Incorporar apresentação
Transferir como PDF, PPTX

















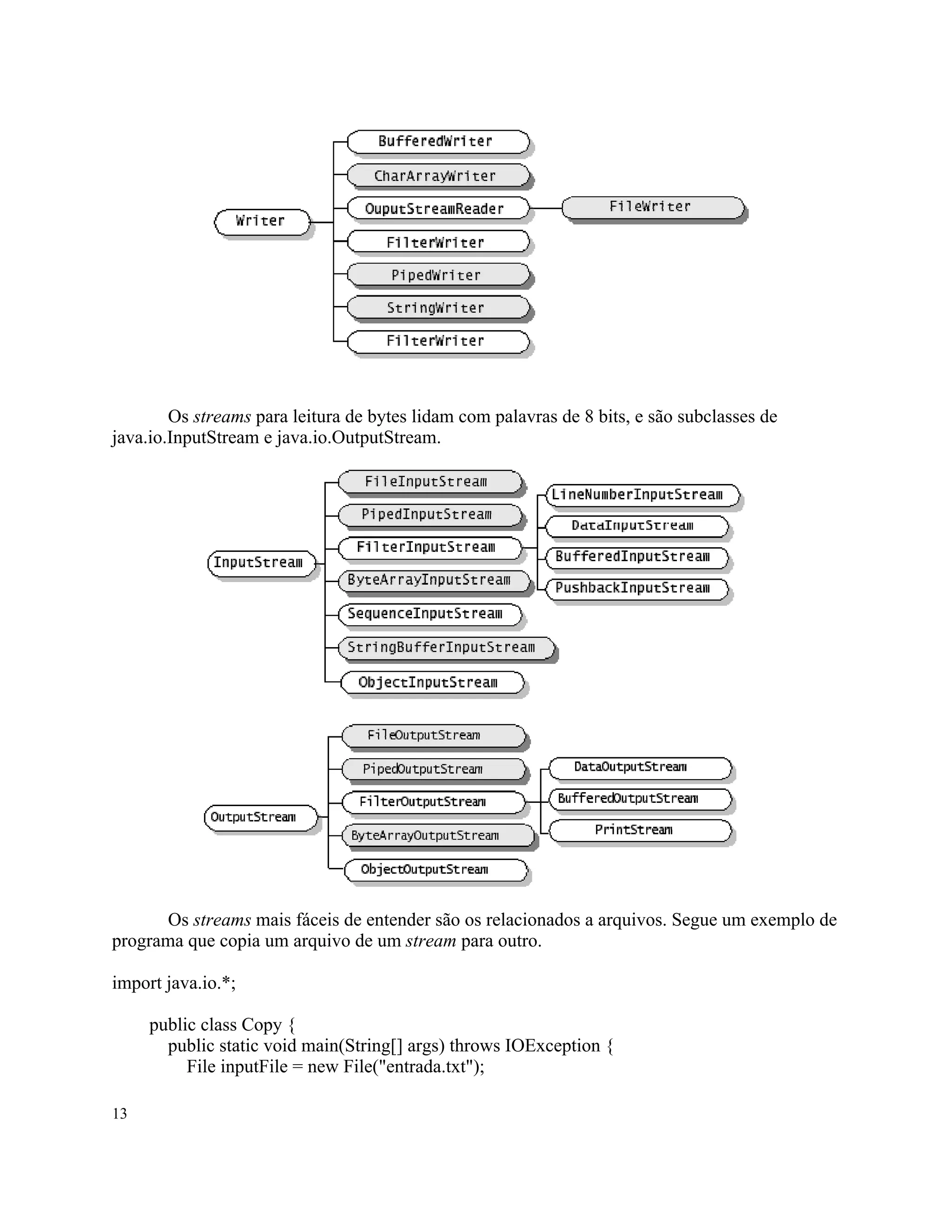
O documento descreve um curso de Java sobre exceções, entrada e saída e programação Swing ministrado por Fábio Mengue da Unicamp. A primeira seção explica que exceções ocorrem quando eventos inesperados quebram o fluxo normal de execução de um programa e que erros de hardware ou programação podem gerar exceções.















