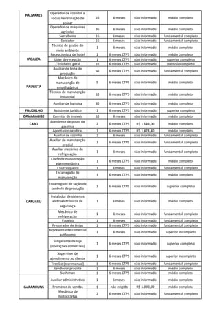
Agência Descrição
Quantidade
de Vagas
Experiência Salário Escolaridade
Eletrotécnico 4 6 meses CTPS não informado médio completo
Vendedor interno 1 6 meses não informado médio completo
Gesseiro plaqueiro 1 4 meses não informado fundamental completo
Cozinheiro de
restaurante
1 6 meses CTPS R$ 1.050,95 médio completo
Motorista de
empilhadeira
20 não exigido não informado médio incompleto
Forneiro de padaria 1 6 meses CTPS R$ 1.021,52 médio completo
Operador de caixa
lotérico
5 6 meses CTPS R$ 937,00 médio completo
Eletrotécnico 1 6 meses R$ 1.500,00 médio completo
Atendente balconista 1 6 meses CTPS não informado médio completo
Cozinheiro geral 1 6 meses CTPS não informado médio completo
Técnico de edificações 1 6 meses CTPS não informado médio completo
Açougueiro 1 6 meses CTPS não informado fundamental completo
Costureiro, a máquina
na confecção em série
10 6 meses não informado fundamental completo
Encarregado de
escritório - exclusive no
serviço público
1 6 meses CTPS não informado médio completo
Encarregado de estoque 1 6 meses não informado médio completo
Farmacêutico 1 6 meses CTPS não informado superior completo
Gerente de farmácia 1 6 meses CTPS não informado médio completo
Pizzaiolo 1 6 meses CTPS não informado fundamental completo
Recepcionista atendente 1 6 meses CTPS não informado médio completo
Vendedor pracista 2 6 meses CTPS não informado médio completo
Vendedor pracista 3 6 meses não informado fundamental completo
Vendedor pracista 10 6 meses não informado médio completo
Assistente Jurídico 1 não exigido não informado superior incompleto
Auxiliar técnico de
refrigeração
1 6 meses CTPS não informado médio completo
Supervisor
administrativo
1 6 meses não informado superior completo
Trabalhador da
avicultura de corte
1 não exigido não informado fundamental completo
Auxiliar administrativo 1 6 meses CTPS R$ 937,00 médio completo
Vendedor pracista 1 6 meses CTPS não informado médio completo
SERRA TALHADA Manicure 1 6 meses não informado fundamental completo
Encarregado de
produção química
1 6 meses não informado médio completo
Fermentador 9 6 meses não informado médio completo
Instrumentista de
laboratório
(manutenção)
1 6 meses não informado médio completo
Laboratorista químico 1 6 meses não informado médio completo
SANTA CRUZ DO
CAPIBARIBE
Vagas a serem publicadas dia 06 de julho de 2017
Obs: vagas sujeitas a alterações no decorrer do dia.
Informações Central de Vagas 3183-7201
*VAGAS PARA O PUBLICO EM GERAL
NAZARÉ DA
MATA
ARARIPINA
IGARASSU
GOIANA
VITÓRIA
PALMARES
BEZERROS
Operador de cozedor a
vácuo na refinação de
açúcar
26 6 meses não informado médio completo
Operador de máquinas
agrícolas
36 6 meses não informado médio completo
Serralheiro 16 6 meses não informado fundamental completo
Soldador 16 6 meses não informado fundamental completo
Técnico de gestão do
meio ambiente
1 6 meses não informado médio completo
Recepcionista de hotel 1 6 meses CTPS não informado médio completo
Líder de recepção 1 6 meses CTPS não informado superior completo
Cozinheiro geral 10 6 meses CTPS não informado médio incompleto
Auxiliar de linha de
produção
50 6 meses CTPS não informado fundamental completo
Mecânico de
manutenção de
empilhadeiras
5 6 meses CTPS não informado médio completo
Técnico de manutenção
industrial
10 6 meses CTPS não informado médio completo
Auxiliar de logistica 30 6 meses CTPS não informado médio completo
PAUDALHO Assistente Jurídico 1 6 meses CTPS não informado superior completo
CAMARAGIBE Corretor de imóveis 10 6 meses não informado médio completo
CABO
Atendente de posto de
gasolina
2 6 meses CTPS R$ 1.649,00 médio completo
Apontador de obras 1 6 meses CTPS R$ 1.423,40 médio completo
Auxiliar de cozinha 2 6 meses não informado fundamental completo
Auxiliar de manutenção
predial
1 6 meses CTPS não informado fundamental completo
Auxiliar mecânico de
refrigeração
1 6 meses não informado fundamental completo
Chefe de manutenção
eletromecânica
1 6 meses CTPS não informado médio completo
Churrasqueiro 1 6 meses não informado fundamental completo
Encarregado de
manutenção
1 6 meses CTPS não informado médio completo
Encarregado de seção de
controle de produção
1 6 meses CTPS não informado superior completo
Instalador de sistemas
eletroeletrônicos de
segurança
1 6 meses não informado médio completo
Mecânico de
refrigeração
1 6 meses não informado fundamental completo
Padeiro 1 6 meses não informado fundamental completo
Preparador de tintas 1 6 meses CTPS não informado fundamental completo
Representante comercial
autônomo
1 6 meses não informado superior incompleto
Subgerente de loja
(operações comerciais)
1 6 meses CTPS não informado superior completo
Supervisor de
atendimento ao cliente
1 6 meses CTPS não informado superior incompleto
Tecelão (tear manual) 1 6 meses CTPS não informado fundamental completo
Vendedor pracista 1 6 meses não informado médio completo
Sushiman 1 6 meses CTPS não informado médio completo
Auxiliar administrativo 1 6 meses não informado médio completo
Promotor de vendas 1 não exigido R$ 1.000,00 médio completo
Mecânico de
motocicletas
2 6 meses CTPS não informado fundamental completo
CARUARU
IPOJUCA
PALMARES
GARANHUNS
PAULISTA
Costureira de máquinas
industriais
1 6 meses CTPS não informado fundamental incompleto
Consultor de vendas 1 6 meses CTPS não informado médio completo
Gerente de pesquisa e
desenvolvimento (p&d)
1 6 meses CTPS não informado superior completo
Montador de móveis de
madeira
1 6 meses CTPS não informado fundamental completo
Oficial de serviços gerais
na manutenção de
edificações
1 6 meses não informado fundamental completo
Supervisor de logística 1 6 meses CTPS não informado superior completo
Tecnólogo em alimentos 1 não exigido não informado superior completo
Atendente de lavanderia 1 6 meses CTPS R$ 1.058,00 médio completo
Auxiliar administrativo 1 6 mese CTPS R$ 950,00 superior incompleto
Auxiliar de linha de
produção (aprendiz)
1 não exigido R$ 500,00 médio completo
Auxiliar de pintor de
automóveis
2 6 meses CTPS R$ 1.000,00 fundamental completo
Chefe de cozinha 1 6 meses CTPS R$ 1.600,00 médio completo
Chefe de cozinha 1 6 meses CTPS R$ 1.400,00 médio completo
Corretor de imóveis 15 6 meses não informado médio completo
Corretor de imóveis 10 6 meses não informado médio completo
Costureira de máquina
reta
5 6 meses R$ 1.012,00 fundamental completo
Costureira em geral 1 6 meses CTPS R$ 1.006,00 médio incompleto
Farmacêutico 1 6 meses CTPS não informado superior completo
Gerente de
departamento de
produção
1 6 meses CTPS R$ 1.400,00 médio completo
Lanterneiro de
automóveis (reparação)
1 6 meses CTPS R$ 1.000,00 fundamental completo
Manicure 2 6 meses CTPS R$ 937,00 fundamental completo
Montador de veículos
(reparação)
1 6 meses CTPS R$ 1.000,00 fundamental completo
Passador de roupas 1 6 meses R$ 1.050,00 fundamental completo
Pizzaiolo 1 6 meses CTPS R$ 985,00 médio completo
Vidraceiro 1 6 meses CTPS R$ 1.200,00 fundamental completo
TOTAL 380
Agência Descrição
Quantidade
de Vagas
Experiência Salário Escolaridade
RECIFE
PETROLINA
*VAGAS PARA PESSOAS COM DEFICIÊNCIA - PCD
Vagas a serem publicadas dia 06 de julho de 2017
TRABALHADOR: Caso tenha interesse nas vagas ofertadas, favor comparecer a uma de nossas
unidades ou acessar o site : www.empregabrasil.mte.gov.br.
EMPREGADOR: Caso deseje ofertar vagas de emprego, favor ligar para a nossa Central de Vagas no
telefone: 3183-7201.
Informações Central de Vagas 3183-7201
Obs: vagas sujeitas a alterações no decorrer do dia.
* Auxiliar administrativo 1 não exigido não informado médio completo
* Auxiliar de limpeza 1 não exigido não informado fundamental incompleto
* Professor das séries
iniciais
1 não exigido não informado superior incompleto
GOIANA
*Auxiliar de linha de
produção
15 não exigido não informado médio completo
*Fiscal de prevenção de
perdas
1 não exigido não informado médio completo
*Auxiliar operacional de
logística
1 não exigido R$ 1.006,00 médio completo
*Assistente de logística
de transporte
1 não exigido R$ 1.260,99 fundamental completo
*Atendente de lojas 1 não exigido não informado médio completo
*Marceneiro 2 6 meses não informado fundamental completo
*Auxiliar de linha de
produção
1 não exigido R$ 1.016,00 médio completo
*Oficial de serviços
gerais na manutenção
de edificações
2 6 meses não informado fundamental completo
*Porteiro 2 6 meses não informado médio completo
*Auxiliar de cozinha 1 6 meses R$ 1.061,00 fundamental completo
*Auxiliar administrativo 1 6 meses não informado médio completo
*Auxiliar de limpeza 2 não exigido R$ 1.064,00 médio completo
Auxiliar de linha de
produção
10 não exigido não informado fundamental completo
* Auxiliar de logistica 10 6 meses R$ 1.060,00 médio completo
*Copeiro 1 6 meses CTPS não informado médio completo
*Cumim 1 6 meses CTPS R$ 1.240,00 médio completo
*Garçom 1 6 meses não informado médio completo
*Operador de caixa 1 6 meses CTPS R$ 1.155,78 médio completo
* Operador de
telemarketing ativo e
receptivo
50 não exigido R$ 937,00 médio completo
*Passadeira de peças
confeccionadas
1 6 meses não informado fundamental completo
*Recepcionista
atendente
1 6 meses R$ 1.015,00 médio completo
*Telefonista 1 6 meses CTPS não informado médio completo
*Técnico de
enfermagem
10 não exigido R$ 1.000,00 médio completo
TOTAL 120
*(VAGAS EXCLUSIVAS PARA PESSOAS COM DEFICIÊNCIA (PCD))
RECIFE
CARUARU
GARANHUNS
CABO
Informações Central de Vagas 3183-7201
NAZARÉ DA
MATA

Quadro de vagas_06_07_2017

  • 1.
    Agência Descrição Quantidade de Vagas ExperiênciaSalário Escolaridade Eletrotécnico 4 6 meses CTPS não informado médio completo Vendedor interno 1 6 meses não informado médio completo Gesseiro plaqueiro 1 4 meses não informado fundamental completo Cozinheiro de restaurante 1 6 meses CTPS R$ 1.050,95 médio completo Motorista de empilhadeira 20 não exigido não informado médio incompleto Forneiro de padaria 1 6 meses CTPS R$ 1.021,52 médio completo Operador de caixa lotérico 5 6 meses CTPS R$ 937,00 médio completo Eletrotécnico 1 6 meses R$ 1.500,00 médio completo Atendente balconista 1 6 meses CTPS não informado médio completo Cozinheiro geral 1 6 meses CTPS não informado médio completo Técnico de edificações 1 6 meses CTPS não informado médio completo Açougueiro 1 6 meses CTPS não informado fundamental completo Costureiro, a máquina na confecção em série 10 6 meses não informado fundamental completo Encarregado de escritório - exclusive no serviço público 1 6 meses CTPS não informado médio completo Encarregado de estoque 1 6 meses não informado médio completo Farmacêutico 1 6 meses CTPS não informado superior completo Gerente de farmácia 1 6 meses CTPS não informado médio completo Pizzaiolo 1 6 meses CTPS não informado fundamental completo Recepcionista atendente 1 6 meses CTPS não informado médio completo Vendedor pracista 2 6 meses CTPS não informado médio completo Vendedor pracista 3 6 meses não informado fundamental completo Vendedor pracista 10 6 meses não informado médio completo Assistente Jurídico 1 não exigido não informado superior incompleto Auxiliar técnico de refrigeração 1 6 meses CTPS não informado médio completo Supervisor administrativo 1 6 meses não informado superior completo Trabalhador da avicultura de corte 1 não exigido não informado fundamental completo Auxiliar administrativo 1 6 meses CTPS R$ 937,00 médio completo Vendedor pracista 1 6 meses CTPS não informado médio completo SERRA TALHADA Manicure 1 6 meses não informado fundamental completo Encarregado de produção química 1 6 meses não informado médio completo Fermentador 9 6 meses não informado médio completo Instrumentista de laboratório (manutenção) 1 6 meses não informado médio completo Laboratorista químico 1 6 meses não informado médio completo SANTA CRUZ DO CAPIBARIBE Vagas a serem publicadas dia 06 de julho de 2017 Obs: vagas sujeitas a alterações no decorrer do dia. Informações Central de Vagas 3183-7201 *VAGAS PARA O PUBLICO EM GERAL NAZARÉ DA MATA ARARIPINA IGARASSU GOIANA VITÓRIA PALMARES BEZERROS
  • 2.
    Operador de cozedora vácuo na refinação de açúcar 26 6 meses não informado médio completo Operador de máquinas agrícolas 36 6 meses não informado médio completo Serralheiro 16 6 meses não informado fundamental completo Soldador 16 6 meses não informado fundamental completo Técnico de gestão do meio ambiente 1 6 meses não informado médio completo Recepcionista de hotel 1 6 meses CTPS não informado médio completo Líder de recepção 1 6 meses CTPS não informado superior completo Cozinheiro geral 10 6 meses CTPS não informado médio incompleto Auxiliar de linha de produção 50 6 meses CTPS não informado fundamental completo Mecânico de manutenção de empilhadeiras 5 6 meses CTPS não informado médio completo Técnico de manutenção industrial 10 6 meses CTPS não informado médio completo Auxiliar de logistica 30 6 meses CTPS não informado médio completo PAUDALHO Assistente Jurídico 1 6 meses CTPS não informado superior completo CAMARAGIBE Corretor de imóveis 10 6 meses não informado médio completo CABO Atendente de posto de gasolina 2 6 meses CTPS R$ 1.649,00 médio completo Apontador de obras 1 6 meses CTPS R$ 1.423,40 médio completo Auxiliar de cozinha 2 6 meses não informado fundamental completo Auxiliar de manutenção predial 1 6 meses CTPS não informado fundamental completo Auxiliar mecânico de refrigeração 1 6 meses não informado fundamental completo Chefe de manutenção eletromecânica 1 6 meses CTPS não informado médio completo Churrasqueiro 1 6 meses não informado fundamental completo Encarregado de manutenção 1 6 meses CTPS não informado médio completo Encarregado de seção de controle de produção 1 6 meses CTPS não informado superior completo Instalador de sistemas eletroeletrônicos de segurança 1 6 meses não informado médio completo Mecânico de refrigeração 1 6 meses não informado fundamental completo Padeiro 1 6 meses não informado fundamental completo Preparador de tintas 1 6 meses CTPS não informado fundamental completo Representante comercial autônomo 1 6 meses não informado superior incompleto Subgerente de loja (operações comerciais) 1 6 meses CTPS não informado superior completo Supervisor de atendimento ao cliente 1 6 meses CTPS não informado superior incompleto Tecelão (tear manual) 1 6 meses CTPS não informado fundamental completo Vendedor pracista 1 6 meses não informado médio completo Sushiman 1 6 meses CTPS não informado médio completo Auxiliar administrativo 1 6 meses não informado médio completo Promotor de vendas 1 não exigido R$ 1.000,00 médio completo Mecânico de motocicletas 2 6 meses CTPS não informado fundamental completo CARUARU IPOJUCA PALMARES GARANHUNS PAULISTA
  • 3.
    Costureira de máquinas industriais 16 meses CTPS não informado fundamental incompleto Consultor de vendas 1 6 meses CTPS não informado médio completo Gerente de pesquisa e desenvolvimento (p&d) 1 6 meses CTPS não informado superior completo Montador de móveis de madeira 1 6 meses CTPS não informado fundamental completo Oficial de serviços gerais na manutenção de edificações 1 6 meses não informado fundamental completo Supervisor de logística 1 6 meses CTPS não informado superior completo Tecnólogo em alimentos 1 não exigido não informado superior completo Atendente de lavanderia 1 6 meses CTPS R$ 1.058,00 médio completo Auxiliar administrativo 1 6 mese CTPS R$ 950,00 superior incompleto Auxiliar de linha de produção (aprendiz) 1 não exigido R$ 500,00 médio completo Auxiliar de pintor de automóveis 2 6 meses CTPS R$ 1.000,00 fundamental completo Chefe de cozinha 1 6 meses CTPS R$ 1.600,00 médio completo Chefe de cozinha 1 6 meses CTPS R$ 1.400,00 médio completo Corretor de imóveis 15 6 meses não informado médio completo Corretor de imóveis 10 6 meses não informado médio completo Costureira de máquina reta 5 6 meses R$ 1.012,00 fundamental completo Costureira em geral 1 6 meses CTPS R$ 1.006,00 médio incompleto Farmacêutico 1 6 meses CTPS não informado superior completo Gerente de departamento de produção 1 6 meses CTPS R$ 1.400,00 médio completo Lanterneiro de automóveis (reparação) 1 6 meses CTPS R$ 1.000,00 fundamental completo Manicure 2 6 meses CTPS R$ 937,00 fundamental completo Montador de veículos (reparação) 1 6 meses CTPS R$ 1.000,00 fundamental completo Passador de roupas 1 6 meses R$ 1.050,00 fundamental completo Pizzaiolo 1 6 meses CTPS R$ 985,00 médio completo Vidraceiro 1 6 meses CTPS R$ 1.200,00 fundamental completo TOTAL 380 Agência Descrição Quantidade de Vagas Experiência Salário Escolaridade RECIFE PETROLINA *VAGAS PARA PESSOAS COM DEFICIÊNCIA - PCD Vagas a serem publicadas dia 06 de julho de 2017 TRABALHADOR: Caso tenha interesse nas vagas ofertadas, favor comparecer a uma de nossas unidades ou acessar o site : www.empregabrasil.mte.gov.br. EMPREGADOR: Caso deseje ofertar vagas de emprego, favor ligar para a nossa Central de Vagas no telefone: 3183-7201. Informações Central de Vagas 3183-7201 Obs: vagas sujeitas a alterações no decorrer do dia.
  • 4.
    * Auxiliar administrativo1 não exigido não informado médio completo * Auxiliar de limpeza 1 não exigido não informado fundamental incompleto * Professor das séries iniciais 1 não exigido não informado superior incompleto GOIANA *Auxiliar de linha de produção 15 não exigido não informado médio completo *Fiscal de prevenção de perdas 1 não exigido não informado médio completo *Auxiliar operacional de logística 1 não exigido R$ 1.006,00 médio completo *Assistente de logística de transporte 1 não exigido R$ 1.260,99 fundamental completo *Atendente de lojas 1 não exigido não informado médio completo *Marceneiro 2 6 meses não informado fundamental completo *Auxiliar de linha de produção 1 não exigido R$ 1.016,00 médio completo *Oficial de serviços gerais na manutenção de edificações 2 6 meses não informado fundamental completo *Porteiro 2 6 meses não informado médio completo *Auxiliar de cozinha 1 6 meses R$ 1.061,00 fundamental completo *Auxiliar administrativo 1 6 meses não informado médio completo *Auxiliar de limpeza 2 não exigido R$ 1.064,00 médio completo Auxiliar de linha de produção 10 não exigido não informado fundamental completo * Auxiliar de logistica 10 6 meses R$ 1.060,00 médio completo *Copeiro 1 6 meses CTPS não informado médio completo *Cumim 1 6 meses CTPS R$ 1.240,00 médio completo *Garçom 1 6 meses não informado médio completo *Operador de caixa 1 6 meses CTPS R$ 1.155,78 médio completo * Operador de telemarketing ativo e receptivo 50 não exigido R$ 937,00 médio completo *Passadeira de peças confeccionadas 1 6 meses não informado fundamental completo *Recepcionista atendente 1 6 meses R$ 1.015,00 médio completo *Telefonista 1 6 meses CTPS não informado médio completo *Técnico de enfermagem 10 não exigido R$ 1.000,00 médio completo TOTAL 120 *(VAGAS EXCLUSIVAS PARA PESSOAS COM DEFICIÊNCIA (PCD)) RECIFE CARUARU GARANHUNS CABO Informações Central de Vagas 3183-7201 NAZARÉ DA MATA