Transfira gratuitamente durante 30 dias
Fazer login
Carregar
Idioma (PT)
Suporte
Negócios
Celular
Mídias sociais
Marketing
Tecnologia
Arte e fotografia
Carreiras
Design
Educação
Apresentações e oratória
Governo e ONGs
Saúde
Internet
Direito
Liderança e gerenciamento
Indústria automotiva
Engenharia
Software
Recrutamento e RH
Varejo
Vendas
Serviços
Ciências
Pequenos negócios e empreendedorismo
Alimentos
Meio ambiente
Economia e finanças
Dados e análise
Relação com investidores
Esportes
Espiritual
Notícias e política
Turismo
Aperfeiçoamento pessoal
Imóveis
Diversão e humor
Saúde e medicina
Dispositivos e hardware
Estilo de vida
Mudar o idioma
Idioma
English
Español
Português
Français
Deutsche
Cancelar
Salvar
Enviar pesquisa
PT
Carregado por
Widmar Aguilar González
66,873 visualizações
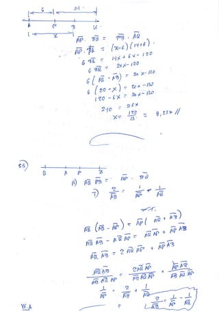
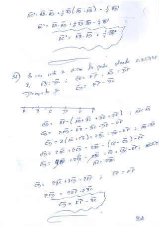
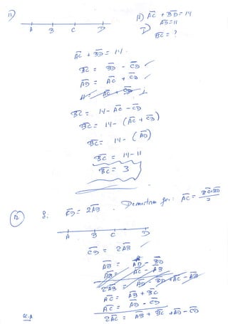
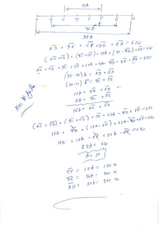
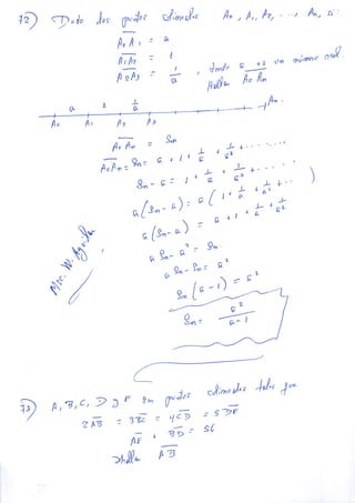
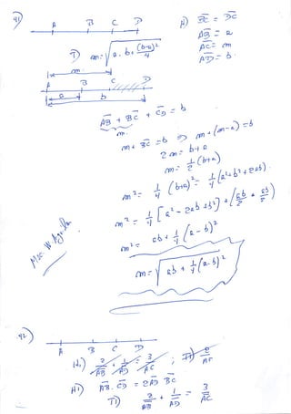
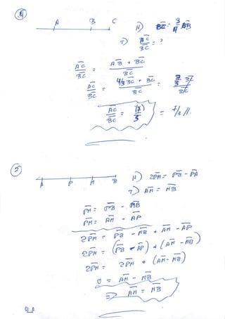
EJERCICIOS DE SEGMENTOS GEOMETRIA
EJERICIOS SEMENTOS Geometría Calvache-Rosero-Yacelga
Educação
◦
Leia mais
62
Salvar
Compartilhar
Incorporar
Incorporar apresentação
Baixar
Baixado 418 vezes
1
/ 64
2
/ 64
3
/ 64
4
/ 64
5
/ 64
6
/ 64
7
/ 64
8
/ 64
9
/ 64
10
/ 64
11
/ 64
12
/ 64
13
/ 64
14
/ 64
15
/ 64
16
/ 64
17
/ 64
18
/ 64
19
/ 64
20
/ 64
21
/ 64
22
/ 64
23
/ 64
24
/ 64
25
/ 64
26
/ 64
27
/ 64
28
/ 64
29
/ 64
30
/ 64
31
/ 64
32
/ 64
33
/ 64
34
/ 64
35
/ 64
36
/ 64
37
/ 64
Mais lidos
38
/ 64
39
/ 64
40
/ 64
41
/ 64
42
/ 64
43
/ 64
44
/ 64
45
/ 64
46
/ 64
47
/ 64
48
/ 64
Mais lidos
49
/ 64
50
/ 64
51
/ 64
52
/ 64
53
/ 64
54
/ 64
55
/ 64
56
/ 64
57
/ 64
58
/ 64
Mais lidos
59
/ 64
60
/ 64
61
/ 64
62
/ 64
63
/ 64
64
/ 64
Mais conteúdo relacionado
PDF
Solucionario Calvache
por
Ian Paucar
PDF
geometría plana calvache
por
Kevin Veloz
PDF
Fìsica-vectorial-2-vallejo-zambrano-pdf
por
Luis Puetate
PDF
Solucionario Geometría Plana y del Espacio Calvache
por
Ian Paucar Montes
PDF
(Solucionario)fisica vectorial 1 vallejo zambrano 2011
por
Diego Tapia
PDF
Solucionario Vallejo Zambrano Tomo i (8 15)
por
Guido Herrera
PDF
Solucionario vallejo zambrano tomo i (1 7)
por
Stalin Macias
PDF
84731468 solucionario-calvache
por
Fabricio Altamirano
Solucionario Calvache
por
Ian Paucar
geometría plana calvache
por
Kevin Veloz
Fìsica-vectorial-2-vallejo-zambrano-pdf
por
Luis Puetate
Solucionario Geometría Plana y del Espacio Calvache
por
Ian Paucar Montes
(Solucionario)fisica vectorial 1 vallejo zambrano 2011
por
Diego Tapia
Solucionario Vallejo Zambrano Tomo i (8 15)
por
Guido Herrera
Solucionario vallejo zambrano tomo i (1 7)
por
Stalin Macias
84731468 solucionario-calvache
por
Fabricio Altamirano
Mais procurados
PPTX
Teorema del seno y el coseno
por
frinconr
PDF
Trigonometría de Granville
por
Jonathan Panimboza
PDF
Problemas resueltos de limites
por
Carlos Alberto Martinez Briones
PPTX
Disyunción, Disyunción exclusiva y Conjunción negativa
por
flakitacm
PPT
Métodos de Demostración en Matemática
por
Wilbert Tapia
PDF
Diapositivas de estructuras algebraicas
por
Trabajo en mi casa ;; Haciendo nada &i de gratis xDD
PPT
EQUIVALENCIAS LÓGICAS Y SIMPLIFICACIÓN
por
Pacheco Huarotto, Luis
PDF
Identidades trigonometricas
por
Ruben Arturo Machorro Diaz
PDF
Fisica vectorial-1-vallejo-zambrano
por
7lenin
DOCX
Ejercicios plano tangente
por
UNEFA
PDF
Semana1 sucesiones y criterio de convergencia
por
Moises De La Cruz
PDF
IDENTIDADES TRIGONOMETRICAS
por
Jhennyfer Huamàn Huamanì
PPT
Ecuacion de la recta pendiente
por
Julian Andres
DOCX
Formulas cinematica
por
Eduardo Pérez
PPTX
Trigonometria 2 ejemplos
por
liliana fernando
PPTX
Problemas con expresiones algebraicas
por
LINA ELIZABETH MIÑANO YUPANQUI
PPTX
Leyes de algebra proposicional
por
elisa pizano
PDF
13 transformaciones trigonométricas
por
Ronal Flavio H
PDF
Cap 4 fisica serway problemas resueltos
por
Jorge Rojas
PPT
Presentacion de trigonometria
por
Maho Minami
Teorema del seno y el coseno
por
frinconr
Trigonometría de Granville
por
Jonathan Panimboza
Problemas resueltos de limites
por
Carlos Alberto Martinez Briones
Disyunción, Disyunción exclusiva y Conjunción negativa
por
flakitacm
Métodos de Demostración en Matemática
por
Wilbert Tapia
Diapositivas de estructuras algebraicas
por
Trabajo en mi casa ;; Haciendo nada &i de gratis xDD
EQUIVALENCIAS LÓGICAS Y SIMPLIFICACIÓN
por
Pacheco Huarotto, Luis
Identidades trigonometricas
por
Ruben Arturo Machorro Diaz
Fisica vectorial-1-vallejo-zambrano
por
7lenin
Ejercicios plano tangente
por
UNEFA
Semana1 sucesiones y criterio de convergencia
por
Moises De La Cruz
IDENTIDADES TRIGONOMETRICAS
por
Jhennyfer Huamàn Huamanì
Ecuacion de la recta pendiente
por
Julian Andres
Formulas cinematica
por
Eduardo Pérez
Trigonometria 2 ejemplos
por
liliana fernando
Problemas con expresiones algebraicas
por
LINA ELIZABETH MIÑANO YUPANQUI
Leyes de algebra proposicional
por
elisa pizano
13 transformaciones trigonométricas
por
Ronal Flavio H
Cap 4 fisica serway problemas resueltos
por
Jorge Rojas
Presentacion de trigonometria
por
Maho Minami
Mais de Widmar Aguilar González
PDF
ENERGIA_CONSERVACION_ENERGIA_ZEMANSKY.pdf
por
Widmar Aguilar González
PDF
CONSERVACION_ENERGIA_FUERZAS_CENTRALES_CONSERVATIVAS_BEER_EJERCICIOS.pdf
por
Widmar Aguilar González
PDF
COMPONENTES TANGENCIAL Y NORMAL_CURVILINEO_BEER_EJERCICIOS.pdf
por
Widmar Aguilar González
PDF
SOLUCIÓN GRÁFICA DE PROBLEMAS_MOVIMIENTO_RECTILINEO_BEER.pdf
por
Widmar Aguilar González
PDF
MOVIMIENTO CURVILINEO_BEER_EJERCICIOS.pdf
por
Widmar Aguilar González
PDF
MOMENTO_LINEAl_IMPULSOYCANTIDAD_MOVIMIENTO_BEER_EJERCICIOS.pdf
por
Widmar Aguilar González
PDF
CONSERVACION_ENERGIA_ELECTROMECANICA_FITZGERALD.pdf
por
Widmar Aguilar González
PDF
TRANSFORMADORES_MAQUINAS_FITZGERALd_2.pdf
por
Widmar Aguilar González
PDF
MOTORES_INDUCCION_CHAPMAN_EJERCICIOS.pdf
por
Widmar Aguilar González
PDF
MAQUINAS INDUCCION_POLIFASICAS_FITZGERALD.pdf
por
Widmar Aguilar González
PDF
CIRCUITOS_MAGNETICOS_FITZGERALD_MAQUINAS.pdf
por
Widmar Aguilar González
PDF
EJERCICIOS_APLICACIONES2_LEYES_NEWTON_ZEMANSKY.pdf
por
Widmar Aguilar González
PDF
SUMA_vectores_posisicion_ESTATICA_HIBBERLER.pdf
por
Widmar Aguilar González
PDF
DINAMICA_SEGUNDALEY_NEWTON_BEER_EJERCICIOS.pdf
por
Widmar Aguilar González
PDF
EJERCICIOS_CONSERVACION_ENERGIA_HIBBERLER.pdf
por
Widmar Aguilar González
PDF
MOVIMIENTO RECTILINEO_ACELERADO_DEPENDIENTE_PARTE2_BEER.pdf
por
Widmar Aguilar González
PDF
EJERCICIOS_PRODUCTOPUNTO_ESTATICA_HIBBERLER.pdf
por
Widmar Aguilar González
PDF
EJERCICIOS_MOTORES_SINCRONOS_CHAPMAN5.pdf
por
Widmar Aguilar González
PDF
MAQUINAS_ROTACION_FITZGERALD_EJERCICIOS_RESUELTOS.pdf
por
Widmar Aguilar González
PDF
PRINCIPOS_MAQUINAS_CA_CHAPMAN3_EJERCICIOS.pdf
por
Widmar Aguilar González
ENERGIA_CONSERVACION_ENERGIA_ZEMANSKY.pdf
por
Widmar Aguilar González
CONSERVACION_ENERGIA_FUERZAS_CENTRALES_CONSERVATIVAS_BEER_EJERCICIOS.pdf
por
Widmar Aguilar González
COMPONENTES TANGENCIAL Y NORMAL_CURVILINEO_BEER_EJERCICIOS.pdf
por
Widmar Aguilar González
SOLUCIÓN GRÁFICA DE PROBLEMAS_MOVIMIENTO_RECTILINEO_BEER.pdf
por
Widmar Aguilar González
MOVIMIENTO CURVILINEO_BEER_EJERCICIOS.pdf
por
Widmar Aguilar González
MOMENTO_LINEAl_IMPULSOYCANTIDAD_MOVIMIENTO_BEER_EJERCICIOS.pdf
por
Widmar Aguilar González
CONSERVACION_ENERGIA_ELECTROMECANICA_FITZGERALD.pdf
por
Widmar Aguilar González
TRANSFORMADORES_MAQUINAS_FITZGERALd_2.pdf
por
Widmar Aguilar González
MOTORES_INDUCCION_CHAPMAN_EJERCICIOS.pdf
por
Widmar Aguilar González
MAQUINAS INDUCCION_POLIFASICAS_FITZGERALD.pdf
por
Widmar Aguilar González
CIRCUITOS_MAGNETICOS_FITZGERALD_MAQUINAS.pdf
por
Widmar Aguilar González
EJERCICIOS_APLICACIONES2_LEYES_NEWTON_ZEMANSKY.pdf
por
Widmar Aguilar González
SUMA_vectores_posisicion_ESTATICA_HIBBERLER.pdf
por
Widmar Aguilar González
DINAMICA_SEGUNDALEY_NEWTON_BEER_EJERCICIOS.pdf
por
Widmar Aguilar González
EJERCICIOS_CONSERVACION_ENERGIA_HIBBERLER.pdf
por
Widmar Aguilar González
MOVIMIENTO RECTILINEO_ACELERADO_DEPENDIENTE_PARTE2_BEER.pdf
por
Widmar Aguilar González
EJERCICIOS_PRODUCTOPUNTO_ESTATICA_HIBBERLER.pdf
por
Widmar Aguilar González
EJERCICIOS_MOTORES_SINCRONOS_CHAPMAN5.pdf
por
Widmar Aguilar González
MAQUINAS_ROTACION_FITZGERALD_EJERCICIOS_RESUELTOS.pdf
por
Widmar Aguilar González
PRINCIPOS_MAQUINAS_CA_CHAPMAN3_EJERCICIOS.pdf
por
Widmar Aguilar González
Último
PPTX
UFCD 7844- Liderança e Excelência na Equipa (2).pptx
por
marialucas62
PDF
Novo_BNCC_Caderno_do_Futuro_4_PROFESSOR_LP.pdf
por
PriscilaTavares53
PPTX
Pronomes pessoais: guia claro para aprender bem
por
. .
PPT
_RomaAntigaImpério Republica Monarquia.ppt
por
alcioneb473
PPTX
Líder em mim projeto pedagógico de programa socioemocional
por
Laís Soares
PPT
Aula_3.ppt_Historia da Escrita para curso de JOrnalismo
por
Fabricio
PDF
Elo do Bem: o guia para cuidar de quem precisa 🌱 Guia de Orientação: Cuidar,...
por
Raquel Alves
PDF
1000 Exercícios de Língua Portuguesa 2
por
tecaoliveira1
PPTX
Protocolo Laboratorial - 11º ano AL 2.1 Características do som
por
Casa Ciências
PDF
Funções logarítmicas: definição e exemplos
por
Ricardo Saldanha de Morais
PDF
Descubra a Profissão Desenvolvedor Salesforce - Caminhos e Conhecimentos - 02
por
Mauricio Alexandre Silva
PDF
Protocolo Laboratorial - 11º ano AL 2.1 Características do som
por
Casa Ciências
PDF
Orientar estados da arte (e planos de dissertação/tese) com alunos a usar IA ...
por
Leonel Morgado
PDF
O-QUE-E-LITERATURA ;CONCEITO E IMPORTANCIA
por
Rosangela santana
PDF
SLIDES DA 4ª AULA CLASSE JOVENS 1º TRIM 2026.pdf
por
EdsonRodrigues617382
PDF
SLIDES DA 4ª AULA CLASSE ADULTOS 1º TRIM 2026.pdf
por
EdsonRodrigues617382
PPTX
PP Slides Lição 6, CPAD, O Filho como o Verbo de DEUS, 1Tr26.pptx
por
Assembleia de Deus
PDF
6º ao 9º ANO - HABILIDADES - BNCC - Computação .xlsx - 6° - 9° ANO.pdf
por
jorgeauditore4
PDF
LISTA DOS ALUNOS APROVADOS NO VESTIBULAR DA FUVEST
por
fernandolmiller77
PPTX
Correção da ficha de trabalho 3.pptx - Camões Lírico - Tanto do meu estado me...
por
RitaSilva3497
UFCD 7844- Liderança e Excelência na Equipa (2).pptx
por
marialucas62
Novo_BNCC_Caderno_do_Futuro_4_PROFESSOR_LP.pdf
por
PriscilaTavares53
Pronomes pessoais: guia claro para aprender bem
por
. .
_RomaAntigaImpério Republica Monarquia.ppt
por
alcioneb473
Líder em mim projeto pedagógico de programa socioemocional
por
Laís Soares
Aula_3.ppt_Historia da Escrita para curso de JOrnalismo
por
Fabricio
Elo do Bem: o guia para cuidar de quem precisa 🌱 Guia de Orientação: Cuidar,...
por
Raquel Alves
1000 Exercícios de Língua Portuguesa 2
por
tecaoliveira1
Protocolo Laboratorial - 11º ano AL 2.1 Características do som
por
Casa Ciências
Funções logarítmicas: definição e exemplos
por
Ricardo Saldanha de Morais
Descubra a Profissão Desenvolvedor Salesforce - Caminhos e Conhecimentos - 02
por
Mauricio Alexandre Silva
Protocolo Laboratorial - 11º ano AL 2.1 Características do som
por
Casa Ciências
Orientar estados da arte (e planos de dissertação/tese) com alunos a usar IA ...
por
Leonel Morgado
O-QUE-E-LITERATURA ;CONCEITO E IMPORTANCIA
por
Rosangela santana
SLIDES DA 4ª AULA CLASSE JOVENS 1º TRIM 2026.pdf
por
EdsonRodrigues617382
SLIDES DA 4ª AULA CLASSE ADULTOS 1º TRIM 2026.pdf
por
EdsonRodrigues617382
PP Slides Lição 6, CPAD, O Filho como o Verbo de DEUS, 1Tr26.pptx
por
Assembleia de Deus
6º ao 9º ANO - HABILIDADES - BNCC - Computação .xlsx - 6° - 9° ANO.pdf
por
jorgeauditore4
LISTA DOS ALUNOS APROVADOS NO VESTIBULAR DA FUVEST
por
fernandolmiller77
Correção da ficha de trabalho 3.pptx - Camões Lírico - Tanto do meu estado me...
por
RitaSilva3497
Baixar