ABES – ASSOCIAÇÃO BRASILEIRA DE ENGENHARIA SANITARIA
E AMBIENTAL - SEÇÃO DE ALAGOAS
RESÍDUOS SÓLIDOS URBANOS: COLETA E
DESTINO FINAL
FEVEREIRO/2003
Resíduos Sólidos: Coleta e Destinação Final
ABES - Francisco Humberto de Carvalho Jr
2
ABES – ASSOCIAÇÃO BRASILEIRA DE ENGENHARIA SANITÁRI A E AMBIENTAL
ELABORAÇÃO:
FRANCISCO HUMBERTO DE CARVALHO JÚNIOR
Engenheiro Civil, M. Sc. Saneamento Ambiental
FRANCISCO RÉGIS CARNEIRO
Engenheiro Civil
RAIMUNDO COSTA NOGUEIRA
Engenheiro Agrônomo
SANZIO CORREIA GONÇALVES
Engenheiro Civil
CONTATO:
frabeto@baydenet.com.br
Fone: 85 – 264 6497/ 262-6903
Resíduos Sólidos: Coleta e Destinação Final
ABES - Francisco Humberto de Carvalho Jr
3
APRESENTAÇÃO
Os gastos destinados na área de resíduos sólidos são poucos e muito fragilizados do
ponto de vista de sua sustentabilidade por não haver uma política de sustentação e
capacitação técnica. O município, na sua maioria, não possui pessoal capacitado nem os
métodos que possibilitem um entendimento técnico-científico do assunto.
Portanto, o intuito do presente trabalho é fomentar a capacitação técnica dos municípios
na área de limpeza urbana e das empresas prestadoras de serviços de limpeza urbana,
formando multiplicadores para o acompanhamento das ações voltadas à gestão
integrada de resíduos sólidos urbanos nos municípios cearenses, dentro de uma visão
técnica viável, de modo que os técnicos possam estar aptos a acompanhar os
empreendimentos na área em questão, seja do ponto de vista ambiental, tecnológico ou
social.
Com a participação de consultores experientes na área de resíduos sólidos, reunimos
este material para que os técnicos das prefeituras e de empresas, tenham condições de
dar sustentabilidade às ações de resíduos sólidos desenvolvidas nos seus municípios, e
assim, procuramos contribuir com a melhoria de vida da comunidade cearense.
Resíduos Sólidos: Coleta e Destinação Final
ABES - Francisco Humberto de Carvalho Jr
4
SUMÁRIO
1 – HISTÓRIA DA LIMPEZA PÚBLICA ................................................................ 7
1.1 - Cidade do Rio de Janeiro ............................................................................... 7
1.2 - Cidade de São Paulo ................................................................................... 11
2 – GESTÃO E GERENCIAMENTO INTEGRADO DE RESÍDUOS SÓLIDOS... 13
2.1 – Conceito..................................................................................................... 13
2.2 – Elementos Indispensáveis na Composição de um Modelo de Gestão .............. 14
2.3 – Modelo Tecnológico .................................................................................... 15
2.4 – Modelos Institucionais ................................................................................. 15
2.4.1 – Objetivo ............................................................................................... 15
2.4.2 – Formas de Administração...................................................................... 16
2.5 – Remuneração dos Serviços ......................................................................... 18
2.5.1 – Cálculo da Taxa de Coleta de Lixo – TCL ............................................... 19
2.6 – Valorização dos Resíduos Sólidos................................................................ 20
2.6.1 – Conceito dos Três R’s: Reduzir, Reutilizar e Reciclar............................... 20
3. LIXO OU RESÍDUOS SÓLIDOS, O QUE SIGNIFICA? ................................... 28
4 – RESÍDUOS SÓLIDOS (LIXO) - ORIGEM E COMPOSIÇÃO......................... 31
4.1 – Conceito..................................................................................................... 31
4.2 - Fatores que Influenciam a Origem e a Formação do Lixo ................................ 31
4.3 - Classificação do Lixo ................................................................................... 31
4.4 - Composição do Lixo ................................................................................. 33
4.4.1 - Caracterização Física do Lixo................................................................. 34
4.5 - Considerações sobre os Componentes Potencionalmente Perigosos............... 36
5 - LIXO E POLUIÇÃO ........................................................................................ 38
5.1 - Poluição do Solo.......................................................................................... 38
5.2 - Poluição do Ar............................................................................................. 39
5.3 - Poluição das Águas ..................................................................................... 40
5.3.1 - Poluição física....................................................................................... 40
5.3.2 - Poluição química................................................................................... 40
5.3.3 - Poluição bioquímica............................................................................... 40
5.3.4 - Poluição biológica ................................................................................. 41
6 - SERVIÇOS DE LIMPEZA OU MANEJO DE RESÍDUOS............................... 42
6.1 - Introdução................................................................................................... 42
6.2 – Critério para se Planejar os Serviços de Limpeza .......................................... 42
6.3 – Participação Social na Gestão dos Serviços de Limpeza Urbana .................... 43
6.4 – Tipos de Serviços de Limpeza...................................................................... 46
6.4.1 - Acondicionamento................................................................................. 46
6.4.1.1 - Formas de acondicionamento ou tipos de recipientes......................... 46
6.4.2 - Coleta e Transporte do Lixo Domiciliar .................................................... 50
6.4.3 - Coleta para serviços de saúde e hospitalar.............................................. 52
6.4.4 - Outros serviços de limpeza .................................................................... 54
6.4.4.1-Varrição e raspagem de vias.............................................................. 54
6.4.4.2 - Capinação e roçagem...................................................................... 57
6.4.4.3 - Coleta de materiais diversos e entulhos ............................................ 58
Resíduos Sólidos: Coleta e Destinação Final
ABES - Francisco Humberto de Carvalho Jr
5
6.4.4.4 - Remoção de animais mortos............................................................ 58
6.4.4.5 - Limpeza de feiras livres e mercados ................................................. 58
6.4.4.6 - Limpeza de praias........................................................................... 58
6.4.4.7 - Limpeza de bocas de lobo, galerias, córregos e canais ...................... 58
6.4.4.8 - Pintura de meio-fio .......................................................................... 59
6.4.4.9 - Coleta de reciclados ou seletiva ....................................................... 59
6.4.4.10 - Outros serviços............................................................................. 59
7 - COLETA ......................................................................................................... 60
7.1 -Tipos de Coletas........................................................................................... 60
7. 2 - Dimensionamento de uma Coleta Domiciliar ................................................. 61
7.3 - Dimensionamento de uma Coleta Regular ..................................................... 61
7.4. - Etapas para Dimensionar uma Coleta Domiciliar ........................................... 62
7.4.1- Passos.................................................................................................. 62
7.5 - Custos de Coleta e Transporte...................................................................... 71
7.5.1 - Custos.................................................................................................. 71
7.5.1.1 - Classificação .................................................................................. 71
7.5.2 - Custos Unitários.................................................................................... 73
8 – DISPOSIÇÃO FINAL DO LIXO...................................................................... 74
8.1 - Introdução................................................................................................... 74
8.2 - Formas de disposição de resíduos sólidos: .................................................... 74
8.2.1 - Por Aterramento.................................................................................... 74
8.2.2 - Por Incineração..................................................................................... 75
8.2.3 - Por Triagem.......................................................................................... 75
8.3 - Classificação de Aterros Sanitários ............................................................... 76
8.4 - Definições Básicas de: ................................................................................. 77
8.5 - Escolha do Modelo de Tratamento dos Resíduos Sólidos (Lixo) ...................... 77
8.6 - O Projeto de Aterro Sanitário ........................................................................ 77
8.6.1 - Definição de Parâmetros........................................................................ 77
8.6.2 - Escolha da Área.................................................................................... 78
8.6.3 - Dimensionamento da Área do Aterro Sanitário......................................... 78
8.6.4 - Cálculos para Determinação do Total de ha e Trincheiras......................... 80
8.6.5 - Identificação e Utilização da Área ........................................................... 80
8.6.6 - Infra-Estrutura Básica ............................................................................ 80
8.7 - Sistema Operacional.................................................................................... 81
8.7.1 - Abertura de uma Trincheira.................................................................... 81
8.7.2 - Método da Trincheira............................................................................. 82
8.7.3 - Método da Área..................................................................................... 82
8.7.4 - Controle do Chorume e Gases............................................................... 82
8.7.5 - Controle do Chorume............................................................................. 82
8.7.6 - Operação Diária (descarrego, espalhamento, compactação e recobrimento) ...... 82
8.8 - Considerações Finais................................................................................... 83
8.8.1 - Caracterização do Lixo X Peso Específico Adotado.................................. 83
8.8.2 - Sistema de Pesagem e Horário de Recebimento do Lixo .......................... 83
8.8.3 - Operação em Períodos de Chuvas ......................................................... 83
8.8.4 - Vigilância e Sinalização ......................................................................... 84
8.8.5 - Conservação e Manutenção................................................................... 84
8.8.6 - Monitoramento das Águas Subterrâneas, dos Líquidos Percolados e Chorume....... 84
8.9 - Conclusão................................................................................................... 84
Resíduos Sólidos: Coleta e Destinação Final
ABES - Francisco Humberto de Carvalho Jr
6
8.10 – Figuras..................................................................................................... 84
8.11 - Licenciamento de Projetos.......................................................................... 88
9 - TRATAMENTO ............................................................................................... 90
9.1 – Segregação de Materiais e Reciclagem ........................................................ 91
9.2 – Compostagem ............................................................................................ 93
10 – PLANO DE GERENCIAMENTO INTEGRADO DE RESÍDUOS SÓLIDOS. 94
10.1 – Conceito................................................................................................... 94
10.2 – Escopo Básico do Plano de Gerenciamento Integrado de Resíduos Sólidos... 95
10.2.1 – Diagnóstico ........................................................................................ 95
10.2.2 – Proposições ....................................................................................... 96
11 – BIBLIOGRAFIAS ....................................................................................... 107
Resíduos Sólidos: Coleta e Destinação Final
ABES - Francisco Humberto de Carvalho Jr
7
1 – HISTÓRIA DA LIMPEZA PÚBLICA
1.1 - Cidade do Rio de Janeiro
Preto do lixo - Briggs
Biblioteca Nacional
Os povos da Antigüidade, enquanto viveram como nômades, não tiveram problemas de
canalização de água, instalação de rede de esgoto e remoção de lixo.
Roma, cidade fundada em 753 a.C., era dotada de serviço de esgoto e tinha a melhor
rede de estradas da época, mas não dispunha de nenhum serviço de limpeza pública. Os
Romanos costumavam atirar seu lixo em qualquer lugar e já naquela época, os
governantes colocavam placas com as inscrições "não jogue lixo aqui".
Em Londres, um edital de 1354 publicados na capital, dizia que o lixo deveria ser
removido da frente das casas uma vez pôr semana. Embora várias leis zelassem pelo
recolhimento do lixo, o método mais comum na época era a população jogá-lo nos rios.
No ano de 1407, os londrinos foram instruídos a guardar o lixo dentro de casa até ser
levado pelo coletor. Esta forma de recolhimento durou cinco séculos sem mudanças. As
autoridades, contudo, encontraram dificuldades em manter os regulamentos. Até mesmo
o pai de Shakespeare foi punido, flagrado jogando lixo na rua em 1551.
Carroça de coleta de lixo na
antiga Tchecoslováquia no séc. XIX
As campanhas de limpeza pública não eram novidades em Paris. Os parisienses,
ignorando os apelos governamentais, continuaram a jogar lixo nas ruas. Entre 1506 e
Resíduos Sólidos: Coleta e Destinação Final
ABES - Francisco Humberto de Carvalho Jr
8
1608, Paris ficou conhecida como a cidade mais suja da Europa. Este problema só
começou a ser superado a partir de 1919, quando 300 veículos circulavam na cidade
para fazer a coleta. O uso obrigatório da lata de lixo, instituído pelo prefeito Poubelle,
levou os franceses a adotarem o nome "poubelle" para as cestas coletoras.
Viena é até hoje conhecida como a cidade mais limpa da Europa, título conquistado
desde a época do Império Austro-Húngaro. Por volta de 1340, em Boemia, na antiga
Tchecoslováquia, já se estudava a melhor maneira de se limpar uma cidade.
Cada cidade, cada país, ao longo da sua história, se defrontou com a problemática do
lixo. Cada qual deu sua solução para o problema, de acordo com seu desenvolvimento
tecnológico, seus recursos econômicos e a vontade de resolver a questão.
No Brasil, aos olhos do Governador Mém de Sá, edificar a cidade em região aquosa, era
um problema quase insolúvel que demandava gasto de muito dinheiro, tempo e
engenharia.
No Rio do século XVI, dinheiro não se contava em notas de papel, mas em barras de
melaço, a forma pela qual a cana de açúcar era beneficiada e exportada para a Europa.
Foi exatamente nesta conjuntura, em que predominou o espírito mercantilista - o mínimo
de investimento para o máximo de lucro - que o Rio de Janeiro começou a se formar
como cidade. Edificada sem método e crescendo ao sabor das circunstâncias, sejam de
ordem econômica ou outra ordem do momento, a cidade do Rio se desenvolveu sem
preocupações que fossem além do futuro imediato.
Em 1760, a cidade chegava aos 30 mil habitantes. Nessa época, atirava-se lixo por todas
as partes.
Aqueles residentes próximos ao mar o jogavam na praia e os moradores vizinhos às
lagoas, pântanos, ou rios, ali mesmo faziam seus despejos.
E assim cresceu o Rio, num quadro sanitário e de higiene que prenunciava uma crise. A
manter-se a defasagem entre o ritmo de crescimento da população, da cidade e da
melhoria de sua condição higiênico-sanitária, o século XIX iria assistir trágicas
conseqüências desta crise.
ESTRUTURAÇÃO DOS SERVIÇOS DE LIMPEZA
Escravos limpando a rua - Debret - séc. XVIII - Museus Castro Maia
A primeira postura da Câmara Municipal do Rio de Janeiro referente à limpeza, data de
1830, e curiosamente versava sobre: "limpeza, desempachamento das ruas e praças,
providências contra a divagação de loucos, embriagados e animais ferozes e os que
podiam incomodar o público". Estas posturas eram basicamente normativas, isto é,
Resíduos Sólidos: Coleta e Destinação Final
ABES - Francisco Humberto de Carvalho Jr
9
definem proibições e estabelecem sanções quanto ao despejo de lixo nas vias públicas.
No entanto, mesmo algumas dessas posturas já se traduzem num arremedo do que
seriam os serviços de limpeza pública no futuro. Vários outros projetos e tentativas no
que tange à limpeza da cidade pedindo concessões são apresentados à Câmara, a
maioria deles indeferidos. Aqueles que não foram indeferidos acabaram antes de
começar.
ALEIXO GARY: UMA REVOLUÇÃO NA LIMPEZA URBANA
Uma discreta notícia inserta na Gazeta de Notícias de 11 de outubro de 1876, sobre o
novo contratante da limpeza urbana da cidade, deixa antever importantes mudanças na
administração e execução do serviço de limpeza urbana. Aleixo Gary, francês de origem,
inaugurava uma nova era na história da limpeza pública no Rio, apoiado principalmente
em sua eficiência de trabalho.
Em 1885, o governo resolve contratar, provisoriamente, Aleixo Gary para o serviço de
limpeza das praias e remoção do lixo da cidade para Ilha de Sapucaia, localizada no
bairro chamado Caju. Aproveitando-se das circunstâncias, Gary tentou, com uma
proposta, concentrar todo o conjunto de atividades da limpeza - logradouros, remoção do
lixo das casas particulares, praias e transporte do lixo para Sapucaia - em suas mãos,
isto é, monopolizar o setor.
Mas, sua proposta não teve sucesso, sendo recusada pelo governo. Gary, no entanto, se
mantém como responsável pelo serviço de limpeza na cidade e remoção de lixo para
Sapucaia até 1891, data do término do seu contrato. Nesse mesmo ano, Aleixo Gary se
afasta da empresa deixando seu parente, Luciano Gary. No ano seguinte, porém, a
empresa parece ter sido extinta, pois em documento de 1892, o Ministério da Justiça se
dirige ao Prefeito requisitando "O pagamento a Aleixo Gary e Cia de 232.238 contos de
réis pelo qual o governo adquiriu o material de extinta empresa de limpeza".
Cria-se a Superintendência de
Limpeza Pública e Particular da
Cidade. Gary deixara marca na
história da limpeza urbana
pública no Rio de Janeiro. Tão
forte foi a atuação desse
empresário que os empregados
encarregados pela limpeza, os
lixeiros, passaram a ser
chamados de "garis".
Os serviços desta superintendência, no entanto, deixam a desejar. Os problemas se
agravam e em 1897, a Prefeitura resolve contratar novamente serviços particulares, que
pôr sua vez, não conseguiram cumprir com os seus contratos, o que faz então a
prefeitura em 1899 retomar seus serviços de limpeza da cidade. Em 1904, a prefeitura
compra o terreno da Rua Major Ávila, n.º 358, na Tijuca, onde se localiza a sede da
COMLURB. Em 1906, o serviço de limpeza urbana dispunha de 1084 animais, já
insuficientes para a limpeza da cidade que produzia 560 toneladas de lixo. É assim que, a
título de experiência, são adquiridos dois auto-caminhões. Seria o início da passagem do
uso animal para o uso mecânico na coleta
Resíduos Sólidos: Coleta e Destinação Final
ABES - Francisco Humberto de Carvalho Jr
10
SÉCULO XX
No início do século XX, o Prefeito Pereira
Passos foi o primeiro governante a
terminar o mandato, depois de muitos
anos de crise na prefeitura.
Neste sentido, a estrutura organizacional
dos serviços de limpeza urbana da
cidade sofre grande transformação,
passando de Superintendência
Subordinada à Diretoria de Higiene à
Superintendência Autônoma.
Os técnicos especialistas fizeram vários
estudos para viabilizar o destino final do
lixo. A construção de um grande forno foi
motivo de debate nas décadas de 20 a
40, não se chegando a uma conclusão. Na década de 40, o processo mais usado é ainda
o vazadouro no mar, nos aterros do Amorim e o do Retiro Saudoso (Caju).
Nesta época, os garis ganham os primeiros uniformes oficiais da prefeitura. Foram
necessários 5000 uniformes. Também em 1940, a Diretoria Geral de limpeza pública e
particular passa a ser o Departamento de Limpeza Urbana, DLU, subordinado à
Secretaria de Obras.
Uma medida inovadora do DLU foi o uso dos caminhões coletores compactadores, até
hoje utilizados, e a introdução do hábito de embalar o lixo em sacos por parte da
população.
Ligado à mudança de hábitos e de consumo, um maior número de automóveis aparece
nas ruas, criando um novo problema para a limpeza das calçadas e sarjetas devido ao
uso indiscriminado destas para estacionamento. Problema, aliás, que permanece até os
dias atuais.
Em 1975, o Estado de Guanabara uniu-se ao antigo Estado do Rio de Janeiro. Esta fusão
transformou a cidade do Rio de Janeiro em Município, capital do novo Estado. O antigo
DLU passou pelo nome de Celurb, e, com a fusão, passou a chamar-se COMLURB,
agora uma empresa da Prefeitura da Cidade do Rio de Janeiro.
Em 1996, mais de 100 anos após o surgimento da empresa Aleixo Gary e 20 anos depois
da constituição da COMLURB, observa-se que o serviço de limpeza continua a ser um
dos mais visados pela opinião pública.
Da coleta do lixo pela tração animal chegou-se à tração mecânica, evoluindo para o
caminhão e modernizando-se com a coleta semi - automatizada.
Resíduos Sólidos: Coleta e Destinação Final
ABES - Francisco Humberto de Carvalho Jr
11
Do tonel em que os escravos carregavam o lixo, dos acondicionamentos improvisados,
do uso dos sacos plásticos, passou-se pelos latões, voltou-se aos sacos plásticos e deu-
se um salto para a modernidade com os contêineres de plástico usados atualmente na
Europa.
Atualmente, a empresa responsável pelo gerenciamento da limpeza pública da cidade do
Rio de Janeiro é a COMLURB. São coletados 6.200 t/dia.
1.2 - Cidade de São Paulo
Até 1869, os paulistanos tinham de enterrar o lixo no quintal ou então utilizá-lo para
adubar hortas. Não havia serviço de coleta na cidade. A partir desse ano, a prefeitura
coloca nas ruas veículos de tração animal para coletar o lixo domiciliar.
No final do século XIX surgiram as primeiras iniciativas de serviços de destinação final
dos serviços de destinação final dos resíduos sólidos gerados no Município de São
Paulo.
Em 1869, a Câmara Municipal contratou, pela primeira vez, uma empresa particular para
realizar a coleta domiciliar.
Em 1892, foi criado o Serviço de Limpeza Pública e em 1893, foi celebrado novo contrato
com uma empresa de limpeza, incluindo, além da coleta domiciliar, serviços de varrição e
lavagem de ruas, limpeza de bueiros e bocas de lobo, incineração do lixo e limpeza de
mercados.
No início do século XX, a população da cidade de São Paulo contava com 240 mil
habitantes e produzia aproximadamente, 10 t/dia de lixo, as quais eram destinadas a
locais a céu aberto, sem qualquer controle ambiental ou sanitário.
Em 1914, o então Prefeito Washington Luiz determinava que os serviços de limpeza
pública passassem a ser operados diretamente pela Municipalidade.
Em 1915, a entrega do lixo “In natura" aos chacareiros era seriamente criticada pelas
autoridades sanitaristas.
A partir de 1925, passou-se a utilizar um processo de fermentação em estações
zimotérmicas, a qual pode ser considerado um sistema precursor de compostagem.
Em 1940, a frota de veículos contava com 1.500 animais, além de uma equipe de
veterinários, cavalariços e infra-estrutura de selarias, cocheiras e pasto.
Resíduos Sólidos: Coleta e Destinação Final
ABES - Francisco Humberto de Carvalho Jr
12
Em 1950, a população já era de dois milhões de habitantes e produzia cerca de 1.000
t/dia de resíduos sólidos. Nessa época já estava operando o incinerador de Pinheiros,
inaugurado em 1949, de tecnologia americana.
Em 1971, realizou-se a primeira experiência com sacos plásticos polietileno, no bairro de
Bela Vista.
Atualmente, a cidade produz 12 mil toneladas de resíduos sólidos urbanos por dia. Hoje
existem três aterros em operação - Bandeirantes, São João e Santo Amaro, que recebem
90% dos resíduos produzidos. Há ainda um quarto aterro, somente para material inerte: o
Itaitinga recebe mil toneladas/dia de entulhos de construção e terra. São Paulo conta com
apenas duas usinas de compostagem: Vila Leopoldina e São Matheus. O lixo hospitalar e
de serviços de saúde vira cinza em dois incineradores - Ponte Pequena e Vergueiro. As
cinzas vão para o aterro. O centro de triagem e reciclagem de Pinheiros recebe material
reciclável. Existem ainda duas estações de transbordo, para redução dos custos de
transportes da coleta. A prefeitura pretende construir mais dois incineradores na cidade,
para aumentar a vida útil dos aterros atuais, em fase de esgotamento.
Dos tempos imperiais aos dias atuais, os serviços de limpeza urbana vivenciaram
momentos bons e ruins. Hoje, a situação da gestão dos resíduos sólidos se apresenta em
cada cidade brasileira de forma diversa, prevalecendo, entretanto, uma situação nada
alentadora.
Considerado um dos setores do saneamento básico, a gestão dos resíduos sólidos não
tem merecido a atenção necessária por parte do poder público. Com isso, compromete-
se cada vez mais a já combalida saúde da população, bem como degradam-se os
recursos naturais, especialmente o solo e os recursos hídricos. A interdependência dos
conceitos de meio ambiente, saúde e saneamento é hoje bastante evidente, o que
reforça a necessidade de integração das ações desses setores em prol da melhoria da
qualidade de vida da população brasileira.
Com um retrato desse universo de ação, há de se considerar que mais de 70% dos
municípios brasileiros possuem menos de 20 mil habitantes, e que a concentração
urbana da população no país ultrapassa a casa dos 80%. Isso reforça as preocupações
com os problemas ambientais urbanos e, entre estes, gerenciamento dos resíduos
sólidos, cuja atribuição pertence à esfera da administração pública local.
Resíduos Sólidos: Coleta e Destinação Final
ABES - Francisco Humberto de Carvalho Jr
13
2 – GESTÃO E GERENCIAMENTO INTEGRADO DE RESÍDUOS SÓLIDOS
2.1 – Conceito
O conceito de gestão de resíduos sólidos
abrange atividades referentes à tomada de
decisões estratégicas com relação aos aspectos
institucionais, administrativos, operacionais,
financeiros e ambientais, enfim à organização do
setor para esse fim, envolvendo políticas,
instrumentos e meios.
Gerenciamento é o conjunto articulado de ações normativas, operacionais,
financeiras e de planejamento que uma administração municipal desenvolve, apoiada em
critérios sanitários, ambientais e econômicos, para coletar, tratar e dispor o lixo de uma
cidade, ou seja: é acompanhar de forma criteriosa todo o ciclo dos resíduos, da geração
à disposição final (“do berço ao túmulo”), empregando as técnicas e tecnologias mais
compatíveis com a realidade local, dando-lhe um destino final ambientalmente seguro,
tanto no presente, como no futuro.
O gerenciamento integrado focaliza com mais nitidez os objetivos importantes
da questão, que é a elevação da urbanidade em um contexto mais nobre para a vivência
da população, onde haja manifestações de afeto à cidade e participação efetiva da
comunidade no sistema, sensibilizada a não sujar as ruas, a reduzir descarte, a
reaproveitar os materiais e reciclá-los antes de encaminhá-los ao lixo.
Por conta desse conceito, no gerenciamento integrado são preconizados
programas da limpeza urbana, enfocando meios para que sejam obtidos a máxima
redução da produção de lixo, máximo reaproveitamento e reciclagem de materiais e,
ainda, a disposição dos resíduos de forma mais sanitária e ambientalmente adequada,
abrangendo toda a população e a universalidade dos serviços. Essas atitudes contribuem
significativamente para a redução dos custos do sistema, além de proteger e melhorar o
ambiente.
Cada município deve buscar o seu próprio modelo de gerenciamento,
sabendo que: a quantidade e qualidade de lixo gerada por um município é
principalmente função de sua população, economia e grau de
urbanização.
CEMPRE(1995)
"O manejo ambientalmente saudável de resíduos deve ir além da simples
deposição ou aproveitamento por métodos seguros dos resíduos gerados
e buscar desenvolver a causa fundamental do problema, procurando
mudar os padrões não-sustentáveis de produção e consumo. Isto implica a
utilização do conceito de manejo integrado do ciclo vital, o qual apresenta
oportunidade única de conciliar o desenvolvimento com a proteção do
meio ambiente."
Agenda 21, capítulo 21
Resíduos Sólidos: Coleta e Destinação Final
ABES - Francisco Humberto de Carvalho Jr
14
O gerenciamento integrado, portanto,
implica a busca contínua de parceiros,
especialmente junto às lideranças da
sociedade e das entidades importantes na
comunidade, para comporem o sistema.
Também é preciso identificar as alternativas
tecnológicas necessárias a reduzir os
impactos ambientais decorrentes da geração
de resíduos, atendimento das aspirações
sociais e aos aportes econômicos que
possam sustentá-lo.
Finalmente, o gerenciamento integrado revela-se com a atuação de
subsistemas específicos que demandam instalação, equipamentos, pessoal e tecnologia,
não somente disponíveis na prefeitura, mas oferecidos pelos demais agentes envolvidos
na gestão, entre os quais se enquadram:
• a própria população, empenhada na separação e acondicionamento
diferenciado dos materiais recicláveis em casa;
• os grandes geradores, responsáveis pelos próprio rejeitos;
• os catadores, organizados em cooperativas, capazes de atender à coleta
de recicláveis oferecidos pela população e comercializá-los junto às fontes de
beneficiamento;
• os estabelecimentos que tratam da saúde, tornando-os inertes ou
oferecidos à coleta diferenciada, quando isso for imprescindível;
• a prefeitura, através de seus agentes, instituições e empresas contratadas,
que por meio de acordos, convênios e parcerias exerce, é claro, papel
protagonista no gerenciamento integrado de todo o sistema.
2.2 – Elementos Indispensáveis na Composição de um Modelo de Gestão
• reconhecimento dos diversos agentes sociais envolvidos, identificando
os papéis por eles desempenhados promovendo a sua articulação;
Políticas, sistemas e arranjos de parceria diferenciados deverão ser
articulados para tratar de forma específica os resíduos recicláveis, tais
como o papel, metais, vidros e plásticos; resíduos orgânicos, passíveis de
serem transformados em composto orgânico, para enriquecer o solo
agrícola; entulho de obras, decorrentes de sobra de materiais de
construção e demolição, e finalmente os resíduos provenientes de
estabelecimentos que tratam da saúde.
Esses materiais devem ser separados na fonte de produção pelos
respectivos geradores, e daí seguir passos específicos para remoção,
coleta, transporte, tratamento e destino correto. Conseqüentemente, os
geradores têm de ser envolvidos, de uma forma ou de outra, para se
integrarem à gestão de todo o sistema.
IBAM (2001)
Resíduos Sólidos: Coleta e Destinação Final
ABES - Francisco Humberto de Carvalho Jr
15
• consolidação da base legal necessária e dos mecanismos que
viabilizem a implementação das leis;
• mecanismos de financiamento para a auto-sustentabilidade das
estruturas de gestão e do gerenciamento;
• informação à sociedade, empreendida tanto pelo poder público quanto
pelos setores produtivos envolvidos, para que haja um controle social;
• sistema de planejamento integrado, orientando a implementação das
políticas públicas para o setor.
2.3 – Modelo Tecnológico
O modelo tecnológico de um sistema de gestão de resíduos sólidos deve ser
baseado em um programa de manejo diferenciado de tratamento descentralizado de
resíduos ou de manejo ambiental de resíduos.
O manejo diferenciado deve promover a segregação
dos resíduos na própria fonte geradora, dando a cada tipo de
resíduos um tipo de tratamento adequado, incentivando a
redução, reutilização e reciclagem dos mesmos.
Este programa deve ser composto de projetos de:
• reciclagem de materiais inorgânicos e compostagem de resíduos
orgânicos (de grandes produtores, feiras livres e sacolões), misturados
com podas de parques e jardins;
• coleta seletiva de recicláveis (papel, papelão, metal, vidro e plástico);
• reciclagem de resíduos de construção civil (entulho/metralha);
• projeto de transformação de lixões em aterros sanitários (remediação
ou outro processo);
• aterro sanitário celular para tratamento de resíduos.
Convém salientar, que o aproveitamento constante dos serviços prestados à
comunidade com a adequação de equipamento e instalações, visando à qualidade do
atendimento à população, deve ser contínuo e permanente, com aprimoramento
constante por parte do poder público.
2.4 – Modelos Institucionais
2.4.1 – Objetivo
O sistema de limpeza urbana da cidade pode ser institucionalizado segundo
um modelo de gestão que, tanto quanto possível, seja capaz de:
• promover a sustentabilidade econômica das operações;
• preservar o meio ambiente;
• preservar a qualidade de vida da população;
• contribuir para a solução dos aspectos sociais envolvidos com a
questão.
Em todos os segmentos operacionais do sistema deverão ser escolhidas
alternativas que atendam simultaneamente a duas condições fundamentais:
Resíduos Sólidos: Coleta e Destinação Final
ABES - Francisco Humberto de Carvalho Jr
16
• sejam as mais econômicas;
• sejam tecnicamente corretas para o ambiente e para a saúde da
população.
O modelo de gestão deverá não somente permitir, mas sobretudo facilitar a
participação da população na questão da limpeza urbana da cidade, para que esta se
conscientize das várias atividades que compõem o sistema e dos custos requeridos para
sua realização, bem como se conscientize de seu papel como agente consumidor e, por
conseqüência, gerador de lixo. A conseqüência direta dessa participação traduz-se na
redução da geração de lixo, na manutenção dos logradouros limpos, no
acondicionamento e disposição para a coleta adequada, e, como resultado final, em
operações dos serviços menos onerosas.
É importante que a população saiba que é ela quem remunera o sistema,
através do pagamento de impostos, taxas ou tarifas. Em última análise, está na própria
população a chave para a sustentação do sistema, implicando por parte do Município a
montagem de uma gestão integrada que inclua, necessariamente, um programa de
sensibilização dos cidadãos e que tenha uma nítida predisposição política voltada para a
defesa das prioridades inerentes ao sistema de limpeza urbana.
Essas defesas deverão estar presentes na definição da política fiscal do
Município, técnica e socialmente justa, e, conseqüentemente, dotações orçamentárias
necessárias à sustentação econômica do sistema, na educação ambiental e no
desenvolvimento de programas geradores de emprego e renda.
A instrumentação política concretiza-se na aprovação do regulamento de
limpeza urbana da cidade, que legitima o modelo de gestão adotado e as posturas de
comportamento social obrigatórias, assim como as definições de infrações e multas. O
regulamento deverá espelhar com nitidez os objetivos do poder público na
conscientização da população para a questão da limpeza urbana e ambiental.
2.4.2 – Formas de Administração
A Constituição Federal, em seu art. 30, inciso V, dispõe sobre a competência
dos municípios em "organizar e prestar, diretamente ou sob regime de concessão ou
permissão, os serviços públicos de interesse local, incluído o transporte coletivo, que tem
caráter essencial".
O que define e caracteriza o "interesse local" é a predominância do interesse
dos Municípios sobre os interesses do Estado ou da União. No que tange aos municípios,
portanto, encontram-se sob a competência dos mesmos os serviços públicos essenciais,
de interesse predominantemente local e, entre esses, os serviços de limpeza urbana.
O sistema de limpeza urbana da cidade pode ser administrado das seguintes
formas:
O serviço público é uma atividade
assumida por uma coletividade pública,
com vistas à satisfação a uma necessidade
de interesse geral.
IBAM (2001)
Resíduos Sólidos: Coleta e Destinação Final
ABES - Francisco Humberto de Carvalho Jr
17
diretamente pelo Município;
através de uma empresa pública específica;
através de uma empresa de economia mista criada para desempenhar
especificamente essa função.
Independentemente disso, os serviços podem ser ainda objeto de concessão
ou terceirizados junto à iniciativa privada. As concessões e terceirizações podem ser
globais ou parciais, envolvendo um ou mais segmentos das operações de limpeza
urbana. Existe ainda a possibilidade de consórcio com outros municípios, especialmente
nas soluções para a destinação final dos resíduos.
Concessão
Na concessão, a concessionária planeja, organiza, executa e coordena o
serviço, podendo inclusive terceirizar operações e arrecadar os pagamentos referentes à
sua remuneração, diretamente junto ao usuário/beneficiário dos serviços. As concessões
em geral são objeto de contratos a longo termo que possam garantir o retorno dos
investimentos aplicados no sistema. Mas a grande dificuldade está nas poucas garantias
que as concessionárias recebem quanto à arrecadação e o pagamento dos seus serviços
e na fragilidade dos municípios em preparar os editais de concessão, conhecer custos e
fiscalizar serviços.
Terceirização
A terceirização consolida o conceito próprio da administração pública, qual
seja, de exercer as funções prioritárias de planejamento, coordenação e fiscalização,
podendo deixar às empresas privadas a operação propriamente dita. É importante
lembrar que a terceirização de serviços pode ser manifestada em diversas escalas,
desde a contratação de empresas bem estruturadas com especialidade em determinado
segmento operacional – tais como as operações nos aterros sanitários – até a
contratação de microempresas ou trabalhadores autônomos, que possam promover, por
exemplo, coleta com transporte de tração animal ou a operação manual de aterros de
pequeno porte.
Consórcio
O consórcio caracteriza-se com um acordo entre municípios com o objetivo
de alcançar metas comuns previamente estabelecidas. Para tanto, recursos – sejam
humanos ou financeiros – dos municípios integrantes são reunidos sob a forma de um
consórcio a fim de viabilizar a implantação de ação, programa ou projeto desejado.
Quaisquer dessas alternativas, ou de suas numerosas combinações
possíveis, devem ser escolhidas com base no binômio baixo custo-técnica correta para o
meio ambiente, sempre visando a um sistema auto-sustentável, resistente às mudanças
de governo.
A escala da cidade, suas características urbanísticas, demográficas,
econômicas e as peculiaridades de renda, culturais e sociais da população devem
orientar a escolha da forma de administração, tendo sempre os seguintes condicionantes
como referência:
• custo da administração, gerenciamento, controle e fiscalização dos
serviços;
• autonomia ou agilidade para planejar e decidir;
• autonomia de aplicação e remanejamento de recursos orçamentários;
Resíduos Sólidos: Coleta e Destinação Final
ABES - Francisco Humberto de Carvalho Jr
18
• capacidade para investimento em desenvolvimento tecnológico,
sistemas de informática e controle de qualidade;
• capacidade de investimento em recursos humanos e geração de
emprego e renda;
• resposta às demandas sociais e políticas;
• resposta às questões econômicas conjunturais;
• resposta às emergências operacionais;
• resposta ao crescimento da demanda dos serviços.
A administração direta operando todo o sistema de limpeza urbana é uma
forma freqüente em cidades de menor porte. Nesses casos, o gestor normalmente é um
departamento da prefeitura ou de uma de suas secretarias, compartilhando recursos com
outros segmentos da administração pública. Esse tipo de administração, compartilhada
com outros segmentos da prefeitura, em geral tem custo bastante reduzido quando
comparado com o custo de um órgão ou de uma instituição especificamente voltada para
a gestão da limpeza urbana da cidade.
Em todos os casos e possibilidades de administração, seja direta ou indireta,
a prefeitura tem que equacionar duas questões:
• remunerar de forma correta e suficiente os serviços;
• ter garantia na arrecadação de receitas destinadas à limpeza urbana
da cidade.
2.5 – Remuneração dos Serviços
Em termos da remuneração dos serviços, o sistema de limpeza urbana pode
ser dividido simplesmente em coleta de lixo domiciliar, limpeza dos logradouros e
disposição final. Pela coleta de lixo domiciliar, caba à prefeitura cobrar da população uma
taxa específica, denominada taxa de coleta de lixo. Alguns serviços específicos,
passíveis de serem medidos, cujos usuários sejam também perfeitamente identificados,
podem ser objeto de fixação de preço e, portanto, ser remunerados exclusivamente por
tarifas.
A remuneração do sistema de limpeza urbana, realizada pela população em
quase sua totalidade, não se dá de forma direta, nem os recursos advindos do
pagamento de taxas de coleta de lixo domiciliar podem ser condicionados exclusivamente
ao sistema, devido à legislação fiscal. Da mesma forma, a prefeitura não pode cobrar dos
moradores a varrição e a limpeza da respectiva rua por ser um serviço indivisível. É
preciso, portanto, que a prefeitura garanta, por meios políticos, as dotações
orçamentárias que sustentam adequadamente o custeio e os investimentos no sistema.
TARIFA é um preço público cobrado por um serviço
prestado de forma facultativa.
A tarifa somente é devida quando da efetiva utilização do
serviço pelo usuário, serviço este que deverá ser bem
definido e mensurado.
IBAM (2001)
Resíduos Sólidos: Coleta e Destinação Final
ABES - Francisco Humberto de Carvalho Jr
19
Seja com for, a remuneração do sistema de limpeza urbana se resolve na
seguinte equação:
2.5.1 – Cálculo da Taxa de Coleta de Lixo – TCL
O valor unitário da Taxa de Coleta de Lixo – TCL pode ser calculado
simplesmente dividindo-se o custo total anual da coleta de lixo domiciliar pelo número de
domicílios existentes na cidade.
Todavia, esse valor unitário pode ser adequado às peculiaridades dos
diferentes bairros da cidade, levando em consideração alguns fatores, tais como os
sociais (buscando uma tarifação socialmente justa) e os operacionais.
• O fator social é função do poder aquisitivo médio dos moradores das
diferentes áreas da cidade.
• O fator operacional reflete o maior ou menor esforço, em pessoal e em
equipamentos, empregado na coleta, seja em função do uso a que se destina
o imóvel (comercial, residencial etc.), seja por efeito de sua localização ou da
necessidade de se realizar maiores investimentos (densidade demográfica,
condições topográficas, tipo de pavimentação etc.).
TAXA é um imposto resultante da disponibilidade de um
serviço público por parte do poder público, quer o
contribuinte use-o ou não.
O valor da taxa deverá revelar divisibilidade entre os
contribuintes em função dos respectivos potenciais de uso.
IBAM (2001)
Remuneração = Despesas = Recursos do Tesouro Municipal +
Arrecadação da Taxa de Coleta de Lixo (TCL) + Arrecadação de
Tarifas e Receitas Diversas
É sempre bom lembrar que a forma de reduzir custos com o
sistema de limpeza urbana, sobretudo com as atividades de
coleta, tratamento e disposição final, é sensibilizar a
população a reduzir a quantidade de lixo gerado, assim
como implantar programas específicos como a segregação
do lixo na fonte geradora com fins de reciclagem, ou até
mesmo a criação de bolsas de resíduos para a reciclagem.
IBAM (2001)
Não se deve negligenciar, no orçamento, parcelas dos
custos de transferência, transporte, tratamento e destino
final, assim como administração, gerenciamento, sistemas
de controle, despesas de capital e desenvolvimento
tecnológico vinculados à coleta.
IBAM (2001)
Resíduos Sólidos: Coleta e Destinação Final
ABES - Francisco Humberto de Carvalho Jr
20
2.6 – Valorização dos Resíduos Sólidos
O reaproveitamento dos restos da produção industrial e do consumo urbano
vem se impondo em todo o mundo como imperativo deste final de século, para a
conservação dos recursos naturais e a preservação do planeta.
Associadas a este objetivo vêm se difundindo em todo o mundo práticas
diferenciadas de coleta seletiva.
A prática da coleta seletiva de lixo vem avançando como alternativa
privilegiada de tratamento de lixo urbano. Paralelamente às propostas centralizadas de
reciclagem em usinas de porte e tecnologia diversificada, vêm se somando outras
iniciativas públicas e privadas envolvendo segmentos industriais ou setores de população
especialmente diferenciados (condomínios residenciais, estabelecimentos comerciais,
bairros, regiões administrativas e prefeituras municipais), visando ao reaproveitamento
dos restos. Ao mesmo tempo, grandes contingentes de população pobre dos centros
urbanos brasileiros - os catadores, xepeiros – têm na garimpagem do lixo importante
estratégia de sobrevivência.
2.6.1 – Conceito dos Três R’s: Reduzir, Reutilizar e Reciclar
A gestão de resíduos sólidos de uma cidade deve ter como um dos seus
objetivos reduzir a geração dos mesmos e a quantidade de materiais a serem destinados
para o sistema de disposição final. Isso é conseguido reduzindo-se a geração de
resíduos sólidos e promovendo-se o reaproveitamento de materiais, através da
reutilização e da reciclagem (MOTA, 2000).
Os benefícios da redução e do reaproveitamento de resíduos são bastante
vastos, abrangendo os aspectos sociais, econômicos e ambientais.
A gestão de resíduos sólidos deve ser feita observando as prioridades no
conceito dos 3 R’s. Antes do destino final, devem ser adotadas medidas, pela população
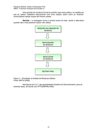
e pelo poder público, para reduzir, reutilizar e reciclar os resíduos sólidos. (Ver figura
1):
Reduzir – o cidadão deve aprender a reduzir a quantidade do lixo que gera,
quando possível. Deve entender que a redução não implica padrão de vida menos
agradável. É simplesmente uma questão de reordenar os materiais que usamos no dia-a-
dia.
Uma das formas de se tentar reduzir a quantidade de lixo gerada é
combatendo o desperdício de produtos e alimentos consumidos.
A partir do momento em que este desperdício resulta em ônus para o Poder
Público e para o contribuinte, a redução do volume de lixo significará redução de custos,
além de fator decisivo na preservação dos recursos naturais.
Menos lixo gerado também implicará em estrutura de coleta menor, e também
em redução de custo de disposição final.
Reutilizar – existem inúmeras formas de reutilizar os mesmos objetos, até
por motivos econômicos. Escrever nos dois lados da folha de papel, usar embalagens
retornáveis e reaproveitar embalagens descartáveis para outros fins são apenas alguns
exemplos.
Resíduos Sólidos: Coleta e Destinação Final
ABES - Francisco Humberto de Carvalho Jr
21
Uma parcela do comércio formal já contribui para essa prática, na medida em
que os “sebos” trabalham basicamente com livros usados, assim como os “brechós”
comercializam desde roupas até móveis usados.
Reciclar – a reciclagem forma o terceiro ponto do tripé, sendo a alternativa
quando não é mais possível reduzir nem utilizar.
Figura 1 – Prioridade na Gestão de Resíduos Sólidos
Fonte: MOTA (2000)
Nas figuras de 2 a 7, são apresentados Quadros de Gerenciamento, para as
diversas fases, de acordo com IPT/CEMPRE(1995).
REDUÇÃO DA GERAÇÃO DE
RESÍDUOS
REUTILIZAÇÃO
DE RESÍDUOS
RECICLAGEM
DE RESÍDUOS
DESTINO FINAL
Resíduos Sólidos: Coleta e Destinação Final
ABES - Francisco Humberto de Carvalho Jr
22
Figura 2 - QUADRO DE GERENCIAMENTO
Etapas de Implantação
1 2 3 4 5 6 7 8 9 10
Como fazer O que fazer
2ª Fase
Serviços de Limpeza
1ª Fase
Diagnóstico
e
Administração
3ª Fase
Disposição Final
Fase independente
Lixo de serviços
de saúde
e
Hospitalar
4ª Fase
Tratamento
- O quadro de gerenciamento se apresenta em dois grandes campos: o de “como fazer” e o de “o que fazer”. As suas subdivisões são detalhadas na seqüência;
- As etapas de implantação, numeradas de 1 a 10, permitem estabelecer as escalas de tempo entre as diversas ações.
Resíduos Sólidos: Coleta e Destinação Final
ABES - Francisco Humberto de Carvalho Jr
23
Figura 3 - QUADRO DE GERENCIAMENTO
“Como fazer”?
Planejamento
1ª Fase – Diagnóstico de Administração
1 2 3 4 5 6 7 8 9 10
Como fazer que fazer
1ª Fase
2ª Fase
Serviços de Limpeza
Fase independente
Diagnóstico
e
3ª Fase
Disposição Final
Lixo de serviços
de saúde
e Hospitalar
Administração 4ª Fase
Tratamento
Etapas de Implantação
1
Fazer o diagnóstico da situação
atual e futura do município.
Planejar as ações para os
serviços de limpeza pública.
2
Escolher a
forma de
administrar os
serviços de
limpeza
pública
Administração
Centralizada –
é o serviço
executado pela
prefeitura
Administração
descentralizada
– é o serviço
executado por
terceiros
Atenção:
O planejamento deverá
ser global e reavaliado
periodicamente
prevendo-se as ações
para os serviços de
limpeza, disposição final
e tratamento de forma
integrada.
Resíduos Sólidos: Coleta e Destinação Final
ABES - Francisco Humberto de Carvalho Jr
24
Figura 4 - QUADRO DE GERENCIAMENTO
“O que fazer”?
2ª Fase – Serviço de Limpeza
1 2 3 4 5 6 7 8 9 10
Como fazer que fazer
1ª Fase
2ª Fase
Serviços de Limpeza
Fase independente
Diagnóstico
e
3ª Fase
Disposição Final
Lixo de serviços
de saúde
e Hospitalar
Administração 4ª Fase
Tratamento
Etapas de Implantação
3 4 5 6 7
O lixo
municipal não
é todo
coletado e
transportado
Estudar frota,
itinerário e total de
lixo gerado e
outros fatores, para
implantar e/ou
expandir o serviço
Implantar e/ou
expandir a
coleta e
transporte do
lixo municipal
Implantar e/ou
expandir os
serviços
especiais de
coleta e
transporte:
entulho, poda,
limpeza de
logradouros etc.
Avaliar
periodicamente
o desempenho
dos serviços
Na sua cidade
todo o lixo é
coletado
Não
O lixo
municipal é
todo coletado e
transportado
Sim
Resíduos Sólidos: Coleta e Destinação Final
ABES - Francisco Humberto de Carvalho Jr
25
Figura 5 - QUADRO DE GERENCIAMENTO
“O que fazer”?
3ª Fase – Disposição Final
1 2 3 4 5 6 7 8 9 10
Como fazer que fazer
1ª Fase
2ª Fase
Serviços de Limpeza
Fase independente
Diagnóstico
e
3ª Fase
Disposição Final
Lixo de serviços
de saúde
e Hospitalar
Administração 4ª Fase
Tratamento
Etapas de Implantação
4 5 6 7 8
Lixão ou
Aterro
Controlado
Fazer remediação do
local para
transformação em
Aterro Sanitário
Avaliar
periodicamente
operação com
monitoramento
Como é feita a
disposição final
do lixo municipal?
Aterro Sanitário
Há restrição com
relação à vida útil,
localização,
legislação etc. ou
pressão política da
comunidade
Desenvolver ações mitigadoras para
encerramento destas atividades no
local.
Avaliar e selecionar áreas a partir de
condicionantes econômicos e
ambientais no próprio município ou em
outros municípios para implantar Aterro
Sanitário
Não
Sim
Resíduos Sólidos: Coleta e Destinação Final
ABES - Francisco Humberto de Carvalho Jr
26
Figura 6 - QUADRO DE GERENCIAMENTO
“O que fazer”?
4ª Fase – Tratamento
1 2 3 4 5 6 7 8 9 10
Como fazer que fazer
1ª Fase
2ª Fase
Serviços de Limpeza
Fase independente
Diagnóstico
e
3ª Fase
Disposição Final
Lixo de serviços
de saúde
e Hospitalar
Administração 4ª Fase
Tratamento
Etapas de Implantação
5 6 7 8 9 10
* Os materiais sem escoamento, os rejeitos da usina de triagem, bem como as cinzas da usina de incineração deverão ser depositadas no Aterro Sanitário.
Implantar/adequar
(ampliação ou
redução) segregação
de materiais que
tenham escoamento
Avaliar
periodicamente o
desempenho
Existe tratamento
do lixo municipal?
Não existe tratamento.
Custos e fatores ambientais
apontam ou impõe a
necessidade de redução do
lixo
(volume/composição)para a
disposição?
Fazer estudo
mercadológico sobre o
possível escoamento
(venda e/ou doação) dos
materiais no lixo, como:
matéria orgânica
putrescível pela
compostagem, papel,
vidro, metal, plástico etc.
Não
Não
Existe tratamento.
Ele está
atendendo os
objetivos e as
necessidades?
Avaliar
periodicamente
esta situação
Avaliar
periodicamente o
desempenho
Avaliar quantidade x
opção de tratamento
(incineração) ou destino
final (aterro sanitário)
para materiais que não
tenham escoamento
Operação de
coleta seletiva
Escolher forma
de triagem
Material sem
escoamento*
Estudar
implantação
de uma
usina de
incineração
Avaliar
periodicamente a
operação com
monitoramento
Operação da
usina de triagem
Escoamento
de materiais
Rejeito*
Operar usina de
incineração de lixo
municipal
Cinzas*
Sim
Sim
Sim
Resíduos Sólidos: Coleta e Destinação Final
ABES - Francisco Humberto de Carvalho Jr
27
Figura 7 - QUADRO DE GERENCIAMENTO
“O que fazer” ?
Fase independente – Lixo de serviços de saúde e hospitalar
1 2 3 4 5 6 7 8 9 10
Como fazer que fazer
1ª Fase
2ª Fase
Serviços de Limpeza
Fase independente
Diagnóstico
e
3ª Fase
Disposição Final
Lixo de serviços
de saúde
e Hospitalar
Administração 4ª Fase
Tratamento
O lixo de serviços de saúde e hospitalar é considerado como uma fase independente por não
ser responsabilidade direta do poder municipal.
Não existe coleta diferenciada.
Estudos em conjunto com
geradores para implantação
NãoExiste coleta
diferenciada?
Enviar lixo dos
serviços de saúde e
hospitalar para esta
usina
Sim
Sim
O município tem
usina de
incineração para
lixo municipal?
Existe coleta
diferenciada
O lixo de serviço de saúde e
hospitalar deve ser disposto em
célula especial no aterro sanitário
Fazer estudo para a incineração deste tipo
de lixo junto com os geradores e com
outros municípios (se for viável)
Implantar/operar usina de incineração de
lixo de serviços de saúde hospitalar
Não
Resíduos Sólidos: Coleta e Destinação Final
ABES - Francisco Humberto de Carvalho Jr
28
3. LIXO OU RESÍDUOS SÓLIDOS, O QUE SIGNIFICA?
Um dos assuntos que mais tem chamado atenção de estudiosos e cientistas
do mundo todo é a cidade ou urbanização. Tal preocupação faz sentido, quando leva-se
em consideração o fato de que a partir da metade deste século, triplicou o número de
pessoas que vivem em áreas urbanas .
Na pauta das discussões, estão os mais variados assuntos, desde os
problemas graves de habitação, saúde, alimentação, transportes e degradação do meio-
ambiente. Embutidos neste debate está à questão dos resíduos sólidos urbanos, ou LIXO
como é quotidianamente conhecido.
O tema lixo tem chamado atenção no mundo privado e no mundo público por
diversos motivos. E não é para menos. Num sistema que tem como o princípio o
consumo, o volume de lixo gerado nas grandes cidades é cada vez maior. Em artigo
publicado no jornal Folha de São Paulo, em 06/06/96, tem-se notícia que Londres produz,
em média, 10.000 ton. de lixo por dia. São Paulo chega a produzir cerca de 12.000
ton./dia. Fortaleza, segundo dados do Departamento de Limpeza Urbana da EMLURB,
produz atualmente uma média de 3.300 ton./dia. São números que impressionam, mas
são resultados de uma sociedade consumista e de produção industrial.
Por outro lado, a preocupação constante com a limpeza e a higiene nas
cidades e com o sistema de saneamento básico é outro fator que consome cerca de 10%
a 15% dos orçamentos nas grandes cidades. Chama-se atenção sobre este dado, visto
que somente com a conscientização coletiva da população em buscar-se esforços para
redução, reutilização e reciclagem do lixo é que pode-se haver redução destes custos .
Nos últimos vinte anos, o Brasil mudou muito, e o seu lixo também. O
crescimento acelerado das cidades e, ao mesmo tempo, as mudanças no consumo dos
cidadãos também são fatores comuns a esses municípios, o que vem gerando um lixo
muito diferente daquele que as cidades produziam há trinta anos atrás.
De acordo com a Pesquisa Nacional de Saneamento Básico -PNSB- 1989,
realizada pelo IBGE - Instituto Brasileiro de Geografia e Estatística, e editada em 1991, a
disposição final de lixo nos municípios brasileiros assim se divide:
76% em lixões;
13% em aterros controlados e 10% em aterros sanitários;
1% passa por tratamento (compostagem, reciclagem e incineração).
Com base nestes dados, chama-se atenção à situação do destino final em
nosso país.
Até onde se permite conhecer a História, nos encontramos hoje em situação
sem precedentes: nossos espaços de reserva estão diminuindo e a Terra parece estar
tornando-se pequena demais para a crescente população. Um aumento da população
mundial implica no aumento do uso das reservas do planeta, da produção de bens - e
também da geração de lixo.
O grau de urbanização também está crescendo. Em 1800, apenas cinco em
cada cem habitantes do mundo moravam em cidades. De lá para cá, este número
aumentou para 40. O homem esta saindo da zona rural para a zona urbana.
Resíduos Sólidos: Coleta e Destinação Final
ABES - Francisco Humberto de Carvalho Jr
29
A figura 8 mostra a evolução da população mundial, entre 1750 e 2050.
Figura 8 - População Mundial (1750 - 2050 )
Até o século passado, o lixo era, em grande parte, jogado nas ruas, beiras de
rios ou mar ou queimado nos quintais. Na literatura nacional, nas obras de ficção, são
descritas cenas em que os escravos jogam ao mar ou em pequenas ruas o lixo e dejetos
das casas. A prova disso é que até hoje, em São Luís-Ma, uma rua tem o sugestivo nome
de Rua da Bosta.
Foi com o advento da medicina higienista que tais procedimentos começaram
a ser transformados. No século passado, a Medicina incorporou como uma de suas
maiores preocupações a higiene das cidades e de suas populações. Com o pretexto de
melhorar as condições de saúde das pessoas, a Medicina vai, aos poucos, modificando o
modo de vida dos indivíduos, das famílias e da sociedade de um modo geral.
As epidemias e endemias nas cidades, que freqüentemente matavam boa
parte da população urbana, passa a ser preocupação de urbanistas, médicos,
enfermeiros, engenheiros, etc. Assim, ruas começam a ser calçamentadas, redes de
esgoto são construídas, as águas passa por diversos tratamentos de desinfeção e inicia-
se o regulamento do comércio de alimentos.
Mais recentemente é que há uma preocupação em relação aos cuidados com
o lixo produzido. Como coletar, como transportar e como tratar os resíduos sólidos,
especialmente por produzir o chorume, líquido produzido pelo lixo, resultante da
decomposição do mesmo.
Os cuidados com o lixo estão adquirindo dimensões crescentes. Os Estados
Unidos lideram o mundo na produção de lixo. De acordo com a EPA - Environmental
Protection Agency, cada americano produz 1,63 kg/ dia de lixo, sendo geradas 200
milhões de toneladas por ano de lixo.
Essa quantidade é suficiente para encher um comboio de caminhões de lixo
dando a volta oito vezes no globo terrestre. Deste total, dois terços vão para aterros, 16%
é incinerado e o restante é separado e reciclado.
A figura 9 apresenta valores de produção “per capita” de lixo em diversos
países.
0
2
4
6
8
10
12
1750 1850 1950 2050
0
2 bilhões
4 bilhões
6 bilhões
8 bilhões
10 bilhões
Resíduos Sólidos: Coleta e Destinação Final
ABES - Francisco Humberto de Carvalho Jr
30
Figura 9 - Produção “per capita” kg/habitante.
Esta figura demonstra que a produção per capita é maior nos países mais
industrializados, os quais têm maior poder aquisitivo e uma produção maior de
descartáveis.
0
100
200
300
400
500
600
700
800
EUA
CANADÁ
HOLANDA
JAPÃO
TURQUIA
POLÔNIA
GRÉCIA
BRASIL
KG/CAPITA
KG/CAPITA
Resíduos Sólidos: Coleta e Destinação Final
ABES - Francisco Humberto de Carvalho Jr
31
4 – RESÍDUOS SÓLIDOS (LIXO) - ORIGEM E COMPOSIÇÃO
4.1 – Conceito
Os resíduos sólidos são materiais
heterogêneos (inertes, minerais e orgânicos)
resultantes das atividades humanas e da
natureza, os quais podem ser parcialmente
utilizados, gerando, entre outros aspectos,
proteção à saúde pública e economia de
recursos naturais. Os resíduos sólidos
constituem problemas sanitários, econômicos e
principalmente estéticos.
4.2 - Fatores que Influenciam a Origem e a Formação do Lixo
Muitos são os fatores que influenciam a origem e a formação do lixo no meio
urbano, citando-se alguns deles:
- número de habitantes do local;
- área relativa de produção.
- variações sazonais.
- hábitos e costumes da população.
- nível de educação.
- condições climáticas.
- poder aquisitivo.
- eficiência da coleta.
Os fatores de geração consistem, basicamente, na taxa de geração por
habitante e na população total do município.
Vale ressaltar que um dos componentes mais importantes é o componente
econômico; outros fatores não menos importantes, como é o caso, por exemplo, das
migrações periódicas nas férias.
Além destes fatores primários, tem-se o chamado secundário. Alguns destes
são citados a seguir:
- o teor de umidade.
- o peso específico.
- o teor de matéria orgânica.
4.3 - Classificação do Lixo
Considerando-se o lixo quanto à sua natureza, pode-se classificar da seguinte
forma:
• Facilmente Degradáveis (FD): restos de comida, sobras de cozinha, folhas,
capim, cascas de frutas, animais mortos e excrementos;
• Moderadamente Degradáveis (MD): papel, papelão, e outros produtos
celulósicos;
Resíduos Sólidos: Coleta e Destinação Final
ABES - Francisco Humberto de Carvalho Jr
32
• Dificilmente Degradáveis (DD): trapo, couro, pano, madeira, borracha,
cerâmica;
• Não Degradáveis (ND): metal não ferroso, vidro, pedras, cinzas, terra,
areia, cerâmica.
Considerando-se ainda o critério de origem e produção, pode-se classificá-lo
como:
a) Resíduos Urbanos – os provenientes de residências, estabelecimentos comerciais e
prestadores de serviços, da varrição, de podas e da limpeza de vias, logradouros
públicos, de sistema de drenagem urbana e tratamento de esgotos, os entulhos da
construção civil e similar;
b) Resíduos Industriais – os provenientes de atividades de pesquisa e transformação
de matérias-primas e substâncias orgânicas e inorgânicas em novos produtos, por
processos específicos, bem como os provenientes das atividades de mineração, de
montagem e aqueles gerados em áreas de utilidades e manutenção dos
estabelecimentos industriais:
• A Associação Brasileira de Normas Técnicas (ABNT) classifica os
resíduos sólidos de acordo com o risco que oferecem:
√ Resíduos classe I – perigosos: são aqueles que, em função de suas
características intrínsecas de inflamabilidade, corrosividade,
reatividade, toxidade ou patogenecidade, apresentam riscos à saúde
ou ao meio ambiente;
√ Resíduos classe II – não inertes: são aqueles que podem apresentar
características de combustibilidade, biodegradabilidade ou não
solúveis na água, com possibilidade de acarretar riscos à saúde ou ao
meio ambiente, não se enquadrando nas classificações de resíduos
classe I – perigosos ou classe III – inertes;
√ Resíduos classe III – inertes (NBR - 100004): são aqueles que, por
suas características intrínsecas, não oferecem riscos à saúde e que
apresentam constituintes solúveis em água e em concentrações
superiores aos padrões de potabilidade.
c) Resíduos de Serviços de Saúde – os provenientes de atividades de natureza
médico-assistencial, de centros de pesquisa e de desenvolvimento e experimentação na
área de saúde, bem como os remédios vencidos e/ou deteriorados requerendo condições
especiais quanto ao acondicionamento, coleta, transporte, tratamento e disposição final,
por apresentarem periculosidade real ou potencial à saúde humana, animal e ao meio
ambiente;
d) Resíduos Especiais – os provenientes do meio urbano e rural que pelo seu volume,
ou por suas propriedades intrínsecas exigem sistemas especiais para acondicionamento,
armazenamento, coleta, transporte, tratamento e destinação final, de forma a evitar
danos ao meio ambiente;
e) Resíduos de atividades rurais – os provenientes da atividade agrosilvopastoril,
inclusive os resíduos dos insumos utilizados nestas atividades;
Resíduos Sólidos: Coleta e Destinação Final
ABES - Francisco Humberto de Carvalho Jr
33
f) Resíduos de serviços de transporte – decorrentes da atividade de transporte e os
provenientes de portos, aeroportos, terminais rodoviários, ferroviários e portuários e
postos de fronteira;
g) Rejeitos radioativos – materiais resultantes de atividades humanas que contenham
radionuclídeos em quantidades superiores aos limites de isenção especificados de
acordo com a norma da Comissão Nacional de Energia Nuclear – CNEN, e que sejam de
reutilização imprópria ou não prevista, observado o disposto na Lei nº 11.423, de
08.01.88.
4.4 - Composição do Lixo
A composição do lixo física e química do lixo, assim como as demais
características resultam das análises e estudos em cada lugar produzido. É bom lembrar
que a composição do lixo varia de percurso, da geração ao destino final. Na figura 10
mostra-se um quadro da composição física do lixo em alguns lugares.
0,00%
10,00%
20,00%
30,00%
40,00%
50,00%
60,00%
70,00%
Fortal. S.Paulo Salvad. S.Carlos B.Horiz.
vidro
metal
plástico
papel
outros
Figura 10 - Composição Porcentual Média do Lixo Domiciliar - IPT-CEMPRE 1995.
Resíduos Sólidos: Coleta e Destinação Final
ABES - Francisco Humberto de Carvalho Jr
34
4.4.1 - Caracterização Física do Lixo
A figura 11 indica como deve ser feita uma caracterização física do lixo.
1. Caminhão da coleta.
2. 4 montes de lixo.
3. Misturar o conteúdo de cada monte separadamente. 100 kg.
4. Misturar, dois a dois os montes. 200kg.
5. Primeiro quarteamento.
6. Misturar novamente. 100 kg.
7. Segundo quarteamento.
8. Amostra para composição física. 100 kg.
Utilizando-se a técnica e os passos ensinados pelo Professor Valdir Schalch,
da Escola de Engenharia de São Carlos - SP, descreveu-se abaixo, como deve ser feita a
caracterização.
A primeira etapa consiste em um estudo detalhado sobre o sistema de coleta
de lixo da cidade em questão. Divide-se, então, a cidade por áreas afins, levando-se em
conta o nível sócio econômico da população e critérios de origem e produção de lixo.
Obtém-se, como os dados iniciais, a freqüência e horário de coleta para cada
um dos setores.
Outros parâmetros são as variações sazonais que ocorrem na região.
A amostragem inicia-se pela escolha aleatória, de um caminhão de coleta de
um determinado setor. Os passos a seguir devem ser efetuados em cada setor.
O caminhão descarrega o seu conteúdo em quatro montes aproximadamente
iguais. Manualmente, estes montes são revolvidos e misturados individualmente para
posteriormente retirar-se, de cada uma, 1 saco de resíduos, com aproximadamente 100
kg.
1 2
3
4
5 6 7
8
Figura 11 – Caracterização Física do Lixo
Resíduos Sólidos: Coleta e Destinação Final
ABES - Francisco Humberto de Carvalho Jr
35
Os sacos são despejados, em 4 montes, sobre uma lona plástica. O conteúdo
de cada monte é misturado manualmente e separadamente. Depois estes são juntados
dois a dois, aleatoriamente. Com isto tem-se, agora, dois montes de aproximadamente
200 kg de lixo cada. Faze-se o primeiro quarteamento e desprezam-se duas quartas -
partes de cada monte (de preferência, 2 partes vis - a - vis).
Novamente, cada monte é misturado, cada um possuindo aproximadamente
100 kg de lixo. No segundo quarteamento, outra vez serão desprezadas 2 quartas -
partes, vis - a- vis, de cada monte, resultando 50 kg de material por monte.
A amostra que se trabalha neste método de determinação da composição
física consistirá na soma destes dois montes finais. Em outras palavras, a amostra
representativa do caminhão de coleta terá 100 kg de lixo, aproximadamente, e que foram
obtidos como descrito na figura 11.
No quadro 1 tem-se a composição média dos
resíduos urbanos da cidade de Fortaleza. Dados obtidos em
1996, pelo departamento de Limpeza Urbana da EMLURB -
P.M.F.
Quadro 1 – Composição média dos resíduos urbanos de Fortaleza
TIPOS DE RESÍDUOS %
Metais Ferrosos ( latas, ferro comum, flandes, etc. ). 3,03
Metais não ferrosos (bronze, chumbo, cobre, alumínio, etc.). 0,89
Papel 6,98
Papelão 7,58
Plástico 10,69
Vidro 2,15
Madeira 2,33
Couro 0,39
Borracha ( pneus e similares ) 0,83
Matéria orgânica ( folhagem, alimentos, etc. ). 38,14
Trapos 3,45
Coco 8,68
Entulhos de construções 3,84
Resíduos de Saúde 1,39
Animais 0,36
Restos de caranguejos 0,01
Outros materiais (pilhas, baterias, eletrodomésticos, etc.). 3,70
Rejeitos (pontas de cigarro, terra, etc. ). 5,56
TOTAL 100,00
FONTE: PREFEITURA MUNICIPAL DE FORTALEZA - EMLURB- DEP. LIMPEZA URBANA.
Caracterização dos Resíduos Sólidos da Cidade de Fortaleza. Fortaleza - 1996.
Resíduos Sólidos: Coleta e Destinação Final
ABES - Francisco Humberto de Carvalho Jr
36
Quadro 2 - Composição química do lixo domiciliar de Fortaleza.
CARACTERIZAÇÃO DETERMINAÇÃO
Umidade - % 47,41
pH 5,31
Nitrogênio Total - N ( % ). 0,65
Fósforo Total - P2O5 0,30
Potássio - K ( % ) 0,21
Cálcio - Ca ( % ) 0,95
Enxofre - S ( % ) 0,04
Carbono fixo 3,50
Poder calorífico superior (cal/g) 2.323,75
Relação C/N 5,16
FONTE: SEDURB - GOVERNO DO ESTADO DO CEARÁ – 1986
4.5 - Considerações sobre os Componentes Potencionalmente Perigosos
No lixo municipal é grande a variedade de produtos com substâncias que
conferem características de inflamabilidade, corrosividade, óxido-redução ou toxidade.
Pilhas, lâmpadas fluorescentes e frascos de aerossóis estão presentes no lixo
em quantidades significativamente maiores em relação a outros resíduos potencialmente
perigosos, principalmente, em grandes cidades. As pilhas e as lâmpadas fluorescentes
são classificadas como resíduos perigosos por terem metais pesados que podem migrar
e vir integrar a cadeia alimentar do homem.
O motivo dos frascos de aerossóis serem classificados como resíduos
perigosos não é devido às suas embalagens e sim aos restos de substâncias químicas
que contêm como descartadas. Com o rompimento do frasco, essas substâncias podem
contaminar o meio ambiente, migrando para as águas superficiais e/ou subterrâneas. As
tabelas 1 e 2 ilustram os resíduos domiciliares potencialmente perigosos e os efeitos
causados ao homem por alguns metais e onde são encontrados.
Tabela 1 – Resíduos domiciliares – potencialmente perigosos
TIPO PRODUTOS
MATERIAL PARA PINTURA Tintas, solventes, pigmentos, vernizes.
PRODUTOS PARA JARDINAGEM E
ANIMAIS.
Pesticidas, inseticidas, repelentes, herbicidas.
PRODUTOS PARA MOTORES. Óleos lubrificantes, fluídos de freio e transmissão,
baterias.
OUTROS ÍTENS. Pilhas, frascos de aerossóis em geral, lâmpadas
fluorescentes.
Referência: Manual de gerenciamento Integrado, 1995 - IPT - Instituto de pesquisas Tecnológicas
e CEMPRE - Compromisso Empresarial para Reciclagem
Resíduos Sólidos: Coleta e Destinação Final
ABES - Francisco Humberto de Carvalho Jr
37
Tabela 2 – Efeitos causados ao homem por alguns metais
ELEMENTO ONDE É ENCONTRADO EFEITOS
MÉRCURIO Equipamentos e aparelhos eletrônicos
de medida; Lâmpadas de neon,
fluorescentes e de arco de mercúrio;
Baterias/ pilhas; Interruptores: Tintas;
Amaciantes; Anti - Sépticos;
Fungicidas; Termômetros .
- Distúrbios renais;
- Distúrbios neurológicos;
- Efeitos mutagênicos;
- Alterações no metabolismo;
- Deficiências nos órgãos
sensoriais.
CÁDMIO Baterias / pilhas;
Plásticos;
Ligas metálicas;
Pigmentos;
Papéis;
Resíduos de galvanoplastia.
- Dores reumáticas e miálgicas;
- Distúrbios metabólicos levando a
osteoporose;
- Disfunção renal.
CHUMBO Tintas, como as de sinalização de rua;
- Impermeabilizantes;
- Anticorrosívos;
- Cerâmica;
- Vidro;
- Plásticos;
- Inseticidas;
-Embalagens;
- Pilhas.
- Perda de memória:
- Dor de cabeça;
- Irritabilidade;
- Tremores musculares;
- Lentidão de raciocínio;
- Alucinação;
- Anemia;
- Depressão;
- Paralisia.
Referência: Manual de gerenciamento Integrado, 1995 - IPT - Instituto de pesquisas Tecnológicas
e CEMPRE - Compromisso Empresarial para Reciclagem.
Resíduos Sólidos: Coleta e Destinação Final
ABES - Francisco Humberto de Carvalho Jr
38
5 - LIXO E POLUIÇÃO
A disposição inadequada do lixo
urbano em vazadouros a céu aberto acarreta
poluição considerável no meio-ambiente,
tanto no ar, quanto nas águas e
principalmente nos solos.
5.1 - Poluição do Solo
O lixo, disposto inadequadamente, sem qualquer tratamento, pode poluir o
solo, alterando suas características físicas, químicas e biológicas, constituindo-se num
problema de ordem estética e, mais ainda, uma ameaça à saúde pública.
Por conter substâncias de alto teor energético e, por oferecer disponibilidade
simultânea de água, alimento e abrigo, o lixo é preferido pôr inúmeros organismos vivos,
a ponto de algumas espécies o utilizarem como nicho ecológico.
Pode-se classificar em dois grandes grupos os seres que habitam o lixo: os
macrovetores, como por exemplo: ratos, baratas, moscas, cachorros, suínos, aves,
eqüinos. O próprio homem, o catador de lixo, enquadra-se neste grupo. No segundo
grupo de microvetores, estão os vermes, bactérias, fungos, actinomicetos e vírus.
Além destes organismos, que utilizam o lixo durante toda a sua vida, outros
os fazem apenas em determinados períodos. Este fenômeno migratório pode constituir-
se num grande problema, pois o lixo passa a ser uma fonte contínua de agentes
patogênicos e, portanto, uma ameaça real à sobrevivência do homem.
O perigo maior, para o qual chama-se especial atenção, reside na possível
quebra do equilíbrio cíclico entre o meio produtor e os consumidores naturais. Por
exemplo, a simples interdição do processo de coleta e disposição por determinado
período poderia ativar o mecanismo de deslocamento, provocando uma dispersão em
massa, em todas as direções, dos roedores presentes, em busca de alimentos e abrigos,
atingindo núcleos urbanos, culturas e plantações, com resultados imprevisíveis.
O fato mais clássico de prejuízos sanitários causados por ratos foi a
propagação da peste bubônica ou peste negra, a qual tem como agente etimológico a
pasteurella pestis, e como vetor a pulga Xenospsylla cheops . Cronologicamente, a
ocorrência aconteceu em Roma no ano 150 da era Cristã.
Resíduos Sólidos: Coleta e Destinação Final
ABES - Francisco Humberto de Carvalho Jr
39
Tabela 3 - Tempo de sobrevivência de microvetores no lixo.
ORGANISMO TEMPO (DIAS)
Salmonella Typhi. 29 - 70
Endamoeba Histolytica. 8 - 12
Ascaris Lumbricoides. 2000 - 2500
Leptospira Interrogans. 15 - 43
Polio Virus. 20 - 170
Bacilo Tuberculose. 150 - 180
Lavras de vermes . 25 - 40
Referência: Manual de gerenciamento Integrado, 1995 - IPT - Instituto de pesquisas
Tecnológicas e CEMPRE - Compromisso Empresarial para Reciclagem.
5.2 - Poluição do Ar
Considerando a definição de lixo, verifica-se que todos os efluentes gasosos
e particulados emitidos para a atmosfera, oriundos das diversas atividades do homem no
meio urbano, podem ser considerado como lixo. A poluição do ar por partículas em
suspensão, num aterro de lixo, tem sua origem na poeira existente no próprio lixo ou no
material de cobertura empregado, em virtude da grande movimentação no local de
máquinas e veículos, além da ação natural dos ventos.
Os maus odores tradicionais dos vazadouros se devem à emanação do gás
sulfídrico e de compostos orgânicos originados de compostos dos materiais
biodegradaveis existentes no lixo.
A combustão do lixo em vazadouros é uma ocorrência bastante comum.
Quando deliberada, a combustão tem a finalidade de diminuir a quantidade de resíduos
sólidos despejados e prolongar, assim, a vida útil do aterro sanitário. A ocorrência de fogo
não proposital decorre principalmente da combustão espontânea do gás metano formado
durante a decomposição anaeróbia dos resíduos orgânicos; o aquecimento inicial
necessário à ignição pode ter sua origem nos resíduos que chegam ao vazadouro
queimando.
Os poluentes mais comumente emitidos para o ar, em maiores quantidades,
são: monóxido de carbono (CO), partículas de óxidos de enxofre (SOx), óxidos de
nitrogênio (NOx) e hidrocarbonetos (HC).
Os contaminantes gasosos podem ser classificados, por sua composição
química, em orgânicos e inorgânicos. No grupo orgânico, estão compreendidos os
compostos de carbono, hidrogênio e seus derivados. Esses últimos incluem ainda todas
as classes de hidrocarbonetos e derivados, como os compostos halogênicos etc.
A principal fonte de hidrocarbonetos é o petróleo, e os mecanismos
responsáveis pelo lançamento desses contaminantes na atmosfera são aqueles relativos
ao processamento, transporte e uso propriamente dito. Os hidrocarbonetos são
expressivos nos problemas de poluição do ar, devido à sua capacidade de provocar
reações atmosféricas, como por exemplo, a formação de smog fotoquímico.
Há também a concentração de certos gases, como o CO2, que pode causar
modificações inversas ao caso citado acima, como a possibilidade da formação do efeito
estufa. Este fenômeno, que tem sido preocupação recente de alguns especialistas, pode
ser explicado através do balanço de energia da Terra, ou seja, a troca de energia entre a
Terra e o espaço.
Resíduos Sólidos: Coleta e Destinação Final
ABES - Francisco Humberto de Carvalho Jr
40
5.3 - Poluição das Águas
Pode-se classificar os danos causados pela disposição inadequada do lixo
em cursos d'água da seguinte forma: poluição física, química, bioquímica, biológica e
radioativa.
5.3.1 - Poluição física
Os mecanismos da poluição das águas são desenvolvidos a partir do
momento em que os resíduos industriais e domésticos são lançados indiscriminadamente
nos cursos d'água, como forma de destinação final. Em geral, as perturbações físicas
resultantes deste processo são verificadas na forma de aumento da turbidez, formação
de bancos de lodo ou de sedimentos inertes, nas variações do gradiente de temperatura,
etc.
Além do aspecto negativo, os impactos no meio aquático, como, por exemplo,
a possível quebra do ciclo vital das espécies, tornando a água biologicamente estéril.
Uma mudança de temperatura relativamente pequena pode modificar as condições de
vida de certos organismos e, por outro lado, favorecer a vida de outras espécies,
causando um desequilíbrio.
O aumento da turbidez pode também modificar a vida das espécies,
reduzindo a visibilidade e dificultando a busca de alimentos.
5.3.2 - Poluição química
A poluição química de recursos hídricos naturais surge em função de
resíduos, principalmente, industrial como detergentes não biodegradaveis e resíduos
tóxicos, e pelo uso intensivo de herbicídas, fungicidas, etc.
Os resultados deste fenômeno podem ser verificados nos próprios locais de
despejo ou a determinadas distâncias, dependendo da importância e do regime de
contribuições que o efluente receba ou execute. As formas aparentes de revelação deste
processo são verificadas através da mudança de coloração das águas, da formação de
correntes ácidas, águas duras, águas tóxicas, bem como observação do envenenamento
de peixes, aves e outros animais, inclusive o homem.
5.3.3 - Poluição bioquímica
A poluição das águas superficiais ou subterrâneas pelo lixo é propiciada por
uma série de fenômenos naturais como a lixiviação, percolação, arrastamento, solução,
etc.
A primeira conseqüência da poluição bioquímica é a redução do nível de
oxigênio presente na água. Dependendo da intensidade deste processo, muitos danos
podem ocorrer, inclusive a completa extinção da fauna e flora aquáticas.
No caso específico do lixo, as águas das chuvas, percolando através da
massa de resíduos, transportam um líquido de cor negra, denominado chorume ou
sumeiro, característico de matéria orgânica em decomposição.
Resíduos Sólidos: Coleta e Destinação Final
ABES - Francisco Humberto de Carvalho Jr
41
5.3.4 - Poluição biológica
A poluição biológica das águas se traduz pela elevada contagem de
coliformes e pela presença de resíduos que possam produzir transformações biológicas
consideráveis e influenciar na qualidade de vida dos seres que habitam o meio aquático.
Considerando que os esgotos domésticos e industriais efetivamente estão
incluídos no conceito inicial de lixo, pode-se dizer que o lançamento destes, sem o
tratamento adequado, pode poluir biologicamente os efluentes receptores
L.N. Garcez cita que o número de coliformes fecais no esgoto doméstico é de
300 bilhões de habitante e por dia.
Outros resíduos podem causar transformações biológicas no meio aquático,
alterando as suas características básicas e até o equilíbrio existente entre as espécies
naturais. Um exemplo claro destas modificações é o desenvolvimento de determinados
organismos vivos, como as algas, que surgem por meio da eutroficação, na qual a água
torna-se excessivamente carregada de sais minerais e nutrientes, provocando um
crescimento acelerado destas espécies. No caso do lixo, os nitratos e fosfatos são os
nutrientes de maior concentração.
Resíduos Sólidos: Coleta e Destinação Final
ABES - Francisco Humberto de Carvalho Jr
42
ORÇAMENTO MUNICIPAL
Fatia absorvida
pelos serviços
de limpeza
urbana.
6 - SERVIÇOS DE LIMPEZA OU MANEJO DE RESÍDUOS
6.1 - Introdução
Os serviços de limpeza,
em geral, absorvem entre 7 a
15% dos recursos de um
orçamento municipal, dos
quais cerca de 50% são
destinados à coleta e ao
transporte do lixo.
6.2 – Critério para se Planejar os Serviços de Limpeza
Devido a grande maioria dos municípios brasileiros não dispor de informações
criteriosas e confiáveis com relação aos serviços de limpeza urbana, torna-se
fundamental o empenho de técnicos do setor no sentido de reverter a cultura existente na
grande maioria dos municípios brasileiros, principalmente nos de pequeno porte como
forma de formar um banco de dados mais consistente e confiável sobre os serviços de
limpeza urbana nestes municípios, e, neste sentido, torna-se essencial:
• Desenvolver estudos para diagnosticar os serviços de limpeza urbana no
município;
• Desenvolver estudos no sentido de adequar institucionalmente o órgão
responsável pelos serviços de limpeza urbana;
• Desenvolver estudos no sentido de criar e aprovar, sob forma de Lei, um
Regulamento de Limpeza Urbana no município;
• Desenvolver estudos no sentido de criar e aprovar, sob forma de Lei, um
modelo de Cobrança dos serviços de Limpeza Urbana no município;
• Desenvolver um planejamento estratégico para todas as atividades
relacionadas à Limpeza Urbana no Município;
• Desenvolver um Modelo de Gestão de Resíduos Sólidos Urbanos e um
Gerenciamento com qualidade para o município;
• Desenvolver Programas que incentivem a Participação da Sociedade nas
Alternativas definidas em seu modelo de Gestão.
O lixo público está diretamente associado ao aspecto
estético da cidade.
Portanto, merecerá especial atenção o planejamento
das atividades de limpeza de logradouros em cidades
turísticas.
CEMPRE(1995)
Resíduos Sólidos: Coleta e Destinação Final
ABES - Francisco Humberto de Carvalho Jr
43
Tabela 4 - Informações necessárias ao planejamento do gerenciamento do lixo
PARÂMETRO DESCRIÇÃO IMPORTÂNCIA
Taxa de geração
por habitante
(kg/dia/hab.)
Quantidade de lixo gerada por habitante
num período de tempo especificado.
Refere-se aos volumes efetivamente
coletados e à população atendida.
Para planejamento de todo o sistema de
gerenciamento do lixo, principalmente com
referência ao dimensionamento de instalação
e de equipamento.
Composição
física
Apresenta as porcentagens das várias
frações do lixo, tais como, papel,
papelão, madeira, trapo, couro, plástico
duro, plástico mole, matéria orgânica,
metal ferroso, metal não-ferroso, vidro,
borracha e outros.
Para estudos de aproveitamento, das
diversas frações e para a compostagem.
Densidade
aparente
Relação entre a massa e o volume do
lixo.
É calculada para as diversas fases do
gerenciamento do lixo.
Dimensionamento do sistema de coleta e
tratamento, determina a capacidade
volumétrica dos meios de coleta, transporte e
disposição final.
Umidade
Quantidade de água contida na massa
do lixo.
Na escolha de tecnologia de tratamento e
para aquisição dos equipamentos de coleta;
tem influência notável sobre o poder
calorífico, na densidade, assim como na
velocidade de composição biológica dos
materiais biodegradáveis presente na massa
do lixo.
Teor de
materiais
combustíveis e
incombustíveis
Quantidade de materiais que se prestam
a incineração e de materiais inertes.
Juntamente com a umidade, informa de
maneira aproximada, sobre as propriedades
de combustibilidade dos resíduos.
Poder calorífico
É a quantidade de calor gerada pela
combustão de 1kg de lixo misto, e não
somente dos materiais facilmente
combustíveis.
Avaliação para instalações de incineração.
Composição
química
Normalmente são analisados N, P, K, S,
C, relação C/N, pH e sólidos voláteis.
Na definição da forma mais adequada de
disposição final.
Teor de matéria
orgânica
Quantidade de matéria orgânica contida
no lixo. Inclui matéria orgânica não-
putrescível (papel, papelão etc.) e
putrescível (verdura, alimentos etc.).
Na avaliação da utilização do processo de
compostagem.
Fonte: CEMPRE (1995)
6.3 – Participação Social na Gestão dos Serviços de Limpeza Urbana
Política de recursos humanos – os gerentes do setor de limpeza pública
têm, portanto, um grande desafio pela frente: fazer com que um serviço
essencialmente baseado na mão de obra, com grande contingente de
pessoal, cuja profissão é rejeitada, passe a ser
valorizada, dando dignidade e orgulho a este
trabalhador.
Estes mesmos dirigentes e gerentes dos
serviços de limpeza urbana têm um desafio
maior ainda de buscar meios eficazes e capazes
de fazer uma ligação direta com a sociedade,
fazendo com que ela, a sociedade, aceite,
respeite e trate com dignidade o agente de
limpeza, o gari, em seus serviços diuturnos de
coleta, transporte, varrição, capinação e demais
serviços pertinentes à área da limpeza urbana nas cidades Brasileiras.
Modelo de gestão participativa – neste modelo, o município, desde o
desenvolvimento do orçamento plurianual ou o orçamento anual, tem a
Resíduos Sólidos: Coleta e Destinação Final
ABES - Francisco Humberto de Carvalho Jr
44
participação dos habitantes residentes no município, indicando onde o
município deve investir e em que área deve atuar. Após análise e
compilação dos dados que a população sugeriu, o poder público analisa
as ações relativas ao Serviço de Limpeza Urbana, e inclui em seu
orçamento anual ou plurianual, dentro de uma prioridade político-
administrativa e financeira, de modo a se ter uma participação efetiva da
comunidade, nas ações a serem implementadas e na solução dos
problemas existentes.
Existe ainda um modelo de Gestão de Resíduos Sólidos Compartilhada,
onde a gestão e o gerenciamento é individual para cada município e o
compartilhamento se dá apenas em uma fase da Limpeza Urbana,
normalmente na Destinação Final. Assim, vários municípios que tenham
interesse e afinidades em características urbano-geográficas,
administrativas-financeira e, principalmente, político-social, se unem para
gerenciar os seus resíduos através de modelos de gestão individual e
compartilhando de um mesmo aterro sanitário como tratamento e
destinação comum a todos estes municípios envolvidos.
Valorização, capacitação e qualificação do servidor da limpeza
pública – com o objetivo de implementar um projeto que vise à
valorização do servidor da limpeza urbana, a capacitação e a
qualificação deste servidor, oferecendo aos funcionários melhorias
significativas em suas condições de trabalho e saúde, deve criar-se
uma política de valorização de recursos humanos enfocando:
- Valorização dos servidores, em especial do agente de limpeza;
- Proporcionar condições favoráveis de trabalho;
- Resgatar as cidadania e a dignidade, e conscientizar a população
sobre a importância e utilidade do agente de limpeza.
Todo este trabalho deve ser apoiado incondicionalmente pelo poder
público, de modo a se obter os resultados esperados, em
conformidade com os objetivos da administração municipal.
Aspectos sociais envolvidos - Geração de emprego e renda –
buscando aumentar a eficiência na prestação dos serviços de
limpeza urbana, reduzindo a quantidade de resíduos nos aterros,
gerar emprego e renda e ainda movimentar o mercado da reciclagem
no Brasil; devem ser articuladas parcerias com os catadores. Essas
parcerias podem se dar na participação do poder público no
planejamento do trabalho, na capacitação desses profissionais, na
valorização dos mesmos perante a sociedade. Essas famílias
estruturadas terão condições de se organizar em associações,
cooperativas, em grupos de trabalho e se organizarem visando maior
produtividade e rendimento.
Estrutura de comunicação, informação e mobilização social – a
falta de informação sobre os serviços de limpeza urbana, aliada ao
desinteresse por parte da coletividade, podem deixar um município
em condições precárias de manutenção da limpeza urbana apesar
de estar bem estruturado em termos de equipamento e pessoal.
Garantir uma eficiente estrutura de comunicação e informação é
fundamental para incentivar o envolvimento dos trabalhadores e da
comunidade nos debates em torno das questões referentes aos
resíduos e à necessidade de mudança de comportamento.
Resíduos Sólidos: Coleta e Destinação Final
ABES - Francisco Humberto de Carvalho Jr
45
Algumas estratégias de ação:
- Abordagem direta individual porta a porta (RESID. COM. ETC.)
- Abordagem em veículo
- Abordagem de rua
- Grupos palestras, seminários, cursos
oficinas, gincanas, teatro
- campanhas de massa eventos de impacto
exposições
distribuição de botons,
adesivos, cartazes, e peças
publicitárias
utilização dos meios de
comunicação de massa
(TV, rádio, jornais).
Um bom gerenciamento desses serviços, que estão entre os de maior visibilidade,
representa boa aceitação da administração municipal por parte da população.
Adicionalmente, a sua otimização leva a uma economia significativa dos recursos
públicos. Os serviços de limpeza estão indicados no Quadro 3.
Quadro 3 – Serviços de Limpeza
Acondicionamento
Coleta e transporte do lixo domiciliar
Coleta e transporte do lixo dos serviços de saúde e hospitalar
Serviços
de
Limpeza
Outros serviços de limpeza
• varrição
• capinação e roçagem
• limpeza de praias
• limpeza de feiras livres
• limpeza de boca-de-lobo, galerias e córregos
• remoção de animais mortos
• pintura de meio-fio
• coleta de resíduos volumosos e entulho
O poder público deve garantir:
- A universalidade do serviço prestado, ou
seja, todo cidadão deve ser servido pela
coleta de lixo domiciliar.
- A regularidade da coleta, isto é, os veículos
coletores devem passar regularmente nos
mesmos locais e dias da coleta.
Resíduos Sólidos: Coleta e Destinação Final
ABES - Francisco Humberto de Carvalho Jr
46
6.4 – Tipos de Serviços de Limpeza
6.4.1 - Acondicionamento
Acondicionamento é a fase inicial, na qual os resíduos são preparados de
modo a serem mais facilmente manuseados nas etapas de coleta e de destinação final.
Acondicionar significa dar ao lixo uma embalagem adequada, cujos tipos dependem de
suas características e da forma de remoção, aumentando assim a segurança e a
eficiência do serviço.
O acondicionamento acontece em duas etapas: interno ou externo. Na etapa
interna o gerador é responsável e na etapa externa a responsabilidade é do poder
público, com exceção dos grandes geradores ou geradores de resíduos especiais
(entulhos de construção, industriais, radioativos, etc.).
Na etapa que precede a coleta externa, os resíduos devem ser
acondicionados em locais e recipientes adequados para serem confinados, evitando
acidentes (lixo infectante e pérfuro-cortante ), proliferação de insetos e animais
indesejáveis e poluição ambiental.
Os limites máximos aceitáveis de peso e de volume do lixo a ser coletado
regularmente são estabelecidos por normas que devem refletir as peculiaridades locais,
orientando e educando a população, cuja colaboração é fundamental para a boa
execução das atividades.
Um mau acondicionamento retarda o serviço e encarece. Recipientes
inadequados ou improvisados, pouco resistentes, mal fechado ou muito pesado e com
materiais sem a devida proteção, aumentam o risco de acidentes de trabalho.
Os materiais agressivos ou perigosos devem ser acondicionados em
separado do restante do lixo, para uma correta disposição. Os líquidos devem ser
retirados. Vidros quebrados e superfícies cortantes devem ser embrulhados em jornal.
6.4.1.1 - Formas de acondicionamento ou tipos de recipientes
A forma de acondicionamento depende do tipo de resíduo, do peso, volume e
da movimentação (tipo de coleta, freqüência).
Os recipientes devem:
• Ser padronizados e estar disponíveis para o usuário.
• Obedecer a requisitos mínimos de funcionalidade e de higiene.
• Quando forem reutilizáveis:
− Ter um formato que facilite seu esvaziamento, sem aderência nas
paredes internas e nos cantos.
− Ser de material resistente e que evite vazamentos.
− Ter capacidade limitada de modo a não pesar para o manuseio pelos
trabalhadores da limpeza (em torno de 20 kg/homem).
− Ter tampas e alças laterais.
Resíduos Sólidos: Coleta e Destinação Final
ABES - Francisco Humberto de Carvalho Jr
47
a) Acondicionamento para pequenos volumes:
Cestos coletores ou lixeiras para calçadas.
- São colocados em logradouros públicos para receber o lixo de pessoas ou
transeuntes, ou ainda chamados o "lixo de mão". As lixeiras devem ser colocadas
a cada 50m, no máximo. Podem ser plásticas ou metálicas.
Sacos plásticos.
- São práticos e higiênicos, pois
facilitam a limpeza, evitam mau cheiro,
requer um menor esforço dos garis
coletores, impedem a absorção de água
de chuva, diminuem a poluição sonora e
aumentam a rapidez da coleta.
- Atualmente é comum o uso de
sacos plásticos para a varrição. O
material deve ser resistente à perfuração
e não pode ser transparente. As normas
IPT - NEA 26, 36, 57, 58 e 59 ou NBR -
9190 e 9191, descrevem as metodologias
de ensaios.
- Os sacos podem ser reciclados e
de qualquer cor, desde que não permitam
a visibilidade do conteúdo. A cor branca
ou leitosa é reservada para resíduos de
saúde.
- Os requisitos para compra são: capacidade volumétrica; resistência à
queda; dimensões planas e resistência ao levantamento.
Recipiente para coleta de lixo em praias
Coletor de lixo para calçadas
Resíduos Sólidos: Coleta e Destinação Final
ABES - Francisco Humberto de Carvalho Jr
48
Lutocar ou carrinhos para garis.
- São fabricados especialmente para varrição de ruas e áreas públicas, são
recipientes vinculados a carrinhos, geralmente de duas rodas e podendo dispor de
portas vassouras.
Tambores.
- Normalmente de 200 litros e muito usados em pequenas cidades.
- Devem ter alças de manuseio e tampa, impedindo o odor e a entrada de
animais.
- O tambor deve reter líquidos e resistir à corrosão, como aço pintado ou
plástico.
Recipientes basculantes ou coletores de plásticos.
- São recipientes que possuem um sistema de basculamento para remoção
do lixo.
- No caso do recebimento de lixo orgânico, deverão ter um sistema de
captação de líquidos e saídas de gases.
- Usual na Europa, Israel e EUA.
- Dispensa uso de garis coletores, reduzindo o custeio de mão de obra.
- A coleta poderá ser de três em três dias, reduzindo o custo da coleta.
Recipiente basculante
b) Acondicionamento para grandes volumes.
Contêineres, caçambas estacionárias ou coletores basculáveis
estacionários.
- São recipientes possíveis de serem basculáveis, pela lateral ou por trás do
veículo, para descarga dos resíduos.
- Em geral, possuem capacidade de 0,70 a 2,0 m³.
- São usados para coleta de difícil acesso, como favelas ou becos.
- Ideal para coleta de resíduos de entulhos ou terras (escavação).
Contêineres intercambiáveis, caçambas estacionárias ou caixa Brooks.
- São recipientes que quando cheios, são removidos e substituídos por
recipientes vazios. Basculamento por traz do veículo.
Resíduos Sólidos: Coleta e Destinação Final
ABES - Francisco Humberto de Carvalho Jr
49
- Os veículos que transportam, são chamados de poliguindastes, dotados
de equipamento de levantamento, ou carretas dotadas de guincho (
sistema roll on/ roll off).
- Têm capacidade de 2,50 a 30 m³.
- Ideal para locais de difícil acesso e de grande produção de lixo.
- O seu maior problema é a oficialização do "ponto de lixo".
- Por ser aberto, recebem resíduos heterogêneos, causando odor.
c) Vantagens e desvantagens de recipientes para armazenamento de lixo
doméstico. (Ver tabela 5).
Tabela 5 – Vantagens e desvantagens de recipientes para armazenamento de lixo
doméstico
ALTERNATIVA VANTAGENS DESVANTAGENS
CONDIÇÕES
FAVORÁVEIS
Sacos Plásticos. Diminui peso a ser
levantado.
Elimina maus odores.
Limita atração de
vetores.
Aumenta velocidade e
eficiência da coleta.
Reduz contato com o
lixo.
Elimina latas de lixo na
calçada.
• Sacos se rompem
quando muito cheios.
• Podem atrair animais.
• Inadequados para
objetos pontudos,
pesados ou volumosos.
• Tempo longo de
decomposição do
plástico
Coleta na
calçada.
Coleta
regular.
Recipientes
metálicos ou
plásticos
(75 - 120 l).
Econômicos e
reutilizáveis.
Tamanho razoável
para poder levantar.
• Tampas podem se
perder ou não funcionar
após algum tempo.
• Espaço na calçada.
Coleta
dentro dos
lotes.
Recipientes para
coleta mecanizada
(containeres ).
Mais eficiente que a
coleta manual.
Uma das soluções
para coleta em locais
sem acesso
( favelas e vilas ).
• Residentes não
permitem
armazenamento de lixo
por terceiros.
• Oficialização do ponto
de lixo.
• Mau cheiro.
• Atração de vetores.
Necessário
espaço
para
recipientes.
Tambores de 200 l Custo de
aquisição baixo.
• Baixa eficiência de
coleta.
• Dificuldade de manuseio
e risco de acidente de
trabalho.
• Mau cheiro.
• Atração de vetores.
• Ferrugem no fundo
permite acesso de
roedores.
Alternativa
inaceitável.
Resíduos Sólidos: Coleta e Destinação Final
ABES - Francisco Humberto de Carvalho Jr
50
6.4.2 - Coleta e Transporte do Lixo Domiciliar
a) Freqüência.
A coleta de lixo domiciliar deve ser feita em toda a cidade, de acordo com as
características de cada região. Com relação à freqüência é comum adotar-se:
Coleta diária: em áreas comerciais ou centrais, onde a produção de
resíduos é grande. Normalmente, a coleta é noturna, para facilitar o tráfego.
Coleta em dias alternados: Em áreas residenciais, menos adensadas.
Coleta especial ou coleta diferenciada: em favelas, áreas de topografia
acidentada, de urbanização desordenada ou precária, vilas, etc.
b) Vantagens e desvantagens de diferentes freqüências de coleta de lixo.
(Ver tabela 6).
Tabela 6 – Vantagens e desvantagens de diferentes freqüências de coleta de lixo
ALTERNATIVA
DE COLETA
VANTAGENS DESVANTAGENS
CONDIÇÕES QUE
FAVORECEM A COLETA
Uma vez por
semana.
-Menor custo.
- Lixo inadequadamente
armazenado provoca
problemas de odor e
vetores.
- Armazenamento
adequado.
- Clima frio ou
temperado.
Duas vezes
p/semana.
-Reduz lixo.
-Reduz
necessidade de
armazenamento
- Mais cara.
- A qualidade do serviço
é mais importante que a
economia.
- Clima quente.
Mais de duas
vezes
p/semana.
-Reduz lixo.
-Reduz
necessidade de
armazenamento
- Mais cara. - População densa.
c) Transportes.
Os serviços de coleta domiciliar, cada vez mais, utilizam equipamentos
dotados de dispositivos compactadores. Para escolha do tipo de veículos coletores,
devem ser levados em consideração o tipo e a quantidade de lixo, os custos de
equipamentos, as condições locais como a mão de obra, as características das vias
públicas (largura, declividade e pavimentação), as densidades populacionais e de
tráfegos e custeios operacionais de manutenção.
d) Veículos Coletores
São veículos dotados de carrocerias especialmente projetados para a coleta a
que se destinam e a respectiva carga.
• Veículos coletores de caçambas simples
São dotados de caçambas sem sistema de compactação. Os principais tipos
são:
A. Veículo coletor basculante tipo Standart - Sem cobertura, podendo ser
equipado com guindaste com garra tipo "clamshell" ou polipo, para coleta de sucata,
entulhos e/ou resíduos volumosos.
Resíduos Sólidos: Coleta e Destinação Final
ABES - Francisco Humberto de Carvalho Jr
51
B. Veículo coletor convencional - Também conhecido como tipo prefeitura,
baú ou gaveta. É um equipamento com carroceria fechada, construída em forma de
caixa abaulada na parte superior, onde existem janelas com tampas, pelas quais os
resíduos são introduzidos. A descarga se dá através de basculamento da caixa.
• Veículos coletores compactadores
São veículos de carroceria fechada constituída de dispositivos mecânicos
e/ou hidráulicos que possibilitem a distribuição e compressão dos resíduos dentro da
carroceira e sua posterior descarga.
A. Quanto ao sistema de compactação:
A.1 - Carga contínua - Os resíduos colocados na boca da carga são
transferidos e compactados no interior da caçamba, sem ser interrompido o
trabalho de coleta;
A.2 - Carga intermitente - O processo de transferência e compactação dos
resíduos se realiza com a interrupção da coleta, para o acionamento do
sistema.
B. Quanto ao carregamento:
B.1 - Carregamento traseiro;
B.2 - Carregamento lateral;
B.3 - Carregamento frontal, com utilização de containers.
C. Quanto ao sistema de descarga:
C.1 Por ejeção - A descarga é feita através de um escudo ejetor acionadao
por pistão telescópio, através de comandos automáticos, sem necessidade de
qualquer interferência manual;
C.2 - Por basculamento;
Obs: Nas caçambas compactadoras podem ser acoplados dispositiovos hiodráulicos
para basculamento dos containers.
e) Comparação entre veículos coletores.
e.1 – Veículos sem compactação.
Tabela 7 – Veículos sem compactação vantagens e desvantagens
TIPOS VANTAGENS DESVANTAGENS
Caminhões
basculante ou
caçambas e lastro.
- Possibilidade de utilização em
outros serviços do Município.
- O lixo pode se espalhar pela
rua devido à ação do vento.
- A altura da carroceira exige
dos garis grande esforço na
manipulação do lixo.
Caminhão baú ou
“prefeitura“.
- O lixo coletado pode ser melhor
arranjado, evitando-se que seja
visto pelas pessoas ou se espalhe
pelas ruas.
- Dificulta a colocação no interior
da carroceria.
Resíduos Sólidos: Coleta e Destinação Final
ABES - Francisco Humberto de Carvalho Jr
52
e.2 – Veículos com compactação.
Tabela 8 – Veículo com compactação vantagens e desvantagens
TIPOS VANTAGENS DESVANTAGENS
Compactadores. - Capacidade de transportar muito lixo.
- Baixa altura de carregamento,
facilitando o serviço dos coletores que
apresentam maior produtividade.
- Rapidez na operação de descarga do
material, já que são providos de
mecanismos de ejeção.
- Eliminação dos inconvenientes
sanitários decorrentes da presença de
trabalhador arrumando o lixo na
carroceira ou do espalhamento do
material na via pública.
- Preço elevado do
equipamento.
- Manutenção mais
complicada.
- Relação custo x beneficio
desfavorável em áreas de
baixa densidade
populacional.
A análise da realidade local poderá indicar alternativas mais baratas, como
por exemplo, a carroça de tração animal, micro-coletores ou reboques puxados por
pequenos tratores. Qualquer que seja o veículo, a altura não deverá ser superior a
1,10m, de modo a diminuir o esforço dos coletores.
6.4.3 - Coleta para serviços de saúde e hospitalar
A coleta dos resíduos de serviços de saúde é feita de forma diferenciada,
objetivando:
A destinação apropriada;
Evitar a contaminação de resíduos não-perigosos;
Manejo seguro de resíduos infectantes.
Os resíduos de saúde devem ser coletados em todos estabelecimentos que
prestam serviços na área de saúde: hospitais, farmácias, ambulatórios, clínicas
veterinárias e dentárias, pronto–socorros, etc.
a) Fases
A coleta destes resíduos compreende duas fases: interna e externa. Na fase
interna, tem-se como objetivo evitar a contaminação no interior dos estabelecimentos de
saúde. Na fase externa, os resíduos sépticos devem ser *9-coletados em veículos de
carroceria metálica fechada, de operação de carga descarga fácil e lavados com
produtos desinfetantes.
• A fase interna envolve:
- 1. Seleção e triagem dos resíduos
A seleção tem como objetivo separar os resíduos em:
Resíduos sépticos – infectantes (agentes biológicos) – Classe A;
Resíduos sépticos – infectantes (agentes químicos) – Classe B;
Resíduos assépticos – rejeitos radioativos – Classe C;
Resíduos assépticos – resíduos comuns – Classe D.
Resíduos Sólidos: Coleta e Destinação Final
ABES - Francisco Humberto de Carvalho Jr
53
A Resolução número 5 do CONAMA, de 05 de Agosto de 1.993 e a norma
NBR – 12808, apresentam uma classificação detalhada de cada tipo de resíduos.
2. Transporte interno.
Cada estabelecimento deve criar circuitos apropriados para o transporte de
resíduos, evitando confundir os circuitos “limpo“ e “sujo“. Não sendo possível realizar a
segregação entre as diversas classes de resíduos, recomenda-se que todo conjunto seja
tratado como perigoso.
3. Acondicionamento.
3.1 – Sacos Plásticos (branco leitoso).
Os sacos plásticos para lixo contaminado devem ser fabricados com material
incineráveis, de cor branca. IPT – NEA 59 ou NBR – 9191.
3.2 – Recipientes para Resíduos Perfurantes e Cortantes.
Devem ser fabricados com material incinerável (polietileno rígido, papelão
ondulado, etc.) e possuir cor dominante amarela com simbologia internacional para
material infectante. Devem possuir resistência à perfuração, à compressão, ao
vazamento e levantamento pelas alças. IPT – NEA 55 ou BS 7320.
4. Armazenamento.
O armazenamento dos resíduos de saúde deve ser feito em salas localizadas
o mais próximo possível das áreas geradoras. A armazenagem externa deve ser feita em
recipientes com tampa, em locais abrigados e com acesso, restrito apenas para
funcionários treinados e autorizados. Após a coleta o local deve ser limpo e desinfectado.
• A fase externa
Os veículos adequados para coleta podem ser dos tipos: utilitários, para a
coleta de pequenos geradores, e compactadores, para grandes geradores. O grau de
compactação, nesse caso, deve ser mínimo, para evitar o rompimento dos sacos. Devem
também possuir equipamentos auxiliares para o basculamento de contêineres e calhas
para contenção de líquidos.
Os garis coletores devem estar vacinados, principalmente contra hepatite e
tétano e realizar exames periódicos. ABNT NBR – 12807,12808 e 12809.
• Equipamentos para a Coleta de Resíduos de Saúde
A. Para coleta hospitalar, devem ser utilizados veículos especiais, não
compactadorse, possuidores de calhas de retenção de líquidos, de
sistema especial para basculamento de containers coletores, sendo a
descarga efetuada atravé de um escudo ejetor.
B. Para coleta de farmácia, ambulatórios, clínicas, etc. - São utilizados
veículos utilitários tipo "pick-up" com carrocería especial. A descarga
deve ser feita através de uma rampa hidráulica instalada nos pontos de
destino final ou por placa acionada manulamente ou mecanicamente.
Resíduos Sólidos: Coleta e Destinação Final
ABES - Francisco Humberto de Carvalho Jr
54
6.4.4 - Outros serviços de limpeza
6.4.4.1-Varrição e raspagem de vias
A limpeza das calçadas e das ruas não depende apenas da atuação da
prefeitura, e sim, principalmente, da educação e conscientização da população. Deve-se
promover campanhas educativas para conscientizar a população. A limpeza das vias é
fator importante na atração de turistas, que normalmente reparam em detalhes dos locais
que visitam.
O objetivo da varrição é manter a cidade limpa, evitar riscos à saúde pública e
prevenir enchentes e assoreamento de recursos hídricos.
A varrição das ruas e logradouros públicos pode ser feita manualmente ou
mecanicamente.
♦ VARRIÇÃO MANUAL.
Para elaboração de um plano de varrição, os dados necessários são:
1. Área a ser varrida;
2. Topografia;
3. Tipo de pavimentação;
4. Uso do solo;
5. Extensão das vias;
6. Circulação de pedestres;
7. Localização de cestas para lixo de mão.
8. Localização de feiras, mercados, parques, paradas de ônibus, etc.
Devido ao caráter permanente deste serviço, recomenda-se o investimento de
implantação de áreas de apoios (micro ponto de varrição) para os garis.
A freqüência de uma varrição é função direta do tipo de ocupação do solo:
- Maior, em áreas de grande fluxo de pedestres;
- Menor, em áreas residenciais.
A Prefeitura Municipal de Fortaleza, através da EMLURB, está desenvolvendo
um projeto denominado Promotor de Limpeza, em fase de implantação no bairro da
Aldeota, consistindo uma inovação da forma de trabalho dos garis.
Relata-se, abaixo, parte do projeto, para melhor entendimento:
A necessidade de um projeto diferenciado e com a “cara” da nova
administração, no que se refere à participação da população e à intersetorialidade entre
as secretarias envolvidas, norteou este projeto.
O projeto Agente Promotor de Limpeza acaba com a idéia de serviços
executados por especialistas em varrição, pintura de meio-fio, capina, etc.
A forma de executar os serviços será circular, conforme figura 12,
aumentando a produtividade do gari. O agente terá, junto à comunidade, um papel
diferente do atual, verificará as irregularidades possíveis na coleta de lixo, observará as
possíveis infrações cometidas por um cidadão, e, através de diálogo, tentará equacionar
os problemas. Caso o cidadão persista, encaminhará o caso para a fiscalização da
Regional.
Resíduos Sólidos: Coleta e Destinação Final
ABES - Francisco Humberto de Carvalho Jr
55
Figura 12 – Forma de executar os serviços de limpezas das ruas.
Inicialmente, o agente será responsável por quatro quadras, e executará
todos os serviços de limpeza. Receberá os materiais e equipamentos do auxiliar de
campo, que circulará em uma bicicleta. O auxiliar de campo, orientado pela equipe
técnica, se instalará em um local onde habitualmente tende a ser um ponto de lixo, com
uma infra-estrutura mínima, tal como um guarda-sol, materiais e equipamentos
necessários.
Haverá uma premiação para o melhor agente promotor de
limpeza. O julgamento poderá ser realizado através de pesquisa de opinião
pública.
Os papeis de cada um serão:
a) Agente Promotor de Limpeza.
♦ Responsável pelos serviços de: varrição, raspagem de vias, capinação, pintura de
meio-fio, limpeza de bocas-de-lobo e pequenas podas de árvores.
♦ Identificará e dialogará com os cidadães infratores.
♦ Encaminhará à fiscalização as irregularidades possíveis. (ex.: coleta não
passou, cidadão colocou entulho na calçada, etc.).
♦ Interação (inter. + ação) com a comunidade, dos
problemas existentes.
♦ Colocará na esquina de cada quadra os sacos de varrição ou
outros resíduos, facilitando a coleta.
♦ Asseio e aparência pessoal.
♦ Comportamento.
♦ Integração.
♦ Promover educação ambiental.
b) Auxiliar de Campo.
♦ Acompanhamento e orientação ao Agente Promotor.
♦ Guarda dos materiais e equipamentos.
♦ Inibir a colocação de resíduos em pontos de lixo.
♦ Solicitação ao gerente dos materiais e equipamentos necessários.
♦ Interação com a comunidade.
♦ Asseio e aparência pessoal.
♦ Freqüência do Agente Promotor.
Resíduos Sólidos: Coleta e Destinação Final
ABES - Francisco Humberto de Carvalho Jr
56
♦ Repasse dos problemas e estudos de soluções para o gerente setorial.
♦ Comportamento.
♦ Integração.
♦ Promover educação ambiental.
c) Gerente Setorial.
♦ Acompanhamento e orientação ao Auxiliar de Campo.
♦ Relatórios periódicos.
♦ Solicitar e acompanhar os materiais e equipamentos.
♦ Interação com a comunidade.
♦ Freqüência da equipe.
♦ Repasse dos problemas e estudos de soluções, para as chefias superiores.
♦ Asseio e aparência pessoal.
♦ Comportamento.
♦ Integração.
♦ Promover educação ambiental.
d) Comunidade.
♦ Participará da pontuação do julgamento para premiação do melhor Agente Promotor.
♦ Interação com o Agente Promotor.
♦ Fiscalização.
♦ Encaminhar solicitações e soluções.
ÁREA PILOTO
A área escolhida para inicio deste projeto compreende o quadrilátero entre as
avenidas: Padre Antônio Tomás, Antônio Sales, Barão de Studart e Senador Virgílio
Távora, localizada na Regional 02, bairro da Aldeota.
A escolha desta área como piloto, se deve a fatores tais como: área que tem
residências e pequenos comércios, representativa da maioria dos bairros de Fortaleza;
nível alto de exigência da população residente, o que facilita a qualidade de atendimento;
localização da área; ajuda à fiscalização dos serviços.
MÃO-DE-OBRA NECESSÁRIA
Primeiramente dimensionou-se em 01 Promotor de Limpeza para cada 04
quadras em média, com a produção em torno de 1.600 ml. O promotor, como já exposto,
irá realizar todos os serviços de limpeza e ajudará na fiscalização da limpeza. O total
calculado é de: 20 quadras X 01 Promotor + 10% reserva técnica + 02 garis para
basculamento dos resíduos da caçamba. O total será de: 24 Promotores de limpeza.
Ter-se ainda 02 Auxiliares de Campo, para supervisionar, e 01 motorista.
♦ Varrição Mecanizada.
A varrição pode ser executada por equipamentos como: varredeiras. O chassi
poderá ser normal (4 ciclos) ou triciclos. O sistema de recolhimento: as varredeiras
podem ser mecânicas ou aspiradoras. As mecânicas recolhem os detritos através de uma
escova que varre os resíduos para dentro da máquina e as aspiradoras, aspiram
diretamente para dentro do equipamento.
Resíduos Sólidos: Coleta e Destinação Final
ABES - Francisco Humberto de Carvalho Jr
57
6.4.4.2 - Capinação e roçagem
A capinação é realizada, geralmente, em áreas não edificadas e em ruas não
pavimentadas, com o fim de evitar que o mato, o capim e as ervas daninhas prejudiquem
o trânsito de pessoas e de veículos, a segurança pessoal, a estética e a sanidade dos
logradouros públicos e das áreas residenciais. Visa, ainda, impedir a transformação
dessas áreas em depósitos de detritos, em esconderijos de pessoas suspeitas e em
focos de desenvolvimento de mosquitos e roedores.
A periodicidade dos serviços de capina varia de 30 a 120 dias, dependendo
da época do ano e do movimento do uso do logradouro a ser capinado. As vias onde
ocorre fluxo permanente de líquidos como esgoto a céu aberto, contribui para o
crescimento de matos em coxias. A capinação pode ser:
• Capinação Manual.
A principal ferramenta de trabalho é a enxada, cuja manutenção,
principalmente a de corte, carece de atenção especial. Recomenda-se que as enxadas
sejam encabadas e amoladas em oficina, para evitar perda de tempo por parte do gari.
As enxadas devem ser levadas ao local de trabalho em boas condições de
uso e em número superior ao dos operários envolvidos, servindo a diferença como
reserva para eventual substituição na hipótese de quebra.
A produtividade de um homem depende do tipo de solo, espécie de
vegetação e sua densidade; poderá chegar em torno 60 a 150 m2/dia.
• Capinação Mecânica
A capinado mecânica é executada por um implemento agrícola conhecido por
"capinadeiro" ou enxada rotativa", tracionado por um trator de pneus, com sistema de
levante hidráulico em três pontos e tomada de força.
• Capinação Química
O objetivo é a erradicação de vegetação específica, sem prejuízo para a vida
animal e vegetal. Uma pessoa pode pulverizar uma área de 10 mil m²/dia.
Existem controvérsias em sua aplicação, no entanto, caso adotado,
recomenda-se autorização de órgão ambientalista (SEMACE) e de um Engenheiro
Agrônomo. Faltam dados relativos principalmente ao efeito residual no solo, no ambiente,
dos herbicídas aplicados para controle de ervas daninhas e o efeito de percolação por
ocasião das chuvas. Há falta de informação precisa por parte dos fabricantes quanto ao
uso de herbícidas para controle de áreas não cultivadas.
• Roçagem
Roçagem consiste no corte da vegetação a uma altura de 5 a 10 cm., acima
do solo. É feita quando se deseja manter uma cobertura vegetal para se evitar
deslizamentos de terra e erosões ou por razões estéticas.
A roçagem pode ser também manual ou mecânica. A roçagem manual é
executada por foices do tipo "bico de gavião" ou estrovengas. A roçagem mecânica, é
executada por um equipamento chamado "roçadeira de pasto" tracionado por um trator
de pneus.
Resíduos Sólidos: Coleta e Destinação Final
ABES - Francisco Humberto de Carvalho Jr
58
6.4.4.3 - Coleta de materiais diversos e entulhos
Os grandes vilãos das administrações municipais são os entulhos de origem
de construções ou reformas de residências ou escritórios. O custo desta coleta é
bastante caro, pois utiliza equipamentos "pesados" e caçambas. No entanto, a situação
se torna mais grave, quando estes resíduos não são coletados, pois propicia a
proliferação de vetores, atrapalha o tráfego de pedestres e automóveis, destroi a
paisagem e atrai outros resíduos.
Quando a coleta é feita clandestina por equipamentos das empreiteiras, o seu
custeio (preço por tonelada), tende a crescer. O peso específico de um resíduo domiciliar,
sem compactação, chega em torno de 425 Kg/m³ e de entulho de construção de 1.280
Kg/m³. Como o custeio é pago por peso, os veículos infratores "ganham" bastante.
A coleta de materiais diversos também tem seu custo alto, pelo mesmo
motivo do seu peso específico. A coleta de restos de móveis e eletrodomésticos, e outros
resíduos constitui o tipo desta coleta.
Uma das formas que as administrações municipais encontraram, foi a
setorização da cidade e programa de coleta, informando previamente à população
quando o veículo coletor de materiais diversos irá passar. Estas operações são também
chamadas de "bota-fora", "cata-tralha", etc.
A coleta especial, por parte da administração, mediante solicitação e
pagamento do serviço pelo cidadão, está prevista em diversos códigos municipais.
6.4.4.4 - Remoção de animais mortos
Este serviço pode ser feito com equipamentos dotados de carroceiras
fechadas ou abertas, munidas de guincho.
6.4.4.5 - Limpeza de feiras livres e mercados
A limpeza deve ser feita imediatamente após o seu encerramento, por garis
munidos de vassourões, pás e carrinhos de mão. As áreas de feiras, principalmente os
locais onde foram comercializados peixes, carnes e frutas, devem ser lavados,
desinfetados ou desodorados. Contêineres podem ser utilizados quando houver grandes
volumes de lixo.
Estes resíduos, por se tratar de um lixo quase que totalmente orgânico,
constituem uma possibilidade de uma futura compostagem.
6.4.4.6 - Limpeza de praias
A freqüência da limpeza e o número de equipes nas praias dependem da
época de grande movimento. Cestos e tambores devem estar dispostos ao longo da
praia.
6.4.4.7 - Limpeza de bocas de lobo, galerias, córregos e canais
Podem ser feitas manualmente, utilizando-se garis munidos de pás, picaretas,
enxadas, aspirador, motor e mangueira para jateamento de água, e mecanicamente, com
equipamentos tipo multiuso.
Resíduos Sólidos: Coleta e Destinação Final
ABES - Francisco Humberto de Carvalho Jr
59
6.4.4.8 - Pintura de meio-fio
Tem um caráter especial para limpeza urbana, pois deixa um aspecto de
asseio e limpeza bem realizada, além de uma orientação melhor para o tráfego e melhor
higienização.
6.4.4.9 - Coleta de reciclados ou seletiva
Atualmente, estes serviços vêm acontecendo em diversas prefeituras, e são
utilizados veículos especiais para esta coleta.
6.4.4.10 - Outros serviços
Pode-se citar serviços ainda não dimensionados, tais como: limpeza de vias e
logradouros públicos em datas cívicas e festas religiosas e populares, raspagem de vias
ou de material carreado por enxurradas e alagamentos e limpeza da orla marítima em
períodos como "ressaca do mar".
Isto demonstra que os serviços da limpeza pública têm uma abrangência
maior do que se imagina e de uma importância enorme para o bem estar da população.
Por isso, é considerado um serviço essencial.
Resíduos Sólidos: Coleta e Destinação Final
ABES - Francisco Humberto de Carvalho Jr
60
7 - COLETA
7.1 -Tipos de Coletas
A Norma NBR -12980 da ABNT, define os diferentes tipos de coletas de lixo.
1 - Coleta Regular: Corresponde à remoção de lixo domiciliar, resíduos de varrição, de
feiras, praias, resíduos de serviços de saúde. Coleta de resíduos sólidos executados em
intervalos determinados.
2 - Coleta Especial - É a coleta destinada a remover resíduos, que não são removíveis
pela coleta regular em virtude de suas características próprias, origem e quantidade.
Exemplos: Entulhos, animais mortos, móveis velhos, colchões, podação, materiais
diversos, monturos, etc.
3 - Coleta Particular - É a coleta de qualquer tipo de resíduo urbano, pelo qual cidadãos
ou empresas pagam para retirar os resíduos. Exemplo: Lixo industrial, entulho de
construção, etc.
4 - Coleta de resíduos de serviços de saúde - Ela é apresentada à parte por
apresentar riscos de saúde superiores à coleta domiciliar. É dividido em:
a) Coleta Hospitalar - É a coleta de hospitais, aeroportos, portos, presídios e outros
estabelecimentos similares.
b) b) Coleta de Farmácias, Centros de saúde, Laboratórios, Clínicas Veterinárias,
etc.
Esta coleta é executada por veículos exclusivos, de forma a não ocorrerem problemas
de espalhamento de resíduos, o derramamento de líquidos em vias públicas ou
problemas de contato manual.
5 - Coleta de resíduos de feiras, praias ou calçadões - Coleta regular dos resíduos
oriundos da limpeza e varrição de feiras, praias e calçadões.
Resíduos Sólidos: Coleta e Destinação Final
ABES - Francisco Humberto de Carvalho Jr
61
6 - Coleta Seletiva - Coleta que remove os resíduos previamente separados pelo
gerador, tais como: papéis, latas, vidros e outros.
7 - Coleta de varrição ou varredura - Coleta regular dos resíduos oriundos da varrição
de vias e logradouros públicos.
7. 2 - Dimensionamento de uma Coleta Domiciliar
O dimensionamento e a programação da coleta estão relacionados à
estimativa dos recursos necessários (tipo de veículo, frota necessária, quantidade de
pessoal) e à definição de como o serviço será executado (freqüências, horários, roteiros,
itinerários, pontos de destinação).
Em geral, quando se contrata serviços de coleta domiciliar são contratadas
juntas as empresas particulares. O poder público define seus requisitos básicos, tais
como, freqüências, horários da coleta, locais e destino final, etc.
Cabe as empresas seu dimensionamento e programação. No entanto, é
necessário o envolvimento do poder público no dimensionamento e na programação dos
serviços. Isto visa assegurar que atendam aos padrões de desempenho e de nível de
serviço julgados adequados e garantir a justa remuneração pelos serviços prestados.
7.3 - Dimensionamento de uma Coleta Regular
- INFORMAÇÕES INICIAIS
a) Área de Coleta - é a região onde se irá recolher o lixo.
b) Secção ou Regional de coleta - é a subdivisão político-administrativa de uma
determinada cidade a ser coletada.
b.1) Setor de Coleta - é uma subdivisão técnico-administrativa de uma área ou de uma
regional de coleta ou ZGL, composta por uma coleção de itinerários.
c) Itinerário - é o percurso da coleta efetuada pelo veículo, dentro de um mesmo setor,
num mesmo período. Para cumprir o itinerário, um caminhão coletor poderá fazer uma ou
mais viagens.
d) Distância de Transporte da Coleta - é a distância determinada desde o centro
geográfico do setor a ser coletado até o local de descarga ou do destino final.
e) Viagem - Parte do trajeto efetuado por um veículo coletor desde o ponto inicial da
coleta até um ponto de descarga e ida ao novo ponto inicial. Caso seja a primeira viagem
de um trajeto, inclui a saída da garagem até o ponto inicial. Caso seja a última, inclui o
retorno à garagem.
f) Tempo de Coleta - é o tempo gasto para efetuar a coleta num determinado itinerário.
Podendo ser tempo ocioso ou tempo efetivo.
g) Tempo ocioso de coleta - é o tempo gasto em manobras e pequeno percursos sem
coleta.
h)Tempo Efetivo - é o tempo efetivamente gasto de coleta.
Resíduos Sólidos: Coleta e Destinação Final
ABES - Francisco Humberto de Carvalho Jr
62
i) Tempo de Transporte - é o tempo acumulado do veículo coletor de um trajeto ao seu
destino, não considerando o tempo de coleta e o tempo de descarga.
j) Tempo de Descarga - é o tempo entre a chegada de um veículo ao destino final e a
sua saída, já descarregado.
l) Tempo de viagem - tempo que um veículo leva para completar uma viagem.
m)Quantidade de lixo a coletar - é a quantidade destinada a uma coleta regular; varia
com a população, arborização, quantidade de feiras livres, praias a serem limpas,
hospitais, etc.
n)Parâmetros da coleta - São os dados fundamentais para dimensionar uma coleta, que
são abaixo discriminados.
o)Capacidade de coleta - é a quantidade de lixo que pode ser coletada por uma
determinada equipe, com um determinado equipamento, num itinerário de coleta, em um
espaço de tempo; geralmente é dado em KG/H, incluindo-se aí o tempo gasto para o
transporte e a descarga do lixo.
p)Concentração de lixo - é quantidade de lixo, em peso, por unidade de comprimento de
vias, a ser recolhido em um itinerário. kg/km.
q) Velocidade de coleta - é a velocidade média de um veículo coletor e sua respectiva
guarnição, desenvolvida durante o percurso de coleta em um intinerário. km/h.
r) Freqüência de coleta - Número de dias por semana em que a coleta é efetuada em
um determinado itinerário.
s) Período de coleta - Espaço de tempo correspondente à execução dos serviços de
coleta durante uma determinada fase do dia, podendo ser diurno ou noturno.
t) Guarnição de coleta - Equipe constituída pelo motorista e pelos garis coletores.
7.4. - Etapas para Dimensionar uma Coleta Domiciliar
7.4.1- Passos
♦ Cálculo da quantidade de resíduos a ser coletado
Existem três maneiras para calcular a quantidade de resíduos a ser coletada.
A primeira seria monitorar a quantidade total de lixo coletado diariamente,
através da pesagem no destino final, de todos os veículos. Essa pesagem determina a
quantidade coletada num só dia. Deve-se repetir em mais de um dia, para obter dados
mais precisos.
Obs.1 - Para coleta cuja freqüência não seja diária (duas ou três vezes por semana), a
quantidade coletada nesse roteiro deve ser dividida pelo número de dias. Por exemplo:
dividir por dois, caso a coleta seja alternada, de forma a se obter a quantidade de lixo
gerada em um dia.
Obs.2 - Quando a coleta acontece na Segunda-feira, divide-se por dois, pois não
aconteceu a coleta aos domingos.
Resíduos Sólidos: Coleta e Destinação Final
ABES - Francisco Humberto de Carvalho Jr
63
A segunda maneira, seria calcular o total coletado de lixo, em regiões
homogêneas (uso e ocupação do solo, área geográfica, tipo de lixo, geração de lixo, etc.).
A partir destas informações, é possível expandir a amostra considerando a divisão da
cidade em regiões homogêneas.
Calculado o número de habitantes, encontra-se o índice de geração de
resíduos domiciliares “per capita”.
A terceira maneira, é através de uma estimativa. Adotando-se o valor da taxa
de geração de lixo domiciliar de 0,65kg/hab/dia.
Então: Q = 0,65 X Número de Habitantes
♦ Definir a freqüência da coleta
É o número de dias por semana onde acontece a coleta, em uma mesma
zona ou mesmo itinerário.
DICAS:
• Custos
Quanto maior a freqüência, maior o custo total do serviço. Por exemplo, se o
veículo coletor recolhe lixo diariamente e não em dias alternados, o custo operacional
dobra (mais horas trabalhadas, mais gasto com pneus e combustível, etc.).
• Disponibilidade da Frota
A freqüência depende do total de veículos. Quanto menor for a frota, menor a
freqüência.
• Para Áreas que Geram Muito Lixo
Em regiões tipo: comerciais, calçadões, praias, etc., a coleta deve ser diária,
para evitar acúmulo de lixo. Existem locais onde poderão acontecer coletas mais de uma
vez por dia.
• Domingos e Feriados
Deve-se evitar, por causa do custo adicional da mão-de-obra.
• Sazonalidades
Observar a freqüência em zonas turísticas ou comerciais, que varia de acordo
com o aumento de fluxo turístico ou aumento do comércio.
• Áreas com Baixa Densidade Populacional
A freqüência não necessita ser diária.
• Participação da População é Essencial
Resíduos Sólidos: Coleta e Destinação Final
ABES - Francisco Humberto de Carvalho Jr
64
É importante que os dias e períodos da coleta domiciliar sejam definidos e
informados à população. A coleta deve ser cumprida a risco, para acontecer hábitos
regulares na população.
♦ Definir os horários da coleta
Os horários ou períodos de uma coleta podem ser diurnos ou noturnos.
Abaixo, são descritos alguns aspectos comparativos para coleta noturna.
Aspectos Favoráveis para Coleta Noturna
1. Maior produtividade dos veículos de coleta, através de maior velocidade média
(menor quantidade de tráfego ).
2. Menor transtorno em vias de circulação mais intensa.
3. Aproveitamento melhor da frota (trabalho em 2 turnos).
4. Redução do tempo de espera na descarga.
Aspectos Desfavoráveis para Coleta Noturna
1. Ruído, em especial o manuseio de tambores e da compactação do lixo, que causa
incômodo à população.
2. Aumento do risco de acidentes (menor visibilidade).
3. Aumento de encargos sociais e trabalhistas.
4. Maior absenteísmo e rotatividade.
5. Aumento do desgaste dos veículos por usar em dois turnos.
6. Falta de tempo para uma manutenção preventiva bem feita, diminuindo a vida útil do
veículo.
7. Possibilidade de se levar "gato por lebre", entulho em lugar do lixo (pouca
fiscalização).
Obs. 1. Definir o horário final de cada turno, para evitar atrasos na manutenção
preventiva (lavagem, lubrificação, etc.).
Obs. 2. Ver horários de transportes coletivos para os trabalhadores.
♦ dimensionar a frota
O objetivo do dimensionamento dos serviços de coleta de lixo domiciliar é determinar o
número de veículos necessários aos serviços de coleta e elementos para definir os
itinerários (rota).
O dimensionamento deve ser dinâmico e monitorado, pois poderá haver
modificações dos dados originais, tais como:
- Ampliação dos serviços em áreas novas.
- Substituição ou renovação dos veículos por outros com características
diferentes (capacidade, velocidade, etc.).
- Baixa produtividade.
- Alterações da freqüência e horários.
- Satisfação dos munícipes, quanto à freqüência e horários.
• Etapas para Dimensionamento
- Levantamento de Dados
Resíduos Sólidos: Coleta e Destinação Final
ABES - Francisco Humberto de Carvalho Jr
65
Mapa do município, nas escalas 1:5.000 ou 1:10.000.
Veículo disponível e capacidade, para ampliação da coleta.
- Localização de Pontos Relevantes no Mapa
Destino final e garagem (ponto inicial).
Centros geradores de lixo.
Estações de transbordos.
- Cálculo do Volume e Peso Específico
QA = 0,65 KG/HAB/DIA x POPULAÇÃO
QA = Quantidade de Lixo Domiciliar para Geração Atual
QF = ⎨(1 + D) x [A x (1 + E)] x [B x ( 1 + C )]⎬
QF = Quantidade de Lixo Domiciliar para Geração Futura
A = 0,65 kg/hab./dia
B = população a ser atendida.
C = Taxa de crescimento populacional - %
D = Taxa de incremento futuro do serviço de limpeza pública - %
E = Taxa de incremento por geração per capita de lixo - %
• Peso Específico do Lixo
P.E = PESO/ VOLUME kg/m³ ou ton/m³
O peso específico aparente é aquele referido aos resíduos sólidos nas
condições em que ele se apresenta inicialmente, pronto para ser coletado, ou seja, sem
descontar os vazios. Este valor varia de cidade para cidade, pois os resíduos urbanos
têm suas condições variáveis em conseqüência das mudanças de hábitos, em função
dos novos produtos de consumo, do seu poder aquisitivo e da evolução dos padrões de
cultura.
O peso específico aparente vem diminuindo progressivamente devido à
crescente industrialização, ao consumo cada vez mais de alimentos preparados,
acarretando, portanto, uma redução de teor de matéria orgânica no resíduo sólido
doméstico, bem como aumento do teor de invólucros, de papéis e de plásticos. Para se
ter uma idéia, o peso específico aparente médio do resíduo sólido domiciliar produzido
em São Paulo, em épocas diversas, foi de:
1927 - 500 kg/m³
1957 - 300 kg/m³
1969 - 230 kg/m³
1972 - 200 kg/m³
1974 - 140 kg/m³
Tal redução do peso específico aparente traz como conseqüências: o uso de
caminhões coletores compactadores, a necessidade de estações de transbordo e outros
equipamentos especiais.
Resíduos Sólidos: Coleta e Destinação Final
ABES - Francisco Humberto de Carvalho Jr
66
O peso específico aparente, após haver sido compactado em veículo coletor
compactador, é, por exemplo:
1 compactador - Sita de 15m³, coleta do lixo com peso total de cerca de 9
toneladas. O peso especifico será: 15m³/9 ton. = 600 Kg/m³.
Comparando com o peso específico do lixo solto, que é 273 Kg/m³, tem-se
mais que o dobro para o lixo compactado.
A tabela 9 contém pesos específicos para diversos tipos de lixo.
Tabela 9 - Pesos específicos (dados do município de Fortaleza - CE)
CARACTERÍSTICAS PESO ESPECÍFICO - kg/m³.
Domiciliar 273,00
Varrição 303,00
Comercial 172,00
Mercado público 293,00
Super mercado 113,00
Feiras-livres 150,00
Serviços de saúde 286,00
Especial urbano 1.255,00
Entulhos de construção 1.200,00
FONTE: EMLURB. Fortaleza – 1996.
• Definir quais os Setores da Coleta
- No mapa da cidade, dividir os setores de coleta, os quais representem
regiões homogêneas. (geração lixo/habitante e uso e ocupação do solo).
- Definir, para cada setor de coleta, a freqüência e horário de coleta.
- Definir quais os dias da coleta, por setor (Segunda, Quarta e Sexta, por
exemplo).
Obs.1 - Cada setor de coleta é composto por um conjunto de itinerários.
Obs.2 - Os fatores administrativos (sede) e operacionais determinam os limites de um
setor de coleta.
• Cálculo da Quantidade Total de Lixo por Setor
- Obter a quantidade através de cálculo anterior.
- Estimar o número de habitantes por setor, o qual pode ser obtido a partir
do:
Número de edificações/setor X número habitantes/edificação.
Setor de finanças e tributos (IPTU).
IBGE, outros órgãos.
• Parâmetros Estimados por Setor
DG = distância entre a garagem da empresa coletora e o setor de
coleta.
DD = distância entre o setor de coleta e o ponto de descarga (aterro ou
transbordo).
Resíduos Sólidos: Coleta e Destinação Final
ABES - Francisco Humberto de Carvalho Jr
67
L = percurso total da coleta.
VC = velocidade média da coleta - de 4 a 6,5 km/h.
VT = velocidade média dos percursos entre a garagem e o setor, we
entre o setor e o ponto de descarga e vice-versa. - de 15 a 30km/h. em
geral é medido em campo e depende de fatores como: trânsito, carga,
etc.
as distâncias a um setor (DG e DD), estimam-se considerando o centro
geográfico.
• Dimensionamento da Frota por Setor (Ns)
Ns = (1/J) [ ( L/VC) + 2 ( DG/VT) + 2 ( DD/VT ) x ( Q/C) ]
J = duração útil da jornada de trabalho de guarnição da saída da garagem até
o seu retorno. Atenção: excluir tempos tais como as refeições, trocas de
pneus, etc.
C = capacidade dos veículos de coleta = 70% da capacidade nominal (ton ou
m³).
• Cálculo da Frota Total Necessária
A frota total não é a soma das frotas obtidas para os setores, porque a
coleta não acontece em todos os setores nos mesmos dias e horários.
A frota total necessária é o maior número de veículos que precisam
operar, simultaneamente, num mesmo dia e horário.
Exemplo:
Setor A - diurno - freqüência diária - 05 compactadores.
Setor B – noturno - freqüência diária - 04 compactadores.
A frota total necessária = 05 veículos (pois 04 veículos irão operar diurno e
noturno).
Elaborar Tabela
Exemplo:
SETOR FREQUÊNCIA PERÍODO DÍAS
D 2
a
3
a
4
a
5
a
6a S
A 2 4 6 - - 2 - 2 - 2 -
B 3 5 S - - - 1 - 1 - 1
C DIÁRIA - - 3 3 3 3 3 3
TOTAL - - - 5 4 5 4 5 4
Resultado: Número de veículos necessários = 05
A tabela deve ser para cada horário ou turno de trabalho.
Adicionar 10% da frota como reserva e/ou 5% para emergência.
• Cálculo da Guarnição (Motorista + Garis Coletores)
Varia em função do tipo de equipamento, volume do lixo, velocidade e
do edital de concorrência.
A quantidade de garis coletores varia, para compactador, entre 02 a 04
trabalhadores.
Resíduos Sólidos: Coleta e Destinação Final
ABES - Francisco Humberto de Carvalho Jr
68
♦ Definir os itinerários da coleta
Itinerário de coleta é o percurso ou trajeto que o veículo coletor deve
percorrer dentro de um mesmo setor, num mesmo período.
O ideal é transformar a máxima quantidade de lixo num percurso bem
produtivo, com o menor desgaste possível para o veículo e a guarnição.
Percurso Improdutivo = Trajeto Percorrido em que não se Realiza a Coleta.
DICAS:
1. Início da coleta, mais próximo possível da garagem.
2. Término da coleta, próximo da área de descarga.
3. Coleta em sentido descendente, diminuindo desgastes do veículo e da
guarnição.
4. Coleta nos dois lados da rua, exceto para vias largas e de tráfego intenso.
5. Elaborar um roteiro gráfico indicando: início, término, percurso, pontos de
coleta manual (pontos sem acesso ao veículo. Ex.: vilas), trechos com
trajeto morto e manobras especiais (ré e retorno).
6. Elaborar um roteiro descritivo, com nomes, trechos de vias e seqüência do
itinerário da coleta, bem como o tipo de manobra ao final de cada trecho (ré,
direita, esquerda, retorna) e tipo de pavimentação.
7. Verificar as regras de trânsito (mão e contra mão).
8. Regiões altas devem ser coletadas no início da viagem, com o veículo
mais vazio.
Exemplo:
Dimensionar a quantidade de veículos, tipo compactador, para uma coleta
domiciliar, para uma cidade de 40 mil habitantes. Considerar a cidade dividida em 3
setores, sendo o setor B, com características de uso e ocupação do solo, como zona
residencial e com coleta diurna e alternada. O setor A, como sendo de zona comercial e
coleta noturna e diária e o setor C, como zona residencial de coleta alternada e diária.
Outros dados:
População - Setor A = 20 mil habitantes
Setor B = 140 mil habitantes
Setor C = 160 mil habitantes
Nível de atendimento - Setor A = 100%
Setor B = 80%
Setor C = 90%
Tempo de coleta = 4hs e 10 minutos.
Tempo de transporte (ida e volta) = 50 minutos.
Taxa de geração de lixo = 0,65 kg/hab/dia.
Total de lixo comercial para o Setor A = 50 ton./dia.
SOLUÇÃO:
1. Cálculo do volume de lixo domiciliar
Setor A = 20.000 hab. x 0,65 kg/hab./dia = 13.000 kg/dia.
Resíduos Sólidos: Coleta e Destinação Final
ABES - Francisco Humberto de Carvalho Jr
69
Setor B = 140.000 hab. x 0,65 = 91.000 kg/dia x 0,80 = 72.800 kg/dia.
Setor C = 160.000 hab. x 0,65 = 104.000 kg/dia x 0,90 = 93.600 kg/dia.
No Setor A → lixo domiciliar + lixo comercial (diária).
13.000 + 50.000 = 63.000 kg/dia = 63 ton./dia.
No Setor B → coleta alternada.
72.800 kg/dia x 2 dias. = 145.600 kg.
No Setor C → coleta alternada.
93.600 x 2 = 187.200 kg.
2. Número de viagens por setor
Adotando-se 01 compactador = 6 ton./viagem, tem-se:
Setor A = 63 ton./dia
6 ton./viagem
Setor A = 10,5 viagens/dia (coleta noturna)
Setor B = 145,6 ton.
6 ton./viagem
Setor B = 24,26 viagens para 2 dias (coleta diurno).
Setor C = 187,20
6ton/viagem
Setor C = 31,20 viagens para 2 dias (coleta diurno).
2. Cálculo do tempo de coleta/número de veículos
Setor A = 4hs e 10 min + 50 min = 6hs/viagem
Número de veículos para o Setor A = 10,5 viagens/dia.
2 viagens/dia
N.V.A = 5,25 → 5 Veículos.
Para os outros dois setores, adotando-se que o compactador faz, o máximo, 2
viagens/dia.
Setor B = 24,26
2
N.V.B = 12 Veículos.
Setor C = 31,20
2
N.V.C = 16 Veículos.
Reserva Técnica = 10% x 16 = 2 veículos.
Resíduos Sólidos: Coleta e Destinação Final
ABES - Francisco Humberto de Carvalho Jr
70
Para o dia → Setor B e C (alternada). = 16 veículos.
Para a noite → Setor A = 05 Veículos.
Total de Veículos = 16 + 2 = 18 Veículos.
Preenchendo a tabela abaixo:
SETOR FREQUÊNCIA PERÍODO DÍAS
D 2 a 3
a
4a 5a 6a S
A DIÁRIA NOITE - 5 5 5 5 5 5
B 2 4 6 DIURNO - 12 - 12 - 12 -
C 3 5 SAB. DIURNO - - 16 - 16 - 16
TOTAL - 12 16 12 16 12 16
Reserva técnica = 02 veículos.
3. Cálculo da guarnição
Adotando-se 03 (garis - coletores) + 01 motorista por compactador, tem-se:
GUAR SETOR FREQUÊNC. PERÍODO DIAS
D 2a 3a 4a 5a 6a S
Motor. A NOTURNA DIÁRIO - 5 5 5 5 5 5
Garis. A NOTURNA DIÁRIO - 15 15 15 15 15 15
Motor. B DIURNO 246 - 12 - 12 - 12 -
Garis. B DIURNO 246 - 46 - 46 - 46 -
Motor. C DIURNO 35SAB - - 16 - 16 - 16
Garis. C DIURNO 35SAB - - 48 - 48 - 48
TOTAL MOTOR. 12 16 12 16 12 16
TOTAL GARÍS 46 48 46 48 46 48
Cálculo: Setor A = 5x1 =5 e 5 x3 = 15
Setor B = 12 x 1 = 12 e 12x 3 = 46
Setor C = 16 x 1 = 16 e 16 x 3 = 48
Para o período diurno: 48 garis 16 motoristas.
Para o período noturno: 15 Garis e 5 Motoristas.
Reserva Técnica - 10%. Noite = 17 garis e 06 motoristas.
Diurno = 51 garis e 17 motoristas.
Total de Motoristas = 6 + 17 = 23
Total de Garis = 17 + 51 = 68
4. Dimensionamento da Mão de Obra Indireta
HOMENS DIURNO NOTURNO TOTAL
FISCAL DE COLETA 03 01 04
FISCAL DE PESAGEM 01 01 02
CHEFE DE TRÁFEGO 01 01 02
AUX.DE TRÁFEGO 01 01 02
TOTAL 06 04 10
Resíduos Sólidos: Coleta e Destinação Final
ABES - Francisco Humberto de Carvalho Jr
71
7.5 - Custos de Coleta e Transporte
O estudo de custos de coleta e transporte tem importância para que haja:
- Um bom gerenciamento dos recursos humanos e materiais.
- Planejamento dos serviços.
- Atualização da taxa de limpeza urbana.
- Elaboração do orçamento anual do município.
- Negociação em condições de igualdade com as empresas coletoras.
Para o poder municipal, é fundamental para que a eficiência das empresas
prestadoras de serviços de coleta possa ser avaliada, auxiliando na determinação da
remuneração a ser paga por esses serviços.
Ao se comparar custos e preços entre cidades deve-se tomar cuidados, pois,
por exemplo, as cidades maiores tendem a ter custos unitários menores que as cidades
menores, em função da economia de escala; cidades do mesmo porte podem ter custos
diferentes em função de variações significativas como densidade populacional, distância
da área de descarrego, condições de pavimentação, etc. Além do mais, o custo a ser
comparado não representa a qualidade necessária na execução dos serviços, pois
existem culturas e modos diferentes entre as populações.
Lembra-se ainda, que a limpeza pública representa entre 7 a 15% do
orçamento e a coleta representa quase 50% do custeio total da limpeza.
7.5.1 - Custos
7.5.1.1 - Classificação
Os custos podem ser classificados em fixos e variáveis. Os custos fixos não
variam com o grau de utilização dos equipamentos ou nível de atividade da empresa. Os
custos variáveis são proporcionais à utilização dos equipamentos.
• Custos Fixos. (Custos mensais R$/mês)
Dependem basicamente do tipo, quantidade e idade dos veículos.
1. Custos relacionados com a frota
1.1 - Cálculo da depreciação dos veículos.
Admite-se, para efeito de cálculo, como sendo de cinco anos a vida útil de
um veículo. O valor a ser depreciado calcula-se em torno de 80% do preço de um veículo
novo, sem pneus. Considera-se um valor residual de 20%.
Utiliza-se a tabela abaixo, para taxas de depreciação da idade do veículo.
Utiliza-se o método das somas dos anos.
0 a 1 ano: 0,2667;
1 a 2 anos: 0,2133;
2 a 3 anos: 0,1600;
3 a 4 anos: 0,1067;
4 a 5 anos: 0,0533;
Resíduos Sólidos: Coleta e Destinação Final
ABES - Francisco Humberto de Carvalho Jr
72
5 a mais anos: 0,00.
Em alguns casos, pode-se calcular a depreciação de até 90% do preço do
veículo novo.
Para se calcular a depreciação mensal de cada veículo, no ano, multiplica-se
o seu valor novo, sem pneus, pela taxa correspondente à sua idade e dividindo-se por
doze. A depreciação mensal da frota é o somatório de cada veículo.
1.2 - Remuneração do capital da frota
Adota-se, de princípio, a taxa de 12% ao ano. O resultado, dividido por doze,
encontra-se a remuneração mensal.
Utiliza-se a tabela abaixo, de fatores multiplicativos, para deduzir o que foi
depreciado do seu valor:
0 a 1 ano: 1,00;
1 a 2 anos: 0,733;
2 a 3 anos: 0,520;
3 a 4 anos: 0,360;
4 a 5 anos: 0,2533;
mais de 5 anos: 0,200.
A remuneração mensal de cada veículo, no ano, é o resultado do produto do
seu valor quando novo, sem pneus, pelo fator acima e multiplica-se esse resultado pôr
0,01 (1%).
1.3 - Outros custos relacionados com a frota
Considera-se o somatório dos custos de seguro obrigatório, IPVA,
licenciamento, etc., dividido por 12 meses do ano.
1.4 - Custos de equipamentos e instalações
Entende-se por instalações, garagens e edificações. Os equipamentos são as
máquinas, veículos para fiscalização e móveis, não utilizadas diretamente no serviço de
coleta. Estes custos podem ser calculados com base no balanço da empresa.
1.5 - Custo da mão - de - obra
Mão de obra direta: salários, encargos adicionais e benefícios concedidos
(refeições, assistência médica, cestas básicas, etc.) aos motoristas e garis coletores.
Mão de obra indireta: salários, encargos e benefícios concedidos aos fiscais,
mecânico e pessoal da administração.
1.6- Outros custos
São os custos de energia elétrica, gás, telefone, água, uniformes, material de escritório,
serviços de terceiros, etc.
• CUSTOS VARIÁVEIS
Resíduos Sólidos: Coleta e Destinação Final
ABES - Francisco Humberto de Carvalho Jr
73
1.1- Custo por km percorrido
São os combustíveis, lubrificantes, filtros, pneus, câmaras, peças de
reposição, etc.
Cálculo:
A.
Quantidade de insumo por veículo.
Número de km percorridos.
B. Consumo quilométrico X Preço de cada insumo.
C. Somatório dos custos quilométricos dos insumos de todos veículos.
Obs: Para pneus, tem-se o custo dos pneus/km.
D. Pneus/km = N X CN + R X CR
VN + R X VR
N = Número de rodas.
R = Número de recapagens.
VN = Vida útil de um pneu novo, em km.
VR = ídem, para um pneu recapado.
CR = Custo de uma recapagem.
CN = Custo de um pneu novo.
Obs: Para peças de reposição, os valores totais gastos são divididos pelo número total
de km percorridos.
1.2- Custo por hora de operação dos veículos
É utilizado para os lubrificantes, fluído hidráulico e peças que foram
substituídas.
Para se obter este custo, calcula-se:
A. Quantidades dos insumos consumidos por veículos.
Número de horas de operação.
B. Consumo horário X Preço de cada insumo.
C. Somatório dos custos horários dos insumos de todos os veículos.
Obs: Para peças de reposição, divide-se o valor total gastos pelo número total de horas
operadas.
7.5.2 - Custos Unitários
Os custos unitários são os custos que irão representar o custo final por uma
determinada medida. Estes custos podem ser: Custo por quilométrico, custo por tonelada
coletada, custo por pessoa atendida, etc.
Resíduos Sólidos: Coleta e Destinação Final
ABES - Francisco Humberto de Carvalho Jr
74
8 – DISPOSIÇÃO FINAL DO LIXO
8.1 - Introdução
Existem métodos de tratamento de resíduos sólidos, em seu destino final, e
no ponto de vista sanitário e ambiental da seguinte forma: o aterro sanitário,
compostagem e a incineração.
Atualmente o mais empregado é o aterro sanitário, por se tratar de uma
solução mais econômica quando comparada com as demais, apesar de exigir
investimentos considerados, por muitos, como caros e de custo operacional elevado.
Mesmo com a implantação de um incinerador e da prática da compostagem, as cidades
que implantam, consideram útil o aterro sanitário, em função do rejeito que os dois
sistemas produzem.
8.2 - Formas de Disposição de Resíduos Sólidos:
8.2.1 - Por Aterramento
LIXÃO - "é uma forma inadequada de
disposição final de resíduos sólidos, que se
caracteriza pela simples descarga sobre o
solo, sem medidas de proteção ao meio
ambiente ou à saúde pública. O mesmo que
descarga de resíduos a céu aberto" (IPT -
1995);
ATERRO CONTROLADO - "é uma técnica de disposição de resíduos
sólidos urbanos no solo, sem causar danos ou riscos à saúde pública e a
segurança, minimizando os impactos ambientais. Esse método utiliza
princípios de engenharia para confinar os resíduos sólidos, cobrindo-os com
uma camada de material inerte na conclusão de cada jornada de trabalho.
Esta forma produz, em geral, poluição localizada, pois similarmente ao
aterro sanitário, a extensão da área de disposição é minimizada. Porém,
geralmente não se dispõe de impermeabilização de base (comprometendo a
qualidade das águas subterrâneas), nem sistemas de tratamento de
chorume ou de dispersão dos gases gerados" (IPT - 1995);
ATERRO SANITÁRIO - "é um processo utilizado
para a disposição de resíduos sólidos no solo -
particularmente lixo domiciliar - que,
fundamentado em critérios de engenharia e
normas operacionais específicas, permite a
confinação segura em termos de controle de
poluição ambiental e proteção à saúde pública"
(IPT-1995); "consiste na técnica de disposição
de resíduos sólidos urbanos no solo, sem causar
danos ou riscos à saúde e a segurança,
Figura 14: Lixão
Figura 15: Trincheira de um aterro sanitário
Resíduos Sólidos: Coleta e Destinação Final
ABES - Francisco Humberto de Carvalho Jr
75
minimizando os impactos ambientais, método este que utiliza princípios de
engenharia para confinar os resíduos sólidos à menor área possível e
reduzi-los ao menor volume possível, cobrindo-os com uma camada de terra
na conclusão de cada jornada de trabalho ou intervalos menores se
necessário (ABNT-1984)".
BIOREMEDIAÇÃO - "disposição dos resíduos sólidos em células. Depois de
1 a 2 anos essas células são escavadas e o material todo é peneirado. Em
seguidas os recicláveis são separados e o inerte (sobra) retorna à célula
como material de recobrimento, pois a mesma célula deverá ser reutilizada
para novos depósitos".
8.2.2 - Por Incineração
IINCINERADOR - "equipamento de grande porte utilizado para a queima de
resíduos de serviços de saúde ou industrial (conforme classe). Os resíduos
são expostos a temperatura alta (em média 900ºC). Os compostos orgânicos
são reduzidos a seus constituintes mínimos (dióxido de carbono gasoso e
vapor d'água) e os resíduos inorgânicos transformam-se em cinzas. A
vantagem do sistema é a redução do volume e neutralizar a ação poluidora
dos mesmos.
Essa combustão acontece numa instalação, usualmente denominada usina
de incineração, projetada e construída para este fim.
Apesar das vantagens de redução do volume de lixo a ser disposto, da
redução do impacto ambiental e da destoxificação, as usinas de incineração apresentam-
se como um tratamento que requer elevados custos, tanto de implantação como de
operação.
No estado do Ceará, há apenas um incinerador, localizado no antigo aterro do
Jangurussu (ver fig. 16), em Fortaleza, destinado a tratar os resíduos perigosos.
Figura 16 - Centro de Tratamento de Resíduos
Perigosos (Fortaleza – CE)
8.2.3 - Por Triagem
RECICLAGEM - "seleção de resíduos através de meios manuais e
mecânicos. Promover a reutilização dos resíduos, gerar renda e emprego
além de aproveitar a parte orgânica em compostos necessários a
agricultura, também conhecido como compostagem".
Como observou-se, qualquer que seja a escolha do sistema de tratamento de
resíduos sólidos domiciliares, caberá ao ATERRO SANITÁRIO receber rejeitos dos
Resíduos Sólidos: Coleta e Destinação Final
ABES - Francisco Humberto de Carvalho Jr
76
demais sistemas, o que não impede que se promovam programas redutores de resíduos,
tais como a coleta seletiva, por exemplo. Portanto, escolhe-se neste primeiro momento, a
construção de um aterro sanitário, sobretudo por apresentar certas vantagens
relacionadas ao meio ambiente. A figura 17, segundo MOTA (1997), apresenta uma
matriz onde são analisadas interações que direta ou indiretamente afetam o meio
ambiente, cujo resultados beneficiaram o empreendimento quanto a saúde pública e o
próprio meio.
Figura 17 – Matriz de impactos ambientais de um aterro sanitário
8.3 - Classificação de Aterros Sanitários
Segundo o GIRS/UFC (1995), os aterros sanitários são classificados de
acordo com a forma de sua execução, que varia conforme a região escolhida para sua
implantação. Portanto:
Aterros em Superfície - implantados em regiões aproximadamente planas, ou a
nível, como estuários, pântanos, várzeas, etc., nos quais podemos aplicar os
seguintes métodos de operação: método da trincheira; método da escavação
progressiva ou método da rampa; e método da área.
Aterros em Lagoas - são executados em lagoas abandonadas, resultantes de
escavações para extração de areia ou barro de olaria. Os métodos da trincheira e
área poderão ser utilizados.
Aterros em Depressões e Ondulação - aplicados em grotas profundas ou fundo
de vales. Os dois métodos podem ser utilizados. Recomenda-se a canalização,
caso haja córregos e nascentes d'água, para que os mesmos não sejam
contaminados."
Resíduos Sólidos: Coleta e Destinação Final
ABES - Francisco Humberto de Carvalho Jr
77
8.4 - Definições Básicas de:
Sumeiro ou Chorume - "líquido produzido pela decomposição de
substâncias contidas nos resíduos sólidos, que tem como
características a cor escura, o mau cheiro e a elevada DBO (Demanda
Bioquímica de Oxigênio)";
Demanda Bioquímica de Oxigênio - "é a quantidade de oxigênio
necessária para a decomposição da matéria orgânica, por ação de
bactérias aeróbicas. O seu teor pode baixar a um nível que a torna
imprópria para a sobrevivência da vida dos peixes, plantas e outros
organismos que respiram";
Gás Bioquímico, Gás de Aterro ou Biogás - "mistura de gases
produzidos pela ação biológica na matéria orgânica em condições
anaeróbias, composta principalmente de dióxido de carbono e metano
em composições variáveis";
Percolado - "líquido que passou através de um meio poroso";
8.5 - Escolha do Modelo de Tratamento dos Resíduos Sólidos (Lixo)
Considerando o exposto e a disponibilidade de áreas, além de recursos
humanos e financeiros, escolhe-se como forma de destinação final dos resíduos sólidos
urbanos, o ATERRO SANITÁRIO. Mesmo assim, convém conhecer as vantagens e
desvantagens deste sistema, segundo o GIRS (1995). A saber:
VANTAGENS:
1. aceitar qualquer tipo de resíduos sólidos domiciliares (papel, papelão,
matéria orgânica, plástico, entre outros de menor representação );
2. utilizar, na sua execução e operação, equipamentos normalmente
utilizados em serviços de terraplanagem, que poderão ser utilizados, de
forma temporária, em situações emergenciais;
3. utilizar áreas topograficamente inutilizadas;
4. controlar a proliferação de vetores, tais como ratos e artrópodes;
5. possibilitar também a disposição de lodos, provenientes de estações de
tratamento de esgoto ou tanques sépticos.
DESVANTAGENS :
1. poderá ser necessário o transporte a longa distância;
2. produção de águas residuárias, principalmente devido à infiltração de
águas de chuva no aterro;
3. disponibilidade de material de cobertura em quantidade limitada;
4. possibilidade de poluição do lençol freático;
5. período relativamente longo para a estabilização do aterro;
6. produção de ruídos e poeiras durante a execução do aterro.
8.6 - O Projeto de Aterro Sanitário
8.6.1 - Definição de Parâmetros
Resíduos Sólidos: Coleta e Destinação Final
ABES - Francisco Humberto de Carvalho Jr
78
Para a escolha de um espaço físico necessário à implantação de um aterro
sanitário, independente de sua infra-estrutura, deve-se observar alguns parâmetros,
lembrando que a escolha de três áreas é sempre viável, para a aprovação pelo órgão
ambiental. Considerando que houve aprovação de uma das alternativas, a mesma deverá
apresentar:
i. vida útil do aterro sanitário compatível ao volume de lixo gerado;
ii. considerar localização mínima de 10 km do centro urbano;
iii. considerar localização do futuro aterro sanitário a jusante do centro
urbano.
iv. a cidade não pode sofrer possível interferência do aterro sanitário em
função da influência dos ventos; assim, recomenda-se observar a direção
dos ventos;
v. viabilizar área em terreno plano a suavemente ondulado;
vi. evitar área acidentada e próxima de recursos hídricos. O ideal seria uma
distância mínima de 200 metros para qualquer recurso hídrico, e no caso
de manancial de abastecimento humano, no mínimo 500 m;
vii. priorizar área antropizada ( utilizada para a prática agrícola e/ou uso do
recurso florestal);
viii. realizar testes de sondagens;
ix. deve-se evitar áreas com lençol freático alto (mínimo de 3m);
x. quando da utilização do método da trincheira, preservar a distância mínima
de 3 metros do lençol freático;
xi. localizar-se em áreas com solos que apresentem baixo nível de
permeabilidade;
xii. fácil acesso à área e possibilidade de expansão, para implantação de
usina de triagem, armazenamento de recicláveis, expansão do próprio
aterro sanitário;
xiii. realizar teste de sondagens, visando conhecer a geologia do local, altura
do lençol freático, afloramento de rochas, profundidade média para
abertura das células;
xiv.verificar a existência de recursos hídricos e identificar em planta de
situação e,
xv. conversar com moradores próximos, visando conhecer a história da
região.
8.6.2 - Escolha da Área
A escolha da área deverá levar em consideração os seguintes parâmetros:
geologia e geotecnia; pedológicos; hidrogeologia; climatologia; relevo;
permeabilidade do solo; altura do lençol freático; direção dos ventos;
topografia (planimetria); acessibilidade; pluviometria e
evapotranspiração.
Considerando o que foi determinado acima e que houve aprovação por parte
do órgão ambiental entre outras alternativas apresentadas, deve-se observar os passos
seguintes:
8.6.3 - Dimensionamento da Área do Aterro Sanitário
Dados Técnicos:
I - lixo domiciliar
Resíduos Sólidos: Coleta e Destinação Final
ABES - Francisco Humberto de Carvalho Jr
79
População atual estimada = 45.020 habitantes, para efeito de exemplo.
Taxa de crescimento = 3%
Lixo Tipo A (domiciliar) = 0,65 kg/hab
Peso específico (sem compactação) = 0,273 ton/m3
(p.e.)
Grau de compactação (1:3) = 3 (g.c.)
Dias úteis = 365 dias
Vida útil do aterro: 20 anos
Obtém-se a quantidade total de lixo domiciliar a ser depositado no aterro,
como indicado no quadro 4:
Quadro 4 – Quantidade total de lixo domiciliar a ser depositado no aterro
ANO POPULAÇÃO
LIXO GERADO POR
DIA (T/DIA)
LIXO GERADO/ANO LIXOACUMULADO(1)
1 45.020,00 29,26 10.681,00 10.681,00
2 46.370,60 30,14 11.001,42 21.682,42
3 47.761,72 31,05 11.331,47 33.013,89
4 49.194,57 31,98 11.671,41 44.666,30
5 50.670,41 32,94 12.021,55 56.706,85
6 52.190,52 33,92 12.382,20 69.069,05
7 53.756,23 34,94 12.753,67 81.842,72
8 56.368,92 35,99 13.136,28 94.979,00
9 57.029,99 37,07 13.530,36 108.509,36
10 58.740,89 38,18 13.936,28 122.445,64
11 60.503,12 39,33 14.354,36 136.800,00
12 62.318,21 40,51 14.785,00 151.585,00
13 64.187,76 41,72 15.228,54 166.813,54
14 66.113,39 42,97 15.685,40 182.498,94
15 68.09679 44,26 16.155,96 198.664,91
16 70.139,69 45,59 16.640,64 215.295,55
17 72.243,88 46,96 17.139,86 232.435,41
18 74.411,20 48,37 17.654,06 250.089,47
19 76.643,54 49,82 18.183,68 268.273,15
20 78.942,84 51,31 18.729,19 287.002,34
21 81.311,13 52,85 19.291,07 306.293,40
Total de lixo gerado: 306.393,401 toneladas
Volume de lixo domiciliar (ton/p.e.* g.c.) = 373.984,62 m3
II - lixos diversos
População estimada = 45.020 habitantes
Taxa de crescimento = 3%
Lixo Tipo B = 0,35 kg/hab
Peso específico (com compactação) = 1,22 ton/m3
Dias úteis = 365 dias
Total de lixo gerado: 164.927,22 toneladas
Volume de lixo domiciliar (ton/p.e.) = 135.186,24 m3
No Quadro 5, determina-se a quantidade de outros resíduos a ser depositado
no aterro.
Quadro 5 – Quantidade de outros resíduos a ser depositado no aterro
ANO POPULAÇÃO LIXO GERADO POR LIXO GERADO/ANO LIXOACUMULADO(1)
Resíduos Sólidos: Coleta e Destinação Final
ABES - Francisco Humberto de Carvalho Jr
80
DIA (T/DIA)
1 45.020,00 15,76 5.751,31 5.751,31
2 46.370,60 16,23 5.923,84 11.675,15
3 47.761,72 16,72 6.101,56 17.776,71
4 49.194,57 17,22 6.284,61 24.061,31
5 50.670,41 17,73 6.473,14 30.534,46
6 52.190,52 18,27 6.667,34 37.201,80
7 53.756,23 18,81 6.867,36 44.069,16
8 56.368,92 19,38 7.073,38 51.142,54
9 57.029,99 19,96 7.285,58 58.428,12
10 58.740,89 20,56 7.504,15 65.932,27
11 60.503,12 21,18 7.729,27 73.661,54
12 62.318,21 21,81 7.961,15 81.622,69
13 64.187,76 22,47 8.199,99 89.822,68
14 66.113,39 23,14 8.445,99 98.268,66
15 68.09679 23,83 8.699,36 106.968,03
16 70.139,69 24,55 8.960,35 115.928,37
17 72.243,88 25,29 9.229,16 125.157,53
18 74.411,20 26,04 9.506,03 134.663,56
19 76.643,54 26,83 9.791,21 144.454,77
20 78.942,84 27,63 10.084,95 154.539,72
21 81.311,13 28,46 10.387,50 164.927,22
Resultados:
Total de lixo tipo A = 373.984,62 m3
Total de lixo tipo B = 135.186,24 m3
VOLUME TOTAL = 509.170,86 m3
Volume de recobrimento (20%) = 101.834,17 m3
Volume Geral = 611.005,03 M3
8.6.4 - Cálculos para Determinação do Total de ha e Trincheiras
Volume geral / profundidade de escavação(4) = 15,27 ha. Se utilizar os
dois métodos, dividir por (8) 7,63 ha
Dimensão de uma trincheira: 50 m x 70 m = 3.500 m²
Dimensão de uma trincheira: 0,35 hectares
Volume = 50 m x 70 m x 8 m = 28.000 m³
Uma trincheiras = 28.000,00 m³
X trincheira = 611.005,05 m³
Total de trincheiras = 21,83, (22) ocupando 7,63ha
8.6.5 - Identificação e Utilização da Área
Considerando a área indicada em torno de 9,63 ha, sugere-se a seguinte
ocupação:
Área total ..................................................... 9,63 ha
Área útil ( disposição de lixo ) ...................... 7,63 ha
Reserva legal ( 20% ) ................................... 1,92 ha
Área livre ( 9,55 % ) ...................................... 0,08 ha
8.6.6 - Infra-Estrutura Básica
Para este Aterro Sanitário, sugerimos:
Resíduos Sólidos: Coleta e Destinação Final
ABES - Francisco Humberto de Carvalho Jr
81
Cerca de proteção em todo o perímetro;
Construção de uma guarita na entrada do aterro sanitário;
A guarita deverá ter: duas salas, dois birôs, uma estante e uma mesa
redonda com quatro cadeiras para eventuais reuniões técnicas. O
acompanhamento das medições deverá ser feito neste aterro sanitário
e digitado na secretaria municipal responsável;
Definição da via interna de acesso (a pavimentação deverá ser em
terreno natural definido através de terraplanagem);
8.7 - Sistema Operacional
8.7.1 - Abertura de uma Trincheira
A ocupação da área útil de um Aterro Sanitário é processada, basicamente
pelo Método da Trincheira combinado, nas áreas de topografia mais baixa com o Método
da Área.
A combinação dos dois métodos se dá pela necessidade da superposição de
1 (uma) camada de lixo em todas as células.
O desmatamento e escavações serão realizados a partir de determinadas
trincheiras, sempre de acordo com o projeto original.
A escavação das trincheiras é executada por um trator com esteiras que, ao
cortar a terra, acumula este material em área vizinha (que não seja o setor da próxima
trincheira), para utilização do mesmo, no recobrimento do lixo compactado.
As profundidades das escavações das trincheiras serão variadas, pois, de
acordo com o estudo de sondagem considerado, poderão ser encontrados solos com
afloramento de rochas. As profundidades poderão variar de 2,00 metros a 5,00 metros. A
escavação das trincheiras será executada até encontrar material resistente ao trabalho
do trator.
Definida a área e os parâmetros acima, o processo de abertura de uma
trincheira dar-se-á pela utilização de um trator com esteira ou retro-escavadeira, além de
uma pá mecânica e o apoio de um caminhão caçamba.
Para este tipo de aterro, a abertura de trincheiras deverá estar de acordo com
a planta planialtimétrica e a definição do número de células e uma seqüência lógica de
escavação. Realiza-se a escavação a partir de um ponto mais alto em direção a um
ponto mais baixo.
Após escavação, executar terraplanagem no fundo da trincheira de modo que
haja uma inclinação de 1% em direção ao centro da trincheira e de 1% em direção ao
ponto de coleta do chorume na área central, ou seja, na parte baixa da trincheira.
Após, implantar os drenos horizontais e verticais (um dreno central único com
poço coletor colocado no final do dreno para a captação do chorume e colocação de
drenos verticais para a exalação de gases. Por ocasião da construção das valas, sugere-
se um dreno horizontal (60 cm x 60 cm) e um dreno vertical, colocado no centro da
célula, em cima deste mesmo dreno horizontal.
Resíduos Sólidos: Coleta e Destinação Final
ABES - Francisco Humberto de Carvalho Jr
82
Importante: a utilização de máquinas pesadas será feita para a abertura das trincheiras e
devidamente acompanhada por técnico habilitado, de acordo com o projeto e
recomendações necessárias.
8.7.2 - Método da Trincheira
Serão utilizadas trincheiras com
dimensões previamente estabelecidas,
com drenos horizontais e verticais. Não
deverá ser permitida a ausência de
qualquer um destes elementos, sob o
risco de comprometer o sistema
proposto.
8.7.3 - Método da Área
Após o preenchimento das células, é implantado o método da área. As
células com lixo deverão serem executadas com caimento que permitam o rápido
escoamento das águas pluviais.
A altura máxima da célula de lixo varia de acordo com o aterro.
Após atingir a cota máxima pelo método da área, a célula deverá ser selada
com material impermeável. Deverá também estar executada com uma inclinação de 2%
para escoamento das águas pluviais.
8.7.4 - Controle do Chorume e Gases
CHORUME - Implantam-se drenos longitudinais no fundo da trincheira, com
valas de 40 cm x 40 cm, preenchidas com brita Nº 04. Os drenos deverão apresentar
declividade mínima em torno de 1%. A distância entre os drenos será de 15m, na forma
de espinha de peixe (dependendo da dimensão da trincheira). Pelo que está sendo
proposto, sugere-se um dreno único, em função do pouco espaço físico.
GASES - Implantam-se drenos verticais de tubos de concreto premoldado
perfurados, coincidindo com a vala de drenagem e o centro da trincheira.
8.7.5 - Controle do Chorume
O chorume, quando produzido, deverá ser transbordado para o poço (tubo de
concreto) coletor central ou irrigado por toda extensão da trincheira. O tubo de concreto
deverá estar impermeabilizado de modo que possa acumular o suficiente para que uma
bomba de sucção possa promover o retorno para o outro tubo, utilizado para exalação de
gases, e assim, provocar nova infiltração.
8.7.6 - Operação Diária (descarrego, espalhamento, compactação e recobrimento)
O lixo deverá ser descarregado na trincheira, em célula específica e em
seguida espalhado e compactado por um trator com esteiras (que deverá passar por cima
do lixo de 3 a 4 vezes até atingir o índice de 0,8 t/m²) e ser recoberto com o material de
escavação.
Aterro sanitário pelo método da trincheira
Resíduos Sólidos: Coleta e Destinação Final
ABES - Francisco Humberto de Carvalho Jr
83
O lixo compactado não poderá passar mais de 24 horas sem o referido
recobrimento. A camada de recobrimento deverá ficar entre 15 a 20cm.
Quando as camadas de lixo, pelo método da trincheira, atingem o terreno
natural, deve-se continuar a mesma sistemática de descarrego, espalhamento e
recobrimento utilizado pelo método da trincheira, mas com o cuidado de proteger os
beirais (futuros taludes).
8.8 - Considerações Finais
8.8.1 - Caracterização do Lixo X Peso Específico Adotado
O lixo a ser vazado no Aterro Sanitário deverá estar enquadrado em 2 tipos:
LIXO TIPO A - proveniente da coleta domiciliar,
LIXO TIPO B - proveniente do comercio, de mercados, feiras, supermercados,
capinação e raspagem de coxias.
Adotou-se, como média, os seguintes pesos específicos:
LIXO TIPO A - 273 kg/m³
LIXO TIPO B - 1,22 ton/m³ ou 1.220kg/m³
Obs: O lixo hospitalar deverá ser coletado de forma separada e construído uma vala
especial para este fim. Este lixo, por sua vez, não deverá ser compactado, porém,
coberto imediatamente ao seu descarrego.
8.8.2 - Sistema de Pesagem e Horário de Recebimento do Lixo
Alguns aterros sanitários poderão dispor de balanças rodoviárias, com
capacidade de 60 a 80 toneladas, equipadas com terminais computadorizados que
processão relatórios de acordo com as necessidades exigidas. Todo veículo é
cadastrado, com nome do proprietário, nº da placa, peso da tara com um motorista e logo
após batizado com um número código.
A medição deverá ser feita pela capacidade do veículo transportador de lixo,
ou seja, pela cubagem, pois o volume diário de lixo é muito pequeno para que haja um
investimento desta natureza.
Havendo balança, a pesagem deverá ser feita na entrada e na saída (no caso
de adquirir a balança). Não havendo a balança, deverão ser consideradas as cubagens
dos caminhões que serão comparadas ao peso de cadastro. Será registrada a hora de
entrada, hora de saída, o peso, e o número do veículo, que no final de cada dia darão
origem a um relatório, que se destinará aos órgãos envolvidos no sistema da coleta.
Neste exemplo considerar a existência de uma balança.
Sem a balança, as medições deverão ser realizadas na guarita de entrada,
pelo responsável pelo aterro sanitário.
O horário do Aterro Sanitário deverá ser: de segunda a sexta, das 8:00h às
12:00h e das 13:00h às 17:00h; e aos sábados das 8:00h às 12:00 h.
8.8.3 - Operação em Períodos de Chuvas
Resíduos Sólidos: Coleta e Destinação Final
ABES - Francisco Humberto de Carvalho Jr
84
Em períodos de chuva, os acessos e locais de descarga deverão ser
mantidos em perfeitas condições de tráfego.
Para épocas de chuvas, deverá ser previsto volume necessário de terra em
estoque para o recobrimento diário do lixo.
Em período de chuva, onde a trincheira estiver acumulando muita água,
deverão ser utilizadas bombas para o recalque destas águas pluviais.
8.8.4 - Vigilância e Sinalização
A vigilância será a responsável pelo patrimônio do Aterro, 24 horas por dia.
Qualquer acesso só será permitido após identificação na guarita da entrada, com
protocolo. Deverá haver sempre um porteiro para controlar este acesso.
A vigilância é a responsável para evitar a entrada de pessoas estranhas,
catadores, como também a entrada de animais.
No período noturno, um vigia poderá executar essa tarefa de preservar o
patrimônio.
A vigilância deverá ser a responsável por todos os equipamentos instalados
nos Aterros Sanitários.
8.8.5 - Conservação e Manutenção
Deverá ser executadas a conservação e manutenção das instalações físicas
existentes: deverá ser mantida, permanentemente, uma faixa de passeio de 3,0m ao
longo da via de acesso interno, e uma faixa de 6,0m em torno da cerca de proteção,
sendo 3,0m da cerca para fora dos limites do Aterro, e 3,0m da cerca para dentro do
Aterro.
8.8.6 - Monitoramento das Águas Subterrâneas, dos Líquidos Percolados e
Chorume
Deverá ser feito o monitoramento do chorume, líquidos percolados e das
águas subterrâneas, com ensaio fisico-químico e bacteriológico, de forma semestral,
sobretudo no período invernoso.
8.9 - Conclusão
Lembra-se que todas estas recomendações poderão ser ajustadas de acordo
com novas concepções e tecnologias adotadas e, em momento algum, deverá substituir
um projeto executivo completo. Caberá ao projetista otimizar a concepção e custos, de
modo a oferecer a prefeitura municipal, condições especiais para operacionalizar os
aterros propostos.
O licenciamento do aterro sanitário, por parte do órgão ambiental, deverá
existir, porém algumas exigências deverão ser amenizadas. Como exemplo, um aterro
sanitário completo, para uma cidade acima de 100.000 habitantes, não poderá ter as
mesmas condições para uma sede municipal ou distrito com essa faixa de habitantes.
8.10 – Figuras
Resíduos Sólidos: Coleta e Destinação Final
ABES - Francisco Humberto de Carvalho Jr
85
Figura 18 – Abertura de trincheiras
Figura 19 – Fase de operação
Resíduos Sólidos: Coleta e Destinação Final
ABES - Francisco Humberto de Carvalho Jr
86
Figura 20 – Fase de operação (1 a 7)
6 7
5
4
3
2
1
Resíduos Sólidos: Coleta e Destinação Final
ABES - Francisco Humberto de Carvalho Jr
87
Figura 21 – Fase de operação – Método da trincheira
Figura 22 – Fase de operação – Método da área
Figura 23 – Distribuição dos tubos na trincheira Figura 24 –
gases
Resíduos Sólidos: Coleta e Destinação Final
ABES - Francisco Humberto de Carvalho Jr
88
8.11 - Licenciamento de Projetos
Primeiro passo
LICENÇA PRÉVIA
a considerar:
ä condições de acesso
ä localização
ä recursos hídricos
ä topografia
ä geologia
ä pedologia
ä climatologia - pluviometria
ä área total disponível
ä pesquisa: residências, industrias, plano diretor
ä legalização da área (APA, AE, APM, etc.)
ä projeção de vida útil ( quadro populacional x lixo gerado ) ( período ideal: 20 anos )
Elaboração do Documento: Estudo de Áreas Disponíveis para a Implantação de
um Aterro Sanitário
Parecer do órgão ambiental aprovando a área compra do terreno
Segundo passo
LICENÇA DE INSTALAÇÃO
ä Capa (com logotipo do município)
ä apresentação
ä introdução
ä localização e acesso
ä justificativa técnica
ä projeção populacional x volume de lixo gerado
ä peso específico
ä cálculo da utilização da área
ä sistema operacional (concepção e sistema operacional)
ä dimensionamento de pessoal e de equipamentos
ä estudos complementares (coleta e tratamento do chorume, recirculação,estação
elevatória, poços, lagoas de estabilização)
ä projetos executivos: arquitetura, instalações elétricas e hidro sanitárias, sistema
viário, paisagismo, drenagem, arborização, outros)
ä topografia, sondagens, teste de permeabilização
ä modelo de gestão ( dimensionamento de custos mensais, pessoal e equipamentos )
ä bibliografia
ä equipe técnica
ä A.R.T’s.
ä ANEXOS :
ä documentação fotográfica
ä plantas
ä planilhas ( custos de implantação e dos equipamentos - tratores, caçambas )
ä comprovante da compra da área
ä definir forma de gerenciamento: concessão ou administração direta (Prefeitura
Municipal)
Resíduos Sólidos: Coleta e Destinação Final
ABES - Francisco Humberto de Carvalho Jr
89
Terceiro passo
LICENÇA DE OPERAÇÃO
Observar:
ä condicionantes da licença de instalação
ä cumprimento integral das especificações
ä verificar condições dos equipamentos
ä treinamento de pessoal
ä procedimentos administrativos
ä revisão geral
Treinamento Operacional da Equipe de Gerenciamento
Se: Administração Direta (Prefeitura)
Instalação da Equipe da Concessionária
Se: Concessão
Resíduos Sólidos: Coleta e Destinação Final
ABES - Francisco Humberto de Carvalho Jr
90
9 - TRATAMENTO
Após as melhorias na coleta do lixo e na sua destinação final, ficam mais
claras as vantagens das ações que visam reduzir a quantidade e periculosidade do
material a ser aterrado. Estas ações são chamadas de tratamento.
As vantagens são de ordem ambiental e econômica. No caso de benefícios
econômicos, a redução de custos com a disposição final é a vantagem econômica que
mais se sobressai.
A necessidade de tratamento do lixo surge devido aos seguintes fatores:
• escassez de áreas para a destinação final do lixo;
• disputa pelo uso das áreas remanescentes com as populações da
periferia;
• valorização dos componentes do lixo como forma de promover a
conservação de recursos;
• inertização de resíduos sépticos.
Na figura 25, indicam-se diversas formas de tratamento dos resíduos, a partir
de uma usina de Reciclagem.
Figura 25 – Formas de tratamento dos resíduos
Os tratamentos do lixo se implantam, perduram e se aperfeiçoam
quando respondem igualmente a claras metas econômicas e
ambientais.
Em primeira e decisiva instância, os tratamentos objetivam redução
dos volumes aterrados e mudanças na composição do lixo a ser
disposto, resultando, assim, em reduções contabilizáveis dos custos
de disposição em aterros sanitários.
Salvo exceção, os retornos financeiros diretos (venda de recicláveis,
matéria orgânica ou mesmo energia) abatem apenas parte dos
desembolsos com tratamento (instalação e operação).
Independente do(s) tratamento(s) escolhido(s) sempre sobrará um
resíduo que deverá ter uma disposição final em aterro.
CEMPRE(1995)
USINA DE
RECICLAGEM
LIXO
REJEITO – LIXO MESMO
COMPOSTO ORGÂNICO - ADUBO
COLETA SELETIVA
INDÚSTRIA A INDÚSTRIA B INDÚSTRIA C
Resíduos Sólidos: Coleta e Destinação Final
ABES - Francisco Humberto de Carvalho Jr
91
Reciclagem: é o resultado de uma série de atividades através da qual
materiais que se tornariam lixo, ou estão no lixo, são desviados, sendo
coletados, separados e processados para serem usados como matéria-prima
na manufatura de bens, feitos anteriormente apenas com matéria-prima virgem.
Benefícios da Reciclagem:
• Diminui a quantidade de lixo a ser enterrado (conseqüentemente
aumenta a vida útil dos aterros sanitários);
• preserva os recursos naturais;
• economiza energia;
• diminui a poluição do ar e das águas;
• gera empregos, através da criação de indústrias recicladoras.
CEMPRE(1995)
9.1 – Segregação de Materiais e Reciclagem
A segregação de materiais do lixo tem como objetivo principal a reciclagem de
seus componentes.
Ao optar pela segregação para reciclagem, a prefeitura pode adotar um dos
seguintes processos de triagem dos materiais:
• Separação dos materiais na fonte, pelo gerador com posterior coleta
seletiva e envio à usina de triagem;
• Separação dos materiais após a coleta e transporte, na usina de triagem.
Alguns controles são necessários para o monitoramento da coleta e da
comercialização do material reciclável:
• Quantidade total coletada diariamente;
• Quantidade de material estocado;
• Quantidade de material vendido;
• Quantidade de rejeito;
• Total de horas de trabalho dos caminhões;
• Total de quilômetros rodados;
• Consumo de combustível.
A operação da coleta seletiva poderá ser:
• Domiciliar, através de coleta porta a porta, em que os resíduos
recicláveis são coletados diretamente nas casas, por pessoal
credenciado, utilizando-se de carrinhos de movimentação manual, e
levados a seguir para o centro de triagem;
• Através de Postos de Entrega Voluntária (PEVs), consistindo de
coletores de diferentes cores, instalados em pontos estratégicos onda
a população possa levar os materiais previamente segregados;
• Através da coleta de grandes geradores, na qual os próprios
geradores deverão providenciar o destino desse material diretamente
ao centro de triagem ou negociar seu recolhimento de acordo com o
projeto que vier a ser implantado.
Resíduos Sólidos: Coleta e Destinação Final
ABES - Francisco Humberto de Carvalho Jr
92
A separação dos resíduos para fins de reciclagem pode ser realizada
selecionando-se, através de triagem, os materiais que serão reciclados ou destinados a
outro tipo de reaproveitamento: Ver figura 26.
• Papel e papelão;
• Plástico;
• Vidro;
• Metais;
• Matéria orgânica.
A reciclagem, no entanto, não pode ser vista como a principal solução para o
lixo. É uma atividade econômica que deve ser encarada como um elemento dentro de um
conjunto de soluções. Estas são integradas no gerenciamento, já que nem todos os
materiais são técnica ou economicamente recicláveis.
A separação de materiais do lixo aumenta a oferta de materiais recicláveis.
Entretanto, se não houver demanda por parte da sociedade, de produtos reciclados, o
processo é interrompido, os materiais abarrotam os depósitos, e por fim, são aterrados ou
incinerados como rejeitos.
Figura 26 – Separação dos resíduos para fins de reciclagem
Resíduos Sólidos: Coleta e Destinação Final
ABES - Francisco Humberto de Carvalho Jr
93
Vantagens da Compostagem:
• economia de aterro;
• aproveitamento agrícola da matéria orgânica;
• reciclagem de nutrientes para o solo;
• processo ambientalmente seguro;
• eliminação de patógenos.
CEMPRE (1995)
Na figura 27 mostra-se um galpão com bancada de triagem, a ser usado em
instalações de cotação de pequeno porte.
Figura 27 - Galpão de triagem com mesa de catação
9.2 – Compostagem
Dá-se o nome de compostagem ao processo biológico de decomposição da
matéria orgânica contida em restos de origem animal ou vegetal. Este processo tem
como resultado final um produto que pode ser aplicado ao solo para melhorar suas
características, sem ocasionar riscos ao meio ambiente.
Há muito tempo, a compostagem é praticada no meio rural utilizando-se de
restos vegetais e esterco animal. Pode-se, também, utilizar a fração orgânica do lixo
domiciliar, desde que de forma controlada, em instalações chamada usinas de triagem e
compostagem. No contexto brasileiro, a compostagem tem grande importância, já que
cerca de 50% do lixo municipal é constituído por matéria orgânica.
Na figura 28 apresenta-se um pátio de compostagem.
Figura 28 - Pátio de compostagem
Segregar sem mercado é enterrar separado.
CEMPRE(1995)
Resíduos Sólidos: Coleta e Destinação Final
ABES - Francisco Humberto de Carvalho Jr
94
A coleta seletiva representa um processo de valorização dos
resíduos, na qual estes são selecionados e classificados na própria fonte
geradora, visando seu reaproveitamento e reintrodução no ciclo produtivo.
Entre as principais contribuições de reciclagem destacam-se a
economia de matérias - primas e energia, o combate ao desperdício e a
redução da poluição ambiental. Ao invés de simplesmente eliminar os resíduos,
passa-se a valorizá-los, reciclá-los.
A prática da coleta seletiva reveste de forte conteúdo comunitário.
Seu potencial transforma e recomenda como um exercício cotidiano de
solidariedade entre as pessoas. Ë na educação e adesão da população que
reside seu principal triunfo. Respeitar, portanto, o tempo de maturação de
cada experiência, para que as condições de reprodução se realizem, é
imprescindível.
Pôr outro lado, nesta sociedade de modismos, atentar para os riscos
de um uso indevido e mitificador da prática avançada da coleta seletiva é
preciso e urgente. Neste sentido, deve-se observar que a questão dos resíduos
urbanos não se encerra nesta modalidade de coleta, bem como a renda aí
gerada pôr si só não solucionará os graves problemas sociais. A coleta seletiva
não é panacéia para os males ambientais da sociedade contemporânea. O seu
exercício representa uma contribuição para a melhoria ambiental e a
afirmação de cidadania. ( 1 ).
( 1 ) Adler, Roberto R. O lixo nosso de cada dia. Jornal do Brasil, pg.
11, edição de 16.07.1991.
10 – PLANO DE GERENCIAMENTO INTEGRADO DE RESÍDUOS SÓLIDOS
10.1 – Conceito
Segundo definição do Ministério do Meio Ambiente, o Plano de
Gerenciamento Integrado de Resíduos Sólidos (ou Plano de Gestão de Resíduos
Sólidos) é o “documento que apresenta um levantamento da situação atual do sistema de
limpeza urbana, com pré-seleção das alternativas mais viáveis com o estabelecimento de
ações integradas e diretrizes sob os aspectos ambientais, econômicos, financeiros,
administrativos, técnicos, sociais e legais para todas as fases da gestão dos resíduos
sólidos, desde a sua geração até a destinação final".
Resíduos Sólidos: Coleta e Destinação Final
ABES - Francisco Humberto de Carvalho Jr
95
10.2 – Escopo Básico do Plano de Gerenciamento Integrado de Resíduos Sólidos
Basicamente, a elaboração do Plano de Gerenciamento Integrado de
Resíduos Sólidos de um município divide-se em duas fases:
1. Diagnóstico da situação atual dos serviços;
2. Proposições das ações para o gerenciamento.
10.2.1 – Diagnóstico
Nesta fase, deverá ser realizado um trabalho de pesquisa e levantamento de
dados que, analisados, constituirão o diagnóstico da situação atual do município e dos
serviços de limpeza urbana. Deverão ser abordados os seguintes itens:
• Caracterização do município
Serão apresentadas informações sintéticas dos aspectos físicos, ambientais,
sócio-econômicos, estrutura urbana e infra-estrutura do município.
• Caracterização dos resíduos
Deverão ser fornecidos dados relativos à quantidade de lixo gerado e à
composição média percentual dos diversos tipos de lixo (papel, plástico, papelão, vidro,
metais, matéria orgânica etc.).
• Aspectos legais
Levantamento e análise das disposições legais existentes (leis, normas,
regulamentações etc.).
• Estrutura administrativa
Identificação da estrutura organizacional atual dos serviços de limpeza e
respectivos recursos humanos (especificando número de funcionários por função,
inclusive aqueles terceirizados).
• Estrutura operacional
Deverá ser feita a identificação e a análise da atual estrutura operacional do
sistema, a partir do levantamento dos seguintes itens:
serviços prestados pela coleta regular (lixo domiciliar, comercial, de
saúde e outros);
serviços de varrição, capina e limpeza;
serviços de coleta especial (caçambas estacionárias, resíduos de feiras,
entulho de obras e outros);
estabelecimentos que se caracterizam como grandes produtores
individuais de resíduos sólidos urbanos;
locais de distribuição final de resíduos sólidos oriundos de grandes
produtores e vazadouros de lixo domiciliar existentes no município;
infra-estrutura física instalada para prestação de serviço de limpeza
urbana;
frota de veículos e máquinas utilizada para prestação de cada tipo de
serviço executado;
procedimentos adotados para atendimento ao público.
Resíduos Sólidos: Coleta e Destinação Final
ABES - Francisco Humberto de Carvalho Jr
96
• Aspectos sociais
Deverão ser apresentadas informações relacionadas à existência de
catadores no lixão ou nas ruas (quantidade de famílias, associações ou cooperativas,
trabalho infantil, materiais vendido e local de venda, intermediários, dentre outras).
• Estrutura financeira
Levantamento e análise da atual estrutura financeira relativa aos serviços de
limpeza urbana do município, abordando as seguintes questões: remuneração e custeio
(levantamento da estrutura de receita e despesas da prefeitura); investimentos
(levantamento dos investimentos feitos na ampliação da infra-estrutura instalada);
controle de custos (levantamento dos procedimentos relativos ao controle de custos, à
fiscalização e às medições, dentre outros).
10.2.2 – Proposições
De acordo com o Ministério do Meio Ambiente, deverão ser propostas
soluções para o equacionamento dos problemas levantados pelo diagnóstico, de acordo
com as seguintes diretrizes:
As propostas deverão ser articuladas intersetorialmente;
O sistema de limpeza urbana deverá privilegiar soluções voltadas para a
minimização da geração, da segregação e a redução do volume dos
resíduos sólidos gerados, visando ampliar a vida útil do aterro sanitário;
As propostas elaboradas deverão definir a origem dos recursos
necessários para a manutenção e operação do tratamento e da
disposição final.
Os itens constantes desta fase são descritos a seguir:
• Forma de execução dos serviços
Deverá ser elaborada uma avaliação, com ênfase nos aspectos operacionais
e financeiros, das vantagens e desvantagens encontradas na forma de execução dos
serviços (direta, indireta, terceirizada ou concedida, total ou parcial) que vierem a ser
propostos. Serão observadas: coleta de lixo domiciliar e comercial; coleta dos resíduos
sólidos dos serviços de saúde; coleta de resíduos especiais; coleta do lixo com uso de
caçambas estacionárias; varrição e limpeza (capina, roçada, raspagem, etc.) de vias e
logradouros públicos; operação do aterro sanitário e das demais unidades destinadas à
recepção, triagem, e tratamento de
resíduos reaproveitáveis (recicláveis ou
compostáveis).
Uma vez definida a forma
mais vantajosa de execução dos
serviços, deverão ser apresentadas
proposições relativas à administração
dos mesmos, indicando, se for o caso, a
necessidade de realização de estudos
complementares para introduzir
modificações organizacionais e legais
para efetivar as soluções propostas.
Resíduos Sólidos: Coleta e Destinação Final
ABES - Francisco Humberto de Carvalho Jr
97
• Estrutura operacional
Aqui são apresentadas propostas relativas ao acondicionamento, à coleta do
lixo domiciliar/comercial e de resíduos especiais; à limpeza urbana; ao tratamento e
destinação final do lixo e aos equipamentos de apoio operacional, abordando os
seguintes aspectos:
Acondicionamento: proposição de sistema diferenciado, desde a fonte até
o ponto de coleta para cada categoria (domiciliar/comercial, saúde,
entulho e outros).
Coleta: proposição de sistema compreendendo o dimensionamento do
quadro de pessoal, a adequação da frota e de equipamentos, planos de
coleta (freqüência, horários, itinerários e setores), fardamento,
equipamentos de proteção individual e dos sistemas de fiscalização e
controle.
Limpeza pública: proposição de sistema de limpeza pública,
compreendendo varrição de vias e logradouros públicos; adequação da
frota e de outros equipamentos; sistemas de fiscalização e controle;
dimensionamento das equipes; limpeza de dispositivos de drenagem de
águas pluviais (bueiros e bocas de lobo); além de outros serviços como
capina, raspagem e roçada.
Tratamento e disposição final de resíduos sólidos urbanos: proposição de
alternativas mais viáveis de áreas para destinação final de lixo urbano
(aterro sanitário), como também para a minimização da geração, da
segregação e a redução do volume dos resíduos sólidos gerados,
visando ampliar a vida útil do aterro sanitário, ou a sua recuperação, no
caso de ser efetivamente viável, no contexto local/regional, de sua
parcela reaproveitável, por meio dos procedimentos de reciclagem ou
compostagem;
Instalações de apoio operacional: localização e pré-dimensionamento das
edificações ou instalações de apoio operacional, tais como oficinas,
garagens, sedes distritais (se for o caso) e pontos de apoio para serviços
de varrição (se for o caso).
• Aspectos organizacionais
Apresentação da proposta de estrutura organizacional para a forma
selecionada de execução dos serviços, contemplando organograma funcional,
competência dos diversos órgãos e dimensionamento de pessoal. Deverão ser definidos
os instrumentos que viabilizem a participação social/controle social dentro da estrutura
organizacional do sistema.
• Aspectos legais
Deverá ser elaborada uma avaliação do instrumental jurídico existente e
indicação de modificações, adaptações ou complementações que se fizerem
necessárias, de forma a oferecer o suporte legal adequado ao bom funcionamento do
serviço de limpeza pública.
• Remuneração e custeio
Consiste na apresentação de um plano de custeio dos serviços de limpeza,
compatibilizado com as formas legais de arrecadação existentes (taxas, prestação de
Resíduos Sólidos: Coleta e Destinação Final
ABES - Francisco Humberto de Carvalho Jr
98
serviços a preços públicos) ou propostas de arrecadação e remuneração dos serviços a
partir dos dados levantados, com o objetivo de garantir a sustentabilidade do sistema.
Deverá ainda ser realizado um estudo de viabilidade econômica para a
comercialização do material reciclável e do composto gerado, se for o caso, que
comprove a geração de benefícios sociais e econômicos à comunidade.
• Plano Social
Apresentar proposta de inserção
social para as famílias de catadores dos
lixões ou das vias públicas, incluindo
programa de ressocialização para
crianças e adolescentes, garantindo
meios para que essas passem a
freqüentar as escolas.
O Plano Social deve envolver os
grupos sociais afetados e a comunidade
interessada em apoiá-los, identificando
sua participação no processo de solução
do problema.
Apresentar proposta de inserção social para as famílias de catadores de
lixões ou vias públicas constando plano de formação e capacitação dos
catadores que leve em conta: gerenciamento dos resíduos sólidos,
educação ambiental, mercado dos recicláveis, cooperativismo, higiene,
relações humanas, administração.
Apresentar proposta para gestão do galpão de triagem.
Apresentar Programa de ressocialização de crianças e adolescentes
garantindo escola, creche e alternativas sócio-educativas-culturais e de
lazer.
Apresentar ações de Mobilização Social integrando catadores, ONG’s,
escolas, igrejas e outros
Apresentar nomes de instituições parceiras que irão se engajar no
desenvolvimento do Plano Social.
• Programa de Educação Ambiental
A educação ambiental não é simplesmente conhecer a
natureza ou os aspectos relacionados com a conservação e o
manejo dos recursos que ela contém, mas é a maneira como o
homem influi e é influenciado pelo meio ambiente, é fazer com
que cada pessoa perceba-se como um ser social e parte do
grande ecossistema que é a Terra, o que exige uma relação
social e ecológica responsável e compromissada com as
gerações futuras.
Resíduos Sólidos: Coleta e Destinação Final
ABES - Francisco Humberto de Carvalho Jr
99
A educação ambiental deverá ser implementada com ações conjuntas entre a
prefeitura e a comunidade, ficando sob a responsabilidade da prefeitura desenvolver um
Programa de Educação Ambiental.
A seguir algumas ações para o desenvolvimento de um Programa de
Educação Ambiental:
• Realizar no âmbito dos órgãos da
Prefeitura – Seminários, cursos,
ciclos de palestras, com o objetivo
de estimular a participação de
secretários, diretores, chefes e
funcionários, no desenvolvimento da
política de educação ambiental;
• Realizar pesquisa local para a elaboração de uma cartilha;
• Distribuir os exemplares da cartilha em escolas, igrejas, postos de saúde,
associações comunitárias etc., a fim de multiplicar o seu efeito educativo.
• Promover campanhas radiofônicas periódicas para massificar as
informações;
• Afixar cartazes (com informações seriadas) em locais públicos;
• Realizar, em parceria com segmentos organizados da comunidade,
projetos de preservação ambiental;
• Definir, através da secretaria responsável, metodologia de
acompanhamento, controle e avaliação permanente de todas as ações
propostas.
As campanhas de conscientização com temas relacionados à Educação
Ambiental devem ser implementadas para favorecer o desenvolvimento de atitudes que
auxiliem na manutenção da limpeza de cada município.
Objetivos:
Incentivar a comunidade a participar ativamente das ações de limpeza do
município e divulgar, para veranistas e turistas, a importância de sua
manutenção para a melhoria da qualidade de vida e da preservação do
meio ambiente;
Informar, orientar, conscientizar e mobilizar a população sobre a
necessidade de acondicionamento adequado, importância da coleta,
benefícios da reciclagem de materiais, remoção e destino final do lixo;
Implementar programas educacionais voltados à conscientização da
população para a questão da limpeza da cidade – sede, distritos e
conjuntos habitacionais;
Promover a compreensão das causas dos hábitos consumistas e agir
para a transformação desses sistemas, assim como para a transformação
dessas práticas;
Incentivar medidas que visam diminuir a própria geração de lixo;
Estimular a realização de ações permanentes junto a turistas e
veranistas, ressaltando a importância da limpeza;
Tornar os cidadãos do município agentes multiplicadores da limpeza junto
aos turistas;
Capacitar a equipe técnica das prefeituras com conceitos técnicos e
ambientais;
Resíduos Sólidos: Coleta e Destinação Final
ABES - Francisco Humberto de Carvalho Jr
100
Criar condições para que as comunidades acompanhem a forma de
trabalhar das prefeituras e a auxiliem na tarefa de limpar e manter limpa
cada cidade.
11.0 - DADOS PARA DIMENSIONAMENTO DE SERVIÇOS DE
LIMPEZA PÚBLICA OU O T.C.P.O DO LIXO.
SERVIÇOS DE COLETA:
1- FERRAMENTAL:
Para cada veículo coletor 01 a 02 pás quadradas; - 3 meses
01 vassourão; - 1 mês
01 vassoura; - 1 mês
01 garfo de oito dentes. - 4 meses
2- PESSOAL POR VEÍCULO:
01 Coletor compactador 01 motorista e 03 a 04 garis;
01 Caminhão basculante (máquina) 01 motorista e 03 garis;
01 Caminhão carroceira (seletiva) 01 motorista e 03 garis;
01 Utilitário (baú) 01 motorista e 01 gari;
01 Caminhão carroceira 01 motorista e 03 garis;
01 Pá carregadeira 01 operador;
01 Coletor compactador (industrial) 01 motorista e 02 garis;
01 Coletor guindaste (industrial) 01 motorista e 01 garis.
3- FARDAMENTO:
Motorista:
01 Conjunto de calça/camisa; - 3 meses
01 Sapato vulcanizado (par). - 6 meses
Gari:
01 Macacão curto ou conjunto de calça/camisa; - 3 meses
01 Bota de couro cano curto (par); - 4 meses
01 Meia grossa cano curto (par); - 1 mês
01 Luva cano curto (par); - 1 mês
01 Capa plástica. - 12 meses
Resíduos Sólidos: Coleta e Destinação Final
ABES - Francisco Humberto de Carvalho Jr
101
Gari (resíduos de serviços de saúde)
01 Macacão branco; - 3 meses
01 Bota plástica cano longo (par); - 6 meses
01 Meia grossa cano longo (par); - 1 mês
01 Luva cano longo (par); - 1 mês
01 Capa plástica. - 12 meses
Gari (resíduos industriais)
01 Conjunto de calça/camisa manga longa; - 3 meses
01 Bota de couro cano-curto (par); - 4 meses
01 Meia grossa cano curto (par); - 1 mês
01 Luva cano curto (par); - 1 mês
01 Capa plástica; - 12 meses
01 Máscara industrial; - 2 meses
01 Capacete. - 12 meses
SERVIÇOS DE VARRIÇÃO:
1- FERRAMENTAL:
Para Vias públicas: 01 carro de mão ou lutocar; - 12 meses
01 pá quadrada; - 3 meses
01 vassourão; - 15 dias
01 vassoura; - 15 dias
01 machadinha; - 3 meses
15 sacos plásticos de 100 litros.
Para Praças e jardins: 01 carro de mão ou lutocar;-12 meses
01 pá quadrada; - 3 meses
01 vassourão; - 15 dias
01 vassoura; - 15 dias
01 espeto; - 12 meses
20 sacos plásticos de 100 litros.
Para Limpeza de boca-de-lobo: 01 carro de mão; - 12 meses
01 pá côncava.. - 3 meses
Para Remoção de terra: 01 carro de mão; -12 meses
01 pá quadrada; - 3 meses
Resíduos Sólidos: Coleta e Destinação Final
ABES - Francisco Humberto de Carvalho Jr
102
01 vassoura. - 15 dias
Para Limpeza de mato/sarjeta/capina: 01 machadinha; -3 meses
Para Roçagem: 01 facão; - 3 meses
01 enxada; - 3 meses
01 foice. - 3 meses
Para Limpeza de feiras: 01 carro de mão ou lutocar;- 12 meses
01 pá quadrada; - 3 meses
01 vassourão; - 15 dias
2- PESSOAL:
01 Gari para cada 420 metros/dia ou 250Kg.dia.
3- FARDAMENTO:
01 Macacão curto ou conjunto de calça/camisa; - 3 meses
01 Tênis (par); - 4 meses
01 Meia grossa cano curto (par); - 1 mês
01 Capa plástica. - 12 meses
01 Luva cano curto (par); - 1 mês
01 Capacete. - 12 meses
SERVIÇOS DE LEVANTAMENTO (CAPINAÇÃO):
1- FERRAMENTAL:
carro de mão ou lutocar; - 08 und/20 garis; - 4 meses
pá quadrada; - 08 und/20 garis; - 3 meses
vassourão; - 04 und/20 garis; - 15 dias
ciscador; - 04 und/20 garis; - 3 meses
enxada; - 12und/20 garis; - 3 meses
15 sacos plásticos de 100 litros.
2- PESSOAL:
Resíduos Sólidos: Coleta e Destinação Final
ABES - Francisco Humberto de Carvalho Jr
103
via asfaltada: 01 Gari para cada 150 m2
.dia ou 1.000 Kg.dia.
via calçamento: 01 Gari para cada 80 m2
.dia ou 500 Kg.dia.
3- FARDAMENTO:
01 Macacão curto ou conjunto de calça/camisa; - 3 meses
01 Tênis (par); - 4 meses
01 Meia grossa cano curto (par); - 1 mês
01 Capa plástica. - 12 meses
01 Luva cano curto (par); - 1 mês
01 Capacete. - 12 meses
DADOS ESTIMADOS:
1) Número de residências de uma cidade = 20 % da População.
2) Número de casas comerciais = 10 % do Número de residências.
3) Densidade da população = 50 habitantes/hectare.
4) Área da cidade em hectare = 2 % da População.
5) Extensão de ruas a coletar ou varrer = 200 metros / hectare.
6) Velocidade de coleta de um Lutocar = 5 m3
/hora..
7) Velocidade de um Coletor compactador = 10 m3
/hora com 5 garis.
8) Velocidade de varrição manual no asfalto = 420 metros/gari/dia ou 250
Kg/gari/dia.
9) Velocidade de capinação manual no asfalto = 150 m2
/gari.dia ou
1.000 Kg/gari/dia.
10) Velocidade de capinação manual no calçamento = 80 m2
/gari.dia ou
500 Kg/gari/dia.
11) Velocidade de pulverização = 10.000 m2
/gari.dia.
12) Velocidade média de coleta regular = 30 Kg/min.
13) Velocidade média de coleta de RSS = 15 Kg/min.
Resíduos Sólidos: Coleta e Destinação Final
ABES - Francisco Humberto de Carvalho Jr
104
14) Velocidade média de coleta industrial = 70 Kg/min.
15) Velocidade média de coleta seletiva = 9 Kg/min.
16) Velocidade média de coleta de entulho = 70 Kg/min.
17) Produção da coleta porta a porta (sacolão) = 20 Kg/viagem.gari.
18) Produção da coleta com animal (jeque) = 50 Kg/viagem.animal c/01
gari.
19) Produção Per capita de lixo coleta domiciliar = 0,70 Kg/hab.dia.
20) Produção Per capita de lixo coleta de varrição = 0,15 Kg/hab.dia.
21) Produção Per capita de lixo coleta de capinação= 0,21 Kg/hab.dia.
22) Quantidade de pessoal pôr veículo coletor = 03 a 04 garis e
01 motorista.
23) Índices para calcular o valor do equipamento:
vida útil 5 a 7 anos;
valor residual 5 a 20 %;
combustível 2,5 a 3,5 Km/l; (*)
lubrificante (l/Km); (*)
óleo, graxa (Kg/Km); (*)
filtro (und/Km); (*)
pneus 30.000 a 35.000 Km/jg;
manutenção 0,8 a 1;
licenciamento 2,5 %.
(*) poderá usar 17% do custo com combustivel.
24) Índices para o calculo da mão de obra:
hora extra 80 %;
adicional noturno 20 %;
insalubridade (gari) 40 %;
motorista 20 %;
vale alimentação;
vale transporte;
cesta básica.
Resíduos Sólidos: Coleta e Destinação Final
ABES - Francisco Humberto de Carvalho Jr
105
25) Reserva técnica: equipamento5 a 10 %;
pessoal 0 a 20 %.
PARAMETROS PARA APROPRIAÇÃO DE CUSTOS DE LIMPEZA PÚBLICA.
1)Produção per capita de coleta domiciliar (Kg/hab.dia).
2)Produção per capita de varrição (Kg/hab.dia).
3)Produção per capita de capinação (levantamento) (Kg/hab.dia).
4)Produção per capita de coleta hospitalar (Kg/hab.dia).
5)Produção per capita de coleta comercial (Kg/hab.dia).
6)Produção per capita de coleta industrial (Kg/hab.dia).
7)Distancia média de transporte entre o centro de geração e o destino final
(Km).
8)Distancia média de percurso dos roteiros de coleta da cada setor em função
do adensamento populacional e das condições de tráfego (Km).
9)Tempo do transporte gasto entre o custo de geração e o destino final (hs).
10)Tempo médio da coleta nos roteiros de cada setor (hs).
11)Peso médio do lixo transportado pôr viagem para cada tipo de veículo, tipo
de lixo e condições de operacionalização (Kg).
12)Percentual de coleta: diurno (%)
noturno (%)
13)Números de turnos: diurno (%)
noturno (%)
14)Horário de coleta: diurno (hs)
noturno (hs)
15)Carga horaria semanal pôr turno:
Resíduos Sólidos: Coleta e Destinação Final
ABES - Francisco Humberto de Carvalho Jr
106
pessoal: diurno (hs)
noturno (hs)
equipamento: diurno (hs)
noturno (hs)
16)Número de dias úteis: semanal
mensal
17)Distancia média de transporte:
coleta (Km)
transporte ida/volta (Km)
ciclo
18)Tempo gasto:
coleta (Km)
transporte ida/volta (Km)
ciclo
19)Número de viagens pôr equipamento:
diario: diurno
noturno
mensal: diurno
noturno
20)Capacidade do equipamento pôr viagem:
coletor compactador (ton.)
caminhão caçamba (ton. ou m3
)
caminhão carroceria (ton. ou m3
)
21)Mão de obra indireta:
fiscal de coleta da cada turno
chefe de tráfego da cada turno
fiscal de pesagem da cada turno
auxiliar de tráfego da cada turno
- calcular para cada funcionário indireto, os seguintes itens
abaixo:
salario
horas extras
feriados
adicional noturno
vale transporte
café da manhão
Resíduos Sólidos: Coleta e Destinação Final
ABES - Francisco Humberto de Carvalho Jr
107
almoço
merenda
cesta básica
total geral
22)Nível de atendimento para cada setor ou zona (%).
12– BIBLIOGRAFIA
ATERRO SANITÁRIO METROPOLITANO OESTE EM CAUCAIA - ASMOC. Projeto
Executivo. AUMEF, 1989.
DIAS, R. O bom negócio dos resíduos sólidos, in: Bio – Revista Brasileira de Saneamento
e Meio Ambiente, ano XI, no
20. ABES, São Paulo, 2001.
FUNDAÇÃO NACIONAL DE SAÚDE. Manual de saneamento. Ministério da Saúde:
Fundação Nacional de Saúde, Brasília, 1999.
FUNDAÇÃO NÚCLEO DE TECNOLOGIA INDUSTRIAL – NUTEC. Curso Intensivo de
Limpeza Urbana. SECITECE – NUTEC, Fortaleza, 2000.
GERENCIAMENTO INTEGRADO DE RESÍDUOS SÓLIDOS. Universidade Federal do
Ceará. 1995.
GOVERNO DO ESTADO DO CEARÁ / SDU / SEMACE. Meio Ambiente. Legislação
Básica. Fortaleza, 1990.
GOVERNO DO ESTADO DO CEARÁ – SECRETARIA DO DESENVOLVIMENTO
URBANO E MEIO AMBIENTE. O lixo pode ser um tesouro. Centro Cultural Rio-Cine,
Rio de Janeiro, 1993.
HUMBERTO,C.J; RÉGIS,C.A, Curso Básico de Limpeza Urbana.
IBGE. Contagem da População – 1996.
INSTITUTO BRASILEIRO DE ADMINISTRAÇÃO MUNICIPAL. Manual de Gerenciamento
Integrado de resíduos sólidos. IBAM, Rio de Janeiro, 2001.
INSTITUTO DE PESQUISAS TECNOLÓGICAS - IPT & COMPROMISSO
EMPRESARIAL PARA RECICLAGEM - CEMPRE. Lixo Municipal: manual de
gerenciamento integrado. IPT-CEMPRE, São Paulo, 1995.
LEITE, W.C.A. Curso: Aterros Sanitários Domiciliares e Industriais. ABES, Fortaleza,
1999.
LIMA, J. D. Gestão de resíduos sólidos no Brasil. ABES, Rio de Janeiro, 2001.
LIMA, L. M. Q. Tratamento de lixo. Hemus, São Paulo, 1991.
LIMPEZA URBANA. Ministério do Bem-Estar Social. Secretaria de Saneamento, Rio de
Janeiro, 1993.
Resíduos Sólidos: Coleta e Destinação Final
ABES - Francisco Humberto de Carvalho Jr
108
MANUAL DE LIMPEZA PÚBLICA. Instituto Brasileiro de Administração Municipal - IBAM.
Rio de Janeiro, 1973.
MOTA, S. Introdução à engenharia ambiental. ABES, Rio de Janeiro, 2000.
MOTA, S. Preservação de Recursos Hídricos. ABES, Rio de Janeiro,1998.
SCHALCH, V. Curso: Aterros Sanitários. ABES, Fortaleza, 1996.

Curso de gestao de rs urbano

  • 1.
    ABES – ASSOCIAÇÃOBRASILEIRA DE ENGENHARIA SANITARIA E AMBIENTAL - SEÇÃO DE ALAGOAS RESÍDUOS SÓLIDOS URBANOS: COLETA E DESTINO FINAL FEVEREIRO/2003
  • 2.
    Resíduos Sólidos: Coletae Destinação Final ABES - Francisco Humberto de Carvalho Jr 2 ABES – ASSOCIAÇÃO BRASILEIRA DE ENGENHARIA SANITÁRI A E AMBIENTAL ELABORAÇÃO: FRANCISCO HUMBERTO DE CARVALHO JÚNIOR Engenheiro Civil, M. Sc. Saneamento Ambiental FRANCISCO RÉGIS CARNEIRO Engenheiro Civil RAIMUNDO COSTA NOGUEIRA Engenheiro Agrônomo SANZIO CORREIA GONÇALVES Engenheiro Civil CONTATO: frabeto@baydenet.com.br Fone: 85 – 264 6497/ 262-6903
  • 3.
    Resíduos Sólidos: Coletae Destinação Final ABES - Francisco Humberto de Carvalho Jr 3 APRESENTAÇÃO Os gastos destinados na área de resíduos sólidos são poucos e muito fragilizados do ponto de vista de sua sustentabilidade por não haver uma política de sustentação e capacitação técnica. O município, na sua maioria, não possui pessoal capacitado nem os métodos que possibilitem um entendimento técnico-científico do assunto. Portanto, o intuito do presente trabalho é fomentar a capacitação técnica dos municípios na área de limpeza urbana e das empresas prestadoras de serviços de limpeza urbana, formando multiplicadores para o acompanhamento das ações voltadas à gestão integrada de resíduos sólidos urbanos nos municípios cearenses, dentro de uma visão técnica viável, de modo que os técnicos possam estar aptos a acompanhar os empreendimentos na área em questão, seja do ponto de vista ambiental, tecnológico ou social. Com a participação de consultores experientes na área de resíduos sólidos, reunimos este material para que os técnicos das prefeituras e de empresas, tenham condições de dar sustentabilidade às ações de resíduos sólidos desenvolvidas nos seus municípios, e assim, procuramos contribuir com a melhoria de vida da comunidade cearense.
  • 4.
    Resíduos Sólidos: Coletae Destinação Final ABES - Francisco Humberto de Carvalho Jr 4 SUMÁRIO 1 – HISTÓRIA DA LIMPEZA PÚBLICA ................................................................ 7 1.1 - Cidade do Rio de Janeiro ............................................................................... 7 1.2 - Cidade de São Paulo ................................................................................... 11 2 – GESTÃO E GERENCIAMENTO INTEGRADO DE RESÍDUOS SÓLIDOS... 13 2.1 – Conceito..................................................................................................... 13 2.2 – Elementos Indispensáveis na Composição de um Modelo de Gestão .............. 14 2.3 – Modelo Tecnológico .................................................................................... 15 2.4 – Modelos Institucionais ................................................................................. 15 2.4.1 – Objetivo ............................................................................................... 15 2.4.2 – Formas de Administração...................................................................... 16 2.5 – Remuneração dos Serviços ......................................................................... 18 2.5.1 – Cálculo da Taxa de Coleta de Lixo – TCL ............................................... 19 2.6 – Valorização dos Resíduos Sólidos................................................................ 20 2.6.1 – Conceito dos Três R’s: Reduzir, Reutilizar e Reciclar............................... 20 3. LIXO OU RESÍDUOS SÓLIDOS, O QUE SIGNIFICA? ................................... 28 4 – RESÍDUOS SÓLIDOS (LIXO) - ORIGEM E COMPOSIÇÃO......................... 31 4.1 – Conceito..................................................................................................... 31 4.2 - Fatores que Influenciam a Origem e a Formação do Lixo ................................ 31 4.3 - Classificação do Lixo ................................................................................... 31 4.4 - Composição do Lixo ................................................................................. 33 4.4.1 - Caracterização Física do Lixo................................................................. 34 4.5 - Considerações sobre os Componentes Potencionalmente Perigosos............... 36 5 - LIXO E POLUIÇÃO ........................................................................................ 38 5.1 - Poluição do Solo.......................................................................................... 38 5.2 - Poluição do Ar............................................................................................. 39 5.3 - Poluição das Águas ..................................................................................... 40 5.3.1 - Poluição física....................................................................................... 40 5.3.2 - Poluição química................................................................................... 40 5.3.3 - Poluição bioquímica............................................................................... 40 5.3.4 - Poluição biológica ................................................................................. 41 6 - SERVIÇOS DE LIMPEZA OU MANEJO DE RESÍDUOS............................... 42 6.1 - Introdução................................................................................................... 42 6.2 – Critério para se Planejar os Serviços de Limpeza .......................................... 42 6.3 – Participação Social na Gestão dos Serviços de Limpeza Urbana .................... 43 6.4 – Tipos de Serviços de Limpeza...................................................................... 46 6.4.1 - Acondicionamento................................................................................. 46 6.4.1.1 - Formas de acondicionamento ou tipos de recipientes......................... 46 6.4.2 - Coleta e Transporte do Lixo Domiciliar .................................................... 50 6.4.3 - Coleta para serviços de saúde e hospitalar.............................................. 52 6.4.4 - Outros serviços de limpeza .................................................................... 54 6.4.4.1-Varrição e raspagem de vias.............................................................. 54 6.4.4.2 - Capinação e roçagem...................................................................... 57 6.4.4.3 - Coleta de materiais diversos e entulhos ............................................ 58
  • 5.
    Resíduos Sólidos: Coletae Destinação Final ABES - Francisco Humberto de Carvalho Jr 5 6.4.4.4 - Remoção de animais mortos............................................................ 58 6.4.4.5 - Limpeza de feiras livres e mercados ................................................. 58 6.4.4.6 - Limpeza de praias........................................................................... 58 6.4.4.7 - Limpeza de bocas de lobo, galerias, córregos e canais ...................... 58 6.4.4.8 - Pintura de meio-fio .......................................................................... 59 6.4.4.9 - Coleta de reciclados ou seletiva ....................................................... 59 6.4.4.10 - Outros serviços............................................................................. 59 7 - COLETA ......................................................................................................... 60 7.1 -Tipos de Coletas........................................................................................... 60 7. 2 - Dimensionamento de uma Coleta Domiciliar ................................................. 61 7.3 - Dimensionamento de uma Coleta Regular ..................................................... 61 7.4. - Etapas para Dimensionar uma Coleta Domiciliar ........................................... 62 7.4.1- Passos.................................................................................................. 62 7.5 - Custos de Coleta e Transporte...................................................................... 71 7.5.1 - Custos.................................................................................................. 71 7.5.1.1 - Classificação .................................................................................. 71 7.5.2 - Custos Unitários.................................................................................... 73 8 – DISPOSIÇÃO FINAL DO LIXO...................................................................... 74 8.1 - Introdução................................................................................................... 74 8.2 - Formas de disposição de resíduos sólidos: .................................................... 74 8.2.1 - Por Aterramento.................................................................................... 74 8.2.2 - Por Incineração..................................................................................... 75 8.2.3 - Por Triagem.......................................................................................... 75 8.3 - Classificação de Aterros Sanitários ............................................................... 76 8.4 - Definições Básicas de: ................................................................................. 77 8.5 - Escolha do Modelo de Tratamento dos Resíduos Sólidos (Lixo) ...................... 77 8.6 - O Projeto de Aterro Sanitário ........................................................................ 77 8.6.1 - Definição de Parâmetros........................................................................ 77 8.6.2 - Escolha da Área.................................................................................... 78 8.6.3 - Dimensionamento da Área do Aterro Sanitário......................................... 78 8.6.4 - Cálculos para Determinação do Total de ha e Trincheiras......................... 80 8.6.5 - Identificação e Utilização da Área ........................................................... 80 8.6.6 - Infra-Estrutura Básica ............................................................................ 80 8.7 - Sistema Operacional.................................................................................... 81 8.7.1 - Abertura de uma Trincheira.................................................................... 81 8.7.2 - Método da Trincheira............................................................................. 82 8.7.3 - Método da Área..................................................................................... 82 8.7.4 - Controle do Chorume e Gases............................................................... 82 8.7.5 - Controle do Chorume............................................................................. 82 8.7.6 - Operação Diária (descarrego, espalhamento, compactação e recobrimento) ...... 82 8.8 - Considerações Finais................................................................................... 83 8.8.1 - Caracterização do Lixo X Peso Específico Adotado.................................. 83 8.8.2 - Sistema de Pesagem e Horário de Recebimento do Lixo .......................... 83 8.8.3 - Operação em Períodos de Chuvas ......................................................... 83 8.8.4 - Vigilância e Sinalização ......................................................................... 84 8.8.5 - Conservação e Manutenção................................................................... 84 8.8.6 - Monitoramento das Águas Subterrâneas, dos Líquidos Percolados e Chorume....... 84 8.9 - Conclusão................................................................................................... 84
  • 6.
    Resíduos Sólidos: Coletae Destinação Final ABES - Francisco Humberto de Carvalho Jr 6 8.10 – Figuras..................................................................................................... 84 8.11 - Licenciamento de Projetos.......................................................................... 88 9 - TRATAMENTO ............................................................................................... 90 9.1 – Segregação de Materiais e Reciclagem ........................................................ 91 9.2 – Compostagem ............................................................................................ 93 10 – PLANO DE GERENCIAMENTO INTEGRADO DE RESÍDUOS SÓLIDOS. 94 10.1 – Conceito................................................................................................... 94 10.2 – Escopo Básico do Plano de Gerenciamento Integrado de Resíduos Sólidos... 95 10.2.1 – Diagnóstico ........................................................................................ 95 10.2.2 – Proposições ....................................................................................... 96 11 – BIBLIOGRAFIAS ....................................................................................... 107
  • 7.
    Resíduos Sólidos: Coletae Destinação Final ABES - Francisco Humberto de Carvalho Jr 7 1 – HISTÓRIA DA LIMPEZA PÚBLICA 1.1 - Cidade do Rio de Janeiro Preto do lixo - Briggs Biblioteca Nacional Os povos da Antigüidade, enquanto viveram como nômades, não tiveram problemas de canalização de água, instalação de rede de esgoto e remoção de lixo. Roma, cidade fundada em 753 a.C., era dotada de serviço de esgoto e tinha a melhor rede de estradas da época, mas não dispunha de nenhum serviço de limpeza pública. Os Romanos costumavam atirar seu lixo em qualquer lugar e já naquela época, os governantes colocavam placas com as inscrições "não jogue lixo aqui". Em Londres, um edital de 1354 publicados na capital, dizia que o lixo deveria ser removido da frente das casas uma vez pôr semana. Embora várias leis zelassem pelo recolhimento do lixo, o método mais comum na época era a população jogá-lo nos rios. No ano de 1407, os londrinos foram instruídos a guardar o lixo dentro de casa até ser levado pelo coletor. Esta forma de recolhimento durou cinco séculos sem mudanças. As autoridades, contudo, encontraram dificuldades em manter os regulamentos. Até mesmo o pai de Shakespeare foi punido, flagrado jogando lixo na rua em 1551. Carroça de coleta de lixo na antiga Tchecoslováquia no séc. XIX As campanhas de limpeza pública não eram novidades em Paris. Os parisienses, ignorando os apelos governamentais, continuaram a jogar lixo nas ruas. Entre 1506 e
  • 8.
    Resíduos Sólidos: Coletae Destinação Final ABES - Francisco Humberto de Carvalho Jr 8 1608, Paris ficou conhecida como a cidade mais suja da Europa. Este problema só começou a ser superado a partir de 1919, quando 300 veículos circulavam na cidade para fazer a coleta. O uso obrigatório da lata de lixo, instituído pelo prefeito Poubelle, levou os franceses a adotarem o nome "poubelle" para as cestas coletoras. Viena é até hoje conhecida como a cidade mais limpa da Europa, título conquistado desde a época do Império Austro-Húngaro. Por volta de 1340, em Boemia, na antiga Tchecoslováquia, já se estudava a melhor maneira de se limpar uma cidade. Cada cidade, cada país, ao longo da sua história, se defrontou com a problemática do lixo. Cada qual deu sua solução para o problema, de acordo com seu desenvolvimento tecnológico, seus recursos econômicos e a vontade de resolver a questão. No Brasil, aos olhos do Governador Mém de Sá, edificar a cidade em região aquosa, era um problema quase insolúvel que demandava gasto de muito dinheiro, tempo e engenharia. No Rio do século XVI, dinheiro não se contava em notas de papel, mas em barras de melaço, a forma pela qual a cana de açúcar era beneficiada e exportada para a Europa. Foi exatamente nesta conjuntura, em que predominou o espírito mercantilista - o mínimo de investimento para o máximo de lucro - que o Rio de Janeiro começou a se formar como cidade. Edificada sem método e crescendo ao sabor das circunstâncias, sejam de ordem econômica ou outra ordem do momento, a cidade do Rio se desenvolveu sem preocupações que fossem além do futuro imediato. Em 1760, a cidade chegava aos 30 mil habitantes. Nessa época, atirava-se lixo por todas as partes. Aqueles residentes próximos ao mar o jogavam na praia e os moradores vizinhos às lagoas, pântanos, ou rios, ali mesmo faziam seus despejos. E assim cresceu o Rio, num quadro sanitário e de higiene que prenunciava uma crise. A manter-se a defasagem entre o ritmo de crescimento da população, da cidade e da melhoria de sua condição higiênico-sanitária, o século XIX iria assistir trágicas conseqüências desta crise. ESTRUTURAÇÃO DOS SERVIÇOS DE LIMPEZA Escravos limpando a rua - Debret - séc. XVIII - Museus Castro Maia A primeira postura da Câmara Municipal do Rio de Janeiro referente à limpeza, data de 1830, e curiosamente versava sobre: "limpeza, desempachamento das ruas e praças, providências contra a divagação de loucos, embriagados e animais ferozes e os que podiam incomodar o público". Estas posturas eram basicamente normativas, isto é,
  • 9.
    Resíduos Sólidos: Coletae Destinação Final ABES - Francisco Humberto de Carvalho Jr 9 definem proibições e estabelecem sanções quanto ao despejo de lixo nas vias públicas. No entanto, mesmo algumas dessas posturas já se traduzem num arremedo do que seriam os serviços de limpeza pública no futuro. Vários outros projetos e tentativas no que tange à limpeza da cidade pedindo concessões são apresentados à Câmara, a maioria deles indeferidos. Aqueles que não foram indeferidos acabaram antes de começar. ALEIXO GARY: UMA REVOLUÇÃO NA LIMPEZA URBANA Uma discreta notícia inserta na Gazeta de Notícias de 11 de outubro de 1876, sobre o novo contratante da limpeza urbana da cidade, deixa antever importantes mudanças na administração e execução do serviço de limpeza urbana. Aleixo Gary, francês de origem, inaugurava uma nova era na história da limpeza pública no Rio, apoiado principalmente em sua eficiência de trabalho. Em 1885, o governo resolve contratar, provisoriamente, Aleixo Gary para o serviço de limpeza das praias e remoção do lixo da cidade para Ilha de Sapucaia, localizada no bairro chamado Caju. Aproveitando-se das circunstâncias, Gary tentou, com uma proposta, concentrar todo o conjunto de atividades da limpeza - logradouros, remoção do lixo das casas particulares, praias e transporte do lixo para Sapucaia - em suas mãos, isto é, monopolizar o setor. Mas, sua proposta não teve sucesso, sendo recusada pelo governo. Gary, no entanto, se mantém como responsável pelo serviço de limpeza na cidade e remoção de lixo para Sapucaia até 1891, data do término do seu contrato. Nesse mesmo ano, Aleixo Gary se afasta da empresa deixando seu parente, Luciano Gary. No ano seguinte, porém, a empresa parece ter sido extinta, pois em documento de 1892, o Ministério da Justiça se dirige ao Prefeito requisitando "O pagamento a Aleixo Gary e Cia de 232.238 contos de réis pelo qual o governo adquiriu o material de extinta empresa de limpeza". Cria-se a Superintendência de Limpeza Pública e Particular da Cidade. Gary deixara marca na história da limpeza urbana pública no Rio de Janeiro. Tão forte foi a atuação desse empresário que os empregados encarregados pela limpeza, os lixeiros, passaram a ser chamados de "garis". Os serviços desta superintendência, no entanto, deixam a desejar. Os problemas se agravam e em 1897, a Prefeitura resolve contratar novamente serviços particulares, que pôr sua vez, não conseguiram cumprir com os seus contratos, o que faz então a prefeitura em 1899 retomar seus serviços de limpeza da cidade. Em 1904, a prefeitura compra o terreno da Rua Major Ávila, n.º 358, na Tijuca, onde se localiza a sede da COMLURB. Em 1906, o serviço de limpeza urbana dispunha de 1084 animais, já insuficientes para a limpeza da cidade que produzia 560 toneladas de lixo. É assim que, a título de experiência, são adquiridos dois auto-caminhões. Seria o início da passagem do uso animal para o uso mecânico na coleta
  • 10.
    Resíduos Sólidos: Coletae Destinação Final ABES - Francisco Humberto de Carvalho Jr 10 SÉCULO XX No início do século XX, o Prefeito Pereira Passos foi o primeiro governante a terminar o mandato, depois de muitos anos de crise na prefeitura. Neste sentido, a estrutura organizacional dos serviços de limpeza urbana da cidade sofre grande transformação, passando de Superintendência Subordinada à Diretoria de Higiene à Superintendência Autônoma. Os técnicos especialistas fizeram vários estudos para viabilizar o destino final do lixo. A construção de um grande forno foi motivo de debate nas décadas de 20 a 40, não se chegando a uma conclusão. Na década de 40, o processo mais usado é ainda o vazadouro no mar, nos aterros do Amorim e o do Retiro Saudoso (Caju). Nesta época, os garis ganham os primeiros uniformes oficiais da prefeitura. Foram necessários 5000 uniformes. Também em 1940, a Diretoria Geral de limpeza pública e particular passa a ser o Departamento de Limpeza Urbana, DLU, subordinado à Secretaria de Obras. Uma medida inovadora do DLU foi o uso dos caminhões coletores compactadores, até hoje utilizados, e a introdução do hábito de embalar o lixo em sacos por parte da população. Ligado à mudança de hábitos e de consumo, um maior número de automóveis aparece nas ruas, criando um novo problema para a limpeza das calçadas e sarjetas devido ao uso indiscriminado destas para estacionamento. Problema, aliás, que permanece até os dias atuais. Em 1975, o Estado de Guanabara uniu-se ao antigo Estado do Rio de Janeiro. Esta fusão transformou a cidade do Rio de Janeiro em Município, capital do novo Estado. O antigo DLU passou pelo nome de Celurb, e, com a fusão, passou a chamar-se COMLURB, agora uma empresa da Prefeitura da Cidade do Rio de Janeiro. Em 1996, mais de 100 anos após o surgimento da empresa Aleixo Gary e 20 anos depois da constituição da COMLURB, observa-se que o serviço de limpeza continua a ser um dos mais visados pela opinião pública. Da coleta do lixo pela tração animal chegou-se à tração mecânica, evoluindo para o caminhão e modernizando-se com a coleta semi - automatizada.
  • 11.
    Resíduos Sólidos: Coletae Destinação Final ABES - Francisco Humberto de Carvalho Jr 11 Do tonel em que os escravos carregavam o lixo, dos acondicionamentos improvisados, do uso dos sacos plásticos, passou-se pelos latões, voltou-se aos sacos plásticos e deu- se um salto para a modernidade com os contêineres de plástico usados atualmente na Europa. Atualmente, a empresa responsável pelo gerenciamento da limpeza pública da cidade do Rio de Janeiro é a COMLURB. São coletados 6.200 t/dia. 1.2 - Cidade de São Paulo Até 1869, os paulistanos tinham de enterrar o lixo no quintal ou então utilizá-lo para adubar hortas. Não havia serviço de coleta na cidade. A partir desse ano, a prefeitura coloca nas ruas veículos de tração animal para coletar o lixo domiciliar. No final do século XIX surgiram as primeiras iniciativas de serviços de destinação final dos serviços de destinação final dos resíduos sólidos gerados no Município de São Paulo. Em 1869, a Câmara Municipal contratou, pela primeira vez, uma empresa particular para realizar a coleta domiciliar. Em 1892, foi criado o Serviço de Limpeza Pública e em 1893, foi celebrado novo contrato com uma empresa de limpeza, incluindo, além da coleta domiciliar, serviços de varrição e lavagem de ruas, limpeza de bueiros e bocas de lobo, incineração do lixo e limpeza de mercados. No início do século XX, a população da cidade de São Paulo contava com 240 mil habitantes e produzia aproximadamente, 10 t/dia de lixo, as quais eram destinadas a locais a céu aberto, sem qualquer controle ambiental ou sanitário. Em 1914, o então Prefeito Washington Luiz determinava que os serviços de limpeza pública passassem a ser operados diretamente pela Municipalidade. Em 1915, a entrega do lixo “In natura" aos chacareiros era seriamente criticada pelas autoridades sanitaristas. A partir de 1925, passou-se a utilizar um processo de fermentação em estações zimotérmicas, a qual pode ser considerado um sistema precursor de compostagem. Em 1940, a frota de veículos contava com 1.500 animais, além de uma equipe de veterinários, cavalariços e infra-estrutura de selarias, cocheiras e pasto.
  • 12.
    Resíduos Sólidos: Coletae Destinação Final ABES - Francisco Humberto de Carvalho Jr 12 Em 1950, a população já era de dois milhões de habitantes e produzia cerca de 1.000 t/dia de resíduos sólidos. Nessa época já estava operando o incinerador de Pinheiros, inaugurado em 1949, de tecnologia americana. Em 1971, realizou-se a primeira experiência com sacos plásticos polietileno, no bairro de Bela Vista. Atualmente, a cidade produz 12 mil toneladas de resíduos sólidos urbanos por dia. Hoje existem três aterros em operação - Bandeirantes, São João e Santo Amaro, que recebem 90% dos resíduos produzidos. Há ainda um quarto aterro, somente para material inerte: o Itaitinga recebe mil toneladas/dia de entulhos de construção e terra. São Paulo conta com apenas duas usinas de compostagem: Vila Leopoldina e São Matheus. O lixo hospitalar e de serviços de saúde vira cinza em dois incineradores - Ponte Pequena e Vergueiro. As cinzas vão para o aterro. O centro de triagem e reciclagem de Pinheiros recebe material reciclável. Existem ainda duas estações de transbordo, para redução dos custos de transportes da coleta. A prefeitura pretende construir mais dois incineradores na cidade, para aumentar a vida útil dos aterros atuais, em fase de esgotamento. Dos tempos imperiais aos dias atuais, os serviços de limpeza urbana vivenciaram momentos bons e ruins. Hoje, a situação da gestão dos resíduos sólidos se apresenta em cada cidade brasileira de forma diversa, prevalecendo, entretanto, uma situação nada alentadora. Considerado um dos setores do saneamento básico, a gestão dos resíduos sólidos não tem merecido a atenção necessária por parte do poder público. Com isso, compromete- se cada vez mais a já combalida saúde da população, bem como degradam-se os recursos naturais, especialmente o solo e os recursos hídricos. A interdependência dos conceitos de meio ambiente, saúde e saneamento é hoje bastante evidente, o que reforça a necessidade de integração das ações desses setores em prol da melhoria da qualidade de vida da população brasileira. Com um retrato desse universo de ação, há de se considerar que mais de 70% dos municípios brasileiros possuem menos de 20 mil habitantes, e que a concentração urbana da população no país ultrapassa a casa dos 80%. Isso reforça as preocupações com os problemas ambientais urbanos e, entre estes, gerenciamento dos resíduos sólidos, cuja atribuição pertence à esfera da administração pública local.
  • 13.
    Resíduos Sólidos: Coletae Destinação Final ABES - Francisco Humberto de Carvalho Jr 13 2 – GESTÃO E GERENCIAMENTO INTEGRADO DE RESÍDUOS SÓLIDOS 2.1 – Conceito O conceito de gestão de resíduos sólidos abrange atividades referentes à tomada de decisões estratégicas com relação aos aspectos institucionais, administrativos, operacionais, financeiros e ambientais, enfim à organização do setor para esse fim, envolvendo políticas, instrumentos e meios. Gerenciamento é o conjunto articulado de ações normativas, operacionais, financeiras e de planejamento que uma administração municipal desenvolve, apoiada em critérios sanitários, ambientais e econômicos, para coletar, tratar e dispor o lixo de uma cidade, ou seja: é acompanhar de forma criteriosa todo o ciclo dos resíduos, da geração à disposição final (“do berço ao túmulo”), empregando as técnicas e tecnologias mais compatíveis com a realidade local, dando-lhe um destino final ambientalmente seguro, tanto no presente, como no futuro. O gerenciamento integrado focaliza com mais nitidez os objetivos importantes da questão, que é a elevação da urbanidade em um contexto mais nobre para a vivência da população, onde haja manifestações de afeto à cidade e participação efetiva da comunidade no sistema, sensibilizada a não sujar as ruas, a reduzir descarte, a reaproveitar os materiais e reciclá-los antes de encaminhá-los ao lixo. Por conta desse conceito, no gerenciamento integrado são preconizados programas da limpeza urbana, enfocando meios para que sejam obtidos a máxima redução da produção de lixo, máximo reaproveitamento e reciclagem de materiais e, ainda, a disposição dos resíduos de forma mais sanitária e ambientalmente adequada, abrangendo toda a população e a universalidade dos serviços. Essas atitudes contribuem significativamente para a redução dos custos do sistema, além de proteger e melhorar o ambiente. Cada município deve buscar o seu próprio modelo de gerenciamento, sabendo que: a quantidade e qualidade de lixo gerada por um município é principalmente função de sua população, economia e grau de urbanização. CEMPRE(1995) "O manejo ambientalmente saudável de resíduos deve ir além da simples deposição ou aproveitamento por métodos seguros dos resíduos gerados e buscar desenvolver a causa fundamental do problema, procurando mudar os padrões não-sustentáveis de produção e consumo. Isto implica a utilização do conceito de manejo integrado do ciclo vital, o qual apresenta oportunidade única de conciliar o desenvolvimento com a proteção do meio ambiente." Agenda 21, capítulo 21
  • 14.
    Resíduos Sólidos: Coletae Destinação Final ABES - Francisco Humberto de Carvalho Jr 14 O gerenciamento integrado, portanto, implica a busca contínua de parceiros, especialmente junto às lideranças da sociedade e das entidades importantes na comunidade, para comporem o sistema. Também é preciso identificar as alternativas tecnológicas necessárias a reduzir os impactos ambientais decorrentes da geração de resíduos, atendimento das aspirações sociais e aos aportes econômicos que possam sustentá-lo. Finalmente, o gerenciamento integrado revela-se com a atuação de subsistemas específicos que demandam instalação, equipamentos, pessoal e tecnologia, não somente disponíveis na prefeitura, mas oferecidos pelos demais agentes envolvidos na gestão, entre os quais se enquadram: • a própria população, empenhada na separação e acondicionamento diferenciado dos materiais recicláveis em casa; • os grandes geradores, responsáveis pelos próprio rejeitos; • os catadores, organizados em cooperativas, capazes de atender à coleta de recicláveis oferecidos pela população e comercializá-los junto às fontes de beneficiamento; • os estabelecimentos que tratam da saúde, tornando-os inertes ou oferecidos à coleta diferenciada, quando isso for imprescindível; • a prefeitura, através de seus agentes, instituições e empresas contratadas, que por meio de acordos, convênios e parcerias exerce, é claro, papel protagonista no gerenciamento integrado de todo o sistema. 2.2 – Elementos Indispensáveis na Composição de um Modelo de Gestão • reconhecimento dos diversos agentes sociais envolvidos, identificando os papéis por eles desempenhados promovendo a sua articulação; Políticas, sistemas e arranjos de parceria diferenciados deverão ser articulados para tratar de forma específica os resíduos recicláveis, tais como o papel, metais, vidros e plásticos; resíduos orgânicos, passíveis de serem transformados em composto orgânico, para enriquecer o solo agrícola; entulho de obras, decorrentes de sobra de materiais de construção e demolição, e finalmente os resíduos provenientes de estabelecimentos que tratam da saúde. Esses materiais devem ser separados na fonte de produção pelos respectivos geradores, e daí seguir passos específicos para remoção, coleta, transporte, tratamento e destino correto. Conseqüentemente, os geradores têm de ser envolvidos, de uma forma ou de outra, para se integrarem à gestão de todo o sistema. IBAM (2001)
  • 15.
    Resíduos Sólidos: Coletae Destinação Final ABES - Francisco Humberto de Carvalho Jr 15 • consolidação da base legal necessária e dos mecanismos que viabilizem a implementação das leis; • mecanismos de financiamento para a auto-sustentabilidade das estruturas de gestão e do gerenciamento; • informação à sociedade, empreendida tanto pelo poder público quanto pelos setores produtivos envolvidos, para que haja um controle social; • sistema de planejamento integrado, orientando a implementação das políticas públicas para o setor. 2.3 – Modelo Tecnológico O modelo tecnológico de um sistema de gestão de resíduos sólidos deve ser baseado em um programa de manejo diferenciado de tratamento descentralizado de resíduos ou de manejo ambiental de resíduos. O manejo diferenciado deve promover a segregação dos resíduos na própria fonte geradora, dando a cada tipo de resíduos um tipo de tratamento adequado, incentivando a redução, reutilização e reciclagem dos mesmos. Este programa deve ser composto de projetos de: • reciclagem de materiais inorgânicos e compostagem de resíduos orgânicos (de grandes produtores, feiras livres e sacolões), misturados com podas de parques e jardins; • coleta seletiva de recicláveis (papel, papelão, metal, vidro e plástico); • reciclagem de resíduos de construção civil (entulho/metralha); • projeto de transformação de lixões em aterros sanitários (remediação ou outro processo); • aterro sanitário celular para tratamento de resíduos. Convém salientar, que o aproveitamento constante dos serviços prestados à comunidade com a adequação de equipamento e instalações, visando à qualidade do atendimento à população, deve ser contínuo e permanente, com aprimoramento constante por parte do poder público. 2.4 – Modelos Institucionais 2.4.1 – Objetivo O sistema de limpeza urbana da cidade pode ser institucionalizado segundo um modelo de gestão que, tanto quanto possível, seja capaz de: • promover a sustentabilidade econômica das operações; • preservar o meio ambiente; • preservar a qualidade de vida da população; • contribuir para a solução dos aspectos sociais envolvidos com a questão. Em todos os segmentos operacionais do sistema deverão ser escolhidas alternativas que atendam simultaneamente a duas condições fundamentais:
  • 16.
    Resíduos Sólidos: Coletae Destinação Final ABES - Francisco Humberto de Carvalho Jr 16 • sejam as mais econômicas; • sejam tecnicamente corretas para o ambiente e para a saúde da população. O modelo de gestão deverá não somente permitir, mas sobretudo facilitar a participação da população na questão da limpeza urbana da cidade, para que esta se conscientize das várias atividades que compõem o sistema e dos custos requeridos para sua realização, bem como se conscientize de seu papel como agente consumidor e, por conseqüência, gerador de lixo. A conseqüência direta dessa participação traduz-se na redução da geração de lixo, na manutenção dos logradouros limpos, no acondicionamento e disposição para a coleta adequada, e, como resultado final, em operações dos serviços menos onerosas. É importante que a população saiba que é ela quem remunera o sistema, através do pagamento de impostos, taxas ou tarifas. Em última análise, está na própria população a chave para a sustentação do sistema, implicando por parte do Município a montagem de uma gestão integrada que inclua, necessariamente, um programa de sensibilização dos cidadãos e que tenha uma nítida predisposição política voltada para a defesa das prioridades inerentes ao sistema de limpeza urbana. Essas defesas deverão estar presentes na definição da política fiscal do Município, técnica e socialmente justa, e, conseqüentemente, dotações orçamentárias necessárias à sustentação econômica do sistema, na educação ambiental e no desenvolvimento de programas geradores de emprego e renda. A instrumentação política concretiza-se na aprovação do regulamento de limpeza urbana da cidade, que legitima o modelo de gestão adotado e as posturas de comportamento social obrigatórias, assim como as definições de infrações e multas. O regulamento deverá espelhar com nitidez os objetivos do poder público na conscientização da população para a questão da limpeza urbana e ambiental. 2.4.2 – Formas de Administração A Constituição Federal, em seu art. 30, inciso V, dispõe sobre a competência dos municípios em "organizar e prestar, diretamente ou sob regime de concessão ou permissão, os serviços públicos de interesse local, incluído o transporte coletivo, que tem caráter essencial". O que define e caracteriza o "interesse local" é a predominância do interesse dos Municípios sobre os interesses do Estado ou da União. No que tange aos municípios, portanto, encontram-se sob a competência dos mesmos os serviços públicos essenciais, de interesse predominantemente local e, entre esses, os serviços de limpeza urbana. O sistema de limpeza urbana da cidade pode ser administrado das seguintes formas: O serviço público é uma atividade assumida por uma coletividade pública, com vistas à satisfação a uma necessidade de interesse geral. IBAM (2001)
  • 17.
    Resíduos Sólidos: Coletae Destinação Final ABES - Francisco Humberto de Carvalho Jr 17 diretamente pelo Município; através de uma empresa pública específica; através de uma empresa de economia mista criada para desempenhar especificamente essa função. Independentemente disso, os serviços podem ser ainda objeto de concessão ou terceirizados junto à iniciativa privada. As concessões e terceirizações podem ser globais ou parciais, envolvendo um ou mais segmentos das operações de limpeza urbana. Existe ainda a possibilidade de consórcio com outros municípios, especialmente nas soluções para a destinação final dos resíduos. Concessão Na concessão, a concessionária planeja, organiza, executa e coordena o serviço, podendo inclusive terceirizar operações e arrecadar os pagamentos referentes à sua remuneração, diretamente junto ao usuário/beneficiário dos serviços. As concessões em geral são objeto de contratos a longo termo que possam garantir o retorno dos investimentos aplicados no sistema. Mas a grande dificuldade está nas poucas garantias que as concessionárias recebem quanto à arrecadação e o pagamento dos seus serviços e na fragilidade dos municípios em preparar os editais de concessão, conhecer custos e fiscalizar serviços. Terceirização A terceirização consolida o conceito próprio da administração pública, qual seja, de exercer as funções prioritárias de planejamento, coordenação e fiscalização, podendo deixar às empresas privadas a operação propriamente dita. É importante lembrar que a terceirização de serviços pode ser manifestada em diversas escalas, desde a contratação de empresas bem estruturadas com especialidade em determinado segmento operacional – tais como as operações nos aterros sanitários – até a contratação de microempresas ou trabalhadores autônomos, que possam promover, por exemplo, coleta com transporte de tração animal ou a operação manual de aterros de pequeno porte. Consórcio O consórcio caracteriza-se com um acordo entre municípios com o objetivo de alcançar metas comuns previamente estabelecidas. Para tanto, recursos – sejam humanos ou financeiros – dos municípios integrantes são reunidos sob a forma de um consórcio a fim de viabilizar a implantação de ação, programa ou projeto desejado. Quaisquer dessas alternativas, ou de suas numerosas combinações possíveis, devem ser escolhidas com base no binômio baixo custo-técnica correta para o meio ambiente, sempre visando a um sistema auto-sustentável, resistente às mudanças de governo. A escala da cidade, suas características urbanísticas, demográficas, econômicas e as peculiaridades de renda, culturais e sociais da população devem orientar a escolha da forma de administração, tendo sempre os seguintes condicionantes como referência: • custo da administração, gerenciamento, controle e fiscalização dos serviços; • autonomia ou agilidade para planejar e decidir; • autonomia de aplicação e remanejamento de recursos orçamentários;
  • 18.
    Resíduos Sólidos: Coletae Destinação Final ABES - Francisco Humberto de Carvalho Jr 18 • capacidade para investimento em desenvolvimento tecnológico, sistemas de informática e controle de qualidade; • capacidade de investimento em recursos humanos e geração de emprego e renda; • resposta às demandas sociais e políticas; • resposta às questões econômicas conjunturais; • resposta às emergências operacionais; • resposta ao crescimento da demanda dos serviços. A administração direta operando todo o sistema de limpeza urbana é uma forma freqüente em cidades de menor porte. Nesses casos, o gestor normalmente é um departamento da prefeitura ou de uma de suas secretarias, compartilhando recursos com outros segmentos da administração pública. Esse tipo de administração, compartilhada com outros segmentos da prefeitura, em geral tem custo bastante reduzido quando comparado com o custo de um órgão ou de uma instituição especificamente voltada para a gestão da limpeza urbana da cidade. Em todos os casos e possibilidades de administração, seja direta ou indireta, a prefeitura tem que equacionar duas questões: • remunerar de forma correta e suficiente os serviços; • ter garantia na arrecadação de receitas destinadas à limpeza urbana da cidade. 2.5 – Remuneração dos Serviços Em termos da remuneração dos serviços, o sistema de limpeza urbana pode ser dividido simplesmente em coleta de lixo domiciliar, limpeza dos logradouros e disposição final. Pela coleta de lixo domiciliar, caba à prefeitura cobrar da população uma taxa específica, denominada taxa de coleta de lixo. Alguns serviços específicos, passíveis de serem medidos, cujos usuários sejam também perfeitamente identificados, podem ser objeto de fixação de preço e, portanto, ser remunerados exclusivamente por tarifas. A remuneração do sistema de limpeza urbana, realizada pela população em quase sua totalidade, não se dá de forma direta, nem os recursos advindos do pagamento de taxas de coleta de lixo domiciliar podem ser condicionados exclusivamente ao sistema, devido à legislação fiscal. Da mesma forma, a prefeitura não pode cobrar dos moradores a varrição e a limpeza da respectiva rua por ser um serviço indivisível. É preciso, portanto, que a prefeitura garanta, por meios políticos, as dotações orçamentárias que sustentam adequadamente o custeio e os investimentos no sistema. TARIFA é um preço público cobrado por um serviço prestado de forma facultativa. A tarifa somente é devida quando da efetiva utilização do serviço pelo usuário, serviço este que deverá ser bem definido e mensurado. IBAM (2001)
  • 19.
    Resíduos Sólidos: Coletae Destinação Final ABES - Francisco Humberto de Carvalho Jr 19 Seja com for, a remuneração do sistema de limpeza urbana se resolve na seguinte equação: 2.5.1 – Cálculo da Taxa de Coleta de Lixo – TCL O valor unitário da Taxa de Coleta de Lixo – TCL pode ser calculado simplesmente dividindo-se o custo total anual da coleta de lixo domiciliar pelo número de domicílios existentes na cidade. Todavia, esse valor unitário pode ser adequado às peculiaridades dos diferentes bairros da cidade, levando em consideração alguns fatores, tais como os sociais (buscando uma tarifação socialmente justa) e os operacionais. • O fator social é função do poder aquisitivo médio dos moradores das diferentes áreas da cidade. • O fator operacional reflete o maior ou menor esforço, em pessoal e em equipamentos, empregado na coleta, seja em função do uso a que se destina o imóvel (comercial, residencial etc.), seja por efeito de sua localização ou da necessidade de se realizar maiores investimentos (densidade demográfica, condições topográficas, tipo de pavimentação etc.). TAXA é um imposto resultante da disponibilidade de um serviço público por parte do poder público, quer o contribuinte use-o ou não. O valor da taxa deverá revelar divisibilidade entre os contribuintes em função dos respectivos potenciais de uso. IBAM (2001) Remuneração = Despesas = Recursos do Tesouro Municipal + Arrecadação da Taxa de Coleta de Lixo (TCL) + Arrecadação de Tarifas e Receitas Diversas É sempre bom lembrar que a forma de reduzir custos com o sistema de limpeza urbana, sobretudo com as atividades de coleta, tratamento e disposição final, é sensibilizar a população a reduzir a quantidade de lixo gerado, assim como implantar programas específicos como a segregação do lixo na fonte geradora com fins de reciclagem, ou até mesmo a criação de bolsas de resíduos para a reciclagem. IBAM (2001) Não se deve negligenciar, no orçamento, parcelas dos custos de transferência, transporte, tratamento e destino final, assim como administração, gerenciamento, sistemas de controle, despesas de capital e desenvolvimento tecnológico vinculados à coleta. IBAM (2001)
  • 20.
    Resíduos Sólidos: Coletae Destinação Final ABES - Francisco Humberto de Carvalho Jr 20 2.6 – Valorização dos Resíduos Sólidos O reaproveitamento dos restos da produção industrial e do consumo urbano vem se impondo em todo o mundo como imperativo deste final de século, para a conservação dos recursos naturais e a preservação do planeta. Associadas a este objetivo vêm se difundindo em todo o mundo práticas diferenciadas de coleta seletiva. A prática da coleta seletiva de lixo vem avançando como alternativa privilegiada de tratamento de lixo urbano. Paralelamente às propostas centralizadas de reciclagem em usinas de porte e tecnologia diversificada, vêm se somando outras iniciativas públicas e privadas envolvendo segmentos industriais ou setores de população especialmente diferenciados (condomínios residenciais, estabelecimentos comerciais, bairros, regiões administrativas e prefeituras municipais), visando ao reaproveitamento dos restos. Ao mesmo tempo, grandes contingentes de população pobre dos centros urbanos brasileiros - os catadores, xepeiros – têm na garimpagem do lixo importante estratégia de sobrevivência. 2.6.1 – Conceito dos Três R’s: Reduzir, Reutilizar e Reciclar A gestão de resíduos sólidos de uma cidade deve ter como um dos seus objetivos reduzir a geração dos mesmos e a quantidade de materiais a serem destinados para o sistema de disposição final. Isso é conseguido reduzindo-se a geração de resíduos sólidos e promovendo-se o reaproveitamento de materiais, através da reutilização e da reciclagem (MOTA, 2000). Os benefícios da redução e do reaproveitamento de resíduos são bastante vastos, abrangendo os aspectos sociais, econômicos e ambientais. A gestão de resíduos sólidos deve ser feita observando as prioridades no conceito dos 3 R’s. Antes do destino final, devem ser adotadas medidas, pela população e pelo poder público, para reduzir, reutilizar e reciclar os resíduos sólidos. (Ver figura 1): Reduzir – o cidadão deve aprender a reduzir a quantidade do lixo que gera, quando possível. Deve entender que a redução não implica padrão de vida menos agradável. É simplesmente uma questão de reordenar os materiais que usamos no dia-a- dia. Uma das formas de se tentar reduzir a quantidade de lixo gerada é combatendo o desperdício de produtos e alimentos consumidos. A partir do momento em que este desperdício resulta em ônus para o Poder Público e para o contribuinte, a redução do volume de lixo significará redução de custos, além de fator decisivo na preservação dos recursos naturais. Menos lixo gerado também implicará em estrutura de coleta menor, e também em redução de custo de disposição final. Reutilizar – existem inúmeras formas de reutilizar os mesmos objetos, até por motivos econômicos. Escrever nos dois lados da folha de papel, usar embalagens retornáveis e reaproveitar embalagens descartáveis para outros fins são apenas alguns exemplos.
  • 21.
    Resíduos Sólidos: Coletae Destinação Final ABES - Francisco Humberto de Carvalho Jr 21 Uma parcela do comércio formal já contribui para essa prática, na medida em que os “sebos” trabalham basicamente com livros usados, assim como os “brechós” comercializam desde roupas até móveis usados. Reciclar – a reciclagem forma o terceiro ponto do tripé, sendo a alternativa quando não é mais possível reduzir nem utilizar. Figura 1 – Prioridade na Gestão de Resíduos Sólidos Fonte: MOTA (2000) Nas figuras de 2 a 7, são apresentados Quadros de Gerenciamento, para as diversas fases, de acordo com IPT/CEMPRE(1995). REDUÇÃO DA GERAÇÃO DE RESÍDUOS REUTILIZAÇÃO DE RESÍDUOS RECICLAGEM DE RESÍDUOS DESTINO FINAL
  • 22.
    Resíduos Sólidos: Coletae Destinação Final ABES - Francisco Humberto de Carvalho Jr 22 Figura 2 - QUADRO DE GERENCIAMENTO Etapas de Implantação 1 2 3 4 5 6 7 8 9 10 Como fazer O que fazer 2ª Fase Serviços de Limpeza 1ª Fase Diagnóstico e Administração 3ª Fase Disposição Final Fase independente Lixo de serviços de saúde e Hospitalar 4ª Fase Tratamento - O quadro de gerenciamento se apresenta em dois grandes campos: o de “como fazer” e o de “o que fazer”. As suas subdivisões são detalhadas na seqüência; - As etapas de implantação, numeradas de 1 a 10, permitem estabelecer as escalas de tempo entre as diversas ações.
  • 23.
    Resíduos Sólidos: Coletae Destinação Final ABES - Francisco Humberto de Carvalho Jr 23 Figura 3 - QUADRO DE GERENCIAMENTO “Como fazer”? Planejamento 1ª Fase – Diagnóstico de Administração 1 2 3 4 5 6 7 8 9 10 Como fazer que fazer 1ª Fase 2ª Fase Serviços de Limpeza Fase independente Diagnóstico e 3ª Fase Disposição Final Lixo de serviços de saúde e Hospitalar Administração 4ª Fase Tratamento Etapas de Implantação 1 Fazer o diagnóstico da situação atual e futura do município. Planejar as ações para os serviços de limpeza pública. 2 Escolher a forma de administrar os serviços de limpeza pública Administração Centralizada – é o serviço executado pela prefeitura Administração descentralizada – é o serviço executado por terceiros Atenção: O planejamento deverá ser global e reavaliado periodicamente prevendo-se as ações para os serviços de limpeza, disposição final e tratamento de forma integrada.
  • 24.
    Resíduos Sólidos: Coletae Destinação Final ABES - Francisco Humberto de Carvalho Jr 24 Figura 4 - QUADRO DE GERENCIAMENTO “O que fazer”? 2ª Fase – Serviço de Limpeza 1 2 3 4 5 6 7 8 9 10 Como fazer que fazer 1ª Fase 2ª Fase Serviços de Limpeza Fase independente Diagnóstico e 3ª Fase Disposição Final Lixo de serviços de saúde e Hospitalar Administração 4ª Fase Tratamento Etapas de Implantação 3 4 5 6 7 O lixo municipal não é todo coletado e transportado Estudar frota, itinerário e total de lixo gerado e outros fatores, para implantar e/ou expandir o serviço Implantar e/ou expandir a coleta e transporte do lixo municipal Implantar e/ou expandir os serviços especiais de coleta e transporte: entulho, poda, limpeza de logradouros etc. Avaliar periodicamente o desempenho dos serviços Na sua cidade todo o lixo é coletado Não O lixo municipal é todo coletado e transportado Sim
  • 25.
    Resíduos Sólidos: Coletae Destinação Final ABES - Francisco Humberto de Carvalho Jr 25 Figura 5 - QUADRO DE GERENCIAMENTO “O que fazer”? 3ª Fase – Disposição Final 1 2 3 4 5 6 7 8 9 10 Como fazer que fazer 1ª Fase 2ª Fase Serviços de Limpeza Fase independente Diagnóstico e 3ª Fase Disposição Final Lixo de serviços de saúde e Hospitalar Administração 4ª Fase Tratamento Etapas de Implantação 4 5 6 7 8 Lixão ou Aterro Controlado Fazer remediação do local para transformação em Aterro Sanitário Avaliar periodicamente operação com monitoramento Como é feita a disposição final do lixo municipal? Aterro Sanitário Há restrição com relação à vida útil, localização, legislação etc. ou pressão política da comunidade Desenvolver ações mitigadoras para encerramento destas atividades no local. Avaliar e selecionar áreas a partir de condicionantes econômicos e ambientais no próprio município ou em outros municípios para implantar Aterro Sanitário Não Sim
  • 26.
    Resíduos Sólidos: Coletae Destinação Final ABES - Francisco Humberto de Carvalho Jr 26 Figura 6 - QUADRO DE GERENCIAMENTO “O que fazer”? 4ª Fase – Tratamento 1 2 3 4 5 6 7 8 9 10 Como fazer que fazer 1ª Fase 2ª Fase Serviços de Limpeza Fase independente Diagnóstico e 3ª Fase Disposição Final Lixo de serviços de saúde e Hospitalar Administração 4ª Fase Tratamento Etapas de Implantação 5 6 7 8 9 10 * Os materiais sem escoamento, os rejeitos da usina de triagem, bem como as cinzas da usina de incineração deverão ser depositadas no Aterro Sanitário. Implantar/adequar (ampliação ou redução) segregação de materiais que tenham escoamento Avaliar periodicamente o desempenho Existe tratamento do lixo municipal? Não existe tratamento. Custos e fatores ambientais apontam ou impõe a necessidade de redução do lixo (volume/composição)para a disposição? Fazer estudo mercadológico sobre o possível escoamento (venda e/ou doação) dos materiais no lixo, como: matéria orgânica putrescível pela compostagem, papel, vidro, metal, plástico etc. Não Não Existe tratamento. Ele está atendendo os objetivos e as necessidades? Avaliar periodicamente esta situação Avaliar periodicamente o desempenho Avaliar quantidade x opção de tratamento (incineração) ou destino final (aterro sanitário) para materiais que não tenham escoamento Operação de coleta seletiva Escolher forma de triagem Material sem escoamento* Estudar implantação de uma usina de incineração Avaliar periodicamente a operação com monitoramento Operação da usina de triagem Escoamento de materiais Rejeito* Operar usina de incineração de lixo municipal Cinzas* Sim Sim Sim
  • 27.
    Resíduos Sólidos: Coletae Destinação Final ABES - Francisco Humberto de Carvalho Jr 27 Figura 7 - QUADRO DE GERENCIAMENTO “O que fazer” ? Fase independente – Lixo de serviços de saúde e hospitalar 1 2 3 4 5 6 7 8 9 10 Como fazer que fazer 1ª Fase 2ª Fase Serviços de Limpeza Fase independente Diagnóstico e 3ª Fase Disposição Final Lixo de serviços de saúde e Hospitalar Administração 4ª Fase Tratamento O lixo de serviços de saúde e hospitalar é considerado como uma fase independente por não ser responsabilidade direta do poder municipal. Não existe coleta diferenciada. Estudos em conjunto com geradores para implantação NãoExiste coleta diferenciada? Enviar lixo dos serviços de saúde e hospitalar para esta usina Sim Sim O município tem usina de incineração para lixo municipal? Existe coleta diferenciada O lixo de serviço de saúde e hospitalar deve ser disposto em célula especial no aterro sanitário Fazer estudo para a incineração deste tipo de lixo junto com os geradores e com outros municípios (se for viável) Implantar/operar usina de incineração de lixo de serviços de saúde hospitalar Não
  • 28.
    Resíduos Sólidos: Coletae Destinação Final ABES - Francisco Humberto de Carvalho Jr 28 3. LIXO OU RESÍDUOS SÓLIDOS, O QUE SIGNIFICA? Um dos assuntos que mais tem chamado atenção de estudiosos e cientistas do mundo todo é a cidade ou urbanização. Tal preocupação faz sentido, quando leva-se em consideração o fato de que a partir da metade deste século, triplicou o número de pessoas que vivem em áreas urbanas . Na pauta das discussões, estão os mais variados assuntos, desde os problemas graves de habitação, saúde, alimentação, transportes e degradação do meio- ambiente. Embutidos neste debate está à questão dos resíduos sólidos urbanos, ou LIXO como é quotidianamente conhecido. O tema lixo tem chamado atenção no mundo privado e no mundo público por diversos motivos. E não é para menos. Num sistema que tem como o princípio o consumo, o volume de lixo gerado nas grandes cidades é cada vez maior. Em artigo publicado no jornal Folha de São Paulo, em 06/06/96, tem-se notícia que Londres produz, em média, 10.000 ton. de lixo por dia. São Paulo chega a produzir cerca de 12.000 ton./dia. Fortaleza, segundo dados do Departamento de Limpeza Urbana da EMLURB, produz atualmente uma média de 3.300 ton./dia. São números que impressionam, mas são resultados de uma sociedade consumista e de produção industrial. Por outro lado, a preocupação constante com a limpeza e a higiene nas cidades e com o sistema de saneamento básico é outro fator que consome cerca de 10% a 15% dos orçamentos nas grandes cidades. Chama-se atenção sobre este dado, visto que somente com a conscientização coletiva da população em buscar-se esforços para redução, reutilização e reciclagem do lixo é que pode-se haver redução destes custos . Nos últimos vinte anos, o Brasil mudou muito, e o seu lixo também. O crescimento acelerado das cidades e, ao mesmo tempo, as mudanças no consumo dos cidadãos também são fatores comuns a esses municípios, o que vem gerando um lixo muito diferente daquele que as cidades produziam há trinta anos atrás. De acordo com a Pesquisa Nacional de Saneamento Básico -PNSB- 1989, realizada pelo IBGE - Instituto Brasileiro de Geografia e Estatística, e editada em 1991, a disposição final de lixo nos municípios brasileiros assim se divide: 76% em lixões; 13% em aterros controlados e 10% em aterros sanitários; 1% passa por tratamento (compostagem, reciclagem e incineração). Com base nestes dados, chama-se atenção à situação do destino final em nosso país. Até onde se permite conhecer a História, nos encontramos hoje em situação sem precedentes: nossos espaços de reserva estão diminuindo e a Terra parece estar tornando-se pequena demais para a crescente população. Um aumento da população mundial implica no aumento do uso das reservas do planeta, da produção de bens - e também da geração de lixo. O grau de urbanização também está crescendo. Em 1800, apenas cinco em cada cem habitantes do mundo moravam em cidades. De lá para cá, este número aumentou para 40. O homem esta saindo da zona rural para a zona urbana.
  • 29.
    Resíduos Sólidos: Coletae Destinação Final ABES - Francisco Humberto de Carvalho Jr 29 A figura 8 mostra a evolução da população mundial, entre 1750 e 2050. Figura 8 - População Mundial (1750 - 2050 ) Até o século passado, o lixo era, em grande parte, jogado nas ruas, beiras de rios ou mar ou queimado nos quintais. Na literatura nacional, nas obras de ficção, são descritas cenas em que os escravos jogam ao mar ou em pequenas ruas o lixo e dejetos das casas. A prova disso é que até hoje, em São Luís-Ma, uma rua tem o sugestivo nome de Rua da Bosta. Foi com o advento da medicina higienista que tais procedimentos começaram a ser transformados. No século passado, a Medicina incorporou como uma de suas maiores preocupações a higiene das cidades e de suas populações. Com o pretexto de melhorar as condições de saúde das pessoas, a Medicina vai, aos poucos, modificando o modo de vida dos indivíduos, das famílias e da sociedade de um modo geral. As epidemias e endemias nas cidades, que freqüentemente matavam boa parte da população urbana, passa a ser preocupação de urbanistas, médicos, enfermeiros, engenheiros, etc. Assim, ruas começam a ser calçamentadas, redes de esgoto são construídas, as águas passa por diversos tratamentos de desinfeção e inicia- se o regulamento do comércio de alimentos. Mais recentemente é que há uma preocupação em relação aos cuidados com o lixo produzido. Como coletar, como transportar e como tratar os resíduos sólidos, especialmente por produzir o chorume, líquido produzido pelo lixo, resultante da decomposição do mesmo. Os cuidados com o lixo estão adquirindo dimensões crescentes. Os Estados Unidos lideram o mundo na produção de lixo. De acordo com a EPA - Environmental Protection Agency, cada americano produz 1,63 kg/ dia de lixo, sendo geradas 200 milhões de toneladas por ano de lixo. Essa quantidade é suficiente para encher um comboio de caminhões de lixo dando a volta oito vezes no globo terrestre. Deste total, dois terços vão para aterros, 16% é incinerado e o restante é separado e reciclado. A figura 9 apresenta valores de produção “per capita” de lixo em diversos países. 0 2 4 6 8 10 12 1750 1850 1950 2050 0 2 bilhões 4 bilhões 6 bilhões 8 bilhões 10 bilhões
  • 30.
    Resíduos Sólidos: Coletae Destinação Final ABES - Francisco Humberto de Carvalho Jr 30 Figura 9 - Produção “per capita” kg/habitante. Esta figura demonstra que a produção per capita é maior nos países mais industrializados, os quais têm maior poder aquisitivo e uma produção maior de descartáveis. 0 100 200 300 400 500 600 700 800 EUA CANADÁ HOLANDA JAPÃO TURQUIA POLÔNIA GRÉCIA BRASIL KG/CAPITA KG/CAPITA
  • 31.
    Resíduos Sólidos: Coletae Destinação Final ABES - Francisco Humberto de Carvalho Jr 31 4 – RESÍDUOS SÓLIDOS (LIXO) - ORIGEM E COMPOSIÇÃO 4.1 – Conceito Os resíduos sólidos são materiais heterogêneos (inertes, minerais e orgânicos) resultantes das atividades humanas e da natureza, os quais podem ser parcialmente utilizados, gerando, entre outros aspectos, proteção à saúde pública e economia de recursos naturais. Os resíduos sólidos constituem problemas sanitários, econômicos e principalmente estéticos. 4.2 - Fatores que Influenciam a Origem e a Formação do Lixo Muitos são os fatores que influenciam a origem e a formação do lixo no meio urbano, citando-se alguns deles: - número de habitantes do local; - área relativa de produção. - variações sazonais. - hábitos e costumes da população. - nível de educação. - condições climáticas. - poder aquisitivo. - eficiência da coleta. Os fatores de geração consistem, basicamente, na taxa de geração por habitante e na população total do município. Vale ressaltar que um dos componentes mais importantes é o componente econômico; outros fatores não menos importantes, como é o caso, por exemplo, das migrações periódicas nas férias. Além destes fatores primários, tem-se o chamado secundário. Alguns destes são citados a seguir: - o teor de umidade. - o peso específico. - o teor de matéria orgânica. 4.3 - Classificação do Lixo Considerando-se o lixo quanto à sua natureza, pode-se classificar da seguinte forma: • Facilmente Degradáveis (FD): restos de comida, sobras de cozinha, folhas, capim, cascas de frutas, animais mortos e excrementos; • Moderadamente Degradáveis (MD): papel, papelão, e outros produtos celulósicos;
  • 32.
    Resíduos Sólidos: Coletae Destinação Final ABES - Francisco Humberto de Carvalho Jr 32 • Dificilmente Degradáveis (DD): trapo, couro, pano, madeira, borracha, cerâmica; • Não Degradáveis (ND): metal não ferroso, vidro, pedras, cinzas, terra, areia, cerâmica. Considerando-se ainda o critério de origem e produção, pode-se classificá-lo como: a) Resíduos Urbanos – os provenientes de residências, estabelecimentos comerciais e prestadores de serviços, da varrição, de podas e da limpeza de vias, logradouros públicos, de sistema de drenagem urbana e tratamento de esgotos, os entulhos da construção civil e similar; b) Resíduos Industriais – os provenientes de atividades de pesquisa e transformação de matérias-primas e substâncias orgânicas e inorgânicas em novos produtos, por processos específicos, bem como os provenientes das atividades de mineração, de montagem e aqueles gerados em áreas de utilidades e manutenção dos estabelecimentos industriais: • A Associação Brasileira de Normas Técnicas (ABNT) classifica os resíduos sólidos de acordo com o risco que oferecem: √ Resíduos classe I – perigosos: são aqueles que, em função de suas características intrínsecas de inflamabilidade, corrosividade, reatividade, toxidade ou patogenecidade, apresentam riscos à saúde ou ao meio ambiente; √ Resíduos classe II – não inertes: são aqueles que podem apresentar características de combustibilidade, biodegradabilidade ou não solúveis na água, com possibilidade de acarretar riscos à saúde ou ao meio ambiente, não se enquadrando nas classificações de resíduos classe I – perigosos ou classe III – inertes; √ Resíduos classe III – inertes (NBR - 100004): são aqueles que, por suas características intrínsecas, não oferecem riscos à saúde e que apresentam constituintes solúveis em água e em concentrações superiores aos padrões de potabilidade. c) Resíduos de Serviços de Saúde – os provenientes de atividades de natureza médico-assistencial, de centros de pesquisa e de desenvolvimento e experimentação na área de saúde, bem como os remédios vencidos e/ou deteriorados requerendo condições especiais quanto ao acondicionamento, coleta, transporte, tratamento e disposição final, por apresentarem periculosidade real ou potencial à saúde humana, animal e ao meio ambiente; d) Resíduos Especiais – os provenientes do meio urbano e rural que pelo seu volume, ou por suas propriedades intrínsecas exigem sistemas especiais para acondicionamento, armazenamento, coleta, transporte, tratamento e destinação final, de forma a evitar danos ao meio ambiente; e) Resíduos de atividades rurais – os provenientes da atividade agrosilvopastoril, inclusive os resíduos dos insumos utilizados nestas atividades;
  • 33.
    Resíduos Sólidos: Coletae Destinação Final ABES - Francisco Humberto de Carvalho Jr 33 f) Resíduos de serviços de transporte – decorrentes da atividade de transporte e os provenientes de portos, aeroportos, terminais rodoviários, ferroviários e portuários e postos de fronteira; g) Rejeitos radioativos – materiais resultantes de atividades humanas que contenham radionuclídeos em quantidades superiores aos limites de isenção especificados de acordo com a norma da Comissão Nacional de Energia Nuclear – CNEN, e que sejam de reutilização imprópria ou não prevista, observado o disposto na Lei nº 11.423, de 08.01.88. 4.4 - Composição do Lixo A composição do lixo física e química do lixo, assim como as demais características resultam das análises e estudos em cada lugar produzido. É bom lembrar que a composição do lixo varia de percurso, da geração ao destino final. Na figura 10 mostra-se um quadro da composição física do lixo em alguns lugares. 0,00% 10,00% 20,00% 30,00% 40,00% 50,00% 60,00% 70,00% Fortal. S.Paulo Salvad. S.Carlos B.Horiz. vidro metal plástico papel outros Figura 10 - Composição Porcentual Média do Lixo Domiciliar - IPT-CEMPRE 1995.
  • 34.
    Resíduos Sólidos: Coletae Destinação Final ABES - Francisco Humberto de Carvalho Jr 34 4.4.1 - Caracterização Física do Lixo A figura 11 indica como deve ser feita uma caracterização física do lixo. 1. Caminhão da coleta. 2. 4 montes de lixo. 3. Misturar o conteúdo de cada monte separadamente. 100 kg. 4. Misturar, dois a dois os montes. 200kg. 5. Primeiro quarteamento. 6. Misturar novamente. 100 kg. 7. Segundo quarteamento. 8. Amostra para composição física. 100 kg. Utilizando-se a técnica e os passos ensinados pelo Professor Valdir Schalch, da Escola de Engenharia de São Carlos - SP, descreveu-se abaixo, como deve ser feita a caracterização. A primeira etapa consiste em um estudo detalhado sobre o sistema de coleta de lixo da cidade em questão. Divide-se, então, a cidade por áreas afins, levando-se em conta o nível sócio econômico da população e critérios de origem e produção de lixo. Obtém-se, como os dados iniciais, a freqüência e horário de coleta para cada um dos setores. Outros parâmetros são as variações sazonais que ocorrem na região. A amostragem inicia-se pela escolha aleatória, de um caminhão de coleta de um determinado setor. Os passos a seguir devem ser efetuados em cada setor. O caminhão descarrega o seu conteúdo em quatro montes aproximadamente iguais. Manualmente, estes montes são revolvidos e misturados individualmente para posteriormente retirar-se, de cada uma, 1 saco de resíduos, com aproximadamente 100 kg. 1 2 3 4 5 6 7 8 Figura 11 – Caracterização Física do Lixo
  • 35.
    Resíduos Sólidos: Coletae Destinação Final ABES - Francisco Humberto de Carvalho Jr 35 Os sacos são despejados, em 4 montes, sobre uma lona plástica. O conteúdo de cada monte é misturado manualmente e separadamente. Depois estes são juntados dois a dois, aleatoriamente. Com isto tem-se, agora, dois montes de aproximadamente 200 kg de lixo cada. Faze-se o primeiro quarteamento e desprezam-se duas quartas - partes de cada monte (de preferência, 2 partes vis - a - vis). Novamente, cada monte é misturado, cada um possuindo aproximadamente 100 kg de lixo. No segundo quarteamento, outra vez serão desprezadas 2 quartas - partes, vis - a- vis, de cada monte, resultando 50 kg de material por monte. A amostra que se trabalha neste método de determinação da composição física consistirá na soma destes dois montes finais. Em outras palavras, a amostra representativa do caminhão de coleta terá 100 kg de lixo, aproximadamente, e que foram obtidos como descrito na figura 11. No quadro 1 tem-se a composição média dos resíduos urbanos da cidade de Fortaleza. Dados obtidos em 1996, pelo departamento de Limpeza Urbana da EMLURB - P.M.F. Quadro 1 – Composição média dos resíduos urbanos de Fortaleza TIPOS DE RESÍDUOS % Metais Ferrosos ( latas, ferro comum, flandes, etc. ). 3,03 Metais não ferrosos (bronze, chumbo, cobre, alumínio, etc.). 0,89 Papel 6,98 Papelão 7,58 Plástico 10,69 Vidro 2,15 Madeira 2,33 Couro 0,39 Borracha ( pneus e similares ) 0,83 Matéria orgânica ( folhagem, alimentos, etc. ). 38,14 Trapos 3,45 Coco 8,68 Entulhos de construções 3,84 Resíduos de Saúde 1,39 Animais 0,36 Restos de caranguejos 0,01 Outros materiais (pilhas, baterias, eletrodomésticos, etc.). 3,70 Rejeitos (pontas de cigarro, terra, etc. ). 5,56 TOTAL 100,00 FONTE: PREFEITURA MUNICIPAL DE FORTALEZA - EMLURB- DEP. LIMPEZA URBANA. Caracterização dos Resíduos Sólidos da Cidade de Fortaleza. Fortaleza - 1996.
  • 36.
    Resíduos Sólidos: Coletae Destinação Final ABES - Francisco Humberto de Carvalho Jr 36 Quadro 2 - Composição química do lixo domiciliar de Fortaleza. CARACTERIZAÇÃO DETERMINAÇÃO Umidade - % 47,41 pH 5,31 Nitrogênio Total - N ( % ). 0,65 Fósforo Total - P2O5 0,30 Potássio - K ( % ) 0,21 Cálcio - Ca ( % ) 0,95 Enxofre - S ( % ) 0,04 Carbono fixo 3,50 Poder calorífico superior (cal/g) 2.323,75 Relação C/N 5,16 FONTE: SEDURB - GOVERNO DO ESTADO DO CEARÁ – 1986 4.5 - Considerações sobre os Componentes Potencionalmente Perigosos No lixo municipal é grande a variedade de produtos com substâncias que conferem características de inflamabilidade, corrosividade, óxido-redução ou toxidade. Pilhas, lâmpadas fluorescentes e frascos de aerossóis estão presentes no lixo em quantidades significativamente maiores em relação a outros resíduos potencialmente perigosos, principalmente, em grandes cidades. As pilhas e as lâmpadas fluorescentes são classificadas como resíduos perigosos por terem metais pesados que podem migrar e vir integrar a cadeia alimentar do homem. O motivo dos frascos de aerossóis serem classificados como resíduos perigosos não é devido às suas embalagens e sim aos restos de substâncias químicas que contêm como descartadas. Com o rompimento do frasco, essas substâncias podem contaminar o meio ambiente, migrando para as águas superficiais e/ou subterrâneas. As tabelas 1 e 2 ilustram os resíduos domiciliares potencialmente perigosos e os efeitos causados ao homem por alguns metais e onde são encontrados. Tabela 1 – Resíduos domiciliares – potencialmente perigosos TIPO PRODUTOS MATERIAL PARA PINTURA Tintas, solventes, pigmentos, vernizes. PRODUTOS PARA JARDINAGEM E ANIMAIS. Pesticidas, inseticidas, repelentes, herbicidas. PRODUTOS PARA MOTORES. Óleos lubrificantes, fluídos de freio e transmissão, baterias. OUTROS ÍTENS. Pilhas, frascos de aerossóis em geral, lâmpadas fluorescentes. Referência: Manual de gerenciamento Integrado, 1995 - IPT - Instituto de pesquisas Tecnológicas e CEMPRE - Compromisso Empresarial para Reciclagem
  • 37.
    Resíduos Sólidos: Coletae Destinação Final ABES - Francisco Humberto de Carvalho Jr 37 Tabela 2 – Efeitos causados ao homem por alguns metais ELEMENTO ONDE É ENCONTRADO EFEITOS MÉRCURIO Equipamentos e aparelhos eletrônicos de medida; Lâmpadas de neon, fluorescentes e de arco de mercúrio; Baterias/ pilhas; Interruptores: Tintas; Amaciantes; Anti - Sépticos; Fungicidas; Termômetros . - Distúrbios renais; - Distúrbios neurológicos; - Efeitos mutagênicos; - Alterações no metabolismo; - Deficiências nos órgãos sensoriais. CÁDMIO Baterias / pilhas; Plásticos; Ligas metálicas; Pigmentos; Papéis; Resíduos de galvanoplastia. - Dores reumáticas e miálgicas; - Distúrbios metabólicos levando a osteoporose; - Disfunção renal. CHUMBO Tintas, como as de sinalização de rua; - Impermeabilizantes; - Anticorrosívos; - Cerâmica; - Vidro; - Plásticos; - Inseticidas; -Embalagens; - Pilhas. - Perda de memória: - Dor de cabeça; - Irritabilidade; - Tremores musculares; - Lentidão de raciocínio; - Alucinação; - Anemia; - Depressão; - Paralisia. Referência: Manual de gerenciamento Integrado, 1995 - IPT - Instituto de pesquisas Tecnológicas e CEMPRE - Compromisso Empresarial para Reciclagem.
  • 38.
    Resíduos Sólidos: Coletae Destinação Final ABES - Francisco Humberto de Carvalho Jr 38 5 - LIXO E POLUIÇÃO A disposição inadequada do lixo urbano em vazadouros a céu aberto acarreta poluição considerável no meio-ambiente, tanto no ar, quanto nas águas e principalmente nos solos. 5.1 - Poluição do Solo O lixo, disposto inadequadamente, sem qualquer tratamento, pode poluir o solo, alterando suas características físicas, químicas e biológicas, constituindo-se num problema de ordem estética e, mais ainda, uma ameaça à saúde pública. Por conter substâncias de alto teor energético e, por oferecer disponibilidade simultânea de água, alimento e abrigo, o lixo é preferido pôr inúmeros organismos vivos, a ponto de algumas espécies o utilizarem como nicho ecológico. Pode-se classificar em dois grandes grupos os seres que habitam o lixo: os macrovetores, como por exemplo: ratos, baratas, moscas, cachorros, suínos, aves, eqüinos. O próprio homem, o catador de lixo, enquadra-se neste grupo. No segundo grupo de microvetores, estão os vermes, bactérias, fungos, actinomicetos e vírus. Além destes organismos, que utilizam o lixo durante toda a sua vida, outros os fazem apenas em determinados períodos. Este fenômeno migratório pode constituir- se num grande problema, pois o lixo passa a ser uma fonte contínua de agentes patogênicos e, portanto, uma ameaça real à sobrevivência do homem. O perigo maior, para o qual chama-se especial atenção, reside na possível quebra do equilíbrio cíclico entre o meio produtor e os consumidores naturais. Por exemplo, a simples interdição do processo de coleta e disposição por determinado período poderia ativar o mecanismo de deslocamento, provocando uma dispersão em massa, em todas as direções, dos roedores presentes, em busca de alimentos e abrigos, atingindo núcleos urbanos, culturas e plantações, com resultados imprevisíveis. O fato mais clássico de prejuízos sanitários causados por ratos foi a propagação da peste bubônica ou peste negra, a qual tem como agente etimológico a pasteurella pestis, e como vetor a pulga Xenospsylla cheops . Cronologicamente, a ocorrência aconteceu em Roma no ano 150 da era Cristã.
  • 39.
    Resíduos Sólidos: Coletae Destinação Final ABES - Francisco Humberto de Carvalho Jr 39 Tabela 3 - Tempo de sobrevivência de microvetores no lixo. ORGANISMO TEMPO (DIAS) Salmonella Typhi. 29 - 70 Endamoeba Histolytica. 8 - 12 Ascaris Lumbricoides. 2000 - 2500 Leptospira Interrogans. 15 - 43 Polio Virus. 20 - 170 Bacilo Tuberculose. 150 - 180 Lavras de vermes . 25 - 40 Referência: Manual de gerenciamento Integrado, 1995 - IPT - Instituto de pesquisas Tecnológicas e CEMPRE - Compromisso Empresarial para Reciclagem. 5.2 - Poluição do Ar Considerando a definição de lixo, verifica-se que todos os efluentes gasosos e particulados emitidos para a atmosfera, oriundos das diversas atividades do homem no meio urbano, podem ser considerado como lixo. A poluição do ar por partículas em suspensão, num aterro de lixo, tem sua origem na poeira existente no próprio lixo ou no material de cobertura empregado, em virtude da grande movimentação no local de máquinas e veículos, além da ação natural dos ventos. Os maus odores tradicionais dos vazadouros se devem à emanação do gás sulfídrico e de compostos orgânicos originados de compostos dos materiais biodegradaveis existentes no lixo. A combustão do lixo em vazadouros é uma ocorrência bastante comum. Quando deliberada, a combustão tem a finalidade de diminuir a quantidade de resíduos sólidos despejados e prolongar, assim, a vida útil do aterro sanitário. A ocorrência de fogo não proposital decorre principalmente da combustão espontânea do gás metano formado durante a decomposição anaeróbia dos resíduos orgânicos; o aquecimento inicial necessário à ignição pode ter sua origem nos resíduos que chegam ao vazadouro queimando. Os poluentes mais comumente emitidos para o ar, em maiores quantidades, são: monóxido de carbono (CO), partículas de óxidos de enxofre (SOx), óxidos de nitrogênio (NOx) e hidrocarbonetos (HC). Os contaminantes gasosos podem ser classificados, por sua composição química, em orgânicos e inorgânicos. No grupo orgânico, estão compreendidos os compostos de carbono, hidrogênio e seus derivados. Esses últimos incluem ainda todas as classes de hidrocarbonetos e derivados, como os compostos halogênicos etc. A principal fonte de hidrocarbonetos é o petróleo, e os mecanismos responsáveis pelo lançamento desses contaminantes na atmosfera são aqueles relativos ao processamento, transporte e uso propriamente dito. Os hidrocarbonetos são expressivos nos problemas de poluição do ar, devido à sua capacidade de provocar reações atmosféricas, como por exemplo, a formação de smog fotoquímico. Há também a concentração de certos gases, como o CO2, que pode causar modificações inversas ao caso citado acima, como a possibilidade da formação do efeito estufa. Este fenômeno, que tem sido preocupação recente de alguns especialistas, pode ser explicado através do balanço de energia da Terra, ou seja, a troca de energia entre a Terra e o espaço.
  • 40.
    Resíduos Sólidos: Coletae Destinação Final ABES - Francisco Humberto de Carvalho Jr 40 5.3 - Poluição das Águas Pode-se classificar os danos causados pela disposição inadequada do lixo em cursos d'água da seguinte forma: poluição física, química, bioquímica, biológica e radioativa. 5.3.1 - Poluição física Os mecanismos da poluição das águas são desenvolvidos a partir do momento em que os resíduos industriais e domésticos são lançados indiscriminadamente nos cursos d'água, como forma de destinação final. Em geral, as perturbações físicas resultantes deste processo são verificadas na forma de aumento da turbidez, formação de bancos de lodo ou de sedimentos inertes, nas variações do gradiente de temperatura, etc. Além do aspecto negativo, os impactos no meio aquático, como, por exemplo, a possível quebra do ciclo vital das espécies, tornando a água biologicamente estéril. Uma mudança de temperatura relativamente pequena pode modificar as condições de vida de certos organismos e, por outro lado, favorecer a vida de outras espécies, causando um desequilíbrio. O aumento da turbidez pode também modificar a vida das espécies, reduzindo a visibilidade e dificultando a busca de alimentos. 5.3.2 - Poluição química A poluição química de recursos hídricos naturais surge em função de resíduos, principalmente, industrial como detergentes não biodegradaveis e resíduos tóxicos, e pelo uso intensivo de herbicídas, fungicidas, etc. Os resultados deste fenômeno podem ser verificados nos próprios locais de despejo ou a determinadas distâncias, dependendo da importância e do regime de contribuições que o efluente receba ou execute. As formas aparentes de revelação deste processo são verificadas através da mudança de coloração das águas, da formação de correntes ácidas, águas duras, águas tóxicas, bem como observação do envenenamento de peixes, aves e outros animais, inclusive o homem. 5.3.3 - Poluição bioquímica A poluição das águas superficiais ou subterrâneas pelo lixo é propiciada por uma série de fenômenos naturais como a lixiviação, percolação, arrastamento, solução, etc. A primeira conseqüência da poluição bioquímica é a redução do nível de oxigênio presente na água. Dependendo da intensidade deste processo, muitos danos podem ocorrer, inclusive a completa extinção da fauna e flora aquáticas. No caso específico do lixo, as águas das chuvas, percolando através da massa de resíduos, transportam um líquido de cor negra, denominado chorume ou sumeiro, característico de matéria orgânica em decomposição.
  • 41.
    Resíduos Sólidos: Coletae Destinação Final ABES - Francisco Humberto de Carvalho Jr 41 5.3.4 - Poluição biológica A poluição biológica das águas se traduz pela elevada contagem de coliformes e pela presença de resíduos que possam produzir transformações biológicas consideráveis e influenciar na qualidade de vida dos seres que habitam o meio aquático. Considerando que os esgotos domésticos e industriais efetivamente estão incluídos no conceito inicial de lixo, pode-se dizer que o lançamento destes, sem o tratamento adequado, pode poluir biologicamente os efluentes receptores L.N. Garcez cita que o número de coliformes fecais no esgoto doméstico é de 300 bilhões de habitante e por dia. Outros resíduos podem causar transformações biológicas no meio aquático, alterando as suas características básicas e até o equilíbrio existente entre as espécies naturais. Um exemplo claro destas modificações é o desenvolvimento de determinados organismos vivos, como as algas, que surgem por meio da eutroficação, na qual a água torna-se excessivamente carregada de sais minerais e nutrientes, provocando um crescimento acelerado destas espécies. No caso do lixo, os nitratos e fosfatos são os nutrientes de maior concentração.
  • 42.
    Resíduos Sólidos: Coletae Destinação Final ABES - Francisco Humberto de Carvalho Jr 42 ORÇAMENTO MUNICIPAL Fatia absorvida pelos serviços de limpeza urbana. 6 - SERVIÇOS DE LIMPEZA OU MANEJO DE RESÍDUOS 6.1 - Introdução Os serviços de limpeza, em geral, absorvem entre 7 a 15% dos recursos de um orçamento municipal, dos quais cerca de 50% são destinados à coleta e ao transporte do lixo. 6.2 – Critério para se Planejar os Serviços de Limpeza Devido a grande maioria dos municípios brasileiros não dispor de informações criteriosas e confiáveis com relação aos serviços de limpeza urbana, torna-se fundamental o empenho de técnicos do setor no sentido de reverter a cultura existente na grande maioria dos municípios brasileiros, principalmente nos de pequeno porte como forma de formar um banco de dados mais consistente e confiável sobre os serviços de limpeza urbana nestes municípios, e, neste sentido, torna-se essencial: • Desenvolver estudos para diagnosticar os serviços de limpeza urbana no município; • Desenvolver estudos no sentido de adequar institucionalmente o órgão responsável pelos serviços de limpeza urbana; • Desenvolver estudos no sentido de criar e aprovar, sob forma de Lei, um Regulamento de Limpeza Urbana no município; • Desenvolver estudos no sentido de criar e aprovar, sob forma de Lei, um modelo de Cobrança dos serviços de Limpeza Urbana no município; • Desenvolver um planejamento estratégico para todas as atividades relacionadas à Limpeza Urbana no Município; • Desenvolver um Modelo de Gestão de Resíduos Sólidos Urbanos e um Gerenciamento com qualidade para o município; • Desenvolver Programas que incentivem a Participação da Sociedade nas Alternativas definidas em seu modelo de Gestão. O lixo público está diretamente associado ao aspecto estético da cidade. Portanto, merecerá especial atenção o planejamento das atividades de limpeza de logradouros em cidades turísticas. CEMPRE(1995)
  • 43.
    Resíduos Sólidos: Coletae Destinação Final ABES - Francisco Humberto de Carvalho Jr 43 Tabela 4 - Informações necessárias ao planejamento do gerenciamento do lixo PARÂMETRO DESCRIÇÃO IMPORTÂNCIA Taxa de geração por habitante (kg/dia/hab.) Quantidade de lixo gerada por habitante num período de tempo especificado. Refere-se aos volumes efetivamente coletados e à população atendida. Para planejamento de todo o sistema de gerenciamento do lixo, principalmente com referência ao dimensionamento de instalação e de equipamento. Composição física Apresenta as porcentagens das várias frações do lixo, tais como, papel, papelão, madeira, trapo, couro, plástico duro, plástico mole, matéria orgânica, metal ferroso, metal não-ferroso, vidro, borracha e outros. Para estudos de aproveitamento, das diversas frações e para a compostagem. Densidade aparente Relação entre a massa e o volume do lixo. É calculada para as diversas fases do gerenciamento do lixo. Dimensionamento do sistema de coleta e tratamento, determina a capacidade volumétrica dos meios de coleta, transporte e disposição final. Umidade Quantidade de água contida na massa do lixo. Na escolha de tecnologia de tratamento e para aquisição dos equipamentos de coleta; tem influência notável sobre o poder calorífico, na densidade, assim como na velocidade de composição biológica dos materiais biodegradáveis presente na massa do lixo. Teor de materiais combustíveis e incombustíveis Quantidade de materiais que se prestam a incineração e de materiais inertes. Juntamente com a umidade, informa de maneira aproximada, sobre as propriedades de combustibilidade dos resíduos. Poder calorífico É a quantidade de calor gerada pela combustão de 1kg de lixo misto, e não somente dos materiais facilmente combustíveis. Avaliação para instalações de incineração. Composição química Normalmente são analisados N, P, K, S, C, relação C/N, pH e sólidos voláteis. Na definição da forma mais adequada de disposição final. Teor de matéria orgânica Quantidade de matéria orgânica contida no lixo. Inclui matéria orgânica não- putrescível (papel, papelão etc.) e putrescível (verdura, alimentos etc.). Na avaliação da utilização do processo de compostagem. Fonte: CEMPRE (1995) 6.3 – Participação Social na Gestão dos Serviços de Limpeza Urbana Política de recursos humanos – os gerentes do setor de limpeza pública têm, portanto, um grande desafio pela frente: fazer com que um serviço essencialmente baseado na mão de obra, com grande contingente de pessoal, cuja profissão é rejeitada, passe a ser valorizada, dando dignidade e orgulho a este trabalhador. Estes mesmos dirigentes e gerentes dos serviços de limpeza urbana têm um desafio maior ainda de buscar meios eficazes e capazes de fazer uma ligação direta com a sociedade, fazendo com que ela, a sociedade, aceite, respeite e trate com dignidade o agente de limpeza, o gari, em seus serviços diuturnos de coleta, transporte, varrição, capinação e demais serviços pertinentes à área da limpeza urbana nas cidades Brasileiras. Modelo de gestão participativa – neste modelo, o município, desde o desenvolvimento do orçamento plurianual ou o orçamento anual, tem a
  • 44.
    Resíduos Sólidos: Coletae Destinação Final ABES - Francisco Humberto de Carvalho Jr 44 participação dos habitantes residentes no município, indicando onde o município deve investir e em que área deve atuar. Após análise e compilação dos dados que a população sugeriu, o poder público analisa as ações relativas ao Serviço de Limpeza Urbana, e inclui em seu orçamento anual ou plurianual, dentro de uma prioridade político- administrativa e financeira, de modo a se ter uma participação efetiva da comunidade, nas ações a serem implementadas e na solução dos problemas existentes. Existe ainda um modelo de Gestão de Resíduos Sólidos Compartilhada, onde a gestão e o gerenciamento é individual para cada município e o compartilhamento se dá apenas em uma fase da Limpeza Urbana, normalmente na Destinação Final. Assim, vários municípios que tenham interesse e afinidades em características urbano-geográficas, administrativas-financeira e, principalmente, político-social, se unem para gerenciar os seus resíduos através de modelos de gestão individual e compartilhando de um mesmo aterro sanitário como tratamento e destinação comum a todos estes municípios envolvidos. Valorização, capacitação e qualificação do servidor da limpeza pública – com o objetivo de implementar um projeto que vise à valorização do servidor da limpeza urbana, a capacitação e a qualificação deste servidor, oferecendo aos funcionários melhorias significativas em suas condições de trabalho e saúde, deve criar-se uma política de valorização de recursos humanos enfocando: - Valorização dos servidores, em especial do agente de limpeza; - Proporcionar condições favoráveis de trabalho; - Resgatar as cidadania e a dignidade, e conscientizar a população sobre a importância e utilidade do agente de limpeza. Todo este trabalho deve ser apoiado incondicionalmente pelo poder público, de modo a se obter os resultados esperados, em conformidade com os objetivos da administração municipal. Aspectos sociais envolvidos - Geração de emprego e renda – buscando aumentar a eficiência na prestação dos serviços de limpeza urbana, reduzindo a quantidade de resíduos nos aterros, gerar emprego e renda e ainda movimentar o mercado da reciclagem no Brasil; devem ser articuladas parcerias com os catadores. Essas parcerias podem se dar na participação do poder público no planejamento do trabalho, na capacitação desses profissionais, na valorização dos mesmos perante a sociedade. Essas famílias estruturadas terão condições de se organizar em associações, cooperativas, em grupos de trabalho e se organizarem visando maior produtividade e rendimento. Estrutura de comunicação, informação e mobilização social – a falta de informação sobre os serviços de limpeza urbana, aliada ao desinteresse por parte da coletividade, podem deixar um município em condições precárias de manutenção da limpeza urbana apesar de estar bem estruturado em termos de equipamento e pessoal. Garantir uma eficiente estrutura de comunicação e informação é fundamental para incentivar o envolvimento dos trabalhadores e da comunidade nos debates em torno das questões referentes aos resíduos e à necessidade de mudança de comportamento.
  • 45.
    Resíduos Sólidos: Coletae Destinação Final ABES - Francisco Humberto de Carvalho Jr 45 Algumas estratégias de ação: - Abordagem direta individual porta a porta (RESID. COM. ETC.) - Abordagem em veículo - Abordagem de rua - Grupos palestras, seminários, cursos oficinas, gincanas, teatro - campanhas de massa eventos de impacto exposições distribuição de botons, adesivos, cartazes, e peças publicitárias utilização dos meios de comunicação de massa (TV, rádio, jornais). Um bom gerenciamento desses serviços, que estão entre os de maior visibilidade, representa boa aceitação da administração municipal por parte da população. Adicionalmente, a sua otimização leva a uma economia significativa dos recursos públicos. Os serviços de limpeza estão indicados no Quadro 3. Quadro 3 – Serviços de Limpeza Acondicionamento Coleta e transporte do lixo domiciliar Coleta e transporte do lixo dos serviços de saúde e hospitalar Serviços de Limpeza Outros serviços de limpeza • varrição • capinação e roçagem • limpeza de praias • limpeza de feiras livres • limpeza de boca-de-lobo, galerias e córregos • remoção de animais mortos • pintura de meio-fio • coleta de resíduos volumosos e entulho O poder público deve garantir: - A universalidade do serviço prestado, ou seja, todo cidadão deve ser servido pela coleta de lixo domiciliar. - A regularidade da coleta, isto é, os veículos coletores devem passar regularmente nos mesmos locais e dias da coleta.
  • 46.
    Resíduos Sólidos: Coletae Destinação Final ABES - Francisco Humberto de Carvalho Jr 46 6.4 – Tipos de Serviços de Limpeza 6.4.1 - Acondicionamento Acondicionamento é a fase inicial, na qual os resíduos são preparados de modo a serem mais facilmente manuseados nas etapas de coleta e de destinação final. Acondicionar significa dar ao lixo uma embalagem adequada, cujos tipos dependem de suas características e da forma de remoção, aumentando assim a segurança e a eficiência do serviço. O acondicionamento acontece em duas etapas: interno ou externo. Na etapa interna o gerador é responsável e na etapa externa a responsabilidade é do poder público, com exceção dos grandes geradores ou geradores de resíduos especiais (entulhos de construção, industriais, radioativos, etc.). Na etapa que precede a coleta externa, os resíduos devem ser acondicionados em locais e recipientes adequados para serem confinados, evitando acidentes (lixo infectante e pérfuro-cortante ), proliferação de insetos e animais indesejáveis e poluição ambiental. Os limites máximos aceitáveis de peso e de volume do lixo a ser coletado regularmente são estabelecidos por normas que devem refletir as peculiaridades locais, orientando e educando a população, cuja colaboração é fundamental para a boa execução das atividades. Um mau acondicionamento retarda o serviço e encarece. Recipientes inadequados ou improvisados, pouco resistentes, mal fechado ou muito pesado e com materiais sem a devida proteção, aumentam o risco de acidentes de trabalho. Os materiais agressivos ou perigosos devem ser acondicionados em separado do restante do lixo, para uma correta disposição. Os líquidos devem ser retirados. Vidros quebrados e superfícies cortantes devem ser embrulhados em jornal. 6.4.1.1 - Formas de acondicionamento ou tipos de recipientes A forma de acondicionamento depende do tipo de resíduo, do peso, volume e da movimentação (tipo de coleta, freqüência). Os recipientes devem: • Ser padronizados e estar disponíveis para o usuário. • Obedecer a requisitos mínimos de funcionalidade e de higiene. • Quando forem reutilizáveis: − Ter um formato que facilite seu esvaziamento, sem aderência nas paredes internas e nos cantos. − Ser de material resistente e que evite vazamentos. − Ter capacidade limitada de modo a não pesar para o manuseio pelos trabalhadores da limpeza (em torno de 20 kg/homem). − Ter tampas e alças laterais.
  • 47.
    Resíduos Sólidos: Coletae Destinação Final ABES - Francisco Humberto de Carvalho Jr 47 a) Acondicionamento para pequenos volumes: Cestos coletores ou lixeiras para calçadas. - São colocados em logradouros públicos para receber o lixo de pessoas ou transeuntes, ou ainda chamados o "lixo de mão". As lixeiras devem ser colocadas a cada 50m, no máximo. Podem ser plásticas ou metálicas. Sacos plásticos. - São práticos e higiênicos, pois facilitam a limpeza, evitam mau cheiro, requer um menor esforço dos garis coletores, impedem a absorção de água de chuva, diminuem a poluição sonora e aumentam a rapidez da coleta. - Atualmente é comum o uso de sacos plásticos para a varrição. O material deve ser resistente à perfuração e não pode ser transparente. As normas IPT - NEA 26, 36, 57, 58 e 59 ou NBR - 9190 e 9191, descrevem as metodologias de ensaios. - Os sacos podem ser reciclados e de qualquer cor, desde que não permitam a visibilidade do conteúdo. A cor branca ou leitosa é reservada para resíduos de saúde. - Os requisitos para compra são: capacidade volumétrica; resistência à queda; dimensões planas e resistência ao levantamento. Recipiente para coleta de lixo em praias Coletor de lixo para calçadas
  • 48.
    Resíduos Sólidos: Coletae Destinação Final ABES - Francisco Humberto de Carvalho Jr 48 Lutocar ou carrinhos para garis. - São fabricados especialmente para varrição de ruas e áreas públicas, são recipientes vinculados a carrinhos, geralmente de duas rodas e podendo dispor de portas vassouras. Tambores. - Normalmente de 200 litros e muito usados em pequenas cidades. - Devem ter alças de manuseio e tampa, impedindo o odor e a entrada de animais. - O tambor deve reter líquidos e resistir à corrosão, como aço pintado ou plástico. Recipientes basculantes ou coletores de plásticos. - São recipientes que possuem um sistema de basculamento para remoção do lixo. - No caso do recebimento de lixo orgânico, deverão ter um sistema de captação de líquidos e saídas de gases. - Usual na Europa, Israel e EUA. - Dispensa uso de garis coletores, reduzindo o custeio de mão de obra. - A coleta poderá ser de três em três dias, reduzindo o custo da coleta. Recipiente basculante b) Acondicionamento para grandes volumes. Contêineres, caçambas estacionárias ou coletores basculáveis estacionários. - São recipientes possíveis de serem basculáveis, pela lateral ou por trás do veículo, para descarga dos resíduos. - Em geral, possuem capacidade de 0,70 a 2,0 m³. - São usados para coleta de difícil acesso, como favelas ou becos. - Ideal para coleta de resíduos de entulhos ou terras (escavação). Contêineres intercambiáveis, caçambas estacionárias ou caixa Brooks. - São recipientes que quando cheios, são removidos e substituídos por recipientes vazios. Basculamento por traz do veículo.
  • 49.
    Resíduos Sólidos: Coletae Destinação Final ABES - Francisco Humberto de Carvalho Jr 49 - Os veículos que transportam, são chamados de poliguindastes, dotados de equipamento de levantamento, ou carretas dotadas de guincho ( sistema roll on/ roll off). - Têm capacidade de 2,50 a 30 m³. - Ideal para locais de difícil acesso e de grande produção de lixo. - O seu maior problema é a oficialização do "ponto de lixo". - Por ser aberto, recebem resíduos heterogêneos, causando odor. c) Vantagens e desvantagens de recipientes para armazenamento de lixo doméstico. (Ver tabela 5). Tabela 5 – Vantagens e desvantagens de recipientes para armazenamento de lixo doméstico ALTERNATIVA VANTAGENS DESVANTAGENS CONDIÇÕES FAVORÁVEIS Sacos Plásticos. Diminui peso a ser levantado. Elimina maus odores. Limita atração de vetores. Aumenta velocidade e eficiência da coleta. Reduz contato com o lixo. Elimina latas de lixo na calçada. • Sacos se rompem quando muito cheios. • Podem atrair animais. • Inadequados para objetos pontudos, pesados ou volumosos. • Tempo longo de decomposição do plástico Coleta na calçada. Coleta regular. Recipientes metálicos ou plásticos (75 - 120 l). Econômicos e reutilizáveis. Tamanho razoável para poder levantar. • Tampas podem se perder ou não funcionar após algum tempo. • Espaço na calçada. Coleta dentro dos lotes. Recipientes para coleta mecanizada (containeres ). Mais eficiente que a coleta manual. Uma das soluções para coleta em locais sem acesso ( favelas e vilas ). • Residentes não permitem armazenamento de lixo por terceiros. • Oficialização do ponto de lixo. • Mau cheiro. • Atração de vetores. Necessário espaço para recipientes. Tambores de 200 l Custo de aquisição baixo. • Baixa eficiência de coleta. • Dificuldade de manuseio e risco de acidente de trabalho. • Mau cheiro. • Atração de vetores. • Ferrugem no fundo permite acesso de roedores. Alternativa inaceitável.
  • 50.
    Resíduos Sólidos: Coletae Destinação Final ABES - Francisco Humberto de Carvalho Jr 50 6.4.2 - Coleta e Transporte do Lixo Domiciliar a) Freqüência. A coleta de lixo domiciliar deve ser feita em toda a cidade, de acordo com as características de cada região. Com relação à freqüência é comum adotar-se: Coleta diária: em áreas comerciais ou centrais, onde a produção de resíduos é grande. Normalmente, a coleta é noturna, para facilitar o tráfego. Coleta em dias alternados: Em áreas residenciais, menos adensadas. Coleta especial ou coleta diferenciada: em favelas, áreas de topografia acidentada, de urbanização desordenada ou precária, vilas, etc. b) Vantagens e desvantagens de diferentes freqüências de coleta de lixo. (Ver tabela 6). Tabela 6 – Vantagens e desvantagens de diferentes freqüências de coleta de lixo ALTERNATIVA DE COLETA VANTAGENS DESVANTAGENS CONDIÇÕES QUE FAVORECEM A COLETA Uma vez por semana. -Menor custo. - Lixo inadequadamente armazenado provoca problemas de odor e vetores. - Armazenamento adequado. - Clima frio ou temperado. Duas vezes p/semana. -Reduz lixo. -Reduz necessidade de armazenamento - Mais cara. - A qualidade do serviço é mais importante que a economia. - Clima quente. Mais de duas vezes p/semana. -Reduz lixo. -Reduz necessidade de armazenamento - Mais cara. - População densa. c) Transportes. Os serviços de coleta domiciliar, cada vez mais, utilizam equipamentos dotados de dispositivos compactadores. Para escolha do tipo de veículos coletores, devem ser levados em consideração o tipo e a quantidade de lixo, os custos de equipamentos, as condições locais como a mão de obra, as características das vias públicas (largura, declividade e pavimentação), as densidades populacionais e de tráfegos e custeios operacionais de manutenção. d) Veículos Coletores São veículos dotados de carrocerias especialmente projetados para a coleta a que se destinam e a respectiva carga. • Veículos coletores de caçambas simples São dotados de caçambas sem sistema de compactação. Os principais tipos são: A. Veículo coletor basculante tipo Standart - Sem cobertura, podendo ser equipado com guindaste com garra tipo "clamshell" ou polipo, para coleta de sucata, entulhos e/ou resíduos volumosos.
  • 51.
    Resíduos Sólidos: Coletae Destinação Final ABES - Francisco Humberto de Carvalho Jr 51 B. Veículo coletor convencional - Também conhecido como tipo prefeitura, baú ou gaveta. É um equipamento com carroceria fechada, construída em forma de caixa abaulada na parte superior, onde existem janelas com tampas, pelas quais os resíduos são introduzidos. A descarga se dá através de basculamento da caixa. • Veículos coletores compactadores São veículos de carroceria fechada constituída de dispositivos mecânicos e/ou hidráulicos que possibilitem a distribuição e compressão dos resíduos dentro da carroceira e sua posterior descarga. A. Quanto ao sistema de compactação: A.1 - Carga contínua - Os resíduos colocados na boca da carga são transferidos e compactados no interior da caçamba, sem ser interrompido o trabalho de coleta; A.2 - Carga intermitente - O processo de transferência e compactação dos resíduos se realiza com a interrupção da coleta, para o acionamento do sistema. B. Quanto ao carregamento: B.1 - Carregamento traseiro; B.2 - Carregamento lateral; B.3 - Carregamento frontal, com utilização de containers. C. Quanto ao sistema de descarga: C.1 Por ejeção - A descarga é feita através de um escudo ejetor acionadao por pistão telescópio, através de comandos automáticos, sem necessidade de qualquer interferência manual; C.2 - Por basculamento; Obs: Nas caçambas compactadoras podem ser acoplados dispositiovos hiodráulicos para basculamento dos containers. e) Comparação entre veículos coletores. e.1 – Veículos sem compactação. Tabela 7 – Veículos sem compactação vantagens e desvantagens TIPOS VANTAGENS DESVANTAGENS Caminhões basculante ou caçambas e lastro. - Possibilidade de utilização em outros serviços do Município. - O lixo pode se espalhar pela rua devido à ação do vento. - A altura da carroceira exige dos garis grande esforço na manipulação do lixo. Caminhão baú ou “prefeitura“. - O lixo coletado pode ser melhor arranjado, evitando-se que seja visto pelas pessoas ou se espalhe pelas ruas. - Dificulta a colocação no interior da carroceria.
  • 52.
    Resíduos Sólidos: Coletae Destinação Final ABES - Francisco Humberto de Carvalho Jr 52 e.2 – Veículos com compactação. Tabela 8 – Veículo com compactação vantagens e desvantagens TIPOS VANTAGENS DESVANTAGENS Compactadores. - Capacidade de transportar muito lixo. - Baixa altura de carregamento, facilitando o serviço dos coletores que apresentam maior produtividade. - Rapidez na operação de descarga do material, já que são providos de mecanismos de ejeção. - Eliminação dos inconvenientes sanitários decorrentes da presença de trabalhador arrumando o lixo na carroceira ou do espalhamento do material na via pública. - Preço elevado do equipamento. - Manutenção mais complicada. - Relação custo x beneficio desfavorável em áreas de baixa densidade populacional. A análise da realidade local poderá indicar alternativas mais baratas, como por exemplo, a carroça de tração animal, micro-coletores ou reboques puxados por pequenos tratores. Qualquer que seja o veículo, a altura não deverá ser superior a 1,10m, de modo a diminuir o esforço dos coletores. 6.4.3 - Coleta para serviços de saúde e hospitalar A coleta dos resíduos de serviços de saúde é feita de forma diferenciada, objetivando: A destinação apropriada; Evitar a contaminação de resíduos não-perigosos; Manejo seguro de resíduos infectantes. Os resíduos de saúde devem ser coletados em todos estabelecimentos que prestam serviços na área de saúde: hospitais, farmácias, ambulatórios, clínicas veterinárias e dentárias, pronto–socorros, etc. a) Fases A coleta destes resíduos compreende duas fases: interna e externa. Na fase interna, tem-se como objetivo evitar a contaminação no interior dos estabelecimentos de saúde. Na fase externa, os resíduos sépticos devem ser *9-coletados em veículos de carroceria metálica fechada, de operação de carga descarga fácil e lavados com produtos desinfetantes. • A fase interna envolve: - 1. Seleção e triagem dos resíduos A seleção tem como objetivo separar os resíduos em: Resíduos sépticos – infectantes (agentes biológicos) – Classe A; Resíduos sépticos – infectantes (agentes químicos) – Classe B; Resíduos assépticos – rejeitos radioativos – Classe C; Resíduos assépticos – resíduos comuns – Classe D.
  • 53.
    Resíduos Sólidos: Coletae Destinação Final ABES - Francisco Humberto de Carvalho Jr 53 A Resolução número 5 do CONAMA, de 05 de Agosto de 1.993 e a norma NBR – 12808, apresentam uma classificação detalhada de cada tipo de resíduos. 2. Transporte interno. Cada estabelecimento deve criar circuitos apropriados para o transporte de resíduos, evitando confundir os circuitos “limpo“ e “sujo“. Não sendo possível realizar a segregação entre as diversas classes de resíduos, recomenda-se que todo conjunto seja tratado como perigoso. 3. Acondicionamento. 3.1 – Sacos Plásticos (branco leitoso). Os sacos plásticos para lixo contaminado devem ser fabricados com material incineráveis, de cor branca. IPT – NEA 59 ou NBR – 9191. 3.2 – Recipientes para Resíduos Perfurantes e Cortantes. Devem ser fabricados com material incinerável (polietileno rígido, papelão ondulado, etc.) e possuir cor dominante amarela com simbologia internacional para material infectante. Devem possuir resistência à perfuração, à compressão, ao vazamento e levantamento pelas alças. IPT – NEA 55 ou BS 7320. 4. Armazenamento. O armazenamento dos resíduos de saúde deve ser feito em salas localizadas o mais próximo possível das áreas geradoras. A armazenagem externa deve ser feita em recipientes com tampa, em locais abrigados e com acesso, restrito apenas para funcionários treinados e autorizados. Após a coleta o local deve ser limpo e desinfectado. • A fase externa Os veículos adequados para coleta podem ser dos tipos: utilitários, para a coleta de pequenos geradores, e compactadores, para grandes geradores. O grau de compactação, nesse caso, deve ser mínimo, para evitar o rompimento dos sacos. Devem também possuir equipamentos auxiliares para o basculamento de contêineres e calhas para contenção de líquidos. Os garis coletores devem estar vacinados, principalmente contra hepatite e tétano e realizar exames periódicos. ABNT NBR – 12807,12808 e 12809. • Equipamentos para a Coleta de Resíduos de Saúde A. Para coleta hospitalar, devem ser utilizados veículos especiais, não compactadorse, possuidores de calhas de retenção de líquidos, de sistema especial para basculamento de containers coletores, sendo a descarga efetuada atravé de um escudo ejetor. B. Para coleta de farmácia, ambulatórios, clínicas, etc. - São utilizados veículos utilitários tipo "pick-up" com carrocería especial. A descarga deve ser feita através de uma rampa hidráulica instalada nos pontos de destino final ou por placa acionada manulamente ou mecanicamente.
  • 54.
    Resíduos Sólidos: Coletae Destinação Final ABES - Francisco Humberto de Carvalho Jr 54 6.4.4 - Outros serviços de limpeza 6.4.4.1-Varrição e raspagem de vias A limpeza das calçadas e das ruas não depende apenas da atuação da prefeitura, e sim, principalmente, da educação e conscientização da população. Deve-se promover campanhas educativas para conscientizar a população. A limpeza das vias é fator importante na atração de turistas, que normalmente reparam em detalhes dos locais que visitam. O objetivo da varrição é manter a cidade limpa, evitar riscos à saúde pública e prevenir enchentes e assoreamento de recursos hídricos. A varrição das ruas e logradouros públicos pode ser feita manualmente ou mecanicamente. ♦ VARRIÇÃO MANUAL. Para elaboração de um plano de varrição, os dados necessários são: 1. Área a ser varrida; 2. Topografia; 3. Tipo de pavimentação; 4. Uso do solo; 5. Extensão das vias; 6. Circulação de pedestres; 7. Localização de cestas para lixo de mão. 8. Localização de feiras, mercados, parques, paradas de ônibus, etc. Devido ao caráter permanente deste serviço, recomenda-se o investimento de implantação de áreas de apoios (micro ponto de varrição) para os garis. A freqüência de uma varrição é função direta do tipo de ocupação do solo: - Maior, em áreas de grande fluxo de pedestres; - Menor, em áreas residenciais. A Prefeitura Municipal de Fortaleza, através da EMLURB, está desenvolvendo um projeto denominado Promotor de Limpeza, em fase de implantação no bairro da Aldeota, consistindo uma inovação da forma de trabalho dos garis. Relata-se, abaixo, parte do projeto, para melhor entendimento: A necessidade de um projeto diferenciado e com a “cara” da nova administração, no que se refere à participação da população e à intersetorialidade entre as secretarias envolvidas, norteou este projeto. O projeto Agente Promotor de Limpeza acaba com a idéia de serviços executados por especialistas em varrição, pintura de meio-fio, capina, etc. A forma de executar os serviços será circular, conforme figura 12, aumentando a produtividade do gari. O agente terá, junto à comunidade, um papel diferente do atual, verificará as irregularidades possíveis na coleta de lixo, observará as possíveis infrações cometidas por um cidadão, e, através de diálogo, tentará equacionar os problemas. Caso o cidadão persista, encaminhará o caso para a fiscalização da Regional.
  • 55.
    Resíduos Sólidos: Coletae Destinação Final ABES - Francisco Humberto de Carvalho Jr 55 Figura 12 – Forma de executar os serviços de limpezas das ruas. Inicialmente, o agente será responsável por quatro quadras, e executará todos os serviços de limpeza. Receberá os materiais e equipamentos do auxiliar de campo, que circulará em uma bicicleta. O auxiliar de campo, orientado pela equipe técnica, se instalará em um local onde habitualmente tende a ser um ponto de lixo, com uma infra-estrutura mínima, tal como um guarda-sol, materiais e equipamentos necessários. Haverá uma premiação para o melhor agente promotor de limpeza. O julgamento poderá ser realizado através de pesquisa de opinião pública. Os papeis de cada um serão: a) Agente Promotor de Limpeza. ♦ Responsável pelos serviços de: varrição, raspagem de vias, capinação, pintura de meio-fio, limpeza de bocas-de-lobo e pequenas podas de árvores. ♦ Identificará e dialogará com os cidadães infratores. ♦ Encaminhará à fiscalização as irregularidades possíveis. (ex.: coleta não passou, cidadão colocou entulho na calçada, etc.). ♦ Interação (inter. + ação) com a comunidade, dos problemas existentes. ♦ Colocará na esquina de cada quadra os sacos de varrição ou outros resíduos, facilitando a coleta. ♦ Asseio e aparência pessoal. ♦ Comportamento. ♦ Integração. ♦ Promover educação ambiental. b) Auxiliar de Campo. ♦ Acompanhamento e orientação ao Agente Promotor. ♦ Guarda dos materiais e equipamentos. ♦ Inibir a colocação de resíduos em pontos de lixo. ♦ Solicitação ao gerente dos materiais e equipamentos necessários. ♦ Interação com a comunidade. ♦ Asseio e aparência pessoal. ♦ Freqüência do Agente Promotor.
  • 56.
    Resíduos Sólidos: Coletae Destinação Final ABES - Francisco Humberto de Carvalho Jr 56 ♦ Repasse dos problemas e estudos de soluções para o gerente setorial. ♦ Comportamento. ♦ Integração. ♦ Promover educação ambiental. c) Gerente Setorial. ♦ Acompanhamento e orientação ao Auxiliar de Campo. ♦ Relatórios periódicos. ♦ Solicitar e acompanhar os materiais e equipamentos. ♦ Interação com a comunidade. ♦ Freqüência da equipe. ♦ Repasse dos problemas e estudos de soluções, para as chefias superiores. ♦ Asseio e aparência pessoal. ♦ Comportamento. ♦ Integração. ♦ Promover educação ambiental. d) Comunidade. ♦ Participará da pontuação do julgamento para premiação do melhor Agente Promotor. ♦ Interação com o Agente Promotor. ♦ Fiscalização. ♦ Encaminhar solicitações e soluções. ÁREA PILOTO A área escolhida para inicio deste projeto compreende o quadrilátero entre as avenidas: Padre Antônio Tomás, Antônio Sales, Barão de Studart e Senador Virgílio Távora, localizada na Regional 02, bairro da Aldeota. A escolha desta área como piloto, se deve a fatores tais como: área que tem residências e pequenos comércios, representativa da maioria dos bairros de Fortaleza; nível alto de exigência da população residente, o que facilita a qualidade de atendimento; localização da área; ajuda à fiscalização dos serviços. MÃO-DE-OBRA NECESSÁRIA Primeiramente dimensionou-se em 01 Promotor de Limpeza para cada 04 quadras em média, com a produção em torno de 1.600 ml. O promotor, como já exposto, irá realizar todos os serviços de limpeza e ajudará na fiscalização da limpeza. O total calculado é de: 20 quadras X 01 Promotor + 10% reserva técnica + 02 garis para basculamento dos resíduos da caçamba. O total será de: 24 Promotores de limpeza. Ter-se ainda 02 Auxiliares de Campo, para supervisionar, e 01 motorista. ♦ Varrição Mecanizada. A varrição pode ser executada por equipamentos como: varredeiras. O chassi poderá ser normal (4 ciclos) ou triciclos. O sistema de recolhimento: as varredeiras podem ser mecânicas ou aspiradoras. As mecânicas recolhem os detritos através de uma escova que varre os resíduos para dentro da máquina e as aspiradoras, aspiram diretamente para dentro do equipamento.
  • 57.
    Resíduos Sólidos: Coletae Destinação Final ABES - Francisco Humberto de Carvalho Jr 57 6.4.4.2 - Capinação e roçagem A capinação é realizada, geralmente, em áreas não edificadas e em ruas não pavimentadas, com o fim de evitar que o mato, o capim e as ervas daninhas prejudiquem o trânsito de pessoas e de veículos, a segurança pessoal, a estética e a sanidade dos logradouros públicos e das áreas residenciais. Visa, ainda, impedir a transformação dessas áreas em depósitos de detritos, em esconderijos de pessoas suspeitas e em focos de desenvolvimento de mosquitos e roedores. A periodicidade dos serviços de capina varia de 30 a 120 dias, dependendo da época do ano e do movimento do uso do logradouro a ser capinado. As vias onde ocorre fluxo permanente de líquidos como esgoto a céu aberto, contribui para o crescimento de matos em coxias. A capinação pode ser: • Capinação Manual. A principal ferramenta de trabalho é a enxada, cuja manutenção, principalmente a de corte, carece de atenção especial. Recomenda-se que as enxadas sejam encabadas e amoladas em oficina, para evitar perda de tempo por parte do gari. As enxadas devem ser levadas ao local de trabalho em boas condições de uso e em número superior ao dos operários envolvidos, servindo a diferença como reserva para eventual substituição na hipótese de quebra. A produtividade de um homem depende do tipo de solo, espécie de vegetação e sua densidade; poderá chegar em torno 60 a 150 m2/dia. • Capinação Mecânica A capinado mecânica é executada por um implemento agrícola conhecido por "capinadeiro" ou enxada rotativa", tracionado por um trator de pneus, com sistema de levante hidráulico em três pontos e tomada de força. • Capinação Química O objetivo é a erradicação de vegetação específica, sem prejuízo para a vida animal e vegetal. Uma pessoa pode pulverizar uma área de 10 mil m²/dia. Existem controvérsias em sua aplicação, no entanto, caso adotado, recomenda-se autorização de órgão ambientalista (SEMACE) e de um Engenheiro Agrônomo. Faltam dados relativos principalmente ao efeito residual no solo, no ambiente, dos herbicídas aplicados para controle de ervas daninhas e o efeito de percolação por ocasião das chuvas. Há falta de informação precisa por parte dos fabricantes quanto ao uso de herbícidas para controle de áreas não cultivadas. • Roçagem Roçagem consiste no corte da vegetação a uma altura de 5 a 10 cm., acima do solo. É feita quando se deseja manter uma cobertura vegetal para se evitar deslizamentos de terra e erosões ou por razões estéticas. A roçagem pode ser também manual ou mecânica. A roçagem manual é executada por foices do tipo "bico de gavião" ou estrovengas. A roçagem mecânica, é executada por um equipamento chamado "roçadeira de pasto" tracionado por um trator de pneus.
  • 58.
    Resíduos Sólidos: Coletae Destinação Final ABES - Francisco Humberto de Carvalho Jr 58 6.4.4.3 - Coleta de materiais diversos e entulhos Os grandes vilãos das administrações municipais são os entulhos de origem de construções ou reformas de residências ou escritórios. O custo desta coleta é bastante caro, pois utiliza equipamentos "pesados" e caçambas. No entanto, a situação se torna mais grave, quando estes resíduos não são coletados, pois propicia a proliferação de vetores, atrapalha o tráfego de pedestres e automóveis, destroi a paisagem e atrai outros resíduos. Quando a coleta é feita clandestina por equipamentos das empreiteiras, o seu custeio (preço por tonelada), tende a crescer. O peso específico de um resíduo domiciliar, sem compactação, chega em torno de 425 Kg/m³ e de entulho de construção de 1.280 Kg/m³. Como o custeio é pago por peso, os veículos infratores "ganham" bastante. A coleta de materiais diversos também tem seu custo alto, pelo mesmo motivo do seu peso específico. A coleta de restos de móveis e eletrodomésticos, e outros resíduos constitui o tipo desta coleta. Uma das formas que as administrações municipais encontraram, foi a setorização da cidade e programa de coleta, informando previamente à população quando o veículo coletor de materiais diversos irá passar. Estas operações são também chamadas de "bota-fora", "cata-tralha", etc. A coleta especial, por parte da administração, mediante solicitação e pagamento do serviço pelo cidadão, está prevista em diversos códigos municipais. 6.4.4.4 - Remoção de animais mortos Este serviço pode ser feito com equipamentos dotados de carroceiras fechadas ou abertas, munidas de guincho. 6.4.4.5 - Limpeza de feiras livres e mercados A limpeza deve ser feita imediatamente após o seu encerramento, por garis munidos de vassourões, pás e carrinhos de mão. As áreas de feiras, principalmente os locais onde foram comercializados peixes, carnes e frutas, devem ser lavados, desinfetados ou desodorados. Contêineres podem ser utilizados quando houver grandes volumes de lixo. Estes resíduos, por se tratar de um lixo quase que totalmente orgânico, constituem uma possibilidade de uma futura compostagem. 6.4.4.6 - Limpeza de praias A freqüência da limpeza e o número de equipes nas praias dependem da época de grande movimento. Cestos e tambores devem estar dispostos ao longo da praia. 6.4.4.7 - Limpeza de bocas de lobo, galerias, córregos e canais Podem ser feitas manualmente, utilizando-se garis munidos de pás, picaretas, enxadas, aspirador, motor e mangueira para jateamento de água, e mecanicamente, com equipamentos tipo multiuso.
  • 59.
    Resíduos Sólidos: Coletae Destinação Final ABES - Francisco Humberto de Carvalho Jr 59 6.4.4.8 - Pintura de meio-fio Tem um caráter especial para limpeza urbana, pois deixa um aspecto de asseio e limpeza bem realizada, além de uma orientação melhor para o tráfego e melhor higienização. 6.4.4.9 - Coleta de reciclados ou seletiva Atualmente, estes serviços vêm acontecendo em diversas prefeituras, e são utilizados veículos especiais para esta coleta. 6.4.4.10 - Outros serviços Pode-se citar serviços ainda não dimensionados, tais como: limpeza de vias e logradouros públicos em datas cívicas e festas religiosas e populares, raspagem de vias ou de material carreado por enxurradas e alagamentos e limpeza da orla marítima em períodos como "ressaca do mar". Isto demonstra que os serviços da limpeza pública têm uma abrangência maior do que se imagina e de uma importância enorme para o bem estar da população. Por isso, é considerado um serviço essencial.
  • 60.
    Resíduos Sólidos: Coletae Destinação Final ABES - Francisco Humberto de Carvalho Jr 60 7 - COLETA 7.1 -Tipos de Coletas A Norma NBR -12980 da ABNT, define os diferentes tipos de coletas de lixo. 1 - Coleta Regular: Corresponde à remoção de lixo domiciliar, resíduos de varrição, de feiras, praias, resíduos de serviços de saúde. Coleta de resíduos sólidos executados em intervalos determinados. 2 - Coleta Especial - É a coleta destinada a remover resíduos, que não são removíveis pela coleta regular em virtude de suas características próprias, origem e quantidade. Exemplos: Entulhos, animais mortos, móveis velhos, colchões, podação, materiais diversos, monturos, etc. 3 - Coleta Particular - É a coleta de qualquer tipo de resíduo urbano, pelo qual cidadãos ou empresas pagam para retirar os resíduos. Exemplo: Lixo industrial, entulho de construção, etc. 4 - Coleta de resíduos de serviços de saúde - Ela é apresentada à parte por apresentar riscos de saúde superiores à coleta domiciliar. É dividido em: a) Coleta Hospitalar - É a coleta de hospitais, aeroportos, portos, presídios e outros estabelecimentos similares. b) b) Coleta de Farmácias, Centros de saúde, Laboratórios, Clínicas Veterinárias, etc. Esta coleta é executada por veículos exclusivos, de forma a não ocorrerem problemas de espalhamento de resíduos, o derramamento de líquidos em vias públicas ou problemas de contato manual. 5 - Coleta de resíduos de feiras, praias ou calçadões - Coleta regular dos resíduos oriundos da limpeza e varrição de feiras, praias e calçadões.
  • 61.
    Resíduos Sólidos: Coletae Destinação Final ABES - Francisco Humberto de Carvalho Jr 61 6 - Coleta Seletiva - Coleta que remove os resíduos previamente separados pelo gerador, tais como: papéis, latas, vidros e outros. 7 - Coleta de varrição ou varredura - Coleta regular dos resíduos oriundos da varrição de vias e logradouros públicos. 7. 2 - Dimensionamento de uma Coleta Domiciliar O dimensionamento e a programação da coleta estão relacionados à estimativa dos recursos necessários (tipo de veículo, frota necessária, quantidade de pessoal) e à definição de como o serviço será executado (freqüências, horários, roteiros, itinerários, pontos de destinação). Em geral, quando se contrata serviços de coleta domiciliar são contratadas juntas as empresas particulares. O poder público define seus requisitos básicos, tais como, freqüências, horários da coleta, locais e destino final, etc. Cabe as empresas seu dimensionamento e programação. No entanto, é necessário o envolvimento do poder público no dimensionamento e na programação dos serviços. Isto visa assegurar que atendam aos padrões de desempenho e de nível de serviço julgados adequados e garantir a justa remuneração pelos serviços prestados. 7.3 - Dimensionamento de uma Coleta Regular - INFORMAÇÕES INICIAIS a) Área de Coleta - é a região onde se irá recolher o lixo. b) Secção ou Regional de coleta - é a subdivisão político-administrativa de uma determinada cidade a ser coletada. b.1) Setor de Coleta - é uma subdivisão técnico-administrativa de uma área ou de uma regional de coleta ou ZGL, composta por uma coleção de itinerários. c) Itinerário - é o percurso da coleta efetuada pelo veículo, dentro de um mesmo setor, num mesmo período. Para cumprir o itinerário, um caminhão coletor poderá fazer uma ou mais viagens. d) Distância de Transporte da Coleta - é a distância determinada desde o centro geográfico do setor a ser coletado até o local de descarga ou do destino final. e) Viagem - Parte do trajeto efetuado por um veículo coletor desde o ponto inicial da coleta até um ponto de descarga e ida ao novo ponto inicial. Caso seja a primeira viagem de um trajeto, inclui a saída da garagem até o ponto inicial. Caso seja a última, inclui o retorno à garagem. f) Tempo de Coleta - é o tempo gasto para efetuar a coleta num determinado itinerário. Podendo ser tempo ocioso ou tempo efetivo. g) Tempo ocioso de coleta - é o tempo gasto em manobras e pequeno percursos sem coleta. h)Tempo Efetivo - é o tempo efetivamente gasto de coleta.
  • 62.
    Resíduos Sólidos: Coletae Destinação Final ABES - Francisco Humberto de Carvalho Jr 62 i) Tempo de Transporte - é o tempo acumulado do veículo coletor de um trajeto ao seu destino, não considerando o tempo de coleta e o tempo de descarga. j) Tempo de Descarga - é o tempo entre a chegada de um veículo ao destino final e a sua saída, já descarregado. l) Tempo de viagem - tempo que um veículo leva para completar uma viagem. m)Quantidade de lixo a coletar - é a quantidade destinada a uma coleta regular; varia com a população, arborização, quantidade de feiras livres, praias a serem limpas, hospitais, etc. n)Parâmetros da coleta - São os dados fundamentais para dimensionar uma coleta, que são abaixo discriminados. o)Capacidade de coleta - é a quantidade de lixo que pode ser coletada por uma determinada equipe, com um determinado equipamento, num itinerário de coleta, em um espaço de tempo; geralmente é dado em KG/H, incluindo-se aí o tempo gasto para o transporte e a descarga do lixo. p)Concentração de lixo - é quantidade de lixo, em peso, por unidade de comprimento de vias, a ser recolhido em um itinerário. kg/km. q) Velocidade de coleta - é a velocidade média de um veículo coletor e sua respectiva guarnição, desenvolvida durante o percurso de coleta em um intinerário. km/h. r) Freqüência de coleta - Número de dias por semana em que a coleta é efetuada em um determinado itinerário. s) Período de coleta - Espaço de tempo correspondente à execução dos serviços de coleta durante uma determinada fase do dia, podendo ser diurno ou noturno. t) Guarnição de coleta - Equipe constituída pelo motorista e pelos garis coletores. 7.4. - Etapas para Dimensionar uma Coleta Domiciliar 7.4.1- Passos ♦ Cálculo da quantidade de resíduos a ser coletado Existem três maneiras para calcular a quantidade de resíduos a ser coletada. A primeira seria monitorar a quantidade total de lixo coletado diariamente, através da pesagem no destino final, de todos os veículos. Essa pesagem determina a quantidade coletada num só dia. Deve-se repetir em mais de um dia, para obter dados mais precisos. Obs.1 - Para coleta cuja freqüência não seja diária (duas ou três vezes por semana), a quantidade coletada nesse roteiro deve ser dividida pelo número de dias. Por exemplo: dividir por dois, caso a coleta seja alternada, de forma a se obter a quantidade de lixo gerada em um dia. Obs.2 - Quando a coleta acontece na Segunda-feira, divide-se por dois, pois não aconteceu a coleta aos domingos.
  • 63.
    Resíduos Sólidos: Coletae Destinação Final ABES - Francisco Humberto de Carvalho Jr 63 A segunda maneira, seria calcular o total coletado de lixo, em regiões homogêneas (uso e ocupação do solo, área geográfica, tipo de lixo, geração de lixo, etc.). A partir destas informações, é possível expandir a amostra considerando a divisão da cidade em regiões homogêneas. Calculado o número de habitantes, encontra-se o índice de geração de resíduos domiciliares “per capita”. A terceira maneira, é através de uma estimativa. Adotando-se o valor da taxa de geração de lixo domiciliar de 0,65kg/hab/dia. Então: Q = 0,65 X Número de Habitantes ♦ Definir a freqüência da coleta É o número de dias por semana onde acontece a coleta, em uma mesma zona ou mesmo itinerário. DICAS: • Custos Quanto maior a freqüência, maior o custo total do serviço. Por exemplo, se o veículo coletor recolhe lixo diariamente e não em dias alternados, o custo operacional dobra (mais horas trabalhadas, mais gasto com pneus e combustível, etc.). • Disponibilidade da Frota A freqüência depende do total de veículos. Quanto menor for a frota, menor a freqüência. • Para Áreas que Geram Muito Lixo Em regiões tipo: comerciais, calçadões, praias, etc., a coleta deve ser diária, para evitar acúmulo de lixo. Existem locais onde poderão acontecer coletas mais de uma vez por dia. • Domingos e Feriados Deve-se evitar, por causa do custo adicional da mão-de-obra. • Sazonalidades Observar a freqüência em zonas turísticas ou comerciais, que varia de acordo com o aumento de fluxo turístico ou aumento do comércio. • Áreas com Baixa Densidade Populacional A freqüência não necessita ser diária. • Participação da População é Essencial
  • 64.
    Resíduos Sólidos: Coletae Destinação Final ABES - Francisco Humberto de Carvalho Jr 64 É importante que os dias e períodos da coleta domiciliar sejam definidos e informados à população. A coleta deve ser cumprida a risco, para acontecer hábitos regulares na população. ♦ Definir os horários da coleta Os horários ou períodos de uma coleta podem ser diurnos ou noturnos. Abaixo, são descritos alguns aspectos comparativos para coleta noturna. Aspectos Favoráveis para Coleta Noturna 1. Maior produtividade dos veículos de coleta, através de maior velocidade média (menor quantidade de tráfego ). 2. Menor transtorno em vias de circulação mais intensa. 3. Aproveitamento melhor da frota (trabalho em 2 turnos). 4. Redução do tempo de espera na descarga. Aspectos Desfavoráveis para Coleta Noturna 1. Ruído, em especial o manuseio de tambores e da compactação do lixo, que causa incômodo à população. 2. Aumento do risco de acidentes (menor visibilidade). 3. Aumento de encargos sociais e trabalhistas. 4. Maior absenteísmo e rotatividade. 5. Aumento do desgaste dos veículos por usar em dois turnos. 6. Falta de tempo para uma manutenção preventiva bem feita, diminuindo a vida útil do veículo. 7. Possibilidade de se levar "gato por lebre", entulho em lugar do lixo (pouca fiscalização). Obs. 1. Definir o horário final de cada turno, para evitar atrasos na manutenção preventiva (lavagem, lubrificação, etc.). Obs. 2. Ver horários de transportes coletivos para os trabalhadores. ♦ dimensionar a frota O objetivo do dimensionamento dos serviços de coleta de lixo domiciliar é determinar o número de veículos necessários aos serviços de coleta e elementos para definir os itinerários (rota). O dimensionamento deve ser dinâmico e monitorado, pois poderá haver modificações dos dados originais, tais como: - Ampliação dos serviços em áreas novas. - Substituição ou renovação dos veículos por outros com características diferentes (capacidade, velocidade, etc.). - Baixa produtividade. - Alterações da freqüência e horários. - Satisfação dos munícipes, quanto à freqüência e horários. • Etapas para Dimensionamento - Levantamento de Dados
  • 65.
    Resíduos Sólidos: Coletae Destinação Final ABES - Francisco Humberto de Carvalho Jr 65 Mapa do município, nas escalas 1:5.000 ou 1:10.000. Veículo disponível e capacidade, para ampliação da coleta. - Localização de Pontos Relevantes no Mapa Destino final e garagem (ponto inicial). Centros geradores de lixo. Estações de transbordos. - Cálculo do Volume e Peso Específico QA = 0,65 KG/HAB/DIA x POPULAÇÃO QA = Quantidade de Lixo Domiciliar para Geração Atual QF = ⎨(1 + D) x [A x (1 + E)] x [B x ( 1 + C )]⎬ QF = Quantidade de Lixo Domiciliar para Geração Futura A = 0,65 kg/hab./dia B = população a ser atendida. C = Taxa de crescimento populacional - % D = Taxa de incremento futuro do serviço de limpeza pública - % E = Taxa de incremento por geração per capita de lixo - % • Peso Específico do Lixo P.E = PESO/ VOLUME kg/m³ ou ton/m³ O peso específico aparente é aquele referido aos resíduos sólidos nas condições em que ele se apresenta inicialmente, pronto para ser coletado, ou seja, sem descontar os vazios. Este valor varia de cidade para cidade, pois os resíduos urbanos têm suas condições variáveis em conseqüência das mudanças de hábitos, em função dos novos produtos de consumo, do seu poder aquisitivo e da evolução dos padrões de cultura. O peso específico aparente vem diminuindo progressivamente devido à crescente industrialização, ao consumo cada vez mais de alimentos preparados, acarretando, portanto, uma redução de teor de matéria orgânica no resíduo sólido doméstico, bem como aumento do teor de invólucros, de papéis e de plásticos. Para se ter uma idéia, o peso específico aparente médio do resíduo sólido domiciliar produzido em São Paulo, em épocas diversas, foi de: 1927 - 500 kg/m³ 1957 - 300 kg/m³ 1969 - 230 kg/m³ 1972 - 200 kg/m³ 1974 - 140 kg/m³ Tal redução do peso específico aparente traz como conseqüências: o uso de caminhões coletores compactadores, a necessidade de estações de transbordo e outros equipamentos especiais.
  • 66.
    Resíduos Sólidos: Coletae Destinação Final ABES - Francisco Humberto de Carvalho Jr 66 O peso específico aparente, após haver sido compactado em veículo coletor compactador, é, por exemplo: 1 compactador - Sita de 15m³, coleta do lixo com peso total de cerca de 9 toneladas. O peso especifico será: 15m³/9 ton. = 600 Kg/m³. Comparando com o peso específico do lixo solto, que é 273 Kg/m³, tem-se mais que o dobro para o lixo compactado. A tabela 9 contém pesos específicos para diversos tipos de lixo. Tabela 9 - Pesos específicos (dados do município de Fortaleza - CE) CARACTERÍSTICAS PESO ESPECÍFICO - kg/m³. Domiciliar 273,00 Varrição 303,00 Comercial 172,00 Mercado público 293,00 Super mercado 113,00 Feiras-livres 150,00 Serviços de saúde 286,00 Especial urbano 1.255,00 Entulhos de construção 1.200,00 FONTE: EMLURB. Fortaleza – 1996. • Definir quais os Setores da Coleta - No mapa da cidade, dividir os setores de coleta, os quais representem regiões homogêneas. (geração lixo/habitante e uso e ocupação do solo). - Definir, para cada setor de coleta, a freqüência e horário de coleta. - Definir quais os dias da coleta, por setor (Segunda, Quarta e Sexta, por exemplo). Obs.1 - Cada setor de coleta é composto por um conjunto de itinerários. Obs.2 - Os fatores administrativos (sede) e operacionais determinam os limites de um setor de coleta. • Cálculo da Quantidade Total de Lixo por Setor - Obter a quantidade através de cálculo anterior. - Estimar o número de habitantes por setor, o qual pode ser obtido a partir do: Número de edificações/setor X número habitantes/edificação. Setor de finanças e tributos (IPTU). IBGE, outros órgãos. • Parâmetros Estimados por Setor DG = distância entre a garagem da empresa coletora e o setor de coleta. DD = distância entre o setor de coleta e o ponto de descarga (aterro ou transbordo).
  • 67.
    Resíduos Sólidos: Coletae Destinação Final ABES - Francisco Humberto de Carvalho Jr 67 L = percurso total da coleta. VC = velocidade média da coleta - de 4 a 6,5 km/h. VT = velocidade média dos percursos entre a garagem e o setor, we entre o setor e o ponto de descarga e vice-versa. - de 15 a 30km/h. em geral é medido em campo e depende de fatores como: trânsito, carga, etc. as distâncias a um setor (DG e DD), estimam-se considerando o centro geográfico. • Dimensionamento da Frota por Setor (Ns) Ns = (1/J) [ ( L/VC) + 2 ( DG/VT) + 2 ( DD/VT ) x ( Q/C) ] J = duração útil da jornada de trabalho de guarnição da saída da garagem até o seu retorno. Atenção: excluir tempos tais como as refeições, trocas de pneus, etc. C = capacidade dos veículos de coleta = 70% da capacidade nominal (ton ou m³). • Cálculo da Frota Total Necessária A frota total não é a soma das frotas obtidas para os setores, porque a coleta não acontece em todos os setores nos mesmos dias e horários. A frota total necessária é o maior número de veículos que precisam operar, simultaneamente, num mesmo dia e horário. Exemplo: Setor A - diurno - freqüência diária - 05 compactadores. Setor B – noturno - freqüência diária - 04 compactadores. A frota total necessária = 05 veículos (pois 04 veículos irão operar diurno e noturno). Elaborar Tabela Exemplo: SETOR FREQUÊNCIA PERÍODO DÍAS D 2 a 3 a 4 a 5 a 6a S A 2 4 6 - - 2 - 2 - 2 - B 3 5 S - - - 1 - 1 - 1 C DIÁRIA - - 3 3 3 3 3 3 TOTAL - - - 5 4 5 4 5 4 Resultado: Número de veículos necessários = 05 A tabela deve ser para cada horário ou turno de trabalho. Adicionar 10% da frota como reserva e/ou 5% para emergência. • Cálculo da Guarnição (Motorista + Garis Coletores) Varia em função do tipo de equipamento, volume do lixo, velocidade e do edital de concorrência. A quantidade de garis coletores varia, para compactador, entre 02 a 04 trabalhadores.
  • 68.
    Resíduos Sólidos: Coletae Destinação Final ABES - Francisco Humberto de Carvalho Jr 68 ♦ Definir os itinerários da coleta Itinerário de coleta é o percurso ou trajeto que o veículo coletor deve percorrer dentro de um mesmo setor, num mesmo período. O ideal é transformar a máxima quantidade de lixo num percurso bem produtivo, com o menor desgaste possível para o veículo e a guarnição. Percurso Improdutivo = Trajeto Percorrido em que não se Realiza a Coleta. DICAS: 1. Início da coleta, mais próximo possível da garagem. 2. Término da coleta, próximo da área de descarga. 3. Coleta em sentido descendente, diminuindo desgastes do veículo e da guarnição. 4. Coleta nos dois lados da rua, exceto para vias largas e de tráfego intenso. 5. Elaborar um roteiro gráfico indicando: início, término, percurso, pontos de coleta manual (pontos sem acesso ao veículo. Ex.: vilas), trechos com trajeto morto e manobras especiais (ré e retorno). 6. Elaborar um roteiro descritivo, com nomes, trechos de vias e seqüência do itinerário da coleta, bem como o tipo de manobra ao final de cada trecho (ré, direita, esquerda, retorna) e tipo de pavimentação. 7. Verificar as regras de trânsito (mão e contra mão). 8. Regiões altas devem ser coletadas no início da viagem, com o veículo mais vazio. Exemplo: Dimensionar a quantidade de veículos, tipo compactador, para uma coleta domiciliar, para uma cidade de 40 mil habitantes. Considerar a cidade dividida em 3 setores, sendo o setor B, com características de uso e ocupação do solo, como zona residencial e com coleta diurna e alternada. O setor A, como sendo de zona comercial e coleta noturna e diária e o setor C, como zona residencial de coleta alternada e diária. Outros dados: População - Setor A = 20 mil habitantes Setor B = 140 mil habitantes Setor C = 160 mil habitantes Nível de atendimento - Setor A = 100% Setor B = 80% Setor C = 90% Tempo de coleta = 4hs e 10 minutos. Tempo de transporte (ida e volta) = 50 minutos. Taxa de geração de lixo = 0,65 kg/hab/dia. Total de lixo comercial para o Setor A = 50 ton./dia. SOLUÇÃO: 1. Cálculo do volume de lixo domiciliar Setor A = 20.000 hab. x 0,65 kg/hab./dia = 13.000 kg/dia.
  • 69.
    Resíduos Sólidos: Coletae Destinação Final ABES - Francisco Humberto de Carvalho Jr 69 Setor B = 140.000 hab. x 0,65 = 91.000 kg/dia x 0,80 = 72.800 kg/dia. Setor C = 160.000 hab. x 0,65 = 104.000 kg/dia x 0,90 = 93.600 kg/dia. No Setor A → lixo domiciliar + lixo comercial (diária). 13.000 + 50.000 = 63.000 kg/dia = 63 ton./dia. No Setor B → coleta alternada. 72.800 kg/dia x 2 dias. = 145.600 kg. No Setor C → coleta alternada. 93.600 x 2 = 187.200 kg. 2. Número de viagens por setor Adotando-se 01 compactador = 6 ton./viagem, tem-se: Setor A = 63 ton./dia 6 ton./viagem Setor A = 10,5 viagens/dia (coleta noturna) Setor B = 145,6 ton. 6 ton./viagem Setor B = 24,26 viagens para 2 dias (coleta diurno). Setor C = 187,20 6ton/viagem Setor C = 31,20 viagens para 2 dias (coleta diurno). 2. Cálculo do tempo de coleta/número de veículos Setor A = 4hs e 10 min + 50 min = 6hs/viagem Número de veículos para o Setor A = 10,5 viagens/dia. 2 viagens/dia N.V.A = 5,25 → 5 Veículos. Para os outros dois setores, adotando-se que o compactador faz, o máximo, 2 viagens/dia. Setor B = 24,26 2 N.V.B = 12 Veículos. Setor C = 31,20 2 N.V.C = 16 Veículos. Reserva Técnica = 10% x 16 = 2 veículos.
  • 70.
    Resíduos Sólidos: Coletae Destinação Final ABES - Francisco Humberto de Carvalho Jr 70 Para o dia → Setor B e C (alternada). = 16 veículos. Para a noite → Setor A = 05 Veículos. Total de Veículos = 16 + 2 = 18 Veículos. Preenchendo a tabela abaixo: SETOR FREQUÊNCIA PERÍODO DÍAS D 2 a 3 a 4a 5a 6a S A DIÁRIA NOITE - 5 5 5 5 5 5 B 2 4 6 DIURNO - 12 - 12 - 12 - C 3 5 SAB. DIURNO - - 16 - 16 - 16 TOTAL - 12 16 12 16 12 16 Reserva técnica = 02 veículos. 3. Cálculo da guarnição Adotando-se 03 (garis - coletores) + 01 motorista por compactador, tem-se: GUAR SETOR FREQUÊNC. PERÍODO DIAS D 2a 3a 4a 5a 6a S Motor. A NOTURNA DIÁRIO - 5 5 5 5 5 5 Garis. A NOTURNA DIÁRIO - 15 15 15 15 15 15 Motor. B DIURNO 246 - 12 - 12 - 12 - Garis. B DIURNO 246 - 46 - 46 - 46 - Motor. C DIURNO 35SAB - - 16 - 16 - 16 Garis. C DIURNO 35SAB - - 48 - 48 - 48 TOTAL MOTOR. 12 16 12 16 12 16 TOTAL GARÍS 46 48 46 48 46 48 Cálculo: Setor A = 5x1 =5 e 5 x3 = 15 Setor B = 12 x 1 = 12 e 12x 3 = 46 Setor C = 16 x 1 = 16 e 16 x 3 = 48 Para o período diurno: 48 garis 16 motoristas. Para o período noturno: 15 Garis e 5 Motoristas. Reserva Técnica - 10%. Noite = 17 garis e 06 motoristas. Diurno = 51 garis e 17 motoristas. Total de Motoristas = 6 + 17 = 23 Total de Garis = 17 + 51 = 68 4. Dimensionamento da Mão de Obra Indireta HOMENS DIURNO NOTURNO TOTAL FISCAL DE COLETA 03 01 04 FISCAL DE PESAGEM 01 01 02 CHEFE DE TRÁFEGO 01 01 02 AUX.DE TRÁFEGO 01 01 02 TOTAL 06 04 10
  • 71.
    Resíduos Sólidos: Coletae Destinação Final ABES - Francisco Humberto de Carvalho Jr 71 7.5 - Custos de Coleta e Transporte O estudo de custos de coleta e transporte tem importância para que haja: - Um bom gerenciamento dos recursos humanos e materiais. - Planejamento dos serviços. - Atualização da taxa de limpeza urbana. - Elaboração do orçamento anual do município. - Negociação em condições de igualdade com as empresas coletoras. Para o poder municipal, é fundamental para que a eficiência das empresas prestadoras de serviços de coleta possa ser avaliada, auxiliando na determinação da remuneração a ser paga por esses serviços. Ao se comparar custos e preços entre cidades deve-se tomar cuidados, pois, por exemplo, as cidades maiores tendem a ter custos unitários menores que as cidades menores, em função da economia de escala; cidades do mesmo porte podem ter custos diferentes em função de variações significativas como densidade populacional, distância da área de descarrego, condições de pavimentação, etc. Além do mais, o custo a ser comparado não representa a qualidade necessária na execução dos serviços, pois existem culturas e modos diferentes entre as populações. Lembra-se ainda, que a limpeza pública representa entre 7 a 15% do orçamento e a coleta representa quase 50% do custeio total da limpeza. 7.5.1 - Custos 7.5.1.1 - Classificação Os custos podem ser classificados em fixos e variáveis. Os custos fixos não variam com o grau de utilização dos equipamentos ou nível de atividade da empresa. Os custos variáveis são proporcionais à utilização dos equipamentos. • Custos Fixos. (Custos mensais R$/mês) Dependem basicamente do tipo, quantidade e idade dos veículos. 1. Custos relacionados com a frota 1.1 - Cálculo da depreciação dos veículos. Admite-se, para efeito de cálculo, como sendo de cinco anos a vida útil de um veículo. O valor a ser depreciado calcula-se em torno de 80% do preço de um veículo novo, sem pneus. Considera-se um valor residual de 20%. Utiliza-se a tabela abaixo, para taxas de depreciação da idade do veículo. Utiliza-se o método das somas dos anos. 0 a 1 ano: 0,2667; 1 a 2 anos: 0,2133; 2 a 3 anos: 0,1600; 3 a 4 anos: 0,1067; 4 a 5 anos: 0,0533;
  • 72.
    Resíduos Sólidos: Coletae Destinação Final ABES - Francisco Humberto de Carvalho Jr 72 5 a mais anos: 0,00. Em alguns casos, pode-se calcular a depreciação de até 90% do preço do veículo novo. Para se calcular a depreciação mensal de cada veículo, no ano, multiplica-se o seu valor novo, sem pneus, pela taxa correspondente à sua idade e dividindo-se por doze. A depreciação mensal da frota é o somatório de cada veículo. 1.2 - Remuneração do capital da frota Adota-se, de princípio, a taxa de 12% ao ano. O resultado, dividido por doze, encontra-se a remuneração mensal. Utiliza-se a tabela abaixo, de fatores multiplicativos, para deduzir o que foi depreciado do seu valor: 0 a 1 ano: 1,00; 1 a 2 anos: 0,733; 2 a 3 anos: 0,520; 3 a 4 anos: 0,360; 4 a 5 anos: 0,2533; mais de 5 anos: 0,200. A remuneração mensal de cada veículo, no ano, é o resultado do produto do seu valor quando novo, sem pneus, pelo fator acima e multiplica-se esse resultado pôr 0,01 (1%). 1.3 - Outros custos relacionados com a frota Considera-se o somatório dos custos de seguro obrigatório, IPVA, licenciamento, etc., dividido por 12 meses do ano. 1.4 - Custos de equipamentos e instalações Entende-se por instalações, garagens e edificações. Os equipamentos são as máquinas, veículos para fiscalização e móveis, não utilizadas diretamente no serviço de coleta. Estes custos podem ser calculados com base no balanço da empresa. 1.5 - Custo da mão - de - obra Mão de obra direta: salários, encargos adicionais e benefícios concedidos (refeições, assistência médica, cestas básicas, etc.) aos motoristas e garis coletores. Mão de obra indireta: salários, encargos e benefícios concedidos aos fiscais, mecânico e pessoal da administração. 1.6- Outros custos São os custos de energia elétrica, gás, telefone, água, uniformes, material de escritório, serviços de terceiros, etc. • CUSTOS VARIÁVEIS
  • 73.
    Resíduos Sólidos: Coletae Destinação Final ABES - Francisco Humberto de Carvalho Jr 73 1.1- Custo por km percorrido São os combustíveis, lubrificantes, filtros, pneus, câmaras, peças de reposição, etc. Cálculo: A. Quantidade de insumo por veículo. Número de km percorridos. B. Consumo quilométrico X Preço de cada insumo. C. Somatório dos custos quilométricos dos insumos de todos veículos. Obs: Para pneus, tem-se o custo dos pneus/km. D. Pneus/km = N X CN + R X CR VN + R X VR N = Número de rodas. R = Número de recapagens. VN = Vida útil de um pneu novo, em km. VR = ídem, para um pneu recapado. CR = Custo de uma recapagem. CN = Custo de um pneu novo. Obs: Para peças de reposição, os valores totais gastos são divididos pelo número total de km percorridos. 1.2- Custo por hora de operação dos veículos É utilizado para os lubrificantes, fluído hidráulico e peças que foram substituídas. Para se obter este custo, calcula-se: A. Quantidades dos insumos consumidos por veículos. Número de horas de operação. B. Consumo horário X Preço de cada insumo. C. Somatório dos custos horários dos insumos de todos os veículos. Obs: Para peças de reposição, divide-se o valor total gastos pelo número total de horas operadas. 7.5.2 - Custos Unitários Os custos unitários são os custos que irão representar o custo final por uma determinada medida. Estes custos podem ser: Custo por quilométrico, custo por tonelada coletada, custo por pessoa atendida, etc.
  • 74.
    Resíduos Sólidos: Coletae Destinação Final ABES - Francisco Humberto de Carvalho Jr 74 8 – DISPOSIÇÃO FINAL DO LIXO 8.1 - Introdução Existem métodos de tratamento de resíduos sólidos, em seu destino final, e no ponto de vista sanitário e ambiental da seguinte forma: o aterro sanitário, compostagem e a incineração. Atualmente o mais empregado é o aterro sanitário, por se tratar de uma solução mais econômica quando comparada com as demais, apesar de exigir investimentos considerados, por muitos, como caros e de custo operacional elevado. Mesmo com a implantação de um incinerador e da prática da compostagem, as cidades que implantam, consideram útil o aterro sanitário, em função do rejeito que os dois sistemas produzem. 8.2 - Formas de Disposição de Resíduos Sólidos: 8.2.1 - Por Aterramento LIXÃO - "é uma forma inadequada de disposição final de resíduos sólidos, que se caracteriza pela simples descarga sobre o solo, sem medidas de proteção ao meio ambiente ou à saúde pública. O mesmo que descarga de resíduos a céu aberto" (IPT - 1995); ATERRO CONTROLADO - "é uma técnica de disposição de resíduos sólidos urbanos no solo, sem causar danos ou riscos à saúde pública e a segurança, minimizando os impactos ambientais. Esse método utiliza princípios de engenharia para confinar os resíduos sólidos, cobrindo-os com uma camada de material inerte na conclusão de cada jornada de trabalho. Esta forma produz, em geral, poluição localizada, pois similarmente ao aterro sanitário, a extensão da área de disposição é minimizada. Porém, geralmente não se dispõe de impermeabilização de base (comprometendo a qualidade das águas subterrâneas), nem sistemas de tratamento de chorume ou de dispersão dos gases gerados" (IPT - 1995); ATERRO SANITÁRIO - "é um processo utilizado para a disposição de resíduos sólidos no solo - particularmente lixo domiciliar - que, fundamentado em critérios de engenharia e normas operacionais específicas, permite a confinação segura em termos de controle de poluição ambiental e proteção à saúde pública" (IPT-1995); "consiste na técnica de disposição de resíduos sólidos urbanos no solo, sem causar danos ou riscos à saúde e a segurança, Figura 14: Lixão Figura 15: Trincheira de um aterro sanitário
  • 75.
    Resíduos Sólidos: Coletae Destinação Final ABES - Francisco Humberto de Carvalho Jr 75 minimizando os impactos ambientais, método este que utiliza princípios de engenharia para confinar os resíduos sólidos à menor área possível e reduzi-los ao menor volume possível, cobrindo-os com uma camada de terra na conclusão de cada jornada de trabalho ou intervalos menores se necessário (ABNT-1984)". BIOREMEDIAÇÃO - "disposição dos resíduos sólidos em células. Depois de 1 a 2 anos essas células são escavadas e o material todo é peneirado. Em seguidas os recicláveis são separados e o inerte (sobra) retorna à célula como material de recobrimento, pois a mesma célula deverá ser reutilizada para novos depósitos". 8.2.2 - Por Incineração IINCINERADOR - "equipamento de grande porte utilizado para a queima de resíduos de serviços de saúde ou industrial (conforme classe). Os resíduos são expostos a temperatura alta (em média 900ºC). Os compostos orgânicos são reduzidos a seus constituintes mínimos (dióxido de carbono gasoso e vapor d'água) e os resíduos inorgânicos transformam-se em cinzas. A vantagem do sistema é a redução do volume e neutralizar a ação poluidora dos mesmos. Essa combustão acontece numa instalação, usualmente denominada usina de incineração, projetada e construída para este fim. Apesar das vantagens de redução do volume de lixo a ser disposto, da redução do impacto ambiental e da destoxificação, as usinas de incineração apresentam- se como um tratamento que requer elevados custos, tanto de implantação como de operação. No estado do Ceará, há apenas um incinerador, localizado no antigo aterro do Jangurussu (ver fig. 16), em Fortaleza, destinado a tratar os resíduos perigosos. Figura 16 - Centro de Tratamento de Resíduos Perigosos (Fortaleza – CE) 8.2.3 - Por Triagem RECICLAGEM - "seleção de resíduos através de meios manuais e mecânicos. Promover a reutilização dos resíduos, gerar renda e emprego além de aproveitar a parte orgânica em compostos necessários a agricultura, também conhecido como compostagem". Como observou-se, qualquer que seja a escolha do sistema de tratamento de resíduos sólidos domiciliares, caberá ao ATERRO SANITÁRIO receber rejeitos dos
  • 76.
    Resíduos Sólidos: Coletae Destinação Final ABES - Francisco Humberto de Carvalho Jr 76 demais sistemas, o que não impede que se promovam programas redutores de resíduos, tais como a coleta seletiva, por exemplo. Portanto, escolhe-se neste primeiro momento, a construção de um aterro sanitário, sobretudo por apresentar certas vantagens relacionadas ao meio ambiente. A figura 17, segundo MOTA (1997), apresenta uma matriz onde são analisadas interações que direta ou indiretamente afetam o meio ambiente, cujo resultados beneficiaram o empreendimento quanto a saúde pública e o próprio meio. Figura 17 – Matriz de impactos ambientais de um aterro sanitário 8.3 - Classificação de Aterros Sanitários Segundo o GIRS/UFC (1995), os aterros sanitários são classificados de acordo com a forma de sua execução, que varia conforme a região escolhida para sua implantação. Portanto: Aterros em Superfície - implantados em regiões aproximadamente planas, ou a nível, como estuários, pântanos, várzeas, etc., nos quais podemos aplicar os seguintes métodos de operação: método da trincheira; método da escavação progressiva ou método da rampa; e método da área. Aterros em Lagoas - são executados em lagoas abandonadas, resultantes de escavações para extração de areia ou barro de olaria. Os métodos da trincheira e área poderão ser utilizados. Aterros em Depressões e Ondulação - aplicados em grotas profundas ou fundo de vales. Os dois métodos podem ser utilizados. Recomenda-se a canalização, caso haja córregos e nascentes d'água, para que os mesmos não sejam contaminados."
  • 77.
    Resíduos Sólidos: Coletae Destinação Final ABES - Francisco Humberto de Carvalho Jr 77 8.4 - Definições Básicas de: Sumeiro ou Chorume - "líquido produzido pela decomposição de substâncias contidas nos resíduos sólidos, que tem como características a cor escura, o mau cheiro e a elevada DBO (Demanda Bioquímica de Oxigênio)"; Demanda Bioquímica de Oxigênio - "é a quantidade de oxigênio necessária para a decomposição da matéria orgânica, por ação de bactérias aeróbicas. O seu teor pode baixar a um nível que a torna imprópria para a sobrevivência da vida dos peixes, plantas e outros organismos que respiram"; Gás Bioquímico, Gás de Aterro ou Biogás - "mistura de gases produzidos pela ação biológica na matéria orgânica em condições anaeróbias, composta principalmente de dióxido de carbono e metano em composições variáveis"; Percolado - "líquido que passou através de um meio poroso"; 8.5 - Escolha do Modelo de Tratamento dos Resíduos Sólidos (Lixo) Considerando o exposto e a disponibilidade de áreas, além de recursos humanos e financeiros, escolhe-se como forma de destinação final dos resíduos sólidos urbanos, o ATERRO SANITÁRIO. Mesmo assim, convém conhecer as vantagens e desvantagens deste sistema, segundo o GIRS (1995). A saber: VANTAGENS: 1. aceitar qualquer tipo de resíduos sólidos domiciliares (papel, papelão, matéria orgânica, plástico, entre outros de menor representação ); 2. utilizar, na sua execução e operação, equipamentos normalmente utilizados em serviços de terraplanagem, que poderão ser utilizados, de forma temporária, em situações emergenciais; 3. utilizar áreas topograficamente inutilizadas; 4. controlar a proliferação de vetores, tais como ratos e artrópodes; 5. possibilitar também a disposição de lodos, provenientes de estações de tratamento de esgoto ou tanques sépticos. DESVANTAGENS : 1. poderá ser necessário o transporte a longa distância; 2. produção de águas residuárias, principalmente devido à infiltração de águas de chuva no aterro; 3. disponibilidade de material de cobertura em quantidade limitada; 4. possibilidade de poluição do lençol freático; 5. período relativamente longo para a estabilização do aterro; 6. produção de ruídos e poeiras durante a execução do aterro. 8.6 - O Projeto de Aterro Sanitário 8.6.1 - Definição de Parâmetros
  • 78.
    Resíduos Sólidos: Coletae Destinação Final ABES - Francisco Humberto de Carvalho Jr 78 Para a escolha de um espaço físico necessário à implantação de um aterro sanitário, independente de sua infra-estrutura, deve-se observar alguns parâmetros, lembrando que a escolha de três áreas é sempre viável, para a aprovação pelo órgão ambiental. Considerando que houve aprovação de uma das alternativas, a mesma deverá apresentar: i. vida útil do aterro sanitário compatível ao volume de lixo gerado; ii. considerar localização mínima de 10 km do centro urbano; iii. considerar localização do futuro aterro sanitário a jusante do centro urbano. iv. a cidade não pode sofrer possível interferência do aterro sanitário em função da influência dos ventos; assim, recomenda-se observar a direção dos ventos; v. viabilizar área em terreno plano a suavemente ondulado; vi. evitar área acidentada e próxima de recursos hídricos. O ideal seria uma distância mínima de 200 metros para qualquer recurso hídrico, e no caso de manancial de abastecimento humano, no mínimo 500 m; vii. priorizar área antropizada ( utilizada para a prática agrícola e/ou uso do recurso florestal); viii. realizar testes de sondagens; ix. deve-se evitar áreas com lençol freático alto (mínimo de 3m); x. quando da utilização do método da trincheira, preservar a distância mínima de 3 metros do lençol freático; xi. localizar-se em áreas com solos que apresentem baixo nível de permeabilidade; xii. fácil acesso à área e possibilidade de expansão, para implantação de usina de triagem, armazenamento de recicláveis, expansão do próprio aterro sanitário; xiii. realizar teste de sondagens, visando conhecer a geologia do local, altura do lençol freático, afloramento de rochas, profundidade média para abertura das células; xiv.verificar a existência de recursos hídricos e identificar em planta de situação e, xv. conversar com moradores próximos, visando conhecer a história da região. 8.6.2 - Escolha da Área A escolha da área deverá levar em consideração os seguintes parâmetros: geologia e geotecnia; pedológicos; hidrogeologia; climatologia; relevo; permeabilidade do solo; altura do lençol freático; direção dos ventos; topografia (planimetria); acessibilidade; pluviometria e evapotranspiração. Considerando o que foi determinado acima e que houve aprovação por parte do órgão ambiental entre outras alternativas apresentadas, deve-se observar os passos seguintes: 8.6.3 - Dimensionamento da Área do Aterro Sanitário Dados Técnicos: I - lixo domiciliar
  • 79.
    Resíduos Sólidos: Coletae Destinação Final ABES - Francisco Humberto de Carvalho Jr 79 População atual estimada = 45.020 habitantes, para efeito de exemplo. Taxa de crescimento = 3% Lixo Tipo A (domiciliar) = 0,65 kg/hab Peso específico (sem compactação) = 0,273 ton/m3 (p.e.) Grau de compactação (1:3) = 3 (g.c.) Dias úteis = 365 dias Vida útil do aterro: 20 anos Obtém-se a quantidade total de lixo domiciliar a ser depositado no aterro, como indicado no quadro 4: Quadro 4 – Quantidade total de lixo domiciliar a ser depositado no aterro ANO POPULAÇÃO LIXO GERADO POR DIA (T/DIA) LIXO GERADO/ANO LIXOACUMULADO(1) 1 45.020,00 29,26 10.681,00 10.681,00 2 46.370,60 30,14 11.001,42 21.682,42 3 47.761,72 31,05 11.331,47 33.013,89 4 49.194,57 31,98 11.671,41 44.666,30 5 50.670,41 32,94 12.021,55 56.706,85 6 52.190,52 33,92 12.382,20 69.069,05 7 53.756,23 34,94 12.753,67 81.842,72 8 56.368,92 35,99 13.136,28 94.979,00 9 57.029,99 37,07 13.530,36 108.509,36 10 58.740,89 38,18 13.936,28 122.445,64 11 60.503,12 39,33 14.354,36 136.800,00 12 62.318,21 40,51 14.785,00 151.585,00 13 64.187,76 41,72 15.228,54 166.813,54 14 66.113,39 42,97 15.685,40 182.498,94 15 68.09679 44,26 16.155,96 198.664,91 16 70.139,69 45,59 16.640,64 215.295,55 17 72.243,88 46,96 17.139,86 232.435,41 18 74.411,20 48,37 17.654,06 250.089,47 19 76.643,54 49,82 18.183,68 268.273,15 20 78.942,84 51,31 18.729,19 287.002,34 21 81.311,13 52,85 19.291,07 306.293,40 Total de lixo gerado: 306.393,401 toneladas Volume de lixo domiciliar (ton/p.e.* g.c.) = 373.984,62 m3 II - lixos diversos População estimada = 45.020 habitantes Taxa de crescimento = 3% Lixo Tipo B = 0,35 kg/hab Peso específico (com compactação) = 1,22 ton/m3 Dias úteis = 365 dias Total de lixo gerado: 164.927,22 toneladas Volume de lixo domiciliar (ton/p.e.) = 135.186,24 m3 No Quadro 5, determina-se a quantidade de outros resíduos a ser depositado no aterro. Quadro 5 – Quantidade de outros resíduos a ser depositado no aterro ANO POPULAÇÃO LIXO GERADO POR LIXO GERADO/ANO LIXOACUMULADO(1)
  • 80.
    Resíduos Sólidos: Coletae Destinação Final ABES - Francisco Humberto de Carvalho Jr 80 DIA (T/DIA) 1 45.020,00 15,76 5.751,31 5.751,31 2 46.370,60 16,23 5.923,84 11.675,15 3 47.761,72 16,72 6.101,56 17.776,71 4 49.194,57 17,22 6.284,61 24.061,31 5 50.670,41 17,73 6.473,14 30.534,46 6 52.190,52 18,27 6.667,34 37.201,80 7 53.756,23 18,81 6.867,36 44.069,16 8 56.368,92 19,38 7.073,38 51.142,54 9 57.029,99 19,96 7.285,58 58.428,12 10 58.740,89 20,56 7.504,15 65.932,27 11 60.503,12 21,18 7.729,27 73.661,54 12 62.318,21 21,81 7.961,15 81.622,69 13 64.187,76 22,47 8.199,99 89.822,68 14 66.113,39 23,14 8.445,99 98.268,66 15 68.09679 23,83 8.699,36 106.968,03 16 70.139,69 24,55 8.960,35 115.928,37 17 72.243,88 25,29 9.229,16 125.157,53 18 74.411,20 26,04 9.506,03 134.663,56 19 76.643,54 26,83 9.791,21 144.454,77 20 78.942,84 27,63 10.084,95 154.539,72 21 81.311,13 28,46 10.387,50 164.927,22 Resultados: Total de lixo tipo A = 373.984,62 m3 Total de lixo tipo B = 135.186,24 m3 VOLUME TOTAL = 509.170,86 m3 Volume de recobrimento (20%) = 101.834,17 m3 Volume Geral = 611.005,03 M3 8.6.4 - Cálculos para Determinação do Total de ha e Trincheiras Volume geral / profundidade de escavação(4) = 15,27 ha. Se utilizar os dois métodos, dividir por (8) 7,63 ha Dimensão de uma trincheira: 50 m x 70 m = 3.500 m² Dimensão de uma trincheira: 0,35 hectares Volume = 50 m x 70 m x 8 m = 28.000 m³ Uma trincheiras = 28.000,00 m³ X trincheira = 611.005,05 m³ Total de trincheiras = 21,83, (22) ocupando 7,63ha 8.6.5 - Identificação e Utilização da Área Considerando a área indicada em torno de 9,63 ha, sugere-se a seguinte ocupação: Área total ..................................................... 9,63 ha Área útil ( disposição de lixo ) ...................... 7,63 ha Reserva legal ( 20% ) ................................... 1,92 ha Área livre ( 9,55 % ) ...................................... 0,08 ha 8.6.6 - Infra-Estrutura Básica Para este Aterro Sanitário, sugerimos:
  • 81.
    Resíduos Sólidos: Coletae Destinação Final ABES - Francisco Humberto de Carvalho Jr 81 Cerca de proteção em todo o perímetro; Construção de uma guarita na entrada do aterro sanitário; A guarita deverá ter: duas salas, dois birôs, uma estante e uma mesa redonda com quatro cadeiras para eventuais reuniões técnicas. O acompanhamento das medições deverá ser feito neste aterro sanitário e digitado na secretaria municipal responsável; Definição da via interna de acesso (a pavimentação deverá ser em terreno natural definido através de terraplanagem); 8.7 - Sistema Operacional 8.7.1 - Abertura de uma Trincheira A ocupação da área útil de um Aterro Sanitário é processada, basicamente pelo Método da Trincheira combinado, nas áreas de topografia mais baixa com o Método da Área. A combinação dos dois métodos se dá pela necessidade da superposição de 1 (uma) camada de lixo em todas as células. O desmatamento e escavações serão realizados a partir de determinadas trincheiras, sempre de acordo com o projeto original. A escavação das trincheiras é executada por um trator com esteiras que, ao cortar a terra, acumula este material em área vizinha (que não seja o setor da próxima trincheira), para utilização do mesmo, no recobrimento do lixo compactado. As profundidades das escavações das trincheiras serão variadas, pois, de acordo com o estudo de sondagem considerado, poderão ser encontrados solos com afloramento de rochas. As profundidades poderão variar de 2,00 metros a 5,00 metros. A escavação das trincheiras será executada até encontrar material resistente ao trabalho do trator. Definida a área e os parâmetros acima, o processo de abertura de uma trincheira dar-se-á pela utilização de um trator com esteira ou retro-escavadeira, além de uma pá mecânica e o apoio de um caminhão caçamba. Para este tipo de aterro, a abertura de trincheiras deverá estar de acordo com a planta planialtimétrica e a definição do número de células e uma seqüência lógica de escavação. Realiza-se a escavação a partir de um ponto mais alto em direção a um ponto mais baixo. Após escavação, executar terraplanagem no fundo da trincheira de modo que haja uma inclinação de 1% em direção ao centro da trincheira e de 1% em direção ao ponto de coleta do chorume na área central, ou seja, na parte baixa da trincheira. Após, implantar os drenos horizontais e verticais (um dreno central único com poço coletor colocado no final do dreno para a captação do chorume e colocação de drenos verticais para a exalação de gases. Por ocasião da construção das valas, sugere- se um dreno horizontal (60 cm x 60 cm) e um dreno vertical, colocado no centro da célula, em cima deste mesmo dreno horizontal.
  • 82.
    Resíduos Sólidos: Coletae Destinação Final ABES - Francisco Humberto de Carvalho Jr 82 Importante: a utilização de máquinas pesadas será feita para a abertura das trincheiras e devidamente acompanhada por técnico habilitado, de acordo com o projeto e recomendações necessárias. 8.7.2 - Método da Trincheira Serão utilizadas trincheiras com dimensões previamente estabelecidas, com drenos horizontais e verticais. Não deverá ser permitida a ausência de qualquer um destes elementos, sob o risco de comprometer o sistema proposto. 8.7.3 - Método da Área Após o preenchimento das células, é implantado o método da área. As células com lixo deverão serem executadas com caimento que permitam o rápido escoamento das águas pluviais. A altura máxima da célula de lixo varia de acordo com o aterro. Após atingir a cota máxima pelo método da área, a célula deverá ser selada com material impermeável. Deverá também estar executada com uma inclinação de 2% para escoamento das águas pluviais. 8.7.4 - Controle do Chorume e Gases CHORUME - Implantam-se drenos longitudinais no fundo da trincheira, com valas de 40 cm x 40 cm, preenchidas com brita Nº 04. Os drenos deverão apresentar declividade mínima em torno de 1%. A distância entre os drenos será de 15m, na forma de espinha de peixe (dependendo da dimensão da trincheira). Pelo que está sendo proposto, sugere-se um dreno único, em função do pouco espaço físico. GASES - Implantam-se drenos verticais de tubos de concreto premoldado perfurados, coincidindo com a vala de drenagem e o centro da trincheira. 8.7.5 - Controle do Chorume O chorume, quando produzido, deverá ser transbordado para o poço (tubo de concreto) coletor central ou irrigado por toda extensão da trincheira. O tubo de concreto deverá estar impermeabilizado de modo que possa acumular o suficiente para que uma bomba de sucção possa promover o retorno para o outro tubo, utilizado para exalação de gases, e assim, provocar nova infiltração. 8.7.6 - Operação Diária (descarrego, espalhamento, compactação e recobrimento) O lixo deverá ser descarregado na trincheira, em célula específica e em seguida espalhado e compactado por um trator com esteiras (que deverá passar por cima do lixo de 3 a 4 vezes até atingir o índice de 0,8 t/m²) e ser recoberto com o material de escavação. Aterro sanitário pelo método da trincheira
  • 83.
    Resíduos Sólidos: Coletae Destinação Final ABES - Francisco Humberto de Carvalho Jr 83 O lixo compactado não poderá passar mais de 24 horas sem o referido recobrimento. A camada de recobrimento deverá ficar entre 15 a 20cm. Quando as camadas de lixo, pelo método da trincheira, atingem o terreno natural, deve-se continuar a mesma sistemática de descarrego, espalhamento e recobrimento utilizado pelo método da trincheira, mas com o cuidado de proteger os beirais (futuros taludes). 8.8 - Considerações Finais 8.8.1 - Caracterização do Lixo X Peso Específico Adotado O lixo a ser vazado no Aterro Sanitário deverá estar enquadrado em 2 tipos: LIXO TIPO A - proveniente da coleta domiciliar, LIXO TIPO B - proveniente do comercio, de mercados, feiras, supermercados, capinação e raspagem de coxias. Adotou-se, como média, os seguintes pesos específicos: LIXO TIPO A - 273 kg/m³ LIXO TIPO B - 1,22 ton/m³ ou 1.220kg/m³ Obs: O lixo hospitalar deverá ser coletado de forma separada e construído uma vala especial para este fim. Este lixo, por sua vez, não deverá ser compactado, porém, coberto imediatamente ao seu descarrego. 8.8.2 - Sistema de Pesagem e Horário de Recebimento do Lixo Alguns aterros sanitários poderão dispor de balanças rodoviárias, com capacidade de 60 a 80 toneladas, equipadas com terminais computadorizados que processão relatórios de acordo com as necessidades exigidas. Todo veículo é cadastrado, com nome do proprietário, nº da placa, peso da tara com um motorista e logo após batizado com um número código. A medição deverá ser feita pela capacidade do veículo transportador de lixo, ou seja, pela cubagem, pois o volume diário de lixo é muito pequeno para que haja um investimento desta natureza. Havendo balança, a pesagem deverá ser feita na entrada e na saída (no caso de adquirir a balança). Não havendo a balança, deverão ser consideradas as cubagens dos caminhões que serão comparadas ao peso de cadastro. Será registrada a hora de entrada, hora de saída, o peso, e o número do veículo, que no final de cada dia darão origem a um relatório, que se destinará aos órgãos envolvidos no sistema da coleta. Neste exemplo considerar a existência de uma balança. Sem a balança, as medições deverão ser realizadas na guarita de entrada, pelo responsável pelo aterro sanitário. O horário do Aterro Sanitário deverá ser: de segunda a sexta, das 8:00h às 12:00h e das 13:00h às 17:00h; e aos sábados das 8:00h às 12:00 h. 8.8.3 - Operação em Períodos de Chuvas
  • 84.
    Resíduos Sólidos: Coletae Destinação Final ABES - Francisco Humberto de Carvalho Jr 84 Em períodos de chuva, os acessos e locais de descarga deverão ser mantidos em perfeitas condições de tráfego. Para épocas de chuvas, deverá ser previsto volume necessário de terra em estoque para o recobrimento diário do lixo. Em período de chuva, onde a trincheira estiver acumulando muita água, deverão ser utilizadas bombas para o recalque destas águas pluviais. 8.8.4 - Vigilância e Sinalização A vigilância será a responsável pelo patrimônio do Aterro, 24 horas por dia. Qualquer acesso só será permitido após identificação na guarita da entrada, com protocolo. Deverá haver sempre um porteiro para controlar este acesso. A vigilância é a responsável para evitar a entrada de pessoas estranhas, catadores, como também a entrada de animais. No período noturno, um vigia poderá executar essa tarefa de preservar o patrimônio. A vigilância deverá ser a responsável por todos os equipamentos instalados nos Aterros Sanitários. 8.8.5 - Conservação e Manutenção Deverá ser executadas a conservação e manutenção das instalações físicas existentes: deverá ser mantida, permanentemente, uma faixa de passeio de 3,0m ao longo da via de acesso interno, e uma faixa de 6,0m em torno da cerca de proteção, sendo 3,0m da cerca para fora dos limites do Aterro, e 3,0m da cerca para dentro do Aterro. 8.8.6 - Monitoramento das Águas Subterrâneas, dos Líquidos Percolados e Chorume Deverá ser feito o monitoramento do chorume, líquidos percolados e das águas subterrâneas, com ensaio fisico-químico e bacteriológico, de forma semestral, sobretudo no período invernoso. 8.9 - Conclusão Lembra-se que todas estas recomendações poderão ser ajustadas de acordo com novas concepções e tecnologias adotadas e, em momento algum, deverá substituir um projeto executivo completo. Caberá ao projetista otimizar a concepção e custos, de modo a oferecer a prefeitura municipal, condições especiais para operacionalizar os aterros propostos. O licenciamento do aterro sanitário, por parte do órgão ambiental, deverá existir, porém algumas exigências deverão ser amenizadas. Como exemplo, um aterro sanitário completo, para uma cidade acima de 100.000 habitantes, não poderá ter as mesmas condições para uma sede municipal ou distrito com essa faixa de habitantes. 8.10 – Figuras
  • 85.
    Resíduos Sólidos: Coletae Destinação Final ABES - Francisco Humberto de Carvalho Jr 85 Figura 18 – Abertura de trincheiras Figura 19 – Fase de operação
  • 86.
    Resíduos Sólidos: Coletae Destinação Final ABES - Francisco Humberto de Carvalho Jr 86 Figura 20 – Fase de operação (1 a 7) 6 7 5 4 3 2 1
  • 87.
    Resíduos Sólidos: Coletae Destinação Final ABES - Francisco Humberto de Carvalho Jr 87 Figura 21 – Fase de operação – Método da trincheira Figura 22 – Fase de operação – Método da área Figura 23 – Distribuição dos tubos na trincheira Figura 24 – gases
  • 88.
    Resíduos Sólidos: Coletae Destinação Final ABES - Francisco Humberto de Carvalho Jr 88 8.11 - Licenciamento de Projetos Primeiro passo LICENÇA PRÉVIA a considerar: ä condições de acesso ä localização ä recursos hídricos ä topografia ä geologia ä pedologia ä climatologia - pluviometria ä área total disponível ä pesquisa: residências, industrias, plano diretor ä legalização da área (APA, AE, APM, etc.) ä projeção de vida útil ( quadro populacional x lixo gerado ) ( período ideal: 20 anos ) Elaboração do Documento: Estudo de Áreas Disponíveis para a Implantação de um Aterro Sanitário Parecer do órgão ambiental aprovando a área compra do terreno Segundo passo LICENÇA DE INSTALAÇÃO ä Capa (com logotipo do município) ä apresentação ä introdução ä localização e acesso ä justificativa técnica ä projeção populacional x volume de lixo gerado ä peso específico ä cálculo da utilização da área ä sistema operacional (concepção e sistema operacional) ä dimensionamento de pessoal e de equipamentos ä estudos complementares (coleta e tratamento do chorume, recirculação,estação elevatória, poços, lagoas de estabilização) ä projetos executivos: arquitetura, instalações elétricas e hidro sanitárias, sistema viário, paisagismo, drenagem, arborização, outros) ä topografia, sondagens, teste de permeabilização ä modelo de gestão ( dimensionamento de custos mensais, pessoal e equipamentos ) ä bibliografia ä equipe técnica ä A.R.T’s. ä ANEXOS : ä documentação fotográfica ä plantas ä planilhas ( custos de implantação e dos equipamentos - tratores, caçambas ) ä comprovante da compra da área ä definir forma de gerenciamento: concessão ou administração direta (Prefeitura Municipal)
  • 89.
    Resíduos Sólidos: Coletae Destinação Final ABES - Francisco Humberto de Carvalho Jr 89 Terceiro passo LICENÇA DE OPERAÇÃO Observar: ä condicionantes da licença de instalação ä cumprimento integral das especificações ä verificar condições dos equipamentos ä treinamento de pessoal ä procedimentos administrativos ä revisão geral Treinamento Operacional da Equipe de Gerenciamento Se: Administração Direta (Prefeitura) Instalação da Equipe da Concessionária Se: Concessão
  • 90.
    Resíduos Sólidos: Coletae Destinação Final ABES - Francisco Humberto de Carvalho Jr 90 9 - TRATAMENTO Após as melhorias na coleta do lixo e na sua destinação final, ficam mais claras as vantagens das ações que visam reduzir a quantidade e periculosidade do material a ser aterrado. Estas ações são chamadas de tratamento. As vantagens são de ordem ambiental e econômica. No caso de benefícios econômicos, a redução de custos com a disposição final é a vantagem econômica que mais se sobressai. A necessidade de tratamento do lixo surge devido aos seguintes fatores: • escassez de áreas para a destinação final do lixo; • disputa pelo uso das áreas remanescentes com as populações da periferia; • valorização dos componentes do lixo como forma de promover a conservação de recursos; • inertização de resíduos sépticos. Na figura 25, indicam-se diversas formas de tratamento dos resíduos, a partir de uma usina de Reciclagem. Figura 25 – Formas de tratamento dos resíduos Os tratamentos do lixo se implantam, perduram e se aperfeiçoam quando respondem igualmente a claras metas econômicas e ambientais. Em primeira e decisiva instância, os tratamentos objetivam redução dos volumes aterrados e mudanças na composição do lixo a ser disposto, resultando, assim, em reduções contabilizáveis dos custos de disposição em aterros sanitários. Salvo exceção, os retornos financeiros diretos (venda de recicláveis, matéria orgânica ou mesmo energia) abatem apenas parte dos desembolsos com tratamento (instalação e operação). Independente do(s) tratamento(s) escolhido(s) sempre sobrará um resíduo que deverá ter uma disposição final em aterro. CEMPRE(1995) USINA DE RECICLAGEM LIXO REJEITO – LIXO MESMO COMPOSTO ORGÂNICO - ADUBO COLETA SELETIVA INDÚSTRIA A INDÚSTRIA B INDÚSTRIA C
  • 91.
    Resíduos Sólidos: Coletae Destinação Final ABES - Francisco Humberto de Carvalho Jr 91 Reciclagem: é o resultado de uma série de atividades através da qual materiais que se tornariam lixo, ou estão no lixo, são desviados, sendo coletados, separados e processados para serem usados como matéria-prima na manufatura de bens, feitos anteriormente apenas com matéria-prima virgem. Benefícios da Reciclagem: • Diminui a quantidade de lixo a ser enterrado (conseqüentemente aumenta a vida útil dos aterros sanitários); • preserva os recursos naturais; • economiza energia; • diminui a poluição do ar e das águas; • gera empregos, através da criação de indústrias recicladoras. CEMPRE(1995) 9.1 – Segregação de Materiais e Reciclagem A segregação de materiais do lixo tem como objetivo principal a reciclagem de seus componentes. Ao optar pela segregação para reciclagem, a prefeitura pode adotar um dos seguintes processos de triagem dos materiais: • Separação dos materiais na fonte, pelo gerador com posterior coleta seletiva e envio à usina de triagem; • Separação dos materiais após a coleta e transporte, na usina de triagem. Alguns controles são necessários para o monitoramento da coleta e da comercialização do material reciclável: • Quantidade total coletada diariamente; • Quantidade de material estocado; • Quantidade de material vendido; • Quantidade de rejeito; • Total de horas de trabalho dos caminhões; • Total de quilômetros rodados; • Consumo de combustível. A operação da coleta seletiva poderá ser: • Domiciliar, através de coleta porta a porta, em que os resíduos recicláveis são coletados diretamente nas casas, por pessoal credenciado, utilizando-se de carrinhos de movimentação manual, e levados a seguir para o centro de triagem; • Através de Postos de Entrega Voluntária (PEVs), consistindo de coletores de diferentes cores, instalados em pontos estratégicos onda a população possa levar os materiais previamente segregados; • Através da coleta de grandes geradores, na qual os próprios geradores deverão providenciar o destino desse material diretamente ao centro de triagem ou negociar seu recolhimento de acordo com o projeto que vier a ser implantado.
  • 92.
    Resíduos Sólidos: Coletae Destinação Final ABES - Francisco Humberto de Carvalho Jr 92 A separação dos resíduos para fins de reciclagem pode ser realizada selecionando-se, através de triagem, os materiais que serão reciclados ou destinados a outro tipo de reaproveitamento: Ver figura 26. • Papel e papelão; • Plástico; • Vidro; • Metais; • Matéria orgânica. A reciclagem, no entanto, não pode ser vista como a principal solução para o lixo. É uma atividade econômica que deve ser encarada como um elemento dentro de um conjunto de soluções. Estas são integradas no gerenciamento, já que nem todos os materiais são técnica ou economicamente recicláveis. A separação de materiais do lixo aumenta a oferta de materiais recicláveis. Entretanto, se não houver demanda por parte da sociedade, de produtos reciclados, o processo é interrompido, os materiais abarrotam os depósitos, e por fim, são aterrados ou incinerados como rejeitos. Figura 26 – Separação dos resíduos para fins de reciclagem
  • 93.
    Resíduos Sólidos: Coletae Destinação Final ABES - Francisco Humberto de Carvalho Jr 93 Vantagens da Compostagem: • economia de aterro; • aproveitamento agrícola da matéria orgânica; • reciclagem de nutrientes para o solo; • processo ambientalmente seguro; • eliminação de patógenos. CEMPRE (1995) Na figura 27 mostra-se um galpão com bancada de triagem, a ser usado em instalações de cotação de pequeno porte. Figura 27 - Galpão de triagem com mesa de catação 9.2 – Compostagem Dá-se o nome de compostagem ao processo biológico de decomposição da matéria orgânica contida em restos de origem animal ou vegetal. Este processo tem como resultado final um produto que pode ser aplicado ao solo para melhorar suas características, sem ocasionar riscos ao meio ambiente. Há muito tempo, a compostagem é praticada no meio rural utilizando-se de restos vegetais e esterco animal. Pode-se, também, utilizar a fração orgânica do lixo domiciliar, desde que de forma controlada, em instalações chamada usinas de triagem e compostagem. No contexto brasileiro, a compostagem tem grande importância, já que cerca de 50% do lixo municipal é constituído por matéria orgânica. Na figura 28 apresenta-se um pátio de compostagem. Figura 28 - Pátio de compostagem Segregar sem mercado é enterrar separado. CEMPRE(1995)
  • 94.
    Resíduos Sólidos: Coletae Destinação Final ABES - Francisco Humberto de Carvalho Jr 94 A coleta seletiva representa um processo de valorização dos resíduos, na qual estes são selecionados e classificados na própria fonte geradora, visando seu reaproveitamento e reintrodução no ciclo produtivo. Entre as principais contribuições de reciclagem destacam-se a economia de matérias - primas e energia, o combate ao desperdício e a redução da poluição ambiental. Ao invés de simplesmente eliminar os resíduos, passa-se a valorizá-los, reciclá-los. A prática da coleta seletiva reveste de forte conteúdo comunitário. Seu potencial transforma e recomenda como um exercício cotidiano de solidariedade entre as pessoas. Ë na educação e adesão da população que reside seu principal triunfo. Respeitar, portanto, o tempo de maturação de cada experiência, para que as condições de reprodução se realizem, é imprescindível. Pôr outro lado, nesta sociedade de modismos, atentar para os riscos de um uso indevido e mitificador da prática avançada da coleta seletiva é preciso e urgente. Neste sentido, deve-se observar que a questão dos resíduos urbanos não se encerra nesta modalidade de coleta, bem como a renda aí gerada pôr si só não solucionará os graves problemas sociais. A coleta seletiva não é panacéia para os males ambientais da sociedade contemporânea. O seu exercício representa uma contribuição para a melhoria ambiental e a afirmação de cidadania. ( 1 ). ( 1 ) Adler, Roberto R. O lixo nosso de cada dia. Jornal do Brasil, pg. 11, edição de 16.07.1991. 10 – PLANO DE GERENCIAMENTO INTEGRADO DE RESÍDUOS SÓLIDOS 10.1 – Conceito Segundo definição do Ministério do Meio Ambiente, o Plano de Gerenciamento Integrado de Resíduos Sólidos (ou Plano de Gestão de Resíduos Sólidos) é o “documento que apresenta um levantamento da situação atual do sistema de limpeza urbana, com pré-seleção das alternativas mais viáveis com o estabelecimento de ações integradas e diretrizes sob os aspectos ambientais, econômicos, financeiros, administrativos, técnicos, sociais e legais para todas as fases da gestão dos resíduos sólidos, desde a sua geração até a destinação final".
  • 95.
    Resíduos Sólidos: Coletae Destinação Final ABES - Francisco Humberto de Carvalho Jr 95 10.2 – Escopo Básico do Plano de Gerenciamento Integrado de Resíduos Sólidos Basicamente, a elaboração do Plano de Gerenciamento Integrado de Resíduos Sólidos de um município divide-se em duas fases: 1. Diagnóstico da situação atual dos serviços; 2. Proposições das ações para o gerenciamento. 10.2.1 – Diagnóstico Nesta fase, deverá ser realizado um trabalho de pesquisa e levantamento de dados que, analisados, constituirão o diagnóstico da situação atual do município e dos serviços de limpeza urbana. Deverão ser abordados os seguintes itens: • Caracterização do município Serão apresentadas informações sintéticas dos aspectos físicos, ambientais, sócio-econômicos, estrutura urbana e infra-estrutura do município. • Caracterização dos resíduos Deverão ser fornecidos dados relativos à quantidade de lixo gerado e à composição média percentual dos diversos tipos de lixo (papel, plástico, papelão, vidro, metais, matéria orgânica etc.). • Aspectos legais Levantamento e análise das disposições legais existentes (leis, normas, regulamentações etc.). • Estrutura administrativa Identificação da estrutura organizacional atual dos serviços de limpeza e respectivos recursos humanos (especificando número de funcionários por função, inclusive aqueles terceirizados). • Estrutura operacional Deverá ser feita a identificação e a análise da atual estrutura operacional do sistema, a partir do levantamento dos seguintes itens: serviços prestados pela coleta regular (lixo domiciliar, comercial, de saúde e outros); serviços de varrição, capina e limpeza; serviços de coleta especial (caçambas estacionárias, resíduos de feiras, entulho de obras e outros); estabelecimentos que se caracterizam como grandes produtores individuais de resíduos sólidos urbanos; locais de distribuição final de resíduos sólidos oriundos de grandes produtores e vazadouros de lixo domiciliar existentes no município; infra-estrutura física instalada para prestação de serviço de limpeza urbana; frota de veículos e máquinas utilizada para prestação de cada tipo de serviço executado; procedimentos adotados para atendimento ao público.
  • 96.
    Resíduos Sólidos: Coletae Destinação Final ABES - Francisco Humberto de Carvalho Jr 96 • Aspectos sociais Deverão ser apresentadas informações relacionadas à existência de catadores no lixão ou nas ruas (quantidade de famílias, associações ou cooperativas, trabalho infantil, materiais vendido e local de venda, intermediários, dentre outras). • Estrutura financeira Levantamento e análise da atual estrutura financeira relativa aos serviços de limpeza urbana do município, abordando as seguintes questões: remuneração e custeio (levantamento da estrutura de receita e despesas da prefeitura); investimentos (levantamento dos investimentos feitos na ampliação da infra-estrutura instalada); controle de custos (levantamento dos procedimentos relativos ao controle de custos, à fiscalização e às medições, dentre outros). 10.2.2 – Proposições De acordo com o Ministério do Meio Ambiente, deverão ser propostas soluções para o equacionamento dos problemas levantados pelo diagnóstico, de acordo com as seguintes diretrizes: As propostas deverão ser articuladas intersetorialmente; O sistema de limpeza urbana deverá privilegiar soluções voltadas para a minimização da geração, da segregação e a redução do volume dos resíduos sólidos gerados, visando ampliar a vida útil do aterro sanitário; As propostas elaboradas deverão definir a origem dos recursos necessários para a manutenção e operação do tratamento e da disposição final. Os itens constantes desta fase são descritos a seguir: • Forma de execução dos serviços Deverá ser elaborada uma avaliação, com ênfase nos aspectos operacionais e financeiros, das vantagens e desvantagens encontradas na forma de execução dos serviços (direta, indireta, terceirizada ou concedida, total ou parcial) que vierem a ser propostos. Serão observadas: coleta de lixo domiciliar e comercial; coleta dos resíduos sólidos dos serviços de saúde; coleta de resíduos especiais; coleta do lixo com uso de caçambas estacionárias; varrição e limpeza (capina, roçada, raspagem, etc.) de vias e logradouros públicos; operação do aterro sanitário e das demais unidades destinadas à recepção, triagem, e tratamento de resíduos reaproveitáveis (recicláveis ou compostáveis). Uma vez definida a forma mais vantajosa de execução dos serviços, deverão ser apresentadas proposições relativas à administração dos mesmos, indicando, se for o caso, a necessidade de realização de estudos complementares para introduzir modificações organizacionais e legais para efetivar as soluções propostas.
  • 97.
    Resíduos Sólidos: Coletae Destinação Final ABES - Francisco Humberto de Carvalho Jr 97 • Estrutura operacional Aqui são apresentadas propostas relativas ao acondicionamento, à coleta do lixo domiciliar/comercial e de resíduos especiais; à limpeza urbana; ao tratamento e destinação final do lixo e aos equipamentos de apoio operacional, abordando os seguintes aspectos: Acondicionamento: proposição de sistema diferenciado, desde a fonte até o ponto de coleta para cada categoria (domiciliar/comercial, saúde, entulho e outros). Coleta: proposição de sistema compreendendo o dimensionamento do quadro de pessoal, a adequação da frota e de equipamentos, planos de coleta (freqüência, horários, itinerários e setores), fardamento, equipamentos de proteção individual e dos sistemas de fiscalização e controle. Limpeza pública: proposição de sistema de limpeza pública, compreendendo varrição de vias e logradouros públicos; adequação da frota e de outros equipamentos; sistemas de fiscalização e controle; dimensionamento das equipes; limpeza de dispositivos de drenagem de águas pluviais (bueiros e bocas de lobo); além de outros serviços como capina, raspagem e roçada. Tratamento e disposição final de resíduos sólidos urbanos: proposição de alternativas mais viáveis de áreas para destinação final de lixo urbano (aterro sanitário), como também para a minimização da geração, da segregação e a redução do volume dos resíduos sólidos gerados, visando ampliar a vida útil do aterro sanitário, ou a sua recuperação, no caso de ser efetivamente viável, no contexto local/regional, de sua parcela reaproveitável, por meio dos procedimentos de reciclagem ou compostagem; Instalações de apoio operacional: localização e pré-dimensionamento das edificações ou instalações de apoio operacional, tais como oficinas, garagens, sedes distritais (se for o caso) e pontos de apoio para serviços de varrição (se for o caso). • Aspectos organizacionais Apresentação da proposta de estrutura organizacional para a forma selecionada de execução dos serviços, contemplando organograma funcional, competência dos diversos órgãos e dimensionamento de pessoal. Deverão ser definidos os instrumentos que viabilizem a participação social/controle social dentro da estrutura organizacional do sistema. • Aspectos legais Deverá ser elaborada uma avaliação do instrumental jurídico existente e indicação de modificações, adaptações ou complementações que se fizerem necessárias, de forma a oferecer o suporte legal adequado ao bom funcionamento do serviço de limpeza pública. • Remuneração e custeio Consiste na apresentação de um plano de custeio dos serviços de limpeza, compatibilizado com as formas legais de arrecadação existentes (taxas, prestação de
  • 98.
    Resíduos Sólidos: Coletae Destinação Final ABES - Francisco Humberto de Carvalho Jr 98 serviços a preços públicos) ou propostas de arrecadação e remuneração dos serviços a partir dos dados levantados, com o objetivo de garantir a sustentabilidade do sistema. Deverá ainda ser realizado um estudo de viabilidade econômica para a comercialização do material reciclável e do composto gerado, se for o caso, que comprove a geração de benefícios sociais e econômicos à comunidade. • Plano Social Apresentar proposta de inserção social para as famílias de catadores dos lixões ou das vias públicas, incluindo programa de ressocialização para crianças e adolescentes, garantindo meios para que essas passem a freqüentar as escolas. O Plano Social deve envolver os grupos sociais afetados e a comunidade interessada em apoiá-los, identificando sua participação no processo de solução do problema. Apresentar proposta de inserção social para as famílias de catadores de lixões ou vias públicas constando plano de formação e capacitação dos catadores que leve em conta: gerenciamento dos resíduos sólidos, educação ambiental, mercado dos recicláveis, cooperativismo, higiene, relações humanas, administração. Apresentar proposta para gestão do galpão de triagem. Apresentar Programa de ressocialização de crianças e adolescentes garantindo escola, creche e alternativas sócio-educativas-culturais e de lazer. Apresentar ações de Mobilização Social integrando catadores, ONG’s, escolas, igrejas e outros Apresentar nomes de instituições parceiras que irão se engajar no desenvolvimento do Plano Social. • Programa de Educação Ambiental A educação ambiental não é simplesmente conhecer a natureza ou os aspectos relacionados com a conservação e o manejo dos recursos que ela contém, mas é a maneira como o homem influi e é influenciado pelo meio ambiente, é fazer com que cada pessoa perceba-se como um ser social e parte do grande ecossistema que é a Terra, o que exige uma relação social e ecológica responsável e compromissada com as gerações futuras.
  • 99.
    Resíduos Sólidos: Coletae Destinação Final ABES - Francisco Humberto de Carvalho Jr 99 A educação ambiental deverá ser implementada com ações conjuntas entre a prefeitura e a comunidade, ficando sob a responsabilidade da prefeitura desenvolver um Programa de Educação Ambiental. A seguir algumas ações para o desenvolvimento de um Programa de Educação Ambiental: • Realizar no âmbito dos órgãos da Prefeitura – Seminários, cursos, ciclos de palestras, com o objetivo de estimular a participação de secretários, diretores, chefes e funcionários, no desenvolvimento da política de educação ambiental; • Realizar pesquisa local para a elaboração de uma cartilha; • Distribuir os exemplares da cartilha em escolas, igrejas, postos de saúde, associações comunitárias etc., a fim de multiplicar o seu efeito educativo. • Promover campanhas radiofônicas periódicas para massificar as informações; • Afixar cartazes (com informações seriadas) em locais públicos; • Realizar, em parceria com segmentos organizados da comunidade, projetos de preservação ambiental; • Definir, através da secretaria responsável, metodologia de acompanhamento, controle e avaliação permanente de todas as ações propostas. As campanhas de conscientização com temas relacionados à Educação Ambiental devem ser implementadas para favorecer o desenvolvimento de atitudes que auxiliem na manutenção da limpeza de cada município. Objetivos: Incentivar a comunidade a participar ativamente das ações de limpeza do município e divulgar, para veranistas e turistas, a importância de sua manutenção para a melhoria da qualidade de vida e da preservação do meio ambiente; Informar, orientar, conscientizar e mobilizar a população sobre a necessidade de acondicionamento adequado, importância da coleta, benefícios da reciclagem de materiais, remoção e destino final do lixo; Implementar programas educacionais voltados à conscientização da população para a questão da limpeza da cidade – sede, distritos e conjuntos habitacionais; Promover a compreensão das causas dos hábitos consumistas e agir para a transformação desses sistemas, assim como para a transformação dessas práticas; Incentivar medidas que visam diminuir a própria geração de lixo; Estimular a realização de ações permanentes junto a turistas e veranistas, ressaltando a importância da limpeza; Tornar os cidadãos do município agentes multiplicadores da limpeza junto aos turistas; Capacitar a equipe técnica das prefeituras com conceitos técnicos e ambientais;
  • 100.
    Resíduos Sólidos: Coletae Destinação Final ABES - Francisco Humberto de Carvalho Jr 100 Criar condições para que as comunidades acompanhem a forma de trabalhar das prefeituras e a auxiliem na tarefa de limpar e manter limpa cada cidade. 11.0 - DADOS PARA DIMENSIONAMENTO DE SERVIÇOS DE LIMPEZA PÚBLICA OU O T.C.P.O DO LIXO. SERVIÇOS DE COLETA: 1- FERRAMENTAL: Para cada veículo coletor 01 a 02 pás quadradas; - 3 meses 01 vassourão; - 1 mês 01 vassoura; - 1 mês 01 garfo de oito dentes. - 4 meses 2- PESSOAL POR VEÍCULO: 01 Coletor compactador 01 motorista e 03 a 04 garis; 01 Caminhão basculante (máquina) 01 motorista e 03 garis; 01 Caminhão carroceira (seletiva) 01 motorista e 03 garis; 01 Utilitário (baú) 01 motorista e 01 gari; 01 Caminhão carroceira 01 motorista e 03 garis; 01 Pá carregadeira 01 operador; 01 Coletor compactador (industrial) 01 motorista e 02 garis; 01 Coletor guindaste (industrial) 01 motorista e 01 garis. 3- FARDAMENTO: Motorista: 01 Conjunto de calça/camisa; - 3 meses 01 Sapato vulcanizado (par). - 6 meses Gari: 01 Macacão curto ou conjunto de calça/camisa; - 3 meses 01 Bota de couro cano curto (par); - 4 meses 01 Meia grossa cano curto (par); - 1 mês 01 Luva cano curto (par); - 1 mês 01 Capa plástica. - 12 meses
  • 101.
    Resíduos Sólidos: Coletae Destinação Final ABES - Francisco Humberto de Carvalho Jr 101 Gari (resíduos de serviços de saúde) 01 Macacão branco; - 3 meses 01 Bota plástica cano longo (par); - 6 meses 01 Meia grossa cano longo (par); - 1 mês 01 Luva cano longo (par); - 1 mês 01 Capa plástica. - 12 meses Gari (resíduos industriais) 01 Conjunto de calça/camisa manga longa; - 3 meses 01 Bota de couro cano-curto (par); - 4 meses 01 Meia grossa cano curto (par); - 1 mês 01 Luva cano curto (par); - 1 mês 01 Capa plástica; - 12 meses 01 Máscara industrial; - 2 meses 01 Capacete. - 12 meses SERVIÇOS DE VARRIÇÃO: 1- FERRAMENTAL: Para Vias públicas: 01 carro de mão ou lutocar; - 12 meses 01 pá quadrada; - 3 meses 01 vassourão; - 15 dias 01 vassoura; - 15 dias 01 machadinha; - 3 meses 15 sacos plásticos de 100 litros. Para Praças e jardins: 01 carro de mão ou lutocar;-12 meses 01 pá quadrada; - 3 meses 01 vassourão; - 15 dias 01 vassoura; - 15 dias 01 espeto; - 12 meses 20 sacos plásticos de 100 litros. Para Limpeza de boca-de-lobo: 01 carro de mão; - 12 meses 01 pá côncava.. - 3 meses Para Remoção de terra: 01 carro de mão; -12 meses 01 pá quadrada; - 3 meses
  • 102.
    Resíduos Sólidos: Coletae Destinação Final ABES - Francisco Humberto de Carvalho Jr 102 01 vassoura. - 15 dias Para Limpeza de mato/sarjeta/capina: 01 machadinha; -3 meses Para Roçagem: 01 facão; - 3 meses 01 enxada; - 3 meses 01 foice. - 3 meses Para Limpeza de feiras: 01 carro de mão ou lutocar;- 12 meses 01 pá quadrada; - 3 meses 01 vassourão; - 15 dias 2- PESSOAL: 01 Gari para cada 420 metros/dia ou 250Kg.dia. 3- FARDAMENTO: 01 Macacão curto ou conjunto de calça/camisa; - 3 meses 01 Tênis (par); - 4 meses 01 Meia grossa cano curto (par); - 1 mês 01 Capa plástica. - 12 meses 01 Luva cano curto (par); - 1 mês 01 Capacete. - 12 meses SERVIÇOS DE LEVANTAMENTO (CAPINAÇÃO): 1- FERRAMENTAL: carro de mão ou lutocar; - 08 und/20 garis; - 4 meses pá quadrada; - 08 und/20 garis; - 3 meses vassourão; - 04 und/20 garis; - 15 dias ciscador; - 04 und/20 garis; - 3 meses enxada; - 12und/20 garis; - 3 meses 15 sacos plásticos de 100 litros. 2- PESSOAL:
  • 103.
    Resíduos Sólidos: Coletae Destinação Final ABES - Francisco Humberto de Carvalho Jr 103 via asfaltada: 01 Gari para cada 150 m2 .dia ou 1.000 Kg.dia. via calçamento: 01 Gari para cada 80 m2 .dia ou 500 Kg.dia. 3- FARDAMENTO: 01 Macacão curto ou conjunto de calça/camisa; - 3 meses 01 Tênis (par); - 4 meses 01 Meia grossa cano curto (par); - 1 mês 01 Capa plástica. - 12 meses 01 Luva cano curto (par); - 1 mês 01 Capacete. - 12 meses DADOS ESTIMADOS: 1) Número de residências de uma cidade = 20 % da População. 2) Número de casas comerciais = 10 % do Número de residências. 3) Densidade da população = 50 habitantes/hectare. 4) Área da cidade em hectare = 2 % da População. 5) Extensão de ruas a coletar ou varrer = 200 metros / hectare. 6) Velocidade de coleta de um Lutocar = 5 m3 /hora.. 7) Velocidade de um Coletor compactador = 10 m3 /hora com 5 garis. 8) Velocidade de varrição manual no asfalto = 420 metros/gari/dia ou 250 Kg/gari/dia. 9) Velocidade de capinação manual no asfalto = 150 m2 /gari.dia ou 1.000 Kg/gari/dia. 10) Velocidade de capinação manual no calçamento = 80 m2 /gari.dia ou 500 Kg/gari/dia. 11) Velocidade de pulverização = 10.000 m2 /gari.dia. 12) Velocidade média de coleta regular = 30 Kg/min. 13) Velocidade média de coleta de RSS = 15 Kg/min.
  • 104.
    Resíduos Sólidos: Coletae Destinação Final ABES - Francisco Humberto de Carvalho Jr 104 14) Velocidade média de coleta industrial = 70 Kg/min. 15) Velocidade média de coleta seletiva = 9 Kg/min. 16) Velocidade média de coleta de entulho = 70 Kg/min. 17) Produção da coleta porta a porta (sacolão) = 20 Kg/viagem.gari. 18) Produção da coleta com animal (jeque) = 50 Kg/viagem.animal c/01 gari. 19) Produção Per capita de lixo coleta domiciliar = 0,70 Kg/hab.dia. 20) Produção Per capita de lixo coleta de varrição = 0,15 Kg/hab.dia. 21) Produção Per capita de lixo coleta de capinação= 0,21 Kg/hab.dia. 22) Quantidade de pessoal pôr veículo coletor = 03 a 04 garis e 01 motorista. 23) Índices para calcular o valor do equipamento: vida útil 5 a 7 anos; valor residual 5 a 20 %; combustível 2,5 a 3,5 Km/l; (*) lubrificante (l/Km); (*) óleo, graxa (Kg/Km); (*) filtro (und/Km); (*) pneus 30.000 a 35.000 Km/jg; manutenção 0,8 a 1; licenciamento 2,5 %. (*) poderá usar 17% do custo com combustivel. 24) Índices para o calculo da mão de obra: hora extra 80 %; adicional noturno 20 %; insalubridade (gari) 40 %; motorista 20 %; vale alimentação; vale transporte; cesta básica.
  • 105.
    Resíduos Sólidos: Coletae Destinação Final ABES - Francisco Humberto de Carvalho Jr 105 25) Reserva técnica: equipamento5 a 10 %; pessoal 0 a 20 %. PARAMETROS PARA APROPRIAÇÃO DE CUSTOS DE LIMPEZA PÚBLICA. 1)Produção per capita de coleta domiciliar (Kg/hab.dia). 2)Produção per capita de varrição (Kg/hab.dia). 3)Produção per capita de capinação (levantamento) (Kg/hab.dia). 4)Produção per capita de coleta hospitalar (Kg/hab.dia). 5)Produção per capita de coleta comercial (Kg/hab.dia). 6)Produção per capita de coleta industrial (Kg/hab.dia). 7)Distancia média de transporte entre o centro de geração e o destino final (Km). 8)Distancia média de percurso dos roteiros de coleta da cada setor em função do adensamento populacional e das condições de tráfego (Km). 9)Tempo do transporte gasto entre o custo de geração e o destino final (hs). 10)Tempo médio da coleta nos roteiros de cada setor (hs). 11)Peso médio do lixo transportado pôr viagem para cada tipo de veículo, tipo de lixo e condições de operacionalização (Kg). 12)Percentual de coleta: diurno (%) noturno (%) 13)Números de turnos: diurno (%) noturno (%) 14)Horário de coleta: diurno (hs) noturno (hs) 15)Carga horaria semanal pôr turno:
  • 106.
    Resíduos Sólidos: Coletae Destinação Final ABES - Francisco Humberto de Carvalho Jr 106 pessoal: diurno (hs) noturno (hs) equipamento: diurno (hs) noturno (hs) 16)Número de dias úteis: semanal mensal 17)Distancia média de transporte: coleta (Km) transporte ida/volta (Km) ciclo 18)Tempo gasto: coleta (Km) transporte ida/volta (Km) ciclo 19)Número de viagens pôr equipamento: diario: diurno noturno mensal: diurno noturno 20)Capacidade do equipamento pôr viagem: coletor compactador (ton.) caminhão caçamba (ton. ou m3 ) caminhão carroceria (ton. ou m3 ) 21)Mão de obra indireta: fiscal de coleta da cada turno chefe de tráfego da cada turno fiscal de pesagem da cada turno auxiliar de tráfego da cada turno - calcular para cada funcionário indireto, os seguintes itens abaixo: salario horas extras feriados adicional noturno vale transporte café da manhão
  • 107.
    Resíduos Sólidos: Coletae Destinação Final ABES - Francisco Humberto de Carvalho Jr 107 almoço merenda cesta básica total geral 22)Nível de atendimento para cada setor ou zona (%). 12– BIBLIOGRAFIA ATERRO SANITÁRIO METROPOLITANO OESTE EM CAUCAIA - ASMOC. Projeto Executivo. AUMEF, 1989. DIAS, R. O bom negócio dos resíduos sólidos, in: Bio – Revista Brasileira de Saneamento e Meio Ambiente, ano XI, no 20. ABES, São Paulo, 2001. FUNDAÇÃO NACIONAL DE SAÚDE. Manual de saneamento. Ministério da Saúde: Fundação Nacional de Saúde, Brasília, 1999. FUNDAÇÃO NÚCLEO DE TECNOLOGIA INDUSTRIAL – NUTEC. Curso Intensivo de Limpeza Urbana. SECITECE – NUTEC, Fortaleza, 2000. GERENCIAMENTO INTEGRADO DE RESÍDUOS SÓLIDOS. Universidade Federal do Ceará. 1995. GOVERNO DO ESTADO DO CEARÁ / SDU / SEMACE. Meio Ambiente. Legislação Básica. Fortaleza, 1990. GOVERNO DO ESTADO DO CEARÁ – SECRETARIA DO DESENVOLVIMENTO URBANO E MEIO AMBIENTE. O lixo pode ser um tesouro. Centro Cultural Rio-Cine, Rio de Janeiro, 1993. HUMBERTO,C.J; RÉGIS,C.A, Curso Básico de Limpeza Urbana. IBGE. Contagem da População – 1996. INSTITUTO BRASILEIRO DE ADMINISTRAÇÃO MUNICIPAL. Manual de Gerenciamento Integrado de resíduos sólidos. IBAM, Rio de Janeiro, 2001. INSTITUTO DE PESQUISAS TECNOLÓGICAS - IPT & COMPROMISSO EMPRESARIAL PARA RECICLAGEM - CEMPRE. Lixo Municipal: manual de gerenciamento integrado. IPT-CEMPRE, São Paulo, 1995. LEITE, W.C.A. Curso: Aterros Sanitários Domiciliares e Industriais. ABES, Fortaleza, 1999. LIMA, J. D. Gestão de resíduos sólidos no Brasil. ABES, Rio de Janeiro, 2001. LIMA, L. M. Q. Tratamento de lixo. Hemus, São Paulo, 1991. LIMPEZA URBANA. Ministério do Bem-Estar Social. Secretaria de Saneamento, Rio de Janeiro, 1993.
  • 108.
    Resíduos Sólidos: Coletae Destinação Final ABES - Francisco Humberto de Carvalho Jr 108 MANUAL DE LIMPEZA PÚBLICA. Instituto Brasileiro de Administração Municipal - IBAM. Rio de Janeiro, 1973. MOTA, S. Introdução à engenharia ambiental. ABES, Rio de Janeiro, 2000. MOTA, S. Preservação de Recursos Hídricos. ABES, Rio de Janeiro,1998. SCHALCH, V. Curso: Aterros Sanitários. ABES, Fortaleza, 1996.