMENTAÇÃO OU SUPLEMENTAÇÃO DE RENDA DO GDF (PRATO CHEIO, DF SOCIAL) RENATA PAIVA DA SILVA 855***.***-** 1 DEFERIDO IVANILDO DO NASCIMENTO LIMA 763***.***-** 1 DEFERIDO KATIÉLLE TEMÓTEO LIMA 036***.***-** 6 DEFERIDO LUCAS IRINEU DA SILVA 735***.***-** 1 INDEFERIDO CANDIDATO (A) NÃO APRESENTOU DOCUMENTAÇÃO EXIGIDA RAYLLENE DE SOUZA PAIXÃO 022***.***-** 8 DEFERIDO RAYLLENE DE SOUZA PAIXÃO 022***.***-** 1 DEFERIDO DANDHARA GABRIELA JESUINO DOS SANTOS 073***.***-** 7 DEFERIDO
  • 155.
    KATHLEEN FARIAS RIBEIROVIANA 047***.***-** 1 INDEFERIDO CANDIDATO (A) NÃO APRESENTOU DECLARAÇÃO EXPEDIDA PELO GDF QUE COMPROVE RECEBIMENTO DE BENEFÍCIO DE PROGRAMA SOCIAL DE COMPLEMENTAÇÃO OU SUPLEMENTAÇÃO DE RENDA DO GDF (PRATO CHEIO, DF SOCIAL) KATHLEEN FARIAS RIBEIRO VIANA 047***.***-** - INDEFERIDO CANDIDATO (A) NÃO APRESENTOU DECLARAÇÃO EXPEDIDA PELO GDF QUE COMPROVE RECEBIMENTO DE BENEFÍCIO DE PROGRAMA SOCIAL DE COMPLEMENTAÇÃO OU SUPLEMENTAÇÃO DE RENDA DO GDF (PRATO CHEIO, DF SOCIAL) E NÃO INFORMOU O CARGO JULIANE SANTANA AMORIM 003***.***-** 1 DEFERIDO ILZANILDE COSTA DOS SANTOS 610***.***-** 6 DEFERIDO LOUELLA TRINDADE SILVA 042***.***-** 1 DEFERIDO JACIENE PEREIRA BARBOSA 023***.***-** 1 INDEFERIDO CANDIDATO (A) NÃO APRESENTOU DOCUMENTAÇÃO EXIGIDA EM PDF CARMITA MORAIS DE OLIVEIRA 014***.***-** 3 DEFERIDO ADRYENE LAIS GOMES PAIGNEZ 006***.***-** 1 DEFERIDO JULIANE SANTANA AMORIM 003***.***-** 8 DEFERIDO THIAGO PEREIRA RIBEIRO DE SOUZA 021***.***-** - INDEFERIDO CANDIDATO (A) NÃO APRESENTOU FORMULÁRIO PARA PEDIDO DE ISENÇÃO E DOCUMENTO DE IDENTIFICAÇÃO DALGIMAR MOREIRA DAVID 553***.***-** 6 DEFERIDO LOYANE CRISTEN SOARES DE JESUS 019***.***-** 3 INDEFERIDO CANDIDATO (A) NÃO APRESENTOU DECLARAÇÃO EXPEDIDA PELO GDF QUE COMPROVE RECEBIMENTO DE BENEFÍCIO DE PROGRAMA SOCIAL DE COMPLEMENTAÇÃO OU SUPLEMENTAÇÃO DE RENDA DO GDF (PRATO CHEIO, DF SOCIAL) ORLANDO NOLÊTO COSTA FILHO 047***.***-** 1 DEFERIDO EMILY MARINA ALVES MOREIRA 047***.***-** 1 INDEFERIDO CANDIDATO (A) NÃO APRESENTOU DOCUMENTO DE IDENTIFICAÇÃO LUCAS FERNANDO DOS SANTOS SILVA 035***.***-** 1 DEFERIDO MAYARA HANYLE BENTO GOMES DA SILVA 035***.***-** 1 INDEFERIDO CANDIDATO (A) NÃO APRESENTOU DOCUMENTO DE IDENTIFICAÇÃO MAYARA HANYLE BENTO GOMES DA SILVA 035***.***-** 8 INDEFERIDO CANDIDATO (A) NÃO APRESENTOU DOCUMENTO DE IDENTIFICAÇÃO YURI PALACIO MELLO 059***.***-** 1 DEFERIDO NATIELY OLIVEIRA FELIX 069***.***-** 8 INDEFERIDO CANDIDATO (A) NÃO APRESENTOU DECLARAÇÃO EXPEDIDA PELO GDF QUE COMPROVE RECEBIMENTO DE BENEFÍCIO DE PROGRAMA SOCIAL DE COMPLEMENTAÇÃO OU SUPLEMENTAÇÃO DE RENDA DO GDF (PRATO CHEIO, DF SOCIAL) LUANA RABELO BASTOS 030***.***-** 1 INDEFERIDO CANDIDATO (A) NÃO APRESENTOU DECLARAÇÃO EXPEDIDA PELO GDF QUE COMPROVE RECEBIMENTO DE BENEFÍCIO DE PROGRAMA SOCIAL DE COMPLEMENTAÇÃO OU SUPLEMENTAÇÃO DE RENDA DO GDF (PRATO CHEIO, DF SOCIAL) LUIZA OHANA HARADA 040***.***-** 1 DEFERIDO FRANCINALDO MENDE DE SOUZA 844***.***-** 8 INDEFERIDO CANDIDATO (A) NÃO APRESENTOU COMPROVANTES DE PRESTAÇÃO DE SERVIÇOS À JUSTIÇA ELEITORAL POR, NO MÍNIMO, DUAS ELEIÇÕES
  • 156.
    LILIANE JERONIMO DEMOURA -***.***-** - INDEFERIDO CANDIDATO (A) NÃO APRESENTOU DOCUMENTAÇÃO EXIGIDA GIZELE MARIA ORNELAS 906***.***-** 2 INDEFERIDO CANDIDATO (A) NÃO APRESENTOU DECLARAÇÃO EXPEDIDA PELO GDF QUE COMPROVE RECEBIMENTO DE BENEFÍCIO DE PROGRAMA SOCIAL DE COMPLEMENTAÇÃO OU SUPLEMENTAÇÃO DE RENDA DO GDF (PRATO CHEIO, DF SOCIAL) MARINA DE FÁTIMA ROCHA GUIMARÃES 044***.***-** 8 INDEFERIDO CANDIDATO (A) NÃO APRESENTOU DECLARAÇÃO EXPEDIDA PELO GDF QUE COMPROVE RECEBIMENTO DE BENEFÍCIO DE PROGRAMA SOCIAL DE COMPLEMENTAÇÃO OU SUPLEMENTAÇÃO DE RENDA DO GDF (PRATO CHEIO, DF SOCIAL) MARINA DE FÁTIMA ROCHA GUIMARÃES 044***.***-** 1 INDEFERIDO CANDIDATO (A) NÃO APRESENTOU DECLARAÇÃO EXPEDIDA PELO GDF QUE COMPROVE RECEBIMENTO DE BENEFÍCIO DE PROGRAMA SOCIAL DE COMPLEMENTAÇÃO OU SUPLEMENTAÇÃO DE RENDA DO GDF (PRATO CHEIO, DF SOCIAL) FABRICIO SALVADOR DE MELO 929***.***-** 1 DEFERIDO VERONICA BRITO DE OLIVEIRA 851***.***-** 2 INDEFERIDO CANDIDATO (A) NÃO APRESENTOU COMPROVANTE DE CADASTRAMENTO NO CADASTRO ÚNICO ELVIS BRUNO PEREIRA AGUIAR 021***.***-** 5 INDEFERIDO CANDIDATO (A) NÃO APRESENTOU DECLARAÇÃO EXPEDIDA PELO GDF QUE COMPROVE RECEBIMENTO DE BENEFÍCIO DE PROGRAMA SOCIAL DE COMPLEMENTAÇÃO OU SUPLEMENTAÇÃO DE RENDA DO GDF (PRATO CHEIO, DF SOCIAL) WEBERTON FELIX GUERRA 053***.***-** 1 INDEFERIDO CANDIDATO (A) NÃO APRESENTOU DECLARAÇÃO EXPEDIDA PELO GDF QUE COMPROVE RECEBIMENTO DE BENEFÍCIO DE PROGRAMA SOCIAL DE COMPLEMENTAÇÃO OU SUPLEMENTAÇÃO DE RENDA DO GDF (PRATO CHEIO, DF SOCIAL) WEBERTON FELIX GUERRA 053***.***-** 8 INDEFERIDO CANDIDATO (A) NÃO APRESENTOU DECLARAÇÃO EXPEDIDA PELO GDF QUE COMPROVE RECEBIMENTO DE BENEFÍCIO DE PROGRAMA SOCIAL DE COMPLEMENTAÇÃO OU SUPLEMENTAÇÃO DE RENDA DO GDF (PRATO CHEIO, DF SOCIAL) RITA SILVANIA SOARES SPÍNDOLA 515***.***-** - INDEFERIDO CANDIDATO (A) NÃO APRESENTOU DECLARAÇÃO EXPEDIDA PELO GDF QUE COMPROVE RECEBIMENTO DE BENEFÍCIO DE PROGRAMA SOCIAL DE COMPLEMENTAÇÃO OU SUPLEMENTAÇÃO DE RENDA DO GDF (PRATO CHEIO, DF SOCIAL) E NÃO INFORMOU O CARGO LUIZ ALBERTO VIERIA SANTOS FILHO 124***.***-** 8 DEFERIDO LUIZ ALBERTO VIERIA SANTOS FILHO 124***.***-** 1 DEFERIDO GABRIELA OLINDA CARDOSO 064***.***-** 1 DEFERIDO CLAUDIANA LUCENA DA SILVA -***.***-** - INDEFERIDO CANDIDATO (A) NÃO APRESENTOU DOCUMENTAÇÃO EXIGIDA KENNYA DEYSE BENTO DE SOUZA 035***.***-** 1 DEFERIDO
  • 157.
    LAIS DOS SANTOSSILVA 024***.***-** 1 INDEFERIDO CANDIDATO (A) NÃO APRESENTOU DECLARAÇÃO EXPEDIDA PELO GDF QUE COMPROVE RECEBIMENTO DE BENEFÍCIO DE PROGRAMA SOCIAL DE COMPLEMENTAÇÃO OU SUPLEMENTAÇÃO DE RENDA DO GDF (PRATO CHEIO, DF SOCIAL) LAIS DOS SANTOS SILVA 024***.***-** 3 INDEFERIDO CANDIDATO (A) NÃO APRESENTOU DECLARAÇÃO EXPEDIDA PELO GDF QUE COMPROVE RECEBIMENTO DE BENEFÍCIO DE PROGRAMA SOCIAL DE COMPLEMENTAÇÃO OU SUPLEMENTAÇÃO DE RENDA DO GDF (PRATO CHEIO, DF SOCIAL) JAKSON DE SOUZA VIEIRA 816***.***-** - INDEFERIDO CANDIDATO (A) NÃO APRESENTOU COMPROVANTE DE CADASTRAMENTO NO CADASTRO ÚNICO E FORMULÁRIO PARA PEDIDO DE ISENÇÃO MARILDA GOMES FARIAS 393***.***-** - INDEFERIDO CANDIDATO (A) NÃO APRESENTOU DOCUMENTO DE IDENTIFICAÇÃO, COMPROVANTE DE CADASTRAMENTO NO CADASTRO ÚNICO E FORMULÁRIO PARA PEDIDO DE ISENÇÃO MAYANE ALVES -***.***-** - INDEFERIDO CANDIDATO (A) NÃO APRESENTOU DOCUMENTO DE IDENTIFICAÇÃO, FORMULÁRIO PARA PEDIDO DE ISENÇÃO E LAUDO MÉDICO COMPROBATÓRIO DA ISENÇÃO DE ACORDO COM A POSSIBILIDADE ESCOLHIDA (CAD. ÚNICO FEDERAL) JULIMARA FRANCISCA REINALDO DA SILVA 713***.***-** 1 DEFERIDO JULIMARA FRANCISCA REINALDO DA SILVA 713***.***-** 8 DEFERIDO WILSON DUTRA SILVA 704***.***-** 1 DEFERIDO CLEBER ALVES DA SILVA 859***.***-** 3 DEFERIDO MONICA ANASTACIO NERES 896***.***-** 1 DEFERIDO VALMIR FRANCISCO MENDES 697***.***-** 1 DEFERIDO MARINA BARBOSA MEDEIROS OLIVEIRA 064***.***-** 1 INDEFERIDO CANDIDATO (A) NÃO APRESENTOU LAUDO MÉDICO COMPROBATÓRIO DA ISENÇÃO DE ACORDO COM A POSSIBILIDADE ESCOLHIDA (CAD. ÚNICO FEDERAL) ANA PAULA REIS -***.***-** - INDEFERIDO CANDIDATO (A) NÃO APRESENTOU DOCUMENTAÇÃO EXIGIDA ANNA PAULA DE JESUS NUNES 029***.***-** 2 DEFERIDO ANNA PAULA DE JESUS NUNES 029***.***-** 1 DEFERIDO THAYNARA OLIVEIRA DOS ANJOS DIOS 054***.***-** 1 INDEFERIDO MARIANA DOS SANTOS NUNES 055***.***-** 3 INDEFERIDO CANDIDATO (A) NÃO APRESENTOU DECLARAÇÃO EXPEDIDA PELO GDF QUE COMPROVE RECEBIMENTO DE BENEFÍCIO DE PROGRAMA SOCIAL DE COMPLEMENTAÇÃO OU SUPLEMENTAÇÃO DE RENDA DO GDF (PRATO CHEIO, DF SOCIAL) NOELIA TEIXEIRA DE ALMEIDA 042***.***-** 1 INDEFERIDO CANDIDATO (A) NÃO APRESENTOU COMPROVANTES DE PRESTAÇÃO DE SERVIÇOS À JUSTIÇA ELEITORAL POR, NO MÍNIMO, DUAS ELEIÇÕES LUANA DE MOURA GOMES 067***.***-** 5 DEFERIDO
  • 158.
    JAÍZA SANTIAGO DECARVALHO 722***.***-** 6 INDEFERIDO CANDIDATO (A) NÃO APRESENTOU DECLARAÇÃO EXPEDIDA PELO GDF QUE COMPROVE RECEBIMENTO DE BENEFÍCIO DE PROGRAMA SOCIAL DE COMPLEMENTAÇÃO OU SUPLEMENTAÇÃO DE RENDA DO GDF (PRATO CHEIO, DF SOCIAL) E DOCUMENTO DE IDENTIFICAÇÃO KARINA DE AMORIM DA CONCEICAO -***.***-** 1 INDEFERIDO CANDIDATO (A) NÃO APRESENTOU DOCUMENTO DE IDENTIFICAÇÃO E LAUDO MÉDICO COMPROBATÓRIO DA ISENÇÃO DE ACORDO COM A POSSIBILIDADE ESCOLHIDA (CAD. ÚNICO FEDERAL) TAMIRIS BEMFICA DA COSTA LIMA 020***.***-** 2 DEFERIDO TAMIRIS BEMFICA DA COSTA LIMA 020***.***-** 1 DEFERIDO FERNANDO DE OLIVEIRA REIS MARIANO 027***.***-** 1 INDEFERIDO CANDIDATO (A) NÃO APRESENTOU DOCUMENTAÇÃO EXIGIDA EM PDF MARIA DIVINA LOPES GLÓRIA 805***.***-** 1 DEFERIDO RAQUEL VIEIRA DE OLIVEIRA LEAL 008***.***-** 1 DEFERIDO MARTA ANASTACIO NERES 986***.***-** 2 DEFERIDO CLAUDIA DA SILVA SANTOS 723***.***-** 1 INDEFERIDO CANDIDATO (A) NÃO APRESENTOU DOCUMENTO DE IDENTIFICAÇÃO E LAUDO MÉDICO COMPROBATÓRIO DA ISENÇÃO DE ACORDO COM A POSSIBILIDADE ESCOLHIDA (CAD. ÚNICO FEDERAL) CLAUDIA DA SILVA SANTOS 723***.***-** 3 INDEFERIDO CANDIDATO (A) NÃO APRESENTOU DOCUMENTO DE IDENTIFICAÇÃO E LAUDO MÉDICO COMPROBATÓRIO DA ISENÇÃO DE ACORDO COM A POSSIBILIDADE ESCOLHIDA (CAD. ÚNICO FEDERAL) ADELAIDE FIGUEREDO DE SOUZA 610***.***-** 1 DEFERIDO REMERSON DA SILVA SANTOS 065***.***-** 1 INDEFERIDO CANDIDATO (A) NÃO APRESENTOU LAUDO MÉDICO COMPROBATÓRIO DA ISENÇÃO DE ACORDO COM A POSSIBILIDADE ESCOLHIDA (CAD. ÚNICO FEDERAL) RENATHA EMANUELLE DE FREITAS SOUSA 013***.***-** 1 DEFERIDO MÔNICA ANASTÁCIO NERES 896***.***-** 6 DEFERIDO SAMARA DOS SANTOS BEZERRA 044***.***-** - INDEFERIDO CANDIDATO (A) NÃO APRESENTOU FORMULÁRIO PARA PEDIDO DE ISENÇÃO OFERECIDO PELA FUNATEC PEDRO HENRIQUE RODRIGUES DE ASSIS 029***.***-** 1 INDEFERIDO CANDIDATO (A) NÃO APRESENTOU DOCUMENTAÇÃO EXIGIDA EM PDF CLEA MARTINS LARA 912***.***-** 1 INDEFERIDO CANDIDATO (A) NÃO APRESENTOU DECLARAÇÃO EXPEDIDA PELO GDF QUE COMPROVE RECEBIMENTO DE BENEFÍCIO DE PROGRAMA SOCIAL DE COMPLEMENTAÇÃO OU SUPLEMENTAÇÃO DE RENDA DO GDF (PRATO CHEIO, DF SOCIAL) JULIANA CLEMENTE DE SOUZA 076***.***-** - INDEFERIDO CANDIDATO (A) NÃO APRESENTOU DOCUMENTO DE IDENTIFICAÇÃO E FORMULÁRIO PARA PEDIDO DE ISENÇÃO WILSON RAMOS 358***.***-** 1 DEFERIDO ROSALINA BRITO DOS SANTOS DA SILVA 965***.***-** 1 DEFERIDO
  • 159.
    CARLA ABADIA DASILVA MELO 059***.***-** 1 DEFERIDO SANDRA FRANCISCA DA CRUZ 669***.***-** 1 DEFERIDO SANDRA FRANCISCA DA CRUZ 669***.***-** 5 INDEFERIDO CANDIDATO (A) NÃO APRESENTOU UM E-MAIL DE SOLICITAÇÃO DE ISENÇÃO COM UM FORMULÁRIO PARA CADA CARGO WENDELL DA CRUZ COSTA 636***.***-** 1 INDEFERIDO CANDIDATO (A) NÃO APRESENTOU DOCUMENTO DE IDENTIFICAÇÃO E LAUDO MÉDICO COMPROBATÓRIO DA ISENÇÃO DE ACORDO COM A POSSIBILIDADE ESCOLHIDA (CAD. ÚNICO FEDERAL) ISEQUIEL PIRES MEDEIROS 040***.***-** 6 DEFERIDO EUNICE OLIVEIRA NAZARENO 584***.***-** 1 INDEFERIDO CANDIDATO (A) NÃO APRESENTOU DECLARAÇÃO EXPEDIDA PELO GDF QUE COMPROVE RECEBIMENTO DE BENEFÍCIO DE PROGRAMA SOCIAL DE COMPLEMENTAÇÃO OU SUPLEMENTAÇÃO DE RENDA DO GDF (PRATO CHEIO, DF SOCIAL) EUNICE OLIVEIRA NAZARENO 584***.***-** 5 INDEFERIDO CANDIDATO (A) NÃO APRESENTOU DECLARAÇÃO EXPEDIDA PELO GDF QUE COMPROVE RECEBIMENTO DE BENEFÍCIO DE PROGRAMA SOCIAL DE COMPLEMENTAÇÃO OU SUPLEMENTAÇÃO DE RENDA DO GDF (PRATO CHEIO, DF SOCIAL) HELIO RICARDO LIMA DE SOUSA 636***.***-** 1 DEFERIDO BRUNA LIMA VIANA 044***.***-** 1 DEFERIDO BRUNA LIMA VIANA 044***.***-** 8 INDEFERIDO CANDIDATO (A) NÃO APRESENTOU UM E-MAIL DE SOLICITAÇÃO DE ISENÇÃO COM UM FORMULÁRIO PARA CADA CARGO GLACIMARA TURIAL DE ALMEIDA INACIO 903***.***-** 1 DEFERIDO FLÁVIA MYCHELLE MACHADO REGO 087***.***-** - INDEFERIDO CANDIDATO (A) NÃO APRESENTOU DOCUMENTAÇÃO EXIGIDA EM PDF ALCIDES ALEXANDRE JÚNIO SANTANA DE SOUSA 006***.***-** 8 DEFERIDO LUCAS DUARTE -***.***-** - INDEFERIDO CANDIDATO (A) NÃO APRESENTOU NENHUMA DOCUMENTAÇÃO ISEQUIEL PIRES MEDEIROS 040***.***-** 1 DEFERIDO ISABELLA FERREIRA DOS SANTOS 047***.***-** 1 INDEFERIDO CANDIDATO (A) NÃO APRESENTOU DECLARAÇÃO EXPEDIDA PELO GDF QUE COMPROVE RECEBIMENTO DE BENEFÍCIO DE PROGRAMA SOCIAL DE COMPLEMENTAÇÃO OU SUPLEMENTAÇÃO DE RENDA DO GDF (PRATO CHEIO, DF SOCIAL) REGINA LOPES CATULIO 858***.***-** - INDEFERIDO CANDIDATO (A) NÃO INFORMOU NO FORMULÁRIO O CARGO O QUAL DESEJA A ISENÇÃO SAYURI MOREIRA AOYAMA 051***.***-** 2 DEFERIDO DANIELLE SOARES DAMASCENO 076***.***-** 8 INDEFERIDO EMANNOELLE ALMEIDA LIMA 002***.***-** 1 INDEFERIDO CANDIDATO (A) NÃO APRESENTOU DECLARAÇÃO EXPEDIDA PELO GDF QUE COMPROVE RECEBIMENTO DE BENEFÍCIO DE PROGRAMA SOCIAL DE COMPLEMENTAÇÃO OU SUPLEMENTAÇÃO DE RENDA DO GDF (PRATO CHEIO, DF SOCIAL) ANTONIA RIBEIRO DOS SANTOS 029***.***-** 1 DEFERIDO
  • 160.
    JANAINA LEAL SALDANHA798***.***-** 1 INDEFERIDO CANDIDATO (A) NÃO APRESENTOU DOCUMENTO DE IDENTIFICAÇÃO E LAUDO MÉDICO COMPROBATÓRIO DA ISENÇÃO DE ACORDO COM A POSSIBILIDADE ESCOLHIDA (CAD. ÚNICO FEDERAL) ANA CLARA DE LIMA PARREIRA MENDES 070***.***-** 1 INDEFERIDO CANDIDATO (A) NÃO APRESENTOU DECLARAÇÃO EXPEDIDA PELO GDF QUE COMPROVE RECEBIMENTO DE BENEFÍCIO DE PROGRAMA SOCIAL DE COMPLEMENTAÇÃO OU SUPLEMENTAÇÃO DE RENDA DO GDF (PRATO CHEIO, DF SOCIAL) FLAVIO PEREIRA CUNHA 009***.***-** 1 DEFERIDO VALERIA FREITAS DA CRUZ 019***.***-** 1 INDEFERIDO CANDIDATO (A) NÃO APRESENTOU DOCUMENTO DE IDENTIFICAÇÃO, DECLARAÇÃO EXPEDIDA PELO GDF QUE COMPROVE RECEBIMENTO DE BENEFÍCIO DE PROGRAMA SOCIAL DE COMPLEMENTAÇÃO OU SUPLEMENTAÇÃO DE RENDA DO GDF (PRATO CHEIO, DF SOCIAL) E FORMULÁRIO EM PDF RAQUEL SARAIVA DOS SANTOS 779***.***-** 6 DEFERIDO LIDIANE GONÇALVES DA COSTA 691***.***-** 1 DEFERIDO LIDIANE GONÇALVES DA COSTA 691***.***-** 8 DEFERIDO ANDRIÊ LUIZ FELIPE 097***.***-** 1 INDEFERIDO CANDIDATO (A) NÃO APRESENTOU DECLARAÇÃO EXPEDIDA PELO GDF QUE COMPROVE RECEBIMENTO DE BENEFÍCIO DE PROGRAMA SOCIAL DE COMPLEMENTAÇÃO OU SUPLEMENTAÇÃO DE RENDA DO GDF (PRATO CHEIO, DF SOCIAL) FABIANA MARCELINA ROSA 889***.***-** 1 DEFERIDO RODRIGO FERNANDES DA SILVA 016***.***-** 1 DEFERIDO HANDSON MARQUES DA SILVA 024***.***-** 1 DEFERIDO HANDSON MARQUES DA SILVA 024***.***-** 2 DEFERIDO LILIANE LEITÃO CÂNDIDO 012***.***-** 1 INDEFERIDO CANDIDATO (A) NÃO APRESENTOU DOCUMENTAÇÃO EXIGIDA EM PDF CARLOS RONNES DE OLIVEIRA FEITOSA 023***.***-** 1 INDEFERIDO CANDIDATO (A) NÃO APRESENTOU DOCUMENTO DE IDENTIFICAÇÃO E COMPROVANTES DE PRESTAÇÃO DE SERVIÇOS À JUSTIÇA ELEITORAL POR, NO MÍNIMO, DUAS ELEIÇÕES IZABELE FERREIRA SALES SOARES 077***.***-** 1 INDEFERIDO CANDIDATO (A) NÃO APRESENTOU DOCUMENTAÇÃO EXIGIDA FLAVIA MENDES ROCHA 991***.***-** 1 DEFERIDO FLAVIA MENDES ROCHA 991***.***-** 3 DEFERIDO LAIS DE MAURO SILVA 023***.***-** 1 DEFERIDO ANGELA MARIA LEITE DE QUEIROZ 042***.***-** 1 DEFERIDO ILMA MARIA BISPO DOS SANTOS 009***.***-** 3 INDEFERIDO CANDIDATO (A) NÃO APRESENTOU DOCUMENTAÇÃO EXIGIDA EM PDF HELLEN VIVIANE LIMA PENHA 046***.***-** 1 INDEFERIDO CANDIDATO (A) NÃO APRESENTOU DECLARAÇÃO EXPEDIDA PELO GDF QUE COMPROVE RECEBIMENTO DE BENEFÍCIO DE PROGRAMA SOCIAL DE COMPLEMENTAÇÃO OU SUPLEMENTAÇÃO DE RENDA DO GDF (PRATO CHEIO, DF SOCIAL)
  • 161.
    ELIANE EVANGELISTA DASILVA 723***.***-** 1 DEFERIDO ELIZABETH CARVALHO SILVA 006***.***-** - INDEFERIDO CANDIDATO (A) NÃO INFORMOU NO FORMULÁRIO O CARGO O QUAL DESEJA A ISENÇÃO E NÃO APRESENTOU DECLARAÇÃO EXPEDIDA PELO GDF QUE COMPROVE RECEBIMENTO DE BENEFÍCIO DE PROGRAMA SOCIAL DE COMPLEMENTAÇÃO OU SUPLEMENTAÇÃO DE RENDA DO GDF (PRATO CHEIO, DF SOCIAL) INGRID LUCAS FERREIRA SOUZA 060***.***-** - INDEFERIDO CANDIDATO (A) NÃO INFORMOU NO FORMULÁRIO O CARGO O QUAL DESEJA A ISENÇÃO E NÃO APRESENTOU DECLARAÇÃO EXPEDIDA PELO GDF QUE COMPROVE RECEBIMENTO DE BENEFÍCIO DE PROGRAMA SOCIAL DE COMPLEMENTAÇÃO OU SUPLEMENTAÇÃO DE RENDA DO GDF (PRATO CHEIO, DF SOCIAL) MARCELA ALVES SANTOS 059***.***-** 1 DEFERIDO MARCELA ALVES SANTOS 059***.***-** 8 DEFERIDO LOURDES SOUSA DE ALMEIDA 073***.***-** 1 INDEFERIDO CANDIDATO (A) NÃO APRESENTOU DECLARAÇÃO EXPEDIDA PELO GDF QUE COMPROVE RECEBIMENTO DE BENEFÍCIO DE PROGRAMA SOCIAL DE COMPLEMENTAÇÃO OU SUPLEMENTAÇÃO DE RENDA DO GDF (PRATO CHEIO, DF SOCIAL) LOURDES SOUSA DE ALMEIDA 073***.***-** 6 INDEFERIDO CANDIDATO (A) NÃO APRESENTOU DECLARAÇÃO EXPEDIDA PELO GDF QUE COMPROVE RECEBIMENTO DE BENEFÍCIO DE PROGRAMA SOCIAL DE COMPLEMENTAÇÃO OU SUPLEMENTAÇÃO DE RENDA DO GDF (PRATO CHEIO, DF SOCIAL) SHIRLEY DE SOUSA MUNIZ 043***.***-** 1 INDEFERIDO CANDIDATO (A) NÃO APRESENTOU DECLARAÇÃO EXPEDIDA PELO GDF QUE COMPROVE RECEBIMENTO DE BENEFÍCIO DE PROGRAMA SOCIAL DE COMPLEMENTAÇÃO OU SUPLEMENTAÇÃO DE RENDA DO GDF (PRATO CHEIO, DF SOCIAL) LÍVILLA FERNANDES DE MIRANDA ANDRADE 060***.***-** 1 DEFERIDO LÍVILLA FERNANDES DE MIRANDA ANDRADE 060***.***-** 3 DEFERIDO JOSE VICENTE DUQUE DOS SANTOS 658***.***-** 1 INDEFERIDO CANDIDATO (A) NÃO APRESENTOU DECLARAÇÃO EXPEDIDA PELO GDF QUE COMPROVE RECEBIMENTO DE BENEFÍCIO DE PROGRAMA SOCIAL DE COMPLEMENTAÇÃO OU SUPLEMENTAÇÃO DE RENDA DO GDF (PRATO CHEIO, DF SOCIAL) VIVIANE PEREIRA ALVES DE OLIVEIRA 023***.***-** 1 INDEFERIDO CANDIDATO (A) NÃO APRESENTOU DOCUMENTO DE IDENTIFICAÇÃO E COMPROVANTES DE PRESTAÇÃO DE SERVIÇOS À JUSTIÇA ELEITORAL POR, NO MÍNIMO, DUAS ELEIÇÕES NEIA MARIA DOS SANTOS 720***.***-** 1 INDEFERIDO CANDIDATO (A) NÃO APRESENTOU DOCUMENTO DE IDENTIFICAÇÃO E LAUDO MÉDICO COMPROBATÓRIO DA ISENÇÃO DE ACORDO COM A POSSIBILIDADE ESCOLHIDA (CAD. ÚNICO FEDERAL) FIAMMA NURCE BURJACK DE SOUSA 036***.***-** 1 DEFERIDO
  • 162.
    FRANCILENE DA SILVAMELO 039***.***-** 7 INDEFERIDO CANDIDATO (A) NÃO APRESENTOU DECLARAÇÃO EXPEDIDA PELO GDF QUE COMPROVE RECEBIMENTO DE BENEFÍCIO DE PROGRAMA SOCIAL DE COMPLEMENTAÇÃO OU SUPLEMENTAÇÃO DE RENDA DO GDF (PRATO CHEIO, DF SOCIAL) VANESSA GOMES DOS SANTOS 076***.***-** 6 INDEFERIDO CANDIDATO (A) NÃO APRESENTOU DECLARAÇÃO EXPEDIDA PELO GDF QUE COMPROVE RECEBIMENTO DE BENEFÍCIO DE PROGRAMA SOCIAL DE COMPLEMENTAÇÃO OU SUPLEMENTAÇÃO DE RENDA DO GDF (PRATO CHEIO, DF SOCIAL) FERNANDA BORJA LOUSADA SOARES 030***.***-** 4 DEFERIDO ALYNE LORRAINE DOS SANTOS NASCIMENTO 049***.***-** 3 INDEFERIDO CANDIDATO (A) NÃO APRESENTOU DECLARAÇÃO EXPEDIDA PELO GDF QUE COMPROVE RECEBIMENTO DE BENEFÍCIO DE PROGRAMA SOCIAL DE COMPLEMENTAÇÃO OU SUPLEMENTAÇÃO DE RENDA DO GDF (PRATO CHEIO, DF SOCIAL) ALEX ROSA CAMPANI 726***.***-** 1 DEFERIDO MARLUCI RODRIGUES EVANGELISTA 824***.***-** 1 INDEFERIDO CANDIDATO (A) NÃO APRESENTOU DOCUMENTO DE IDENTIFICAÇÃO, DECLARAÇÃO EXPEDIDA PELO GDF QUE COMPROVE RECEBIMENTO DE BENEFÍCIO DE PROGRAMA SOCIAL DE COMPLEMENTAÇÃO OU SUPLEMENTAÇÃO DE RENDA DO GDF (PRATO CHEIO, DF SOCIAL) E FORMULÁRIO EM PDF MARLUCI RODRIGUES EVANGELISTA 824***.***-** 8 INDEFERIDO CANDIDATO (A) NÃO APRESENTOU DOCUMENTO DE IDENTIFICAÇÃO, DECLARAÇÃO EXPEDIDA PELO GDF QUE COMPROVE RECEBIMENTO DE BENEFÍCIO DE PROGRAMA SOCIAL DE COMPLEMENTAÇÃO OU SUPLEMENTAÇÃO DE RENDA DO GDF (PRATO CHEIO, DF SOCIAL) E FORMULÁRIO EM PDF GESSICA VIEIRA DA SILVA 009***.***-** 1 INDEFERIDO CANDIDATO (A) NÃO APRESENTOU DECLARAÇÃO EXPEDIDA PELO GDF QUE COMPROVE RECEBIMENTO DE BENEFÍCIO DE PROGRAMA SOCIAL DE COMPLEMENTAÇÃO OU SUPLEMENTAÇÃO DE RENDA DO GDF (PRATO CHEIO, DF SOCIAL) ROBERTA NASARENA DE SOUSA LIMA 919***.***-** 3 INDEFERIDO CANDIDATO (A) NÃO APRESENTOU DECLARAÇÃO EXPEDIDA PELO GDF QUE COMPROVE RECEBIMENTO DE BENEFÍCIO DE PROGRAMA SOCIAL DE COMPLEMENTAÇÃO OU SUPLEMENTAÇÃO DE RENDA DO GDF (PRATO CHEIO, DF SOCIAL) CATARINE MARIA DE SOUSA PINTO MARÇAL 913***.***-** 1 DEFERIDO CATARINE MARIA DE SOUSA PINTO MARÇAL 913***.***-** 4 DEFERIDO ANA LUCIA WIZIACK 279***.***-** 1 DEFERIDO LETANIA DE LIMA PARREIRA 007***.***-** 8 INDEFERIDO CANDIDATO (A) NÃO APRESENTOU COMPROVANTE DE TRÊS DOAÇÕES DE SANGUE REALIZADAS PELO MENOS UM ANO ANTES DA DATA DA INSCRIÇÃO
  • 163.
    EVERSON MARTINS DONASCIMENTO 803***.***-** 3 INDEFERIDO CANDIDATO (A) NÃO APRESENTOU DOCUMENTO DE IDENTIFICAÇÃO E LAUDO MÉDICO COMPROBATÓRIO DA ISENÇÃO DE ACORDO COM A POSSIBILIDADE ESCOLHIDA (CAD. ÚNICO FEDERAL) LUCIANA MARIA DA SILVA 505***.***-** 1 DEFERIDO CAROLINA ALVES DE OLIVEIRA 091***.***-** 1 INDEFERIDO CANDIDATO (A) NÃO APRESENTOU DOCUMENTO DE IDENTIFICAÇÃO, DECLARAÇÃO EXPEDIDA PELO GDF QUE COMPROVE RECEBIMENTO DE BENEFÍCIO DE PROGRAMA SOCIAL DE COMPLEMENTAÇÃO OU SUPLEMENTAÇÃO DE RENDA DO GDF (PRATO CHEIO, DF SOCIAL) DEUSANY NASCIMENTO DA SILVA 080***.***-** 6 DEFERIDO ANA CLAUDIA LOPES GONÇALVES 730***.***-** 3 INDEFERIDO CANDIDATO (A) NÃO APRESENTOU DOCUMENTO DE IDENTIFICAÇÃO ELLANY RIKELLY SANTOS BARBOSA 023***.***-** 1 DEFERIDO ELLANY RIKELLY SANTOS BARBOSA 023***.***-** 8 DEFERIDO TARCIANA RAFAEL DA SILVA PERES 016***.***-** 2 DEFERIDO SAMANTHA LALUZE BATISTA DE SOUZA 042***.***-** 1 DEFERIDO EVA MARIA NEIVA BARROS 824***.***-** 3 INDEFERIDO CANDIDATO (A) NÃO APRESENTOU DECLARAÇÃO EXPEDIDA PELO GDF QUE COMPROVE RECEBIMENTO DE BENEFÍCIO DE PROGRAMA SOCIAL DE COMPLEMENTAÇÃO OU SUPLEMENTAÇÃO DE RENDA DO GDF (PRATO CHEIO, DF SOCIAL) JOSÉ APARECIDO DA SILVA 603***.***-** 1 INDEFERIDO CANDIDATO (A) NÃO APRESENTOU DECLARAÇÃO EXPEDIDA PELO GDF QUE COMPROVE RECEBIMENTO DE BENEFÍCIO DE PROGRAMA SOCIAL DE COMPLEMENTAÇÃO OU SUPLEMENTAÇÃO DE RENDA DO GDF (PRATO CHEIO, DF SOCIAL) JOSÉ APARECIDO DA SILVA 603***.***-** 8 INDEFERIDO CANDIDATO (A) NÃO APRESENTOU DECLARAÇÃO EXPEDIDA PELO GDF QUE COMPROVE RECEBIMENTO DE BENEFÍCIO DE PROGRAMA SOCIAL DE COMPLEMENTAÇÃO OU SUPLEMENTAÇÃO DE RENDA DO GDF (PRATO CHEIO, DF SOCIAL) BRUNA TALITA -***.***-** - INDEFERIDO CANDIDATO (A) NÃO APRESENTOU NENHUMA DOCUMENTAÇÃO ROMEU RODRIGUES ROMEU CONTA -***.***-** - INDEFERIDO CANDIDATO (A) NÃO APRESENTOU NENHUMA DOCUMENTAÇÃO ALICIMARY VASCONCELOS BONIFÁCIO 032***.***-** - INDEFERIDO CANDIDATO (A) NÃO APRESENTOU DOCUMENTO DE IDENTIFICAÇÃO E FORMULÁRIO PARA PEDIDO DE ISENÇÃO KELLI CRISTINA ALVES RIBEIRO 104***.***-** 1 DEFERIDO THAIS DANTAS DA SILVA LOPES 699***.***-** 1 DEFERIDO MARCUS JHORDAM DE FRANÇA DO NASCIMENTO AUGUSTO 038***.***-** 3 DEFERIDO DAIANE OLIVEIRA DOS SANTOS 018***.***-** 1 DEFERIDO DIANA EVANGELISTA DE JESUS 02***.***-** 1 DEFERIDO DIANA EVANGELISTA DE JESUS 02***.***-** 6 DEFERIDO TALITA MARTINS DE SÁ 045***.***-** 1 DEFERIDO TALITA MARTINS DE SÁ 045***.***-** 1 DEFERIDO
  • 164.
    GUILHERME RIPARDO LUSTOSA056***.***-** 6 DEFERIDO GUILHERME RIPARDO LUSTOSA 056***.***-** 2 INDEFERIDO CANDIDATO (A) NÃO APRESENTOU UMA SOLICITAÇÃO DE ISENÇÃO COM UM FORMULÁRIO PARA CADA CARGO RICARDO ALVES SAMPAIO 982***.***-** 1 INDEFERIDO CANDIDATO (A) NÃO APRESENTOU DECLARAÇÃO EXPEDIDA PELO GDF QUE COMPROVE RECEBIMENTO DE BENEFÍCIO DE PROGRAMA SOCIAL DE COMPLEMENTAÇÃO OU SUPLEMENTAÇÃO DE RENDA DO GDF (PRATO CHEIO, DF SOCIAL) RICARDO ALVES SAMPAIO 982***.***-** 6 INDEFERIDO CANDIDATO (A) NÃO APRESENTOU DECLARAÇÃO EXPEDIDA PELO GDF QUE COMPROVE RECEBIMENTO DE BENEFÍCIO DE PROGRAMA SOCIAL DE COMPLEMENTAÇÃO OU SUPLEMENTAÇÃO DE RENDA DO GDF (PRATO CHEIO, DF SOCIAL) ANA PAULA ARAUJO DOURADO 042***.***-** - INDEFERIDO CANDIDATO (A) NÃO APRESENTOU DOCUMENTO DE IDENTIFICAÇÃO, LAUDO MÉDICO COMPROBATÓRIO DA ISENÇÃO DE ACORDO COM A POSSIBILIDADE ESCOLHIDA (CAD. ÚNICO FEDERAL) E NÃO INFORMOU O CARGO NO FORMULÁRIO ROMEU RODRIGUES 049***.***-** - INDEFERIDO CANDIDATO (A) NÃO APRESENTOU DOCUMENTAÇÃO EXIGIDA BÁRBARA DE CARVALHO COSTA 057***.***-** 1 DEFERIDO BÁRBARA DE CARVALHO COSTA 057***.***-** 7 DEFERIDO HUDSON LEONARDO DOS SANTOS SILVA BARBOSA 011***.***-** 1 INDEFERIDO CANDIDATO (A) NÃO APRESENTOU DECLARAÇÃO EXPEDIDA PELO GDF QUE COMPROVE RECEBIMENTO DE BENEFÍCIO DE PROGRAMA SOCIAL DE COMPLEMENTAÇÃO OU SUPLEMENTAÇÃO DE RENDA DO GDF (PRATO CHEIO, DF SOCIAL) HUDSON LEONARDO DOS SANTOS SILVA BARBOSA 011***.***-** 7 INDEFERIDO CANDIDATO (A) NÃO APRESENTOU DECLARAÇÃO EXPEDIDA PELO GDF QUE COMPROVE RECEBIMENTO DE BENEFÍCIO DE PROGRAMA SOCIAL DE COMPLEMENTAÇÃO OU SUPLEMENTAÇÃO DE RENDA DO GDF (PRATO CHEIO, DF SOCIAL) PEDRO HENRIQUE LIMA ASSUMPÇÃO 074***.***-** 1 INDEFERIDO CANDIDATO (A) NÃO APRESENTOU DECLARAÇÃO EXPEDIDA PELO GDF QUE COMPROVE RECEBIMENTO DE BENEFÍCIO DE PROGRAMA SOCIAL DE COMPLEMENTAÇÃO OU SUPLEMENTAÇÃO DE RENDA DO GDF (PRATO CHEIO, DF SOCIAL) PEDRO HENRIQUE LIMA ASSUMPÇÃO 074***.***-** 8 INDEFERIDO CANDIDATO (A) NÃO APRESENTOU DECLARAÇÃO EXPEDIDA PELO GDF QUE COMPROVE RECEBIMENTO DE BENEFÍCIO DE PROGRAMA SOCIAL DE COMPLEMENTAÇÃO OU SUPLEMENTAÇÃO DE RENDA DO GDF (PRATO CHEIO, DF SOCIAL) ELISANGELA DOS SANTOS SALES 784***.***-** 1 INDEFERIDO CANDIDATO (A) NÃO APRESENTOU DECLARAÇÃO EXPEDIDA PELO GDF QUE COMPROVE RECEBIMENTO DE BENEFÍCIO DE PROGRAMA SOCIAL DE COMPLEMENTAÇÃO OU SUPLEMENTAÇÃO DE RENDA DO GDF (PRATO CHEIO, DF SOCIAL)
  • 165.
    CARLA CRISTINA DEOLIVEIRA 023***.***-** 5 INDEFERIDO CANDIDATO (A) NÃO APRESENTOU DECLARAÇÃO EXPEDIDA PELO GDF QUE COMPROVE RECEBIMENTO DE BENEFÍCIO DE PROGRAMA SOCIAL DE COMPLEMENTAÇÃO OU SUPLEMENTAÇÃO DE RENDA DO GDF (PRATO CHEIO, DF SOCIAL) THIAGO SOARES NASCIMENTO 043***.***-** 7 DEFERIDO CAMILA MARTINS DE OLIVEIRA 034***.***-** 1 DEFERIDO CAMILA MARTINS DE OLIVEIRA 034***.***-** 8 INDEFERIDO CANDIDATO (A) NÃO APRESENTOU UM FORMULÁRIO DE SOLICITAÇÃO DE ISENÇÃO DE TAXA PARA CADA CARGO GESSIANA DOS SANTOS SOUSA 795***.***-** 3 DEFERIDO GESSIANA DOS SANTOS SOUSA 795***.***-** 1 DEFERIDO FRANCISCO SAMUEL BATISTA TEOTÔNIO 034***.***-** 5 DEFERIDO ANDREIA ALVES MAGALHAES 020***.***-** - INDEFERIDO CANDIDATO (A) NÃO APRESENTOU DOCUMENTAÇÃO EXIGIDA LAMARIA DIAS DOS SANTOS 397***.***-** 1 INDEFERIDO CANDIDATO (A) NÃO APRESENTOU DOCUMENTO DE IDENTIFICAÇÃO, DECLARAÇÃO EXPEDIDA PELO GDF QUE COMPROVE RECEBIMENTO DE BENEFÍCIO DE PROGRAMA SOCIAL DE COMPLEMENTAÇÃO OU SUPLEMENTAÇÃO DE RENDA DO GDF (PRATO CHEIO, DF SOCIAL) LAMARIA DIAS DOS SANTOS 397***.***-** 2 INDEFERIDO CANDIDATO (A) NÃO APRESENTOU DOCUMENTO DE IDENTIFICAÇÃO, DECLARAÇÃO EXPEDIDA PELO GDF QUE COMPROVE RECEBIMENTO DE BENEFÍCIO DE PROGRAMA SOCIAL DE COMPLEMENTAÇÃO OU SUPLEMENTAÇÃO DE RENDA DO GDF (PRATO CHEIO, DF SOCIAL) MIKAEL ALMEIDA RODRIGUES 064***.***-** 1 INDEFERIDO CANDIDATO (A) NÃO APRESENTOU DECLARAÇÃO EXPEDIDA PELO GDF QUE COMPROVE RECEBIMENTO DE BENEFÍCIO DE PROGRAMA SOCIAL DE COMPLEMENTAÇÃO OU SUPLEMENTAÇÃO DE RENDA DO GDF (PRATO CHEIO, DF SOCIAL) MÁRCIA ROSA DIAS 912***.***-** 1 INDEFERIDO CANDIDATO (A) NÃO APRESENTOU DECLARAÇÃO EXPEDIDA PELO GDF QUE COMPROVE RECEBIMENTO DE BENEFÍCIO DE PROGRAMA SOCIAL DE COMPLEMENTAÇÃO OU SUPLEMENTAÇÃO DE RENDA DO GDF (PRATO CHEIO, DF SOCIAL) MEIRIELLEN DE BRITO GOMES -***.***-** - INDEFERIDO CANDIDATO (A) NÃO APRESENTOU DOCUMENTAÇÃO EXIGIDA SIMONE ANGELICA ALVES DE SOUZA COSTA 774***.***-** 1 DEFERIDO ALINE MATOS PEREIRA 022***.***-** 1 DEFERIDO JÉSSICA ALVES BENEVINUTO 063***.***-** 1 INDEFERIDO CANDIDATO (A) NÃO APRESENTOU DECLARAÇÃO EXPEDIDA PELO GDF QUE COMPROVE RECEBIMENTO DE BENEFÍCIO DE PROGRAMA SOCIAL DE COMPLEMENTAÇÃO OU SUPLEMENTAÇÃO DE RENDA DO GDF (PRATO CHEIO, DF SOCIAL) RENATA DE SOUSA FERREIRA 025***.***-** 1 INDEFERIDO CANDIDATO (A) NÃO APRESENTOU DOCUMENTO DE IDENTIFICAÇÃO RENATA DE SOUSA FERREIRA 025***.***-** 6 INDEFERIDO CANDIDATO (A) NÃO APRESENTOU DOCUMENTO DE IDENTIFICAÇÃO
  • 166.
    BRUNA TALITA GARCIADE SOUZA 050***.***-** 1 INDEFERIDO CANDIDATO (A) NÃO APRESENTOU DECLARAÇÃO EXPEDIDA PELO GDF QUE COMPROVE RECEBIMENTO DE BENEFÍCIO DE PROGRAMA SOCIAL DE COMPLEMENTAÇÃO OU SUPLEMENTAÇÃO DE RENDA DO GDF (PRATO CHEIO, DF SOCIAL) RAY CAMPOS DE SOUSA 044***.***-** 8 DEFERIDO ELAINE CONCEICAO ROCHA 709***.***-** 1 INDEFERIDO CANDIDATO (A) NÃO APRESENTOU DOCUMENTO DE IDENTIFICAÇÃO LARISSA GOMES DE OLIVEIRA 034***.***-** 1 DEFERIDO LARISSA GOMES DE OLIVEIRA 034***.***-** 7 INDEFERIDO CANDIDATO (A) NÃO APRESENTOU UMA SOLICITAÇÃO DE ISENÇÃO COM UM FORMULÁRIO PARA CADA CARGO LETICIA IARA COUTINHO CESARIO 731***.***-** 1 DEFERIDO LETICIA IARA COUTINHO CESARIO 731***.***-** 6 DEFERIDO ICARO DOS SANTOS SALES 066***.***-** 1 INDEFERIDO CANDIDATO (A) NÃO APRESENTOU DECLARAÇÃO EXPEDIDA PELO GDF QUE COMPROVE RECEBIMENTO DE BENEFÍCIO DE PROGRAMA SOCIAL DE COMPLEMENTAÇÃO OU SUPLEMENTAÇÃO DE RENDA DO GDF (PRATO CHEIO, DF SOCIAL) LILIAM ROSE SANTOS 966***.***-** 8 INDEFERIDO CANDIDATO (A) NÃO APRESENTOU LAUDO MÉDICO COMPROBATÓRIO DA ISENÇÃO DE ACORDO COM A POSSIBILIDADE ESCOLHIDA (CAD. ÚNICO FEDERAL) FERNANDA MELO DA SILVA CEDRO 028***.***-** 1 DEFERIDO FERNANDA MELO DA SILVA CEDRO 028***.***-** 2 INDEFERIDO CANDIDATO (A) NÃO APRESENTOU UMA SOLICITAÇÃO DE ISENÇÃO COM UM FORMULÁRIO PARA CADA CARGO FABÍOLA ROCHA NOBREGA 725***.***-** 2 INDEFERIDO CANDIDATO (A) NÃO APRESENTOU DECLARAÇÃO EXPEDIDA PELO GDF QUE COMPROVE RECEBIMENTO DE BENEFÍCIO DE PROGRAMA SOCIAL DE COMPLEMENTAÇÃO OU SUPLEMENTAÇÃO DE RENDA DO GDF (PRATO CHEIO, DF SOCIAL) JULIENE FONSECA MENDES 133***.***-** 1 DEFERIDO FRANCISCO WELLINGTON MORAIS SILVA 025***.***-** 8 INDEFERIDO CANDIDATO (A) NÃO APRESENTOU LAUDO MÉDICO COMPROBATÓRIO DA ISENÇÃO DE ACORDO COM A POSSIBILIDADE ESCOLHIDA (CAD. ÚNICO FEDERAL) TAÍS MARIA DE SOUSA 041***.***-** 6 INDEFERIDO CANDIDATO (A) NÃO APRESENTOU LAUDO MÉDICO COMPROBATÓRIO DA ISENÇÃO DE ACORDO COM A POSSIBILIDADE ESCOLHIDA (CAD. ÚNICO FEDERAL) CLEITON FERREIRA DE LIMA 010***.***-** 1 DEFERIDO ALCINA MARTINS DE SOUZA 690***.***-** - INDEFERIDO CANDIDATO (A) NÃO APRESENTOU DECLARAÇÃO EXPEDIDA PELO GDF QUE COMPROVE RECEBIMENTO DE BENEFÍCIO DE PROGRAMA SOCIAL DE COMPLEMENTAÇÃO OU SUPLEMENTAÇÃO DE RENDA DO GDF (PRATO CHEIO, DF SOCIAL) E NÃO INFORMOU O CARGO
  • 167.
    GIOVANNA LAURA NUNESABRANTES DANTAS 018***.***-** 1 INDEFERIDO CANDIDATO (A) NÃO APRESENTOU DECLARAÇÃO EXPEDIDA PELO GDF QUE COMPROVE RECEBIMENTO DE BENEFÍCIO DE PROGRAMA SOCIAL DE COMPLEMENTAÇÃO OU SUPLEMENTAÇÃO DE RENDA DO GDF (PRATO CHEIO, DF SOCIAL) GIOVANNA LAURA NUNES ABRANTES DANTAS 018***.***-** 3 INDEFERIDO CANDIDATO (A) NÃO APRESENTOU DECLARAÇÃO EXPEDIDA PELO GDF QUE COMPROVE RECEBIMENTO DE BENEFÍCIO DE PROGRAMA SOCIAL DE COMPLEMENTAÇÃO OU SUPLEMENTAÇÃO DE RENDA DO GDF (PRATO CHEIO, DF SOCIAL) DANIELLE DA SILVA SANTOS 042***.***-** 1 DEFERIDO DANIELLE DA SILVA SANTOS 042***.***-** 6 INDEFERIDO CANDIDATO (A) NÃO APRESENTOU UMA SOLICITAÇÃO DE ISENÇÃO COM UM FORMULÁRIO PARA CADA CARGO CHARLENE DE JESUS SILVA CAVALCANTE 006***.***-** 1 INDEFERIDO CANDIDATO (A) NÃO APRESENTOU DECLARAÇÃO EXPEDIDA PELO GDF QUE COMPROVE RECEBIMENTO DE BENEFÍCIO DE PROGRAMA SOCIAL DE COMPLEMENTAÇÃO OU SUPLEMENTAÇÃO DE RENDA DO GDF (PRATO CHEIO, DF SOCIAL) KATHLEEN LORRANE ROSA DOS SANTOS 067***.***-** 8 INDEFERIDO CANDIDATO (A) NÃO APRESENTOU DECLARAÇÃO EXPEDIDA PELO GDF QUE COMPROVE RECEBIMENTO DE BENEFÍCIO DE PROGRAMA SOCIAL DE COMPLEMENTAÇÃO OU SUPLEMENTAÇÃO DE RENDA DO GDF (PRATO CHEIO, DF SOCIAL) PRISCILA FERREIRA DOS SANTOS 077***.***-** 1 INDEFERIDO CANDIDATO (A) NÃO APRESENTOU LAUDO MÉDICO COMPROBATÓRIO DA ISENÇÃO DE ACORDO COM A POSSIBILIDADE ESCOLHIDA (CAD. ÚNICO FEDERAL) SAMARA DA SILVA DOS SANTOS 036***.***-** 1 INDEFERIDO GABRIELA APARECIDA ANTUNES SIQUEIRA 054***.***-** 3 INDEFERIDO CANDIDATO (A) NÃO APRESENTOU DECLARAÇÃO EXPEDIDA PELO GDF QUE COMPROVE RECEBIMENTO DE BENEFÍCIO DE PROGRAMA SOCIAL DE COMPLEMENTAÇÃO OU SUPLEMENTAÇÃO DE RENDA DO GDF (PRATO CHEIO, DF SOCIAL) STEFANY MOARA DA SILVA SANTOS 022***.***-** 7 INDEFERIDO CANDIDATO (A) NÃO APRESENTOU LAUDO MÉDICO COMPROBATÓRIO DA ISENÇÃO DE ACORDO COM A POSSIBILIDADE ESCOLHIDA (CAD. ÚNICO FEDERAL) KEMILLY SOARES FONSECA DA SILVA 032***.***-** 5 INDEFERIDO CANDIDATO (A) NÃO APRESENTOU DECLARAÇÃO EXPEDIDA PELO GDF QUE COMPROVE RECEBIMENTO DE BENEFÍCIO DE PROGRAMA SOCIAL DE COMPLEMENTAÇÃO OU SUPLEMENTAÇÃO DE RENDA DO GDF (PRATO CHEIO, DF SOCIAL) MAURÍCIO DE ANDRADE GOMES 893***.***-** 8 INDEFERIDO CANDIDATO (A) NÃO APRESENTOU DECLARAÇÃO EXPEDIDA PELO GDF QUE COMPROVE RECEBIMENTO DE BENEFÍCIO DE PROGRAMA SOCIAL DE COMPLEMENTAÇÃO OU SUPLEMENTAÇÃO DE RENDA DO GDF (PRATO CHEIO, DF SOCIAL) FRANCISCO DANIARLE GOMES 035***.***-** - INDEFERIDO CANDIDATO (A) NÃO APRESENTOU FORMULÁRIO PARA PEDIDO DE ISENÇÃO
  • 168.
    PAULO HENRIQUE PIRESGONÇALVES 014***.***-** 1 DEFERIDO MAYARA CARVALHO MOTA 026***.***-** 7 INDEFERIDO CANDIDATO (A) NÃO APRESENTOU DOCUMENTO DE IDENTIFICAÇÃO E DECLARAÇÃO EXPEDIDA PELO GDF QUE COMPROVE RECEBIMENTO DE BENEFÍCIO DE PROGRAMA SOCIAL DE COMPLEMENTAÇÃO OU SUPLEMENTAÇÃO DE RENDA DO GDF (PRATO CHEIO, DF SOCIAL) ANA CRISTINA LEAL CARDOSO 785***.***-** 1 INDEFERIDO CANDIDATO (A) NÃO APRESENTOU DECLARAÇÃO EXPEDIDA PELO GDF QUE COMPROVE RECEBIMENTO DE BENEFÍCIO DE PROGRAMA SOCIAL DE COMPLEMENTAÇÃO OU SUPLEMENTAÇÃO DE RENDA DO GDF (PRATO CHEIO, DF SOCIAL) ANA CRISTINA LEAL CARDOSO 785***.***-** 8 INDEFERIDO CANDIDATO (A) NÃO APRESENTOU DECLARAÇÃO EXPEDIDA PELO GDF QUE COMPROVE RECEBIMENTO DE BENEFÍCIO DE PROGRAMA SOCIAL DE COMPLEMENTAÇÃO OU SUPLEMENTAÇÃO DE RENDA DO GDF (PRATO CHEIO, DF SOCIAL) HOSANA CICERA BEZERRA FERREIRA 538***.***-** 1 INDEFERIDO CANDIDATO (A) NÃO APRESENTOU DECLARAÇÃO EXPEDIDA PELO GDF QUE COMPROVE RECEBIMENTO DE BENEFÍCIO DE PROGRAMA SOCIAL DE COMPLEMENTAÇÃO OU SUPLEMENTAÇÃO DE RENDA DO GDF (PRATO CHEIO, DF SOCIAL) LARYSSA ALAYNE RODRIGUES SOUZA 053***.***-** - INDEFERIDO CANDIDATO (A) NÃO APRESENTOU FORMULÁRIO PARA PEDIDO DE ISENÇÃO ILMA RANGEL MORAIS PAIVA DE ARAUJO 566***.***-** 1 DEFERIDO DANYEL FERREIRA DA SILVA 118***.***-** 1 DEFERIDO BRENNA RODRIGUES FERREIRA 056***.***-** 6 DEFERIDO RIZIA SOUSA MOTA 043***.***-** 1 INDEFERIDO CANDIDATO (A) NÃO APRESENTOU DECLARAÇÃO EXPEDIDA PELO GDF QUE COMPROVE RECEBIMENTO DE BENEFÍCIO DE PROGRAMA SOCIAL DE COMPLEMENTAÇÃO OU SUPLEMENTAÇÃO DE RENDA DO GDF (PRATO CHEIO, DF SOCIAL) RIZIA SOUSA MOTA 043***.***-** 2 INDEFERIDO CANDIDATO (A) NÃO APRESENTOU DECLARAÇÃO EXPEDIDA PELO GDF QUE COMPROVE RECEBIMENTO DE BENEFÍCIO DE PROGRAMA SOCIAL DE COMPLEMENTAÇÃO OU SUPLEMENTAÇÃO DE RENDA DO GDF (PRATO CHEIO, DF SOCIAL) CHARLENE GONÇALVES PINHO 926***.***-** 1 DEFERIDO WILSON GOMES DE ARAUJO 944***.***-** 7 DEFERIDO AMANDA RUTH CARVALHO DE SOUZA 053***.***-** 8 INDEFERIDO CANDIDATO (A) NÃO APRESENTOU DECLARAÇÃO EXPEDIDA PELO GDF QUE COMPROVE RECEBIMENTO DE BENEFÍCIO DE PROGRAMA SOCIAL DE COMPLEMENTAÇÃO OU SUPLEMENTAÇÃO DE RENDA DO GDF (PRATO CHEIO, DF SOCIAL) DANIELLA VERÍSSIMO SANTOS DO NASCIMENTO 067***.***-** 1 DEFERIDO DANIELLA VERÍSSIMO SANTOS DO NASCIMENTO 067***.***-** 8 DEFERIDO
  • 169.
    DARLIANE DE ANDRADERODRIGUES 008***.***-** 5 INDEFERIDO CANDIDATO (A) NÃO APRESENTOU LAUDO MÉDICO COMPROBATÓRIO DA ISENÇÃO DE ACORDO COM A POSSIBILIDADE ESCOLHIDA (CAD. ÚNICO FEDERAL) ARNALDO PONTE JUNIOR 732***.***-** 1 DEFERIDO ANA LÚCIA BARBOSA SANTOS 711***.***-** 8 INDEFERIDO CANDIDATO (A) NÃO APRESENTOU DECLARAÇÃO EXPEDIDA PELO GDF QUE COMPROVE RECEBIMENTO DE BENEFÍCIO DE PROGRAMA SOCIAL DE COMPLEMENTAÇÃO OU SUPLEMENTAÇÃO DE RENDA DO GDF (PRATO CHEIO, DF SOCIAL) CARLA RODRIGUES DA SILVA CAMPOS 019***.***-** 1 INDEFERIDO CANDIDATO (A) NÃO APRESENTOU DECLARAÇÃO EXPEDIDA PELO GDF QUE COMPROVE RECEBIMENTO DE BENEFÍCIO DE PROGRAMA SOCIAL DE COMPLEMENTAÇÃO OU SUPLEMENTAÇÃO DE RENDA DO GDF (PRATO CHEIO, DF SOCIAL) ERICA COSTA ESTRELA 015***.***-** 1 INDEFERIDO CANDIDATO (A) NÃO APRESENTOU DECLARAÇÃO EXPEDIDA PELO GDF QUE COMPROVE RECEBIMENTO DE BENEFÍCIO DE PROGRAMA SOCIAL DE COMPLEMENTAÇÃO OU SUPLEMENTAÇÃO DE RENDA DO GDF (PRATO CHEIO, DF SOCIAL) CLAUDIA HELENA LOPES FERNANDES 012***.***-** 7 INDEFERIDO CANDIDATO (A) NÃO APRESENTOU DOCUMENTAÇÃO EXIGIDA IVONILDES LUSTOSA CARVALHO 551***.***-** 8 DEFERIDO ADRIELE OLIVEIRA DE SOUZA 040***.***-** 1 DEFERIDO ADRIELE OLIVEIRA DE SOUZA 040***.***-** 2 DEFERIDO JAQUELINE SOUZA FERREIRA 004***.***-** 7 INDEFERIDO CANDIDATO (A) NÃO APRESENTOU DOCUMENTAÇÃO EXIGIDA CARLOS EDUARDO MONTEIRO DE OLIVEIRA 036***.***-** - INDEFERIDO CANDIDATO (A) NÃO APRESENTOU FORMULÁRIO PARA PEDIDO DE ISENÇÃO DEMICIO MACIEL PINTO 699***.***-** 1 DEFERIDO NEURIVÂNIA SOUZA DA SILVA 454***.***-** - INDEFERIDO CANDIDATO (A) NÃO APRESENTOU DECLARAÇÃO EXPEDIDA PELO GDF QUE COMPROVE RECEBIMENTO DE BENEFÍCIO DE PROGRAMA SOCIAL DE COMPLEMENTAÇÃO OU SUPLEMENTAÇÃO DE RENDA DO GDF (PRATO CHEIO, DF SOCIAL) E NÃO INFORMOU O CARGO DAYANE MARQUES PEREIRA DIAS GONÇALVES 007***.***-** 7 INDEFERIDO CANDIDATO (A) NÃO APRESENTOU DECLARAÇÃO EXPEDIDA PELO GDF QUE COMPROVE RECEBIMENTO DE BENEFÍCIO DE PROGRAMA SOCIAL DE COMPLEMENTAÇÃO OU SUPLEMENTAÇÃO DE RENDA DO GDF (PRATO CHEIO, DF SOCIAL) DIANA DOS SANTOS SILVA 012***.***-** 8 DEFERIDO DIANA DOS SANTOS SILVA 012***.***-** 1 DEFERIDO SILMARIA MENDES DA SILVA 093***.***-** 5 DEFERIDO FRANKLIN SILVA SOARES 044***.***-** 1 DEFERIDO FRANKLIN SILVA SOARES 044***.***-** 8 DEFERIDO DIANA EVANGELISTA DE JESUS 03***.***-** 5 INDEFERIDO CANDIDATO (A) NÃO APRESENTOU DOCUMENTAÇÃO EXIGIDA EM PDF MARÍLIA DE CASTRO DUTRA 063***.***-** 1 DEFERIDO
  • 170.
    MARÍLIA DE CASTRODUTRA 063***.***-** 8 INDEFERIDO CANDIDATO (A) NÃO APRESENTOU UMA SOLICITAÇÃO DE ISENÇÃO COM UM FORMULÁRIO PARA CADA CARGO JOSE ADELMO PEREIRA DE MORAES 259***.***-** - INDEFERIDO CANDIDATO (A) NÃO APRESENTOU DOCUMENTAÇÃO EXIGIDA VINICIUS EMAUEL DA SILVA DE OLIVEIRA 056***.***-** 1 DEFERIDO LEONARDO CONCEICAO DA SILVA 004***.***-** 1 DEFERIDO LUCAS BARCELOS GORDO 056***.***-** 1 DEFERIDO LUCAS BARCELOS GORDO 056***.***-** 8 DEFERIDO MANUELA DE ANDRADE LEITE 069***.***-** 1 DEFERIDO MANUELA DE ANDRADE LEITE 069***.***-** 4 DEFERIDO ANA RITA RIBEIRO 516***.***-** 8 INDEFERIDO CANDIDATO (A) NÃO APRESENTOU DECLARAÇÃO EXPEDIDA PELO GDF QUE COMPROVE RECEBIMENTO DE BENEFÍCIO DE PROGRAMA SOCIAL DE COMPLEMENTAÇÃO OU SUPLEMENTAÇÃO DE RENDA DO GDF (PRATO CHEIO, DF SOCIAL) LETICIA ISIS SOUSA FEITOSA 033***.***-** 6 DEFERIDO ADRIELY SILVA XAVIER 032***.***-** - INDEFERIDO CANDIDATO (A) NÃO INFORMOU NO FORMULÁRIO O CARGO O QUAL DESEJA A ISENÇÃO MARÍLIA ALVES DE MORAIS 052***.***-** 1 INDEFERIDO CANDIDATO (A) NÃO APRESENTOU DECLARAÇÃO EXPEDIDA PELO GDF QUE COMPROVE RECEBIMENTO DE BENEFÍCIO DE PROGRAMA SOCIAL DE COMPLEMENTAÇÃO OU SUPLEMENTAÇÃO DE RENDA DO GDF (PRATO CHEIO, DF SOCIAL) DAYANE MARQUES PEREIRA DIAS GONCALVES 007***.***-** 7 INDEFERIDO CANDIDATO (A) NÃO APRESENTOU DECLARAÇÃO EXPEDIDA PELO GDF QUE COMPROVE RECEBIMENTO DE BENEFÍCIO DE PROGRAMA SOCIAL DE COMPLEMENTAÇÃO OU SUPLEMENTAÇÃO DE RENDA DO GDF (PRATO CHEIO, DF SOCIAL) SINARIA SOARES SILVA 873***.***-** 1 INDEFERIDO CANDIDATO (A) NÃO APRESENTOU LAUDO MÉDICO COMPROBATÓRIO DA ISENÇÃO DE ACORDO COM A POSSIBILIDADE ESCOLHIDA (CAD. ÚNICO FEDERAL) JÉSSICA MENEZES VALIM 010***.***-** 1 INDEFERIDO CANDIDATO (A) NÃO APRESENTOU DECLARAÇÃO EXPEDIDA PELO GDF QUE COMPROVE RECEBIMENTO DE BENEFÍCIO DE PROGRAMA SOCIAL DE COMPLEMENTAÇÃO OU SUPLEMENTAÇÃO DE RENDA DO GDF (PRATO CHEIO, DF SOCIAL) LUDIMILA TEIXEIRA DE SOUZA BARBOSA 082***.***-** - INDEFERIDO CANDIDATO (A) NÃO APRESENTOU FORMULÁRIO PARA PEDIDO DE ISENÇÃO DEBORA VIEIRA REIS 001***.***-** 7 INDEFERIDO CANDIDATO (A) NÃO APRESENTOU DECLARAÇÃO EXPEDIDA PELO GDF QUE COMPROVE RECEBIMENTO DE BENEFÍCIO DE PROGRAMA SOCIAL DE COMPLEMENTAÇÃO OU SUPLEMENTAÇÃO DE RENDA DO GDF (PRATO CHEIO, DF SOCIAL) ISRAEL JUNIOR DOS SANTOS CARDOSO 688***.***-** 2 DEFERIDO
  • 171.
    ADRIANA PAULA FERREIRA689***.***-** 2 INDEFERIDO CANDIDATO (A) NÃO APRESENTOU DECLARAÇÃO EXPEDIDA PELO GDF QUE COMPROVE RECEBIMENTO DE BENEFÍCIO DE PROGRAMA SOCIAL DE COMPLEMENTAÇÃO OU SUPLEMENTAÇÃO DE RENDA DO GDF (PRATO CHEIO, DF SOCIAL) REGINA CELIA SAMPAIO PORTUGUEZ 416***.***-** 1 DEFERIDO GABRIELLY FERNANDA SILVA 133***.***-** 1 DEFERIDO MOIZÉS RIBEIRO DA SILVA 056***.***-** 7 DEFERIDO EDILBERTO DE SOUSA SIQUEIRA 712***.***-** 7 DEFERIDO EDILBERTO DE SOUSA SIQUEIRA 712***.***-** 1 DEFERIDO GABRIELY RODRGUES DE ALMEIDA ALARCÃO 058***.***-** 2 INDEFERIDO CANDIDATO (A) NÃO APRESENTOU DECLARAÇÃO EXPEDIDA PELO GDF QUE COMPROVE RECEBIMENTO DE BENEFÍCIO DE PROGRAMA SOCIAL DE COMPLEMENTAÇÃO OU SUPLEMENTAÇÃO DE RENDA DO GDF (PRATO CHEIO, DF SOCIAL) CLAUDIANA JOAQUIM RODRIGUES 791***.***-** 2 DEFERIDO FRANCIMAR BATISTA DE SOUSA 995***.***-** 6 DEFERIDO KARINA ALVES DA SILVA 071***.***-** 1 DEFERIDO ANA PAULA ALVES AGUIAR 048***.***-** 1 INDEFERIDO CANDIDATO (A) NÃO APRESENTOU DECLARAÇÃO EXPEDIDA PELO GDF QUE COMPROVE RECEBIMENTO DE BENEFÍCIO DE PROGRAMA SOCIAL DE COMPLEMENTAÇÃO OU SUPLEMENTAÇÃO DE RENDA DO GDF (PRATO CHEIO, DF SOCIAL) ANDRE SANTANA RAMOS DE SOUZA MARQUES 010***.***-** 1 DEFERIDO JULIANA DE ARAUJO LEITE NOGUEIRA 040***.***-** 1 DEFERIDO ROSIFRAN MESQUITA DA SILVA 774***.***-** 6 INDEFERIDO CANDIDATO (A) NÃO APRESENTOU DOCUMENTO DE IDENTIFICAÇÃO E COMPROVANTES DE PRESTAÇÃO DE SERVIÇOS À JUSTIÇA ELEITORAL POR, NO MÍNIMO, DUAS ELEIÇÕES RAILDA MARIA DE BRITO 022***.***-** 1 DEFERIDO RAILDA MARIA DE BRITO 022***.***-** 8 DEFERIDO GISELE CARREIRO DE FARIAS 976***.***-** 1 DEFERIDO GISELE CARREIRO DE FARIAS 976***.***-** 2 DEFERIDO LUIS CARLOS DA SILVA MACHADO 995***.***-** 1 DEFERIDO LUIS CARLOS DA SILVA MACHADO 995***.***-** 5 DEFERIDO ERIC FABRICIO RODRIGUES BARBOSA 034***.***-** 2 INDEFERIDO CANDIDATO (A) NÃO APRESENTOU DECLARAÇÃO EXPEDIDA PELO GDF QUE COMPROVE RECEBIMENTO DE BENEFÍCIO DE PROGRAMA SOCIAL DE COMPLEMENTAÇÃO OU SUPLEMENTAÇÃO DE RENDA DO GDF (PRATO CHEIO, DF SOCIAL) ERIC FABRICIO RODRIGUES BARBOSA 034***.***-** 1 INDEFERIDO CANDIDATO (A) NÃO APRESENTOU DECLARAÇÃO EXPEDIDA PELO GDF QUE COMPROVE RECEBIMENTO DE BENEFÍCIO DE PROGRAMA SOCIAL DE COMPLEMENTAÇÃO OU SUPLEMENTAÇÃO DE RENDA DO GDF (PRATO CHEIO, DF SOCIAL)
  • 172.
    ELIZETE SOARES SENNA726***.***-** 1 INDEFERIDO CANDIDATO (A) NÃO APRESENTOU LAUDO MÉDICO COMPROBATÓRIO DA ISENÇÃO DE ACORDO COM A POSSIBILIDADE ESCOLHIDA (CAD. ÚNICO FEDERAL) NAYSE DO NASCIMENTO SANTOS 030***.***-** 1 INDEFERIDO CANDIDATO (A) NÃO APRESENTOU DECLARAÇÃO EXPEDIDA PELO GDF QUE COMPROVE RECEBIMENTO DE BENEFÍCIO DE PROGRAMA SOCIAL DE COMPLEMENTAÇÃO OU SUPLEMENTAÇÃO DE RENDA DO GDF (PRATO CHEIO, DF SOCIAL) NAYSE DO NASCIMENTO SANTOS 030***.***-** 2 INDEFERIDO CANDIDATO (A) NÃO APRESENTOU DECLARAÇÃO EXPEDIDA PELO GDF QUE COMPROVE RECEBIMENTO DE BENEFÍCIO DE PROGRAMA SOCIAL DE COMPLEMENTAÇÃO OU SUPLEMENTAÇÃO DE RENDA DO GDF (PRATO CHEIO, DF SOCIAL) RAYLLANE ALVES BARRETO BARROS 044***.***-** 1 DEFERIDO HUGO DOS SANTOS MARTINS 075***.***-** 1 DEFERIDO TAIANE MARIA MARCELINO 091***.***-** 7 INDEFERIDO LILIANA DOS SANTOS DANTAS 035***.***-** 8 INDEFERIDO CANDIDATO (A) NÃO APRESENTOU DECLARAÇÃO EXPEDIDA PELO GDF QUE COMPROVE RECEBIMENTO DE BENEFÍCIO DE PROGRAMA SOCIAL DE COMPLEMENTAÇÃO OU SUPLEMENTAÇÃO DE RENDA DO GDF (PRATO CHEIO, DF SOCIAL) LILIANA DOS SANTOS DANTAS 035***.***-** 1 INDEFERIDO CANDIDATO (A) NÃO APRESENTOU DECLARAÇÃO EXPEDIDA PELO GDF QUE COMPROVE RECEBIMENTO DE BENEFÍCIO DE PROGRAMA SOCIAL DE COMPLEMENTAÇÃO OU SUPLEMENTAÇÃO DE RENDA DO GDF (PRATO CHEIO, DF SOCIAL) CAMILA PAES PESSOA 069***.***-** 1 DEFERIDO CAMILA PAES PESSOA 069***.***-** 5 DEFERIDO MARCOS VINIVIUS TRINDADE CUNHA 054***.***-** 1 DEFERIDO MARCOS VINIVIUS TRINDADE CUNHA 054***.***-** 3 DEFERIDO ELISE MARY COSTA SOUZA 068***.***-** - INDEFERIDO CANDIDATO (A) NÃO INFORMOU NO FORMULÁRIO O CARGO O QUAL DESEJA A ISENÇÃO BRUNO DE SOUSA RIBEIRO 066***.***-** 1 INDEFERIDO CANDIDATO (A) NÃO APRESENTOU DECLARAÇÃO EXPEDIDA PELO GDF QUE COMPROVE RECEBIMENTO DE BENEFÍCIO DE PROGRAMA SOCIAL DE COMPLEMENTAÇÃO OU SUPLEMENTAÇÃO DE RENDA DO GDF (PRATO CHEIO, DF SOCIAL) BRUNO DE SOUSA RIBEIRO 066***.***-** 3 INDEFERIDO CANDIDATO (A) NÃO APRESENTOU DECLARAÇÃO EXPEDIDA PELO GDF QUE COMPROVE RECEBIMENTO DE BENEFÍCIO DE PROGRAMA SOCIAL DE COMPLEMENTAÇÃO OU SUPLEMENTAÇÃO DE RENDA DO GDF (PRATO CHEIO, DF SOCIAL)
  • 173.
    JAQUELINE RODRIGUES DACRUZ 704***.***-** 8 INDEFERIDO CANDIDATO (A) NÃO APRESENTOU DECLARAÇÃO EXPEDIDA PELO GDF QUE COMPROVE RECEBIMENTO DE BENEFÍCIO DE PROGRAMA SOCIAL DE COMPLEMENTAÇÃO OU SUPLEMENTAÇÃO DE RENDA DO GDF (PRATO CHEIO, DF SOCIAL) KELLY PEREIRA DOS SANTOS 981***.***-** 1 DEFERIDO KELLY PEREIRA DOS SANTOS 981***.***-** 7 DEFERIDO MARIANY GONCALVES MELO 042***.***-** 1 INDEFERIDO CANDIDATO (A) NÃO APRESENTOU LAUDO MÉDICO COMPROBATÓRIO DA ISENÇÃO DE ACORDO COM A POSSIBILIDADE ESCOLHIDA (CAD. ÚNICO FEDERAL) MARIANY GONCALVES MELO 042***.***-** 5 INDEFERIDO CANDIDATO (A) NÃO APRESENTOU LAUDO MÉDICO COMPROBATÓRIO DA ISENÇÃO DE ACORDO COM A POSSIBILIDADE ESCOLHIDA (CAD. ÚNICO FEDERAL) LAIS FERRAZ LIMA 023***.***-** 3 DEFERIDO JOSÉ BENEDITO DE LIMA FILHO 636***.***-** 1 INDEFERIDO CANDIDATO (A) NÃO APRESENTOU LAUDO MÉDICO COMPROBATÓRIO DA ISENÇÃO DE ACORDO COM A POSSIBILIDADE ESCOLHIDA (CAD. ÚNICO FEDERAL) RAFAEL DE ASSIS RIBEIRO 028***.***-** 1 DEFERIDO TAIS CEZAR DA CRUZ 055***.***-** 8 INDEFERIDO CANDIDATO (A) NÃO APRESENTOU LAUDO MÉDICO COMPROBATÓRIO DA ISENÇÃO DE ACORDO COM A POSSIBILIDADE ESCOLHIDA (CAD. ÚNICO FEDERAL) KAROLINA DE OLIVEIRA GONÇALVES 043***.***-** 8 INDEFERIDO CANDIDATO (A) NÃO APRESENTOU LAUDO MÉDICO COMPROBATÓRIO DA ISENÇÃO DE ACORDO COM A POSSIBILIDADE ESCOLHIDA (CAD. ÚNICO FEDERAL) KAROLINA DE OLIVEIRA GONÇALVES 043***.***-** 1 INDEFERIDO CANDIDATO (A) NÃO APRESENTOU LAUDO MÉDICO COMPROBATÓRIO DA ISENÇÃO DE ACORDO COM A POSSIBILIDADE ESCOLHIDA (CAD. ÚNICO FEDERAL) MATEUS DA CUNHA ROCHA 067***.***-** 8 DEFERIDO DIEGO BARBOSA TAVARES 017***.***-** 1 INDEFERIDO CANDIDATO (A) NÃO APRESENTOU DECLARAÇÃO EXPEDIDA PELO GDF QUE COMPROVE RECEBIMENTO DE BENEFÍCIO DE PROGRAMA SOCIAL DE COMPLEMENTAÇÃO OU SUPLEMENTAÇÃO DE RENDA DO GDF (PRATO CHEIO, DF SOCIAL) ANDREIA PEREIRA BRITO 725***.***-** 8 INDEFERIDO CANDIDATO (A) NÃO APRESENTOU DECLARAÇÃO EXPEDIDA PELO GDF QUE COMPROVE RECEBIMENTO DE BENEFÍCIO DE PROGRAMA SOCIAL DE COMPLEMENTAÇÃO OU SUPLEMENTAÇÃO DE RENDA DO GDF (PRATO CHEIO, DF SOCIAL) VALDIANA LOPES DA SILVA 046***.***-** 7 DEFERIDO IVERLENE PEREIRA COSTA 727***.***-** 1 DEFERIDO IVERLENE PEREIRA COSTA 727***.***-** 2 DEFERIDO
  • 174.
    MIRELLA DE OLIVEIRALISBOA 094***.***-** 8 INDEFERIDO CANDIDATO (A) NÃO APRESENTOU DOCUMENTAÇÃO EM PDF E LAUDO MÉDICO COMPROBATÓRIO DA ISENÇÃO DE ACORDO COM A POSSIBILIDADE ESCOLHIDA (CAD. ÚNICO FEDERAL) ADRIANE PATRICIA MORAES 818***.***-** 5 INDEFERIDO CANDIDATO (A) NÃO APRESENTOU DECLARAÇÃO EXPEDIDA PELO GDF QUE COMPROVE RECEBIMENTO DE BENEFÍCIO DE PROGRAMA SOCIAL DE COMPLEMENTAÇÃO OU SUPLEMENTAÇÃO DE RENDA DO GDF (PRATO CHEIO, DF SOCIAL) MIRLENE AGUIAR PONTES LIMA 709***.***-** 1 DEFERIDO ANDREZA INGRID BARBOSA NASCIMENTO 050***.***-** 8 INDEFERIDO CANDIDATO (A) NÃO APRESENTOU DECLARAÇÃO EXPEDIDA PELO GDF QUE COMPROVE RECEBIMENTO DE BENEFÍCIO DE PROGRAMA SOCIAL DE COMPLEMENTAÇÃO OU SUPLEMENTAÇÃO DE RENDA DO GDF (PRATO CHEIO, DF SOCIAL) ANDREZA INGRID BARBOSA NASCIMENTO 050***.***-** 1 INDEFERIDO CANDIDATO (A) NÃO APRESENTOU DECLARAÇÃO EXPEDIDA PELO GDF QUE COMPROVE RECEBIMENTO DE BENEFÍCIO DE PROGRAMA SOCIAL DE COMPLEMENTAÇÃO OU SUPLEMENTAÇÃO DE RENDA DO GDF (PRATO CHEIO, DF SOCIAL) INGRID ELIZABETH MARQUES BARROS 061***.***-** 1 INDEFERIDO CANDIDATO (A) NÃO APRESENTOU DOCUMENTAÇÃO EXIGIDA EM PDF ELIZABETH FERREIRA DE OLIVEIRA 620***.***-** 1 DEFERIDO SARAH DA SILVA GADELHA 084***.***-** 1 INDEFERIDO CANDIDATO (A) NÃO APRESENTOU DECLARAÇÃO EXPEDIDA PELO GDF QUE COMPROVE RECEBIMENTO DE BENEFÍCIO DE PROGRAMA SOCIAL DE COMPLEMENTAÇÃO OU SUPLEMENTAÇÃO DE RENDA DO GDF (PRATO CHEIO, DF SOCIAL) SARAH DA SILVA GADELHA 084***.***-** 5 INDEFERIDO CANDIDATO (A) NÃO APRESENTOU UMA SOLICITAÇÃO DE ISENÇÃO COM UM FORMULÁRIO PARA CADA CARGO E NÃO APRESENTOU DECLARAÇÃO EXPEDIDA PELO GDF QUE COMPROVE RECEBIMENTO DE BENEFÍCIO DE PROGRAMA SOCIAL DE COMPLEMENTAÇÃO OU SUPLEMENTAÇÃO DE RENDA DO GDF (PRATO CHEIO, DF SOCIAL) RUMANA PEREIRA BARRETO 483***.***-** 8 DEFERIDO RÁVILA ESTER MENDES ALBUQUERQUE 087***.***-** 1 INDEFERIDO CANDIDATO (A) NÃO APRESENTOU DECLARAÇÃO EXPEDIDA PELO GDF QUE COMPROVE RECEBIMENTO DE BENEFÍCIO DE PROGRAMA SOCIAL DE COMPLEMENTAÇÃO OU SUPLEMENTAÇÃO DE RENDA DO GDF (PRATO CHEIO, DF SOCIAL) MATHEUS DE SOUSA SILVA 076***.***-** 1 INDEFERIDO CANDIDATO (A) NÃO APRESENTOU DECLARAÇÃO EXPEDIDA PELO GDF QUE COMPROVE RECEBIMENTO DE BENEFÍCIO DE PROGRAMA SOCIAL DE COMPLEMENTAÇÃO OU SUPLEMENTAÇÃO DE RENDA DO GDF (PRATO CHEIO, DF SOCIAL) PETTERSON DIEGO SILVA RODRIGUES 017***.***-** 1 INDEFERIDO CANDIDATO (A) NÃO APRESENTOU DOCUMENTAÇÃO EXIGIDA EM PDF EVANGELISTA MANOEL DE SOUZA 878***.***-** 1 DEFERIDO
  • 175.
    EDUARDO LUCENA DIAS080***.***-** 1 INDEFERIDO CANDIDATO (A) NÃO APRESENTOU DECLARAÇÃO EXPEDIDA PELO GDF QUE COMPROVE RECEBIMENTO DE BENEFÍCIO DE PROGRAMA SOCIAL DE COMPLEMENTAÇÃO OU SUPLEMENTAÇÃO DE RENDA DO GDF (PRATO CHEIO, DF SOCIAL) EURIVANE LIMA SOUZA 012***.***-** 1 DEFERIDO ELIZABETH MEIRA DA SILVA RODRIGUES 794***.***-** 1 DEFERIDO ELIZABETH MEIRA DA SILVA RODRIGUES 794***.***-** 5 DEFERIDO DIANA ALANO REIS 001***.***-** 1 DEFERIDO DIANA ALANO REIS 001***.***-** 3 DEFERIDO JUCILEIA MARTINS LARA 718***.***-** 3 INDEFERIDO CANDIDATO (A) NÃO APRESENTOU DECLARAÇÃO EXPEDIDA PELO GDF QUE COMPROVE RECEBIMENTO DE BENEFÍCIO DE PROGRAMA SOCIAL DE COMPLEMENTAÇÃO OU SUPLEMENTAÇÃO DE RENDA DO GDF (PRATO CHEIO, DF SOCIAL) TAINÁ ALVES DE JESUS MAGALHÃES 052***.***-** 6 INDEFERIDO CANDIDATO (A) NÃO APRESENTOU DECLARAÇÃO EXPEDIDA PELO GDF QUE COMPROVE RECEBIMENTO DE BENEFÍCIO DE PROGRAMA SOCIAL DE COMPLEMENTAÇÃO OU SUPLEMENTAÇÃO DE RENDA DO GDF (PRATO CHEIO, DF SOCIAL) FABÍOLA ALVES DE MATOS 726***.***-** 1 INDEFERIDO CANDIDATO (A) NÃO APRESENTOU DECLARAÇÃO EXPEDIDA PELO GDF QUE COMPROVE RECEBIMENTO DE BENEFÍCIO DE PROGRAMA SOCIAL DE COMPLEMENTAÇÃO OU SUPLEMENTAÇÃO DE RENDA DO GDF (PRATO CHEIO, DF SOCIAL) JÚLIA CLARA MAXIMINIANO 044***.***-** 1 DEFERIDO MICKELLY SOUSA DOS SANTOS 065***.***-** 1 DEFERIDO IVANY VIEIRA DE CASTRO 961***.***-** 1 INDEFERIDO CANDIDATO (A) NÃO APRESENTOU LAUDO MÉDICO COMPROBATÓRIO DA ISENÇÃO DE ACORDO COM A POSSIBILIDADE ESCOLHIDA (CAD. ÚNICO FEDERAL) IVANY VIEIRA DE CASTRO 961***.***-** 6 INDEFERIDO CANDIDATO (A) NÃO APRESENTOU UMA SOLICITAÇÃO DE ISENÇÃO COM UM FORMULÁRIO PARA CADA CARGO E NÃO APRESENTOU LAUDO MÉDICO COMPROBATÓRIO DA ISENÇÃO DE ACORDO COM A POSSIBILIDADE ESCOLHIDA (CAD. ÚNICO FEDERAL) MARCOS ANDRADE DA SILVA 058***.***-** 1 DEFERIDO MARCOS ANDRADE DA SILVA 058***.***-** 2 INDEFERIDO CANDIDATO (A) NÃO APRESENTOU UMA SOLICITAÇÃO DE ISENÇÃO COM UM FORMULÁRIO PARA CADA CARGO JEANE ALMEIDA DA SILVA NASCIMENTO 831***.***-** 1 INDEFERIDO CANDIDATO (A) NÃO APRESENTOU DECLARAÇÃO EXPEDIDA PELO GDF QUE COMPROVE RECEBIMENTO DE BENEFÍCIO DE PROGRAMA SOCIAL DE COMPLEMENTAÇÃO OU SUPLEMENTAÇÃO DE RENDA DO GDF (PRATO CHEIO, DF SOCIAL) POLLIANA FONSECA DE AGUIAR 724***.***-** 1 DEFERIDO
  • 176.
    ALESSANDRA DE LIRA-***.***-** - INDEFERIDO CANDIDATO (A) NÃO APRESENTOU DOCUMENTO DE IDENTIFICAÇÃO E NÃO INFORMOU NO FORMULÁRIO O CARGO O QUAL DESEJA A ISENÇÃO ANDRESSA LINS OLIVEIRA 108***.***-** 1 DEFERIDO ANDRESSA LINS OLIVEIRA 108***.***-** 8 DEFERIDO CARLOS MAGNO OLIVEIRA RIBEIRO 557***.***-** 1 DEFERIDO MICHEL ANTONIO DA CUNHA 003***.***-** 1 INDEFERIDO CANDIDATO (A) NÃO APRESENTOU DOCUMENTAÇÃO EXIGIDA EM PDF MATHEUS DE SOUSA SILVA 096***.***-** 7 INDEFERIDO CANDIDATO (A) NÃO APRESENTOU DECLARAÇÃO EXPEDIDA PELO GDF QUE COMPROVE RECEBIMENTO DE BENEFÍCIO DE PROGRAMA SOCIAL DE COMPLEMENTAÇÃO OU SUPLEMENTAÇÃO DE RENDA DO GDF (PRATO CHEIO, DF SOCIAL) MATHEUS DE SOUSA SILVA 096***.***-** 1 INDEFERIDO CANDIDATO (A) NÃO APRESENTOU DECLARAÇÃO EXPEDIDA PELO GDF QUE COMPROVE RECEBIMENTO DE BENEFÍCIO DE PROGRAMA SOCIAL DE COMPLEMENTAÇÃO OU SUPLEMENTAÇÃO DE RENDA DO GDF (PRATO CHEIO, DF SOCIAL) MÁRCIA MOREIRA CAMPOS 924***.***-** 1 INDEFERIDO CANDIDATO (A) NÃO APRESENTOU DECLARAÇÃO EXPEDIDA PELO GDF QUE COMPROVE RECEBIMENTO DE BENEFÍCIO DE PROGRAMA SOCIAL DE COMPLEMENTAÇÃO OU SUPLEMENTAÇÃO DE RENDA DO GDF (PRATO CHEIO, DF SOCIAL) MÁRCIA MOREIRA CAMPOS 924***.***-** 7 INDEFERIDO CANDIDATO (A) NÃO APRESENTOU UMA SOLICITAÇÃO DE ISENÇÃO COM UM FORMULÁRIO PARA CADA CARGO E NÃO APRESENTOU DECLARAÇÃO EXPEDIDA PELO GDF QUE COMPROVE RECEBIMENTO DE BENEFÍCIO DE PROGRAMA SOCIAL DE COMPLEMENTAÇÃO OU SUPLEMENTAÇÃO DE RENDA DO GDF (PRATO CHEIO, DF SOCIAL) RAQUEL FERREIRA DA SILVA 057***.***-** 1 DEFERIDO RAQUEL FERREIRA DA SILVA 057***.***-** 6 INDEFERIDO CANDIDATO (A) NÃO APRESENTOU UMA SOLICITAÇÃO DE ISENÇÃO COM UM FORMULÁRIO PARA CADA CARGO NAYARA SILVA COELHO 024***.***-** 1 INDEFERIDO CANDIDATO (A) NÃO APRESENTOU DECLARAÇÃO EXPEDIDA PELO GDF QUE COMPROVE RECEBIMENTO DE BENEFÍCIO DE PROGRAMA SOCIAL DE COMPLEMENTAÇÃO OU SUPLEMENTAÇÃO DE RENDA DO GDF (PRATO CHEIO, DF SOCIAL) NAYARA SILVA COELHO 024***.***-** 2 INDEFERIDO CANDIDATO (A) NÃO APRESENTOU UMA SOLICITAÇÃO DE ISENÇÃO COM UM FORMULÁRIO PARA CADA CARGO E NÃO APRESENTOU DECLARAÇÃO EXPEDIDA PELO GDF QUE COMPROVE RECEBIMENTO DE BENEFÍCIO DE PROGRAMA SOCIAL DE COMPLEMENTAÇÃO OU SUPLEMENTAÇÃO DE RENDA DO GDF (PRATO CHEIO, DF SOCIAL) WEYDER DA SILVA FELIX 078***.***-** 1 DEFERIDO WEYDER DA SILVA FELIX 078***.***-** 7 DEFERIDO ELIENE MARCELINA SOARES 019***.***-** 1 DEFERIDO
  • 177.
    ANA RITA CAMILODOS SANTOS 245***.***-** 1 INDEFERIDO CANDIDATO (A) NÃO APRESENTOU DECLARAÇÃO EXPEDIDA PELO GDF QUE COMPROVE RECEBIMENTO DE BENEFÍCIO DE PROGRAMA SOCIAL DE COMPLEMENTAÇÃO OU SUPLEMENTAÇÃO DE RENDA DO GDF (PRATO CHEIO, DF SOCIAL) WANDERLEA MARIA DE BARROS LIMA 484***.***-** 6 INDEFERIDO CANDIDATO (A) NÃO APRESENTOU DECLARAÇÃO EXPEDIDA PELO GDF QUE COMPROVE RECEBIMENTO DE BENEFÍCIO DE PROGRAMA SOCIAL DE COMPLEMENTAÇÃO OU SUPLEMENTAÇÃO DE RENDA DO GDF (PRATO CHEIO, DF SOCIAL) CHRISTIAN GRAY MOREIRA DOS SANTOS COSTA 111***.***-** 1 INDEFERIDO CANDIDATO (A) NÃO APRESENTOU DOCUMENTO DE IDENTIFICAÇÃO CREUZA LOPES DA COSTA 334***.***-** 2 INDEFERIDO CANDIDATO (A) NÃO APRESENTOU DECLARAÇÃO EXPEDIDA PELO GDF QUE COMPROVE RECEBIMENTO DE BENEFÍCIO DE PROGRAMA SOCIAL DE COMPLEMENTAÇÃO OU SUPLEMENTAÇÃO DE RENDA DO GDF (PRATO CHEIO, DF SOCIAL) ANA LÚCIA MACHADO 068***.***-** 5 INDEFERIDO CANDIDATO (A) NÃO APRESENTOU LAUDO MÉDICO COMPROBATÓRIO DA ISENÇÃO DE ACORDO COM A POSSIBILIDADE ESCOLHIDA (CAD. ÚNICO FEDERAL) ROBERTA LUANA DE MENDONÇA 064***.***-** 1 INDEFERIDO CANDIDATO (A) NÃO APRESENTOU DECLARAÇÃO EXPEDIDA PELO GDF QUE COMPROVE RECEBIMENTO DE BENEFÍCIO DE PROGRAMA SOCIAL DE COMPLEMENTAÇÃO OU SUPLEMENTAÇÃO DE RENDA DO GDF (PRATO CHEIO, DF SOCIAL) ROBERTA LUANA DE MENDONÇA 064***.***-** 5 INDEFERIDO CANDIDATO (A) NÃO APRESENTOU UMA SOLICITAÇÃO DE ISENÇÃO COM UM FORMULÁRIO PARA CADA CARGO E NÃO APRESENTOU DECLARAÇÃO EXPEDIDA PELO GDF QUE COMPROVE RECEBIMENTO DE BENEFÍCIO DE PROGRAMA SOCIAL DE COMPLEMENTAÇÃO OU SUPLEMENTAÇÃO DE RENDA DO GDF (PRATO CHEIO, DF SOCIAL) ANANIAS ALVES SIQUEIRA 538***.***-** 1 DEFERIDO PAULO SERGIO BASTOS DIAS 029***.***-** 3 INDEFERIDO CANDIDATO (A) NÃO APRESENTOU LAUDO MÉDICO COMPROBATÓRIO DA ISENÇÃO DE ACORDO COM A POSSIBILIDADE ESCOLHIDA (CAD. ÚNICO FEDERAL) LUCIMAR MARIA SANTANA DE OLIVEIRA 490***.***-** 1 INDEFERIDO CANDIDATO (A) NÃO APRESENTOU DECLARAÇÃO EXPEDIDA PELO GDF QUE COMPROVE RECEBIMENTO DE BENEFÍCIO DE PROGRAMA SOCIAL DE COMPLEMENTAÇÃO OU SUPLEMENTAÇÃO DE RENDA DO GDF (PRATO CHEIO, DF SOCIAL) LUCIMAR MARIA SANTANA DE OLIVEIRA 490***.***-** 2 INDEFERIDO CANDIDATO (A) NÃO APRESENTOU DECLARAÇÃO EXPEDIDA PELO GDF QUE COMPROVE RECEBIMENTO DE BENEFÍCIO DE PROGRAMA SOCIAL DE COMPLEMENTAÇÃO OU SUPLEMENTAÇÃO DE RENDA DO GDF (PRATO CHEIO, DF SOCIAL) MICHELLI PEREIRA COSTA 729***.***-** 1 DEFERIDO
  • 178.
    ANDRÉIA DOS SANTOS969***.***-** 1 INDEFERIDO CANDIDATO (A) NÃO APRESENTOU DECLARAÇÃO EXPEDIDA PELO GDF QUE COMPROVE RECEBIMENTO DE BENEFÍCIO DE PROGRAMA SOCIAL DE COMPLEMENTAÇÃO OU SUPLEMENTAÇÃO DE RENDA DO GDF (PRATO CHEIO, DF SOCIAL) ANDRÉIA DOS SANTOS 969***.***-** 7 INDEFERIDO CANDIDATO (A) NÃO APRESENTOU UMA SOLICITAÇÃO DE ISENÇÃO COM UM FORMULÁRIO PARA CADA CARGO E NÃO APRESENTOU DECLARAÇÃO EXPEDIDA PELO GDF QUE COMPROVE RECEBIMENTO DE BENEFÍCIO DE PROGRAMA SOCIAL DE COMPLEMENTAÇÃO OU SUPLEMENTAÇÃO DE RENDA DO GDF (PRATO CHEIO, DF SOCIAL) PRISCILA CATARINE SOUZA BATISTA 029***.***-** 1 DEFERIDO PRISCILA CATARINE SOUZA BATISTA 029***.***-** 8 DEFERIDO PATRIK CARDOSO SILVA 068***.***-** 1 INDEFERIDO CANDIDATO (A) NÃO APRESENTOU LAUDO MÉDICO COMPROBATÓRIO DA ISENÇÃO DE ACORDO COM A POSSIBILIDADE ESCOLHIDA (CAD. ÚNICO FEDERAL) PATRIK CARDOSO SILVA 068***.***-** 7 INDEFERIDO CANDIDATO (A) NÃO APRESENTOU LAUDO MÉDICO COMPROBATÓRIO DA ISENÇÃO DE ACORDO COM A POSSIBILIDADE ESCOLHIDA (CAD. ÚNICO FEDERAL) JAQUELINE DO VALE BEZERRA 036***.***-** 1 DEFERIDO ROBERTA LUANA DE MENDONCA 064***.***-** 1 INDEFERIDO CANDIDATO (A) NÃO APRESENTOU DECLARAÇÃO EXPEDIDA PELO GDF QUE COMPROVE RECEBIMENTO DE BENEFÍCIO DE PROGRAMA SOCIAL DE COMPLEMENTAÇÃO OU SUPLEMENTAÇÃO DE RENDA DO GDF (PRATO CHEIO, DF SOCIAL) ROBERTA LUANA DE MENDONCA 064***.***-** 5 INDEFERIDO CANDIDATO (A) NÃO APRESENTOU UMA SOLICITAÇÃO DE ISENÇÃO COM UM FORMULÁRIO PARA CADA CARGO E NÃO APRESENTOU DECLARAÇÃO EXPEDIDA PELO GDF QUE COMPROVE RECEBIMENTO DE BENEFÍCIO DE PROGRAMA SOCIAL DE COMPLEMENTAÇÃO OU SUPLEMENTAÇÃO DE RENDA DO GDF (PRATO CHEIO, DF SOCIAL) GISELLEN CAMPOS DE SOUZA PEIXOTO 033***.***-** 1 DEFERIDO THAÍS DE SOUZA REIS 011***.***-** 6 INDEFERIDO CANDIDATO (A) NÃO APRESENTOU DECLARAÇÃO EXPEDIDA PELO GDF QUE COMPROVE RECEBIMENTO DE BENEFÍCIO DE PROGRAMA SOCIAL DE COMPLEMENTAÇÃO OU SUPLEMENTAÇÃO DE RENDA DO GDF (PRATO CHEIO, DF SOCIAL) THAÍS DE SOUZA REIS 011***.***-** 1 INDEFERIDO CANDIDATO (A) NÃO APRESENTOU DECLARAÇÃO EXPEDIDA PELO GDF QUE COMPROVE RECEBIMENTO DE BENEFÍCIO DE PROGRAMA SOCIAL DE COMPLEMENTAÇÃO OU SUPLEMENTAÇÃO DE RENDA DO GDF (PRATO CHEIO, DF SOCIAL) YURI GUSTAVO DE SOUSA BARBALHO 049***.***-** 1 DEFERIDO YURI GUSTAVO DE SOUSA BARBALHO 049***.***-** 7 INDEFERIDO CANDIDATO (A) NÃO APRESENTOU UMA SOLICITAÇÃO DE ISENÇÃO COM UM FORMULÁRIO PARA CADA CARGO
  • 179.
    RENETA DE SOUZAPACHECO RESENDE 712***.***-** 1 DEFERIDO FABRICIA DE CARVALHO MAIA 095***.***-** 6 INDEFERIDO CANDIDATO (A) NÃO APRESENTOU LAUDO MÉDICO COMPROBATÓRIO DA ISENÇÃO DE ACORDO COM A POSSIBILIDADE ESCOLHIDA (CAD. ÚNICO FEDERAL) ALESSANDRA DE SOUSA LIMA 930***.***-** 1 INDEFERIDO CANDIDATO (A) NÃO APRESENTOU DOCUMENTAÇÃO EXIGIDA VÂNIA MARIA DA CONCEIÇÃO 908***.***-** 1 INDEFERIDO CANDIDATO (A) NÃO APRESENTOU DECLARAÇÃO EXPEDIDA PELO GDF QUE COMPROVE RECEBIMENTO DE BENEFÍCIO DE PROGRAMA SOCIAL DE COMPLEMENTAÇÃO OU SUPLEMENTAÇÃO DE RENDA DO GDF (PRATO CHEIO, DF SOCIAL) VÂNIA MARIA DA CONCEIÇÃO 908***.***-** 2 INDEFERIDO CANDIDATO (A) NÃO APRESENTOU DECLARAÇÃO EXPEDIDA PELO GDF QUE COMPROVE RECEBIMENTO DE BENEFÍCIO DE PROGRAMA SOCIAL DE COMPLEMENTAÇÃO OU SUPLEMENTAÇÃO DE RENDA DO GDF (PRATO CHEIO, DF SOCIAL) JEAM MARIO CAMELO MACHADO 775***.***-** 1 INDEFERIDO CANDIDATO (A) NÃO APRESENTOU LAUDO MÉDICO COMPROBATÓRIO DA ISENÇÃO DE ACORDO COM A POSSIBILIDADE ESCOLHIDA (CAD. ÚNICO FEDERAL) ROSEMBERG DE OLIVEIRA SILVA 012***.***-** 1 INDEFERIDO CANDIDATO (A) NÃO APRESENTOU DECLARAÇÃO EXPEDIDA PELO GDF QUE COMPROVE RECEBIMENTO DE BENEFÍCIO DE PROGRAMA SOCIAL DE COMPLEMENTAÇÃO OU SUPLEMENTAÇÃO DE RENDA DO GDF (PRATO CHEIO, DF SOCIAL) IZENILDE PEREIRA DAS GRAÇAS 913***.***-** 6 INDEFERIDO CANDIDATO (A) NÃO APRESENTOU DECLARAÇÃO EXPEDIDA PELO GDF QUE COMPROVE RECEBIMENTO DE BENEFÍCIO DE PROGRAMA SOCIAL DE COMPLEMENTAÇÃO OU SUPLEMENTAÇÃO DE RENDA DO GDF (PRATO CHEIO, DF SOCIAL) WILLIAM TEIXEIRA PEREIRA 033***.***-** 1 DEFERIDO WILLIAM TEIXEIRA PEREIRA 033***.***-** 2 INDEFERIDO CANDIDATO (A) NÃO APRESENTOU UMA SOLICITAÇÃO DE ISENÇÃO COM UM FORMULÁRIO PARA CADA CARGO EMERSON PEREIRA DA SILVA 823***.***-** 1 DEFERIDO EMERSON PEREIRA DA SILVA 823***.***-** 5 DEFERIDO ANDRÉ LUIS DE OLIVEIRA SANTOS 024***.***-** 6 DEFERIDO ANGELO FONTENELE ROQUE ARAGÃO 026***.***-** 1 DEFERIDO ANGELO FONTENELE ROQUE ARAGÃO 026***.***-** 7 DEFERIDO CLAUDIA DOS REIS PEREIRA DE MEDEIROS 505***.***-** 1 INDEFERIDO CANDIDATO (A) NÃO APRESENTOU DECLARAÇÃO EXPEDIDA PELO GDF QUE COMPROVE RECEBIMENTO DE BENEFÍCIO DE PROGRAMA SOCIAL DE COMPLEMENTAÇÃO OU SUPLEMENTAÇÃO DE RENDA DO GDF (PRATO CHEIO, DF SOCIAL) ELIENE MARCELINA SOARES 019***.***-** 1 DEFERIDO LEIZIANE ARAUJO COELHO BARROS 030***.***-** 1 INDEFERIDO CANDIDATO (A) NÃO APRESENTOU DOCUMENTO DE IDENTIFICAÇÃO LEIZIANE ARAUJO COELHO BARROS 030***.***-** 8 INDEFERIDO CANDIDATO (A) NÃO APRESENTOU DOCUMENTO DE IDENTIFICAÇÃO
  • 180.
    KARLA ALVES DESOUSA 011***.***-** 7 INDEFERIDO CANDIDATO (A) NÃO APRESENTOU DECLARAÇÃO EXPEDIDA PELO GDF QUE COMPROVE RECEBIMENTO DE BENEFÍCIO DE PROGRAMA SOCIAL DE COMPLEMENTAÇÃO OU SUPLEMENTAÇÃO DE RENDA DO GDF (PRATO CHEIO, DF SOCIAL) JULIANA DOS SANTOS 731***.***-** 1 DEFERIDO ROSANGELA DE LIMA XAVIER 634***.***-** 7 INDEFERIDO CANDIDATO (A) NÃO APRESENTOU DOCUMENTAÇÃO EXIGIDA SIRLENE MEDEIROS DA SILVA 016***.***-** 1 INDEFERIDO CANDIDATO (A) NÃO APRESENTOU DECLARAÇÃO EXPEDIDA PELO GDF QUE COMPROVE RECEBIMENTO DE BENEFÍCIO DE PROGRAMA SOCIAL DE COMPLEMENTAÇÃO OU SUPLEMENTAÇÃO DE RENDA DO GDF (PRATO CHEIO, DF SOCIAL) PEDRO HENRIQUE MENDES DE ALMEIDA 037***.***-** - INDEFERIDO CANDIDATO (A) NÃO INFORMOU NO FORMULÁRIO O CARGO O QUAL DESEJA A ISENÇÃO REJANE MONTEIRO COSTA 029***.***-** 7 DEFERIDO RAFAELLI MACIEL DA SILVA DE QUEIROZ 049***.***-** 8 DEFERIDO FRANSUELLE BRAGA DE SOUSA 016***.***-** 1 INDEFERIDO CANDIDATO (A) NÃO APRESENTOU DECLARAÇÃO EXPEDIDA PELO GDF QUE COMPROVE RECEBIMENTO DE BENEFÍCIO DE PROGRAMA SOCIAL DE COMPLEMENTAÇÃO OU SUPLEMENTAÇÃO DE RENDA DO GDF (PRATO CHEIO, DF SOCIAL) ANA CAROLINA DOURO DE AZEVEDO 051***.***-** 1 DEFERIDO ANA CAROLINA DOURO DE AZEVEDO 051***.***-** 8 DEFERIDO VICTORIA BEATRIZ REGO DE MACEDO 070***.***-** 1 INDEFERIDO CANDIDATO (A) NÃO APRESENTOU DECLARAÇÃO EXPEDIDA PELO GDF QUE COMPROVE RECEBIMENTO DE BENEFÍCIO DE PROGRAMA SOCIAL DE COMPLEMENTAÇÃO OU SUPLEMENTAÇÃO DE RENDA DO GDF (PRATO CHEIO, DF SOCIAL) VICTORIA BEATRIZ REGO DE MACEDO 070***.***-** 6 INDEFERIDO CANDIDATO (A) NÃO APRESENTOU DECLARAÇÃO EXPEDIDA PELO GDF QUE COMPROVE RECEBIMENTO DE BENEFÍCIO DE PROGRAMA SOCIAL DE COMPLEMENTAÇÃO OU SUPLEMENTAÇÃO DE RENDA DO GDF (PRATO CHEIO, DF SOCIAL) LAUANDA SILVA DE LIMA 070***.***-** 7 INDEFERIDO CANDIDATO (A) NÃO APRESENTOU DECLARAÇÃO EXPEDIDA PELO GDF QUE COMPROVE RECEBIMENTO DE BENEFÍCIO DE PROGRAMA SOCIAL DE COMPLEMENTAÇÃO OU SUPLEMENTAÇÃO DE RENDA DO GDF (PRATO CHEIO, DF SOCIAL) LAUANDA SILVA DE LIMA 070***.***-** 1 INDEFERIDO CANDIDATO (A) NÃO APRESENTOU DECLARAÇÃO EXPEDIDA PELO GDF QUE COMPROVE RECEBIMENTO DE BENEFÍCIO DE PROGRAMA SOCIAL DE COMPLEMENTAÇÃO OU SUPLEMENTAÇÃO DE RENDA DO GDF (PRATO CHEIO, DF SOCIAL) EMERSON MADSON MEGEREDO LEAL 028***.***-** 1 DEFERIDO
  • 181.
    TATIANA LIMA RODRIGUESDA SILVA 006***.***-** 1 INDEFERIDO CANDIDATO (A) NÃO APRESENTOU DECLARAÇÃO EXPEDIDA PELO GDF QUE COMPROVE RECEBIMENTO DE BENEFÍCIO DE PROGRAMA SOCIAL DE COMPLEMENTAÇÃO OU SUPLEMENTAÇÃO DE RENDA DO GDF (PRATO CHEIO, DF SOCIAL) RAWBATA DE OLIVEIRA LIMA -***.***-** - INDEFERIDO CANDIDATO (A) NÃO APRESENTOU DOCUMENTAÇÃO EXIGIDA CHARLENE TELES PIGNATA 716***.***-** 1 DEFERIDO FABÍOLA DIANE ALVES SANTOS 726***.***-** 1 DEFERIDO EDNA DA SILVA RÊGO 705***.***-** 1 INDEFERIDO CANDIDATO (A) NÃO APRESENTOU LAUDO MÉDICO COMPROBATÓRIO DA ISENÇÃO DE ACORDO COM A POSSIBILIDADE ESCOLHIDA (CAD. ÚNICO FEDERAL) MARCOS HENRIQUE PONTES DE SOUZA -***.***-** - INDEFERIDO CANDIDATO (A) NÃO APRESENTOU DOCUMENTO DE IDENTIFICAÇÃO E FORMULÁRIO PARA PEDIDO DE ISENÇÃO ANA ALANO REIS 930***.***-** 1 INDEFERIDO CANDIDATO (A) NÃO APRESENTOU LAUDO MÉDICO COMPROBATÓRIO DA ISENÇÃO DE ACORDO COM A POSSIBILIDADE ESCOLHIDA (CAD. ÚNICO FEDERAL) ANA ALANO REIS 930***.***-** 3 INDEFERIDO CANDIDATO (A) NÃO APRESENTOU LAUDO MÉDICO COMPROBATÓRIO DA ISENÇÃO DE ACORDO COM A POSSIBILIDADE ESCOLHIDA (CAD. ÚNICO FEDERAL) TERESINHA CAMILO SOARES 590***.***-** 1 DEFERIDO LUIS PAULO ALVES COSTA 099***.***-** 1 INDEFERIDO CANDIDATO (A) NÃO APRESENTOU DOCUMENTAÇÃO EXIGIDA JENIFFER PAULINA OLIVEIRA SANTOS 093***.***-** 1 DEFERIDO ERICA SILVA DE OLIVEIRA 000***.***-** 1 INDEFERIDO CANDIDATO (A) NÃO APRESENTOU DOCUMENTAÇÃO EXIGIDA EM PDF RAFAEL WESLEY DA SILVA DE OLIVEIRA 027***.***-** 3 INDEFERIDO CANDIDATO (A) NÃO APRESENTOU LAUDO MÉDICO COMPROBATÓRIO DA ISENÇÃO DE ACORDO COM A POSSIBILIDADE ESCOLHIDA (CAD. ÚNICO FEDERAL) E COMPROVANTE DE CADASTRAMENTO NO CADASTRO ÚNICO SILEDA MACHADO FERREIRA 881***.***-** 8 INDEFERIDO CANDIDATO (A) NÃO APRESENTOU FORMULÁRIO PARA PEDIDO DE ISENÇÃO MARIA ANUNCIADA DO REGO 970***.***-** 6 INDEFERIDO CANDIDATO (A) NÃO APRESENTOU DECLARAÇÃO EXPEDIDA PELO GDF QUE COMPROVE RECEBIMENTO DE BENEFÍCIO DE PROGRAMA SOCIAL DE COMPLEMENTAÇÃO OU SUPLEMENTAÇÃO DE RENDA DO GDF (PRATO CHEIO, DF SOCIAL) EVERTON DE ASSIS SILVA BARBOSA 722***.***-** 1 INDEFERIDO CANDIDATO (A) NÃO APRESENTOU DOCUMENTO DE IDENTIFICAÇÃO KARINA RIBEIRO NEVES 034***.***-** 1 INDEFERIDO CANDIDATO (A) NÃO APRESENTOU LAUDO MÉDICO COMPROBATÓRIO DA ISENÇÃO DE ACORDO COM A POSSIBILIDADE ESCOLHIDA (CAD. ÚNICO FEDERAL) E COMPROVANTE DE CADASTRAMENTO NO CADASTRO ÚNICO JOSE CARLOS ALVES RIBEIRO FILHO 004***.***-** 1 DEFERIDO MARIA JULIANA ALVES LOPES 056***.***-** 1 INDEFERIDO CANDIDATO (A) NÃO APRESENTOU DOCUMENTAÇÃO EXIGIDA
  • 182.
    JOELMA CARDOSO DOSSANTOS 073***.***-** 2 INDEFERIDO CANDIDATO (A) NÃO APRESENTOU DECLARAÇÃO EXPEDIDA PELO GDF QUE COMPROVE RECEBIMENTO DE BENEFÍCIO DE PROGRAMA SOCIAL DE COMPLEMENTAÇÃO OU SUPLEMENTAÇÃO DE RENDA DO GDF (PRATO CHEIO, DF SOCIAL) SABRINA MIRANDA BORGES 086***.***-** 4 INDEFERIDO CANDIDATO (A) NÃO APRESENTOU DECLARAÇÃO EXPEDIDA PELO GDF QUE COMPROVE RECEBIMENTO DE BENEFÍCIO DE PROGRAMA SOCIAL DE COMPLEMENTAÇÃO OU SUPLEMENTAÇÃO DE RENDA DO GDF (PRATO CHEIO, DF SOCIAL) THIAGO ANTUNES DE OLIVEIRA CARDOSO 051***.***-** 1 INDEFERIDO CANDIDATO (A) NÃO APRESENTOU DOCUMENTO DE IDENTIFICAÇÃO THIAGO ANTUNES DE OLIVEIRA CARDOSO 051***.***-** 2 INDEFERIDO CANDIDATO (A) NÃO APRESENTOU DOCUMENTO DE IDENTIFICAÇÃO DAILANE RIOS DOURADO 041***.***-** - INDEFERIDO CANDIDATO (A) NÃO APRESENTOU DECLARAÇÃO EXPEDIDA PELO GDF QUE COMPROVE RECEBIMENTO DE BENEFÍCIO DE PROGRAMA SOCIAL DE COMPLEMENTAÇÃO OU SUPLEMENTAÇÃO DE RENDA DO GDF (PRATO CHEIO, DF SOCIAL) E NÃO INFORMOU O CARGO GABRIELA PINTO ABREU 079***.***-** 6 INDEFERIDO CANDIDATO (A) NÃO APRESENTOU DECLARAÇÃO EXPEDIDA PELO GDF QUE COMPROVE RECEBIMENTO DE BENEFÍCIO DE PROGRAMA SOCIAL DE COMPLEMENTAÇÃO OU SUPLEMENTAÇÃO DE RENDA DO GDF (PRATO CHEIO, DF SOCIAL) GLAUCO HENRIQUE BATISTA NUNES CARDOSO 100***.***-** 2 DEFERIDO ALYANE BORGES SILVA 006***.***-** 1 DEFERIDO AIMÊ DA SILVA NASCIMENTO NUNES 143***.***-** 5 DEFERIDO KARINA ARAUJO BEZERRA 034***.***-** 1 DEFERIDO JAQUELINE CAMPELO DO NASCIMENTO 068***.***-** 1 INDEFERIDO CANDIDATO (A) NÃO APRESENTOU COMPROVANTE DE CADASTRAMENTO NO CADASTRO ÚNICO LUZIANE DOS SANTOS SILVA 002***.***-** 3 INDEFERIDO CANDIDATO (A) NÃO APRESENTOU DECLARAÇÃO EXPEDIDA PELO GDF QUE COMPROVE RECEBIMENTO DE BENEFÍCIO DE PROGRAMA SOCIAL DE COMPLEMENTAÇÃO OU SUPLEMENTAÇÃO DE RENDA DO GDF (PRATO CHEIO, DF SOCIAL) AGATA CRISTIAN DOS SANTOS FERNANDES TELES 091***.***-** 7 INDEFERIDO CANDIDATO (A) NÃO APRESENTOU DECLARAÇÃO EXPEDIDA PELO GDF QUE COMPROVE RECEBIMENTO DE BENEFÍCIO DE PROGRAMA SOCIAL DE COMPLEMENTAÇÃO OU SUPLEMENTAÇÃO DE RENDA DO GDF (PRATO CHEIO, DF SOCIAL) NELMA CRISTINA RIBEIRO GUERRA 016***.***-** 8 INDEFERIDO CANDIDATO (A) NÃO APRESENTOU LAUDO MÉDICO COMPROBATÓRIO DA ISENÇÃO DE ACORDO COM A POSSIBILIDADE ESCOLHIDA (CAD. ÚNICO FEDERAL) FABIO MIRANDA BEZERRA 937***.***-** 8 DEFERIDO FERNANDO LUIZ FRAZÃO AGUIAR 697***.***-** 1 INDEFERIDO CANDIDATO (A) NÃO APRESENTOU DOCUMENTO DE IDENTIFICAÇÃO FRANCIMILDE CARVALHO ARAÚJO DE MELO 012***.***-** 1 INDEFERIDO CANDIDATO (A) NÃO APRESENTOU DOCUMENTAÇÃO EXIGIDA HUGO DE AMORIM OLIVEIRA 023***.***-** 2 DEFERIDO
  • 183.
    KENIA CHAVES DOSSANTOS 704***.***-** 8 INDEFERIDO CANDIDATO (A) NÃO APRESENTOU DECLARAÇÃO EXPEDIDA PELO GDF QUE COMPROVE RECEBIMENTO DE BENEFÍCIO DE PROGRAMA SOCIAL DE COMPLEMENTAÇÃO OU SUPLEMENTAÇÃO DE RENDA DO GDF (PRATO CHEIO, DF SOCIAL) KENIA CHAVES DOS SANTOS 704***.***-** 1 INDEFERIDO CANDIDATO (A) NÃO APRESENTOU DECLARAÇÃO EXPEDIDA PELO GDF QUE COMPROVE RECEBIMENTO DE BENEFÍCIO DE PROGRAMA SOCIAL DE COMPLEMENTAÇÃO OU SUPLEMENTAÇÃO DE RENDA DO GDF (PRATO CHEIO, DF SOCIAL) RAYANE RODRIGUES DA SILVA 050***.***-** 2 INDEFERIDO CANDIDATO (A) NÃO APRESENTOU DECLARAÇÃO EXPEDIDA PELO GDF QUE COMPROVE RECEBIMENTO DE BENEFÍCIO DE PROGRAMA SOCIAL DE COMPLEMENTAÇÃO OU SUPLEMENTAÇÃO DE RENDA DO GDF (PRATO CHEIO, DF SOCIAL) GLAUCO HENRIQUE BATISTA NUNES CARDOSO 100***.***-** 1 DEFERIDO ZENILDE SOUZA DA SILVA 973***.***-** 1 DEFERIDO ZENILDE SOUZA DA SILVA 973***.***-** 2 DEFERIDO ALINE CRISTINA PEREIRA DE BRITO 012***.***-** 1 INDEFERIDO CANDIDATO (A) NÃO APRESENTOU DOCUMENTO DE IDENTIFICAÇÃO E NÃO ENVIOU DOCUMENTAÇÃO EM PDF MICHELLE DE SOUSA 045***.***-** - INDEFERIDO CANDIDATO (A) NÃO APRESENTOU FORMULÁRIO PARA PEDIDO DE ISENÇÃO PATRICIA SILVA DE SOUZA 910***.***-** 1 INDEFERIDO CANDIDATO (A) NÃO APRESENTOU DECLARAÇÃO EXPEDIDA PELO GDF QUE COMPROVE RECEBIMENTO DE BENEFÍCIO DE PROGRAMA SOCIAL DE COMPLEMENTAÇÃO OU SUPLEMENTAÇÃO DE RENDA DO GDF (PRATO CHEIO, DF SOCIAL) PATRICIA SILVA DE SOUZA 910***.***-** 8 INDEFERIDO CANDIDATO (A) NÃO APRESENTOU DECLARAÇÃO EXPEDIDA PELO GDF QUE COMPROVE RECEBIMENTO DE BENEFÍCIO DE PROGRAMA SOCIAL DE COMPLEMENTAÇÃO OU SUPLEMENTAÇÃO DE RENDA DO GDF (PRATO CHEIO, DF SOCIAL) ISADORA MOTA BEZERRA ARRAIS 053***.***-** 3 INDEFERIDO CANDIDATO (A) NÃO APRESENTOU DECLARAÇÃO EXPEDIDA PELO GDF QUE COMPROVE RECEBIMENTO DE BENEFÍCIO DE PROGRAMA SOCIAL DE COMPLEMENTAÇÃO OU SUPLEMENTAÇÃO DE RENDA DO GDF (PRATO CHEIO, DF SOCIAL) DAIANE BATISTA DE OLIVEIRA 040***.***-** 1 INDEFERIDO CANDIDATO (A) NÃO APRESENTOU DECLARAÇÃO EXPEDIDA PELO GDF QUE COMPROVE RECEBIMENTO DE BENEFÍCIO DE PROGRAMA SOCIAL DE COMPLEMENTAÇÃO OU SUPLEMENTAÇÃO DE RENDA DO GDF (PRATO CHEIO, DF SOCIAL) ROBERTO CASSIMIRO LIMA 859***.***-** 1 DEFERIDO CINTIA MARIA DOS SANTOS 024***.***-** 3 INDEFERIDO CANDIDATO (A) NÃO APRESENTOU DOCUMENTAÇÃO EXIGIDA EM PDF CINTIA MARIA DOS SANTOS 024***.***-** 1 INDEFERIDO CANDIDATO (A) NÃO APRESENTOU DOCUMENTAÇÃO EXIGIDA EM PDF LAYCONE DA SILVA LEMES -***.***-** 8 INDEFERIDO CANDIDATO (A) NÃO APRESENTOU FORMULÁRIO PARA PEDIDO DE ISENÇÃO ANTONIO FRANCISCO FURTADO DE SOUSA 659***.***-** 1 INDEFERIDO CANDIDATO (A) NÃO APRESENTOU DOCUMENTO DE IDENTIFICAÇÃO
  • 184.
    ANTONIO FRANCISCO FURTADODE SOUSA 659***.***-** 2 INDEFERIDO CANDIDATO (A) NÃO APRESENTOU DOCUMENTO DE IDENTIFICAÇÃO CREARDO DIAS RIBEIRO 810***.***-** 1 DEFERIDO CREARDO DIAS RIBEIRO 810***.***-** 8 INDEFERIDO CANDIDATO (A) NÃO APRESENTOU UMA SOLICITAÇÃO DE ISENÇÃO COM UM FORMULÁRIO PARA CADA CARGO NAYARA EDUARDA SOARES DE MELO 041***.***-** 1 INDEFERIDO CANDIDATO (A) NÃO APRESENTOU DECLARAÇÃO EXPEDIDA PELO GDF QUE COMPROVE RECEBIMENTO DE BENEFÍCIO DE PROGRAMA SOCIAL DE COMPLEMENTAÇÃO OU SUPLEMENTAÇÃO DE RENDA DO GDF (PRATO CHEIO, DF SOCIAL) JHONATA NUNES PATRICIO 705***.***-** 1 DEFERIDO MICHELE RIBEIRO ARAUJO LIMA 838***.***-** 1 DEFERIDO MIRIÃ FONSECA MELO 074***.***-** 1 INDEFERIDO CANDIDATO (A) NÃO APRESENTOU DECLARAÇÃO EXPEDIDA PELO GDF QUE COMPROVE RECEBIMENTO DE BENEFÍCIO DE PROGRAMA SOCIAL DE COMPLEMENTAÇÃO OU SUPLEMENTAÇÃO DE RENDA DO GDF (PRATO CHEIO, DF SOCIAL) MAURA ROSA GRAÇA E SILVA 051***.***-** 1 INDEFERIDO CANDIDATO (A) NÃO APRESENTOU DOCUMENTO DE IDENTIFICAÇÃO E DECLARAÇÃO EXPEDIDA PELO GDF QUE COMPROVE RECEBIMENTO DE BENEFÍCIO DE PROGRAMA SOCIAL DE COMPLEMENTAÇÃO OU SUPLEMENTAÇÃO DE RENDA DO GDF (PRATO CHEIO, DF SOCIAL) KARLA KÉSSIA SOUZA FURTADO 052***.***-** 1 INDEFERIDO CANDIDATO (A) NÃO APRESENTOU DECLARAÇÃO EXPEDIDA PELO GDF QUE COMPROVE RECEBIMENTO DE BENEFÍCIO DE PROGRAMA SOCIAL DE COMPLEMENTAÇÃO OU SUPLEMENTAÇÃO DE RENDA DO GDF (PRATO CHEIO, DF SOCIAL) CINTIA GRAÇA DOS SANTOS 719***.***-** 5 INDEFERIDO CANDIDATO (A) NÃO APRESENTOU DECLARAÇÃO EXPEDIDA PELO GDF QUE COMPROVE RECEBIMENTO DE BENEFÍCIO DE PROGRAMA SOCIAL DE COMPLEMENTAÇÃO OU SUPLEMENTAÇÃO DE RENDA DO GDF (PRATO CHEIO, DF SOCIAL) FILIPE TRIGUEIRO XAVIER CORREIA 057***.***-** 1 DEFERIDO TAYNARA OLIVEIRA SOUSA 059***.***-** 8 INDEFERIDO CANDIDATO (A) NÃO APRESENTOU DOCUMENTO DE IDENTIFICAÇÃO RENATA DE SOUSA FALCAO 032***.***-** 7 INDEFERIDO CANDIDATO (A) NÃO APRESENTOU LAUDO MÉDICO COMPROBATÓRIO DA ISENÇÃO DE ACORDO COM A POSSIBILIDADE ESCOLHIDA (CAD. ÚNICO FEDERAL) MARCELINO FLORENCIO DA SILVA 704***.***-** 1 INDEFERIDO CANDIDATO (A) NÃO APRESENTOU DECLARAÇÃO EXPEDIDA PELO GDF QUE COMPROVE RECEBIMENTO DE BENEFÍCIO DE PROGRAMA SOCIAL DE COMPLEMENTAÇÃO OU SUPLEMENTAÇÃO DE RENDA DO GDF (PRATO CHEIO, DF SOCIAL) MARCELINO FLORENCIO DA SILVA 704***.***-** 4 INDEFERIDO CANDIDATO (A) NÃO APRESENTOU DECLARAÇÃO EXPEDIDA PELO GDF QUE COMPROVE RECEBIMENTO DE BENEFÍCIO DE PROGRAMA SOCIAL DE COMPLEMENTAÇÃO OU SUPLEMENTAÇÃO DE RENDA DO GDF (PRATO CHEIO, DF SOCIAL)
  • 185.
    MARIA FRANCIMAR DOSSANTOS SILVA 811***.***-** 1 DEFERIDO ALYNE MARIANA SANTOS DA MOTA 010***.***-** 1 DEFERIDO GISELE VALADARES DE OLIVEIRA 707***.***-** 1 INDEFERIDO CANDIDATO (A) NÃO APRESENTOU DECLARAÇÃO EXPEDIDA PELO GDF QUE COMPROVE RECEBIMENTO DE BENEFÍCIO DE PROGRAMA SOCIAL DE COMPLEMENTAÇÃO OU SUPLEMENTAÇÃO DE RENDA DO GDF (PRATO CHEIO, DF SOCIAL) GISELE VALADARES DE OLIVEIRA 707***.***-** 3 INDEFERIDO CANDIDATO (A) NÃO APRESENTOU UMA SOLICITAÇÃO DE ISENÇÃO COM UM FORMULÁRIO PARA CADA CARGO E NÃO APRESENTOU DECLARAÇÃO EXPEDIDA PELO GDF QUE COMPROVE RECEBIMENTO DE BENEFÍCIO DE PROGRAMA SOCIAL DE COMPLEMENTAÇÃO OU SUPLEMENTAÇÃO DE RENDA DO GDF (PRATO CHEIO, DF SOCIAL) ANA LUCIA MACHADO -***.***-** - INDEFERIDO CANDIDATO (A) NÃO APRESENTOU DOCUMENTO DE IDENTIFICAÇÃO E FORMULÁRIO PARA PEDIDO DE ISENÇÃO WANDERSON GONÇALVES DA SILVA 006***.***-** 5 INDEFERIDO CANDIDATO (A) NÃO APRESENTOU DECLARAÇÃO EXPEDIDA PELO GDF QUE COMPROVE RECEBIMENTO DE BENEFÍCIO DE PROGRAMA SOCIAL DE COMPLEMENTAÇÃO OU SUPLEMENTAÇÃO DE RENDA DO GDF (PRATO CHEIO, DF SOCIAL) WANDERSON GONÇALVES DA SILVA 006***.***-** 1 INDEFERIDO CANDIDATO (A) NÃO APRESENTOU DECLARAÇÃO EXPEDIDA PELO GDF QUE COMPROVE RECEBIMENTO DE BENEFÍCIO DE PROGRAMA SOCIAL DE COMPLEMENTAÇÃO OU SUPLEMENTAÇÃO DE RENDA DO GDF (PRATO CHEIO, DF SOCIAL) ALICE CRISTINA PEREIRA DE BRITO 012***.***-** 1 INDEFERIDO CANDIDATO (A) NÃO APRESENTOU DOCUMENTAÇÃO EXIGIDA EM PDF ÉLIDA BATISTA BERTOLAZI 726***.***-** 1 INDEFERIDO CANDIDATO (A) NÃO APRESENTOU DECLARAÇÃO EXPEDIDA PELO GDF QUE COMPROVE RECEBIMENTO DE BENEFÍCIO DE PROGRAMA SOCIAL DE COMPLEMENTAÇÃO OU SUPLEMENTAÇÃO DE RENDA DO GDF (PRATO CHEIO, DF SOCIAL) ÉLIDA BATISTA BERTOLAZI 726***.***-** 8 INDEFERIDO CANDIDATO (A) NÃO APRESENTOU DECLARAÇÃO EXPEDIDA PELO GDF QUE COMPROVE RECEBIMENTO DE BENEFÍCIO DE PROGRAMA SOCIAL DE COMPLEMENTAÇÃO OU SUPLEMENTAÇÃO DE RENDA DO GDF (PRATO CHEIO, DF SOCIAL) ANDRESSA MARIA DE OLIVEIRA ALVES 059***.***-** 1 DEFERIDO MARCOS VINICIUS BRANDÃO DA SILVA 028***.***-** 1 DEFERIDO MARCOS VINICIUS BRANDÃO DA SILVA 028***.***-** 2 DEFERIDO FLAVIO JUNIO DA CONCEIÇÃO COSTA 028***.***-** 1 INDEFERIDO CANDIDATO (A) NÃO APRESENTOU DECLARAÇÃO EXPEDIDA PELO GDF QUE COMPROVE RECEBIMENTO DE BENEFÍCIO DE PROGRAMA SOCIAL DE COMPLEMENTAÇÃO OU SUPLEMENTAÇÃO DE RENDA DO GDF (PRATO CHEIO, DF SOCIAL) GABRIEL ALVES GOMES 057***.***-** 1 DEFERIDO AMANDA DAYSE E SILVA 076***.***-** 1 DEFERIDO
  • 186.
    GUILHERME MENDES FREITAS011***.***-** 4 DEFERIDO LILIANE DE OLIVEIRA PENHA 058***.***-** - INDEFERIDO CANDIDATO (A) NÃO APRESENTOU DECLARAÇÃO EXPEDIDA PELO GDF QUE COMPROVE RECEBIMENTO DE BENEFÍCIO DE PROGRAMA SOCIAL DE COMPLEMENTAÇÃO OU SUPLEMENTAÇÃO DE RENDA DO GDF (PRATO CHEIO, DF SOCIAL) E NÃO INFORMOU O CARGO RODRIGO MOUHAMAD BISPO DA SILVA 027***.***-** 1 DEFERIDO RODRIGO MOUHAMAD BISPO DA SILVA 027***.***-** 2 DEFERIDO BEATRIZ CRISTINA NAIMO 485***.***-** 5 INDEFERIDO CANDIDATO (A) NÃO APRESENTOU LAUDO MÉDICO COMPROBATÓRIO DA ISENÇÃO DE ACORDO COM A POSSIBILIDADE ESCOLHIDA (CAD. ÚNICO FEDERAL) BEATRIZ CRISTINA NAIMO 485***.***-** 1 INDEFERIDO CANDIDATO (A) NÃO APRESENTOU LAUDO MÉDICO COMPROBATÓRIO DA ISENÇÃO DE ACORDO COM A POSSIBILIDADE ESCOLHIDA (CAD. ÚNICO FEDERAL) KEMILLY SOARES FONSECA DA SILVA 032***.***-** 1 INDEFERIDO CANDIDATO (A) NÃO APRESENTOU DECLARAÇÃO EXPEDIDA PELO GDF QUE COMPROVE RECEBIMENTO DE BENEFÍCIO DE PROGRAMA SOCIAL DE COMPLEMENTAÇÃO OU SUPLEMENTAÇÃO DE RENDA DO GDF (PRATO CHEIO, DF SOCIAL) EDUARDO DE FREITAS SOARES 734***.***-** 1 INDEFERIDO CANDIDATO (A) NÃO APRESENTOU DECLARAÇÃO EXPEDIDA PELO GDF QUE COMPROVE RECEBIMENTO DE BENEFÍCIO DE PROGRAMA SOCIAL DE COMPLEMENTAÇÃO OU SUPLEMENTAÇÃO DE RENDA DO GDF (PRATO CHEIO, DF SOCIAL) EDUARDO DE FREITAS SOARES 734***.***-** 7 INDEFERIDO CANDIDATO (A) NÃO APRESENTOU UMA SOLICITAÇÃO DE ISENÇÃO COM UM FORMULÁRIO PARA CADA CARGO E NÃO APRESENTOU DECLARAÇÃO EXPEDIDA PELO GDF QUE COMPROVE RECEBIMENTO DE BENEFÍCIO DE PROGRAMA SOCIAL DE COMPLEMENTAÇÃO OU SUPLEMENTAÇÃO DE RENDA DO GDF (PRATO CHEIO, DF SOCIAL) MARINA RODRIGUES GOMES 064***.***-** 5 DEFERIDO ANA PAULA DE AZEVEDO E SILVA 857***.***-** 1 DEFERIDO LEILA DA SILVA MARTINS 703***.***-** 1 INDEFERIDO CANDIDATO (A) NÃO APRESENTOU LAUDO MÉDICO COMPROBATÓRIO DA ISENÇÃO DE ACORDO COM A POSSIBILIDADE ESCOLHIDA (CAD. ÚNICO FEDERAL) HUGO MOURAO FURTADO 828***.***-** 1 DEFERIDO HUGO MOURAO FURTADO 828***.***-** 5 DEFERIDO SORAYA ALVES SANTANA 026***.***-** 1 INDEFERIDO CANDIDATO (A) NÃO APRESENTOU DOCUMENTO DE IDENTIFICAÇÃO E FORMULÁRIO PARA PEDIDO DE ISENÇÃO EMMILY JANE DA SILVA DE CAMPOS DE AQUINO 043***.***-** 1 INDEFERIDO CANDIDATO (A) NÃO APRESENTOU DECLARAÇÃO EXPEDIDA PELO GDF QUE COMPROVE RECEBIMENTO DE BENEFÍCIO DE PROGRAMA SOCIAL DE COMPLEMENTAÇÃO OU SUPLEMENTAÇÃO DE RENDA DO GDF (PRATO CHEIO, DF SOCIAL)
  • 187.
    PATRYCIA GOMES DEFRANÇA 020***.***-** 2 DEFERIDO SANDRA PEREIRA MACHADO 926***.***-** 6 INDEFERIDO CANDIDATO (A) NÃO APRESENTOU DOCUMENTO DE IDENTIFICAÇÃO RANNA FERREIRA DOS SANTOS 022***.***-** 1 INDEFERIDO CANDIDATO (A) NÃO APRESENTOU DECLARAÇÃO EXPEDIDA PELO GDF QUE COMPROVE RECEBIMENTO DE BENEFÍCIO DE PROGRAMA SOCIAL DE COMPLEMENTAÇÃO OU SUPLEMENTAÇÃO DE RENDA DO GDF (PRATO CHEIO, DF SOCIAL) JEFERSON SILVA DOS SANTOS 061***.***-** 1 DEFERIDO PABLINE OLIVEIRA XAVIER 066***.***-** 1 INDEFERIDO CANDIDATO (A) NÃO APRESENTOU DOCUMENTO DE IDENTIFICAÇÃO E DECLARAÇÃO EXPEDIDA PELO GDF QUE COMPROVE RECEBIMENTO DE BENEFÍCIO DE PROGRAMA SOCIAL DE COMPLEMENTAÇÃO OU SUPLEMENTAÇÃO DE RENDA DO GDF (PRATO CHEIO, DF SOCIAL) ELIZANJA ALVES DA SILVA 005***.***-** 8 INDEFERIDO CANDIDATO (A) NÃO APRESENTOU LAUDO MÉDICO COMPROBATÓRIO DA ISENÇÃO DE ACORDO COM A POSSIBILIDADE ESCOLHIDA (CAD. ÚNICO FEDERAL) LEONARDO DANTAS ORELLI 011***.***-** 1 DEFERIDO JESSICA FERREIRA SILVA 038***.***-** 1 DEFERIDO JESSICA FERREIRA SILVA 038***.***-** 4 DEFERIDO JOSILENE KELLY PEREIRA 734***.***-** 1 INDEFERIDO CANDIDATO (A) NÃO APRESENTOU DECLARAÇÃO EXPEDIDA PELO GDF QUE COMPROVE RECEBIMENTO DE BENEFÍCIO DE PROGRAMA SOCIAL DE COMPLEMENTAÇÃO OU SUPLEMENTAÇÃO DE RENDA DO GDF (PRATO CHEIO, DF SOCIAL) RICARDO PEREIRA DA SILVA 027***.***-** 7 INDEFERIDO JESSICA MARIA PEREIRA DE SOUSA 127***.***-** 3 INDEFERIDO CANDIDATO (A) NÃO APRESENTOU DECLARAÇÃO EXPEDIDA PELO GDF QUE COMPROVE RECEBIMENTO DE BENEFÍCIO DE PROGRAMA SOCIAL DE COMPLEMENTAÇÃO OU SUPLEMENTAÇÃO DE RENDA DO GDF (PRATO CHEIO, DF SOCIAL) SÔNIA MARIA DE JESUS DA SILVA OLIVEIRA 790***.***-** 1 INDEFERIDO CANDIDATO (A) NÃO APRESENTOU DOCUMENTO DE IDENTIFICAÇÃO LUIZA LUCA ARAÚJO SANTOS 928***.***-** 7 DEFERIDO CRISTINA BARBOSA DE AZEVEDO MIRANDA 828***.***-** 7 DEFERIDO CRISTINA BARBOSA DE AZEVEDO MIRANDA 828***.***-** 1 DEFERIDO SORAYA ALVES SANTANA 026***.***-** 8 INDEFERIDO CANDIDATO (A) NÃO APRESENTOU DOCUMENTO DE IDENTIFICAÇÃO E FORMULÁRIO PARA PEDIDO DE ISENÇÃO AMANDA SATURNINO LEITE 065***.***-** 1 DEFERIDO AMANDA SATURNINO LEITE 065***.***-** 2 DEFERIDO ELDNA DIAS CARDOSO PINHEIRO 576***.***-** 8 DEFERIDO MARIANA NASCIMENTO DA COSTA 063***.***-** - INDEFERIDO CANDIDATO (A) NÃO APRESENTOU DOCUMENTAÇÃO EXIGIDA ANGELICA MARIA DE CARVALHO CUNHA 011***.***-** 1 DEFERIDO LIRIA SANTOS DE SOUSA 706***.***-** 1 INDEFERIDO LIRIA SANTOS DE SOUSA 706***.***-** 4 INDEFERIDO
  • 188.
    CLARICE DE MOREIRAJESUS 014***.***-** 6 INDEFERIDO CANDIDATO (A) NÃO APRESENTOU DOCUMENTAÇÃO EXIGIDA EM PDF E NÃO APRESENTOU DECLARAÇÃO EXPEDIDA PELO GDF QUE COMPROVE RECEBIMENTO DE BENEFÍCIO DE PROGRAMA SOCIAL DE COMPLEMENTAÇÃO OU SUPLEMENTAÇÃO DE RENDA DO GDF (PRATO CHEIO, DF SOCIAL) THANARA MORAIS SANTOS 045***.***-** 1 INDEFERIDO CANDIDATO (A) NÃO APRESENTOU DECLARAÇÃO EXPEDIDA PELO GDF QUE COMPROVE RECEBIMENTO DE BENEFÍCIO DE PROGRAMA SOCIAL DE COMPLEMENTAÇÃO OU SUPLEMENTAÇÃO DE RENDA DO GDF (PRATO CHEIO, DF SOCIAL) THANARA MORAIS SANTOS 045***.***-** 6 INDEFERIDO CANDIDATO (A) NÃO APRESENTOU UMA SOLICITAÇÃO DE ISENÇÃO COM UM FORMULÁRIO PARA CADA CARGO E NÃO APRESENTOU DECLARAÇÃO EXPEDIDA PELO GDF QUE COMPROVE RECEBIMENTO DE BENEFÍCIO DE PROGRAMA SOCIAL DE COMPLEMENTAÇÃO OU SUPLEMENTAÇÃO DE RENDA DO GDF (PRATO CHEIO, DF SOCIAL) MARIA DE FÁTIMA BARBOSA DE SOUZA 994***.***-** 3 DEFERIDO MARIA DE FÁTIMA BARBOSA DE SOUZA 994***.***-** 1 DEFERIDO ITALO MAGELA DE PAULO SANTOS 025***.***-** - INDEFERIDO CANDIDATO (A) NÃO APRESENTOU DOCUMENTO DE IDENTIFICAÇÃO E FORMULÁRIO PARA PEDIDO DE ISENÇÃO ADENILSO JOSE DOS SANTOS 930***.***-** 1 DEFERIDO JÉSSIKA LORRAINE SALDANHA FONTINELE 060***.***-** 1 INDEFERIDO CANDIDATO (A) NÃO APRESENTOU LAUDO MÉDICO COMPROBATÓRIO DA ISENÇÃO DE ACORDO COM A POSSIBILIDADE ESCOLHIDA (CAD. ÚNICO FEDERAL), COMPROVANTE DE CADASTRAMENTO NO CADASTRO ÚNICO E NÃO INFORMOU O CARGO NOEMIA ROBERTA DA CUNHA 825***.***-** 8 INDEFERIDO CANDIDATO (A) NÃO APRESENTOU DECLARAÇÃO EXPEDIDA PELO GDF QUE COMPROVE RECEBIMENTO DE BENEFÍCIO DE PROGRAMA SOCIAL DE COMPLEMENTAÇÃO OU SUPLEMENTAÇÃO DE RENDA DO GDF (PRATO CHEIO, DF SOCIAL) PAULO HENRIQUE OINTO ALVES 022***.***-** 1 DEFERIDO ROSA MARIA TORRES E SILVA 003***.***-** 5 DEFERIDO ROSA MARIA TORRES E SILVA 003***.***-** 1 DEFERIDO NOELI OSTERKAMP 998***.***-** 1 DEFERIDO HAMILTON DIAS DE ANDRADE 032***.***-** 5 DEFERIDO EVANDRO JUNIO DOS SANTOS BEZERRA 067***.***-** - INDEFERIDO CANDIDATO (A) NÃO APRESENTOU DOCUMENTO DE IDENTIFICAÇÃO E LAUDO MÉDICO COMPROBATÓRIO DA ISENÇÃO DE ACORDO COM A POSSIBILIDADE ESCOLHIDA (CAD. ÚNICO FEDERAL) SANDRA LOPES DA ROCHA 037***.***-** 2 INDEFERIDO CANDIDATO (A) NÃO APRESENTOU LAUDO MÉDICO COMPROBATÓRIO DA ISENÇÃO DE ACORDO COM A POSSIBILIDADE ESCOLHIDA (CAD. ÚNICO FEDERAL)
  • 189.
    ANA LÚCIA RODIGUESDOS SANTOS 505***.***-** 1 INDEFERIDO CANDIDATO (A) NÃO APRESENTOU DOCUMENTO DE IDENTIFICAÇÃO E LAUDO MÉDICO COMPROBATÓRIO DA ISENÇÃO DE ACORDO COM A POSSIBILIDADE ESCOLHIDA (CAD. ÚNICO FEDERAL) KÊNIA FARIA VIANA DA SILVA 036***.***-** 1 DEFERIDO KÊNIA FARIA VIANA DA SILVA 036***.***-** 5 DEFERIDO VIVIANE GONÇALVES DA SILVA 619***.***-** 1 INDEFERIDO CANDIDATO (A) NÃO APRESENTOU DECLARAÇÃO EXPEDIDA PELO GDF QUE COMPROVE RECEBIMENTO DE BENEFÍCIO DE PROGRAMA SOCIAL DE COMPLEMENTAÇÃO OU SUPLEMENTAÇÃO DE RENDA DO GDF (PRATO CHEIO, DF SOCIAL) VIVIANE GONÇALVES DA SILVA 619***.***-** 5 INDEFERIDO CANDIDATO (A) NÃO APRESENTOU DECLARAÇÃO EXPEDIDA PELO GDF QUE COMPROVE RECEBIMENTO DE BENEFÍCIO DE PROGRAMA SOCIAL DE COMPLEMENTAÇÃO OU SUPLEMENTAÇÃO DE RENDA DO GDF (PRATO CHEIO, DF SOCIAL) ADRIANA ALICE MIRANDA BARBOZA 048***.***-** 2 INDEFERIDO CANDIDATO (A) NÃO APRESENTOU DOCUMENTO DE IDENTIFICAÇÃO E DECLARAÇÃO EXPEDIDA PELO GDF QUE COMPROVE RECEBIMENTO DE BENEFÍCIO DE PROGRAMA SOCIAL DE COMPLEMENTAÇÃO OU SUPLEMENTAÇÃO DE RENDA DO GDF (PRATO CHEIO, DF SOCIAL) THALYTA KAREN CANDIDO FERNANDES 077***.***-** 2 INDEFERIDO CANDIDATO (A) NÃO APRESENTOU DECLARAÇÃO EXPEDIDA PELO GDF QUE COMPROVE RECEBIMENTO DE BENEFÍCIO DE PROGRAMA SOCIAL DE COMPLEMENTAÇÃO OU SUPLEMENTAÇÃO DE RENDA DO GDF (PRATO CHEIO, DF SOCIAL) ANDERSON RICARDO DE ALMEIDA REIS 009***.***-** 1 DEFERIDO JACÓ RIBEIRO MARCELLOS 994***.***-** 1 DEFERIDO ELIAS ALMEIDA FERREIRA 039***.***-** 6 INDEFERIDO CANDIDATO (A) NÃO APRESENTOU DECLARAÇÃO EXPEDIDA PELO GDF QUE COMPROVE RECEBIMENTO DE BENEFÍCIO DE PROGRAMA SOCIAL DE COMPLEMENTAÇÃO OU SUPLEMENTAÇÃO DE RENDA DO GDF (PRATO CHEIO, DF SOCIAL) JÚLIO CESAR SILVA SANTOS 459***.***-** 1 INDEFERIDO CANDIDATO (A) NÃO APRESENTOU DOCUMENTO DE IDENTIFICAÇÃO E COMPROVANTE DE CADASTRAMENTO NO CADASTRO ÚNICO EDLAMARA VALE DE SOUSA LACERDA 027***.***-** 6 INDEFERIDO CANDIDATO (A) NÃO APRESENTOU DECLARAÇÃO EXPEDIDA PELO GDF QUE COMPROVE RECEBIMENTO DE BENEFÍCIO DE PROGRAMA SOCIAL DE COMPLEMENTAÇÃO OU SUPLEMENTAÇÃO DE RENDA DO GDF (PRATO CHEIO, DF SOCIAL) ELIZA RIZZOLI 117***.***-** 1 DEFERIDO RAQUEL LIMA RIBEIRO 076***.***-** 1 INDEFERIDO CANDIDATO (A) NÃO APRESENTOU DECLARAÇÃO EXPEDIDA PELO GDF QUE COMPROVE RECEBIMENTO DE BENEFÍCIO DE PROGRAMA SOCIAL DE COMPLEMENTAÇÃO OU SUPLEMENTAÇÃO DE RENDA DO GDF (PRATO CHEIO, DF SOCIAL)
  • 190.
    LEILA KAILLANY DASILVA MAGALHÃES 076***.***-** 1 INDEFERIDO CANDIDATO (A) NÃO APRESENTOU LAUDO MÉDICO COMPROBATÓRIO DA ISENÇÃO DE ACORDO COM A POSSIBILIDADE ESCOLHIDA (CAD. ÚNICO FEDERAL) ROSIMAR TURIAL DE MORAES 343***.***-** 1 DEFERIDO DANIELLE DA SILVA DOS SANTOS 081***.***-** 7 INDEFERIDO CANDIDATO (A) NÃO APRESENTOU DECLARAÇÃO EXPEDIDA PELO GDF QUE COMPROVE RECEBIMENTO DE BENEFÍCIO DE PROGRAMA SOCIAL DE COMPLEMENTAÇÃO OU SUPLEMENTAÇÃO DE RENDA DO GDF (PRATO CHEIO, DF SOCIAL) ALINE GUIMARAES 339***.***-** 1 INDEFERIDO CANDIDATO (A) NÃO APRESENTOU DOCUMENTAÇÃO EXIGIDA EM PDF RENATO BRITO DA SILVA 926***.***-** 1 DEFERIDO POLLYANA DA SILVA FERREIRA 056***.***-** 1 INDEFERIDO CANDIDATO (A) NÃO APRESENTOU DECLARAÇÃO EXPEDIDA PELO GDF QUE COMPROVE RECEBIMENTO DE BENEFÍCIO DE PROGRAMA SOCIAL DE COMPLEMENTAÇÃO OU SUPLEMENTAÇÃO DE RENDA DO GDF (PRATO CHEIO, DF SOCIAL) LEONARDO ALVES DE SOUZA 040***.***-** 1 INDEFERIDO CANDIDATO (A) NÃO APRESENTOU DECLARAÇÃO EXPEDIDA PELO GDF QUE COMPROVE RECEBIMENTO DE BENEFÍCIO DE PROGRAMA SOCIAL DE COMPLEMENTAÇÃO OU SUPLEMENTAÇÃO DE RENDA DO GDF (PRATO CHEIO, DF SOCIAL) GEOVANA DE CÁSSIA SILVA NASCIMENTO DOS SANTOS 849***.***-** 5 INDEFERIDO CANDIDATO (A) NÃO APRESENTOU DECLARAÇÃO EXPEDIDA PELO GDF QUE COMPROVE RECEBIMENTO DE BENEFÍCIO DE PROGRAMA SOCIAL DE COMPLEMENTAÇÃO OU SUPLEMENTAÇÃO DE RENDA DO GDF (PRATO CHEIO, DF SOCIAL) BEATRIZ RODRIGUES GUERRA 731***.***-** 3 DEFERIDO BEATRIZ RODRIGUES GUERRA 731***.***-** 1 DEFERIDO MARCIANA DA COSTA 000***.***-** 5 INDEFERIDO CANDIDATO (A) NÃO APRESENTOU LAUDO MÉDICO COMPROBATÓRIO DA ISENÇÃO DE ACORDO COM A POSSIBILIDADE ESCOLHIDA (CAD. ÚNICO FEDERAL) LUCIANA GOMES DE ALMEIDA 688***.***-** 7 INDEFERIDO CANDIDATO (A) NÃO APRESENTOU DECLARAÇÃO EXPEDIDA PELO GDF QUE COMPROVE RECEBIMENTO DE BENEFÍCIO DE PROGRAMA SOCIAL DE COMPLEMENTAÇÃO OU SUPLEMENTAÇÃO DE RENDA DO GDF (PRATO CHEIO, DF SOCIAL) FLÁVIA AUGUSTA DIAS CAMPOS 042***.***-** 1 DEFERIDO MEYRIANNE REIS DIAS 706***.***-** - INDEFERIDO CANDIDATO (A) NÃO APRESENTOU FORMULÁRIO PARA PEDIDO DE ISENÇÃO E LAUDO MÉDICO COMPROBATÓRIO DA ISENÇÃO DE ACORDO COM A POSSIBILIDADE ESCOLHIDA (CAD. ÚNICO FEDERAL) FABIANA CARNEIRO DE FREITAS 804***.***-** 1 INDEFERIDO CANDIDATO (A) NÃO APRESENTOU LAUDO MÉDICO COMPROBATÓRIO DA ISENÇÃO DE ACORDO COM A POSSIBILIDADE ESCOLHIDA (CAD. ÚNICO FEDERAL)
  • 191.
    FABIANA CARNEIRO DEFREITAS 804***.***-** 2 INDEFERIDO CANDIDATO (A) NÃO APRESENTOU LAUDO MÉDICO COMPROBATÓRIO DA ISENÇÃO DE ACORDO COM A POSSIBILIDADE ESCOLHIDA (CAD. ÚNICO FEDERAL) MILLA TORRES ALVES 253***.***-** 1 INDEFERIDO CANDIDATO (A) NÃO APRESENTOU DECLARAÇÃO EXPEDIDA PELO GDF QUE COMPROVE RECEBIMENTO DE BENEFÍCIO DE PROGRAMA SOCIAL DE COMPLEMENTAÇÃO OU SUPLEMENTAÇÃO DE RENDA DO GDF (PRATO CHEIO, DF SOCIAL) ANA PAULA OLIVEIRA CARDOSO BORGES 033***.***-** 4 INDEFERIDO CANDIDATO (A) NÃO APRESENTOU LAUDO MÉDICO COMPROBATÓRIO DA ISENÇÃO DE ACORDO COM A POSSIBILIDADE ESCOLHIDA (CAD. ÚNICO FEDERAL) THYANE SOLANGE SILVA LOBÃO 056***.***-** 8 INDEFERIDO CLEIDE OLIVEIRA DA SILVA 827***.***-** 7 INDEFERIDO CANDIDATO (A) NÃO APRESENTOU DECLARAÇÃO EXPEDIDA PELO GDF QUE COMPROVE RECEBIMENTO DE BENEFÍCIO DE PROGRAMA SOCIAL DE COMPLEMENTAÇÃO OU SUPLEMENTAÇÃO DE RENDA DO GDF (PRATO CHEIO, DF SOCIAL) LARA DINIZ BOBLAT 064***.***-** 1 DEFERIDO LARA DINIZ BOBLAT 064***.***-** 4 INDEFERIDO CANDIDATO (A) NÃO APRESENTOU UMA SOLICITAÇÃO DE ISENÇÃO COM UM FORMULÁRIO PARA CADA CARGO GLEICIANE LIMA FERREIRA 030***.***-** 1 INDEFERIDO CANDIDATO (A) NÃO APRESENTOU DECLARAÇÃO EXPEDIDA PELO GDF QUE COMPROVE RECEBIMENTO DE BENEFÍCIO DE PROGRAMA SOCIAL DE COMPLEMENTAÇÃO OU SUPLEMENTAÇÃO DE RENDA DO GDF (PRATO CHEIO, DF SOCIAL) GLEICIANE LIMA FERREIRA 030***.***-** 7 INDEFERIDO CANDIDATO (A) NÃO APRESENTOU DECLARAÇÃO EXPEDIDA PELO GDF QUE COMPROVE RECEBIMENTO DE BENEFÍCIO DE PROGRAMA SOCIAL DE COMPLEMENTAÇÃO OU SUPLEMENTAÇÃO DE RENDA DO GDF (PRATO CHEIO, DF SOCIAL) JEFFERSON DE SOUSA SANTOS 050***.***-** 8 INDEFERIDO CANDIDATO (A) NÃO APRESENTOU DECLARAÇÃO EXPEDIDA PELO GDF QUE COMPROVE RECEBIMENTO DE BENEFÍCIO DE PROGRAMA SOCIAL DE COMPLEMENTAÇÃO OU SUPLEMENTAÇÃO DE RENDA DO GDF (PRATO CHEIO, DF SOCIAL) ELTON ANTONIO DE ALMEIDA 943***.***-** 2 DEFERIDO ELTON ANTONIO DE ALMEIDA 943***.***-** 1 DEFERIDO GLEYCIANE MARIA DA SILVA SALES 058***.***-** 1 INDEFERIDO CANDIDATO (A) NÃO APRESENTOU LAUDO MÉDICO COMPROBATÓRIO DA ISENÇÃO DE ACORDO COM A POSSIBILIDADE ESCOLHIDA (CAD. ÚNICO FEDERAL) MOISES FRANCISCO JOSE DOS SANTOS 698***.***-** 2 INDEFERIDO CANDIDATO (A) NÃO APRESENTOU LAUDO MÉDICO COMPROBATÓRIO DA ISENÇÃO DE ACORDO COM A POSSIBILIDADE ESCOLHIDA (CAD. ÚNICO FEDERAL)
  • 192.
    MILLA TORRES ALVES253***.***-** 6 INDEFERIDO CANDIDATO (A) NÃO APRESENTOU DECLARAÇÃO EXPEDIDA PELO GDF QUE COMPROVE RECEBIMENTO DE BENEFÍCIO DE PROGRAMA SOCIAL DE COMPLEMENTAÇÃO OU SUPLEMENTAÇÃO DE RENDA DO GDF (PRATO CHEIO, DF SOCIAL) JOSÉ MARIA VIANA DOS SANTOS 000***.***-** 1 INDEFERIDO CANDIDATO (A) NÃO APRESENTOU DECLARAÇÃO EXPEDIDA PELO GDF QUE COMPROVE RECEBIMENTO DE BENEFÍCIO DE PROGRAMA SOCIAL DE COMPLEMENTAÇÃO OU SUPLEMENTAÇÃO DE RENDA DO GDF (PRATO CHEIO, DF SOCIAL) ALEX SANDRO ALVES 538***.***-** 1 INDEFERIDO CANDIDATO (A) NÃO APRESENTOU DECLARAÇÃO EXPEDIDA PELO GDF QUE COMPROVE RECEBIMENTO DE BENEFÍCIO DE PROGRAMA SOCIAL DE COMPLEMENTAÇÃO OU SUPLEMENTAÇÃO DE RENDA DO GDF (PRATO CHEIO, DF SOCIAL) ALEX SANDRO ALVES 538***.***-** 8 INDEFERIDO CANDIDATO (A) NÃO APRESENTOU DECLARAÇÃO EXPEDIDA PELO GDF QUE COMPROVE RECEBIMENTO DE BENEFÍCIO DE PROGRAMA SOCIAL DE COMPLEMENTAÇÃO OU SUPLEMENTAÇÃO DE RENDA DO GDF (PRATO CHEIO, DF SOCIAL) LUCELIA MARIA ALCANTARA ARAUJO 023***.***-** 2 INDEFERIDO CANDIDATO (A) NÃO APRESENTOU DOCUMENTO DE IDENTIFICAÇÃO ANDRÉ SANTOS 048***.***-** 1 INDEFERIDO CANDIDATO (A) NÃO APRESENTOU DECLARAÇÃO EXPEDIDA PELO GDF QUE COMPROVE RECEBIMENTO DE BENEFÍCIO DE PROGRAMA SOCIAL DE COMPLEMENTAÇÃO OU SUPLEMENTAÇÃO DE RENDA DO GDF (PRATO CHEIO, DF SOCIAL) JOSE LUIZ MACHADO 006***.***-** 1 INDEFERIDO CANDIDATO (A) NÃO APRESENTOU LAUDO MÉDICO COMPROBATÓRIO DA ISENÇÃO DE ACORDO COM A POSSIBILIDADE ESCOLHIDA (CAD. ÚNICO FEDERAL) LILIAN ÁDILA CRUZ SILVA 052***.***-** 7 DEFERIDO GISLENE DA SILVA CAVALCANTE 029***.***-** 1 INDEFERIDO CANDIDATO (A) NÃO APRESENTOU DECLARAÇÃO EXPEDIDA PELO GDF QUE COMPROVE RECEBIMENTO DE BENEFÍCIO DE PROGRAMA SOCIAL DE COMPLEMENTAÇÃO OU SUPLEMENTAÇÃO DE RENDA DO GDF (PRATO CHEIO, DF SOCIAL) BEATRIZ DOS REIS RIBEIRO 473***.***-** 1 DEFERIDO BEATRIZ DOS REIS RIBEIRO 473***.***-** 8 DEFERIDO THYAGO DA ROCHA MARTINS 063***.***-** 6 INDEFERIDO CANDIDATO (A) NÃO APRESENTOU DECLARAÇÃO EXPEDIDA PELO GDF QUE COMPROVE RECEBIMENTO DE BENEFÍCIO DE PROGRAMA SOCIAL DE COMPLEMENTAÇÃO OU SUPLEMENTAÇÃO DE RENDA DO GDF (PRATO CHEIO, DF SOCIAL) NAILSON LOPES SILVA 061***.***-** 1 INDEFERIDO CANDIDATO (A) NÃO APRESENTOU LAUDO MÉDICO COMPROBATÓRIO DA ISENÇÃO DE ACORDO COM A POSSIBILIDADE ESCOLHIDA (CAD. ÚNICO FEDERAL) E COMPROVANTE DE CADASTRAMENTO NO CADASTRO ÚNICO
  • 193.
    ELAINE ALMEIDA DASILVA 039***.***-** - INDEFERIDO CANDIDATO (A) NÃO APRESENTOU DECLARAÇÃO EXPEDIDA PELO GDF QUE COMPROVE RECEBIMENTO DE BENEFÍCIO DE PROGRAMA SOCIAL DE COMPLEMENTAÇÃO OU SUPLEMENTAÇÃO DE RENDA DO GDF (PRATO CHEIO, DF SOCIAL) E NÃO INFORMOU O CARGO LÍVIA VIRGINA GONÇALVES TITOCO BARBOSA 868***.***-** 1 DEFERIDO HELLEN FERREIRA RODRIGUES 707***.***-** 1 INDEFERIDO CANDIDATO (A) NÃO APRESENTOU LAUDO MÉDICO COMPROBATÓRIO DA ISENÇÃO DE ACORDO COM A POSSIBILIDADE ESCOLHIDA (CAD. ÚNICO FEDERAL) E COMPROVANTE DE CADASTRAMENTO NO CADASTRO ÚNICO MARIA DO ROZARIO FONSECA 006***.***-** 1 DEFERIDO ANA LÍDIA CAVALCANTE ANDRADE 037***.***-** 1 DEFERIDO ALAIR GUALBORTO DE BRITO 023***.***-** 1 DEFERIDO LIVIA VIRGINIA GONCALVES TINOCO BARBOSA 868***.***-** 8 DEFERIDO ROBERTO MARTINS DA ROCHA 033***.***-** 1 DEFERIDO ROBERTO MARTINS DA ROCHA 033***.***-** 8 DEFERIDO LUDIA DOS SANTOS LEMOS 875***.***-** 1 DEFERIDO ROBSON ALMEIDA GOMES 037***.***-** 8 DEFERIDO IGOR LIMA EDWARD 057***.***-** 3 DEFERIDO IGOR LIMA EDWARD 057***.***-** 1 DEFERIDO CRISTINA DIAS RODRIGUES 039***.***-** 8 INDEFERIDO CANDIDATO (A) NÃO APRESENTOU LAUDO MÉDICO COMPROBATÓRIO DA ISENÇÃO DE ACORDO COM A POSSIBILIDADE ESCOLHIDA (CAD. ÚNICO FEDERAL) E COMPROVANTE DE CADASTRAMENTO NO CADASTRO ÚNICO MARIA DENISE INACIO DOS SANTOS 545***.***-** 1 DEFERIDO FRANCISCA DAS CHAGAS DE BRITO ARAUJO 603***.***-** 1 DEFERIDO ROGERIO ROSAS SILVA 553***.***-** 8 INDEFERIDO CANDIDATO (A) NÃO APRESENTOU DOCUMENTAÇÃO EXIGIDA GEOVANA DE OLIVEIRA LIMA 804***.***-** 7 INDEFERIDO CANDIDATO (A) NÃO APRESENTOU DECLARAÇÃO EXPEDIDA PELO GDF QUE COMPROVE RECEBIMENTO DE BENEFÍCIO DE PROGRAMA SOCIAL DE COMPLEMENTAÇÃO OU SUPLEMENTAÇÃO DE RENDA DO GDF (PRATO CHEIO, DF SOCIAL) KAIO HENRIQUE DOS SANTOS SOUZA 052***.***-** 1 INDEFERIDO CANDIDATO (A) NÃO APRESENTOU LAUDO MÉDICO COMPROBATÓRIO DA ISENÇÃO DE ACORDO COM A POSSIBILIDADE ESCOLHIDA (CAD. ÚNICO FEDERAL) MESAQUE PEREIRA DA SILVA 718***.***-** 1 DEFERIDO MARCUS VINICIUS NEVES DE SOUZA 002***.***-** 1 INDEFERIDO MARCUS VINICIUS NEVES DE SOUZA 002***.***-** 8 INDEFERIDO CANDIDATO (A) NÃO APRESENTOU DOCUMENTAÇÃO EXIGIDA EM PDF ERICA TATIANE DE FARIAS SANTOS 069***.***-** 2 INDEFERIDO CANDIDATO (A) NÃO APRESENTOU DOCUMENTAÇÃO EXIGIDA EM PDF LORENNA OLIVEIRA GONÇALVES 043***.***-** 1 INDEFERIDO CANDIDATO (A) NÃO APRESENTOU DECLARAÇÃO EXPEDIDA PELO GDF QUE COMPROVE RECEBIMENTO DE BENEFÍCIO DE PROGRAMA SOCIAL DE COMPLEMENTAÇÃO OU SUPLEMENTAÇÃO DE RENDA DO GDF (PRATO CHEIO, DF SOCIAL)
  • 194.
    DIOGO ALEXANDRE FERREIRADA SILVA 863***.***-** 1 DEFERIDO CAROLINA PAULA DOS SANTOS 723***.***-** 4 DEFERIDO INGRED FRANÇA DA CUNHA 029***.***-** 7 INDEFERIDO CANDIDATO (A) NÃO APRESENTOU LAUDO MÉDICO COMPROBATÓRIO DA ISENÇÃO DE ACORDO COM A POSSIBILIDADE ESCOLHIDA (CAD. ÚNICO FEDERAL) FLAVIA ARAÚJO ALVES SANT ANNA 702***.***-** - INDEFERIDO CANDIDATO (A) NÃO APRESENTOU DOCUMENTO DE IDENTIFICAÇÃO E FORMULÁRIO PARA PEDIDO DE ISENÇÃO ROGERIO ROSAS SILVA -***.***-** - INDEFERIDO CANDIDATO (A) NÃO APRESENTOU DOCUMENTAÇÃO EXIGIDA EM PDF THALITA WOYRON DA SILVA ARAUJO 031***.***-** 5 INDEFERIDO CANDIDATO (A) NÃO APRESENTOU LAUDO MÉDICO COMPROBATÓRIO DA ISENÇÃO DE ACORDO COM A POSSIBILIDADE ESCOLHIDA (CAD. ÚNICO FEDERAL) IUGO LOPES DA COSTA 014***.***-** 1 INDEFERIDO CANDIDATO (A) NÃO APRESENTOU DOCUMENTAÇÃO EXIGIDA JORGE LUIS OLIVEIRA GONÇALVES 062***.***-** 1 INDEFERIDO CANDIDATO (A) NÃO APRESENTOU DOCUMENTAÇÃO EXIGIDA MARIA DE FATIMA DOS SANTOS REIS BRUSKI -***.***-** - INDEFERIDO CANDIDATO (A) NÃO APRESENTOU DOCUMENTAÇÃO EXIGIDA LUIS MIGUEL BATISTA SALES 006***.***-** 1 INDEFERIDO CANDIDATO (A) NÃO APRESENTOU DECLARAÇÃO EXPEDIDA PELO GDF QUE COMPROVE RECEBIMENTO DE BENEFÍCIO DE PROGRAMA SOCIAL DE COMPLEMENTAÇÃO OU SUPLEMENTAÇÃO DE RENDA DO GDF (PRATO CHEIO, DF SOCIAL) THAMARA GIORIETTI DE FREITAS TABOSA 727***.***-** 1 DEFERIDO FLAVIANA RIBEIRO MARTINS 076***.***-** - INDEFERIDO CANDIDATO (A) NÃO APRESENTOU DOCUMENTAÇÃO EXIGIDA LUIS MIGUEL BATISTA SALES 006***.***-** 8 INDEFERIDO CANDIDATO (A) NÃO APRESENTOU DECLARAÇÃO EXPEDIDA PELO GDF QUE COMPROVE RECEBIMENTO DE BENEFÍCIO DE PROGRAMA SOCIAL DE COMPLEMENTAÇÃO OU SUPLEMENTAÇÃO DE RENDA DO GDF (PRATO CHEIO, DF SOCIAL) ELISAMA MENDONÇA DE SILVEIRA VIEIRA -***.***-** - INDEFERIDO CANDIDATO (A) NÃO APRESENTOU DOCUMENTAÇÃO EXIGIDA LEILIANE DA SILVA MARTINS 731***.***-** 7 INDEFERIDO CANDIDATO (A) NÃO APRESENTOU LAUDO MÉDICO COMPROBATÓRIO DA ISENÇÃO DE ACORDO COM A POSSIBILIDADE ESCOLHIDA (CAD. ÚNICO FEDERAL) RAFAEL DOS SANTOS JESUS 721***.***-** 8 DEFERIDO RAFAEL DOS SANTOS JESUS 721***.***-** 1 DEFERIDO ISABELLE ANDRESSA DE SOUSA 025***.***-** 1 DEFERIDO ISABELLE ANDRESSA DE SOUSA 025***.***-** 7 DEFERIDO RODRIGO DANTAS ORELLI 043***.***-** 1 DEFERIDO DENISE DE SOUZA BUARQUES LICURI 719***.***-** 7 INDEFERIDO CANDIDATO (A) NÃO APRESENTOU DECLARAÇÃO EXPEDIDA PELO GDF QUE COMPROVE RECEBIMENTO DE BENEFÍCIO DE PROGRAMA SOCIAL DE COMPLEMENTAÇÃO OU SUPLEMENTAÇÃO DE RENDA DO GDF (PRATO CHEIO, DF SOCIAL) MAYRA LAYRE LOPES DE LIMA AMORIM 020***.***-** 8 DEFERIDO
  • 195.
    VALDINÉIA CRISTINA DASNEVES MACIANO 716***.***-** 2 INDEFERIDO CANDIDATO (A) NÃO APRESENTOU DECLARAÇÃO EXPEDIDA PELO GDF QUE COMPROVE RECEBIMENTO DE BENEFÍCIO DE PROGRAMA SOCIAL DE COMPLEMENTAÇÃO OU SUPLEMENTAÇÃO DE RENDA DO GDF (PRATO CHEIO, DF SOCIAL) TAINAN DE ABREU DANTAS 017***.***-** 1 DEFERIDO TAINAN DE ABREU DANTAS 017***.***-** 5 DEFERIDO ADRIANA LINS TRAJANO VIEIRA 025***.***-** 3 DEFERIDO ADRIANA LINS TRAJANO VIEIRA 025***.***-** 1 DEFERIDO ANGÉLICA SOARES BORGES ALVES 039***.***-** 1 INDEFERIDO CANDIDATO (A) NÃO APRESENTOU LAUDO MÉDICO COMPROBATÓRIO DA ISENÇÃO DE ACORDO COM A POSSIBILIDADE ESCOLHIDA (CAD. ÚNICO FEDERAL) GESI DOS SANTOS CORREIA 081***.***-** 1 INDEFERIDO CANDIDATO (A) NÃO APRESENTOU DECLARAÇÃO EXPEDIDA PELO GDF QUE COMPROVE RECEBIMENTO DE BENEFÍCIO DE PROGRAMA SOCIAL DE COMPLEMENTAÇÃO OU SUPLEMENTAÇÃO DE RENDA DO GDF (PRATO CHEIO, DF SOCIAL) FERNANDA COSTA DE DEUS 049***.***-** 1 INDEFERIDO CANDIDATO (A) NÃO APRESENTOU LAUDO MÉDICO COMPROBATÓRIO DA ISENÇÃO DE ACORDO COM A POSSIBILIDADE ESCOLHIDA (CAD. ÚNICO FEDERAL) FERNANDA COSTA DE DEUS 049***.***-** 2 INDEFERIDO CANDIDATO (A) NÃO APRESENTOU LAUDO MÉDICO COMPROBATÓRIO DA ISENÇÃO DE ACORDO COM A POSSIBILIDADE ESCOLHIDA (CAD. ÚNICO FEDERAL) MARIA NÚBIA SANTANA DE OLIVEIRA 679***.***-** 7 INDEFERIDO CANDIDATO (A) NÃO APRESENTOU DECLARAÇÃO EXPEDIDA PELO GDF QUE COMPROVE RECEBIMENTO DE BENEFÍCIO DE PROGRAMA SOCIAL DE COMPLEMENTAÇÃO OU SUPLEMENTAÇÃO DE RENDA DO GDF (PRATO CHEIO, DF SOCIAL) KARINA ANUNCIAÇÃO DE SOUZA 052***.***-** 8 DEFERIDO LEILA FÁTIMA DA SILVA OLIVEIRA 008***.***-** 1 INDEFERIDO CANDIDATO (A) NÃO APRESENTOU LAUDO MÉDICO COMPROBATÓRIO DA ISENÇÃO DE ACORDO COM A POSSIBILIDADE ESCOLHIDA (CAD. ÚNICO FEDERAL) LEILA FÁTIMA DA SILVA OLIVEIRA 008***.***-** 8 INDEFERIDO CANDIDATO (A) NÃO APRESENTOU LAUDO MÉDICO COMPROBATÓRIO DA ISENÇÃO DE ACORDO COM A POSSIBILIDADE ESCOLHIDA (CAD. ÚNICO FEDERAL) LUCAS GABRIEL ANUNCIAÇÃO DA SILVA 063***.***-** 8 INDEFERIDO CANDIDATO (A) NÃO APRESENTOU DECLARAÇÃO EXPEDIDA PELO GDF QUE COMPROVE RECEBIMENTO DE BENEFÍCIO DE PROGRAMA SOCIAL DE COMPLEMENTAÇÃO OU SUPLEMENTAÇÃO DE RENDA DO GDF (PRATO CHEIO, DF SOCIAL) MARCIA CRESCENCIO PINHEIRO 713***.***-** 1 DEFERIDO PAULONY CUSTÓDIO ARCANJO DA SILVA 037***.***-** 1 INDEFERIDO CANDIDATO (A) NÃO APRESENTOU DOCUMENTO DE IDENTIFICAÇÃO PAULONY CUSTÓDIO ARCANJO DA SILVA 037***.***-** 6 INDEFERIDO CANDIDATO (A) NÃO APRESENTOU DOCUMENTO DE IDENTIFICAÇÃO
  • 196.
    CICERO DIAS DESÁ 668***.***-** 1 INDEFERIDO CANDIDATO (A) NÃO APRESENTOU DECLARAÇÃO EXPEDIDA PELO GDF QUE COMPROVE RECEBIMENTO DE BENEFÍCIO DE PROGRAMA SOCIAL DE COMPLEMENTAÇÃO OU SUPLEMENTAÇÃO DE RENDA DO GDF (PRATO CHEIO, DF SOCIAL) CICERO DIAS DE SÁ 668***.***-** 8 INDEFERIDO CANDIDATO (A) NÃO APRESENTOU DECLARAÇÃO EXPEDIDA PELO GDF QUE COMPROVE RECEBIMENTO DE BENEFÍCIO DE PROGRAMA SOCIAL DE COMPLEMENTAÇÃO OU SUPLEMENTAÇÃO DE RENDA DO GDF (PRATO CHEIO, DF SOCIAL) LARISSA XAVIER DA SILVA 017***.***-** 6 INDEFERIDO CANDIDATO (A) NÃO APRESENTOU LAUDO MÉDICO COMPROBATÓRIO DA ISENÇÃO DE ACORDO COM A POSSIBILIDADE ESCOLHIDA (CAD. ÚNICO FEDERAL) ISA SILVA OLIVEIRA 280***.***-** - INDEFERIDO CANDIDATO (A) NÃO APRESENTOU DECLARAÇÃO EXPEDIDA PELO GDF QUE COMPROVE RECEBIMENTO DE BENEFÍCIO DE PROGRAMA SOCIAL DE COMPLEMENTAÇÃO OU SUPLEMENTAÇÃO DE RENDA DO GDF (PRATO CHEIO, DF SOCIAL) E NÃO INFORMOU O CARGO CONSUELO OLIVEIRA MOREIRA 491***.***-** 1 INDEFERIDO CANDIDATO (A) NÃO APRESENTOU DECLARAÇÃO EXPEDIDA PELO GDF QUE COMPROVE RECEBIMENTO DE BENEFÍCIO DE PROGRAMA SOCIAL DE COMPLEMENTAÇÃO OU SUPLEMENTAÇÃO DE RENDA DO GDF (PRATO CHEIO, DF SOCIAL) MARIA EDUARDA CANABRAVA MENDES 078***.***-** 8 INDEFERIDO CANDIDATO (A) NÃO APRESENTOU DECLARAÇÃO EXPEDIDA PELO GDF QUE COMPROVE RECEBIMENTO DE BENEFÍCIO DE PROGRAMA SOCIAL DE COMPLEMENTAÇÃO OU SUPLEMENTAÇÃO DE RENDA DO GDF (PRATO CHEIO, DF SOCIAL) ANTONIA DE MARIA DOS SANTOS 698***.***-** 1 DEFERIDO DANIELLE TAVARES DE OLIVEIRA REIS 702***.***-** 1 INDEFERIDO CANDIDATO (A) NÃO APRESENTOU DECLARAÇÃO EXPEDIDA PELO GDF QUE COMPROVE RECEBIMENTO DE BENEFÍCIO DE PROGRAMA SOCIAL DE COMPLEMENTAÇÃO OU SUPLEMENTAÇÃO DE RENDA DO GDF (PRATO CHEIO, DF SOCIAL) VANESSA GABRIELA MOTA FERRAZ 047***.***-** 1 DEFERIDO ANA LUIZA SILVA CAMPOS 081***.***-** 6 INDEFERIDO CANDIDATO (A) NÃO APRESENTOU DECLARAÇÃO EXPEDIDA PELO GDF QUE COMPROVE RECEBIMENTO DE BENEFÍCIO DE PROGRAMA SOCIAL DE COMPLEMENTAÇÃO OU SUPLEMENTAÇÃO DE RENDA DO GDF (PRATO CHEIO, DF SOCIAL) NÚBIA RAFAELA SILVA SOARES 070***.***-** 7 INDEFERIDO CANDIDATO (A) NÃO APRESENTOU DECLARAÇÃO EXPEDIDA PELO GDF QUE COMPROVE RECEBIMENTO DE BENEFÍCIO DE PROGRAMA SOCIAL DE COMPLEMENTAÇÃO OU SUPLEMENTAÇÃO DE RENDA DO GDF (PRATO CHEIO, DF SOCIAL) GABRYELA SOUSA DOS SANTOS 049***.***-** 1 DEFERIDO
  • 197.
    RAYANE MARANHAO DESOUSA 042***.***-** 8 INDEFERIDO CANDIDATO (A) NÃO APRESENTOU DECLARAÇÃO EXPEDIDA PELO GDF QUE COMPROVE RECEBIMENTO DE BENEFÍCIO DE PROGRAMA SOCIAL DE COMPLEMENTAÇÃO OU SUPLEMENTAÇÃO DE RENDA DO GDF (PRATO CHEIO, DF SOCIAL) RAYANE MARANHAO DE SOUSA 042***.***-** 1 INDEFERIDO CANDIDATO (A) NÃO APRESENTOU DECLARAÇÃO EXPEDIDA PELO GDF QUE COMPROVE RECEBIMENTO DE BENEFÍCIO DE PROGRAMA SOCIAL DE COMPLEMENTAÇÃO OU SUPLEMENTAÇÃO DE RENDA DO GDF (PRATO CHEIO, DF SOCIAL) WILLIAN ANDRÉ DA SILVA 065***.***-** 4 DEFERIDO APARECIDA SOCORRO DO NASCIMENTO 010***.***-** 1 DEFERIDO APARECIDA SOCORRO DO NASCIMENTO 010***.***-** 2 DEFERIDO NÚBI RAFAELA SILVA SOARES 070***.***-** 7 INDEFERIDO CANDIDATO (A) NÃO APRESENTOU DECLARAÇÃO EXPEDIDA PELO GDF QUE COMPROVE RECEBIMENTO DE BENEFÍCIO DE PROGRAMA SOCIAL DE COMPLEMENTAÇÃO OU SUPLEMENTAÇÃO DE RENDA DO GDF (PRATO CHEIO, DF SOCIAL) ANA CAROLINA DOS ANJOS BARBOSA 076***.***-** 1 INDEFERIDO CANDIDATO (A) NÃO APRESENTOU LAUDO MÉDICO COMPROBATÓRIO DA ISENÇÃO DE ACORDO COM A POSSIBILIDADE ESCOLHIDA (CAD. ÚNICO FEDERAL) FRANCIVALDO DOS SANTOS GOMES 605***.***-** 1 DEFERIDO HILTON ALVES DA SILVA 736***.***-** 1 DEFERIDO HILTON ALVES DA SILVA 736***.***-** 8 DEFERIDO ILSA SILVA OLIVEIRA 280***.***-** 3 INDEFERIDO CANDIDATO (A) NÃO APRESENTOU DECLARAÇÃO EXPEDIDA PELO GDF QUE COMPROVE RECEBIMENTO DE BENEFÍCIO DE PROGRAMA SOCIAL DE COMPLEMENTAÇÃO OU SUPLEMENTAÇÃO DE RENDA DO GDF (PRATO CHEIO, DF SOCIAL) LAÍS DA SILVA SANTOS 090***.***-** 1 INDEFERIDO MYLENE MEDEIROS DOS SANTOS 060***.***-** 7 INDEFERIDO CANDIDATO (A) NÃO APRESENTOU DECLARAÇÃO EXPEDIDA PELO GDF QUE COMPROVE RECEBIMENTO DE BENEFÍCIO DE PROGRAMA SOCIAL DE COMPLEMENTAÇÃO OU SUPLEMENTAÇÃO DE RENDA DO GDF (PRATO CHEIO, DF SOCIAL) ANDREIA RIBEIRO CLAUDINO ROSA 000***.***-** 1 INDEFERIDO CANDIDATO (A) NÃO APRESENTOU DECLARAÇÃO EXPEDIDA PELO GDF QUE COMPROVE RECEBIMENTO DE BENEFÍCIO DE PROGRAMA SOCIAL DE COMPLEMENTAÇÃO OU SUPLEMENTAÇÃO DE RENDA DO GDF (PRATO CHEIO, DF SOCIAL) SHIRLEY BARCELOS TAVARES 039***.***-** 8 DEFERIDO KATARYNA ALVES DO NASCIMENTO 027***.***-** 7 INDEFERIDO CANDIDATO (A) NÃO APRESENTOU LAUDO MÉDICO COMPROBATÓRIO DA ISENÇÃO DE ACORDO COM A POSSIBILIDADE ESCOLHIDA (CAD. ÚNICO FEDERAL)
  • 198.
    ROSANGELA PEREIRA DIAS861***.***-** 1 INDEFERIDO CANDIDATO (A) NÃO APRESENTOU DECLARAÇÃO EXPEDIDA PELO GDF QUE COMPROVE RECEBIMENTO DE BENEFÍCIO DE PROGRAMA SOCIAL DE COMPLEMENTAÇÃO OU SUPLEMENTAÇÃO DE RENDA DO GDF (PRATO CHEIO, DF SOCIAL) RAEL NUNES DE OLIVEIRA 073***.***-** 8 DEFERIDO ÉRICSON DE SOUZA CUSTODIO QUEIRÓZ 072***.***-** 1 INDEFERIDO CANDIDATO (A) NÃO APRESENTOU DECLARAÇÃO EXPEDIDA PELO GDF QUE COMPROVE RECEBIMENTO DE BENEFÍCIO DE PROGRAMA SOCIAL DE COMPLEMENTAÇÃO OU SUPLEMENTAÇÃO DE RENDA DO GDF (PRATO CHEIO, DF SOCIAL) IVONETE PEREIRA NUNES 964***.***-** 1 INDEFERIDO CANDIDATO (A) NÃO APRESENTOU DECLARAÇÃO EXPEDIDA PELO GDF QUE COMPROVE RECEBIMENTO DE BENEFÍCIO DE PROGRAMA SOCIAL DE COMPLEMENTAÇÃO OU SUPLEMENTAÇÃO DE RENDA DO GDF (PRATO CHEIO, DF SOCIAL) IVONETE PEREIRA NUNES 964***.***-** 3 INDEFERIDO CANDIDATO (A) NÃO APRESENTOU DECLARAÇÃO EXPEDIDA PELO GDF QUE COMPROVE RECEBIMENTO DE BENEFÍCIO DE PROGRAMA SOCIAL DE COMPLEMENTAÇÃO OU SUPLEMENTAÇÃO DE RENDA DO GDF (PRATO CHEIO, DF SOCIAL) PABLO MIRANDA DOS SANTOS 067***.***-** 1 DEFERIDO IRISLANE PIRES DA COSTA 603***.***-** 5 INDEFERIDO CANDIDATO (A) NÃO APRESENTOU LAUDO MÉDICO COMPROBATÓRIO DA ISENÇÃO DE ACORDO COM A POSSIBILIDADE ESCOLHIDA (CAD. ÚNICO FEDERAL) ROBSON SACRAMENTO FEREIRA 060***.***-** 1 DEFERIDO ROBSON SACRAMENTO FEREIRA 060***.***-** 6 DEFERIDO FLAVIO DOS SANTOS PORTO 920***.***-** 2 DEFERIDO ARTHUR HENRIQUE DE LIMA ALVES 068***.***-** 1 DEFERIDO ARTHUR HENRIQUE DE LIMA ALVES 068***.***-** 7 DEFERIDO JOANA CRISTINA COSTA MARQUES 009***.***-** 1 DEFERIDO LETÍCIA GABRIELY SOUZA E ROCHA 068***.***-** 1 INDEFERIDO CANDIDATO (A) NÃO ENVIOU A DOCUMENTAÇÃO EM PDF E NÃO APRESENTOU DECLARAÇÃO EXPEDIDA PELO GDF QUE COMPROVE RECEBIMENTO DE BENEFÍCIO DE PROGRAMA SOCIAL DE COMPLEMENTAÇÃO OU SUPLEMENTAÇÃO DE RENDA DO GDF (PRATO CHEIO, DF SOCIAL) MARIZA SANTOS NUNES 024***.***-** - INDEFERIDO CANDIDATO (A) NÃO APRESENTOU FORMULÁRIO PARA PEDIDO DE ISENÇÃO RAIMUNDA NONATA VASCONCELOS SILVA NETA 046***.***-** 1 INDEFERIDO RAIMUNDA NONATA VASCONCELOS SILVA NETA 046***.***-** 2 INDEFERIDO ISABELA DE PINHO RODRIGUES 055***.***-** 1 DEFERIDO ISABELA DE PINHO RODRIGUES 055***.***-** 6 DEFERIDO ÂNGELA MARIA REZENDE DOS SANTOS 888***.***-** 8 DEFERIDO
  • 199.
    LUANA MEDEIROS DEMOURA 950***.***-** 1 INDEFERIDO CANDIDATO (A) NÃO APRESENTOU DOCUMENTO DE IDENTIFICAÇÃO E COMPROVANTES DE PRESTAÇÃO DE SERVIÇOS À JUSTIÇA ELEITORAL POR, NO MÍNIMO, DUAS ELEIÇÕES JULIO CESAR MORAIS NASCIMENTO -***.***-** - INDEFERIDO CANDIDATO (A) NÃO APRESENTOU DOCUMENTAÇÃO EXIGIDA THAMARA DE OLIVEIRA 039***.***-** 7 DEFERIDO FRANCISCA MARIA CARVALHO NASCIMENTO 053***.***-** 8 DEFERIDO JOILSON SILVA DOS SANTOS 984***.***-** 1 DEFERIDO VIRGINIA PEREIRA NEPOMUCENO 943***.***-** 3 INDEFERIDO CANDIDATO (A) NÃO ENVIOU A DOCUMENTAÇÃO EM PDF E NÃO APRESENTOU DECLARAÇÃO EXPEDIDA PELO GDF QUE COMPROVE RECEBIMENTO DE BENEFÍCIO DE PROGRAMA SOCIAL DE COMPLEMENTAÇÃO OU SUPLEMENTAÇÃO DE RENDA DO GDF (PRATO CHEIO, DF SOCIAL) CHERLYS STEFANIA MACHADO DA SILVA 036***.***-** - INDEFERIDO CANDIDATO (A) NÃO APRESENTOU DOCUMENTAÇÃO EXIGIDA PAULA CRISTIANE C DO NASCIMENTO 012***.***-** 8 INDEFERIDO CANDIDATO (A) NÃO APRESENTOU DOCUMENTAÇÃO EXIGIDA ANA ELIZABETH OLIVEIRA LIMA 034***.***-** 1 INDEFERIDO CANDIDATO (A) NÃO APRESENTOU DECLARAÇÃO EXPEDIDA PELO GDF QUE COMPROVE RECEBIMENTO DE BENEFÍCIO DE PROGRAMA SOCIAL DE COMPLEMENTAÇÃO OU SUPLEMENTAÇÃO DE RENDA DO GDF (PRATO CHEIO, DF SOCIAL) ANTONIA MARIA PORTELA MUNIZ 054***.***-** 7 DEFERIDO ANTONIA MARIA PORTELA MUNIZ 054***.***-** 1 DEFERIDO KELLY SARAIVA DE SOUSA 011***.***-** 1 DEFERIDO JOSILENE PEREIRA VARGAS 989***.***-** 3 INDEFERIDO CANDIDATO (A) NÃO ENVIOU A DOCUMENTAÇÃO EM PDF E NÃO APRESENTOU DECLARAÇÃO EXPEDIDA PELO GDF QUE COMPROVE RECEBIMENTO DE BENEFÍCIO DE PROGRAMA SOCIAL DE COMPLEMENTAÇÃO OU SUPLEMENTAÇÃO DE RENDA DO GDF (PRATO CHEIO, DF SOCIAL) JOSILENE PEREIRA VARGAS 989***.***-** 1 INDEFERIDO CANDIDATO (A) NÃO ENVIOU A DOCUMENTAÇÃO EM PDF E NÃO APRESENTOU DECLARAÇÃO EXPEDIDA PELO GDF QUE COMPROVE RECEBIMENTO DE BENEFÍCIO DE PROGRAMA SOCIAL DE COMPLEMENTAÇÃO OU SUPLEMENTAÇÃO DE RENDA DO GDF (PRATO CHEIO, DF SOCIAL) IOLANDA LOPES DA ROCHA 002***.***-** 2 INDEFERIDO CANDIDATO (A) NÃO ENVIOU A DOCUMENTAÇÃO EM PDF E NÃO APRESENTOU DECLARAÇÃO EXPEDIDA PELO GDF QUE COMPROVE RECEBIMENTO DE BENEFÍCIO DE PROGRAMA SOCIAL DE COMPLEMENTAÇÃO OU SUPLEMENTAÇÃO DE RENDA DO GDF (PRATO CHEIO, DF SOCIAL)
  • 200.
    JOSEANDY ALVES DEOLIVEIRA 033***.***-** 1 INDEFERIDO CANDIDATO (A) NÃO ENVIOU A DOCUMENTAÇÃO EM PDF E NÃO APRESENTOU DECLARAÇÃO EXPEDIDA PELO GDF QUE COMPROVE RECEBIMENTO DE BENEFÍCIO DE PROGRAMA SOCIAL DE COMPLEMENTAÇÃO OU SUPLEMENTAÇÃO DE RENDA DO GDF (PRATO CHEIO, DF SOCIAL) JOSEANDY ALVES DE OLIVEIRA 033***.***-** 2 INDEFERIDO CANDIDATO (A) NÃO ENVIOU A DOCUMENTAÇÃO EM PDF E NÃO APRESENTOU DECLARAÇÃO EXPEDIDA PELO GDF QUE COMPROVE RECEBIMENTO DE BENEFÍCIO DE PROGRAMA SOCIAL DE COMPLEMENTAÇÃO OU SUPLEMENTAÇÃO DE RENDA DO GDF (PRATO CHEIO, DF SOCIAL) FRANCISCA MARIA CARVALHO NASCIMENTO 053***.***-** 1 DEFERIDO LETÍCIA ALVES DOS SANTOS 013***.***-** 1 INDEFERIDO CANDIDATO (A) NÃO APRESENTOU LAUDO MÉDICO COMPROBATÓRIO DA ISENÇÃO DE ACORDO COM A POSSIBILIDADE ESCOLHIDA (CAD. ÚNICO FEDERAL) LETÍCIA ALVES DOS SANTOS 013***.***-** 2 INDEFERIDO CANDIDATO (A) NÃO APRESENTOU LAUDO MÉDICO COMPROBATÓRIO DA ISENÇÃO DE ACORDO COM A POSSIBILIDADE ESCOLHIDA (CAD. ÚNICO FEDERAL) DANIELLY DE CARVALHO RAMOS 731***.***-** 1 DEFERIDO ROSANGELA PEREIRA DIAS 861***.***-** 7 INDEFERIDO CANDIDATO (A) NÃO APRESENTOU DECLARAÇÃO EXPEDIDA PELO GDF QUE COMPROVE RECEBIMENTO DE BENEFÍCIO DE PROGRAMA SOCIAL DE COMPLEMENTAÇÃO OU SUPLEMENTAÇÃO DE RENDA DO GDF (PRATO CHEIO, DF SOCIAL) FRANCISCA MARIA CARVALHO NASCIMENTO 053***.***-** 8 DEFERIDO DANIELLY DE CARVALHO RAMOS -***.***-** 3 INDEFERIDO CANDIDATO (A) NÃO APRESENTOU NENHUMA DOCUMENTAÇÃO LETICIA FIGUEIREDO DA SILVA 055***.***-** 1 INDEFERIDO CANDIDATO (A) NÃO APRESENTOU DOCUMENTAÇÃO EXIGIDA LUCAS HENRIQUE GOMES MARQUES 077***.***-** 1 INDEFERIDO CANDIDATO (A) NÃO APRESENTOU DECLARAÇÃO EXPEDIDA PELO GDF QUE COMPROVE RECEBIMENTO DE BENEFÍCIO DE PROGRAMA SOCIAL DE COMPLEMENTAÇÃO OU SUPLEMENTAÇÃO DE RENDA DO GDF (PRATO CHEIO, DF SOCIAL) STEPHANY LORRANE LAGO SANTANA 056***.***-** 1 INDEFERIDO CANDIDATO (A) NÃO APRESENTOU LAUDO MÉDICO COMPROBATÓRIO DA ISENÇÃO DE ACORDO COM A POSSIBILIDADE ESCOLHIDA (CAD. ÚNICO FEDERAL) E COMPROVANTE DE CADASTRAMENTO NO CADASTRO ÚNICO IOLANDA ELISIA DE OLIVEIRA 610***.***-** 2 INDEFERIDO CANDIDATO (A) NÃO APRESENTOU DECLARAÇÃO EXPEDIDA PELO GDF QUE COMPROVE RECEBIMENTO DE BENEFÍCIO DE PROGRAMA SOCIAL DE COMPLEMENTAÇÃO OU SUPLEMENTAÇÃO DE RENDA DO GDF (PRATO CHEIO, DF SOCIAL)
  • 201.
    ANA JÚLIA DASILVA POLTRONIERI 077***.***-** 1 INDEFERIDO CANDIDATO (A) NÃO APRESENTOU DECLARAÇÃO EXPEDIDA PELO GDF QUE COMPROVE RECEBIMENTO DE BENEFÍCIO DE PROGRAMA SOCIAL DE COMPLEMENTAÇÃO OU SUPLEMENTAÇÃO DE RENDA DO GDF (PRATO CHEIO, DF SOCIAL) ANA JÚLIA DA SILVA POLTRONIERI 077***.***-** 6 INDEFERIDO CANDIDATO (A) NÃO APRESENTOU DECLARAÇÃO EXPEDIDA PELO GDF QUE COMPROVE RECEBIMENTO DE BENEFÍCIO DE PROGRAMA SOCIAL DE COMPLEMENTAÇÃO OU SUPLEMENTAÇÃO DE RENDA DO GDF (PRATO CHEIO, DF SOCIAL) CRISTIANE ELIAS GUIMARAES 898***.***-** - INDEFERIDO CANDIDATO (A) NÃO APRESENTOU DECLARAÇÃO EXPEDIDA PELO GDF QUE COMPROVE RECEBIMENTO DE BENEFÍCIO DE PROGRAMA SOCIAL DE COMPLEMENTAÇÃO OU SUPLEMENTAÇÃO DE RENDA DO GDF (PRATO CHEIO, DF SOCIAL) SAMUEL FELIPE SILVA BARROS 054***.***-** 5 INDEFERIDO CANDIDATO (A) NÃO APRESENTOU DECLARAÇÃO EXPEDIDA PELO GDF QUE COMPROVE RECEBIMENTO DE BENEFÍCIO DE PROGRAMA SOCIAL DE COMPLEMENTAÇÃO OU SUPLEMENTAÇÃO DE RENDA DO GDF (PRATO CHEIO, DF SOCIAL) SERGIANA DE SOUSA BATISTA 029***.***-** 5 INDEFERIDO CANDIDATO (A) NÃO APRESENTOU DECLARAÇÃO EXPEDIDA PELO GDF QUE COMPROVE RECEBIMENTO DE BENEFÍCIO DE PROGRAMA SOCIAL DE COMPLEMENTAÇÃO OU SUPLEMENTAÇÃO DE RENDA DO GDF (PRATO CHEIO, DF SOCIAL) ISABEL CAROLINE DE SOUSA GOME TCHUDA 030***.***-** 6 INDEFERIDO CANDIDATO (A) NÃO APRESENTOU DOCUMENTO DE IDENTIFICAÇÃO ANA CAROLINA ROCHA MAGNAN 065***.***-** 1 DEFERIDO ANA CAROLINA ROCHA MAGNAN 065***.***-** 2 DEFERIDO JOAO VITOR DOS SANTOS PEREIRA LIMA 071***.***-** 8 DEFERIDO ROSANGELA PEREIRA DIAS 861***.***-** 7 INDEFERIDO CANDIDATO (A) NÃO APRESENTOU DECLARAÇÃO EXPEDIDA PELO GDF QUE COMPROVE RECEBIMENTO DE BENEFÍCIO DE PROGRAMA SOCIAL DE COMPLEMENTAÇÃO OU SUPLEMENTAÇÃO DE RENDA DO GDF (PRATO CHEIO, DF SOCIAL) GLEYDSON JORGE OLIVEIRA SOUZA 076***.***-** 7 INDEFERIDO CANDIDATO (A) NÃO APRESENTOU DOCUMENTAÇÃO EXIGIDA TAYNNÁ OLIVEIRA SILVA 010***.***-** 1 INDEFERIDO CANDIDATO (A) NÃO APRESENTOU LAUDO MÉDICO COMPROBATÓRIO DA ISENÇÃO DE ACORDO COM A POSSIBILIDADE ESCOLHIDA (CAD. ÚNICO FEDERAL) ARYANE COELHO DE SENA 015***.***-** 1 DEFERIDO LAURINETE DO NASCIMENTO SANTOS 014***.***-** 1 DEFERIDO CARMEM DE SOUZA MORAES DUARTE 827***.***-** 1 DEFERIDO GABRIEL LOPES VIEIRA 016***.***-** 4 INDEFERIDO CANDIDATO (A) NÃO APRESENTOU LAUDO MÉDICO COMPROBATÓRIO DA ISENÇÃO DE ACORDO COM A POSSIBILIDADE ESCOLHIDA (CAD. ÚNICO FEDERAL) DIEGO CÉSAR SILVA DE ALMEIDA 023***.***-** 1 DEFERIDO
  • 202.
    GISLENE APARECIDA OLIVEIRADA SILVA 843***.***-** 1 INDEFERIDO CANDIDATO (A) NÃO APRESENTOU LAUDO MÉDICO COMPROBATÓRIO DA ISENÇÃO DE ACORDO COM A POSSIBILIDADE ESCOLHIDA (CAD. ÚNICO FEDERAL) MARIELLY RESENDE DE SOUSA 083***.***-** 1 DEFERIDO VITOR CARVALHO SANTANA 862***.***-** 1 INDEFERIDO CANDIDATO (A) NÃO APRESENTOU DECLARAÇÃO EXPEDIDA PELO GDF QUE COMPROVE RECEBIMENTO DE BENEFÍCIO DE PROGRAMA SOCIAL DE COMPLEMENTAÇÃO OU SUPLEMENTAÇÃO DE RENDA DO GDF (PRATO CHEIO, DF SOCIAL) IGOR BISPO DOS SANTOS 717***.***-** 1 INDEFERIDO CANDIDATO (A) NÃO APRESENTOU DECLARAÇÃO EXPEDIDA PELO GDF QUE COMPROVE RECEBIMENTO DE BENEFÍCIO DE PROGRAMA SOCIAL DE COMPLEMENTAÇÃO OU SUPLEMENTAÇÃO DE RENDA DO GDF (PRATO CHEIO, DF SOCIAL) IGOR BISPO DOS SANTOS 717***.***-** 8 INDEFERIDO CANDIDATO (A) NÃO APRESENTOU DECLARAÇÃO EXPEDIDA PELO GDF QUE COMPROVE RECEBIMENTO DE BENEFÍCIO DE PROGRAMA SOCIAL DE COMPLEMENTAÇÃO OU SUPLEMENTAÇÃO DE RENDA DO GDF (PRATO CHEIO, DF SOCIAL) ISMÊNIA SILVA SOUZA 010***.***-** - INDEFERIDO CANDIDATO (A) NÃO APRESENTOU DOCUMENTAÇÃO EXIGIDA IDAIANE MARLEIDE SOUZA DE JESUS 033***.***-** 6 DEFERIDO PAULO HENRIQUE LIMA DE MIRANDA 008***.***-** 2 INDEFERIDO CANDIDATO (A) NÃO APRESENTOU LAUDO MÉDICO COMPROBATÓRIO DA ISENÇÃO DE ACORDO COM A POSSIBILIDADE ESCOLHIDA (CAD. ÚNICO FEDERAL) ALESSANDRA LUIZA DE OLIVEIRA 051***.***-** 8 DEFERIDO ANDRÉ PRATA SOUZA 792***.***-** 1 INDEFERIDO CANDIDATO (A) NÃO APRESENTOU DECLARAÇÃO EXPEDIDA PELO GDF QUE COMPROVE RECEBIMENTO DE BENEFÍCIO DE PROGRAMA SOCIAL DE COMPLEMENTAÇÃO OU SUPLEMENTAÇÃO DE RENDA DO GDF (PRATO CHEIO, DF SOCIAL) MARIA ENILDE DA SILVA CAMPOS 482***.***-** 6 INDEFERIDO CANDIDATO (A) NÃO APRESENTOU DECLARAÇÃO EXPEDIDA PELO GDF QUE COMPROVE RECEBIMENTO DE BENEFÍCIO DE PROGRAMA SOCIAL DE COMPLEMENTAÇÃO OU SUPLEMENTAÇÃO DE RENDA DO GDF (PRATO CHEIO, DF SOCIAL) MILENA OLIVEIRA FERRAZ 056***.***-** 3 DEFERIDO MARIA PATRICIA VAZ NASCIMENTO 561***.***-** 1 INDEFERIDO CANDIDATO (A) NÃO APRESENTOU LAUDO MÉDICO COMPROBATÓRIO DA ISENÇÃO DE ACORDO COM A POSSIBILIDADE ESCOLHIDA (CAD. ÚNICO FEDERAL) SIMONE DA SILVA XAVIER 716***.***-** 1 INDEFERIDO CANDIDATO (A) NÃO APRESENTOU DECLARAÇÃO EXPEDIDA PELO GDF QUE COMPROVE RECEBIMENTO DE BENEFÍCIO DE PROGRAMA SOCIAL DE COMPLEMENTAÇÃO OU SUPLEMENTAÇÃO DE RENDA DO GDF (PRATO CHEIO, DF SOCIAL) E NÃO ENVIOU DOCUMENTAÇÃO EM PDF
  • 203.
    DEYLA CRISTINA SALESDE SOUSA BARBOSA 021***.***-** 1 INDEFERIDO CANDIDATO (A) NÃO APRESENTOU FORMULÁRIO PARA PEDIDO DE ISENÇÃO OFERECIDO PELA FUNATEC NATHYANE DA SILVA ALMEIDA 056***.***-** 8 INDEFERIDO CANDIDATO (A) NÃO APRESENTOU DECLARAÇÃO EXPEDIDA PELO GDF QUE COMPROVE RECEBIMENTO DE BENEFÍCIO DE PROGRAMA SOCIAL DE COMPLEMENTAÇÃO OU SUPLEMENTAÇÃO DE RENDA DO GDF (PRATO CHEIO, DF SOCIAL) BEATRIZ GONÇALVES DA SILVA 811***.***-** 1 DEFERIDO JHENYFER BENICIO DOS SANTOS 708***.***-** 1 DEFERIDO LETÍCIA AMORIM ALMEIDA 006***.***-** 1 INDEFERIDO CANDIDATO (A) NÃO APRESENTOU DECLARAÇÃO EXPEDIDA PELO GDF QUE COMPROVE RECEBIMENTO DE BENEFÍCIO DE PROGRAMA SOCIAL DE COMPLEMENTAÇÃO OU SUPLEMENTAÇÃO DE RENDA DO GDF (PRATO CHEIO, DF SOCIAL) LETÍCIA AMORIM ALMEIDA 006***.***-** 7 INDEFERIDO CANDIDATO (A) NÃO APRESENTOU DECLARAÇÃO EXPEDIDA PELO GDF QUE COMPROVE RECEBIMENTO DE BENEFÍCIO DE PROGRAMA SOCIAL DE COMPLEMENTAÇÃO OU SUPLEMENTAÇÃO DE RENDA DO GDF (PRATO CHEIO, DF SOCIAL) LETÍCIA AMORIM ALMEIDA 006***.***-** 8 INDEFERIDO CANDIDATO (A) NÃO APRESENTOU UMA SOLICITAÇÃO DE ISENÇÃO COM UM FORMULÁRIO PARA CADA CARGO E NÃO APRESENTOU DECLARAÇÃO EXPEDIDA PELO GDF QUE COMPROVE RECEBIMENTO DE BENEFÍCIO DE PROGRAMA SOCIAL DE COMPLEMENTAÇÃO OU SUPLEMENTAÇÃO DE RENDA DO GDF (PRATO CHEIO, DF SOCIAL) GABRIELA SILVA DE ANDRADE 055***.***-** 1 DEFERIDO KAMILA GOMES DA SILVA 029***.***-** 1 DEFERIDO LUCILENE DOS REIS DOS SANTOS 001***.***-** 1 INDEFERIDO CANDIDATO (A) NÃO APRESENTOU DECLARAÇÃO EXPEDIDA PELO GDF QUE COMPROVE RECEBIMENTO DE BENEFÍCIO DE PROGRAMA SOCIAL DE COMPLEMENTAÇÃO OU SUPLEMENTAÇÃO DE RENDA DO GDF (PRATO CHEIO, DF SOCIAL) GILDEMAR CAMPOS 371***.***-** 6 INDEFERIDO CANDIDATO (A) NÃO APRESENTOU DECLARAÇÃO EXPEDIDA PELO GDF QUE COMPROVE RECEBIMENTO DE BENEFÍCIO DE PROGRAMA SOCIAL DE COMPLEMENTAÇÃO OU SUPLEMENTAÇÃO DE RENDA DO GDF (PRATO CHEIO, DF SOCIAL) SANDRA KATTI DE SOUSA MAIA 393***.***-** 8 INDEFERIDO CANDIDATO (A) NÃO APRESENTOU DECLARAÇÃO EXPEDIDA PELO GDF QUE COMPROVE RECEBIMENTO DE BENEFÍCIO DE PROGRAMA SOCIAL DE COMPLEMENTAÇÃO OU SUPLEMENTAÇÃO DE RENDA DO GDF (PRATO CHEIO, DF SOCIAL) ELISANGELA MOURA FRANCISCO 718***.***-** 8 DEFERIDO
  • 204.
    SANDY SOUSA COSTA035***.***-** 1 INDEFERIDO CANDIDATO (A) NÃO APRESENTOU DECLARAÇÃO EXPEDIDA PELO GDF QUE COMPROVE RECEBIMENTO DE BENEFÍCIO DE PROGRAMA SOCIAL DE COMPLEMENTAÇÃO OU SUPLEMENTAÇÃO DE RENDA DO GDF (PRATO CHEIO, DF SOCIAL) VANEI SILVA DE OLIVEIRA DE OLIVEIRA 014***.***-** 1 INDEFERIDO CANDIDATO (A) NÃO APRESENTOU DECLARAÇÃO EXPEDIDA PELO GDF QUE COMPROVE RECEBIMENTO DE BENEFÍCIO DE PROGRAMA SOCIAL DE COMPLEMENTAÇÃO OU SUPLEMENTAÇÃO DE RENDA DO GDF (PRATO CHEIO, DF SOCIAL) VANEI SILVA DE OLIVEIRA DE OLIVEIRA 014***.***-** 6 INDEFERIDO CANDIDATO (A) NÃO APRESENTOU DECLARAÇÃO EXPEDIDA PELO GDF QUE COMPROVE RECEBIMENTO DE BENEFÍCIO DE PROGRAMA SOCIAL DE COMPLEMENTAÇÃO OU SUPLEMENTAÇÃO DE RENDA DO GDF (PRATO CHEIO, DF SOCIAL) DAVI TELES DE MENEZES 080***.***-** 1 INDEFERIDO CANDIDATO (A) NÃO APRESENTOU LAUDO MÉDICO COMPROBATÓRIO DA ISENÇÃO DE ACORDO COM A POSSIBILIDADE ESCOLHIDA (CAD. ÚNICO FEDERAL) DAVI TELES DE MENEZES 080***.***-** 2 INDEFERIDO CANDIDATO (A) NÃO APRESENTOU LAUDO MÉDICO COMPROBATÓRIO DA ISENÇÃO DE ACORDO COM A POSSIBILIDADE ESCOLHIDA (CAD. ÚNICO FEDERAL) FERNANDA COSTA DE AQUINO 015***.***-** 1 DEFERIDO MARCILON XIER DA AILVA 959***.***-** 1 INDEFERIDO CANDIDATO (A) NÃO APRESENTOU DOCUMENTO DE IDENTIFICAÇÃO E DECLARAÇÃO EXPEDIDA PELO GDF QUE COMPROVE RECEBIMENTO DE BENEFÍCIO DE PROGRAMA SOCIAL DE COMPLEMENTAÇÃO OU SUPLEMENTAÇÃO DE RENDA DO GDF (PRATO CHEIO, DF SOCIAL) SANDY SOUSA COSTA 035***.***-** 6 INDEFERIDO CANDIDATO (A) NÃO APRESENTOU DECLARAÇÃO EXPEDIDA PELO GDF QUE COMPROVE RECEBIMENTO DE BENEFÍCIO DE PROGRAMA SOCIAL DE COMPLEMENTAÇÃO OU SUPLEMENTAÇÃO DE RENDA DO GDF (PRATO CHEIO, DF SOCIAL) FABIANA SOARES RIBEIRO 725***.***-** 1 DEFERIDO OLEMARDEN NEVES ARAÚJO JÚNIOR 703***.***-** 1 DEFERIDO JULIA NUNES DOS SANTOS NETA -***.***-** - INDEFERIDO CANDIDATO (A) NÃO APRESENTOU DOCUMENTAÇÃO EXIGIDA SUMAIA RIBEIRO DE OLIVEIRA 925***.***-** 3 DEFERIDO ANA LUCIA DE MEDEIROS SANTOS 360***.***-** 5 DEFERIDO JULIA GOMES DOS SANTOS 068***.***-** 1 INDEFERIDO CANDIDATO (A) NÃO APRESENTOU DECLARAÇÃO EXPEDIDA PELO GDF QUE COMPROVE RECEBIMENTO DE BENEFÍCIO DE PROGRAMA SOCIAL DE COMPLEMENTAÇÃO OU SUPLEMENTAÇÃO DE RENDA DO GDF (PRATO CHEIO, DF SOCIAL) THIAGO ALVES PEREIRA 010***.***-** 1 INDEFERIDO CANDIDATO (A) NÃO APRESENTOU LAUDO MÉDICO COMPROBATÓRIO DA ISENÇÃO DE ACORDO COM A POSSIBILIDADE ESCOLHIDA (CAD. ÚNICO FEDERAL)
  • 205.
    LUCILENE DOS REISDOS SANTOS 001***.***-** 7 INDEFERIDO CANDIDATO (A) NÃO APRESENTOU DECLARAÇÃO EXPEDIDA PELO GDF QUE COMPROVE RECEBIMENTO DE BENEFÍCIO DE PROGRAMA SOCIAL DE COMPLEMENTAÇÃO OU SUPLEMENTAÇÃO DE RENDA DO GDF (PRATO CHEIO, DF SOCIAL) MARCUS GOMES THOMAZ 78.***.***-** 1 DEFERIDO RAFAEL CARDOSO DE MORAIS 040***.***-** 1 DEFERIDO RAFAEL CARDOSO DE MORAIS 040***.***-** 7 DEFERIDO RAFAEL BENICIO DE SOUZA 080***.***-** 1 DEFERIDO ISABELA FERNANDA SANTOS 026***.***-** 1 INDEFERIDO CANDIDATO (A) NÃO APRESENTOU DECLARAÇÃO EXPEDIDA PELO GDF QUE COMPROVE RECEBIMENTO DE BENEFÍCIO DE PROGRAMA SOCIAL DE COMPLEMENTAÇÃO OU SUPLEMENTAÇÃO DE RENDA DO GDF (PRATO CHEIO, DF SOCIAL) CAROLINA CASTRO MACHADO 035***.***-** 8 INDEFERIDO CANDIDATO (A) NÃO APRESENTOU LAUDO MÉDICO COMPROBATÓRIO DA ISENÇÃO DE ACORDO COM A POSSIBILIDADE ESCOLHIDA (CAD. ÚNICO FEDERAL) FERNENDA COSTA DE AQUINO 015***.***-** 6 DEFERIDO LUCIANA DA SILVA PEREIRA 809***.***-** 1 INDEFERIDO CANDIDATO (A) NÃO APRESENTOU DECLARAÇÃO EXPEDIDA PELO GDF QUE COMPROVE RECEBIMENTO DE BENEFÍCIO DE PROGRAMA SOCIAL DE COMPLEMENTAÇÃO OU SUPLEMENTAÇÃO DE RENDA DO GDF (PRATO CHEIO, DF SOCIAL) FERNENDA FERNANDA SANTOS 026***.***-** 7 INDEFERIDO CANDIDATO (A) NÃO APRESENTOU DECLARAÇÃO EXPEDIDA PELO GDF QUE COMPROVE RECEBIMENTO DE BENEFÍCIO DE PROGRAMA SOCIAL DE COMPLEMENTAÇÃO OU SUPLEMENTAÇÃO DE RENDA DO GDF (PRATO CHEIO, DF SOCIAL) FABIANA NUNES LARA DE SOUSA 894***.***-** 1 DEFERIDO EMERSON PEREIRA DA SILVA 823***.***-** 1 DEFERIDO SIRLEY PIMENTA DA SILVA RODRIGUES 700***.***-** 5 DEFERIDO BRUNA MAIARA MIRANDA DE LIMA 070***.***-** 1 INDEFERIDO CANDIDATO (A) NÃO APRESENTOU DECLARAÇÃO EXPEDIDA PELO GDF QUE COMPROVE RECEBIMENTO DE BENEFÍCIO DE PROGRAMA SOCIAL DE COMPLEMENTAÇÃO OU SUPLEMENTAÇÃO DE RENDA DO GDF (PRATO CHEIO, DF SOCIAL) BRUNA MAIARA MIRANDA DE LIMA 070***.***-** 2 INDEFERIDO CANDIDATO (A) NÃO APRESENTOU DECLARAÇÃO EXPEDIDA PELO GDF QUE COMPROVE RECEBIMENTO DE BENEFÍCIO DE PROGRAMA SOCIAL DE COMPLEMENTAÇÃO OU SUPLEMENTAÇÃO DE RENDA DO GDF (PRATO CHEIO, DF SOCIAL) IAGO MOREIRA DA SILVA 006***.***-** 1 DEFERIDO
  • 206.
    FRANCISCO FACUNDO FILHO697***.***-** 8 INDEFERIDO CANDIDATO (A) NÃO APRESENTOU DECLARAÇÃO EXPEDIDA PELO GDF QUE COMPROVE RECEBIMENTO DE BENEFÍCIO DE PROGRAMA SOCIAL DE COMPLEMENTAÇÃO OU SUPLEMENTAÇÃO DE RENDA DO GDF (PRATO CHEIO, DF SOCIAL) FRANCISCO FACUNDO FILHO 697***.***-** 1 INDEFERIDO CANDIDATO (A) NÃO APRESENTOU DECLARAÇÃO EXPEDIDA PELO GDF QUE COMPROVE RECEBIMENTO DE BENEFÍCIO DE PROGRAMA SOCIAL DE COMPLEMENTAÇÃO OU SUPLEMENTAÇÃO DE RENDA DO GDF (PRATO CHEIO, DF SOCIAL) LIZIANE DE SOUZA SILVA 606***.***-** 3 DEFERIDO PRISCILA CAVALCANTE DUTRA BISPO 016***.***-** 1 INDEFERIDO PRISCILA CAVALCANTE DUTRA BISPO 016***.***-** 8 INDEFERIDO ANAMIM BARBOSA MARINHO AMORIM 052***.***-** 1 INDEFERIDO CANDIDATO (A) NÃO APRESENTOU DECLARAÇÃO EXPEDIDA PELO GDF QUE COMPROVE RECEBIMENTO DE BENEFÍCIO DE PROGRAMA SOCIAL DE COMPLEMENTAÇÃO OU SUPLEMENTAÇÃO DE RENDA DO GDF (PRATO CHEIO, DF SOCIAL) ANAMIM BARBOSA MARINHO AMORIM 052***.***-** 8 INDEFERIDO PALOMA GRAZIELE ESCOBAR HONESTO 052***.***-** 6 DEFERIDO AILTON JOSÉ TELES DOS SANTOS 022***.***-** 6 DEFERIDO AILTON JOSÉ TELES DOS SANTOS 022***.***-** 1 DEFERIDO GUILHERME RODRIGUES REIS 069***.***-** 8 INDEFERIDO CANDIDATO (A) NÃO APRESENTOU DOCUMENTO DE IDENTIFICAÇÃO AMANDA DOS SANTOS LOUZEIRO 055***.***-** 1 DEFERIDO DIANA NUNES GOMES 007***.***-** - INDEFERIDO CANDIDATO (A) NÃO APRESENTOU LAUDO MÉDICO COMPROBATÓRIO DA ISENÇÃO DE ACORDO COM A POSSIBILIDADE ESCOLHIDA (CAD. ÚNICO FEDERAL) E NÃO INFORMOU O CARGO NO FORMULÁRIO ANA LUCIA LIMA DE JESUS 028***.***-** 1 INDEFERIDO CANDIDATO (A) NÃO APRESENTOU DECLARAÇÃO EXPEDIDA PELO GDF QUE COMPROVE RECEBIMENTO DE BENEFÍCIO DE PROGRAMA SOCIAL DE COMPLEMENTAÇÃO OU SUPLEMENTAÇÃO DE RENDA DO GDF (PRATO CHEIO, DF SOCIAL) MIRTA CARLA LIMA DOS SANTOS 010***.***-** 1 INDEFERIDO CANDIDATO (A) NÃO APRESENTOU LAUDO MÉDICO COMPROBATÓRIO DA ISENÇÃO DE ACORDO COM A POSSIBILIDADE ESCOLHIDA (CAD. ÚNICO FEDERAL) ANDREIA OLIVEIRA NUNES 098***.***-** 1 INDEFERIDO CANDIDATO (A) NÃO APRESENTOU DECLARAÇÃO EXPEDIDA PELO GDF QUE COMPROVE RECEBIMENTO DE BENEFÍCIO DE PROGRAMA SOCIAL DE COMPLEMENTAÇÃO OU SUPLEMENTAÇÃO DE RENDA DO GDF (PRATO CHEIO, DF SOCIAL)
  • 207.
    GILVANIR NERIS DESOUZA FERNANDES 025***.***-** 7 INDEFERIDO CANDIDATO (A) NÃO APRESENTOU DECLARAÇÃO EXPEDIDA PELO GDF QUE COMPROVE RECEBIMENTO DE BENEFÍCIO DE PROGRAMA SOCIAL DE COMPLEMENTAÇÃO OU SUPLEMENTAÇÃO DE RENDA DO GDF (PRATO CHEIO, DF SOCIAL) BRUNA DA SOLEDADE TAVARES 050***.***-** 1 DEFERIDO BRUNA DA SOLEDADE TAVARES 050***.***-** 2 DEFERIDO IVANETE LUIZA DE SOUZA 455***.***-** 3 DEFERIDO ROBERTA CLARA REIS MARTINS 006***.***-** 1 DEFERIDO BEATRIZ LAUANA DOS SANTOS 071***.***-** 2 INDEFERIDO CANDIDATO (A) NÃO APRESENTOU LAUDO MÉDICO COMPROBATÓRIO DA ISENÇÃO DE ACORDO COM A POSSIBILIDADE ESCOLHIDA (CAD. ÚNICO FEDERAL) JOAO PAULO RODRIGUES 993***.***-** 1 DEFERIDO OZIAS DA SILVA BARBOSA JÚNIOR 010***.***-** 1 INDEFERIDO CANDIDATO (A) NÃO APRESENTOU DECLARAÇÃO EXPEDIDA PELO GDF QUE COMPROVE RECEBIMENTO DE BENEFÍCIO DE PROGRAMA SOCIAL DE COMPLEMENTAÇÃO OU SUPLEMENTAÇÃO DE RENDA DO GDF (PRATO CHEIO, DF SOCIAL) OZIAS DA SILVA BARBOSA JÚNIOR 010***.***-** 8 INDEFERIDO CANDIDATO (A) NÃO APRESENTOU DECLARAÇÃO EXPEDIDA PELO GDF QUE COMPROVE RECEBIMENTO DE BENEFÍCIO DE PROGRAMA SOCIAL DE COMPLEMENTAÇÃO OU SUPLEMENTAÇÃO DE RENDA DO GDF (PRATO CHEIO, DF SOCIAL) VÂNIA SANTOS COUTINHO 695***.***-** 2 INDEFERIDO CANDIDATO (A) NÃO APRESENTOU DOCUMENTO DE IDENTIFICAÇÃO VALERIA SANTOS COUTINHO 605***.***-** 2 INDEFERIDO CANDIDATO (A) NÃO APRESENTOU DOCUMENTO DE IDENTIFICAÇÃO ANA LÚCIA LIMA DE JESUS 028***.***-** 5 INDEFERIDO CANDIDATO (A) NÃO APRESENTOU DECLARAÇÃO EXPEDIDA PELO GDF QUE COMPROVE RECEBIMENTO DE BENEFÍCIO DE PROGRAMA SOCIAL DE COMPLEMENTAÇÃO OU SUPLEMENTAÇÃO DE RENDA DO GDF (PRATO CHEIO, DF SOCIAL) LUCIANA PEREIRA DE ARAUJO 911***.***-** 1 INDEFERIDO CANDIDATO (A) NÃO APRESENTOU DECLARAÇÃO EXPEDIDA PELO GDF QUE COMPROVE RECEBIMENTO DE BENEFÍCIO DE PROGRAMA SOCIAL DE COMPLEMENTAÇÃO OU SUPLEMENTAÇÃO DE RENDA DO GDF (PRATO CHEIO, DF SOCIAL) KARINA DE OLIVEIRA ALVES ROCHA 010***.***-** 1 DEFERIDO KARINA DE OLIVEIRA ALVES ROCHA 010***.***-** 2 DEFERIDO DANIELA FERREIRA LIMA 953***.***-** 2 INDEFERIDO CANDIDATO (A) NÃO APRESENTOU DECLARAÇÃO EXPEDIDA PELO GDF QUE COMPROVE RECEBIMENTO DE BENEFÍCIO DE PROGRAMA SOCIAL DE COMPLEMENTAÇÃO OU SUPLEMENTAÇÃO DE RENDA DO GDF (PRATO CHEIO, DF SOCIAL) LEANDRO DE ARAUJO LOPES 994***.***-** 1 DEFERIDO
  • 208.
    MILENA MARIANO DEAQUINO 075***.***-** 1 INDEFERIDO CANDIDATO (A) NÃO APRESENTOU DECLARAÇÃO EXPEDIDA PELO GDF QUE COMPROVE RECEBIMENTO DE BENEFÍCIO DE PROGRAMA SOCIAL DE COMPLEMENTAÇÃO OU SUPLEMENTAÇÃO DE RENDA DO GDF (PRATO CHEIO, DF SOCIAL) TÂNIA MARA BASTOS DA SILVA 066***.***-** 1 INDEFERIDO CANDIDATO (A) NÃO APRESENTOU DECLARAÇÃO EXPEDIDA PELO GDF QUE COMPROVE RECEBIMENTO DE BENEFÍCIO DE PROGRAMA SOCIAL DE COMPLEMENTAÇÃO OU SUPLEMENTAÇÃO DE RENDA DO GDF (PRATO CHEIO, DF SOCIAL) MICHELLE BRUNO ROCHA 001***.***-** 5 INDEFERIDO CANDIDATO (A) NÃO APRESENTOU DECLARAÇÃO EXPEDIDA PELO GDF QUE COMPROVE RECEBIMENTO DE BENEFÍCIO DE PROGRAMA SOCIAL DE COMPLEMENTAÇÃO OU SUPLEMENTAÇÃO DE RENDA DO GDF (PRATO CHEIO, DF SOCIAL) MICHELLE BRUNO ROCHA 001***.***-** 1 INDEFERIDO CANDIDATO (A) NÃO APRESENTOU DECLARAÇÃO EXPEDIDA PELO GDF QUE COMPROVE RECEBIMENTO DE BENEFÍCIO DE PROGRAMA SOCIAL DE COMPLEMENTAÇÃO OU SUPLEMENTAÇÃO DE RENDA DO GDF (PRATO CHEIO, DF SOCIAL) DALILA DA SILVA LEAL FERREIRA 017***.***-** 8 DEFERIDO RENATA PEREIRA GUEDES DOS SANTOS 982***.***-** 1 INDEFERIDO CANDIDATO (A) NÃO APRESENTOU DECLARAÇÃO EXPEDIDA PELO GDF QUE COMPROVE RECEBIMENTO DE BENEFÍCIO DE PROGRAMA SOCIAL DE COMPLEMENTAÇÃO OU SUPLEMENTAÇÃO DE RENDA DO GDF (PRATO CHEIO, DF SOCIAL) RENATA PEREIRA GUEDES DOS SANTOS 982***.***-** 8 INDEFERIDO CANDIDATO (A) NÃO APRESENTOU DECLARAÇÃO EXPEDIDA PELO GDF QUE COMPROVE RECEBIMENTO DE BENEFÍCIO DE PROGRAMA SOCIAL DE COMPLEMENTAÇÃO OU SUPLEMENTAÇÃO DE RENDA DO GDF (PRATO CHEIO, DF SOCIAL) JOÃO GUILHERME DE LIMA ALVES 068***.***-** 1 DEFERIDO JOÃO GUILHERME DE LIMA ALVES 068***.***-** 7 DEFERIDO MARIA ANÁLIA DOS SANTOS 716***.***-** 2 INDEFERIDO CANDIDATO (A) NÃO APRESENTOU LAUDO MÉDICO COMPROBATÓRIO DA ISENÇÃO DE ACORDO COM A POSSIBILIDADE ESCOLHIDA (CAD. ÚNICO FEDERAL) YASMIN ALVES GOMES 008***.***-** 7 INDEFERIDO CANDIDATO (A) NÃO APRESENTOU DOCUMENTAÇÃO EXIGIDA EM PDF ELIANE CRISTINA DAGOBERTO 002***.***-** 1 INDEFERIDO CANDIDATO (A) NÃO APRESENTOU DECLARAÇÃO EXPEDIDA PELO GDF QUE COMPROVE RECEBIMENTO DE BENEFÍCIO DE PROGRAMA SOCIAL DE COMPLEMENTAÇÃO OU SUPLEMENTAÇÃO DE RENDA DO GDF (PRATO CHEIO, DF SOCIAL) JANETE LIMA GARCIA 924***.***-** 7 INDEFERIDO CANDIDATO (A) NÃO APRESENTOU DECLARAÇÃO EXPEDIDA PELO GDF QUE COMPROVE RECEBIMENTO DE BENEFÍCIO DE PROGRAMA SOCIAL DE COMPLEMENTAÇÃO OU SUPLEMENTAÇÃO DE RENDA DO GDF (PRATO CHEIO, DF SOCIAL)
  • 209.
    MARCOS ALVES PEREIRA005***.***-** 2 INDEFERIDO CANDIDATO (A) NÃO APRESENTOU LAUDO MÉDICO COMPROBATÓRIO DA ISENÇÃO DE ACORDO COM A POSSIBILIDADE ESCOLHIDA (CAD. ÚNICO FEDERAL) LORENA CLAUDIA DE SOUZA 065***.***-** 1 DEFERIDO LAYANNE DE ALMEIDA ALVES 022***.***-** 2 DEFERIDO LAYANNE DE ALMEIDA ALVES 022***.***-** 1 DEFERIDO ARTHUR RODRIGUES BEZERRA 036***.***-** 8 DEFERIDO PATRICIA NERIS MARIANO DE AQUINO 696***.***-** 1 INDEFERIDO CANDIDATO (A) NÃO APRESENTOU DECLARAÇÃO EXPEDIDA PELO GDF QUE COMPROVE RECEBIMENTO DE BENEFÍCIO DE PROGRAMA SOCIAL DE COMPLEMENTAÇÃO OU SUPLEMENTAÇÃO DE RENDA DO GDF (PRATO CHEIO, DF SOCIAL) RENATO ALVES DE OLIVEIRA 725***.***-** 8 INDEFERIDO CANDIDATO (A) NÃO APRESENTOU DECLARAÇÃO EXPEDIDA PELO GDF QUE COMPROVE RECEBIMENTO DE BENEFÍCIO DE PROGRAMA SOCIAL DE COMPLEMENTAÇÃO OU SUPLEMENTAÇÃO DE RENDA DO GDF (PRATO CHEIO, DF SOCIAL) THAUAN THAIRONY SILVA ALVES 048***.***-** 1 INDEFERIDO CANDIDATO (A) NÃO APRESENTOU LAUDO MÉDICO COMPROBATÓRIO DA ISENÇÃO DE ACORDO COM A POSSIBILIDADE ESCOLHIDA (CAD. ÚNICO FEDERAL) NILZA GUIMARÃES DE CALDAS 024***.***-** 2 INDEFERIDO CANDIDATO (A) NÃO APRESENTOU LAUDO MÉDICO COMPROBATÓRIO DA ISENÇÃO DE ACORDO COM A POSSIBILIDADE ESCOLHIDA (CAD. ÚNICO FEDERAL) VITÓRIA GABRIELLY OLIVEIRA RODRIGUES 052***.***-** 1 INDEFERIDO CANDIDATO (A) NÃO APRESENTOU DECLARAÇÃO EXPEDIDA PELO GDF QUE COMPROVE RECEBIMENTO DE BENEFÍCIO DE PROGRAMA SOCIAL DE COMPLEMENTAÇÃO OU SUPLEMENTAÇÃO DE RENDA DO GDF (PRATO CHEIO, DF SOCIAL) BEATRIZ ALVES GOMES 008***.***-** 7 INDEFERIDO CANDIDATO (A) NÃO APRESENTOU DECLARAÇÃO EXPEDIDA PELO GDF QUE COMPROVE RECEBIMENTO DE BENEFÍCIO DE PROGRAMA SOCIAL DE COMPLEMENTAÇÃO OU SUPLEMENTAÇÃO DE RENDA DO GDF (PRATO CHEIO, DF SOCIAL) SAMUEL ALVES DE MENEZES 072***.***-** 7 INDEFERIDO CANDIDATO (A) NÃO APRESENTOU DECLARAÇÃO EXPEDIDA PELO GDF QUE COMPROVE RECEBIMENTO DE BENEFÍCIO DE PROGRAMA SOCIAL DE COMPLEMENTAÇÃO OU SUPLEMENTAÇÃO DE RENDA DO GDF (PRATO CHEIO, DF SOCIAL) JOSILENE DE ALMEIDA ROCHA LIMA 789***.***-** 1 DEFERIDO CARLOS HENRIQUE SILVA PEREIRA DE SOUSA 730***.***-** 1 DEFERIDO RICARDO TOMÉ DE CARVALHO 029***.***-** 1 INDEFERIDO CANDIDATO (A) NÃO APRESENTOU DECLARAÇÃO EXPEDIDA PELO GDF QUE COMPROVE RECEBIMENTO DE BENEFÍCIO DE PROGRAMA SOCIAL DE COMPLEMENTAÇÃO OU SUPLEMENTAÇÃO DE RENDA DO GDF (PRATO CHEIO, DF SOCIAL)
  • 210.
    RICARDO TOMÉ DECARVALHO 029***.***-** 8 INDEFERIDO CANDIDATO (A) NÃO APRESENTOU DECLARAÇÃO EXPEDIDA PELO GDF QUE COMPROVE RECEBIMENTO DE BENEFÍCIO DE PROGRAMA SOCIAL DE COMPLEMENTAÇÃO OU SUPLEMENTAÇÃO DE RENDA DO GDF (PRATO CHEIO, DF SOCIAL) DANIEL CASTRO REZENDE SANTOS 067***.***-** 2 INDEFERIDO CANDIDATO (A) NÃO APRESENTOU DECLARAÇÃO EXPEDIDA PELO GDF QUE COMPROVE RECEBIMENTO DE BENEFÍCIO DE PROGRAMA SOCIAL DE COMPLEMENTAÇÃO OU SUPLEMENTAÇÃO DE RENDA DO GDF (PRATO CHEIO, DF SOCIAL) RONYPETERSON MORAIS MIRANDA -***.***-** - INDEFERIDO CANDIDATO (A) NÃO APRESENTOU NENHUMA DOCUMENTAÇÃO GABRIEL LOPES VIEIRA 016***.***-** 1 INDEFERIDO CANDIDATO (A) NÃO APRESENTOU LAUDO MÉDICO COMPROBATÓRIO DA ISENÇÃO DE ACORDO COM A POSSIBILIDADE ESCOLHIDA (CAD. ÚNICO FEDERAL) GARDÊNIA OLIVEIRA CARVALHO 007***.***-** 8 INDEFERIDO CANDIDATO (A) NÃO APRESENTOU DECLARAÇÃO EXPEDIDA PELO GDF QUE COMPROVE RECEBIMENTO DE BENEFÍCIO DE PROGRAMA SOCIAL DE COMPLEMENTAÇÃO OU SUPLEMENTAÇÃO DE RENDA DO GDF (PRATO CHEIO, DF SOCIAL) DENÍCIO DE CARVALHO FREITAS 512***.***-** 1 INDEFERIDO CANDIDATO (A) NÃO APRESENTOU LAUDO MÉDICO COMPROBATÓRIO DA ISENÇÃO DE ACORDO COM A POSSIBILIDADE ESCOLHIDA (CAD. ÚNICO FEDERAL) SOLANGE ALMEIDA BATISTA 008***.***-** 1 INDEFERIDO CANDIDATO (A) NÃO APRESENTOU DECLARAÇÃO EXPEDIDA PELO GDF QUE COMPROVE RECEBIMENTO DE BENEFÍCIO DE PROGRAMA SOCIAL DE COMPLEMENTAÇÃO OU SUPLEMENTAÇÃO DE RENDA DO GDF (PRATO CHEIO, DF SOCIAL) SOLANGE ALMEIDA BATISTA 008***.***-** 5 INDEFERIDO CANDIDATO (A) NÃO APRESENTOU DECLARAÇÃO EXPEDIDA PELO GDF QUE COMPROVE RECEBIMENTO DE BENEFÍCIO DE PROGRAMA SOCIAL DE COMPLEMENTAÇÃO OU SUPLEMENTAÇÃO DE RENDA DO GDF (PRATO CHEIO, DF SOCIAL) LETICIA CAMPOS PINHEIRO 084***.***-** 1 INDEFERIDO CANDIDATO (A) NÃO APRESENTOU DECLARAÇÃO EXPEDIDA PELO GDF QUE COMPROVE RECEBIMENTO DE BENEFÍCIO DE PROGRAMA SOCIAL DE COMPLEMENTAÇÃO OU SUPLEMENTAÇÃO DE RENDA DO GDF (PRATO CHEIO, DF SOCIAL) RUTH FERNANDES TEIXEIRA 060***.***-** 1 INDEFERIDO CANDIDATO (A) NÃO APRESENTOU DECLARAÇÃO EXPEDIDA PELO GDF QUE COMPROVE RECEBIMENTO DE BENEFÍCIO DE PROGRAMA SOCIAL DE COMPLEMENTAÇÃO OU SUPLEMENTAÇÃO DE RENDA DO GDF (PRATO CHEIO, DF SOCIAL) LEONARDO DE ABREU CORDEIRO 059***.***-** 1 INDEFERIDO CANDIDATO (A) NÃO APRESENTOU DECLARAÇÃO EXPEDIDA PELO GDF QUE COMPROVE RECEBIMENTO DE BENEFÍCIO DE PROGRAMA SOCIAL DE COMPLEMENTAÇÃO OU SUPLEMENTAÇÃO DE RENDA DO GDF (PRATO CHEIO, DF SOCIAL)
  • 211.
    MARIA LEDA BARBOSASANTANA 455***.***-** 1 DEFERIDO MARIA LEDA BARBOSA SANTANA 455***.***-** 5 DEFERIDO DANIEL LIMA PEREIRA 881***.***-** 8 DEFERIDO LUCIANE ALVES CASTRO SOUZA 010***.***-** 1 DEFERIDO LUCIANE ALVES CASTRO SOUZA 010***.***-** 2 INDEFERIDO CANDIDATO (A) NÃO APRESENTOU UMA SOLICITAÇÃO DE ISENÇÃO COM UM FORMULÁRIO PARA CADA CARGO AMANDA REGINA DA COSTA PEREIRA 074***.***-** 8 DEFERIDO CRISTINA LARISSA MAURICIO DE MOURA 02.***.***-** 1 INDEFERIDO EVELYN ANDRESSA PIMENTA RODRIGUES BORGES 037***.***-** 1 INDEFERIDO CANDIDATO (A) NÃO APRESENTOU DOCUMENTAÇÃO COMPROBATÓRIO DA ISENÇÃO DE ACORDO COM A POSSIBILIDADE ESCOLHIDA (BENEFICIARIA DE PROGRAMA SOCIAL) WELTON CARVALHO ALVES 634***.***-** 1 DEFERIDO VALÉRIA MOTA DE MOURA 042***.***-** 2 INDEFERIDO CANDIDATO (A) NÃO APRESENTOU DOCUMENTAÇÃO EXIGIDA EM PDF DANIEL LIMA PEREIRA 881***.***-** 1 DEFERIDO GIOVANNA LAUANA DOS SANTOS 071***.***-** 2 INDEFERIDO CANDIDATO (A) NÃO APRESENTOU DECLARAÇÃO EXPEDIDA PELO GDF QUE COMPROVE RECEBIMENTO DE BENEFÍCIO DE PROGRAMA SOCIAL DE COMPLEMENTAÇÃO OU SUPLEMENTAÇÃO DE RENDA DO GDF (PRATO CHEIO, DF SOCIAL) WESLEY LOPES MACHADO 641***.***-** 3 DEFERIDO JOYCE JUSLEY SOUZA LEITE 045***.***-** 1 DEFERIDO YVETTE TYNUS FREITAS 031***.***-** - INDEFERIDO CANDIDATO (A) NÃO APRESENTOU FORMULÁRIO PARA PEDIDO DE ISENÇÃO DERLI ALVES DA FONSECA 827***.***-** 1 INDEFERIDO CANDIDATO (A) NÃO APRESENTOU LAUDO MÉDICO COMPROBATÓRIO DA ISENÇÃO DE ACORDO COM A POSSIBILIDADE ESCOLHIDA (CAD. ÚNICO FEDERAL) BRUNO DA SILVA GONZAGA 043***.***-** 1 DEFERIDO BRUNO DA SILVA GONZAGA 043***.***-** 2 DEFERIDO VALERIA MOTA DE MOURA 042***.***-** 1 DEFERIDO DEISE FRANCISCO DOS SANTOS 026***.***-** 2 DEFERIDO DEISE FRANCISCO DOS SANTOS 026***.***-** 1 DEFERIDO DERLI ALVES DA FONSECA 827***.***-** 1 INDEFERIDO CANDIDATO (A) NÃO APRESENTOU DECLARAÇÃO EXPEDIDA PELO GDF QUE COMPROVE RECEBIMENTO DE BENEFÍCIO DE PROGRAMA SOCIAL DE COMPLEMENTAÇÃO OU SUPLEMENTAÇÃO DE RENDA DO GDF (PRATO CHEIO, DF SOCIAL) MARIA ALBINO DE PAIVA BORGES CORA 160***.***-** 4 INDEFERIDO CANDIDATO (A) NÃO APRESENTOU DECLARAÇÃO EXPEDIDA PELO GDF QUE COMPROVE RECEBIMENTO DE BENEFÍCIO DE PROGRAMA SOCIAL DE COMPLEMENTAÇÃO OU SUPLEMENTAÇÃO DE RENDA DO GDF (PRATO CHEIO, DF SOCIAL)
  • 212.
    MARIA ZEFERINA DOSSANTOS 884***.***-** 8 INDEFERIDO CANDIDATO (A) NÃO APRESENTOU DECLARAÇÃO EXPEDIDA PELO GDF QUE COMPROVE RECEBIMENTO DE BENEFÍCIO DE PROGRAMA SOCIAL DE COMPLEMENTAÇÃO OU SUPLEMENTAÇÃO DE RENDA DO GDF (PRATO CHEIO, DF SOCIAL) CAROLINE DE ASSIS SILVA 036***.***-** 1 INDEFERIDO CANDIDATO (A) NÃO APRESENTOU DECLARAÇÃO DO DOADOR DE MEDULA DE ACORDO COM A POSSIBILIDADE ESCOLHIDA KEMELLY NOGUEIRA MENDES 080***.***-** 5 INDEFERIDO CANDIDATO (A) NÃO APRESENTOU DECLARAÇÃO EXPEDIDA PELO GDF QUE COMPROVE RECEBIMENTO DE BENEFÍCIO DE PROGRAMA SOCIAL DE COMPLEMENTAÇÃO OU SUPLEMENTAÇÃO DE RENDA DO GDF (PRATO CHEIO, DF SOCIAL) JOSE QUILHERME NASCIMENTO 036***.***-** 5 DEFERIDO KASSIO RNAGEL SANTANA SILVA 04***.***-** 1 INDEFERIDO CANDIDATO (A) NÃO APRESENTOU DECLARAÇÃO EXPEDIDA PELO GDF QUE COMPROVE RECEBIMENTO DE BENEFÍCIO DE PROGRAMA SOCIAL DE COMPLEMENTAÇÃO OU SUPLEMENTAÇÃO DE RENDA DO GDF (PRATO CHEIO, DF SOCIAL) KASSIO RNAGEL SANTANA SILVA 04***.***-** 7 INDEFERIDO CANDIDATO (A) NÃO APRESENTOU DECLARAÇÃO EXPEDIDA PELO GDF QUE COMPROVE RECEBIMENTO DE BENEFÍCIO DE PROGRAMA SOCIAL DE COMPLEMENTAÇÃO OU SUPLEMENTAÇÃO DE RENDA DO GDF (PRATO CHEIO, DF SOCIAL) RAQUEL DE SOUZA NASCIMENTO 017***.***-** 1 DEFERIDO MARIA JULIA FRANCISCA CARNEIRO 645***.***-** 1 INDEFERIDO CANDIDATO (A) NÃO APRESENTOU DECLARAÇÃO EXPEDIDA PELO GDF QUE COMPROVE RECEBIMENTO DE BENEFÍCIO DE PROGRAMA SOCIAL DE COMPLEMENTAÇÃO OU SUPLEMENTAÇÃO DE RENDA DO GDF (PRATO CHEIO, DF SOCIAL) PAULO MATEUS SILVA RODRIGUES 060***.***-** 1 DEFERIDO THAMIRES VITORIO BRITO DOS SANTOS 088***.***-** 2 INDEFERIDO CANDIDATO (A) NÃO APRESENTOU DECLARAÇÃO EXPEDIDA PELO GDF QUE COMPROVE RECEBIMENTO DE BENEFÍCIO DE PROGRAMA SOCIAL DE COMPLEMENTAÇÃO OU SUPLEMENTAÇÃO DE RENDA DO GDF (PRATO CHEIO, DF SOCIAL) CICELIA HENRIQUE DE SOUZA ARAUJO 615***.***-** 3 INDEFERIDO CANDIDATO (A) NÃO APRESENTOU DECLARAÇÃO EXPEDIDA PELO GDF QUE COMPROVE RECEBIMENTO DE BENEFÍCIO DE PROGRAMA SOCIAL DE COMPLEMENTAÇÃO OU SUPLEMENTAÇÃO DE RENDA DO GDF (PRATO CHEIO, DF SOCIAL) JAQUELINE BARBOSA DE MELO 014***.***-** 1 INDEFERIDO CANDIDATO (A) NÃO APRESENTOU DECLARAÇÃO EXPEDIDA PELO GDF QUE COMPROVE RECEBIMENTO DE BENEFÍCIO DE PROGRAMA SOCIAL DE COMPLEMENTAÇÃO OU SUPLEMENTAÇÃO DE RENDA DO GDF (PRATO CHEIO, DF SOCIAL) LARISSE NATASHA DO NASCIMENTO LINHARES 040***.***-** 2 DEFERIDO
  • 213.
    NAYRA CARDOSO DEALMEIDA 006***.***-** 7 INDEFERIDO CANDIDATO (A) NÃO APRESENTOU DECLARAÇÃO EXPEDIDA PELO GDF QUE COMPROVE RECEBIMENTO DE BENEFÍCIO DE PROGRAMA SOCIAL DE COMPLEMENTAÇÃO OU SUPLEMENTAÇÃO DE RENDA DO GDF (PRATO CHEIO, DF SOCIAL) NAYRA CARDOSO DE ALMEIDA 006***.***-** 1 INDEFERIDO CANDIDATO (A) NÃO APRESENTOU DECLARAÇÃO EXPEDIDA PELO GDF QUE COMPROVE RECEBIMENTO DE BENEFÍCIO DE PROGRAMA SOCIAL DE COMPLEMENTAÇÃO OU SUPLEMENTAÇÃO DE RENDA DO GDF (PRATO CHEIO, DF SOCIAL) JESSICA MOURA ALVES 033***.***-** 1 INDEFERIDO CANDIDATO (A) NÃO APRESENTOU DECLARAÇÃO EXPEDIDA PELO GDF QUE COMPROVE RECEBIMENTO DE BENEFÍCIO DE PROGRAMA SOCIAL DE COMPLEMENTAÇÃO OU SUPLEMENTAÇÃO DE RENDA DO GDF (PRATO CHEIO, DF SOCIAL) JESSICA MOURA ALVES 033***.***-** 8 INDEFERIDO CANDIDATO (A) NÃO APRESENTOU DECLARAÇÃO EXPEDIDA PELO GDF QUE COMPROVE RECEBIMENTO DE BENEFÍCIO DE PROGRAMA SOCIAL DE COMPLEMENTAÇÃO OU SUPLEMENTAÇÃO DE RENDA DO GDF (PRATO CHEIO, DF SOCIAL) JULIANA ALMEIDA DO PRADO 017***.***-** 6 INDEFERIDO CANDIDATO (A) NÃO APRESENTOU DOCUMENTAÇÃO EXIGIDA RG MARIA BARBOSA DA SILVA 603***.***-** 1 INDEFERIDO CANDIDATO (A) NÃO APRESENTOU FORMULÁRIO PARA PEDIDO DE ISENÇÃO COM A OPÇÃO ESCOLHIDA ALDIELE DA ROCHA MATA 077***.***-** - INDEFERIDO CANDIDATO (A) NÃO APRESENTOU DOCUMENTAÇÃO EXIGIDA EM PDF NUBIA ALAFAETE MOREIRA LIMA 056***.***-** 7 INDEFERIDO CANDIDATO (A) NÃO APRESENTOU DECLARAÇÃO EXPEDIDA PELO GDF QUE COMPROVE RECEBIMENTO DE BENEFÍCIO DE PROGRAMA SOCIAL DE COMPLEMENTAÇÃO OU SUPLEMENTAÇÃO DE RENDA DO GDF (PRATO CHEIO, DF SOCIAL) WALISSON RANE FARIAS ARAUJO 029***.***-** 8 INDEFERIDO CANDIDATO (A) NÃO APRESENTOU DOCUMENTAÇÃO EXIGIDA RG JUNIO FRANCA COSTA 019***.***-** 1 INDEFERIDO CANDIDATO (A) NÃO APRESENTOU DECLARAÇÃO EXPEDIDA PELO GDF QUE COMPROVE RECEBIMENTO DE BENEFÍCIO DE PROGRAMA SOCIAL DE COMPLEMENTAÇÃO OU SUPLEMENTAÇÃO DE RENDA DO GDF (PRATO CHEIO, DF SOCIAL) GABRIELA REGINA DA CRUZ SILVA 023***.***-** 1 DEFERIDO JAQUELINE BARBOSA FERREIRA 706***.***-** 1 INDEFERIDO CANDIDATO (A) NÃO APRESENTOU DECLARAÇÃO EXPEDIDA PELO GDF QUE COMPROVE RECEBIMENTO DE BENEFÍCIO DE PROGRAMA SOCIAL DE COMPLEMENTAÇÃO OU SUPLEMENTAÇÃO DE RENDA DO GDF (PRATO CHEIO, DF SOCIAL) ANDRÉLIANA ALMEIDA REBELO CASSIANO 944***.***-** 6 INDEFERIDO CANDIDATO (A) NÃO APRESENTOU DECLARAÇÃO EXPEDIDA PELO GDF QUE COMPROVE RECEBIMENTO DE BENEFÍCIO DE PROGRAMA SOCIAL DE COMPLEMENTAÇÃO OU SUPLEMENTAÇÃO DE RENDA DO GDF (PRATO CHEIO, DF SOCIAL)
  • 214.
    GABRIELLA SANTOS SILVA070***.***-** 1 INDEFERIDO CANDIDATO (A) NÃO APRESENTOU DECLARAÇÃO EXPEDIDA PELO GDF QUE COMPROVE RECEBIMENTO DE BENEFÍCIO DE PROGRAMA SOCIAL DE COMPLEMENTAÇÃO OU SUPLEMENTAÇÃO DE RENDA DO GDF (PRATO CHEIO, DF SOCIAL) JOSELENE LIMA GARCIA 892***.***-** 1 INDEFERIDO CANDIDATO (A) NÃO APRESENTOU DECLARAÇÃO EXPEDIDA PELO GDF QUE COMPROVE RECEBIMENTO DE BENEFÍCIO DE PROGRAMA SOCIAL DE COMPLEMENTAÇÃO OU SUPLEMENTAÇÃO DE RENDA DO GDF (PRATO CHEIO, DF SOCIAL) LEISE AMORIN LEITE 997***.***-** 1 INDEFERIDO CANDIDATO (A) NÃO APRESENTOU DOCUMENTAÇÃO EXIGIDA ITALO HENRIQUE MOURA ALVES 071***.***-** 8 DEFERIDO SIMARIO BARROSO DE CASTRO 055***.***-** 5 DEFERIDO ILZA APARECIDA NERES LOPES 012***.***-** - INDEFERIDO CANDIDATO (A) NÃO APRESENTOU DOCUMENTAÇÃO EXIGIDA EM PDF PATRÍCIA OLIVEIRA DE MOURA 721***.***-** 6 DEFERIDO JAQUELINE BARBOSA DE MELO 014***.***-** 8 INDEFERIDO CANDIDATO (A) NÃO APRESENTOU DECLARAÇÃO EXPEDIDA PELO GDF QUE COMPROVE RECEBIMENTO DE BENEFÍCIO DE PROGRAMA SOCIAL DE COMPLEMENTAÇÃO OU SUPLEMENTAÇÃO DE RENDA DO GDF (PRATO CHEIO, DF SOCIAL) ANA PAULA DIAS PEREIRA DOS SANTOS 018***.***-** 1 INDEFERIDO CANDIDATO (A) NÃO APRESENTOU LAUDO MÉDICO COMPROBATÓRIO DA ISENÇÃO DE ACORDO COM A POSSIBILIDADE ESCOLHIDA (CAD. ÚNICO FEDERAL) ANA PAULA DIAS PEREIRA DOS SANTOS 018***.***-** 8 INDEFERIDO CANDIDATO (A) NÃO APRESENTOU LAUDO MÉDICO COMPROBATÓRIO DA ISENÇÃO DE ACORDO COM A POSSIBILIDADE ESCOLHIDA (CAD. ÚNICO FEDERAL) RICARDO CARVALHO DAMASCENO 657***.***-** 8 INDEFERIDO CANDIDATO (A) NÃO APRESENTOU DOCUMENTAÇÃO EXIGIDA EM PDF RICARDO CARVALHO DAMASCENO 657***.***-** 1 INDEFERIDO CANDIDATO (A) NÃO APRESENTOU DOCUMENTAÇÃO EXIGIDA EM PDF NAYARA DE BRITO BARRADAS 041***.***-** 3 DEFERIDO GLEICIANE NOVAIS DE FRANÇA 014***.***-** 1 DEFERIDO GLEICIANE NOVAIS DE FRANÇA 014***.***-** 2 DEFERIDO NOEMI ROSA DE MELO 774***.***-** 7 INDEFERIDO CANDIDATO (A) NÃO APRESENTOU DOCUMENTO DE IDENTIFICAÇÃO E NÃO APRESENTOU DECLARAÇÃO EXPEDIDA PELO GDF QUE COMPROVE RECEBIMENTO DE BENEFÍCIO DE PROGRAMA SOCIAL DE COMPLEMENTAÇÃO OU SUPLEMENTAÇÃO DE RENDA DO GDF (PRATO CHEIO, DF SOCIAL) ÍTALO HENRIQUE MOURA ALVES 071***.***-** 1 DEFERIDO HUEILLA NAJARA DA SILVA 727***.***-** 1 INDEFERIDO CANDIDATO (A) NÃO APRESENTOU COMPROVANTE DE CADASTRAMENTO NO CADASTRO ÚNICO KAMILLI ISABELA DE SOUSA SANTOS 076***.***-** - INDEFERIDO CANDIDATO (A) NÃO APRESENTOU DOCUMENTAÇÃO EXIGIDA
  • 215.
    THAÍS FERREIRA MARTINS052***.***-** 7 INDEFERIDO CANDIDATO (A) NÃO APRESENTOU DECLARAÇÃO EXPEDIDA PELO GDF QUE COMPROVE RECEBIMENTO DE BENEFÍCIO DE PROGRAMA SOCIAL DE COMPLEMENTAÇÃO OU SUPLEMENTAÇÃO DE RENDA DO GDF (PRATO CHEIO, DF SOCIAL) CLEBER CARLOS DA SILVA 844***.***-** 1 DEFERIDO CLEBER CARLOS DA SILVA 844***.***-** 2 DEFERIDO ERIKA DE CARVALHO ARAÚJO 033***.***-** 7 INDEFERIDO CANDIDATO (A) NÃO APRESENTOU DECLARAÇÃO EXPEDIDA PELO GDF QUE COMPROVE RECEBIMENTO DE BENEFÍCIO DE PROGRAMA SOCIAL DE COMPLEMENTAÇÃO OU SUPLEMENTAÇÃO DE RENDA DO GDF (PRATO CHEIO, DF SOCIAL) MARIA DE JESUS OLIVEIRA SANTOS -***.***-** - INDEFERIDO CANDIDATO (A) NÃO APRESENTOU DOCUMENTAÇÃO EXIGIDA EM PDF GUILHERME MARRA BUENO 037***.***-** 1 DEFERIDO MILENE ALVES DA SILVA 929***.***-** 2 INDEFERIDO CANDIDATO (A) NÃO APRESENTOU LAUDO MÉDICO COMPROBATÓRIO DA ISENÇÃO DE ACORDO COM A POSSIBILIDADE ESCOLHIDA (CAD. ÚNICO FEDERAL) KARINA PEREIRA GUALBERTO 053***.***-** 8 INDEFERIDO CANDIDATO (A) NÃO APRESENTOU DOCUMENTAÇÃO EXIGIDA THIAGO HENRIQUE MEDEIROS LIMA 042***.***-** 5 DEFERIDO MÔNICA CRISTINA MUNHOZ MORAES 840***.***-** 1 DEFERIDO MÔNICA CRISTINA MUNHOZ MORAES 840***.***-** 7 DEFERIDO SUZANE SANTOS SOUSA 040***.***-** 2 INDEFERIDO CANDIDATO (A) NÃO APRESENTOU DOCUMENTAÇÃO EXIGIDA LAILA PEREIRA DE CARVALHO 010***.***-** 5 DEFERIDO LARA CAMILLY DE OLIVEIRA MARQUES 712***.***-** 1 INDEFERIDO CANDIDATO (A) NÃO APRESENTOU LAUDO MÉDICO COMPROBATÓRIO DA ISENÇÃO DE ACORDO COM A POSSIBILIDADE ESCOLHIDA (CAD. ÚNICO FEDERAL) JAQUELINE DOS SANTOS BASÍLIO 062***.***-** 1 INDEFERIDO CANDIDATO (A) NÃO APRESENTOU DECLARAÇÃO EXPEDIDA PELO GDF QUE COMPROVE RECEBIMENTO DE BENEFÍCIO DE PROGRAMA SOCIAL DE COMPLEMENTAÇÃO OU SUPLEMENTAÇÃO DE RENDA DO GDF (PRATO CHEIO, DF SOCIAL) TIAGO BRAGA PEREIRA 037***.***-** 1 DEFERIDO ANA GABRIELA DE SOUSA COSTA 029***.***-** - INDEFERIDO CANDIDATO (A) NÃO APRESENTOU DECLARAÇÃO EXPEDIDA PELO GDF QUE COMPROVE RECEBIMENTO DE BENEFÍCIO DE PROGRAMA SOCIAL DE COMPLEMENTAÇÃO OU SUPLEMENTAÇÃO DE RENDA DO GDF (PRATO CHEIO, DF SOCIAL) E NÃO INFORMOU O CARGO GLORIETE FRANCISCA ROSA E SILVA LEITE 710***.***-** 1 DEFERIDO RENAN ALVES BRAGA 010***.***-** 1 DEFERIDO HOTTOT LEITE MEDEIROS 070***.***-** 5 DEFERIDO DENISE DE SOUZA BUARQUES LICURI 719***.***-** 1 INDEFERIDO CANDIDATO (A) NÃO APRESENTOU CERTIDÃO EXPEDIDA PELO GDF QUE COMPROVE RECEBIMENTO DE BENEFÍCIO DE PROGRAMA SOCIAL DE COMPLEMENTAÇÃO OU SUPLEMENTAÇÃO DE RENDA DO GDF
  • 216.
    MAYRA LAYRE LOPESDE LIMA AMORIM 020***.***-** 1 DEFERIDO MANUEL WILLIAN SILVA RODRIGUES 003***.***-** 1 DEFERIDO MANUEL WILLIAN SILVA RODRIGUES 003***.***-** 2 DEFERIDO ANTÔNIA ELEINE LEITE CAVALCANTE BIAS 981***.***-** 1 DEFERIDO GREICYANE ROCHA DE JESUS 039***.***-** 1 INDEFERIDO CANDIDATO (A) NÃO APRESENTOU LAUDO COMPROBATÓRIO DA ISENÇÃO DE ACORDO COM A POSSIBILIDADE ESCOLHIDA E RG (CAD. ÚNICO FEDERAL) DANIEL DARLEY BIAS 709***.***-** 7 DEFERIDO ELIENE AFONSO DE OLIVEIRA 578***.***-** 1 INDEFERIDO CANDIDATO (A) NÃO APRESENTOU CERTIDÃO EXPEDIDA PELO GDF QUE COMPROVE RECEBIMENTO DE BENEFÍCIO DE PROGRAMA SOCIAL DE COMPLEMENTAÇÃO OU SUPLEMENTAÇÃO DE RENDA DO GDF E DOCUMENTAÇÃO EM PDF NAILSA VIEIRA SILVA 505***.***-** 2 INDEFERIDO CANDIDATO (A) NÃO APRESENTOU COMPROVANTE DE PRESTAÇÃO DE SERVIÇOS À JUSTIÇA ELEITORAL POR, NO MÍNIMO, AS DUAS ELEIÇÕES E NÃO INFORMOU NO FORMULÁRIO O CARGO EDSON DA CONCEIÇÃO SANTOS 004***.***-** 2 DEFERIDO MARIA DE NAZARE OLIVEIRA GALISA DE MEDEIROS 816***.***-** 7 INDEFERIDO CANDIDATO (A) NÃO APRESENTOU DOCUMENTAÇÃO EXIGIDA EM PDF VALERIA FERNANDES TEIXEIRA 080***.***-** 1 DEFERIDO MARIA VERONICA DE OLIVEIRA 741***.***-** - INDEFERIDO CANDIDATO (A) NÃO APRESENTOU CERTIDÃO EXPEDIDA PELO GDF QUE COMPROVE RECEBIMENTO DE BENEFÍCIO DE PROGRAMA SOCIAL DE COMPLEMENTAÇÃO OU SUPLEMENTAÇÃO DE RENDA DO GDF E DOCUMENTAÇÃO EM PDF EVERTON HENRIQUE BEZERRA FREIRE 017***.***-** 1 INDEFERIDO CANDIDATO (A) NÃO APRESENTOU FORMULÁRIO PARA PEDIDO DE ISENÇÃO E NÃO APRESENTOU LAUDO MÉDICO COMPROBATÓRIO LILIAN MAZZOCCANTE MARTINS 042***.***-** 6 DEFERIDO MARIA FERREIRA BARRETO 610***.***-** 5 INDEFERIDO CANDIDATO (A) NÃO APRESENTOU CERTIDÃO EXPEDIDA PELO GDF QUE COMPROVE RECEBIMENTO DE BENEFÍCIO DE PROGRAMA SOCIAL DE COMPLEMENTAÇÃO OU SUPLEMENTAÇÃO DE RENDA DO GDF NARAINE DE SOUZA OLIVEIRA 053***.***-** 7 INDEFERIDO CANDIDATO (A) NÃO APRESENTOU LAUDO MÉDICO COMPROBATÓRIO DA ISENÇÃO DE ACORDO COM A POSSIBILIDADE ESCOLHIDA (CAD. ÚNICO FEDERAL) ANGELICA MARIA DE CARVALHO CUNHA 011***.***-** 5 DEFERIDO VALERIA FERNANDES DE OLIVEIRA 601***.***-** 7 DEFERIDO RENATO DE SOUZA VALENÇA PRADO 009***.***-** 1 DEFERIDO RENAN CARLOS DA SILVA 012***.***-** 8 DEFERIDO JOSUE LUCIO DA SILVA 049***.***-** 1 DEFERIDO IVONE ROSA DO CARMO 68***.***-** 1 DEFERIDO JESSICA CECILIA SILVA DE OLIVEIRA 046***.***-** 1 DEFERIDO
  • 217.
    ROSENILDE BRAGA DEOLIVEIRA 928***.***-** 1 INDEFERIDO CANDIDATO (A) NÃO APRESENTOU CERTIDÃO EXPEDIDA PELO GDF QUE COMPROVE RECEBIMENTO DE BENEFÍCIO DE PROGRAMA SOCIAL DE COMPLEMENTAÇÃO OU SUPLEMENTAÇÃO DE RENDA DO GDF E RG ANGELICA DE SOUSA MORAIS 013***.***-** 8 DEFERIDO MARCIO DA CUNHA TRAPIA 601***.***-** 1 DEFERIDO VERA LUCIA SOARES DE OLIVEIRA 001***.***-** 6 DEFERIDO ESTENIO TRAJANO SILVA DE OLIVEIRA 041***.***-** 1 DEFERIDO VITÓRIA RÉGINA CRISTIANO DOS SANTOS 067***.***-** 7 INDEFERIDO CANDIDATO (A) NÃO APRESENTOU DECLARAÇÃO EXPEDIDA PELO GDF QUE COMPROVE RECEBIMENTO DE BENEFÍCIO DE PROGRAMA SOCIAL DE COMPLEMENTAÇÃO OU SUPLEMENTAÇÃO DE RENDA DO GDF (PRATO CHEIO E DF SOCIAL) KAMILLA LUIZA DA SILVA SOARES 030***.***-** 1 DEFERIDO WEBSTER MACIEL FOLGADO 007***.***-** 8 DEFERIDO WEBSTER MACIEL FOLGADO 007***.***-** 1 DEFERIDO DANIELLA AVELINO DE SOUZA 669***.***-** 1 DEFERIDO RAIANA BITTENCOURT COELHO SCORZA GONCALVES 024***.***-** 3 DEFERIDO KARLA REGINA SANTOS DIAS 833***.***-** 5 DEFERIDO EDIANE PAULINA GOMES SILVA 056***.***-** 1 INDEFERIDO CANDIDATO (A) NÃO APRESENTOU DECLARAÇÃO EXPEDIDA PELO GDF QUE COMPROVE RECEBIMENTO DE BENEFÍCIO DE PROGRAMA SOCIAL DE COMPLEMENTAÇÃO OU SUPLEMENTAÇÃO DE RENDA DO GDF E RG EDUARDO GONCALVES MOTA 053***.***-** 3 DEFERIDO ANNA BEATRIZ DE SOUSA COSTA 075***.***-** 1 DEFERIDO PHELLIPE OLIVEIRA DE ALMEIDA 036***.***-** 1 DEFERIDO CLEODOBERTO SHAKESPEARE SANCAO SILVA MENDONCA 015***.***-** 1 INDEFERIDO CANDIDATO (A) NÃO APRESENTOU DOCUMENTAÇÃO EXIGIDA RG SARAH SOARES NUNES 083***.***-** 1 INDEFERIDO CANDIDATO (A) NÃO APRESENTOU DECLARAÇÃO EXPEDIDA PELO GDF QUE COMPROVE RECEBIMENTO DE BENEFÍCIO DE PROGRAMA SOCIAL DE COMPLEMENTAÇÃO OU SUPLEMENTAÇÃO DE RENDA DO GDF (PRATO CHEIO E DF SOCIAL) SARAH SOARES NUNES 083***.***-** 8 INDEFERIDO CANDIDATO (A) NÃO APRESENTOU DECLARAÇÃO EXPEDIDA PELO GDF QUE COMPROVE RECEBIMENTO DE BENEFÍCIO DE PROGRAMA SOCIAL DE COMPLEMENTAÇÃO OU SUPLEMENTAÇÃO DE RENDA DO GDF (PRATO CHEIO E DF SOCIAL) SÁLVIA TRAJANO JERONIMO DE OLIVEIRA 072***.***-** 1 DEFERIDO WELLINGTON RUBENS GABRIEL MACIEL 620***.***-** 1 DEFERIDO MATHEUS SANTOS OLIVEIRA 056***.***-** 1 INDEFERIDO CANDIDATO (A) NÃO APRESENTOU FORMULÁRIO PARA PEDIDO DE ISENÇÃO ATUALIZADO E LAUDO MÉDICO DE ACORDO COM A MARCAÇÃO ESCOLHIDA MARTA MARIELLY DA SILVA 062***.***-** 1 DEFERIDO KARINA DE AMORIM DA CONCEICAO 052***.***-** - INDEFERIDO CANDIDATO (A) NÃO APRESENTOU DOCUMENTO DE IDENTIFICAÇÃO E FORMULÁRIO PARA PEDIDO DE ISENÇÃO ATUALIZADO, LAUDO MÉDICO
  • 218.
    JACQUELINE CRUZ DESOUZA 044***.***-** 1 INDEFERIDO CANDIDATO (A) NÃO APRESENTOU DECLARAÇÃO EXPEDIDA PELO GDF QUE COMPROVE RECEBIMENTO DE BENEFÍCIO DE PROGRAMA SOCIAL DE COMPLEMENTAÇÃO OU SUPLEMENTAÇÃO DE RENDA DO GDF (PRATO CHEIO E DF SOCIAL) RAFAELLA BARCELLOS MARINHO 009***.***-** 1 DEFERIDO RENATO BRITO DA SILVA 926***.***-** 1 DEFERIDO JHULLYANA APARECIDA FERREIRA 030***.***-** 1 DEFERIDO ANDERSON CESAR GONÇALVES DO NASCIMENTO 923***.***-** 7 DEFERIDO ANDERSON CESAR GONÇALVES DO NASCIMENTO 923***.***-** 1 DEFERIDO CAMILA SOARES FORTINE 021***.***-** 2 DEFERIDO CAMILA SOARES FORTINE 021***.***-** 1 DEFERIDO ELIANE RIBEIRO DA SILVA 011***.***-** 1 INDEFERIDO CANDIDATO (A) NÃO APRESENTOU DOCUMENTAÇÃO EXIGIDA EM PDF ROGERIO ROCHA DE SOUZA 821***.***-** 1 DEFERIDO THAIS RIBEIRO MUNIZ 022***.***-** 1 DEFERIDO THIAGO GOMES DE OLIVEIRA 014***.***-** 2 DEFERIDO JANAÍNA GOMES DA COSTA NOVAIS 008***.***-** 1 DEFERIDO JANAÍNA GOMES DA COSTA NOVAIS 008***.***-** 7 DEFERIDO JUSCILENE MARIA DA SILVA BASTOS 483***.***-** 2 INDEFERIDO CANDIDATO (A) NÃO APRESENTOU DECLARAÇÃO EXPEDIDA PELO GDF QUE COMPROVE RECEBIMENTO DE BENEFÍCIO DE PROGRAMA SOCIAL DE COMPLEMENTAÇÃO OU SUPLEMENTAÇÃO DE RENDA DO GDF (PRATO CHEIO E DF SOCIAL) LAURILENE FONSECA FERRAZ 024***.***-** 1 INDEFERIDO CANDIDATO (A) NÃO APRESENTOU DECLARAÇÃO EXPEDIDA PELO GDF QUE COMPROVE RECEBIMENTO DE BENEFÍCIO DE PROGRAMA SOCIAL DE COMPLEMENTAÇÃO OU SUPLEMENTAÇÃO DE RENDA DO GDF (PRATO CHEIO E DF SOCIAL) LAURILENE FONSECA FERRAZ 024***.***-** 7 INDEFERIDO CANDIDATO (A) NÃO APRESENTOU DECLARAÇÃO EXPEDIDA PELO GDF QUE COMPROVE RECEBIMENTO DE BENEFÍCIO DE PROGRAMA SOCIAL DE COMPLEMENTAÇÃO OU SUPLEMENTAÇÃO DE RENDA DO GDF (PRATO CHEIO E DF SOCIAL) ANDERSON GOMES SOARES 723***.***-** 2 DEFERIDO CESAR AUGUSTO SIQUEIRA LIMA 814***.***-** 1 INDEFERIDO CANDIDATO (A) NÃO APRESENTOU DECLARAÇÃO EXPEDIDA PELO GDF QUE COMPROVE RECEBIMENTO DE BENEFÍCIO DE PROGRAMA SOCIAL DE COMPLEMENTAÇÃO OU SUPLEMENTAÇÃO DE RENDA DO GDF (PRATO CHEIO E DF SOCIAL) FERNANDA GISELE LEITE FERREIRA ALVES 019***.***-** 1 INDEFERIDO CANDIDATO (A) NÃO APRESENTOU DOCUMETAÇÃO EXIGIDA LAUDO MÉDICO ASSINADO COM CARINBO DO MÉDICO COMPROVANDO DEFICIÊNCIA MARCOS JADIR DE SOUZA PRADO 703***.***-** 1 DEFERIDO FABÍOLA DIANE ALVES SANTOS 726***.***-** 1 DEFERIDO
  • 219.
    SAMANTHA DOS SANTOSFERNANDES 056***.***-** 1 DEFERIDO RODRIGO DE ARAUJO LEITE -***.***-** - INDEFERIDO CANDIDATO (A) NÃO APRESENTOU DOCUMENTO DE IDENTIFICAÇÃO E FORMULÁRIO PARA PEDIDO DE ISENÇÃO ATUALIZADO LUIS FELIPE PEREIRA LEITE 037***.***-** 1 INDEFERIDO CANDIDATO (A) NÃO APRESENTOU DECLARAÇÃO EXPEDIDA PELO GDF QUE COMPROVE RECEBIMENTO DE BENEFÍCIO DE PROGRAMA SOCIAL DE COMPLEMENTAÇÃO OU SUPLEMENTAÇÃO DE RENDA DO GDF (PRATO CHEIO E DF SOCIAL) LUIS FELIPE PEREIRA LEITE 037***.***-** 5 INDEFERIDO CANDIDATO (A) NÃO APRESENTOU DECLARAÇÃO EXPEDIDA PELO GDF QUE COMPROVE RECEBIMENTO DE BENEFÍCIO DE PROGRAMA SOCIAL DE COMPLEMENTAÇÃO OU SUPLEMENTAÇÃO DE RENDA DO GDF (PRATO CHEIO E DF SOCIAL) GUSTAVO HENRIQUE CAMARGO EUFRÁSIO 068***.***-** 1 DEFERIDO GUSTAVO HENRIQUE CAMARGO EUFRÁSIO 068***.***-** 5 DEFERIDO BEATRIZ COSTA PEREIRA 035***.***-** 1 DEFERIDO BEATRIZ COSTA PEREIRA 035***.***-** 6 DEFERIDO FABIANA DA SILVA SANTOS 029***.***-** 1 INDEFERIDO CANDIDATO (A) NÃO APRESENTOU DOCUMENTAÇÃO EXIGIDA EM PDF FABIANA DA SILVA SANTOS 029***.***-** 6 INDEFERIDO CANDIDATO (A) NÃO APRESENTOU DOCUMENTAÇÃO EXIGIDA EM PDF LUIS FERNANDO ALVES DA SILVA -***.***-** - INDEFERIDO CANDIDATO (A) NÃO APRESENTOU DOCUMENTO DE IDENTIFICAÇÃO E FORMULÁRIO PARA PEDIDO DE ISENÇÃO ATUALIZADO E RG MARIA DE JESUS RIBEIRO SILVA 179***.***-** 1 INDEFERIDO CANDIDATO (A) NÃO APRESENTOU DOCUMENTO ATUAIZADO COMPROBATÓRIO DA ISENÇÃO DE ACORDO COM A POSSIBILIDADE ESCOLHIDA (CADASTRO ÚNICO FEDERAL) LUCIANO FERNANDES TEIXEIRA 065***.***-** 1 INDEFERIDO CANDIDATO (A) NÃO APRESENTOU DOCUMENTAÇÃO EXIGIDA EM PDF LUCIANO FERNANDES TEIXEIRA 065***.***-** 7 INDEFERIDO CANDIDATO (A) NÃO APRESENTOU DOCUMENTAÇÃO EXIGIDA EM PDF AUDÂNIA ROSA LIMA MENDES 930***.***-** 7 DEFERIDO ISABELLA GUERREIRO CAPARIGA BORGES 126***.***-** 1 DEFERIDO ISABELLA GUERREIRO CAPARIGA BORGES 126***.***-** 3 DEFERIDO DAIANE SILVA DE CARVALHO -***.***-** - INDEFERIDO CANDIDATO (A) NÃO APRESENTOU DOCUMETAÇÃO EXIGIDA PARA A SOLICITAÇÃO DE ISENÇÃO REBECA DA COSTA DE MATOS 017***.***-** 1 INDEFERIDO CANDIDATO (A) NÃO APRESENTOU DECLARAÇÃO EXPEDIDA PELO GDF QUE COMPROVE RECEBIMENTO DE BENEFÍCIO DE PROGRAMA SOCIAL DE COMPLEMENTAÇÃO OU SUPLEMENTAÇÃO DE RENDA DO GDF (PRATO CHEIO E DF SOCIAL) REBECA DA COSTA DE MATOS 017***.***-** 2 INDEFERIDO CANDIDATO (A) NÃO APRESENTOU DECLARAÇÃO EXPEDIDA PELO GDF QUE COMPROVE RECEBIMENTO DE BENEFÍCIO DE PROGRAMA SOCIAL DE COMPLEMENTAÇÃO OU SUPLEMENTAÇÃO DE RENDA DO GDF (PRATO CHEIO E DF SOCIAL)
  • 220.
    ANA CAROLINA RIBEIROCAETANO 039***.***-** 1 INDEFERIDO CANDIDATO (A) NÃO APRESENTOU DOCUMENTO ATUAIZADO COMPROBATÓRIO DA ISENÇÃO DE ACORDO COM A POSSIBILIDADE ESCOLHIDA (CADASTRO ÚNICO FEDERAL) JOSÉ RICARDO GOMES LOBATO 359***.***-** 1 DEFERIDO JOSÉ RICARDO GOMES LOBATO 359***.***-** 6 DEFERIDO PATRICIA GADIA POCAS FONSECA 700***.***-** 1 DEFERIDO LOURDES VANA PINHEIRO DE SOUZA PATROCINIO 381***.***-** 1 INDEFERIDO CANDIDATO (A) NÃO APRESENTOU DECLARAÇÃO EXPEDIDA PELO GDF QUE COMPROVE RECEBIMENTO DE BENEFÍCIO DE PROGRAMA SOCIAL DE COMPLEMENTAÇÃO OU SUPLEMENTAÇÃO DE RENDA DO GDF (PRATO CHEIO E DF SOCIAL) LOURDES VANA PINHEIRO DE SOUZA PATROCINIO 381***.***-** 2 INDEFERIDO CANDIDATO (A) NÃO APRESENTOU DECLARAÇÃO EXPEDIDA PELO GDF QUE COMPROVE RECEBIMENTO DE BENEFÍCIO DE PROGRAMA SOCIAL DE COMPLEMENTAÇÃO OU SUPLEMENTAÇÃO DE RENDA DO GDF (PRATO CHEIO E DF SOCIAL) GILMA CAVALCANTI FERREIRA 37***.***-** 1 DEFERIDO WANNE MIRELLE BARBOSA DOS SANTOS 040***.***-** 1 DEFERIDO WANNE MIRELLE BARBOSA DOS SANTOS 040***.***-** 8 DEFERIDO ERICA SOARES DE OLIVEIRA 050***.***-** 6 INDEFERIDO CANDIDATO (A) NÃO APRESENTOU DECLARAÇÃO EXPEDIDA PELO GDF QUE COMPROVE RECEBIMENTO DE BENEFÍCIO DE PROGRAMA SOCIAL DE COMPLEMENTAÇÃO OU SUPLEMENTAÇÃO DE RENDA DO GDF (PRATO CHEIO E DF SOCIAL E RG ) MARCIANA DA COSTA 000***.***-** 5 INDEFERIDO CANDIDATO (A) NÃO APRESENTOU DECLARAÇÃO EXPEDIDA PELO GDF QUE COMPROVE RECEBIMENTO DE BENEFÍCIO DE PROGRAMA SOCIAL DE COMPLEMENTAÇÃO OU SUPLEMENTAÇÃO DE RENDA DO GDF (PRATO CHEIO E DF SOCIAL E RG) LUCAS ASSUNÇÃO 077***.***-** 2 INDEFERIDO CANDIDATO (A) NÃO APRESENTOU DECLARAÇÃO EXPEDIDA PELO GDF QUE COMPROVE RECEBIMENTO DE BENEFÍCIO DE PROGRAMA SOCIAL DE COMPLEMENTAÇÃO OU SUPLEMENTAÇÃO DE RENDA DO GDF (PRATO CHEIO E DF SOCIAL ) ELAINE GONCALVES DA SILVA 012***.***-** 1 INDEFERIDO CANDIDATO (A) NÃO APRESENTOU DECLARAÇÃO EXPEDIDA PELO GDF QUE COMPROVE RECEBIMENTO DE BENEFÍCIO DE PROGRAMA SOCIAL DE COMPLEMENTAÇÃO OU SUPLEMENTAÇÃO DE RENDA DO GDF (PRATO CHEIO E DF SOCIAL ) ELAINE GONCALVES DA SILVA 012***.***-** 8 INDEFERIDO CANDIDATO (A) NÃO APRESENTOU DECLARAÇÃO EXPEDIDA PELO GDF QUE COMPROVE RECEBIMENTO DE BENEFÍCIO DE PROGRAMA SOCIAL DE COMPLEMENTAÇÃO OU SUPLEMENTAÇÃO DE RENDA DO GDF (PRATO CHEIO E DF SOCIAL )
  • 221.
    EMANUELLE MACÊDO RAMOS070***.***-** 1 INDEFERIDO CANDIDATO (A) NÃO APRESENTOU DECLARAÇÃO EXPEDIDA PELO GDF QUE COMPROVE RECEBIMENTO DE BENEFÍCIO DE PROGRAMA SOCIAL DE COMPLEMENTAÇÃO OU SUPLEMENTAÇÃO DE RENDA DO GDF (PRATO CHEIO E DF SOCIAL ) DANILLO DA SILVA OLIVEIRA 009***.***-** 2 DEFERIDO DANILLO DA SILVA OLIVEIRA 009***.***-** 1 DEFERIDO FRANCISCA DAS CHAGAS RODRIGUES DE ARAÚJO 693***.***-** 8 INDEFERIDO CANDIDATO (A) NÃO APRESENTOU DECLARAÇÃO EXPEDIDA PELO GDF QUE COMPROVE RECEBIMENTO DE BENEFÍCIO DE PROGRAMA SOCIAL DE COMPLEMENTAÇÃO OU SUPLEMENTAÇÃO DE RENDA DO GDF (PRATO CHEIO E DF SOCIAL ) AMANDA PAIVA DE MAGALHÃES 048***.***-** 1 DEFERIDO LETHICIA ARAÚJO HONESKO 130***.***-** 6 DEFERIDO JEFERSON BISPO DOS SANTOS 043***.***-** 1 INDEFERIDO CANDIDATO (A) NÃO APRESENTOU FORMULÁRIO PARA PEDIDO DE ISENÇÃO ATUALIZADO COM A MARCAÇÃO ESCOLHIDA ISAÍAS RAMOS VIANA DE BRITO 058***.***-** 1 INDEFERIDO CANDIDATO (A) NÃO APRESENTOU DECLARAÇÃO EXPEDIDA PELO GDF QUE COMPROVE RECEBIMENTO DE BENEFÍCIO DE PROGRAMA SOCIAL DE COMPLEMENTAÇÃO OU SUPLEMENTAÇÃO DE RENDA DO GDF (PRATO CHEIO E DF SOCIAL ) THIARA CAROLINE REIS DE AZEVEDO 012***.***-** 1 DEFERIDO THIARA CAROLINE REIS DE AZEVEDO 012***.***-** 8 INDEFERIDO CANDIDATO (A) NÃO APRESENTOU FORMULÁRIO PARA PEDIDO DE ISENÇÃO ATUALIZADO COM O SEGUNDO CARGO ESCOLHIDO E DEVIDAMENTE ASSINADO ALZENAIDE BARBOSA ROCHA 834***.***-** 4 INDEFERIDO CANDIDATO (A) NÃO APRESENTOU DOCUMENTAÇÃO EXIGIDA COMPLETA EM PDF ALZENAIDE BARBOSA ROCHA 834***.***-** 1 INDEFERIDO CANDIDATO (A) NÃO APRESENTOU DOCUMENTAÇÃO EXIGIDA COMPLETA EM PDF ALDINEIS FERREIRA DA SILVA 955***.***-** 2 INDEFERIDO CANDIDATO (A) NÃO APRESENTOU DOCUMENTAÇÃO EXIGIDA COMPLETA EM PDF NIVALDO SALUSTIANO DA SILVA 60***.***-** 1 DEFERIDO TAMIRIS ALVES DA SILVA 042***.***-** 1 INDEFERIDO CANDIDATO (A) NÃO APRESENTOU DECLARAÇÃO EXPEDIDA PELO GDF QUE COMPROVE RECEBIMENTO DE BENEFÍCIO DE PROGRAMA SOCIAL DE COMPLEMENTAÇÃO OU SUPLEMENTAÇÃO DE RENDA DO GDF (PRATO CHEIO E DF SOCIAL ) JOSIELLE MARIA DE QUEIROZ 011***.***-** 1 INDEFERIDO CANDIDATO (A) NÃO APRESENTOU DECLARAÇÃO EXPEDIDA PELO GDF QUE COMPROVE RECEBIMENTO DE BENEFÍCIO DE PROGRAMA SOCIAL DE COMPLEMENTAÇÃO OU SUPLEMENTAÇÃO DE RENDA DO GDF (PRATO CHEIO E DF SOCIAL ) GABRIEL SILVEIRA MARQUES 037***.***-** 1 DEFERIDO GABRIEL SILVEIRA MARQUES 037***.***-** 5 DEFERIDO
  • 222.
    TATILORANY BARBOSA DIASGOMES 036***.***-** 1 INDEFERIDO CANDIDATO (A) NÃO APRESENTOU DECLARAÇÃO EXPEDIDA PELO GDF QUE COMPROVE RECEBIMENTO DE BENEFÍCIO DE PROGRAMA SOCIAL DE COMPLEMENTAÇÃO OU SUPLEMENTAÇÃO DE RENDA DO GDF (PRATO CHEIO E DF SOCIAL ) TATILORANY BARBOSA DIAS GOMES 036***.***-** 5 INDEFERIDO CANDIDATO (A) NÃO APRESENTOU DECLARAÇÃO EXPEDIDA PELO GDF QUE COMPROVE RECEBIMENTO DE BENEFÍCIO DE PROGRAMA SOCIAL DE COMPLEMENTAÇÃO OU SUPLEMENTAÇÃO DE RENDA DO GDF (PRATO CHEIO E DF SOCIAL ) JANAÍNA GOLÇALVES SANTOS 693***.***-** 1 DEFERIDO ALCIONE CARVALHO GRANJA 706***.***-** 1 INDEFERIDO CANDIDATO (A) NÃO APRESENTOU DECLARAÇÃO EXPEDIDA PELO GDF QUE COMPROVE RECEBIMENTO DE BENEFÍCIO DE PROGRAMA SOCIAL DE COMPLEMENTAÇÃO OU SUPLEMENTAÇÃO DE RENDA DO GDF (PRATO CHEIO E DF SOCIAL ) MARIA EDUARDA DANTAS MUNIZ 080***.***-** 7 INDEFERIDO CANDIDATO (A) NÃO APRESENTOU DECLARAÇÃO EXPEDIDA PELO GDF QUE COMPROVE RECEBIMENTO DE BENEFÍCIO DE PROGRAMA SOCIAL DE COMPLEMENTAÇÃO OU SUPLEMENTAÇÃO DE RENDA DO GDF (PRATO CHEIO E DF SOCIAL ) JEFFERSON DA SILVA CARDOSO 013***.***-** 1 INDEFERIDO CANDIDATO (A) NÃO APRESENTOU DOCUMENTAÇÃO PARA PEDIDO DE ISENÇÃO DE ACORDO COM A OPÇÃO ESCOLHIDA IRISMAR FERREIRA DOS SANTOS ARAUJO 858***.***-** 2 INDEFERIDO CANDIDATO (A) NÃO APRESENTOU DECLARAÇÃO EXPEDIDA PELO GDF QUE COMPROVE RECEBIMENTO DE BENEFÍCIO DE PROGRAMA SOCIAL DE COMPLEMENTAÇÃO OU SUPLEMENTAÇÃO DE RENDA DO GDF (PRATO CHEIO E DF SOCIAL ) PAULA DE MEIRA RODRIGUES 042***.***-** 3 INDEFERIDO CANDIDATO (A) NÃO APRESENTOU DECLARAÇÃO EXPEDIDA PELO GDF QUE COMPROVE RECEBIMENTO DE BENEFÍCIO DE PROGRAMA SOCIAL DE COMPLEMENTAÇÃO OU SUPLEMENTAÇÃO DE RENDA DO GDF (PRATO CHEIO E DF SOCIAL ) NAATY HELENE DINIZ CARVALHO 051***.***-** 1 INDEFERIDO CANDIDATO (A) NÃO APRESENTOU LAUDO MÉDICO DE ACORDO COM A MARCAÇÃO ESCOLHIDA WALTERSON LEITE BATISTA SOARES 724***.***-** 1 DEFERIDO LARYSSA ALAYNE RODRIGUES SOUZA 053***.***-** 6 INDEFERIDO CANDIDATO (A) NÃO APRESENTOU DECLARAÇÃO EXPEDIDA PELO GDF QUE COMPROVE RECEBIMENTO DE BENEFÍCIO DE PROGRAMA SOCIAL DE COMPLEMENTAÇÃO OU SUPLEMENTAÇÃO DE RENDA DO GDF (PRATO CHEIO E DF SOCIAL ) FERNANDO SOARES ARAUJO 032***.***-** 8 DEFERIDO DAVID RAMOS FEITOSA 044***.***-** 1 DEFERIDO SIMONE DA SILVA CEDRO 697***.***-** 8 DEFERIDO MARIA CLEONICE MOREIRA DE SOUZA 553***.***-** 1 DEFERIDO ADRIANO NERES ALVES 042***.***-** 1 INDEFERIDO CANDIDATO (A) NÃO APRESENTOU DOCUMENTAÇÃO EXIGIDA
  • 223.
    SARAH DE MELOVIANA TEIXEIRA 032***.***-** 6 INDEFERIDO CANDIDATO (A) NÃO APRESENTOU DECLARAÇÃO EXPEDIDA PELO GDF QUE COMPROVE RECEBIMENTO DE BENEFÍCIO DE PROGRAMA SOCIAL DE COMPLEMENTAÇÃO OU SUPLEMENTAÇÃO DE RENDA DO GDF (PRATO CHEIO E DF SOCIAL ) LEDA CRITINA ARAUJO CAMPOS 010***.***-** 2 INDEFERIDO CANDIDATO (A) NÃO APRESENTOU DOCUMENTAÇÃO DE LAUDO MÉDICO E CAD.ÚNICO DE ACORDO COM A MARCAÇÃO ESCOLHIDA LEDA CRITINA ARAUJO CAMPOS 010***.***-** 1 INDEFERIDO CANDIDATO (A) NÃO APRESENTOU COMPROVANTE DE PRESTAÇÃO DE SERVIÇOS À JUSTIÇA ELEITORAL POR, NO MÍNIMO, AS DUAS ELEIÇÕES E NÃO INFORMOU NO FORMULÁRIO O CARGO ZELMAR ALVES SIQUEIRA 563***.***-** 8 DEFERIDO ZELMAR ALVES SIQUEIRA 563***.***-** 1 DEFERIDO ANTONIO CARLOS DA CRUZ 505***.***-** 1 INDEFERIDO CANDIDATO (A) NÃO APRESENTOU DECLARAÇÃO EXPEDIDA PELO GDF QUE COMPROVE RECEBIMENTO DE BENEFÍCIO DE PROGRAMA SOCIAL DE COMPLEMENTAÇÃO OU SUPLEMENTAÇÃO DE RENDA DO GDF (PRATO CHEIO E DF SOCIAL ) FELIPE SILVA DE ARAUJO 03***.***-** 1 DEFERIDO MARIA DA GLORIA DA SILVA LOPES 042***.***-** 1 INDEFERIDO CANDIDATO (A) NÃO APRESENTOU DOCUMENTAÇÃO DE LAUDO MÉDICO DE ACORDO COM A MARCAÇÃO ESCOLHIDA MARIA DA GLORIA DA SILVA LOPES 042***.***-** 8 INDEFERIDO CANDIDATO (A) NÃO APRESENTOU DOCUMENTAÇÃO DE LAUDO MÉDICO DE ACORDO COM A MARCAÇÃO ESCOLHIDA FERNANDA SOUZA DA SILVA 006***.***-** 4 DEFERIDO FERNANDA SOUZA DA SILVA 006***.***-** 1 DEFERIDO PAULO RICARDO DA SILVA LOBATO SANTANA 037***.***-** 1 DEFERIDO PAULO RICARDO DA SILVA LOBATO SANTANA 037***.***-** 5 DEFERIDO GIRLAINE DOS SANTOS SILVA 039***.***-** 1 INDEFERIDO CANDIDATO (A) NÃO APRESENTOU DOCUMENTAÇÃO EXIGIDA RG DOUGLAS SALES DOS SANTOS LEITE 03***.***-** 5 DEFERIDO LOMARQUES CARNEIRO DOS SANTOS 396***.***-** 1 DEFERIDO CARLA NUBIA SANTOS DO NASCIMENTO 870***.***-** 2 INDEFERIDO CANDIDATO (A) NÃO APRESENTOU DECLARAÇÃO EXPEDIDA PELO GDF QUE COMPROVE RECEBIMENTO DE BENEFÍCIO DE PROGRAMA SOCIAL DE COMPLEMENTAÇÃO OU SUPLEMENTAÇÃO DE RENDA DO GDF (PRATO CHEIO E DF SOCIAL ) HIGO GERSON CARDOSO DE AMORIM 025***.***-** 1 INDEFERIDO CANDIDATO (A) NÃO APRESENTOU DECLARAÇÃO EXPEDIDA PELO GDF QUE COMPROVE RECEBIMENTO DE BENEFÍCIO DE PROGRAMA SOCIAL DE COMPLEMENTAÇÃO OU SUPLEMENTAÇÃO DE RENDA DO GDF (PRATO CHEIO E DF SOCIAL E RG ) EDUARDA NUNES MONTEIRO ALVARES 051***.***-** 1 INDEFERIDO CANDIDATO (A) NÃO APRESENTOU DOCUMENTAÇÃO EXIGIDA PDF FABIO DA SILVA LIMA 740***.***-** 1 DEFERIDO
  • 224.
    KELLY SOUSA CALVAGNI087***.***-** 7 INDEFERIDO CANDIDATO (A) NÃO APRESENTOU DECLARAÇÃO EXPEDIDA PELO GDF QUE COMPROVE RECEBIMENTO DE BENEFÍCIO DE PROGRAMA SOCIAL DE COMPLEMENTAÇÃO OU SUPLEMENTAÇÃO DE RENDA DO GDF (PRATO CHEIO E DF SOCIAL ) LUENE RODRIGUES DO NASCIMENTO 036***.***-** 1 DEFERIDO ADRIANA PAULA FERREIRA 689***.***-** 2 INDEFERIDO CANDIDATO (A) NÃO APRESENTOU DOCUMENTAÇÃO EXIGIDA PDF LUISABETE DE MELO VIANA 584***.***-** 6 INDEFERIDO CANDIDATO (A) NÃO APRESENTOU DECLARAÇÃO EXPEDIDA PELO GDF QUE COMPROVE RECEBIMENTO DE BENEFÍCIO DE PROGRAMA SOCIAL DE COMPLEMENTAÇÃO OU SUPLEMENTAÇÃO DE RENDA DO GDF (PRATO CHEIO E DF SOCIAL ) SHIRLEY DAMACENO DE MENEZES 040***.***-** 6 INDEFERIDO CANDIDATO (A) NÃO APRESENTOU DECLARAÇÃO EXPEDIDA PELO GDF QUE COMPROVE RECEBIMENTO DE BENEFÍCIO DE PROGRAMA SOCIAL DE COMPLEMENTAÇÃO OU SUPLEMENTAÇÃO DE RENDA DO GDF (PRATO CHEIO E DF SOCIAL ) FRANCIELY DA SILVA BORGES 149***.***-** 1 INDEFERIDO CANDIDATO (A) NÃO APRESENTOU DOCUMENTAÇÃO DE LAUDO MÉDICO DE ACORDO COM A MARCAÇÃO ESCOLHIDA PRISCILLA BEATRIZ CANEDO DE SIQUEIRA 020***.***-** 8 DEFERIDO PRISCILLA BEATRIZ CANEDO DE SIQUEIRA 020***.***-** 1 DEFERIDO PATRICIA OLIVEIRA DE MOURA 721***.***-** 1 INDEFERIDO CANDIDATO (A) NÃO APRESENTOU COMPROVANTE DE PRESTAÇÃO DE SERVIÇOS À JUSTIÇA ELEITORAL POR, NO MÍNIMO, AS DUAS ELEIÇÕES DE TURNOS DISTINTOS AMANDA SHOPIA SANTOS ALVES 053***.***-** 7 INDEFERIDO CANDIDATO (A) NÃO APRESENTOU DOCUMENTAÇÃO DE LAUDO MÉDICO DE ACORDO COM A MARCAÇÃO ESCOLHIDA VÂNIA SANTOS DA GLÓRIA 787***.***-** 1 DEFERIDO VÂNIA SANTOS DA GLÓRIA 787***.***-** 7 DEFERIDO JOÃO PAULO BARBOSA RODRIGUES 722***.***-** 1 INDEFERIDO CANDIDATO (A) NÃO APRESENTOU DOCUMENTAÇÃO EXIGIDA (CAD.ÚNICO) RENATA DE PAULA SOUSA DA SILVA 026***.***-** 1 DEFERIDO GEOVANNA DE JESUS SOUZA 020***.***-** 1 DEFERIDO ISABELA DOMINGOS DA GLÓRIA 012***.***-** 1 DEFERIDO WESLIANE LACERDA DE ARAUJO 036***.***-** 7 INDEFERIDO CANDIDATO (A) NÃO APRESENTOU DECLARAÇÃO EXPEDIDA PELO GDF QUE COMPROVE RECEBIMENTO DE BENEFÍCIO DE PROGRAMA SOCIAL DE COMPLEMENTAÇÃO OU SUPLEMENTAÇÃO DE RENDA DO GDF (PRATO CHEIO E DF SOCIAL ) WELLINGTON MONTEIRO FERREIRA 023***.***-** 1 INDEFERIDO CANDIDATO (A) NÃO APRESENTOU FORMULÁRIO PARA PEDIDO DE ISENÇÃO ATUALIZADO COM A MARCAÇÃO ESCOLHIDA ISABELA DOMINGOS DA GLORIA 012***.***-** 7 DEFERIDO
  • 225.
    AMANDA TELES NUNES056***.***-** - INDEFERIDO CANDIDATO (A) NÃO APRESENTOU DECLARAÇÃO EXPEDIDA PELO GDF QUE COMPROVE RECEBIMENTO DE BENEFÍCIO DE PROGRAMA SOCIAL DE COMPLEMENTAÇÃO OU SUPLEMENTAÇÃO DE RENDA DO GDF (PRATO CHEIO E DF SOCIAL ) ANTONIO AIRTON MAGALHAES 552***.***-** 1 DEFERIDO ANTONIO AIRTON MAGALHAES 552***.***-** 7 DEFERIDO EDILSON FONTENELE ANGELO 042***.***-** 1 INDEFERIDO CANDIDATO (A) NÃO APRESENTOU COMPROVANTE DE PRESTAÇÃO DE SERVIÇOS À JUSTIÇA ELEITORAL POR, NO MÍNIMO, AS DUAS ELEIÇÕES E NÃO INFORMOU NO FORMULÁRIO O CARGO EDILSON FONTENELE ANGELO 042***.***-** 8 INDEFERIDO CANDIDATO (A) NÃO APRESENTOU COMPROVANTE DE PRESTAÇÃO DE SERVIÇOS À JUSTIÇA ELEITORAL POR, NO MÍNIMO, AS DUAS ELEIÇÕES E NÃO MANDOU OUTRO FORMULÁRIO DO SEGUNDO CARGO RAUL DE OLIVEIRA SILVA 048***.***-** 5 DEFERIDO RAUL DE OLIVEIRA SILVA 048***.***-** 1 DEFERIDO ISABELY SILVA LEMOS 085***.***-** 1 INDEFERIDO CANDIDATO (A) NÃO APRESENTOU DECLARAÇÃO EXPEDIDA PELO GDF QUE COMPROVE RECEBIMENTO DE BENEFÍCIO DE PROGRAMA SOCIAL DE COMPLEMENTAÇÃO OU SUPLEMENTAÇÃO DE RENDA DO GDF (PRATO CHEIO E DF SOCIAL ) EDILSON FONTENELE ANGELO 042***.***-** 1 INDEFERIDO ANTONIO AUGUSTO LIMA DE SOUSA 004***.***-** 1 DEFERIDO RAFAELA RODRIGUES DA SILVA 059***.***-** 2 INDEFERIDO CANDIDATO (A) NÃO APRESENTOU DECLARAÇÃO EXPEDIDA PELO GDF QUE COMPROVE RECEBIMENTO DE BENEFÍCIO DE PROGRAMA SOCIAL DE COMPLEMENTAÇÃO OU SUPLEMENTAÇÃO DE RENDA DO GDF (PRATO CHEIO E DF SOCIAL ) JOÃO RODRIGUES DE MORAIS JÚNIOR 515***.***-** 1 INDEFERIDO CANDIDATO (A) NÃO APRESENTOU DECLARAÇÃO EXPEDIDA PELO GDF QUE COMPROVE RECEBIMENTO DE BENEFÍCIO DE PROGRAMA SOCIAL DE COMPLEMENTAÇÃO OU SUPLEMENTAÇÃO DE RENDA DO GDF (PRATO CHEIO E DF SOCIAL ) LORENA ANDRADE NERES 056***.***-** 5 DEFERIDO DIENE INGRID DA SILVA -***.***-** - INDEFERIDO CANDIDATO (A) NÃO APRESENTOU DOCUMENTAÇÃO EXIGIDA KRISTIANE DE JESUS RIBEIRO 017***.***-** 8 DEFERIDO JUSCILENE MAIARA CARNEIRO DA CUNHA -***.***-** - INDEFERIDO CANDIDATO (A) NÃO APRESENTOU DOCUMENTAÇÃO EXIGIDA FERNANDA MATIAS DA CUNHA 816***.***-** 1 DEFERIDO FERNANDA MATIAS DA CUNHA 816***.***-** 1 DEFERIDO REMERSON DA SILVA SANTOS 065***.***-** 2 INDEFERIDO CANDIDATO (A) NÃO APRESENTOU DOCUMENTAÇÃO DE LAUDO MÉDICO DE ACORDO COM A MARCAÇÃO ESCOLHIDA EMERSON LEMOS DA SILVA -***.***-** - INDEFERIDO CANDIDATO (A) NÃO APRESENTOU DOCUMENTAÇÃO EXIGIDA
  • 226.
    PEDRO HENRIQUE RIBEIRODOS SANTOS -***.***-** - INDEFERIDO CANDIDATO (A) NÃO APRESENTOU FORMULARIO ATUAIZADO COMPROBATÓRIO DA ISENÇÃO DE ACORDO COM A POSSIBILIDADE ESCOLHIDA E RG JANETE DA SILVA LOPES 010***.***-** 1 DEFERIDO JANETE DA SILVA LOPES 010***.***-** 3 DEFERIDO ADELAINE SOUZA E SILVA 716***.***-** 1 DEFERIDO ADELAINE SOUZA E SILVA 716***.***-** 8 DEFERIDO FLAVIA BIANCA ANCHIETA PAZ 004***.***-** 1 INDEFERIDO CANDIDATO (A) NÃO APRESENTOU DOCUMENTAÇÃO EXIGIDA EM PDF FLAVIA BIANCA ANCHIETA PAZ 004***.***-** 5 INDEFERIDO CANDIDATO (A) NÃO APRESENTOU DOCUMENTAÇÃO EXIGIDA EM PDF GERSON ALXANDRE PAIVA 018***.***-** 8 DEFERIDO BRUNO GOMES FERREIRA 007***.***-** 1 DEFERIDO HÉLEM CAMILLY DA SILVA TEIXEIRA 087***.***-** 1 INDEFERIDO CANDIDATO (A) NÃO APRESENTOU DOCUMENTAÇÃO EXIGIDA EM PDF ELEN DE CARVALHO NASCIMENTO 046***.***-** 8 INDEFERIDO CANDIDATO (A) NÃO APRESENTOU DECLARAÇÃO EXPEDIDA PELO GDF QUE COMPROVE RECEBIMENTO DE BENEFÍCIO DE PROGRAMA SOCIAL DE COMPLEMENTAÇÃO OU SUPLEMENTAÇÃO DE RENDA DO GDF (PRATO CHEIO E DF SOCIAL ) RAQUEL SOUZA BATISTA 036***.***-** 8 DEFERIDO RAQUEL SOUZA BATISTA 036***.***-** 1 DEFERIDO ISLIANE FÉLIX FRANÇA 690***.***-** 1 INDEFERIDO CANDIDATO (A) NÃO APRESENTOU DECLARAÇÃO EXPEDIDA PELO GDF QUE COMPROVE RECEBIMENTO DE BENEFÍCIO DE PROGRAMA SOCIAL DE COMPLEMENTAÇÃO OU SUPLEMENTAÇÃO DE RENDA DO GDF (PRATO CHEIO E DF SOCIAL ) ISLIANE FÉLIX FRANÇA 690***.***-** 7 INDEFERIDO CANDIDATO (A) NÃO APRESENTOU DECLARAÇÃO EXPEDIDA PELO GDF QUE COMPROVE RECEBIMENTO DE BENEFÍCIO DE PROGRAMA SOCIAL DE COMPLEMENTAÇÃO OU SUPLEMENTAÇÃO DE RENDA DO GDF (PRATO CHEIO E DF SOCIAL ) ISRAEL JUNIOR DOS SANTOS CARDOSO 588***.***-** 1 DEFERIDO JESSICA OLIVEIRA DOS SANTOS CORREA 145***.***-** 2 INDEFERIDO CANDIDATO (A) NÃO APRESENTOU FORMULARIO ATUAIZADO COMPROBATÓRIO DA ISENÇÃO COM O NÚMERO DO CARGO E DOCUMENTAÇÃO COMPLETA EM PDF RUAN CARVALHO VIEIRA 074***.***-** 2 INDEFERIDO CANDIDATO (A) NÃO APRESENTOU FORMULARIO ATUAIZADO COMPROBATÓRIO DA ISENÇÃO COM O NÚMERO DO CARGO E DOCUMENTAÇÃO DE IDENTIFICAÇÃO WESLLEN ARAUJO SILVA 043***.***-** - INDEFERIDO CANDIDATO (A) NÃO APRESENTOU FORMULARIO ATUAIZADO COMPROBATÓRIO DA ISENÇÃO COM O NÚMERO DO CARGO ALEXANDRE SOARES DE BARROS 040***.***-** 1 DEFERIDO ALEXANDRE SOARES DE BARROS 040***.***-** 8 DEFERIDO JOICE INACIA DA SILVA 022***.***-** 1 DEFERIDO
  • 227.
    CLEUBIANE DE SOUSALIMA 050***.***-** 1 INDEFERIDO CANDIDATO (A) NÃO APRESENTOU DECLARAÇÃO EXPEDIDA PELO GDF QUE COMPROVE RECEBIMENTO DE BENEFÍCIO DE PROGRAMA SOCIAL DE COMPLEMENTAÇÃO OU SUPLEMENTAÇÃO DE RENDA DO GDF (PRATO CHEIO E DF SOCIAL ) JULIA CARVALHO LIMA 087***.***-** 1 INDEFERIDO CANDIDATO (A) NÃO APRESENTOU DOCUMENTAÇÃO DE LAUDO MÉDICO DE ACORDO COM A MARCAÇÃO ESCOLHIDA E RG JONATAS FERREIRA DOS SANTOS 013***.***-** 1 INDEFERIDO CANDIDATO (A) NÃO APRESENTOU DECLARAÇÃO EXPEDIDA PELO GDF QUE COMPROVE RECEBIMENTO DE BENEFÍCIO DE PROGRAMA SOCIAL DE COMPLEMENTAÇÃO OU SUPLEMENTAÇÃO DE RENDA DO GDF (PRATO CHEIO E DF SOCIAL ) JONATAS FERREIRA DOS SANTOS 013***.***-** 6 INDEFERIDO CANDIDATO (A) NÃO APRESENTOU DECLARAÇÃO EXPEDIDA PELO GDF QUE COMPROVE RECEBIMENTO DE BENEFÍCIO DE PROGRAMA SOCIAL DE COMPLEMENTAÇÃO OU SUPLEMENTAÇÃO DE RENDA DO GDF (PRATO CHEIO E DF SOCIAL ) LUCAS GALVAO MOURAO 057***.***-** 1 INDEFERIDO CANDIDATO (A) NÃO APRESENTOU DECLARAÇÃO EXPEDIDA PELO GDF QUE COMPROVE RECEBIMENTO DE BENEFÍCIO DE PROGRAMA SOCIAL DE COMPLEMENTAÇÃO OU SUPLEMENTAÇÃO DE RENDA DO GDF (PRATO CHEIO E DF SOCIAL ) RUAN CARVALHO VIEIRA 074***.***-** 1 INDEFERIDO CANDIDATO (A) NÃO APRESENTOU FORMULARIO ATUAIZADO COMPROBATÓRIO DA ISENÇÃO COM O NÚMERO DO CARGO E DOCUMENTO DE IDENTIFICAÇÃO NATHAN JULIO URANI DO NASCIMENTO 076***.***-** - INDEFERIDO CANDIDATO (A) NÃO APRESENTOU FORMULARIO ATUAIZADO COMPROBATÓRIO DA ISENÇÃO COM O NÚMERO DO CARGO E DOCUMENTO DE IDENTIFICAÇÃO DESCIO GAMA DE QUEIROZ JUNIOR 045***.***-** 1 INDEFERIDO CANDIDATO (A) NÃO APRESENTOU DOCUMENTAÇÃO EXIGIDA EM PDF DESCIO GAMA DE QUEIROZ JUNIOR 045***.***-** 2 INDEFERIDO CANDIDATO (A) NÃO APRESENTOU DOCUMENTAÇÃO EXIGIDA EM PDF JAQUELINE NUNES DOS SANTOS 052***.***-** 1 INDEFERIDO CANDIDATO (A) NÃO APRESENTOU DECLARAÇÃO EXPEDIDA PELO GDF QUE COMPROVE RECEBIMENTO DE BENEFÍCIO DE PROGRAMA SOCIAL DE COMPLEMENTAÇÃO OU SUPLEMENTAÇÃO DE RENDA DO GDF (PRATO CHEIO E DF SOCIAL ) JAQUELINE NUNES DOS SANTOS 052***.***-** 3 INDEFERIDO CANDIDATO (A) NÃO APRESENTOU DECLARAÇÃO EXPEDIDA PELO GDF QUE COMPROVE RECEBIMENTO DE BENEFÍCIO DE PROGRAMA SOCIAL DE COMPLEMENTAÇÃO OU SUPLEMENTAÇÃO DE RENDA DO GDF (PRATO CHEIO E DF SOCIAL ) THÁLYSON GEOVÂNNY CHRISOSTOMO 049***.***-** 1 INDEFERIDO CANDIDATO (A) NÃO APRESENTOU DOCUMENTAÇÃO EXIGIDA E FORMULARIO COM MARCAÇÃO ESCOLHIDA
  • 228.
    JEFFERSON DE SOUSASANTOS 050***.***-** 1 INDEFERIDO CANDIDATO (A) NÃO APRESENTOU DECLARAÇÃO EXPEDIDA PELO GDF QUE COMPROVE RECEBIMENTO DE BENEFÍCIO DE PROGRAMA SOCIAL DE COMPLEMENTAÇÃO OU SUPLEMENTAÇÃO DE RENDA DO GDF (PRATO CHEIO E DF SOCIAL ) ROBERTA ALVES SANTANA 030***.***-** 1 INDEFERIDO CANDIDATO (A) NÃO APRESENTOU DOCUMENTAÇÃO EXIGIDA DE ACORDO COM A OPÇÃO ESCOLHIDA NO FORMULARIO ROBERTA ALVES SANTANA 030***.***-** 3 INDEFERIDO CANDIDATO (A) NÃO APRESENTOU DOCUMENTAÇÃO EXIGIDA DE ACORDO COM A OPÇÃO ESCOLHIDA NO FORMULARIO DANIEL MARCOS DOS SANTOS 065***.***-** 1 INDEFERIDO CANDIDATO (A) NÃO APRESENTOU DECLARAÇÃO EXPEDIDA PELO GDF QUE COMPROVE RECEBIMENTO DE BENEFÍCIO DE PROGRAMA SOCIAL DE COMPLEMENTAÇÃO OU SUPLEMENTAÇÃO DE RENDA DO GDF (PRATO CHEIO E DF SOCIAL ) DANIEL MARCOS DOS SANTOS 065***.***-** 8 INDEFERIDO CANDIDATO (A) NÃO APRESENTOU DECLARAÇÃO EXPEDIDA PELO GDF QUE COMPROVE RECEBIMENTO DE BENEFÍCIO DE PROGRAMA SOCIAL DE COMPLEMENTAÇÃO OU SUPLEMENTAÇÃO DE RENDA DO GDF (PRATO CHEIO E DF SOCIAL ) THAMIRES EPAMINONDAS SANTOS 048***.***-** 1 INDEFERIDO CANDIDATO (A) NÃO APRESENTOU DECLARAÇÃO EXPEDIDA PELO GDF QUE COMPROVE RECEBIMENTO DE BENEFÍCIO DE PROGRAMA SOCIAL DE COMPLEMENTAÇÃO OU SUPLEMENTAÇÃO DE RENDA DO GDF (PRATO CHEIO E DF SOCIAL ) KAUAM MERINO AYRES ELAGE 014***.***-** 1 DEFERIDO MAURÍCIO RHUAN PIMENTEL FIQUEREDO 041***.***-** 1 INDEFERIDO CANDIDATO (A) NÃO APRESENTOU DECLARAÇÃO EXPEDIDA PELO GDF QUE COMPROVE RECEBIMENTO DE BENEFÍCIO DE PROGRAMA SOCIAL DE COMPLEMENTAÇÃO OU SUPLEMENTAÇÃO DE RENDA DO GDF (PRATO CHEIO E DF SOCIAL ) SAMUEL AZEVEDO MEIRELES 102***.***-** 6 DEFERIDO BARBARA NAYARA DANTAS OLIVEIRA 027***.***-** 1 DEFERIDO LUCAS ANDREY PEREIRA -***.***-** 1 INDEFERIDO CANDIDATO (A) NÃO APRESENTOU DOCUMENTAÇÃO EXIGIDA RG E FORMULARIO DE ISENÇÃO CAMILA FIGUEIREDO MENDES 026***.***-** 1 DEFERIDO MIKAELLEN ALMEIDA PEREIRA DA CONCEIÇÃO 076***.***-** 7 INDEFERIDO CANDIDATO (A) NÃO APRESENTOU DECLARAÇÃO EXPEDIDA PELO GDF QUE COMPROVE RECEBIMENTO DE BENEFÍCIO DE PROGRAMA SOCIAL DE COMPLEMENTAÇÃO OU SUPLEMENTAÇÃO DE RENDA DO GDF (PRATO CHEIO E DF SOCIAL ) MIKAELLEN ALMEIDA PEREIRA DA CONCEIÇÃO 076***.***-** 1 INDEFERIDO CANDIDATO (A) NÃO APRESENTOU DECLARAÇÃO EXPEDIDA PELO GDF QUE COMPROVE RECEBIMENTO DE BENEFÍCIO DE PROGRAMA SOCIAL DE COMPLEMENTAÇÃO OU SUPLEMENTAÇÃO DE RENDA DO GDF (PRATO CHEIO E DF SOCIAL )
  • 229.
    SHELY LOPES DESOUZA 004***.***-** 1 INDEFERIDO CANDIDATO (A) NÃO APRESENTOU DECLARAÇÃO EXPEDIDA PELO GDF QUE COMPROVE RECEBIMENTO DE BENEFÍCIO DE PROGRAMA SOCIAL DE COMPLEMENTAÇÃO OU SUPLEMENTAÇÃO DE RENDA DO GDF (PRATO CHEIO E DF SOCIAL ) CLAYLTON DE ABREU COSTA -***.***-** - INDEFERIDO CANDIDATO (A) NÃO APRESENTOU DOCUMENTAÇÃO EXIGIDA E FORMULARIO DE ISENÇÃO COM A OPÇÃO ESCOLHIDA CARLA RODRIGUES DA SILVA CAMPOS 019***.***-** - INDEFERIDO CANDIDATO (A) NÃO APRESENTOU DECLARAÇÃO EXPEDIDA PELO GDF QUE COMPROVE RECEBIMENTO DE BENEFÍCIO DE PROGRAMA SOCIAL DE COMPLEMENTAÇÃO OU SUPLEMENTAÇÃO DE RENDA DO GDF (PRATO CHEIO E DF SOCIAL ) AQUILA ISRAEL LOPES LAVAREDA 951***.***-** 6 DEFERIDO FERNANDA MARIA SILVA DE CARVALHO BEZERRA 038***.***-** 6 INDEFERIDO CANDIDATO (A) NÃO APRESENTOU DECLARAÇÃO EXPEDIDA PELO GDF QUE COMPROVE RECEBIMENTO DE BENEFÍCIO DE PROGRAMA SOCIAL DE COMPLEMENTAÇÃO OU SUPLEMENTAÇÃO DE RENDA DO GDF (PRATO CHEIO E DF SOCIAL ) CRISTINA LAURINDA VICENTE 960***.***-** 7 INDEFERIDO CANDIDATO (A) NÃO APRESENTOU DOCUMENTAÇÃO EXIGIDA ( CAD.ÚNICO) CRISTINA LAURINDA VICENTE 960***.***-** 1 INDEFERIDO CANDIDATO (A) NÃO APRESENTOU DOCUMENTAÇÃO EXIGIDA ( CAD.ÚNICO) DIANA FELIX DE ARAUJO 724***.***-** 1 DEFERIDO LEONARDO MESSIAS DOS SANTOS LOPES 032***.***-** 8 DEFERIDO LEONARDO MESSIAS DOS SANTOS LOPES 032***.***-** 1 DEFERIDO SÍLVIA MYLIUS LOPES 923***.***-** 1 INDEFERIDO CANDIDATO (A) NÃO APRESENTOU DOCUMENTAÇÃO EXIGIDA ( RG) VALQUENIA GOMES DE ANDRADE 774***.***-** 7 INDEFERIDO CANDIDATO (A) NÃO APRESENTOU DECLARAÇÃO EXPEDIDA PELO GDF QUE COMPROVE RECEBIMENTO DE BENEFÍCIO DE PROGRAMA SOCIAL DE COMPLEMENTAÇÃO OU SUPLEMENTAÇÃO DE RENDA DO GDF (PRATO CHEIO E DF SOCIAL E DOCUMENTAÇÃO INLEGIVEL ) VALQUENIA GOMES DE ANDRADE 774***.***-** 1 INDEFERIDO CANDIDATO (A) NÃO APRESENTOU DECLARAÇÃO EXPEDIDA PELO GDF QUE COMPROVE RECEBIMENTO DE BENEFÍCIO DE PROGRAMA SOCIAL DE COMPLEMENTAÇÃO OU SUPLEMENTAÇÃO DE RENDA DO GDF (PRATO CHEIO E DF SOCIAL E DOCUMENTAÇÃO INLEGIVEL ) MAGNA DE JESUS FERNANDA DE OLIVEIRA 058***.***-** 1 INDEFERIDO CANDIDATO (A) NÃO APRESENTOU DECLARAÇÃO EXPEDIDA PELO GDF QUE COMPROVE RECEBIMENTO DE BENEFÍCIO DE PROGRAMA SOCIAL DE COMPLEMENTAÇÃO OU SUPLEMENTAÇÃO DE RENDA DO GDF (PRATO CHEIO E DF SOCIAL ) MAGNA DE JESUS FERNANDA DE OLIVEIRA 058***.***-** 4 INDEFERIDO CANDIDATO (A) NÃO APRESENTOU DECLARAÇÃO EXPEDIDA PELO GDF QUE COMPROVE RECEBIMENTO DE BENEFÍCIO DE PROGRAMA SOCIAL DE COMPLEMENTAÇÃO OU SUPLEMENTAÇÃO DE RENDA DO GDF (PRATO CHEIO E DF SOCIAL )
  • 230.
    MICHELLE LOPES PONTES044***.***-** - INDEFERIDO CANDIDATO (A) NÃO APRESENTOU FORMULARIO ATUAIZADO COMPROBATÓRIO DA ISENÇÃO COM O NÚMERO E DECLARAÇÃO EXPEDIDA PELO GDF QUE COMPROVE RECEBIMENTO DE BENEFÍCIO DE PROGRAMA SOCIAL DE COMPLEMENTAÇÃO OU SUPLEMENTAÇÃO DE RENDA DO GDF (PRATO CHEIO E DF SOCIAL ) CARLOS SAMUEL BERTOLDO FERNANDES 064***.***-** 1 INDEFERIDO CANDIDATO (A) NÃO APRESENTOU DOCUMENTAÇÃO EXIGIDA COMPROVANTE DE CAD.ÚNICO ATUALIZADO KETLEY PAIVA CABRAL 038***.***-** 5 DEFERIDO SALVADORA SANTANA ALVES 935***.***-** 1 INDEFERIDO CANDIDATO (A) NÃO APRESENTOU COMPROVANTE DE PRESTAÇÃO DE SERVIÇOS À JUSTIÇA ELEITORAL POR, NO MÍNIMO, AS DUAS ELEIÇÕES DE ACORDO COM A OPÇÃO ESCOLHIDA MAIRA ALVIS DE OLIVEIRA FERNANDES 034***.***-** 1 INDEFERIDO CANDIDATO (A) NÃO APRESENTOU DECLARAÇÃO EXPEDIDA PELO GDF QUE COMPROVE RECEBIMENTO DE BENEFÍCIO DE PROGRAMA SOCIAL DE COMPLEMENTAÇÃO OU SUPLEMENTAÇÃO DE RENDA DO GDF (PRATO CHEIO E DF SOCIAL ) SARA SANTANA SANTOS 000***.***-** 2 INDEFERIDO CANDIDATO (A) NÃO APRESENTOU DOCUMENTAÇÃO DE LAUDO MÉDICO DE ACORDO COM A MARCAÇÃO ESCOLHIDA LEILA CRISTINA DE SOUZA ALVES 787***.***-** 1 DEFERIDO ISABELA MACHADO CAMPOS 046***.***-** 1 INDEFERIDO CANDIDATO (A) NÃO APRESENTOU DOCUMENTAÇÃO EXIGIDA ( RG) JANAINA DIAS DE OLIVEIRA 024***.***-** 5 DEFERIDO ADRIANA SOARES DOS SANTOS 042***.***-** 1 INDEFERIDO CANDIDATO (A) NÃO APRESENTOU DECLARAÇÃO EXPEDIDA PELO GDF QUE COMPROVE RECEBIMENTO DE BENEFÍCIO DE PROGRAMA SOCIAL DE COMPLEMENTAÇÃO OU SUPLEMENTAÇÃO DE RENDA DO GDF (PRATO CHEIO E DF SOCIAL ) RENATA DA ROCHA DE SOUZA 009***.***-** 1 DEFERIDO LUZIANE DOS SANTOS SILVA 002***.***-** 3 INDEFERIDO CANDIDATO (A) NÃO APRESENTOU DECLARAÇÃO EXPEDIDA PELO GDF QUE COMPROVE RECEBIMENTO DE BENEFÍCIO DE PROGRAMA SOCIAL DE COMPLEMENTAÇÃO OU SUPLEMENTAÇÃO DE RENDA DO GDF (PRATO CHEIO E DF SOCIAL ) DANIEL GOLCALVES PEREIRA 041***.***-** 1 DEFERIDO RENATA DA ROCHA DE SOUZA 009***.***-** 5 DEFERIDO NALIA RAMOS DOS SANTOS DA CRUZ 417***.***-** 2 INDEFERIDO CANDIDATO (A) NÃO APRESENTOU DECLARAÇÃO EXPEDIDA PELO GDF QUE COMPROVE RECEBIMENTO DE BENEFÍCIO DE PROGRAMA SOCIAL DE COMPLEMENTAÇÃO OU SUPLEMENTAÇÃO DE RENDA DO GDF (PRATO CHEIO E DF SOCIAL E COMPROVANTE DE CAD.ÚNICO ATUALIZADO ) PAULO HENRIQUE DE CASTRO SILVA 016***.***-** 1 DEFERIDO
  • 231.
    CLARA NATÁLIA SESTINIDO NASCIMENTO 493***.***-** 7 INDEFERIDO CANDIDATO (A) NÃO APRESENTOU DECLARAÇÃO EXPEDIDA PELO GDF QUE COMPROVE RECEBIMENTO DE BENEFÍCIO DE PROGRAMA SOCIAL DE COMPLEMENTAÇÃO OU SUPLEMENTAÇÃO DE RENDA DO GDF (PRATO CHEIO E DF SOCIAL ) EDILEIA AMARAL GONÇALVES NOGUEIRA 023***.***-** 1 DEFERIDO EDILEIA AMARAL GONÇALVES NOGUEIRA 023***.***-** 7 DEFERIDO RAYANE DOS SANTOS DE ARAUJO SOARES 043***.***-** 8 INDEFERIDO CANDIDATO (A) NÃO APRESENTOU DOCUMENTAÇÃO DE LAUDO MÉDICO DE ACORDO COM A MARCAÇÃO ESCOLHIDA WESLLEY LUAN PEREIRA BRITO 030***.***-** 1 INDEFERIDO CANDIDATO (A) NÃO APRESENTOU DOCUMENTAÇÃO DE LAUDO MÉDICO DE ACORDO COM A MARCAÇÃO ESCOLHIDA GILIANE FELICIA COSTA 090***.***-** 1 INDEFERIDO CANDIDATO (A) NÃO APRESENTOU DECLARAÇÃO EXPEDIDA PELO GDF QUE COMPROVE RECEBIMENTO DE BENEFÍCIO DE PROGRAMA SOCIAL DE COMPLEMENTAÇÃO OU SUPLEMENTAÇÃO DE RENDA DO GDF (PRATO CHEIO E DF SOCIAL ) GILIANE FELICIA COSTA 090***.***-** 7 INDEFERIDO CANDIDATO (A) NÃO APRESENTOU DECLARAÇÃO EXPEDIDA PELO GDF QUE COMPROVE RECEBIMENTO DE BENEFÍCIO DE PROGRAMA SOCIAL DE COMPLEMENTAÇÃO OU SUPLEMENTAÇÃO DE RENDA DO GDF (PRATO CHEIO E DF SOCIAL ) AMANDA DAYSE E SILVA 076***.***-** 1 DEFERIDO RODRIGO CHAVEIRO DA SILVA 071***.***-** 4 DEFERIDO ADRIANO NERES ALVES 042***.***-** 1 INDEFERIDO CANDIDATO (A) NÃO APRESENTOU DOCUMENTAÇÃO DE LAUDO MÉDICO DE ACORDO COM A MARCAÇÃO ESCOLHIDA JAQUELINE RODRIGUES DA CRUZ 704***.***-** 8 INDEFERIDO CANDIDATO (A) NÃO APRESENTOU DECLARAÇÃO EXPEDIDA PELO GDF QUE COMPROVE RECEBIMENTO DE BENEFÍCIO DE PROGRAMA SOCIAL DE COMPLEMENTAÇÃO OU SUPLEMENTAÇÃO DE RENDA DO GDF (PRATO CHEIO E DF SOCIAL ) GUSTAVO BEZERRA NERI 040***.***-** 1 DEFERIDO LIUTON PEREIRA DA SILVA FILHO 602***.***-** 1 DEFERIDO RAQUEL DA SILVA PEREIRA 052***.***-** 1 DEFERIDO RAQUEL DA SILVA PEREIRA 052***.***-** 2 DEFERIDO GABRIELA LEITE MEDEIROS LEMOS 060***.***-** 1 DEFERIDO LUCAS VINICIUS SA DE SOUZA 013***.***-** 1 INDEFERIDO CANDIDATO (A) NÃO APRESENTOU FORMULARIO ATUAIZADO COMPROBATÓRIO DA ISENÇÃO COM O NÚMERO DO CARGO LORENA FREITAS DOS SANTOS 057***.***-** 1 INDEFERIDO CANDIDATO (A) NÃO APRESENTOU DOCUMENTAÇÃO DE LAUDO MÉDICO DE ACORDO COM A MARCAÇÃO ESCOLHIDA E COMPROVANTE DE CAD.ÚNICO VANESSA ELEN DE SOUZA SANTOS 077***.***-** 1 INDEFERIDO CANDIDATO (A) NÃO APRESENTOU DOCUMENTAÇÃO DE LAUDO MÉDICO DE ACORDO COM A MARCAÇÃO ESCOLHIDA E COMPROVANTE DE CAD.ÚNICO
  • 232.
    PEDRO HENRIQUE MELODA SILVA 040***.***-** 1 INDEFERIDO CANDIDATO (A) NÃO APRESENTOU DECLARAÇÃO EXPEDIDA PELO GDF QUE COMPROVE RECEBIMENTO DE BENEFÍCIO DE PROGRAMA SOCIAL DE COMPLEMENTAÇÃO OU SUPLEMENTAÇÃO DE RENDA DO GDF (PRATO CHEIO E DF SOCIAL ) DANIELA DE FARIA SILVA 037***.***-** 1 INDEFERIDO CANDIDATO (A) NÃO APRESENTOU DOCUMENTAÇÃO DE LAUDO MÉDICO DE ACORDO COM A MARCAÇÃO ESCOLHIDA FABIANE NUNES MARTINS GONÇALVES 034***.***-** 7 INDEFERIDO CANDIDATO (A) NÃO APRESENTOU FORMULARIO ATUAIZADO COMPROBATÓRIO DA ISENÇÃO COM O NÚMERO DO CARGO ERIKA BORGES DOS REIS 359***.***-** 1 INDEFERIDO CANDIDATO (A) NÃO APRESENTOU DOCUMENTAÇÃO EXIGIDA ( RG) SIMONE VENANCIO DOS SANTOS XAVIER 837***.***-** 8 DEFERIDO RAFAELA MARTINS FERREIRA 044***.***-** 1 DEFERIDO MATHEUS RASPANTE FARIA 024***.***-** 8 DEFERIDO CLAUDIA MARIA PEREIRA 083***.***-** 1 DEFERIDO CLAUDIA MARIA PEREIRA 083***.***-** 4 DEFERIDO DIEGO TAYNAN TOMAZ FREITAS 034***.***-** 8 DEFERIDO DIEGO DOS SANTOS MENDES 039***.***-** 1 INDEFERIDO CANDIDATO (A) NÃO APRESENTOU DECLARAÇÃO EXPEDIDA PELO GDF QUE COMPROVE RECEBIMENTO DE BENEFÍCIO DE PROGRAMA SOCIAL DE COMPLEMENTAÇÃO OU SUPLEMENTAÇÃO DE RENDA DO GDF (PRATO CHEIO E DF SOCIAL ) DEBORA RAQUEL FREITAS DE SOUSA 054***.***-** 1 INDEFERIDO CANDIDATO (A) NÃO APRESENTOU DECLARAÇÃO EXPEDIDA PELO GDF QUE COMPROVE RECEBIMENTO DE BENEFÍCIO DE PROGRAMA SOCIAL DE COMPLEMENTAÇÃO OU SUPLEMENTAÇÃO DE RENDA DO GDF (PRATO CHEIO E DF SOCIAL ) LENEUDA PEREIRA CARVALCANTE 863***.***-** 1 INDEFERIDO CANDIDATO (A) NÃO APRESENTOU DOCUMENTAÇÃO DE LAUDO MÉDICO DE ACORDO COM A MARCAÇÃO ESCOLHIDA E COMPROVANTE DE CAD.ÚNICO DANIEL FERREIRA RODRIGUES 057***.***-** 7 DEFERIDO ADRIANA DA SILVA OLIVEIRA 035***.***-** 2 INDEFERIDO JULYANA BOTELHO DE OLIVEIRA 018***.***-** 2 DEFERIDO JÉSSICA VIEIRA DOS REIS 037***.***-** 1 DEFERIDO JÉSSICA VIEIRA DOS REIS 037***.***-** 2 DEFERIDO ROSILETE ALVES DAS NEVES 832***.***-** 1 INDEFERIDO CANDIDATO (A) NÃO APRESENTOU DOCUMENTAÇÃO DE LAUDO MÉDICO DE ACORDO COM A MARCAÇÃO ESCOLHIDA E COMPROVANTE DE CAD.ÚNICO PAULO CÉSAR FERNANDES 039***.***-** 1 INDEFERIDO CANDIDATO (A) NÃO APRESENTOU COMPROVANTE DO CAD.ÚNICO ELIENE DE LIMA SANTOS 974***.***-** 2 INDEFERIDO CANDIDATO (A) NÃO APRESENTOU DOCUMENTAÇÃO DE LAUDO MÉDICO DE ACORDO COM A MARCAÇÃO ESCOLHIDA NATHALYA EVELYN SILVA ARAUJO 044***.***-** 1 DEFERIDO NATHALYA EVELYN SILVA ARAUJO 044***.***-** 8 DEFERIDO DAYANE KELLY SOUSA DO REGO 012***.***-** 1 DEFERIDO RAIMUNDO NONATO DA SILVA 464***.***-** 1 DEFERIDO
  • 233.
    AMANDA APARECIDA BARBOSADA COSTA 021***.***-** 2 INDEFERIDO CANDIDATO (A) NÃO APRESENTOU DECLARAÇÃO EXPEDIDA PELO GDF QUE COMPROVE RECEBIMENTO DE BENEFÍCIO DE PROGRAMA SOCIAL DE COMPLEMENTAÇÃO OU SUPLEMENTAÇÃO DE RENDA DO GDF (PRATO CHEIO E DF SOCIAL ) MÁRCIA REJANE RODRIGUES MARQUES 881***.***-** 5 INDEFERIDO CANDIDATO (A) NÃO APRESENTOU DOCUMENTAÇÃO EXIGIDA ( RG) KEILA BEZERRA GUIMARÃES 712***.***-** - INDEFERIDO CANDIDATO (A) NÃO APRESENTOU DECLARAÇÃO EXPEDIDA PELO GDF QUE COMPROVE RECEBIMENTO DE BENEFÍCIO DE PROGRAMA SOCIAL DE COMPLEMENTAÇÃO OU SUPLEMENTAÇÃO DE RENDA DO GDF (PRATO CHEIO E DF SOCIAL ) JÚLIO CEZAR RODRIGUES DE OLIVEIRA 096***.***-** 3 DEFERIDO RENAN DOS SANTOS AZEVEDO 020***.***-** 7 INDEFERIDO CANDIDATO (A) NÃO APRESENTOU DECLARAÇÃO EXPEDIDA PELO GDF QUE COMPROVE RECEBIMENTO DE BENEFÍCIO DE PROGRAMA SOCIAL DE COMPLEMENTAÇÃO OU SUPLEMENTAÇÃO DE RENDA DO GDF (PRATO CHEIO E DF SOCIAL ) RENAN DOS SANTOS AZEVEDO 020***.***-** 1 INDEFERIDO CANDIDATO (A) NÃO APRESENTOU DECLARAÇÃO EXPEDIDA PELO GDF QUE COMPROVE RECEBIMENTO DE BENEFÍCIO DE PROGRAMA SOCIAL DE COMPLEMENTAÇÃO OU SUPLEMENTAÇÃO DE RENDA DO GDF (PRATO CHEIO E DF SOCIAL ) FRANCISCA EUDÓXIA FONTES IBIAPINA 284***.***-** - INDEFERIDO CANDIDATO (A) NÃO APRESENTOU DOCUMENTAÇÃO EXIGIDA BEATRIZ DOS SANTOS DE SOUSA 064***.***-** 8 INDEFERIDO CANDIDATO (A) NÃO APRESENTOU DECLARAÇÃO EXPEDIDA PELO GDF QUE COMPROVE RECEBIMENTO DE BENEFÍCIO DE PROGRAMA SOCIAL DE COMPLEMENTAÇÃO OU SUPLEMENTAÇÃO DE RENDA DO GDF (PRATO CHEIO E DF SOCIAL ) VALÉRIA ARAÚJO RODRIGUES 602***.***-** 1 INDEFERIDO CANDIDATO (A) NÃO APRESENTOU DECLARAÇÃO EXPEDIDA PELO GDF QUE COMPROVE RECEBIMENTO DE BENEFÍCIO DE PROGRAMA SOCIAL DE COMPLEMENTAÇÃO OU SUPLEMENTAÇÃO DE RENDA DO GDF (PRATO CHEIO E DF SOCIAL ) TALINE SOARES DE BRITO 016***.***-** 6 DEFERIDO TALINE SOARES DE BRITO 016***.***-** 1 DEFERIDO AMANDA KELLY OLIVEIRA DE LIMA 028***.***-** 1 DEFERIDO AMANDA KELLY OLIVEIRA DE LIMA 028***.***-** 7 DEFERIDO LARA BEATRIZ ALVES DA COSTA 043***.***-** 1 INDEFERIDO CANDIDATO (A) NÃO APRESENTOU DECLARAÇÃO EXPEDIDA PELO GDF QUE COMPROVE RECEBIMENTO DE BENEFÍCIO DE PROGRAMA SOCIAL DE COMPLEMENTAÇÃO OU SUPLEMENTAÇÃO DE RENDA DO GDF (PRATO CHEIO E DF SOCIAL ) ELGA FERREIRA DE FRANÇA 727***.***-** 8 INDEFERIDO CANDIDATO (A) NÃO APRESENTOU DECLARAÇÃO EXPEDIDA PELO GDF QUE COMPROVE RECEBIMENTO DE BENEFÍCIO DE PROGRAMA SOCIAL DE COMPLEMENTAÇÃO OU SUPLEMENTAÇÃO DE RENDA DO GDF (PRATO CHEIO E DF SOCIAL )
  • 234.
    LARISSA DE JESUSDA SILVA 033***.***-** 1 INDEFERIDO CANDIDATO (A) NÃO APRESENTOU DECLARAÇÃO EXPEDIDA PELO GDF QUE COMPROVE RECEBIMENTO DE BENEFÍCIO DE PROGRAMA SOCIAL DE COMPLEMENTAÇÃO OU SUPLEMENTAÇÃO DE RENDA DO GDF (PRATO CHEIO E DF SOCIAL ) LARISSA DE JESUS DA SILVA 033***.***-** 5 INDEFERIDO CANDIDATO (A) NÃO APRESENTOU DECLARAÇÃO EXPEDIDA PELO GDF QUE COMPROVE RECEBIMENTO DE BENEFÍCIO DE PROGRAMA SOCIAL DE COMPLEMENTAÇÃO OU SUPLEMENTAÇÃO DE RENDA DO GDF (PRATO CHEIO E DF SOCIAL ) MATHEUS VINÍCIUS DE SOUZA MARTINS 056***.***-** 3 INDEFERIDO CANDIDATO (A) NÃO APRESENTOU DOCUMENTAÇÃO DE LAUDO MÉDICO DE ACORDO COM A MARCAÇÃO ESCOLHIDA MARIA NEUSA ALVES DA SILVA 027***.***-** 8 DEFERIDO LUNARA APOLINARIO VASCONCELOS FAUSTINO 012***.***-** 1 INDEFERIDO CANDIDATO (A) NÃO APRESENTOU DECLARAÇÃO EXPEDIDA PELO GDF QUE COMPROVE RECEBIMENTO DE BENEFÍCIO DE PROGRAMA SOCIAL DE COMPLEMENTAÇÃO OU SUPLEMENTAÇÃO DE RENDA DO GDF (PRATO CHEIO E DF SOCIAL ) DANIEL TORRES DA SILVA -***.***-** - INDEFERIDO CANDIDATO (A) NÃO APRESENTOU DOCUMENTAÇÃO EXIGIDA SAMARA PEREIRA DOS SANTOS 751***.***-** 1 INDEFERIDO CANDIDATO (A) NÃO APRESENTOU DECLARAÇÃO EXPEDIDA PELO GDF QUE COMPROVE RECEBIMENTO DE BENEFÍCIO DE PROGRAMA SOCIAL DE COMPLEMENTAÇÃO OU SUPLEMENTAÇÃO DE RENDA DO GDF (PRATO CHEIO E DF SOCIAL ) FLAVIA CRISTINA DA SILVA CARVALHO 791***.***-** 1 INDEFERIDO CANDIDATO (A) NÃO APRESENTOU DOCUMENTAÇÃO EXIGIDA EM PDF CAROLINE DA ROCHA SÁ 067***.***-** 7 INDEFERIDO CANDIDATO (A) NÃO APRESENTOU DECLARAÇÃO EXPEDIDA PELO GDF QUE COMPROVE RECEBIMENTO DE BENEFÍCIO DE PROGRAMA SOCIAL DE COMPLEMENTAÇÃO OU SUPLEMENTAÇÃO DE RENDA DO GDF (PRATO CHEIO E DF SOCIAL E RG) INALDA MARIA DE SOUSA 334***.***-** 1 INDEFERIDO CANDIDATO (A) NÃO APRESENTOU COMPROVANTE DO CAD.ÚNICO INALDA MARIA DE SOUSA 334***.***-** 5 INDEFERIDO CANDIDATO (A) NÃO APRESENTOU COMPROVANTE DO CAD.ÚNICO DAPHNE SARAH GOMES JACOB MENDES 065***.***-** 1 DEFERIDO DAPHNE SARAH GOMES JACOB MENDES 065***.***-** 1 DEFERIDO LUCIANA PEREIRA CARDOSO 071***.***-** - INDEFERIDO CANDIDATO (A) NÃO APRESENTOU COMPROVANTE DO CAD.ÚNICO E FORMULARIO COM O NÚMERO DO CARGO ROSILDA DE MELO OLIVEIRA CLAUDINO 005***.***-** 1 DEFERIDO IEDA ALMEIDA LACERDA FARIAS 991***.***-** 5 INDEFERIDO CANDIDATO (A) NÃO APRESENTOU DOCUMENTAÇÃO DE ACORDO COM A MARCAÇÃO ESCOLHIDA LAIZA MARIA CARVALHO DA GAMA 743***.***-** 1 INDEFERIDO CANDIDATO (A) NÃO APRESENTOU DOCUMENTAÇÃO EXIGIDA EM PDF LAIZA MARIA CARVALHO DA GAMA 743***.***-** 6 INDEFERIDO CANDIDATO (A) NÃO APRESENTOU DOCUMENTAÇÃO EXIGIDA EM PDF
  • 235.
    LILIANE PEREIRA DACONCEIÇÃO MOTA 044***.***-** 7 INDEFERIDO CANDIDATO (A) NÃO APRESENTOU DECLARAÇÃO EXPEDIDA PELO GDF QUE COMPROVE RECEBIMENTO DE BENEFÍCIO DE PROGRAMA SOCIAL DE COMPLEMENTAÇÃO OU SUPLEMENTAÇÃO DE RENDA DO GDF (PRATO CHEIO E DF SOCIAL ) IVONICE DE SOUZA SANTOS 042***.***-** 1 INDEFERIDO CANDIDATO (A) NÃO APRESENTOU DECLARAÇÃO EXPEDIDA PELO GDF QUE COMPROVE RECEBIMENTO DE BENEFÍCIO DE PROGRAMA SOCIAL DE COMPLEMENTAÇÃO OU SUPLEMENTAÇÃO DE RENDA DO GDF (PRATO CHEIO E DF SOCIAL ) TIAGO SILVA BARROS 040***.***-** 1 DEFERIDO ALLAN WILLIAM LUSTOSA TELES 240***.***-** 1 DEFERIDO DENILSON MARIANO DE OLIVEIRA 735***.***-** 1 DEFERIDO NATHALIA LAYSSA MELO CORREIA 086***.***-** - INDEFERIDO CANDIDATO (A) NÃO APRESENTOU DECLARAÇÃO EXPEDIDA PELO GDF QUE COMPROVE RECEBIMENTO DE BENEFÍCIO DE PROGRAMA SOCIAL DE COMPLEMENTAÇÃO OU SUPLEMENTAÇÃO DE RENDA DO GDF (PRATO CHEIO E DF SOCIAL E FORMULARIO COM NÚMERO DO CARGO) LUCIMEIRE DE SOUZA RODRIGUES 787***.***-** 1 DEFERIDO LUCIMEIRE DE SOUZA RODRIGUES 787***.***-** 8 DEFERIDO DENILSON MARIANO DE OLIVEIRA 735***.***-** 2 DEFERIDO TAÍS COUTO SILVA MENDONÇA 044***.***-** 1 INDEFERIDO CANDIDATO (A) NÃO APRESENTOU FORMULARIO DOCUMENTAÇÃO DE ACORDO COM A MARCAÇÃO ESCOLHIDA TAÍS COUTO SILVA MENDONÇA 044***.***-** 3 INDEFERIDO CANDIDATO (A) NÃO APRESENTOU FORMULARIO DOCUMENTAÇÃO DE ACORDO COM A MARCAÇÃO ESCOLHIDA STEFANI CASTRO DA SILVA 048***.***-** 1 INDEFERIDO CANDIDATO (A) NÃO APRESENTOU DOCUMENTAÇÃO DE LAUDO MÉDICO DE ACORDO COM A MARCAÇÃO ESCOLHIDA ANDREIA MARIA DOS SANTOS 858***.***-** 1 DEFERIDO CLEVERSON VIEIRA DA SILVA 073***.***-** 7 INDEFERIDO CANDIDATO (A) NÃO APRESENTOU DOCUMENTAÇÃO EXIGIDA RG JESSSICA SILVA TELES FARRAPO 054***.***-** 1 INDEFERIDO CANDIDATO (A) NÃO APRESENTOU FORMULARIO DOCUMENTAÇÃO COM A MARCAÇÃO ESCOLHIDA JESSSICA SILVA TELES FARRAPO 054***.***-** 7 INDEFERIDO CANDIDATO (A) NÃO APRESENTOU FORMULARIO DOCUMENTAÇÃO COM A MARCAÇÃO ESCOLHIDA EDUARDO AUGUSTO ALCOFORADO BRAGA 726***.***-** 1 DEFERIDO EDUARDO AUGUSTO ALCOFORADO BRAGA 726***.***-** 8 DEFERIDO ELIANA PAIVA DA SILVA 573***.***-** 2 DEFERIDO ELIANA PAIVA DA SILVA 573***.***-** 1 DEFERIDO ELIANY DOS SANTOS DO CARMO 903***.***-** 7 INDEFERIDO CANDIDATO (A) NÃO APRESENTOU DECLARAÇÃO EXPEDIDA PELO GDF QUE COMPROVE RECEBIMENTO DE BENEFÍCIO DE PROGRAMA SOCIAL DE COMPLEMENTAÇÃO OU SUPLEMENTAÇÃO DE RENDA DO GDF (PRATO CHEIO E DF SOCIAL )
  • 236.
    VITTOR LAERCIO DOSSANTOS PINTO 047***.***-** 1 INDEFERIDO CANDIDATO (A) NÃO APRESENTOU DECLARAÇÃO EXPEDIDA PELO GDF QUE COMPROVE RECEBIMENTO DE BENEFÍCIO DE PROGRAMA SOCIAL DE COMPLEMENTAÇÃO OU SUPLEMENTAÇÃO DE RENDA DO GDF (PRATO CHEIO E DF SOCIAL ) CINTIA CASSIA DE SOUSA BENIGNO 834***.***-** 1 DEFERIDO CINTIA CASSIA DE SOUSA BENIGNO 834***.***-** 8 DEFERIDO RAYLANE RUTH DE SOUSA BARRETO 055***.***-** 6 DEFERIDO EMANUEL MOREIRA DOS ANJOS 048***.***-** 1 INDEFERIDO CANDIDATO (A) NÃO APRESENTOU DECLARAÇÃO EXPEDIDA PELO GDF QUE COMPROVE RECEBIMENTO DE BENEFÍCIO DE PROGRAMA SOCIAL DE COMPLEMENTAÇÃO OU SUPLEMENTAÇÃO DE RENDA DO GDF (PRATO CHEIO E DF SOCIAL ) CRISTIANE SILVA DE MOURA 023***.***-** 1 DEFERIDO CRISTIANE SILVA DE MOURA 023***.***-** 8 DEFERIDO LARISSA JHENNIFER VILARINS DE OLIVEIRA 044***.***-** 5 INDEFERIDO CANDIDATO (A) NÃO APRESENTOU DECLARAÇÃO EXPEDIDA PELO GDF QUE COMPROVE RECEBIMENTO DE BENEFÍCIO DE PROGRAMA SOCIAL DE COMPLEMENTAÇÃO OU SUPLEMENTAÇÃO DE RENDA DO GDF (PRATO CHEIO E DF SOCIAL ) LARISSA JHENNIFER VILARINS DE OLIVEIRA 044***.***-** 1 INDEFERIDO CANDIDATO (A) NÃO APRESENTOU DECLARAÇÃO EXPEDIDA PELO GDF QUE COMPROVE RECEBIMENTO DE BENEFÍCIO DE PROGRAMA SOCIAL DE COMPLEMENTAÇÃO OU SUPLEMENTAÇÃO DE RENDA DO GDF (PRATO CHEIO E DF SOCIAL ) UELCIA GOLÇALVES ALVES 698***.***-** 1 INDEFERIDO CANDIDATO (A) NÃO APRESENTOU DECLARAÇÃO EXPEDIDA PELO GDF QUE COMPROVE RECEBIMENTO DE BENEFÍCIO DE PROGRAMA SOCIAL DE COMPLEMENTAÇÃO OU SUPLEMENTAÇÃO DE RENDA DO GDF (PRATO CHEIO E DF SOCIAL ) UELCIA GOLÇALVES ALVES 698***.***-** 7 INDEFERIDO CANDIDATO (A) NÃO APRESENTOU DECLARAÇÃO EXPEDIDA PELO GDF QUE COMPROVE RECEBIMENTO DE BENEFÍCIO DE PROGRAMA SOCIAL DE COMPLEMENTAÇÃO OU SUPLEMENTAÇÃO DE RENDA DO GDF (PRATO CHEIO E DF SOCIAL ) TAIRINE MELO COSTA 050***.***-** 1 DEFERIDO TAIRINE MELO COSTA 050***.***-** 5 DEFERIDO ALESSANDRO PEREIRA ALVES 584***.***-** 1 DEFERIDO PAULA DE CASTRO NOBRE 992***.***-** - INDEFERIDO CANDIDATO (A) NÃO APRESENTOU FORMULARIO COM O NÚMERO DO CARGO GUILHERME JUSTINIANO GOMES 04***.***-** 1 DEFERIDO GABRIELA ALVES OLIVEIRA 065***.***-** 1 INDEFERIDO CANDIDATO (A) NÃO APRESENTOU DECLARAÇÃO EXPEDIDA PELO GDF QUE COMPROVE RECEBIMENTO DE BENEFÍCIO DE PROGRAMA SOCIAL DE COMPLEMENTAÇÃO OU SUPLEMENTAÇÃO DE RENDA DO GDF (PRATO CHEIO E DF SOCIAL )
  • 237.
    YASMIN DE OLIVEIRAALVES 067***.***-** 6 INDEFERIDO CANDIDATO (A) NÃO APRESENTOU DECLARAÇÃO EXPEDIDA PELO GDF QUE COMPROVE RECEBIMENTO DE BENEFÍCIO DE PROGRAMA SOCIAL DE COMPLEMENTAÇÃO OU SUPLEMENTAÇÃO DE RENDA DO GDF (PRATO CHEIO E DF SOCIAL ) JULIANA CARVALHO DE ARAUJO 886***.***-** 1 INDEFERIDO CANDIDATO (A) NÃO APRESENTOU DECLARAÇÃO EXPEDIDA PELO GDF QUE COMPROVE RECEBIMENTO DE BENEFÍCIO DE PROGRAMA SOCIAL DE COMPLEMENTAÇÃO OU SUPLEMENTAÇÃO DE RENDA DO GDF (PRATO CHEIO E DF SOCIAL ) JULIANA CARVALHO DE ARAUJO 886***.***-** 2 INDEFERIDO CANDIDATO (A) NÃO APRESENTOU DECLARAÇÃO EXPEDIDA PELO GDF QUE COMPROVE RECEBIMENTO DE BENEFÍCIO DE PROGRAMA SOCIAL DE COMPLEMENTAÇÃO OU SUPLEMENTAÇÃO DE RENDA DO GDF (PRATO CHEIO E DF SOCIAL ) GABRIELA OLIVEIRA COSTA 05***.***-** 1 DEFERIDO GABRIELA OLIVEIRA COSTA 05***.***-** 8 DEFERIDO DEYSE CARNAUBA SANTOS 845***.***-** 1 DEFERIDO ALESSANDRA PEREIRA ALVES 085***.***-** 2 INDEFERIDO CANDIDATO (A) NÃO APRESENTOU DECLARAÇÃO EXPEDIDA PELO GDF QUE COMPROVE RECEBIMENTO DE BENEFÍCIO DE PROGRAMA SOCIAL DE COMPLEMENTAÇÃO OU SUPLEMENTAÇÃO DE RENDA DO GDF (PRATO CHEIO E DF SOCIAL ) MARIA EDUARDA DE SOUSA LOPES 084***.***-** 6 DEFERIDO ANA CLAUDIA MOTA DE SOUSA MOREIRA 932***.***-** 7 INDEFERIDO CANDIDATO (A) NÃO APRESENTOU DOCUMENTAÇÃO EXIGIDA EM PDF FERNANDA OLIVEIRA DA SILVA -***.***-** - INDEFERIDO CANDIDATO (A) NÃO APRESENTOU FORMULARIO COM O NÚMERO DO CARGO E RG EDVALDO RIBEIRO SOUZA -***.***-** - INDEFERIDO CANDIDATO (A) NÃO ENVIOU DOCUMENTAÇÃO QUE FOI POSSIVEL ACESSO( SENDO ARQUIVO EM NUVEM) GERLANDIA MIGUEL DA SILVA 012***.***-** 8 INDEFERIDO CANDIDATO (A) NÃO APRESENTOU DECLARAÇÃO EXPEDIDA PELO GDF QUE COMPROVE RECEBIMENTO DE BENEFÍCIO DE PROGRAMA SOCIAL DE COMPLEMENTAÇÃO OU SUPLEMENTAÇÃO DE RENDA DO GDF (PRATO CHEIO E DF SOCIAL ) GERLANDIA MIGUEL DA SILVA 012***.***-** 1 INDEFERIDO CANDIDATO (A) NÃO APRESENTOU DECLARAÇÃO EXPEDIDA PELO GDF QUE COMPROVE RECEBIMENTO DE BENEFÍCIO DE PROGRAMA SOCIAL DE COMPLEMENTAÇÃO OU SUPLEMENTAÇÃO DE RENDA DO GDF (PRATO CHEIO E DF SOCIAL ) DANILO AGUIAR ALMEIDA 000***.***-** 1 DEFERIDO PAULA VANESSA TEIXEIRA DE ALMEIDA 005***.***-** 1 DEFERIDO PAULA VANESSA TEIXEIRA DE ALMEIDA 005***.***-** 5 DEFERIDO GISLANE FERREIRA DOS SANTOS 047***.***-** 1 INDEFERIDO CANDIDATO (A) NÃO APRESENTOU DOCUMENTAÇÃO DE LAUDO MÉDICO DE ACORDO COM A MARCAÇÃO ESCOLHIDA JANAILDE DOS SANTOS SOUSA 035***.***-** 3 DEFERIDO
  • 238.
    DHULLYELLEN ESTEFANE SILVABRITO 060***.***-** 1 INDEFERIDO CANDIDATO (A) NÃO APRESENTOU DECLARAÇÃO EXPEDIDA PELO GDF QUE COMPROVE RECEBIMENTO DE BENEFÍCIO DE PROGRAMA SOCIAL DE COMPLEMENTAÇÃO OU SUPLEMENTAÇÃO DE RENDA DO GDF (PRATO CHEIO E DF SOCIAL ) ANA PAULA FERREIRA DO NASCIMENTO 957***.***-** 6 DEFERIDO LETICIA GOMES XAVIER 213***.***-** 1 DEFERIDO ELIANE FEITOSA FERREIRA 707***.***-** 8 INDEFERIDO CANDIDATO (A) NÃO APRESENTOU COMPROVANTE DO CAD.ÚNICO E LAUDO MÉDICO ALINE MARIA DA SILVA MENDONÇA 136***.***-** 1 DEFERIDO GIZELE MARIA ORNELAS 906***.***-** 2 INDEFERIDO CANDIDATO (A) NÃO APRESENTOU DECLARAÇÃO EXPEDIDA PELO GDF QUE COMPROVE RECEBIMENTO DE BENEFÍCIO DE PROGRAMA SOCIAL DE COMPLEMENTAÇÃO OU SUPLEMENTAÇÃO DE RENDA DO GDF (PRATO CHEIO E DF SOCIAL ) SAMUEL CAMPOS NOGUEIRA 075***.***-** 8 DEFERIDO RAFAEL MELQUIADES FERREIRA DE ARAUJO 899***.***-** 3 INDEFERIDO CANDIDATO (A) NÃO APRESENTOU DECLARAÇÃO EXPEDIDA PELO GDF QUE COMPROVE RECEBIMENTO DE BENEFÍCIO DE PROGRAMA SOCIAL DE COMPLEMENTAÇÃO OU SUPLEMENTAÇÃO DE RENDA DO GDF (PRATO CHEIO E DF SOCIAL ) ISABELA DE SOUZA NASCIMENTO 069***.***-** 8 INDEFERIDO CANDIDATO (A) NÃO APRESENTOU DECLARAÇÃO EXPEDIDA PELO GDF QUE COMPROVE RECEBIMENTO DE BENEFÍCIO DE PROGRAMA SOCIAL DE COMPLEMENTAÇÃO OU SUPLEMENTAÇÃO DE RENDA DO GDF (PRATO CHEIO E DF SOCIAL ) ERILENE SEABRA GUIMARAES 950***.***-** 7 INDEFERIDO CANDIDATO (A) NÃO APRESENTOU DECLARAÇÃO EXPEDIDA PELO GDF QUE COMPROVE RECEBIMENTO DE BENEFÍCIO DE PROGRAMA SOCIAL DE COMPLEMENTAÇÃO OU SUPLEMENTAÇÃO DE RENDA DO GDF (PRATO CHEIO E DF SOCIAL ) FRANCISCA LILIA ALVES CORDEIRO 002***.***-** - INDEFERIDO CANDIDATO (A) NÃO APRESENTOU FORMULARIO DA ISENÇÃO COM O NÚMERO DO CARGO E OPÇÃO ESCOLHIDA IZABELA BARBOSA DIAS 057***.***-** 1 INDEFERIDO CANDIDATO (A) NÃO APRESENTOU DECLARAÇÃO EXPEDIDA PELO GDF QUE COMPROVE RECEBIMENTO DE BENEFÍCIO DE PROGRAMA SOCIAL DE COMPLEMENTAÇÃO OU SUPLEMENTAÇÃO DE RENDA DO GDF (PRATO CHEIO E DF SOCIAL ) IZABELA BARBOSA DIAS 057***.***-** 7 INDEFERIDO CANDIDATO (A) NÃO APRESENTOU DECLARAÇÃO EXPEDIDA PELO GDF QUE COMPROVE RECEBIMENTO DE BENEFÍCIO DE PROGRAMA SOCIAL DE COMPLEMENTAÇÃO OU SUPLEMENTAÇÃO DE RENDA DO GDF (PRATO CHEIO E DF SOCIAL ) ISABELA JESUS SANTOS DA SILVA -***.***-** 8 INDEFERIDO CANDIDATO (A) NÃO APRESENTOU FORMULARIO COM O NÚMERO DO CARGO E OPÇÃO ESCOLHIDA
  • 239.
    ALECIDES FERNANDES CHAVES987***.***-** 6 INDEFERIDO CANDIDATO (A) NÃO APRESENTOU DECLARAÇÃO EXPEDIDA PELO GDF QUE COMPROVE RECEBIMENTO DE BENEFÍCIO DE PROGRAMA SOCIAL DE COMPLEMENTAÇÃO OU SUPLEMENTAÇÃO DE RENDA DO GDF (PRATO CHEIO E DF SOCIAL ) CAROLINE MOTA DA SILVA 032***.***-** 5 DEFERIDO CAROLINE MOTA DA SILVA 032***.***-** 1 DEFERIDO AQUELIANA FERREIRA DA SILVA SANTOS 032***.***-** 1 INDEFERIDO CANDIDATO (A) NÃO APRESENTOU DECLARAÇÃO EXPEDIDA PELO GDF QUE COMPROVE RECEBIMENTO DE BENEFÍCIO DE PROGRAMA SOCIAL DE COMPLEMENTAÇÃO OU SUPLEMENTAÇÃO DE RENDA DO GDF (PRATO CHEIO E DF SOCIAL ) CRISTIANE CARVALHO BARROSO 957***.***-** 2 DEFERIDO KAMILA PEREIRA DE LIMA 007***.***-** 8 DEFERIDO REGIANE BARROS MANDÚ 000***.***-** 1 DEFERIDO LUCAS SALES XAVIER 058***.***-** 1 DEFERIDO IVANE ALMEIDA DA SILVA 871***.***-** 1 DEFERIDO MARCELO DOS SANTOS CARDOSO 724***.***-** 1 DEFERIDO MARCELO DOS SANTOS CARDOSO 724***.***-** 7 DEFERIDO LEIDIANE DOS SANTOS MATOS 024***.***-** 1 INDEFERIDO CANDIDATO (A) NÃO APRESENTOU DOCUMENTAÇÃO DE LAUDO MÉDICO DE ACORDO COM A MARCAÇÃO ESCOLHIDA LUCIANA RODRIGUES DOS REIS 046***.***-** 1 DEFERIDO CAROLINI PONTARA FAÉ 125***.***-** 1 INDEFERIDO CANDIDATO (A) NÃO APRESENTOU COMPROVANTE DE PRESTAÇÃO DE SERVIÇOS À JUSTIÇA ELEITORAL POR, NO MÍNIMO, AS DUAS ELEIÇÕES FRANCINETE SOUSA LIMA 481***.***-** 6 INDEFERIDO CANDIDATO (A) NÃO APRESENTOU DOCUMENTAÇÃO DE LAUDO MÉDICO DE ACORDO COM A MARCAÇÃO ESCOLHIDA E RG JESSICA MARIA DOS SANTOS 055***.***-** 1 INDEFERIDO CANDIDATO (A) NÃO APRESENTOU DECLARAÇÃO EXPEDIDA PELO GDF QUE COMPROVE RECEBIMENTO DE BENEFÍCIO DE PROGRAMA SOCIAL DE COMPLEMENTAÇÃO OU SUPLEMENTAÇÃO DE RENDA DO GDF (PRATO CHEIO E DF SOCIAL ) DANILO RODRIGUES SILVA 898***.***-** - INDEFERIDO CANDIDATO (A) NÃO APRESENTOU DECLARAÇÃO EXPEDIDA PELO GDF QUE COMPROVE RECEBIMENTO DE BENEFÍCIO DE PROGRAMA SOCIAL DE COMPLEMENTAÇÃO OU SUPLEMENTAÇÃO DE RENDA DO GDF (PRATO CHEIO E DF SOCIAL E DOCUMENTAÇÃO COMPLETA EM PDF RAFAEL CARVALHO RAMOS 022***.***-** 1 DEFERIDO ALEXANDER ALVES QUEIROZ 334***.***-** 7 INDEFERIDO CANDIDATO (A) NÃO APRESENTOU DECLARAÇÃO EXPEDIDA PELO GDF QUE COMPROVE RECEBIMENTO DE BENEFÍCIO DE PROGRAMA SOCIAL DE COMPLEMENTAÇÃO OU SUPLEMENTAÇÃO DE RENDA DO GDF (PRATO CHEIO E DF SOCIAL E DOCUMENTAÇÃO COMPLETA EM PDF MARIA DE FATIMA RAMOS COELHO 888***.***-** 1 INDEFERIDO CANDIDATO (A) NÃO APRESENTOU DOCUMENTAÇÃO DE LAUDO MÉDICO DE ACORDO COM A MARCAÇÃO ESCOLHIDA E RG
  • 240.
    DAVI SILVA GOMES056***.***-** 1 DEFERIDO CARLOS VINICIUS DA SILVA 512***.***-** 2 INDEFERIDO CANDIDATO (A) NÃO APRESENTOU DECLARAÇÃO EXPEDIDA PELO GDF QUE COMPROVE RECEBIMENTO DE BENEFÍCIO DE PROGRAMA SOCIAL DE COMPLEMENTAÇÃO OU SUPLEMENTAÇÃO DE RENDA DO GDF (PRATO CHEIO E DF SOCIAL E DOCUMENTAÇÃO COMPLETA EM PDF NIELE RIBEIRO CARDOSO 015***.***-** 1 DEFERIDO MAURO SERGIO DE SOUZA DA SILVA 028***.***-** 1 DEFERIDO RONEI ALVES DE BRITO -***.***-** - INDEFERIDO CANDIDATO (A) NÃO APRESENTOU DOCUMENTAÇÃO EXIGIDA RG MARIA LUCIA MOREIRA DE SOUZA LIMA -***.***-** - INDEFERIDO CANDIDATO (A) NÃO ENVIOU DOCUMENTAÇÃO QUE FOI POSSIVEL ACESSO( SENDO ARQUIVO EM NUVEM) YURI LORRAN BRAGA CUNHA 108***.***-** 1 DEFERIDO LACY KRYSHNA VIAS DE OLIVEIRA 041***.***-** 8 INDEFERIDO CANDIDATO (A) NÃO APRESENTOU DOCUMENTAÇÃO EXIGIDA DE ACORDO COM A OPÇÃO ESCOLHIDA NO FORMULARIO JESSICA SILVA TELES FARRAPO 054***.***-** 1 INDEFERIDO CANDIDATO (A) NÃO APRESENTOU DECLARAÇÃO EXPEDIDA PELO GDF QUE COMPROVE RECEBIMENTO DE BENEFÍCIO DE PROGRAMA SOCIAL DE COMPLEMENTAÇÃO OU SUPLEMENTAÇÃO DE RENDA DO GDF (PRATO CHEIO E DF SOCIAL ) SIRLENE OLIVEIRA DE SOUZA 790***.***-** 1 INDEFERIDO CANDIDATO (A) NÃO APRESENTOU DOCUMENTAÇÃO EXIGIDA COM A OPÇÃO ESCOLHIDA NO FORMULARIO JADE LEAL CARDOSO BARBEDO 032***.***-** 1 DEFERIDO NOEMIA DOS ANJOS SANTOS 692***.***-** 1 DEFERIDO NOEMIA DOS ANJOS SANTOS 692***.***-** 3 DEFERIDO VITORIA CRISTIANE DE SOUSA SANTOS 026***.***-** 1 INDEFERIDO CANDIDATO (A) NÃO APRESENTOU DOCUMENTAÇÃO DE LAUDO MÉDICO DE ACORDO COM A MARCAÇÃO ESCOLHIDA GABRIELLY LUDIMILLY RIBEIRO GONÇALVES 059***.***-** 1 DEFERIDO GABRIELLY LUDIMILLY RIBEIRO GONÇALVES 059***.***-** 8 DEFERIDO THIAGO COSTA SILVA 013***.***-** 1 DEFERIDO RAIANA ROCHA DE SOUZA 024***.***-** 1 DEFERIDO RAIANA ROCHA DE SOUZA 024***.***-** 8 DEFERIDO SILVIA MARIA DA SILVA 478***.***-** 5 INDEFERIDO CANDIDATO (A) NÃO APRESENTOU DECLARAÇÃO EXPEDIDA PELO GDF QUE COMPROVE RECEBIMENTO DE BENEFÍCIO DE PROGRAMA SOCIAL DE COMPLEMENTAÇÃO OU SUPLEMENTAÇÃO DE RENDA DO GDF (PRATO CHEIO E DF SOCIAL ) EDILA PEREIRA ARAUJO 803***.***-** 1 INDEFERIDO CANDIDATO (A) NÃO APRESENTOU DECLARAÇÃO EXPEDIDA PELO GDF QUE COMPROVE RECEBIMENTO DE BENEFÍCIO DE PROGRAMA SOCIAL DE COMPLEMENTAÇÃO OU SUPLEMENTAÇÃO DE RENDA DO GDF (PRATO CHEIO E DF SOCIAL )
  • 241.
    EDILA PEREIRA ARAUJO803***.***-** 5 INDEFERIDO CANDIDATO (A) NÃO APRESENTOU DECLARAÇÃO EXPEDIDA PELO GDF QUE COMPROVE RECEBIMENTO DE BENEFÍCIO DE PROGRAMA SOCIAL DE COMPLEMENTAÇÃO OU SUPLEMENTAÇÃO DE RENDA DO GDF (PRATO CHEIO E DF SOCIAL ) RENATA GUEDES 013***.***-** 1 INDEFERIDO CANDIDATO (A) NÃO ENVIOU DOCUMENTAÇÃO QUE FOI POSSIVEL ACESSO( SENDO ARQUIVO EM NUVEM) RENATA CARVALHO DE ARAUJO 013***.***-** 1 INDEFERIDO CANDIDATO (A) NÃO APRESENTOU DECLARAÇÃO EXPEDIDA PELO GDF QUE COMPROVE RECEBIMENTO DE BENEFÍCIO DE PROGRAMA SOCIAL DE COMPLEMENTAÇÃO OU SUPLEMENTAÇÃO DE RENDA DO GDF (PRATO CHEIO E DF SOCIAL ) THAMILLA DA SILVA CABRAL 055***.***-** 1 DEFERIDO THAMILLA DA SILVA CABRAL 055***.***-** 2 DEFERIDO FRANCISCO ERISTEVAO DA SILVA 723***.***-** 1 DEFERIDO FILIPE TRIGUEIRO XAVIER CORREIA 057***.***-** 4 DEFERIDO MARIA WILMA ALVES DA SILVA 037***.***-** 8 INDEFERIDO CANDIDATO (A) NÃO APRESENTOU DECLARAÇÃO EXPEDIDA PELO GDF QUE COMPROVE RECEBIMENTO DE BENEFÍCIO DE PROGRAMA SOCIAL DE COMPLEMENTAÇÃO OU SUPLEMENTAÇÃO DE RENDA DO GDF (PRATO CHEIO E DF SOCIAL ) CLODOMIR CARDOSO DA SILVA 740***.***-** 1 DEFERIDO JONATAN RODRIGUES DOS SANTOS JUNIOR 000***.***-** - INDEFERIDO CANDIDATO (A) NÃO APRESENTOU FORMULARIO COM O NÚMERO DO CARGO CAROLINE MENDES DA SILVA 733***.***-** 3 INDEFERIDO CANDIDATO (A) NÃO APRESENTOU DECLARAÇÃO EXPEDIDA PELO GDF QUE COMPROVE RECEBIMENTO DE BENEFÍCIO DE PROGRAMA SOCIAL DE COMPLEMENTAÇÃO OU SUPLEMENTAÇÃO DE RENDA DO GDF (PRATO CHEIO E DF SOCIAL ) SANDRA AGUIAR VIEIRA 552***.***-** 6 INDEFERIDO CANDIDATO (A) NÃO APRESENTOU DECLARAÇÃO EXPEDIDA PELO GDF QUE COMPROVE RECEBIMENTO DE BENEFÍCIO DE PROGRAMA SOCIAL DE COMPLEMENTAÇÃO OU SUPLEMENTAÇÃO DE RENDA DO GDF (PRATO CHEIO E DF SOCIAL ) NATÁLIA MENDES RODRIGUES DE SOUZA 065***.***-** 1 INDEFERIDO CANDIDATO (A) NÃO APRESENTOU DECLARAÇÃO EXPEDIDA PELO GDF QUE COMPROVE RECEBIMENTO DE BENEFÍCIO DE PROGRAMA SOCIAL DE COMPLEMENTAÇÃO OU SUPLEMENTAÇÃO DE RENDA DO GDF (PRATO CHEIO E DF SOCIAL ) VICTORIA REGINA MARTINS DA SILVA 050***.***-** 1 INDEFERIDO CANDIDATO (A) NÃO APRESENTOU DECLARAÇÃO EXPEDIDA PELO GDF QUE COMPROVE RECEBIMENTO DE BENEFÍCIO DE PROGRAMA SOCIAL DE COMPLEMENTAÇÃO OU SUPLEMENTAÇÃO DE RENDA DO GDF (PRATO CHEIO E DF SOCIAL )
  • 242.
    VICTORIA REGINA MARTINSDA SILVA 050***.***-** 2 INDEFERIDO CANDIDATO (A) NÃO APRESENTOU DECLARAÇÃO EXPEDIDA PELO GDF QUE COMPROVE RECEBIMENTO DE BENEFÍCIO DE PROGRAMA SOCIAL DE COMPLEMENTAÇÃO OU SUPLEMENTAÇÃO DE RENDA DO GDF (PRATO CHEIO E DF SOCIAL ) BIANCA DOS SANTOS MOURA 048***.***-** - INDEFERIDO CANDIDATO (A) NÃO APRESENTOU FORMULARIO COM O NÚMERO DO CARGO E DOCUMENTAÇÃO COMPLETA DE ACORDO COM A OPÇÃO ESCOLHIDA REJANE OLIVEIRA PIRES 696***.***-** 1 INDEFERIDO CANDIDATO (A) NÃO APRESENTOU DECLARAÇÃO EXPEDIDA PELO GDF QUE COMPROVE RECEBIMENTO DE BENEFÍCIO DE PROGRAMA SOCIAL DE COMPLEMENTAÇÃO OU SUPLEMENTAÇÃO DE RENDA DO GDF (PRATO CHEIO E DF SOCIAL ) REJANE OLIVEIRA PIRES 696***.***-** 2 INDEFERIDO CANDIDATO (A) NÃO APRESENTOU DECLARAÇÃO EXPEDIDA PELO GDF QUE COMPROVE RECEBIMENTO DE BENEFÍCIO DE PROGRAMA SOCIAL DE COMPLEMENTAÇÃO OU SUPLEMENTAÇÃO DE RENDA DO GDF (PRATO CHEIO E DF SOCIAL ) GRAZIELE APARECIDA PEREIRA LIMA 059***.***-** - INDEFERIDO CANDIDATO (A) NÃO APRESENTOU FORMULARIO COM O NÚMERO DO CARGO E DOCUMENTAÇÃO EM PDF SABRINA PEREIRA GOMES 035***.***-** 1 INDEFERIDO CANDIDATO (A) NÃO APRESENTOU DOCUMENTAÇÃO RG SABRINA PEREIRA GOMES 035***.***-** 7 INDEFERIDO CANDIDATO (A) NÃO APRESENTOU DOCUMENTAÇÃO RG CAMILA GONÇALVES DE SOUZA 116***.***-** 1 DEFERIDO CAMILA GONÇALVES DE SOUZA 116***.***-** 5 DEFERIDO MARIA JOSÉ CANDIDO DO NASCIMENTO 037***.***-** 2 DEFERIDO MARIA JOSÉ CANDIDO DO NASCIMENTO 037***.***-** 1 DEFERIDO RAPHAEL LYNCON MIRANDA DE BARROS 061***.***-** 1 DEFERIDO RAPHAEL LYNCON MIRANDA DE BARROS 061***.***-** 6 DEFERIDO CAROLINA DE SOUZA EPIFANIO 083***.***-** 1 INDEFERIDO CANDIDATO (A) NÃO APRESENTOU LAUDO MÉDICO COMPROBATÓRIO DA ISENÇÃO DE ACORDO COM A POSSIBILIDADE ESCOLHIDA MAYRA RODRIGUES SOARES DE JESUS 056***.***-** 7 INDEFERIDO CANDIDATO (A) NÃO APRESENTOU DOCUMENTAÇÃO DE ACORDO COM A MARCAÇÃO ESCOLHIDA ANALIA RIBEIRO DA SILVA 005***.***-** 8 DEFERIDO VANESSA RODRIGUES MOREIRA 713***.***-** 6 DEFERIDO LIDIA PATRICIA ESCORCIA PEREIRA 003***.***-** 1 INDEFERIDO CANDIDATO (A) NÃO APRESENTOU DOCUMENTAÇÃO EM PDF NATALIA INACIO ALVES ALECRIM 024***.***-** 1 DEFERIDO JOYCE VIEIRA DOS REIS 037***.***-** 1 DEFERIDO VITOR JOELMIR JOSE DA SILVA DE VASCONCELOS 060***.***-** 1 INDEFERIDO CANDIDATO (A) NÃO APRESENTOU DOCUMETAÇÃO EXIGIDA LAUDO MÉDICO ASSINADO COM CARINBO DO MÉDICO COMPROVANDO DEFICIÊNCIA
  • 243.
    VITOR JOELMIR JOSEDA SILVA DE VASCONCELOS 060***.***-** 2 INDEFERIDO CANDIDATO (A) NÃO APRESENTOU DOCUMETAÇÃO EXIGIDA LAUDO MÉDICO ASSINADO COM CARINBO DO MÉDICO COMPROVANDO DEFICIÊNCIA AQUILA BORGES DE ARAÚJO 028***.***-** 1 DEFERIDO MAYARA PEREIRA CUNHA AVELAR 726***.***-** 1 DEFERIDO MAYARA PEREIRA CUNHA AVELAR 726***.***-** 6 DEFERIDO ALDEMIR CARDOSO DE OLIVEIRA 483***.***-** - INDEFERIDO CANDIDATO (A) NÃO APRESENTOU FORMULARIO COM O NÚMERO DO CARGO E OPÇÃO ESCOLHIDA LIDIANE PEREIRA SILVA BRITO 720***.***-** 1 DEFERIDO JILVANICE DE JESUS DA ROCHA 027***.***-** 1 DEFERIDO ANA PAULA SOARES GAVIAO 717***.***-** 5 INDEFERIDO CANDIDATO (A) NÃO APRESENTOU DECLARAÇÃO EXPEDIDA PELO GDF QUE COMPROVE RECEBIMENTO DE BENEFÍCIO DE PROGRAMA SOCIAL DE COMPLEMENTAÇÃO OU SUPLEMENTAÇÃO DE RENDA DO GDF (PRATO CHEIO E DF SOCIAL ) ANA PAULA SOARES GAVIAO 717***.***-** 1 INDEFERIDO CANDIDATO (A) NÃO APRESENTOU DECLARAÇÃO EXPEDIDA PELO GDF QUE COMPROVE RECEBIMENTO DE BENEFÍCIO DE PROGRAMA SOCIAL DE COMPLEMENTAÇÃO OU SUPLEMENTAÇÃO DE RENDA DO GDF (PRATO CHEIO E DF SOCIAL ) TANIA BARBOSA RIBEIRO 793***.***-** 1 INDEFERIDO CANDIDATO (A) NÃO APRESENTOU DECLARAÇÃO EXPEDIDA PELO GDF QUE COMPROVE RECEBIMENTO DE BENEFÍCIO DE PROGRAMA SOCIAL DE COMPLEMENTAÇÃO OU SUPLEMENTAÇÃO DE RENDA DO GDF (PRATO CHEIO E DF SOCIAL ) RONILDO LAVRISTA BORGES 704***.***-** 1 DEFERIDO GISELE DOS SANTOS FERREIRA 135***.***-** 3 INDEFERIDO CANDIDATO (A) NÃO APRESENTOU DECLARAÇÃO EXPEDIDA PELO GDF QUE COMPROVE RECEBIMENTO DE BENEFÍCIO DE PROGRAMA SOCIAL DE COMPLEMENTAÇÃO OU SUPLEMENTAÇÃO DE RENDA DO GDF (PRATO CHEIO E DF SOCIAL ) EMILY FERNANDES DA SILVA 058***.***-** 1 INDEFERIDO CANDIDATO (A) NÃO APRESENTOU DOCUMENTAÇÃO EM PDF EMILY FERNANDES DA SILVA 058***.***-** 6 INDEFERIDO CANDIDATO (A) NÃO APRESENTOU DOCUMENTAÇÃO EM PDF SILVIA APARECIDA DIIRR ORNELAS 505***.***-** 3 DEFERIDO MATHEUS VERISSIMO DANTAS 056***.***-** 1 INDEFERIDO CANDIDATO (A) NÃO APRESENTOU DECLARAÇÃO EXPEDIDA PELO GDF QUE COMPROVE RECEBIMENTO DE BENEFÍCIO DE PROGRAMA SOCIAL DE COMPLEMENTAÇÃO OU SUPLEMENTAÇÃO DE RENDA DO GDF (PRATO CHEIO E DF SOCIAL ) SHERLYS JOSIANNE SÁ COSTA 002***.***-** 7 INDEFERIDO CANDIDATO (A) NÃO APRESENTOU DECLARAÇÃO EXPEDIDA PELO GDF QUE COMPROVE RECEBIMENTO DE BENEFÍCIO DE PROGRAMA SOCIAL DE COMPLEMENTAÇÃO OU SUPLEMENTAÇÃO DE RENDA DO GDF (PRATO CHEIO E DF SOCIAL )
  • 244.
    SHERLYS JOSIANNE SÁCOSTA 002***.***-** 1 INDEFERIDO CANDIDATO (A) NÃO APRESENTOU DECLARAÇÃO EXPEDIDA PELO GDF QUE COMPROVE RECEBIMENTO DE BENEFÍCIO DE PROGRAMA SOCIAL DE COMPLEMENTAÇÃO OU SUPLEMENTAÇÃO DE RENDA DO GDF (PRATO CHEIO E DF SOCIAL ) FRANCISCA EIELLY OLIVEIRA MARQUES 000***.***-** 1 DEFERIDO ALISSON SCOTTE GONÇALVES CONCEIÇÃO OLIVEIRA 886***.***-** 1 INDEFERIDO CANDIDATO (A) NÃO APRESENTOU DECLARAÇÃO EXPEDIDA PELO GDF QUE COMPROVE RECEBIMENTO DE BENEFÍCIO DE PROGRAMA SOCIAL DE COMPLEMENTAÇÃO OU SUPLEMENTAÇÃO DE RENDA DO GDF (PRATO CHEIO E DF SOCIAL ) ALISSON SCOTTE GONÇALVES CONCEIÇÃO OLIVEIRA 886***.***-** 8 INDEFERIDO CANDIDATO (A) NÃO APRESENTOU DECLARAÇÃO EXPEDIDA PELO GDF QUE COMPROVE RECEBIMENTO DE BENEFÍCIO DE PROGRAMA SOCIAL DE COMPLEMENTAÇÃO OU SUPLEMENTAÇÃO DE RENDA DO GDF (PRATO CHEIO E DF SOCIAL ) PAULA LORRANY ALVES DE OLIVEIRA 039***.***-** 1 INDEFERIDO CANDIDATO (A) NÃO APRESENTOU DECLARAÇÃO EXPEDIDA PELO GDF QUE COMPROVE RECEBIMENTO DE BENEFÍCIO DE PROGRAMA SOCIAL DE COMPLEMENTAÇÃO OU SUPLEMENTAÇÃO DE RENDA DO GDF (PRATO CHEIO E DF SOCIAL ) VINICIUS GONCALVES PEREIRA 852***.***-** 1 DEFERIDO VICTOR HUGO PEREIRA DA SILVA 036***.***-** - INDEFERIDO CANDIDATO (A) NÃO APRESENTOU FORMULARIO COM O NÚMERO DO CARGO E OPÇÃO ESCOLHIDA SERGIO RODRIGUES DA SILVA 666***.***-** 8 DEFERIDO MARIANA RODRIGUES DE SENA 035***.***-** 1 DEFERIDO VICTOR NATIVIDADE SILVA 487***.***-** 1 DEFERIDO SANDRA PEREIRA DA SILVA 951***.***-** - INDEFERIDO CANDIDATO (A) NÃO APRESENTOU FORMULARIO DE ISENÇÃO COM O NÚMERO DO CARGO E OPÇÃO ESCOLHIDA ANA CAROLINA GOLÇALVES DE SOUSA 035***.***-** 1 DEFERIDO VITÓRIA BEATRIZ SOUSA FERREIRA 061***.***-** 1 INDEFERIDO CANDIDATO (A) NÃO APRESENTOU DOCUMETAÇÃO EXIGIDA LAUDO MÉDICO ASSINADO COM CARINBO DO MÉDICO COMPROVANDO DEFICIÊNCIA ADRIANA TOMAZ DA SILVA 008***.***-** 2 DEFERIDO RAFAELA PEREIRA DE OLIVEIRA DA COSTA 130***.***-** 2 DEFERIDO RAFAELA PEREIRA DE OLIVEIRA DA COSTA 130***.***-** 1 DEFERIDO MAYARA DE FREITAS ALBUQUERQUE 026***.***-** 1 DEFERIDO MAYARA DE FREITAS ALBUQUERQUE 026***.***-** 4 DEFERIDO CAMILA ISABELLE SÁ COSTA GOMES 078***.***-** 7 INDEFERIDO CANDIDATO (A) NÃO APRESENTOU DECLARAÇÃO EXPEDIDA PELO GDF QUE COMPROVE RECEBIMENTO DE BENEFÍCIO DE PROGRAMA SOCIAL DE COMPLEMENTAÇÃO OU SUPLEMENTAÇÃO DE RENDA DO GDF (PRATO CHEIO E DF SOCIAL )
  • 245.
    ARIANA GOMES DASILVA E SILVA 014***.***-** 1 INDEFERIDO CANDIDATO (A) NÃO APRESENTOU DOCUMETAÇÃO EXIGIDA LAUDO MÉDICO ASSINADO COM CARINBO DO MÉDICO COMPROVANDO DEFICIÊNCIA LUCAS JOSE DE SOUZA BATISTA 055***.***-** 2 DEFERIDO ADRIANA CARVALHO DOS SANTOS 053***.***-** 1 INDEFERIDO CANDIDATO (A) NÃO APRESENTOU DECLARAÇÃO EXPEDIDA PELO GDF QUE COMPROVE RECEBIMENTO DE BENEFÍCIO DE PROGRAMA SOCIAL DE COMPLEMENTAÇÃO OU SUPLEMENTAÇÃO DE RENDA DO GDF (PRATO CHEIO E DF SOCIAL ) ADRIANA CARVALHO DOS SANTOS 053***.***-** 8 INDEFERIDO CANDIDATO (A) NÃO APRESENTOU DECLARAÇÃO EXPEDIDA PELO GDF QUE COMPROVE RECEBIMENTO DE BENEFÍCIO DE PROGRAMA SOCIAL DE COMPLEMENTAÇÃO OU SUPLEMENTAÇÃO DE RENDA DO GDF (PRATO CHEIO E DF SOCIAL ) RAÍSSA PEREIRA ARAÚJO 053***.***-** 1 INDEFERIDO CANDIDATO (A) NÃO APRESENTOU DECLARAÇÃO EXPEDIDA PELO GDF QUE COMPROVE RECEBIMENTO DE BENEFÍCIO DE PROGRAMA SOCIAL DE COMPLEMENTAÇÃO OU SUPLEMENTAÇÃO DE RENDA DO GDF (PRATO CHEIO E DF SOCIAL ) OU LAUDO MÉDICO ROSANE CRISTINA DA SILVA 029***.***-** 1 DEFERIDO MONICA MARIA DE OLIVEIRA 09***.***-** 1 DEFERIDO SUELEN TAMARA DE CASTRO LIMA 000***.***-** 1 DEFERIDO SUELEN TAMARA DE CASTRO LIMA 000***.***-** 8 DEFERIDO ANNY KELLY DE SOUSA RODRIGUES 009***.***-** - INDEFERIDO CANDIDATO (A) NÃO APRESENTOU FORMULARIO DE ISENÇÃO COM O NÚMERO DO CARGO E OPÇÃO ESCOLHIDA MARIA APARECIDA DE SOUSA VIANA 726***.***-** 1 INDEFERIDO CANDIDATO (A) NÃO APRESENTOU DECLARAÇÃO EXPEDIDA PELO GDF QUE COMPROVE RECEBIMENTO DE BENEFÍCIO DE PROGRAMA SOCIAL DE COMPLEMENTAÇÃO OU SUPLEMENTAÇÃO DE RENDA DO GDF (PRATO CHEIO E DF SOCIAL ) POLLYNE COUTINHO LIMA 022***.***-** 1 DEFERIDO LIVIA REGINA DOS SANTOS DO CARMO 000***.***-** 1 DEFERIDO LIVIA REGINA DOS SANTOS DO CARMO 000***.***-** 8 DEFERIDO LUZIA CATIA BISPO ALVES 588***.***-** 1 DEFERIDO TARCYLA DAMARIS BARBOSA FERREIRA 017***.***-** 1 INDEFERIDO CANDIDATO (A) NÃO APRESENTOU DECLARAÇÃO EXPEDIDA PELO GDF QUE COMPROVE RECEBIMENTO DE BENEFÍCIO DE PROGRAMA SOCIAL DE COMPLEMENTAÇÃO OU SUPLEMENTAÇÃO DE RENDA DO GDF (PRATO CHEIO E DF SOCIAL ) TARCYLA DAMARIS BARBOSA FERREIRA 017***.***-** 8 INDEFERIDO CANDIDATO (A) NÃO APRESENTOU DECLARAÇÃO EXPEDIDA PELO GDF QUE COMPROVE RECEBIMENTO DE BENEFÍCIO DE PROGRAMA SOCIAL DE COMPLEMENTAÇÃO OU SUPLEMENTAÇÃO DE RENDA DO GDF (PRATO CHEIO E DF SOCIAL )
  • 246.
    TASSO HOG PEREIRADOS SANTOS JUNIOR 884***.***-** 1 INDEFERIDO CANDIDATO (A) NÃO APRESENTOU DECLARAÇÃO EXPEDIDA PELO GDF QUE COMPROVE RECEBIMENTO DE BENEFÍCIO DE PROGRAMA SOCIAL DE COMPLEMENTAÇÃO OU SUPLEMENTAÇÃO DE RENDA DO GDF (PRATO CHEIO E DF SOCIAL ) JOSÉ RIBAMAR PEREIRA FILHO 724***.***-** 1 DEFERIDO LEOMAR CARVALHO DOS ANJOS 021***.***-** 1 INDEFERIDO CANDIDATO (A) NÃO APRESENTOU DECLARAÇÃO EXPEDIDA PELO GDF QUE COMPROVE RECEBIMENTO DE BENEFÍCIO DE PROGRAMA SOCIAL DE COMPLEMENTAÇÃO OU SUPLEMENTAÇÃO DE RENDA DO GDF (PRATO CHEIO E DF SOCIAL ) GEANDRA DE ALMEIDA ARAUJO 038***.***-** 2 DEFERIDO IOLANDA FERREIRA DE ABREU 017***.***-** 2 DEFERIDO VALTAR LEVITA DIOGO DE SOUSA 399***.***-** 8 INDEFERIDO CANDIDATO (A) NÃO APRESENTOU DOCUMETAÇÃO EXIGIDA LAUDO MÉDICO ASSINADO COM CARINBO DO MÉDICO COMPROVANDO DEFICIÊNCIA VALTAR LEVITA DIOGO DE SOUSA 399***.***-** 1 INDEFERIDO CANDIDATO (A) NÃO APRESENTOU DOCUMETAÇÃO EXIGIDA LAUDO MÉDICO ASSINADO COM CARINBO DO MÉDICO COMPROVANDO DEFICIÊNCIA FABIO SILVA GOMES 028***.***-** 2 DEFERIDO ***.***-** WHISSTAINLESS DA CONCEICAO LOPES 066***.***-** 4 DEFERIDO DIEGO DA CUNHA RODRIGUES 033***.***-** 1 DEFERIDO ALENCARLA GONCALVES DE MIRANDA 000***.***-** 1 DEFERIDO ARICÉLIA NUNES BARBOSA 029***.***-** 1 INDEFERIDO CANDIDATO (A) NÃO APRESENTOU DECLARAÇÃO EXPEDIDA PELO GDF QUE COMPROVE RECEBIMENTO DE BENEFÍCIO DE PROGRAMA SOCIAL DE COMPLEMENTAÇÃO OU SUPLEMENTAÇÃO DE RENDA DO GDF (PRATO CHEIO E DF SOCIAL ) VIVIANE NUNES DA CUNHA 022***.***-** 1 DEFERIDO VIVIANE NUNES DA CUNHA 022***.***-** 2 DEFERIDO DOUGLAS MARLON BESSA VIEIRA 094***.***-** 1 INDEFERIDO CANDIDATO (A) NÃO APRESENTOU DECLARAÇÃO EXPEDIDA PELO GDF QUE COMPROVE RECEBIMENTO DE BENEFÍCIO DE PROGRAMA SOCIAL DE COMPLEMENTAÇÃO OU SUPLEMENTAÇÃO DE RENDA DO GDF (PRATO CHEIO E DF SOCIAL ) HORTÊNCIA VIRGINIA DO AMARAL CARVALHO 444***.***-** 2 INDEFERIDO CANDIDATO (A) NÃO APRESENTOU DECLARAÇÃO EXPEDIDA PELO GDF QUE COMPROVE RECEBIMENTO DE BENEFÍCIO DE PROGRAMA SOCIAL DE COMPLEMENTAÇÃO OU SUPLEMENTAÇÃO DE RENDA DO GDF (PRATO CHEIO E DF SOCIAL )
  • 247.
    HORTÊNCIA VIRGINIA DOAMARAL CARVALHO 444***.***-** 1 INDEFERIDO CANDIDATO (A) NÃO APRESENTOU DECLARAÇÃO EXPEDIDA PELO GDF QUE COMPROVE RECEBIMENTO DE BENEFÍCIO DE PROGRAMA SOCIAL DE COMPLEMENTAÇÃO OU SUPLEMENTAÇÃO DE RENDA DO GDF (PRATO CHEIO E DF SOCIAL ) ARTUR DIOGO RABELO DE SOUSA 079***.***-** 1 INDEFERIDO CANDIDATO (A) NÃO APRESENTOU DOCUMETAÇÃO EXIGIDA LAUDO MÉDICO ASSINADO COM CARINBO DO MÉDICO COMPROVANDO DEFICIÊNCIA GEANY OLIVEIRA DOS SANTOS 051***.***-** - INDEFERIDO CANDIDATO (A) NÃO APRESENTOU FORMULARIO DE ISENÇÃO COM O NÚMERO DO CARGO E OPÇÃO ESCOLHIDA JULIANA DE SOUZA PAIVA 827***.***-** 1 INDEFERIDO CANDIDATO (A) NÃO APRESENTOU DOCUMENTAÇÃO EM PDF RENOR OLIVEIRA GUIMARAES -***.***-** - INDEFERIDO CANDIDATO (A) NÃO APRESENTOU DOCUMENTAÇÃO EXIGIDA THIAGO VINICIUS LOPES DA SILVA 035***.***-** 1 DEFERIDO THIAGO VINICIUS LOPES DA SILVA 035***.***-** 8 DEFERIDO BRUNO FELIX DA SILVA CARRARO 005***.***-** 5 DEFERIDO BRUNO FELIX DA SILVA CARRARO 005***.***-** 1 DEFERIDO WESLEY OLIVEIRA MARIANO 063***.***-** 1 DEFERIDO LIDIA FERNANDES DA SILVA -***.***-** - INDEFERIDO CANDIDATO (A) NÃO APRESENTOU FORMULARIO DE ISENÇÃO COM O NÚMERO DO CARGO E OPÇÃO ESCOLHIDA COM A DOCUMENTAÇÃO REBECA SOUZA COSTA 882***.***-** 8 INDEFERIDO CANDIDATO (A) NÃO APRESENTOU DOCUMENTAÇÃO COMPLETA EM PDF REBECA SOUZA COSTA 882***.***-** 1 INDEFERIDO CANDIDATO (A) NÃO APRESENTOU DOCUMENTAÇÃO COMPLETA EM PDF MAIKY DIAS PORTUGUEZ DE SOUZA FERREIRA 057***.***-** 1 DEFERIDO ILMA SOUZA DA SILVA 976***.***-** - INDEFERIDO CANDIDATO (A) NÃO APRESENTOU FORMULARIO DE ISENÇÃO COM O NÚMERO DO CARGO E OPÇÃO ESCOLHIDA COM A DOCUMENTAÇÃO INÁCIA FERREIRA COSTA 986***.***-** - INDEFERIDO CANDIDATO (A) NÃO APRESENTOU FORMULÁRIO COM O NÚMERO DO CARGO ESCOLHIDO REIJANE CRUZ DA SILVA RIBEIRO 708***.***-** 1 DEFERIDO DANIELA MENDES RODRIGUES 044***.***-** 1 DEFERIDO ANTÔNIO TAVEIRA MOURA 027***.***-** 8 INDEFERIDO CANDIDATO (A) NÃO APRESENTOU FORMULÁRIO COM O NÚMERO DO CARGO ESCOLHIDO GISELLE DE ARAUJO CHAGA 015***.***-** 8 DEFERIDO LEILIANE DA SILVA MARTINS 731***.***-** 7 INDEFERIDO CANDIDATO (A) NÃO APRESENTOU DOCUMETAÇÃO EXIGIDA LAUDO MÉDICO ASSINADO COM CARINBO DO MÉDICO COMPROVANDO DEFICIÊNCIA FERNANDA DOS SANTOS CARRARO FELIX 858***.***-** 5 INDEFERIDO CANDIDATO (A) NÃO APRESENTOU DOCUMETAÇÃO EXIGIDA LAUDO MÉDICO ASSINADO COM CARINBO DO MÉDICO COMPROVANDO DEFICIÊNCIA
  • 248.
    DOMINICK DE JESUSSILVA LAMOUNIER 067***.***-** 6 INDEFERIDO CANDIDATO (A) NÃO APRESENTOU DECLARAÇÃO EXPEDIDA PELO GDF QUE COMPROVE RECEBIMENTO DE BENEFÍCIO DE PROGRAMA SOCIAL DE COMPLEMENTAÇÃO OU SUPLEMENTAÇÃO DE RENDA DO GDF (PRATO CHEIO E DF SOCIAL ) ARTHUR BARBOSA SANTOS 074***.***-** 1 INDEFERIDO CANDIDATO (A) NÃO APRESENTOU DOCUMETAÇÃO EXIGIDA LAUDO MÉDICO ASSINADO COM CARINBO DO MÉDICO COMPROVANDO DEFICIÊNCIA NEUSA LOPO ROCHA 04***.***-** 1 INDEFERIDO CANDIDATO (A) NÃO APRESENTOU DOCUMETAÇÃO EXIGIDA LAUDO MÉDICO ASSINADO COM CARINBO DO MÉDICO COMPROVANDO DEFICIÊNCIA E COMPROVANTE DO CAD.ÚNICO JESSICA ALVES RAMOS DA SILVA 050***.***-** 6 INDEFERIDO CANDIDATO (A) NÃO APRESENTOU DECLARAÇÃO EXPEDIDA PELO GDF QUE COMPROVE RECEBIMENTO DE BENEFÍCIO DE PROGRAMA SOCIAL DE COMPLEMENTAÇÃO OU SUPLEMENTAÇÃO DE RENDA DO GDF (PRATO CHEIO E DF SOCIAL ) ROGÉRIO DA CRUZ SOUSA 004***.***-** 1 DEFERIDO ADRIANA BARBOSA DA ROCHA 863***.***-** 1 INDEFERIDO CANDIDATO (A) NÃO APRESENTOU DOCUMETAÇÃO EXIGIDA LAUDO MÉDICO ASSINADO COM CARINBO DO MÉDICO COMPROVANDO DEFICIÊNCIA E COMPROVANTE DO CAD.ÚNICO ALINE BARBOSA SANTOS 077***.***-** 1 INDEFERIDO CANDIDATO (A) NÃO APRESENTOU DOCUMETAÇÃO EXIGIDA LAUDO MÉDICO ASSINADO COM CARINBO DO MÉDICO COMPROVANDO DEFICIÊNCIA E COMPROVANTE DO CAD.ÚNICO CAMILA VIANNA 012***.***-** 1 INDEFERIDO CANDIDATO (A) NÃO APRESENTOU DOCUMETAÇÃO EXIGIDA LAUDO MÉDICO ASSINADO COM CARINBO DO MÉDICO COMPROVANDO DEFICIÊNCIA CAMILA VIANNA 012***.***-** 6 INDEFERIDO CANDIDATO (A) NÃO APRESENTOU DOCUMETAÇÃO EXIGIDA LAUDO MÉDICO ASSINADO COM CARINBO DO MÉDICO COMPROVANDO DEFICIÊNCIA LUCILENE SANTANA 855***.***-** 1 INDEFERIDO CANDIDATO (A) NÃO APRESENTOU DOCUMETAÇÃO EXIGIDA LAUDO MÉDICO ASSINADO COM CARINBO DO MÉDICO COMPROVANDO DEFICIÊNCIA ROGERIO DA CRUZ SOUSA 004***.***-** 3 DEFERIDO GUSTAVO PAULINO SILVA DE OLIVEIRA 083***.***-** 1 DEFERIDO JESIEL MIRANDA RODRIGUES 058***.***-** 8 DEFERIDO CLAUDIO RODRIGUES LAMOUNIER 030***.***-** 6 INDEFERIDO CANDIDATO (A) NÃO APRESENTOU DECLARAÇÃO EXPEDIDA PELO GDF QUE COMPROVE RECEBIMENTO DE BENEFÍCIO DE PROGRAMA SOCIAL DE COMPLEMENTAÇÃO OU SUPLEMENTAÇÃO DE RENDA DO GDF (PRATO CHEIO E DF SOCIAL ) IVONEIDE FIGUEIREDO NUNES MAIA 919***.***-** 1 DEFERIDO IVONEIDE FIGUEIREDO NUNES MAIA 919***.***-** 8 DEFERIDO
  • 249.
    PAULA IARA SOUZALIRA 059***.***-** 1 INDEFERIDO CANDIDATO (A) NÃO APRESENTOU DECLARAÇÃO EXPEDIDA PELO GDF QUE COMPROVE RECEBIMENTO DE BENEFÍCIO DE PROGRAMA SOCIAL DE COMPLEMENTAÇÃO OU SUPLEMENTAÇÃO DE RENDA DO GDF (PRATO CHEIO E DF SOCIAL ) PAULA IARA SOUZA LIRA 059***.***-** 7 INDEFERIDO CANDIDATO (A) NÃO APRESENTOU DECLARAÇÃO EXPEDIDA PELO GDF QUE COMPROVE RECEBIMENTO DE BENEFÍCIO DE PROGRAMA SOCIAL DE COMPLEMENTAÇÃO OU SUPLEMENTAÇÃO DE RENDA DO GDF (PRATO CHEIO E DF SOCIAL ) HELLEN LORRANE SEVERO DAS NEVES 081***.***-** 2 INDEFERIDO CANDIDATO (A) NÃO APRESENTOU DOCUMETAÇÃO EXIGIDA LAUDO MÉDICO ASSINADO COM CARINBO DO MÉDICO COMPROVANDO DEFICIÊNCIA CRISTIANE MARIA LIMA DE ARAUJO 619***.***-** 1 DEFERIDO SIMONE AGUIAR PONTES 013***.***-** 1 INDEFERIDO CANDIDATO (A) NÃO APRESENTOU DECLARAÇÃO EXPEDIDA PELO GDF QUE COMPROVE RECEBIMENTO DE BENEFÍCIO DE PROGRAMA SOCIAL DE COMPLEMENTAÇÃO OU SUPLEMENTAÇÃO DE RENDA DO GDF (PRATO CHEIO E DF SOCIAL ) BIANCA DA SILVA FARIA 051***.***-** 6 DEFERIDO BIANCA DA SILVA FARIA 051***.***-** 1 DEFERIDO MARCELA LUSIANO SARDINHA 031***.***-** 8 DEFERIDO MARCELA LUSIANO SARDINHA 031***.***-** 2 DEFERIDO TAYNARA CHRISTIANE DURANS SILVA 044***.***-** 1 DEFERIDO URANIA OLIVEIRA SOUZA LEMOS 659***.***-** 8 DEFERIDO ALCINA MARTINS DE SOUZA 690***.***-** - INDEFERIDO CANDIDATO (A) NÃO APRESENTOU FORMULÁRIO COM O NÚMERO DO CARGO ESCOLHIDO E COMPROVANTE DE RECEBIMENTO DO BENEFÍCIO DE PROGRAMA SOCIAL DE COMPLEMENTAÇÃO OU SUPLEMENTAÇÃO DE RENDA DO GDF (PRATO CHEIO E DF SOCIAL ) RAYANE DUARTE DA SILVA 023***.***-** 1 INDEFERIDO CANDIDATO (A) NÃO APRESENTOU DECLARAÇÃO EXPEDIDA PELO GDF QUE COMPROVE RECEBIMENTO DE BENEFÍCIO DE PROGRAMA SOCIAL DE COMPLEMENTAÇÃO OU SUPLEMENTAÇÃO DE RENDA DO GDF (PRATO CHEIO E DF SOCIAL ) LÍLIAN BATISTA RIBEIRO KALTAR 004***.***-** 1 DEFERIDO ADRIANA OLIVEIRA NUNES 033***.***-** 3 INDEFERIDO CANDIDATO (A) NÃO APRESENTOU DECLARAÇÃO EXPEDIDA PELO GDF QUE COMPROVE RECEBIMENTO DE BENEFÍCIO DE PROGRAMA SOCIAL DE COMPLEMENTAÇÃO OU SUPLEMENTAÇÃO DE RENDA DO GDF (PRATO CHEIO E DF SOCIAL ) ADRIANA OLIVEIRA NUNES 033***.***-** 1 INDEFERIDO CANDIDATO (A) NÃO APRESENTOU DECLARAÇÃO EXPEDIDA PELO GDF QUE COMPROVE RECEBIMENTO DE BENEFÍCIO DE PROGRAMA SOCIAL DE COMPLEMENTAÇÃO OU SUPLEMENTAÇÃO DE RENDA DO GDF (PRATO CHEIO E DF SOCIAL )
  • 250.
    JEAN CARLA AMARALDA SILVA 030***.***-** 5 INDEFERIDO CANDIDATO (A) NÃO APRESENTOU DECLARAÇÃO EXPEDIDA PELO GDF QUE COMPROVE RECEBIMENTO DE BENEFÍCIO DE PROGRAMA SOCIAL DE COMPLEMENTAÇÃO OU SUPLEMENTAÇÃO DE RENDA DO GDF (PRATO CHEIO E DF SOCIAL ) GLEISON GONÇALVES JORDÃO 034***.***-** 1 DEFERIDO LILIENE DA SILVA TOMAZ 020***.***-** 1 INDEFERIDO CANDIDATO (A) NÃO APRESENTOU DECLARAÇÃO EXPEDIDA PELO GDF QUE COMPROVE RECEBIMENTO DE BENEFÍCIO DE PROGRAMA SOCIAL DE COMPLEMENTAÇÃO OU SUPLEMENTAÇÃO DE RENDA DO GDF (PRATO CHEIO E DF SOCIAL ) LILIENE DA SILVA TOMAZ 020***.***-** 5 INDEFERIDO CANDIDATO (A) NÃO APRESENTOU DECLARAÇÃO EXPEDIDA PELO GDF QUE COMPROVE RECEBIMENTO DE BENEFÍCIO DE PROGRAMA SOCIAL DE COMPLEMENTAÇÃO OU SUPLEMENTAÇÃO DE RENDA DO GDF (PRATO CHEIO E DF SOCIAL ) IRLENE DA SILVA OLIVEIRA 054***.***-** 1 DEFERIDO ALEXIA RIBEIRO DA SILVA 030***.***-** 6 INDEFERIDO CANDIDATO (A) NÃO APRESENTOU DOCUMETAÇÃO EXIGIDA LAUDO MÉDICO ASSINADO COM CARINBO DO MÉDICO COMPROVANDO DEFICIÊNCIA ALEXIA RIBEIRO DA SILVA 030***.***-** 1 INDEFERIDO CANDIDATO (A) NÃO APRESENTOU DOCUMETAÇÃO EXIGIDA LAUDO MÉDICO ASSINADO COM CARINBO DO MÉDICO COMPROVANDO DEFICIÊNCIA GENIVAN RIBEIRO DA SILVA 023***.***-** 6 INDEFERIDO CANDIDATO (A) NÃO APRESENTOU DOCUMETAÇÃO EXIGIDA LAUDO MÉDICO ASSINADO COM CARINBO DO MÉDICO COMPROVANDO DEFICIÊNCIA ANDREA DOS SANTOS VIEIRA NASCIMENTO 027***.***-** 1 INDEFERIDO CANDIDATO (A) NÃO APRESENTOU DECLARAÇÃO EXPEDIDA PELO GDF QUE COMPROVE RECEBIMENTO DE BENEFÍCIO DE PROGRAMA SOCIAL DE COMPLEMENTAÇÃO OU SUPLEMENTAÇÃO DE RENDA DO GDF (PRATO CHEIO E DF SOCIAL ) LETICIA DE MOURA VIEIRA 035***.***-** 1 DEFERIDO FRANCISCO ERISTEVAO DA SILVA 723***.***-** 1 DEFERIDO ADRIANO ALVES BRAZ 718***.***-** 1 INDEFERIDO CANDIDATO (A) NÃO APRESENTOU DECLARAÇÃO EXPEDIDA PELO GDF QUE COMPROVE RECEBIMENTO DE BENEFÍCIO DE PROGRAMA SOCIAL DE COMPLEMENTAÇÃO OU SUPLEMENTAÇÃO DE RENDA DO GDF (PRATO CHEIO E DF SOCIAL ) ADRIANO ALVES BRAZ 718***.***-** 5 INDEFERIDO CANDIDATO (A) NÃO APRESENTOU DECLARAÇÃO EXPEDIDA PELO GDF QUE COMPROVE RECEBIMENTO DE BENEFÍCIO DE PROGRAMA SOCIAL DE COMPLEMENTAÇÃO OU SUPLEMENTAÇÃO DE RENDA DO GDF (PRATO CHEIO E DF SOCIAL ) ELISANGELA DA SILVA GOMES DE MACEDO 605***.***-** 1 DEFERIDO ELISANGELA DA SILVA GOMES DE MACEDO 605***.***-** 5 DEFERIDO
  • 251.
    FRANCISCA VIEIRA DOSSANTOS 027***.***-** 1 INDEFERIDO CANDIDATO (A) NÃO APRESENTOU DECLARAÇÃO EXPEDIDA PELO GDF QUE COMPROVE RECEBIMENTO DE BENEFÍCIO DE PROGRAMA SOCIAL DE COMPLEMENTAÇÃO OU SUPLEMENTAÇÃO DE RENDA DO GDF (PRATO CHEIO E DF SOCIAL ) DJEANNE GONÇALVES LIMA LOPES 702***.***-** 1 DEFERIDO DJEANNE GONÇALVES LIMA LOPES 702***.***-** 7 DEFERIDO CLÉIA DO SOCORRO SOUZA FERREIRA 908***.***-** 3 INDEFERIDO CANDIDATO (A) NÃO APRESENTOU DOCUMETAÇÃO EXIGIDA LAUDO MÉDICO ASSINADO COM CARINBO DO MÉDICO COMPROVANDO DEFICIÊNCIA PATRICIA OLIVEIRA SANTOS LIMA 047***.***-** 6 INDEFERIDO CANDIDATO (A) NÃO APRESENTOU DECLARAÇÃO EXPEDIDA PELO GDF QUE COMPROVE RECEBIMENTO DE BENEFÍCIO DE PROGRAMA SOCIAL DE COMPLEMENTAÇÃO OU SUPLEMENTAÇÃO DE RENDA DO GDF (PRATO CHEIO E DF SOCIAL ) PATRICIA OLIVEIRA SANTOS LIMA 047***.***-** 1 INDEFERIDO CANDIDATO (A) NÃO APRESENTOU DECLARAÇÃO EXPEDIDA PELO GDF QUE COMPROVE RECEBIMENTO DE BENEFÍCIO DE PROGRAMA SOCIAL DE COMPLEMENTAÇÃO OU SUPLEMENTAÇÃO DE RENDA DO GDF (PRATO CHEIO E DF SOCIAL ) LUCAS FRANCISCO DA CONCEICAO SOUSA 026***.***-** 1 INDEFERIDO CANDIDATO (A) NÃO APRESENTOU DECLARAÇÃO EXPEDIDA PELO GDF QUE COMPROVE RECEBIMENTO DE BENEFÍCIO DE PROGRAMA SOCIAL DE COMPLEMENTAÇÃO OU SUPLEMENTAÇÃO DE RENDA DO GDF (PRATO CHEIO E DF SOCIAL ) SERGIO GONÇALVES DE OLIVEIRA 014***.***-** 1 DEFERIDO MARIA ELIENE SANTOS DA SILVA 954***.***-** 5 INDEFERIDO CANDIDATO (A) NÃO APRESENTOU DECLARAÇÃO EXPEDIDA PELO GDF QUE COMPROVE RECEBIMENTO DE BENEFÍCIO DE PROGRAMA SOCIAL DE COMPLEMENTAÇÃO OU SUPLEMENTAÇÃO DE RENDA DO GDF (PRATO CHEIO E DF SOCIAL ) MILENA DOS SANTOS OLIVEIRA 048***.***-** 1 INDEFERIDO CANDIDATO (A) NÃO APRESENTOU DECLARAÇÃO EXPEDIDA PELO GDF QUE COMPROVE RECEBIMENTO DE BENEFÍCIO DE PROGRAMA SOCIAL DE COMPLEMENTAÇÃO OU SUPLEMENTAÇÃO DE RENDA DO GDF (PRATO CHEIO E DF SOCIAL ) MILENA DOS SANTOS OLIVEIRA 048***.***-** 5 INDEFERIDO CANDIDATO (A) NÃO APRESENTOU FORMULÁRIO COM O NÚMERO DO CARGO ESCOLHIDO FERNANDA VIANA BITTENCOURT 011***.***-** 1 INDEFERIDO CANDIDATO (A) NÃO APRESENTOU DOCUMENTAÇÃO EXIGIDA RG BEATRIZ NUNES ALENCAR SEIXAS -***.***-** - INDEFERIDO CANDIDATO (A) NÃO APRESENTOU DOCUMENTAÇÃO EXIGIDA JULIO CESAR SILVA SANTOS 459***.***-** 1 INDEFERIDO CANDIDATO (A) NÃO APRESENTOU DOCUMENTAÇÃO EXIGIDA RG FRANCISCO FERREIRA LIMA 863***.***-** 1 DEFERIDO LUCELIA MARIA ALCANTARA ARAUJO 023***.***-** 2 DEFERIDO ISAURA MARQUES MARTINS 875***.***-** 3 INDEFERIDO CANDIDATO (A) NÃO APRESENTOU DOCUMENTAÇÃO EXIGIDA RG FISSIL CIER YUZUKI 701***.***-** 1 DEFERIDO
  • 252.
    SORAIA LAMEIRA SIQUEIRA631***.***-** 8 INDEFERIDO CANDIDATO (A) NÃO APRESENTOU DECLARAÇÃO EXPEDIDA PELO GDF QUE COMPROVE RECEBIMENTO DE BENEFÍCIO DE PROGRAMA SOCIAL DE COMPLEMENTAÇÃO OU SUPLEMENTAÇÃO DE RENDA DO GDF (PRATO CHEIO E DF SOCIAL ) SORAIA LAMEIRA SIQUEIRA 631***.***-** 1 INDEFERIDO CANDIDATO (A) NÃO APRESENTOU DECLARAÇÃO EXPEDIDA PELO GDF QUE COMPROVE RECEBIMENTO DE BENEFÍCIO DE PROGRAMA SOCIAL DE COMPLEMENTAÇÃO OU SUPLEMENTAÇÃO DE RENDA DO GDF (PRATO CHEIO E DF SOCIAL ) CARLIANA SILVA DE ARAÚJO FLÔR 010***.***-** 1 DEFERIDO JOSCIRENE PEREIRA BARBOSA 000***.***-** 8 INDEFERIDO CANDIDATO (A) NÃO APRESENTOU FORMULÁRIO ATUALIZADO ELZAIR DOS ANJOS BRAGA 022***.***-** 1 INDEFERIDO CANDIDATO (A) NÃO APRESENTOU DECLARAÇÃO EXPEDIDA PELO GDF QUE COMPROVE RECEBIMENTO DE BENEFÍCIO DE PROGRAMA SOCIAL DE COMPLEMENTAÇÃO OU SUPLEMENTAÇÃO DE RENDA DO GDF (PRATO CHEIO E DF SOCIAL ) IGOR ALMEIDA BRITO 613***.***-** 5 DEFERIDO IGOR ALMEIDA BRITO 613***.***-** 1 DEFERIDO GIL LUCAS GUIMARAES GOMES 022***.***-** 6 DEFERIDO GIL LUCAS GUIMARAES GOMES 022***.***-** 1 DEFERIDO CLECIO RAMIRES GALVÃO 835***.***-** 1 DEFERIDO ANDRÉ NASCIMENTO DOS SANTOS 017***.***-** 1 DEFERIDO KATIA ALMEIDA DOS SANTOS 528***.***-** 7 INDEFERIDO CANDIDATO (A) NÃO APRESENTOU DECLARAÇÃO EXPEDIDA PELO GDF QUE COMPROVE RECEBIMENTO DE BENEFÍCIO DE PROGRAMA SOCIAL DE COMPLEMENTAÇÃO OU SUPLEMENTAÇÃO DE RENDA DO GDF (PRATO CHEIO E DF SOCIAL ) THAISE ALVES DA ROCHA 031***.***-** 8 INDEFERIDO CANDIDATO (A) NÃO APRESENTOU DECLARAÇÃO EXPEDIDA PELO GDF QUE COMPROVE RECEBIMENTO DE BENEFÍCIO DE PROGRAMA SOCIAL DE COMPLEMENTAÇÃO OU SUPLEMENTAÇÃO DE RENDA DO GDF (PRATO CHEIO E DF SOCIAL ) THAISE ALVES DA ROCHA 031***.***-** 1 INDEFERIDO CANDIDATO (A) NÃO APRESENTOU DECLARAÇÃO EXPEDIDA PELO GDF QUE COMPROVE RECEBIMENTO DE BENEFÍCIO DE PROGRAMA SOCIAL DE COMPLEMENTAÇÃO OU SUPLEMENTAÇÃO DE RENDA DO GDF (PRATO CHEIO E DF SOCIAL ) JEILSON DE OLIVEIRA MOISÉS 041***.***-** 1 DEFERIDO JEILSON DE OLIVEIRA MOISÉS 041***.***-** 2 DEFERIDO LUCIENE FERREIRA DA SILVA 931***.***-** 1 INDEFERIDO CANDIDATO (A) NÃO APRESENTOU DOCUMETAÇÃO EXIGIDA LAUDO MÉDICO ASSINADO COM CARINBO DO MÉDICO COMPROVANDO DEFICIÊNCIA SILVIO GOMES DE OLIVEIRA 707***.***-** 1 DEFERIDO JACILENE PEREIRA DE OLIVEIRA 725***.***-** 5 DEFERIDO
  • 253.
    VALERIA ROSA CARVALHODO NASCIMENTO DOS SANTOS 044***.***-** 1 INDEFERIDO CANDIDATO (A) NÃO APRESENTOU DECLARAÇÃO EXPEDIDA PELO GDF QUE COMPROVE RECEBIMENTO DE BENEFÍCIO DE PROGRAMA SOCIAL DE COMPLEMENTAÇÃO OU SUPLEMENTAÇÃO DE RENDA DO GDF (PRATO CHEIO E DF SOCIAL ) ANA PAULA BORGES 720***.***-** 1 DEFERIDO ANA PAULA BORGES 720***.***-** 6 DEFERIDO FRANCISCA ROSA DA SILVA MORAES 478***.***-** 1 INDEFERIDO CANDIDATO (A) NÃO APRESENTOU DECLARAÇÃO EXPEDIDA PELO GDF QUE COMPROVE RECEBIMENTO DE BENEFÍCIO DE PROGRAMA SOCIAL DE COMPLEMENTAÇÃO OU SUPLEMENTAÇÃO DE RENDA DO GDF (PRATO CHEIO E DF SOCIAL ) FRANCISCA ROSA DA SILVA MORAES 478***.***-** 2 INDEFERIDO CANDIDATO (A) NÃO APRESENTOU DECLARAÇÃO EXPEDIDA PELO GDF QUE COMPROVE RECEBIMENTO DE BENEFÍCIO DE PROGRAMA SOCIAL DE COMPLEMENTAÇÃO OU SUPLEMENTAÇÃO DE RENDA DO GDF (PRATO CHEIO E DF SOCIAL ) MAYARA FERREIRA DE SOUSA 050***.***-** 1 DEFERIDO LILIANE MIRANDA ROCHA 709***.***-** 1 INDEFERIDO CANDIDATO (A) NÃO APRESENTOU DECLARAÇÃO EXPEDIDA PELO GDF QUE COMPROVE RECEBIMENTO DE BENEFÍCIO DE PROGRAMA SOCIAL DE COMPLEMENTAÇÃO OU SUPLEMENTAÇÃO DE RENDA DO GDF (PRATO CHEIO E DF SOCIAL ) WALISON DOS SANTOS FERREIRA 034***.***-** 1 DEFERIDO JANICLEIDE DA SILVA ARAUJO DE SOUSA 848***.***-** 1 INDEFERIDO CANDIDATO (A) NÃO APRESENTOU DOCUMENTAÇÃO EXIGIDA. ANTONIA MARIA DO NASCIMENTO SILVA 006***.***-** 2 INDEFERIDO CANDIDATO (A) NÃO APRESENTOU DOCUMENTAÇÃO EXIGIDA. RITHELISSON DE SOUSA DA SILVA 040***.***-** 1 INDEFERIDO CANDIDATO (A) NÃO APRESENTOU DOCUMENTAÇÃO EM PDF. JEFFERSON DOS SANTOS SILVA 035***.***-** 7 DEFERIDO FABIANA GOMES DOS SANTOS 068***.***-** - INDEFERIDO CANDIDATO (A) NÃO APRESENTOU DOCUMENTAÇÃO EXIGIDA. GRASIELLE BEZERRA SILVA TEIXEIRA 960***.***-** 1 DEFERIDO BARBARA MENDES COUTINHO 733***.***-** 7 DEFERIDO ADRIANA FONTENELE DE PAULA 004***.***-** 7 INDEFERIDO CANDIDATO (A) NÃO APRESENTOU DOCUMENTAÇÃO EXIGIDA. MARCELO HENRIQUE DE OLIVEIRA LIMA 057***.***-** 1 INDEFERIDO CANDIDATO (A) NÃO APRESENTOU DOCUMENTAÇÃO EXIGIDA. MARIA DO AMPARO DAS CHAGAS LESSA BRITO 669***.***-** 1 INDEFERIDO CANDIDATO (A) NÃO APRESENTOU A DOCUMENTAÇÃO EM PDF. SEBASTIÃO LIMA DA SILVA MESSIAS 890***.***-** 6 DEFERIDO THALITA MENESES FRANCA 045***.***-** 8 DEFERIDO MARIA IZABEL MACHADO 027***.***-** - INDEFERIDO CANDIDATO (A) NÃO APRESENTOU DOCUMENTAÇÃO EXIGIDA. JOSELENE SOUZA PINTO 593***.***-** 1 DEFERIDO ROSIMAR VIEIRA DE SOUSA 784***.***-** 7 INDEFERIDO CANDIDATO (A) NÃO APRESENTOU DOCUMENTAÇÃO EXIGIDA. DENNIS CARNAÚBA SANTOS 925***.***-** 1 DEFERIDO LUDIMILA DE SOUSA PEREIRA 052***.***-** 1 INDEFERIDO CANDIDATO (A) NÃO APRESENTOU DOCUMENTAÇÃO EXIGIDA. TAINARA RODRIGUES CORDEIRO 133***.***-** - INDEFERIDO CANDIDATO (A) NÃO APRESENTOU O FORMULÁRIO NARAINA ALVES DE SOUZA 031***.***-** 6 INDEFERIDO CANDIDATO (A) NÃO APRESENTOU DOCUMENTAÇÃO EXIGIDA.
  • 254.
    NARAINA ALVES DESOUZA 031***.***-** 1 INDEFERIDO CANDIDATO (A) NÃO APRESENTOU DOCUMENTAÇÃO EXIGIDA. ANA LOPES DA SILVA 031***.***-** 5 INDEFERIDO CANDIDATO (A) NÃO APRESENTOU DOCUMENTAÇÃO EXIGIDA. GRASIELE VIEIRA LIMA 029***.***-** 1 INDEFERIDO CANDIDATO (A) NÃO APRESENTOU DOCUMENTAÇÃO EXIGIDA. MARGARETE SILVA DE OLIVEIRA 022***.***-** - INDEFERIDO CANDIDATO (A) NÃO APRESENTOU DOCUMENTAÇÃO EXIGIDA. GIULIANA ALVES BORGES DA SILVA 074***.***-** 1 INDEFERIDO CANDIDATO (A) NÃO APRESENTOU DOCUMENTAÇÃO EXIGIDA. ALCIONE VENANCIO DOS SANTOS 837***.***-** 1 INDEFERIDO CANDIDATO (A) NÃO APRESENTOU DOCUMENTAÇÃO EXIGIDA COMPLETA JANAÍNA LIMA RODRIGUES OLIVEIRA 994***.***-** 1 INDEFERIDO CANDIDATO (A) NÃO APRESENTOU DOCUMENTAÇÃO EXIGIDA. JANAÍNA LIMA RODRIGUES OLIVEIRA 994***.***-** 8 INDEFERIDO CANDIDATO (A) NÃO APRESENTOU DOCUMENTAÇÃO EXIGIDA. LILIAN DE OLIVEIRA GOMES 062***.***-** 1 DEFERIDO KARINNY SOARES PIRES 040***.***-** 1 INDEFERIDO CANDIDATO (A) NÃO APRESENTOU DOCUMENTAÇÃO EXIGIDA. LUCAS ALVES BORGES DA SILVA 074***.***-** 8 INDEFERIDO CANDIDATO (A) NÃO APRESENTOU DOCUMENTAÇÃO EXIGIDA. CAMILA PATRICIA DOS SANTOS MARTINS 015***.***-** 1 DEFERIDO DIANE CARLOS DE JESUS 039***.***-** 1 INDEFERIDO CANDIDATO (A) NÃO APRESENTOU DOCUMENTAÇÃO EXIGIDA. CLEIDE OLIVEIRA DE LUNA 386***.***-** 8 INDEFERIDO CANDIDATO (A) NÃO APRESENTOU O DOCUMENTO DE IDENTIFICAÇÃO FABIANA GONÇALVES DA SILVA 997***.***-** 6 DEFERIDO LUCIANE ALVES DE CASTRO SOUZA 010***.***-** 1 DEFERIDO ANA CLAUDIA LIMA SILVA 021***.***-** 1 DEFERIDO PEDRO HENRIQUE DE ALMEIDA OLIVEIRA 080***.***-** 1 INDEFERIDO CANDIDATO (A) NÃO APRESENTOU DOCUMENTAÇÃO EXIGIDA. AIDA IRIS DE OLIVIERA 098***.***-** - INDEFERIDO CANDIDATO (A) NÃO APRESENTOU A DOCUMENTAÇÃO EM PDF. RICARDO KLEBER SANTOS DE OLIVEIRA 372***.***-** 2 DEFERIDO RICARDO KLEBER SANTOS DE OLIVEIRA 372***.***-** 1 DEFERIDO ALEXIA NÁTALLY ARAÚJO MARINHO 057***.***-** 1 DEFERIDO ELMA VALERIANO DOS SANTOS DE OLIVEIRA 827***.***-** 1 DEFERIDO ELISANGELA DE AZEVEDO FARIA 022***.***-** 1 DEFERIDO JOELMO DE CASTRO OLIVEIRA 635***.***-** 8 DEFERIDO JOELMO DE CASTRO OLIVEIRA 635***.***-** 1 DEFERIDO NATALIA FRANCA VILLELA 039***.***-** 4 DEFERIDO DANIELA FERREIRA LIMA 953***.***-** 2 INDEFERIDO CANDIDATO (A) NÃO APRESENTOU DOCUMENTAÇÃO EXIGIDA. KARINA ANUNCIAÇÃO DE SOUZA 052***.***-** 1 DEFERIDO GIOVANNA ALVES BORGES DA SILVA 074***.***-** 1 INDEFERIDO CANDIDATO (A) NÃO APRESENTOU DOCUMENTAÇÃO EXIGIDA. MIKAELE PEREIRA FRANCISCO 049***.***-** 1 INDEFERIDO CANDIDATO (A) NÃO APRESENTOU O DOCUMENTO DE IDENTIFICAÇÃO KEVYN DIAS AMARAL 068***.***-** 1 INDEFERIDO CANDIDATO (A) NÃO APRESENTOU O DOCUMENTO DE IDENTIFICAÇÃO DAMARYS PASCOA LEAL MARTINS 032***.***-** 1 DEFERIDO ANA CAROLINA RIBEIRO CAETANO 039***.***-** 1 INDEFERIDO CANDIDATO (A) NÃO APRESENTOU O DOCUMENTO DE IDENTIFICAÇÃO GUILHERME RIPARDO LUSTOSA 056***.***-** 1 DEFERIDO LUZIA LUCIA ARAÚJO SANTOS 928***.***-** 7 DEFERIDO EDUARDO GONCALVES MOTA 053***.***-** 1 DEFERIDO SAMUEL CAMPOS NOGUEIRA 075***.***-** 1 DEFERIDO LEONARDO DANTAS ORELLI 011***.***-** 4 DEFERIDO
  • 255.
    VALERIA FERNANDES DEOLIVEIRA 601***.***-** 1 DEFERIDO MARCIO DA CUNHA TRAPIA 601***.***-** 8 DEFERIDO KARLA REGINA SANTOS DIAS 833***.***-** 1 DEFERIDO ISABELLA RIBEIRO TEXEIRA DE SOUZA 047***.***-** 8 DEFERIDO LEANDRA SOUZA DE OLIVEIRA 998***.***-** 7 DEFERIDO ARIADNA FERREIRA DE SOUZA 046***.***-** 8 DEFERIDO PAULA CRISTINA MOREIRA 825***.***-** 1 DEFERIDO LYAN ARTHUR CAMPELO DE AQUINO 072***.***-** 8 DEFERIDO ROSELANE DOS SANTOS CAMPELO 012***.***-** 8 DEFERIDO GISELLE DE ARAUJO CHAGAS 015***.***-** 1 DEFERIDO BRUNO XAVIER DA SILVA 049***.***-** 1 DEFERIDO BRUNO XAVIER DA SILVA 049***.***-** 2 DEFERIDO VALERIA MOTA DE MOURA 042***.***-** 2 DEFERIDO MARIA ROSIELE PEREIRA FONSECA 085***.***-** 1 DEFERIDO GONÇALO MINEIRO DA SILVA 010***.***-** 1 DEFERIDO PEDRO HENRIQUE MENDES DE ALMEIDA 037***.***-** 1 DEFERIDO EDINALDO RODRIGUES LIMA 031***.***-** 4 DEFERIDO HAILTON DIAS DE ANDRADE 041***.***-** 1 DEFERIDO HAILTON DIAS DE ANDRADE 041***.***-** 3 DEFERIDO