Transfira gratuitamente durante 30 dias
Fazer login
Carregar
Idioma (PT)
Suporte
Negócios
Celular
Mídias sociais
Marketing
Tecnologia
Arte e fotografia
Carreiras
Design
Educação
Apresentações e oratória
Governo e ONGs
Saúde
Internet
Direito
Liderança e gerenciamento
Indústria automotiva
Engenharia
Software
Recrutamento e RH
Varejo
Vendas
Serviços
Ciências
Pequenos negócios e empreendedorismo
Alimentos
Meio ambiente
Economia e finanças
Dados e análise
Relação com investidores
Esportes
Espiritual
Notícias e política
Turismo
Aperfeiçoamento pessoal
Imóveis
Diversão e humor
Saúde e medicina
Dispositivos e hardware
Estilo de vida
Mudar o idioma
Idioma
English
Español
Português
Français
Deutsche
Cancelar
Salvar
PT
Carregado por
rasperaza
PPTX, PDF
113 visualizações
Ejerciciosrafaelrojas
Leia mais
0
Salvar
Compartilhar
Incorporar
Incorporar apresentação
Baixar
Baixar para ler offline
1
/ 3
2
/ 3
3
/ 3
Mais conteúdo relacionado
DOCX
Diodos limitadores
por
lilianajorqueraf
PDF
Taller 17 automatas
por
DIEGOANDRESSANITUGUM
PPTX
base de datos
por
Mileydi Taizan
DOCX
Diodos recortadores
por
lilianajorqueraf
PPTX
ENTIDAD-RELACION
por
John Soto
PPTX
Paola tocte 1ci a
por
paolatocte
DOCX
Documento sin título
por
Luis Burga Chavarri
PDF
Trabajo s02s1
por
jhon carrillo quispe
Diodos limitadores
por
lilianajorqueraf
Taller 17 automatas
por
DIEGOANDRESSANITUGUM
base de datos
por
Mileydi Taizan
Diodos recortadores
por
lilianajorqueraf
ENTIDAD-RELACION
por
John Soto
Paola tocte 1ci a
por
paolatocte
Documento sin título
por
Luis Burga Chavarri
Trabajo s02s1
por
jhon carrillo quispe
Destaque
PDF
2024 Trend Updates: What Really Works In SEO & Content Marketing
por
Search Engine Journal
PDF
Storytelling For The Web: Integrate Storytelling in your Design Process
por
Chiara Aliotta
PDF
Artificial Intelligence, Data and Competition – SCHREPEL – June 2024 OECD dis...
por
OECD Directorate for Financial and Enterprise Affairs
PDF
How to Leverage AI to Boost Employee Wellness - Lydia Di Francesco - SocialHR...
por
SocialHRCamp
PDF
2024 State of Marketing Report – by Hubspot
por
Marius Sescu
PDF
Everything You Need To Know About ChatGPT
por
Expeed Software
PDF
Product Design Trends in 2024 | Teenage Engineerings
por
Pixeldarts
PDF
How Race, Age and Gender Shape Attitudes Towards Mental Health
por
ThinkNow
PDF
AI Trends in Creative Operations 2024 by Artwork Flow.pdf
por
marketingartwork
PDF
Skeleton Culture Code
por
Skeleton Technologies
PDF
PEPSICO Presentation to CAGNY Conference Feb 2024
por
Neil Kimberley
PDF
Content Methodology: A Best Practices Report (Webinar)
por
contently
PPTX
How to Prepare For a Successful Job Search for 2024
por
Albert Qian
PDF
Social Media Marketing Trends 2024 // The Global Indie Insights
por
Kurio // The Social Media Age(ncy)
PDF
Trends In Paid Search: Navigating The Digital Landscape In 2024
por
Search Engine Journal
PDF
5 Public speaking tips from TED - Visualized summary
por
SpeakerHub
PDF
ChatGPT and the Future of Work - Clark Boyd
por
Clark Boyd
PDF
Getting into the tech field. what next
por
Tessa Mero
PDF
Google's Just Not That Into You: Understanding Core Updates & Search Intent
por
Lily Ray
PDF
How to have difficult conversations
por
Rajiv Jayarajah, MAppComm, ACC
2024 Trend Updates: What Really Works In SEO & Content Marketing
por
Search Engine Journal
Storytelling For The Web: Integrate Storytelling in your Design Process
por
Chiara Aliotta
Artificial Intelligence, Data and Competition – SCHREPEL – June 2024 OECD dis...
por
OECD Directorate for Financial and Enterprise Affairs
How to Leverage AI to Boost Employee Wellness - Lydia Di Francesco - SocialHR...
por
SocialHRCamp
2024 State of Marketing Report – by Hubspot
por
Marius Sescu
Everything You Need To Know About ChatGPT
por
Expeed Software
Product Design Trends in 2024 | Teenage Engineerings
por
Pixeldarts
How Race, Age and Gender Shape Attitudes Towards Mental Health
por
ThinkNow
AI Trends in Creative Operations 2024 by Artwork Flow.pdf
por
marketingartwork
Skeleton Culture Code
por
Skeleton Technologies
PEPSICO Presentation to CAGNY Conference Feb 2024
por
Neil Kimberley
Content Methodology: A Best Practices Report (Webinar)
por
contently
How to Prepare For a Successful Job Search for 2024
por
Albert Qian
Social Media Marketing Trends 2024 // The Global Indie Insights
por
Kurio // The Social Media Age(ncy)
Trends In Paid Search: Navigating The Digital Landscape In 2024
por
Search Engine Journal
5 Public speaking tips from TED - Visualized summary
por
SpeakerHub
ChatGPT and the Future of Work - Clark Boyd
por
Clark Boyd
Getting into the tech field. what next
por
Tessa Mero
Google's Just Not That Into You: Understanding Core Updates & Search Intent
por
Lily Ray
How to have difficult conversations
por
Rajiv Jayarajah, MAppComm, ACC
Ejerciciosrafaelrojas
1.
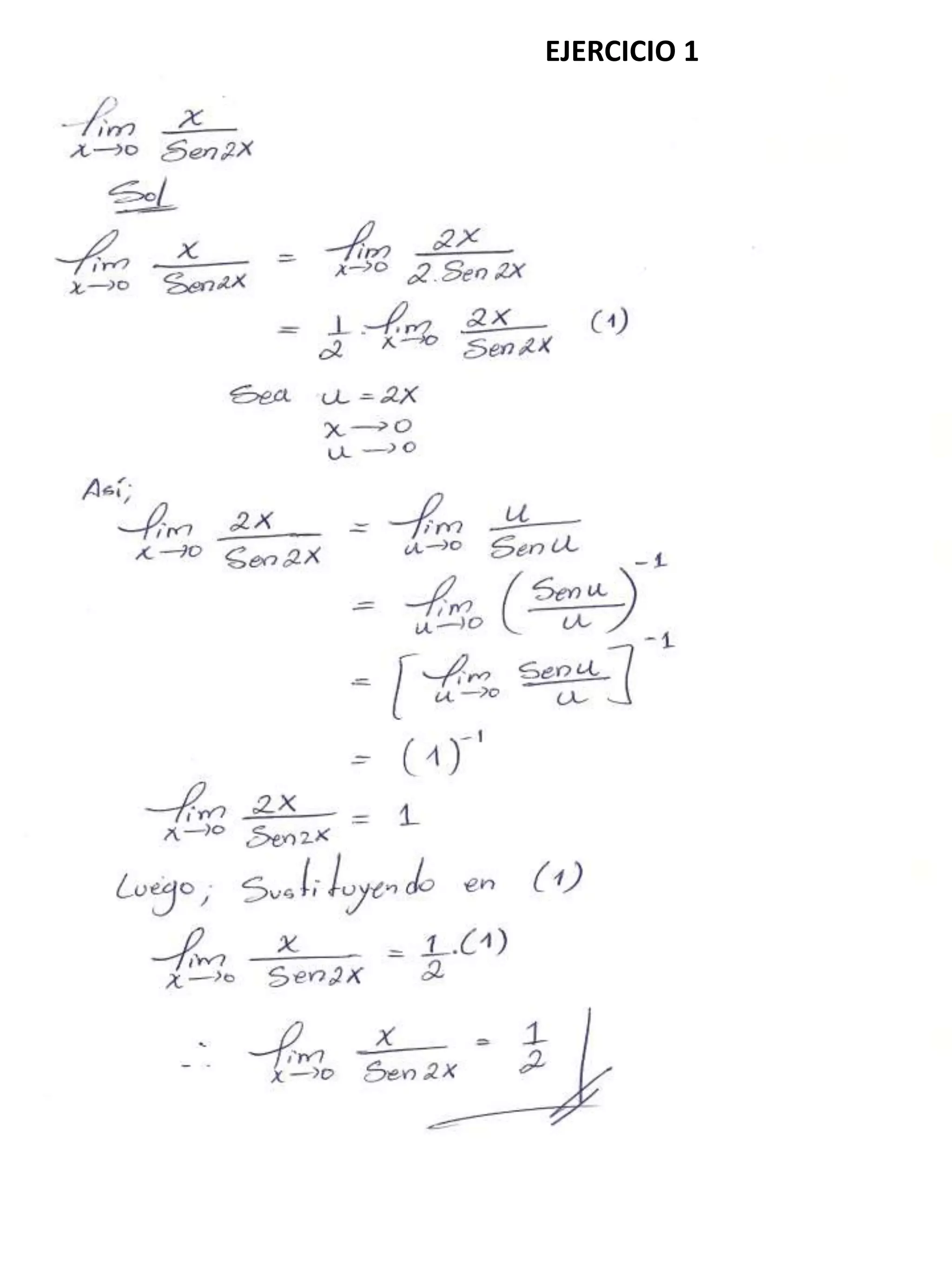
EJERCICIO 1
2.
EJERCICIO 2
3.
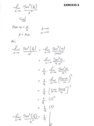
EJERCICIO 3
Baixar