Transfira gratuitamente durante 30 dias
Fazer login
Carregar
Idioma (PT)
Suporte
Negócios
Celular
Mídias sociais
Marketing
Tecnologia
Arte e fotografia
Carreiras
Design
Educação
Apresentações e oratória
Governo e ONGs
Saúde
Internet
Direito
Liderança e gerenciamento
Indústria automotiva
Engenharia
Software
Recrutamento e RH
Varejo
Vendas
Serviços
Ciências
Pequenos negócios e empreendedorismo
Alimentos
Meio ambiente
Economia e finanças
Dados e análise
Relação com investidores
Esportes
Espiritual
Notícias e política
Turismo
Aperfeiçoamento pessoal
Imóveis
Diversão e humor
Saúde e medicina
Dispositivos e hardware
Estilo de vida
Mudar o idioma
Idioma
English
Español
Português
Français
Deutsche
Cancelar
Salvar
Enviar pesquisa
PT
Carregado por
Mar Tuxi
1,186 visualizações
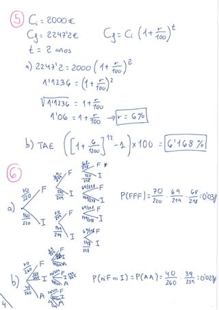
Examen tipo II 1ºBACH CCSS
repaso
Educação
◦
Leia mais
0
Salvar
Compartilhar
Incorporar
Incorporar apresentação
Baixar
Baixar para ler offline
1
/ 6
2
/ 6
3
/ 6
4
/ 6
5
/ 6
6
/ 6
Mais conteúdo relacionado
PDF
soluciones examen tipo
por
Mar Tuxi
PDF
Soluciones examen tipo 1ºbach
por
Mar Tuxi
PDF
REPASO 1bach
por
Mar Tuxi
PDF
Repaso final 1ºbach ccss
por
Mar Tuxi
PDF
Soluciones VCF
por
Mar Tuxi
PDF
Ficha repaso tema3 solucion
por
Mar Tuxi
PDF
Soluciones ficha repaso t2
por
Mar Tuxi
PDF
Estadística
por
Mar Tuxi
soluciones examen tipo
por
Mar Tuxi
Soluciones examen tipo 1ºbach
por
Mar Tuxi
REPASO 1bach
por
Mar Tuxi
Repaso final 1ºbach ccss
por
Mar Tuxi
Soluciones VCF
por
Mar Tuxi
Ficha repaso tema3 solucion
por
Mar Tuxi
Soluciones ficha repaso t2
por
Mar Tuxi
Estadística
por
Mar Tuxi
Destaque
PDF
Ficha repaso T3
por
Mar Tuxi
PDF
Soluciones Gauss
por
Mar Tuxi
PDF
Soluciones repaso análisis
por
Mar Tuxi
PDF
Soluciones derivadas
por
Mar Tuxi
PDF
Soluciones derivadas 15/16
por
Mar Tuxi
PDF
Ficha repaso Límites+soluciones
por
Mar Tuxi
PPTX
Para que se utilizan las derivadas
por
Mar Tuxi
PDF
Representación de Funciones 1ºBach CCSS
por
Mar Tuxi
PPTX
Funciones
por
Mar Tuxi
PDF
FINAL 1ºBACH CCSS
por
Mar Tuxi
PDF
Propiedades de los radicale1
por
Mar Tuxi
PDF
Ficha de repasot7
por
Mar Tuxi
PDF
PROPIEDADES DE LOS LOGARITMOS
por
Mar Tuxi
PDF
Intervalos
por
Mar Tuxi
PDF
Ficha repaso t1
por
Mar Tuxi
PDF
Ficha de repaso análisis primera parte
por
Mar Tuxi
PDF
Límites de funciones
por
Mar Tuxi
PDF
Ficha repaso aritmética mercantil
por
Mar Tuxi
PDF
Tabla de derivadas
por
Mar Tuxi
PDF
Formulario estadística
por
Mar Tuxi
Ficha repaso T3
por
Mar Tuxi
Soluciones Gauss
por
Mar Tuxi
Soluciones repaso análisis
por
Mar Tuxi
Soluciones derivadas
por
Mar Tuxi
Soluciones derivadas 15/16
por
Mar Tuxi
Ficha repaso Límites+soluciones
por
Mar Tuxi
Para que se utilizan las derivadas
por
Mar Tuxi
Representación de Funciones 1ºBach CCSS
por
Mar Tuxi
Funciones
por
Mar Tuxi
FINAL 1ºBACH CCSS
por
Mar Tuxi
Propiedades de los radicale1
por
Mar Tuxi
Ficha de repasot7
por
Mar Tuxi
PROPIEDADES DE LOS LOGARITMOS
por
Mar Tuxi
Intervalos
por
Mar Tuxi
Ficha repaso t1
por
Mar Tuxi
Ficha de repaso análisis primera parte
por
Mar Tuxi
Límites de funciones
por
Mar Tuxi
Ficha repaso aritmética mercantil
por
Mar Tuxi
Tabla de derivadas
por
Mar Tuxi
Formulario estadística
por
Mar Tuxi
Mais de Mar Tuxi
PDF
Matemagia 1920
por
Mar Tuxi
PDF
Semaforo 1
por
Mar Tuxi
PDF
Repaso 2ºESO
por
Mar Tuxi
PDF
Soluciones sistemas de ecuaciones
por
Mar Tuxi
PDF
Soluciones laplace
por
Mar Tuxi
PDF
Ejercicios decimales
por
Mar Tuxi
PDF
Ficha repaso tema 10
por
Mar Tuxi
PDF
Soluciones funciones
por
Mar Tuxi
PDF
Repaso unidad 9y10
por
Mar Tuxi
PDF
Ficha repaso fracciones
por
Mar Tuxi
PDF
Ficha repaso tema 7
por
Mar Tuxi
PDF
Repaso unidad 6 soluciones
por
Mar Tuxi
PDF
Ficha de repaso s8,9y10 soluciones
por
Mar Tuxi
PDF
Soluciones sistemas
por
Mar Tuxi
PDF
Repaso unidad 6
por
Mar Tuxi
PDF
Ficha de repaso soluciones
por
Mar Tuxi
PDF
Soluciones ficha repaso
por
Mar Tuxi
PDF
Soluciones dossier
por
Mar Tuxi
PDF
Ficha repaso tema 3
por
Mar Tuxi
PDF
Ficha repas ot3
por
Mar Tuxi
Matemagia 1920
por
Mar Tuxi
Semaforo 1
por
Mar Tuxi
Repaso 2ºESO
por
Mar Tuxi
Soluciones sistemas de ecuaciones
por
Mar Tuxi
Soluciones laplace
por
Mar Tuxi
Ejercicios decimales
por
Mar Tuxi
Ficha repaso tema 10
por
Mar Tuxi
Soluciones funciones
por
Mar Tuxi
Repaso unidad 9y10
por
Mar Tuxi
Ficha repaso fracciones
por
Mar Tuxi
Ficha repaso tema 7
por
Mar Tuxi
Repaso unidad 6 soluciones
por
Mar Tuxi
Ficha de repaso s8,9y10 soluciones
por
Mar Tuxi
Soluciones sistemas
por
Mar Tuxi
Repaso unidad 6
por
Mar Tuxi
Ficha de repaso soluciones
por
Mar Tuxi
Soluciones ficha repaso
por
Mar Tuxi
Soluciones dossier
por
Mar Tuxi
Ficha repaso tema 3
por
Mar Tuxi
Ficha repas ot3
por
Mar Tuxi
Último
PPTX
Ecologia - Conceitos Básicos, cadeias e Teias.
por
Biologia na Prática
PDF
Aulas de física moderna de mecânica quântica
por
EmanoelSilvaCarvalho
PDF
Funções logarítmicas: definição e exemplos
por
Ricardo Saldanha de Morais
PPTX
Apresentação_Plano_Curricular_ES_20.01.2023.pptx
por
Moshéh Avraham
PPTX
ESTOQUE E CONTROLE. Conceitos e fundamentos
por
engmoreirajg
PPTX
ADMINISTRACAO GERAL. Primeiras Teorias admistrativas
por
engmoreirajg
PDF
Orientar estados da arte (e planos de dissertação/tese) com alunos a usar IA ...
por
Leonel Morgado
PDF
Aula função quadrática_241130_101322.pdf
por
AugustoOst2
PDF
Protocolo Laboratorial - 11º ano AL 2.1 Características do som
por
Casa Ciências
PPT
O-SURGIMENTO-DA-SOCIOLOGIA-COMO-CIENCIA_I.ppt
por
JosQuirinoFerreira
PPTX
Cartilha_PQA-VS_2.pptx Cartilha_PQA-VS_2.pptx
por
LucasSilva615129
PDF
O-QUE-E-LITERATURA ;CONCEITO E IMPORTANCIA
por
Rosangela santana
DOCX
Horário de aula 2026 Horário de aula 2026
por
aldecirgomes1
PPTX
Correção da ficha de trabalho 3.pptx - Camões Lírico - Tanto do meu estado me...
por
RitaSilva3497
PDF
LISTA DOS ALUNOS APROVADOS NO VESTIBULAR DA FUVEST
por
fernandolmiller77
PDF
Variação linguística tipos, aplicações e preconceito linguístico
por
LETICIACAMARGOMOREIR
PPTX
Líder em mim projeto pedagógico de programa socioemocional
por
Laís Soares
PPTX
FISIOLOGIA HUMANA - SISTEMA CIRCULATÓRIO - 2026.pptx
por
FabioLuisQuintalCarv
PPTX
UFCD 7844- Liderança e Excelência na Equipa (2).pptx
por
marialucas62
PPTX
historia da igreja 2 até a cruzadas.pptx
por
augustoferro83
Ecologia - Conceitos Básicos, cadeias e Teias.
por
Biologia na Prática
Aulas de física moderna de mecânica quântica
por
EmanoelSilvaCarvalho
Funções logarítmicas: definição e exemplos
por
Ricardo Saldanha de Morais
Apresentação_Plano_Curricular_ES_20.01.2023.pptx
por
Moshéh Avraham
ESTOQUE E CONTROLE. Conceitos e fundamentos
por
engmoreirajg
ADMINISTRACAO GERAL. Primeiras Teorias admistrativas
por
engmoreirajg
Orientar estados da arte (e planos de dissertação/tese) com alunos a usar IA ...
por
Leonel Morgado
Aula função quadrática_241130_101322.pdf
por
AugustoOst2
Protocolo Laboratorial - 11º ano AL 2.1 Características do som
por
Casa Ciências
O-SURGIMENTO-DA-SOCIOLOGIA-COMO-CIENCIA_I.ppt
por
JosQuirinoFerreira
Cartilha_PQA-VS_2.pptx Cartilha_PQA-VS_2.pptx
por
LucasSilva615129
O-QUE-E-LITERATURA ;CONCEITO E IMPORTANCIA
por
Rosangela santana
Horário de aula 2026 Horário de aula 2026
por
aldecirgomes1
Correção da ficha de trabalho 3.pptx - Camões Lírico - Tanto do meu estado me...
por
RitaSilva3497
LISTA DOS ALUNOS APROVADOS NO VESTIBULAR DA FUVEST
por
fernandolmiller77
Variação linguística tipos, aplicações e preconceito linguístico
por
LETICIACAMARGOMOREIR
Líder em mim projeto pedagógico de programa socioemocional
por
Laís Soares
FISIOLOGIA HUMANA - SISTEMA CIRCULATÓRIO - 2026.pptx
por
FabioLuisQuintalCarv
UFCD 7844- Liderança e Excelência na Equipa (2).pptx
por
marialucas62
historia da igreja 2 até a cruzadas.pptx
por
augustoferro83
Baixar